Movatterモバイル変換


[0]ホーム

URL:


FR2614155A1 - Digital indicator of latching of a Costas type phase lock loop - Google Patents

Digital indicator of latching of a Costas type phase lock loop
Download PDF

Info

Publication number
FR2614155A1
FR2614155A1FR8705264AFR8705264AFR2614155A1FR 2614155 A1FR2614155 A1FR 2614155A1FR 8705264 AFR8705264 AFR 8705264AFR 8705264 AFR8705264 AFR 8705264AFR 2614155 A1FR2614155 A1FR 2614155A1
Authority
FR
France
Prior art keywords
signal
demodulator
demodulators
output
energy
Prior art date
Legal status (The legal status is an assumption and is not a legal conclusion. Google has not performed a legal analysis and makes no representation as to the accuracy of the status listed.)
Withdrawn
Application number
FR8705264A
Other languages
French (fr)
Inventor
Remy Journeau
Thomson-Csf
Scpi
Current Assignee (The listed assignees may be inaccurate. Google has not performed a legal analysis and makes no representation or warranty as to the accuracy of the list.)
Thales SA
Original Assignee
Thomson CSF SA
Priority date (The priority date is an assumption and is not a legal conclusion. Google has not performed a legal analysis and makes no representation as to the accuracy of the date listed.)
Filing date
Publication date
Application filed by Thomson CSF SAfiledCriticalThomson CSF SA
Priority to FR8705264ApriorityCriticalpatent/FR2614155A1/en
Publication of FR2614155A1publicationCriticalpatent/FR2614155A1/en
Withdrawnlegal-statusCriticalCurrent

Links

Classifications

Landscapes

Abstract

The digital indicator of latching is coupled to the outputs of the first and second demodulators 4, 5 of a Costas loop in order to control the frequency and phase of the local oscillator 6 of the loop. It delivers a latching-indication signal E when the energy of the signal 3 applied to the input of the loop 4 is greater than an energy threshold determined by the noise level at the output of the demodulators. Application: satellite telecommunication.

Description

Translated fromFrench

Indicateur numérique d'accrochage d'une boucle à verrouillage
de phase de type Costas
La présente invention concerne un indicateur numérique d'accrochage d'une boucle à verrouillage de phase de type
Costas. Elle s'appllque notamment à la réalisation de récepteurs de télécommunication par satellite.
Digital indicator for locking a locking loop
phase of Costas type
The present invention relates to a digital indicator for attaching a phase-locked loop of the type
Costas. It is particularly relevant to the realization of satellite telecommunication receivers.

Les boucles à verrouillage de phase de type Costas comportent classiquement deux étages de démodulation. Le premier étage démodule un signal haute fréquence de la forme par exemple A x Cos( t +f) Ce signal haute fréquence est mélangé dans le premier étage à un signal produit par un oscillateur local à commande ajustable. Dans le deuxième étage, le signal haute fréquence est démodulé par un signal déphasé de ll/2rds par rapport au signal fourni par ltoscillateur Un discriminateur de phase agit sur une entrée de commande de l'oscillateur pour rendre minimal l'écart de phase L 8 entre la phase; du signal appliqué à l'entrée de la boucle et la phase # du signal de même fréquence fourni par l'oscillateur.L'écart de phase t ff produit à la sortie du premier démodulateur un signal de la forme I = Acos /N Y
La valeur du signal I tend vers la valeur A lorsque l'erreur de phase 41 w tend vers 0 c'est-à-dire lorsque la boucle à verrouillage de phase est accrochée.
The phase lock loops of the Costas type conventionally comprise two demodulation stages. The first stage demodulates a high frequency signal of the form for example A x Cos (t + f). This high frequency signal is mixed in the first stage with a signal produced by an adjustable local oscillator. In the second stage, the high frequency signal is demodulated by a phase-shifted signal of 11 / 2rds with respect to the signal supplied by the oscillator. A phase discriminator acts on a control input of the oscillator to minimize the phase difference L 8 between the phase; of the signal applied to the input of the loop and the phase # of the signal of the same frequency provided by the oscillator. The phase difference t ff produces at the output of the first demodulator a signal of the form I = Acos / NY
The value of the signal I tends towards the value A when the phase error 41 w tends to 0, that is to say when the phase locked loop is hooked.

