Movatterモバイル変換


[0]ホーム

URL:


FR2574407A1 - New pyrrolo[2,3-d]pyrimidine derivatives, a process for preparing them and pharmaceutical compositions containing them. - Google Patents

New pyrrolo[2,3-d]pyrimidine derivatives, a process for preparing them and pharmaceutical compositions containing them.
Download PDF

Info

Publication number
FR2574407A1
FR2574407A1FR8418991AFR8418991AFR2574407A1FR 2574407 A1FR2574407 A1FR 2574407A1FR 8418991 AFR8418991 AFR 8418991AFR 8418991 AFR8418991 AFR 8418991AFR 2574407 A1FR2574407 A1FR 2574407A1
Authority
FR
France
Prior art keywords
amino
halogen atom
general formula
dihydroxy
radical
Prior art date
Legal status (The legal status is an assumption and is not a legal conclusion. Google has not performed a legal analysis and makes no representation as to the accuracy of the status listed.)
Granted
Application number
FR8418991A
Other languages
French (fr)
Other versions
FR2574407B1 (en
Inventor
Emile Bisagni
Michel Legraverend
Current Assignee (The listed assignees may be inaccurate. Google has not performed a legal analysis and makes no representation or warranty as to the accuracy of the list.)
Rhone Poulenc Sante SA
Original Assignee
Rhone Poulenc Sante SA
Priority date (The priority date is an assumption and is not a legal conclusion. Google has not performed a legal analysis and makes no representation as to the accuracy of the date listed.)
Filing date
Publication date
Application filed by Rhone Poulenc Sante SAfiledCriticalRhone Poulenc Sante SA
Priority to FR8418991ApriorityCriticalpatent/FR2574407B1/en
Publication of FR2574407A1publicationCriticalpatent/FR2574407A1/en
Application grantedgrantedCritical
Publication of FR2574407B1publicationCriticalpatent/FR2574407B1/en
Expiredlegal-statusCriticalCurrent

Links

Classifications

Landscapes

Abstract

New pyrrolo[2,3-d]pyrimidine derivatives of general formula (I) in which X represents a halogen atom, a hydroxyl, amino, alkylamino, mercapto or alkylthio radical and R represents a (1 alpha , 2 alpha , 3 alpha , 4 alpha )-2,3-dihydroxy-4-hydroxymethyl-1-cyclopentyl, (1 alpha , 2 alpha , 3 beta , 4 alpha )-2,3-dihydroxy-4-hydroxymethyl-1-cyclopentyl or (1 alpha , 2 beta , 3 beta , 4 alpha )-2,3-dihydroxy-4-hydroxymethyl-1-cyclopentyl radical, their preparation and compositions containing them. The new derivatives of general formula (I) possess remarkable antiviral properties.

Description

Translated fromFrench

La présente invention concerne de nouveaux dérivés de la pyrrolo(2,3-dJ pyrimidine de formule générale

Figure img00010001

leur préparation et les compositions qui les contiennent.The present invention relates to novel pyrrolo (2,3-d) pyrimidine derivatives of the general formula
Figure img00010001

their preparation and the compositions that contain them.

Dans la formule générale (I),
X représente un atome d'halogène, de préférence un atome de chlore, ou un radical hydroxy, amino, alcoylamino dont la partie alcoyle contient 1 à 4 atomes de carbone, de préférence un radical méthylamino, mercapto ou alcoylthio dont la partie alcoyle contient l à 4 atomes de carbone, de préférence un radical méthylthio, et R représente un radical (la,2a,3g,4a)-dihydroxy-2,3 hydroxy méthyl-4 cyclopentyl-1, (la, 3a, 4a) -dihydroxy-2,3 hydroxyméthyl-4 cyclopentyl-l ou (1α,2ss,3ss, 4x)-dihydroxy-2,3 hydroxyméthyl-4 cyclopentyl-1.
In the general formula (I),
X represents a halogen atom, preferably a chlorine atom, or a hydroxy, amino, alkylamino radical whose alkyl part contains 1 to 4 carbon atoms, preferably a methylamino, mercapto or alkylthio radical, the alkyl part of which contains 1 to 4 carbon atoms, preferably a methylthio radical, and R represents a radical (1a, 2a, 3g, 4a) -dihydroxy-2,3-hydroxy-methyl-4-cyclopentyl-1, (la, 3a, 4a) -dihydroxy- 2,3-hydroxymethyl-4-cyclopentyl-1 or (1α, 2ss, 3ss, 4x) -dihydroxy-2,3-hydroxymethyl-4-cyclopentyl.