Pour adapter des boucles de Costas à la démodulation de signaux porteurs de données numériques la conception des discriminateurs doit tenir compte du fait que le terme A du signal change de signe au rythme des informations binaires. To adapt Costas loops to the demodulation of digital data-carrying signals the design of the discriminators must take into account that the term A of the signal changes sign to the rhythm of the binary information.

Bien qu'il existe des solutions analogiques à ce problème, il n'existe pas dans les réalisations connues de dispositifs indicateurs qui puissent signaler de façon certaine l'accrochage des boucles de Costas numériques de sorte que, l'instant à partir duquel la démodulation des données peut avoir lieu n'est jamais connu de façon précise. Il en résulte que les informations qui sont reçues, en début de réception d'une trame numérique de message par exemple, peuvent être perdues.Although there are analog solutions to this problem, there are no known indicators in the known implementations that can definitely indicate the hooking of the digital Costas loops so that the instant from which the demodulation data can take place is never known precisely. As a result, the information that is received, at the beginning of reception of a digital message frame, for example, can be lost.

Le but de l'invention est de pallier les inconvénients précités. The object of the invention is to overcome the aforementioned drawbacks.

A cet effet, l'invention a pour objet, un indicateur numérique d'accrochage d'une boucle à verrouillage de phase de type Costas comprenant un premier et un deuxième démodulateur d'un signal d'entrée, les premier et deuxième démodulateurs étant excités respectivement par deux signaux en phase et en quadrature avec un signal fourni par un oscillateur local, caractérisé en ce que l'indicateur numérique d'accrochage est couplé aux sorties des premier et deuxième démodulateurs pour commander la fréquence et la phase de l'oscillateur local et fournit un signal d'indication d'accrochage lorsque l'énergie du signal obtenu en sortie du premier démodulateur est supérieure à un seuil d'énergie déterminé par le niveau de bruit en sortie de ce démodulateur. For this purpose, the object of the invention is a digital hooking indicator of a Costas-type phase-locked loop comprising a first and a second demodulator of an input signal, the first and second demodulators being excited. respectively by two in-phase and quadrature signals with a signal provided by a local oscillator, characterized in that the digital hook indicator is coupled to the outputs of the first and second demodulators for controlling the frequency and phase of the local oscillator and provides a latching indication signal when the energy of the signal obtained at the output of the first demodulator is greater than an energy threshold determined by the noise level at the output of this demodulator.

D'autres caractéristiques et avantages de l'invention apparaltront ci-après à l'aide de la description faite en regard de la figure unique du dessin annexé qui représente un indicateur numérique d'accrochage selon l'invention inséré dans une boucle de Costas. Other features and advantages of the invention will appear below with the aid of the description given with reference to the single figure of the appended drawing which represents a digital hook indicator according to the invention inserted in a Costas loop.

Sur cette figure l'indicateur numérique d'accrochage comporte un processeur de signal 1, du type par exemple de celui qui est fabriqué par la société Thomson semiconducteurs sous la référence TS 68930, couplé par ses ports d'entrée-sortie à des moyens de mémorisation 2. La boucle de Costas est représentée à l'intérieur d'un rectangle en pointillés 3. Elle comprend outre le processeur de signal 1 et les moyens de mémorisation 2, un premier démodulateur 4, un deuxième démodulateur 5, un oscillateur à commande numérique 6 et un circuit déphaseur 7 de ~/2rus. Les sorties des démodulateurs 4 et 5 sont reliées au processeur de signal 1 au travers respectivement de deux convertisseurs analogiques numériques 8 et 9. In this figure the digital latching indicator comprises a signal processor 1, of the type for example of that manufactured by the Thomson semiconductor company under the reference TS 68930, coupled by its input-output ports to 2. The Costas loop is represented inside a dotted rectangle 3. It comprises, in addition to the signal processor 1 and the storage means 2, a first demodulator 4, a second demodulator 5, a control oscillator digital 6 and a phase shifter 7 of ~ / 2rus. The outputs of the demodulators 4 and 5 are connected to the signal processor 1 through respectively two digital analog converters 8 and 9.

Les démodulateurs 4 et 5 peuvent être éventuellement constitués de façon connue par des circuits multiplieurs à deux entrées. Ils reçoivent chacun sur une entrée le signal S à démoduler. Le signal sortant de l'oscillateur 6 est appliqué sur la deuxième entrée du démodulateur 4 et d'autre part, sur la deuxième entrée du démodulateur 5 au travers du déphaseur 7. The demodulators 4 and 5 may optionally be constituted in known manner by multiplier circuits with two inputs. They each receive on an input signal S to demodulate. The signal leaving the oscillator 6 is applied to the second input of the demodulator 4 and secondly to the second input of the demodulator 5 through the phase-shifter 7.

La phase et la fréquence de l'oscillateur 6 sont commandées par le processeur de signal 1 au moyen d'un mot de commande binaire appliqué sur un bus de commande 10 reliant une sortie 11 du processeur de signal 1 à une entrée de commande en fréquence et en phase de l'oscillateur 6. The phase and the frequency of the oscillator 6 are controlled by the signal processor 1 by means of a binary control word applied on a control bus 10 connecting an output 11 of the signal processor 1 to a frequency control input and in phase of the oscillator 6.

La sortie du démodulateur 4 est reliée d'autre part, à un démodulateur de données 12 commandé par un signal E fourni par une porte 13 du processeur de signal 1. The output of the demodulator 4 is connected, on the other hand, to a data demodulator 12 controlled by a signal E supplied by a gate 13 of the signal processor 1.

Le signal S qui est appliqué sur les premières entrées des démodulateurs 4 et 5 ressort suivant deux composantes I et
Q qui sont appliquées sur les deux entrées respectives du processeur de signal 1 au travers des convertisseurs analogiques numériques 8 et 9.
The signal S which is applied on the first inputs of the demodulators 4 and 5 spring in two components I and
Q which are applied to the two respective inputs of the signal processor 1 through the digital analog converters 8 and 9.

Si S= A (t) cos (wt + #) où A (t) = +1 est l'expression du signal S applique; aux entrées des démodulateurs 4 et 5 et si B x Cos( vs t + r ) est l'expression du signal fourni par l osciLlateur 6, les signaux I et Q obtenus sont représentables par des relations de la forme
I = A(t) Cos ## = "bruit"= Is + "bruit 1"
Q = A(t) Sin ## + Qs + "bruit 2" avec fl# = ~ ;; "bruit 1 et bruit 2" étant les bruits qui entachent les composantes utiles I et Qs des composantes I
s et Q des signaux sortant des démodulateurs 4 et 5.
If S = A (t) cos (wt + #) where A (t) = +1 is the expression of the signal S applied; at the inputs of the demodulators 4 and 5 and if B x Cos (vs t + r) is the expression of the signal provided by the oscillator 6, the I and Q signals obtained can be represented by relations of the form
I = A (t) Cos ## = "noise" = Is + "noise 1"
Q = A (t) Sin ## + Qs + "noise 2" with fl # = ~ ;; "noise 1 and noise 2" being the noises which taint the useful components I and Qs of the components I
s and Q of the signals coming out of the demodulators 4 and 5.

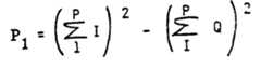
Pour s'affranchir des variations d'amplitude en +1 du signal A le processeur 1 calcule une expression de la forme
I2 - Q2 = A2 x Cos 2 # # où I2 et Q2 représentent les énergies des signaux I et Q.
To overcome the amplitude variations in +1 of the signal A, the processor 1 calculates an expression of the form
I2 - Q2 = A2 x Cos 2 # # where I2 and Q2 represent the energies of I and Q signals

lorsque l'accrochage de la boucle est réalisé, c'est-à-dire lorsque ## est voisin de 0, l'expression I2 - Q2 est voisine de A2.when the hooking of the loop is made, that is to say when ## is close to 0, the expression I2 - Q2 is close to A2.

Cependant le calcul précédent qui permet de connaître l'énergie du signal en cours d'accrochage n'est valable que si l'on tient compte également de l'énergie cumulée du signal et de son bruit. However, the preceding calculation which makes it possible to know the energy of the signal being latched is valid only if one also takes into account the cumulated energy of the signal and its noise.

En désignant par nI et nQ les composantes de bruit. By nI and nQ denoting the noise components.

accompagnant les signaux IS et QS, le calcul précédent reste valable si ces bruits sont centrés et décorrélés, et en calculant l'expression
P1 = (IS + nI)2 - (QS + nQ)2 on obtient l'énergie moyenne du signal S.
accompanying the IS and QS signals, the previous calculation remains valid if these noises are centered and decorrelated, and by calculating the expression
P1 = (IS + nI) 2 - (QS + nQ) 2 the average energy of the signal S.