Il est connu que certains dérivés d'analogues carbocycliques de nucleosides de purines ou azapurines substituées présentent des propriétés antivirales en particulier sur le virus de l'herpes {R. Lee et R. Vince, J. of Pharm. Sci., 69 (9) 1019-1021 (1980) ; Y.F. Shealy et coll., J. Med. Chem., 27, 670-674 (1984)1. Cependant ces produits présentent souvent, à côté de leur activité antivirale, un effet cytostatique néfaste. It is known that certain carbocyclic analog derivatives of purine nucleosides or substituted azapurines have antiviral properties, in particular on the herpesvirus (R. Lee and R. Vince, J. of Pharm. Sci., 69 (9) 1019-1021 (1980); Y.F. Shealy et al., J. Med. Chem., 27, 670-674 (1984) 1. However, these products often have, alongside their antiviral activity, a harmful cytostatic effect.

Il a maintenant été trouvé, et c'est ce qui constitue un objet de la présente invention, que les produits de formule générale (I) présentent une activité antivirale remarquable associée à une faible cytotoxicité. It has now been found, and this is an object of the present invention, that the products of general formula (I) exhibit remarkable antiviral activity associated with low cytotoxicity.

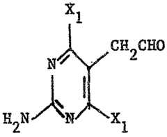
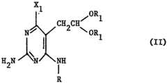
Selon la présente invention, les nouveaux dérivés de formule générale (I), dans laquelle X représente un atome d'halogène peuvent être obtenus par cyclisation d'un dérivé de la pyrimidine de formule générale

Figure img00020001

dans laquelle X1 représente un atome d'halogène, de préférence un atome de chlore, R est défini comme précédemment et R1 représente un radical alcoyle contenant 1 à 4 atomes de carbone.According to the present invention, the new derivatives of general formula (I), in which X represents a halogen atom can be obtained by cyclization of a pyrimidine derivative of general formula
Figure img00020001

in which X 1 represents a halogen atom, preferably a chlorine atom, R is defined as above and R 1 represents an alkyl radical containing 1 to 4 carbon atoms.

Généralement, la cyclisation du produit de formule générale (II) est effectuée au moyen d'une solution aqueuse d'un acide minéral, tel que l'acide chlorhydrique, en opérant à une température comprise entre 0 et 409C. La réaction est généralement complète après une période d'agitation comprise entre 1 et 4 jours. Generally, the cyclization of the product of general formula (II) is carried out by means of an aqueous solution of a mineral acid, such as hydrochloric acid, operating at a temperature between 0 and 409C. The reaction is generally complete after a stirring period of between 1 and 4 days.

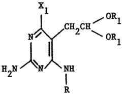
Le produit de formule générale (II) peut être obtenu par action d'un amino-3 hydroxyméthyl-5 cyclopentanediol-1,2 de formule générale
R - NH2 (III) dans laquelle R est défini comme précédemment sur un dérivé de la pyrimidine de formule générale

Figure img00020002

dans laquelle X1 et R1 sont définis comme précédemment.The product of general formula (II) can be obtained by the action of a 3-amino-5-hydroxymethyl-1,2-cyclopentanediol of general formula
R - NH 2 (III) in which R is defined as above on a pyrimidine derivative of general formula
Figure img00020002

wherein X1 and R1 are defined as above.

Généralement, la réaction est effectuée par chauffage dans un alcool aliphatique inférieur, tel que le butanol en présence d'un accepteur d'acide tel que la triéthylamine. Generally, the reaction is carried out by heating in a lower aliphatic alcohol, such as butanol in the presence of an acid acceptor such as triethylamine.

Le dérivé de la pyrimidine de formule générale (IV) peut être obtenu par acétalisation de l'aldéhyde de formule générale :

Figure img00030001

au moyen d'un alcool de formule générale
R1 - OH (VI) dans laquelle R1 est défini comme précédemment en opérant en présence d'un sel d'ammonium tel que le chlorure d'ammonium à la température de reflux du mélange réactionnel.The pyrimidine derivative of general formula (IV) can be obtained by acetalization of the aldehyde of general formula:
Figure img00030001

by means of an alcohol of general formula
R1 - OH (VI) wherein R1 is defined as above operating in the presence of an ammonium salt such as ammonium chloride at the reflux temperature of the reaction mixture.

L'aldéhyde de formule générale (V) peut etre obtenue par ozonolyse d'un produit de formule générale

Figure img00030002

dans laquelle X1 est défini comme précédemment, suivie de la réduction de l'ozonide obtenu.The aldehyde of general formula (V) can be obtained by ozonolysis of a product of general formula
Figure img00030002

wherein X1 is defined as above, followed by the reduction of the ozonide obtained.

Généralement, ltozonolyse est effectuée a une température inférieure a -500C et de préférence voisine de -780C en opérant dans un solvant organique choisi parmi les esters (acétate de méthyle ou d'éthyle) et les alcools (méthanol) ou leurs mélanges. Generally, ltozonolysis is carried out at a temperature below -500C and preferably close to -780C operating in an organic solvent selected from esters (methyl or ethyl acetate) and alcohols (methanol) or mixtures thereof.