En effet P1 = IS 2-QS 2+nI2-NQ2+2nIxIS-2nQxQS
Comme il s'agit de bruit centré et décorrélé, les moyennes des composantes nI et nQ sont nulles et les moyennes des composantes nI et n Q 2 s'annulent. Par conséquent P1 correspond effectivement en moyenne à l'énergie du signal utile.
Indeed P1 = IS 2-QS 2 + nI2-NQ2 + 2nIxIS-2nQxQS
Since the noise is centered and decorrelated, the averages of the components nI and nQ are zero and the averages of the components nI and nQ 2 cancel out. Therefore P1 effectively corresponds on average to the energy of the useful signal.

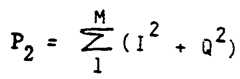
Pour tenir compte de l'énergie du bruit présent dans la bande de démodulation des démodulateurs 4 et 5 le processeur 1 calcule une expression de la forme
P2 = moyenne de [(IS+nI)2+(QS+nQ)2]
Le résultat obtenu est de la forme :
P2 = où b est égal à l'énergie des composantes de bruit nI2 et
2
Lorsque l'accrochage est obtenu IS2 + QS2 représente l'énergie Su du signal utile et 2b représente une énergie B en bruit.
To take into account the energy of the noise present in the demodulation band of the demodulators 4 and 5, the processor 1 calculates an expression of the form
P2 = average of [(IS + nI) 2+ (QS + nQ) 2]
The result obtained is of the form:
P2 = where b is equal to the energy of noise components nI2 and
2
When the attachment is obtained IS2 + QS2 represents the energy Su of the useful signal and 2b represents a B energy in noise.

Enfin, l'énergie P1 du signal utile est comparée à l'énergie P2. Finally, the energy P1 of the useful signal is compared with the energy P2.

En appliquant à P2 un coefficient de pondération K < 1 et en faisant la différence des énergies P1 et KP2, le proces seur 1 calcule la différence d'énergie #E = P1 - KP2, ce qui donne :
#E = A2cos2 ##-K(S + B)
En considérant qu'à l'accrochage A2 = Su, #E peut être mis sous la forme

Figure img00050001

lorsque cos 2 tH' > Ko c'est-à-dire
Les opérations précédentes sont effectuées par le processeur 1 sur des échantillons des signaux binaires transmis par les convertisseurs analogiques numériques 8 et 9 à partir des composantes I et Q du signal. Pour effectuer ces traitements le processeur 1 calcule des moyennes sur ces échantillons. Si M est le nombre des échantillons par bit des signaux I ou Q et P est un nombre d'échantillons plus petit que M l'expression P1 peut être mise sous la forme
Figure img00050002

et l'expression P2 peut s'exprimer sous la forme
Figure img00050003

et l'erreur résiduelle Li E devient
Figure img00050004

où L est le nombre de bits de données sur lequel porte le calcul de l'erreur E résiduelle.Applying a weighting coefficient K <1 to P2, and by differentiating the energies P1 and KP2, the processor 1 calculates the energy difference #E = P1 - KP2, which gives:
#E = A2cos2 ## - K (S + B)
Considering that when hanging A2 = Su, #E can be put in the form
Figure img00050001

when cos 2 tH '> Ko that is to say
The preceding operations are performed by the processor 1 on samples of the binary signals transmitted by the digital analog converters 8 and 9 from the I and Q components of the signal. To perform these processes, the processor 1 calculates averages on these samples. If M is the number of samples per bit of the I or Q signals and P is a number of samples smaller than M the expression P1 can be put in the form
Figure img00050002

and the expression P2 can be expressed in the form
Figure img00050003

and the residual error Li E becomes
Figure img00050004

where L is the number of data bits on which the calculation of the residual error E is carried out.

Dans ces conditions l'accrochage est déclaré lorsque # E est plus grand que 0. Ce résultat se manifeste par l'appari tion sur la sortie 11 du processeur de signal 1 d un signal E et par la commande par ce signal du démodulateur de données 10 qui exécute alors la démodulation des données transportées par le signal I. Under these conditions the snap is declared when # E is greater than 0. This result is manifested by the appearance on the output 11 of the signal processor 1 of a signal E and by the command by this signal of the data demodulator 10 which then executes the demodulation of the data transported by the signal I.

Claims (6)

Translated fromFrench
REVENDICATIONS 1. Indicateur numérique d'accrochage d'une boucle de phase de type Costas comprenant un premier démodulateur (4) et un deuxième démodulateur (5) d'un signal d'entrée, les premier et deuxième démodulateurs (4, 5) étant excités respectivement par deux signaux en phase et en quadrature avec un signai fourni par un oscillateur local (6), caractérisé en ce que l'indicateur numérique d'accrochage est couplé aux sorties des premier et deuxième démodulateurs (4, 5) pour commander la fréquence et la phase de l'oscillateur local (6) et fournit un signal (E) d'indication d'accrochage lorsque l'énergie du signal obtenu en sortie du premier démodulateur (4) est supérieure à un seuil d'énergie déterminé par le niveau de bruit en sortie de ce démodulateur. 1. Digital hooking indicator of a Costas-type phase loop comprising a first demodulator (4) and a second demodulator (5) of an input signal, the first and second demodulators (4, 5) being excited respectively by two signals in phase and in quadrature with a signal provided by a local oscillator (6), characterized in that the digital hook indicator is coupled to the outputs of the first and second demodulators (4, 5) for controlling the frequency and the phase of the local oscillator (6) and provides a latching indication signal (E) when the energy of the signal obtained at the output of the first demodulator (4) is greater than an energy threshold determined by the noise level at the output of this demodulator. 2. Indicateur selon la revendication 1, caractérisé en ce que l'énergie du signal d'entrée est mesurée en effectuant la différence des énergies P1 = I2 - Q2, des signaux I et Q obtenus en sortie des démodulateurs 4 et 5. 2. Indicator according to claim 1, characterized in that the energy of the input signal is measured by performing the difference of the energies P1 = I2 - Q2, I and Q signals obtained at the output of the demodulators 4 and 5. 3. Indicateur selon les revendications 1 et 2, caractérisé en ce que le seuil d'énergie déterminé par le niveau de bruit en sortie des démodulateurs est obtenu en calculant la somme des énergies P2 = I2 + Q2 des signaux obtenus en sortie des demodulateurs 4 et 5 en pondérant l'énergie P2 par un coefficient K < 1. 3. Indicator according to claims 1 and 2, characterized in that the energy threshold determined by the noise level at the output of the demodulators is obtained by calculating the sum of the energies P2 = I2 + Q2 of the signals obtained at the output of the demodulators 4 and weighting the energy P2 by a coefficient K <1. 4. Indicateur selon l'une quelconque des revendications 1 et 3, caractérisé en ce qu'il comprend un processeur de signal (1) couplé aux sorties des modulateurs (4 et 5) au travers de convertisseurs analogiques numériques (8 et 9). 4. Indicator according to any one of claims 1 and 3, characterized in that it comprises a signal processor (1) coupled to the outputs of the modulators (4 and 5) through digital analog converters (8 and 9). 5. Indicateur selon la revendication 4, caractérisé en ce que les énergies P1 et P2 sont calculées à partir des valeurs moyennes des échantillons numériques des signaux I et Q fournis aux sorties des convertisseurs analogiques numériques. 5. Indicator according to claim 4, characterized in that the energies P1 and P2 are calculated from the average values of the digital samples of the I and Q signals supplied to the outputs of the digital analog converters. 6. Indicateur selon l'une quelconque des revendications 1 6. Indicator according to any one of claims 1 à 5, caractérisé en ce que le signal E d'indication d'accrochage at 5, characterized in that the signal E of indication of attachment commande un démodulateur de données 12 couplé en sortie du premier démodulateur 4. controls a data demodulator 12 coupled to the output of the first demodulator 4.
FR8705264A1987-04-141987-04-14Digital indicator of latching of a Costas type phase lock loopWithdrawnFR2614155A1 (en)

Priority Applications (1)

Application NumberPriority DateFiling DateTitle
FR8705264AFR2614155A1 (en)1987-04-141987-04-14Digital indicator of latching of a Costas type phase lock loop

Applications Claiming Priority (1)

Application NumberPriority DateFiling DateTitle
FR8705264AFR2614155A1 (en)1987-04-141987-04-14Digital indicator of latching of a Costas type phase lock loop

Publications (1)

Publication NumberPublication Date
FR2614155A1true FR2614155A1 (en)1988-10-21

Family

ID=9350091

Family Applications (1)

Application NumberTitlePriority DateFiling Date
FR8705264AWithdrawnFR2614155A1 (en)1987-04-141987-04-14Digital indicator of latching of a Costas type phase lock loop

Country Status (1)

CountryLink
FR (1)FR2614155A1 (en)

Cited By (2)

* Cited by examiner, † Cited by third party
Publication numberPriority datePublication dateAssigneeTitle
EP0369406A3 (en)*1988-11-151992-01-22Nec CorporationCoherent psk demodulator using bit error rate and s/n ratio to establish synchronization
EP0729230A1 (en)*1995-02-211996-08-28Tait Electronics LimitedZero intermediate frequency receiver

Citations (1)

* Cited by examiner, † Cited by third party
Publication numberPriority datePublication dateAssigneeTitle
US4087628A (en)*1975-06-271978-05-02E-Systems, Inc.Carrier lock detector

Patent Citations (1)

* Cited by examiner, † Cited by third party
Publication numberPriority datePublication dateAssigneeTitle
US4087628A (en)*1975-06-271978-05-02E-Systems, Inc.Carrier lock detector

Non-Patent Citations (2)

* Cited by examiner, † Cited by third party
Title
IEE PROCEEDINGS SECTION A à I, vol. 131, no. 6, partie F, octobre 1984, pages 570-576, Old Woking, Surrey, GB; C.P. ASH: "Digital implementation of a narrowband satellite receiver"*
IEEE TRANSACTIONS ON COMMUNICATIONS, vol. COM-26, no. 1, janvier 1978, pages 1-12, New York, US; G.L. HEDIN et al.: "Theory of false lock in costas loops"*

Cited By (3)

* Cited by examiner, † Cited by third party
Publication numberPriority datePublication dateAssigneeTitle
EP0369406A3 (en)*1988-11-151992-01-22Nec CorporationCoherent psk demodulator using bit error rate and s/n ratio to establish synchronization
EP0729230A1 (en)*1995-02-211996-08-28Tait Electronics LimitedZero intermediate frequency receiver
US5715281A (en)*1995-02-211998-02-03Tait Electronics LimitedZero intermediate frequency receiver

Similar Documents

PublicationPublication DateTitle
US4090145A (en)Digital quadrature demodulator
US5757862A (en)Demodulator, modulation and demodulation system, and demodulation method
EP0718971B1 (en)Receiver with automatic frequency control
US5052050A (en)Direct conversion FM receiver
US5301210A (en)Coherent demodulating device with carrier wave recovering digital circuit
EP0674387B1 (en)Automatic frequency control method and apparatus therefor
EP0178720A1 (en)Circuit arrangement for the reception of digital data with an adaptive clock recovery circuit
US5982821A (en)Frequency discriminator and method and receiver incorporating same
US4048572A (en)Adaptive correction of phase errors in noncoherent demodulation of carrier asymmetrically modulated with digital signals
EP0717538A2 (en)Frequency burst detector apparatus and method for a wireline communication system
EP0692896A1 (en)QAM carrier recovery
US5748682A (en)Oscillator frequency offset error estimator for communications systems
IL107656A (en)Demodulator
US5914985A (en)Digital demodulator
KR100586279B1 (en)Sampling control loop for a receiver for digitally transmitted signals
FR2614155A1 (en)Digital indicator of latching of a Costas type phase lock loop
US5506873A (en)Demodulator for a phase shift keying (PSK) signal
US10924311B1 (en)Multi-standard BCPM demodulator using Viterbi algorithm
FR2505111A1 (en) CARRIER RECOVERY DEVICE FOR 16-STATE AMPLITUDE AND PHASE MODULATION AND DIGITAL DATA RECEIVING SYSTEM COMPRISING SUCH A DEVICE
US4794624A (en)Method for clock synchronization of a signal receiver
US6208617B1 (en)Channel tracking in a mobile receiver
EP1060601B1 (en)Demodulator having rotation means for frequency offset correction
US6002725A (en)M-ary FSK receiver
EP0822689B1 (en)Carrier recovery in a PSK receiver
US5533068A (en)Frequency error detecting device capable of correctly detecting a frequency error between a carrier frequency and a standard frequency

Legal Events

DateCodeTitleDescription
STNotification of lapse

[8]ページ先頭

©2009-2025 Movatter.jp