La réduction de l'ozonide peut être effectuée par action d'iodure de sodium et d'acide acétique puis du thiosulfate de sodium selon la méthode décrite par J.A. Montgomery et K. Hewson,
J. Med. Chem., 10, 665 (1967).
The reduction of the ozonide can be carried out by the action of sodium iodide and acetic acid and then sodium thiosulphate according to the method described by JA Montgomery and K. Hewson,
J. Med. Chem., 10, 665 (1967).

Le produit de formule générale (VII) peut être obtenu par halogénation de l'allyl-5 amino-2 dihydroxy-4,6 pyrimidine au moyen d'un oxyhalogénure de phosphore, de préférence l'oxychlorure de phosphore en présence d'un pentahalogénure de phosphore, de préférence le pentachlorure de phosphore en présence d'une amine tertiaire telle que la triéthylaniline en opérant à une température comprise entre 100 et 1500C. The product of general formula (VII) can be obtained by halogenation of allyl-5-amino-2-dihydroxy-4,6-pyrimidine by means of a phosphorus oxyhalide, preferably phosphorus oxychloride in the presence of a pentahalide phosphorus, preferably phosphorus pentachloride in the presence of a tertiary amine such as triethylaniline operating at a temperature between 100 and 1500C.

L'allyl-5 amino-2 dihydroxy-4,6 pyrimidine peut etre obtenue par action de l'allylmalonate d'éthyle sur le chlorhydrate de guanidine en opérant dans un alcool (éthanol) en présence d'un alcoolate de métal alcalin (éthylate de sodium) à une température comprise entre 0 et 500C. Allyl-5-amino-2-dihydroxy-4,6-pyrimidine can be obtained by the action of ethyl allylmalonate on guanidine hydrochloride by operating in an alcohol (ethanol) in the presence of an alkali metal alcoholate (ethylate sodium) at a temperature between 0 and 500C.

Selon la nature des substituants R et R1, les produits de formule générale (III) peuvent être obtenus selon des méthodes connues. Depending on the nature of the substituents R and R 1, the products of general formula (III) can be obtained according to known methods.

Ainsi, le (#)-(1α,2ss,3ss,5ss)-AMINO-3 hydroxyméthyl-5 cyclopentanediol-1,2 peut être obtenu selon R. Vince et S. Daluge,
J. Med. Chem.,- 20, 612 (1977) par hydrolyse du tétracétate.
Thus, the (#) - (1α, 2ss, 3ss, 5ss) -AMINO-3-hydroxymethyl-5-cyclopentanediol can be obtained according to R. Vince and S. Daluge,
J. Med. Chem., 20, 612 (1977) by hydrolysis of tetracetate.

Ainsi, le (+)-(la,2a,3a,5a)-amino-3 hydroxyméthyl-5 cyclopentanediol-112 et le (#)-(1α,2α,3ss,5ss)-AMINO-3 hydroxyméthyl-5 cyclopentanediol-1,2 peuvent être obtenus selon R. Vince et S. Daluge, J. Org. Chem., 45, 531 (1980). Thus, (+) - (1a, 2a, 3a, 5a) -amino-3-hydroxymethyl-5-cyclopentanediol-112 and (#) - (1α, 2α, 3ss, 5ss) -AMINO-3-hydroxymethyl-5 cyclopentanediol-1,2 can be obtained according to R. Vince and S. Daluge, J. Org. Chem., 45, 531 (1980).

Selon la présente invention, les produits de formule générale (I) dans laquelle X représente un atome d'halogène et R représente un radical (1α,2ss,3ss,4α)-dihydroxy-2,3 hydroxyméthyl-4 cyclopentyl-l peuvent être obtenus par action du (+)-(1o,2a,3g,5ss)- amino-3 hydroxyméthyl-5 cyclopentanediol-1,2 sur l'aldéhyde de formule générale (V) dans laquelle X1 est défini comme précédemment en opérant dans un solvant organique tel que le butanol en présence d'un accepteur d'acide tel que la triéthylamine à une température voisine de 800C. According to the present invention, the products of general formula (I) in which X represents a halogen atom and R represents a radical (1α, 2ss, 3ss, 4α) -dihydroxy-2,3-hydroxymethyl-4-cyclopentyl-1 can be obtained by the action of (+) - (1o, 2a, 3g, 5ss) - 3-amino-5-hydroxymethyl-cyclopentanediol-1,2 on the aldehyde of general formula (V) in which X1 is defined as above by operating in an organic solvent such as butanol in the presence of an acid acceptor such as triethylamine at a temperature of 800C.

Selon l'invention, les produits de formule générale (I) dans laquelle X représente un radical hydroxy, amino, alcoylamino, mercapto ou alcoylthio peuvent etre obtenus à partir d'un produit de formule générale (I) dans laquelle X représente un atome d'halogene selon les méthodes connues qui permettent le remplacement d'un atome d'halogène par un radical hydroxy, amino, alcoylamino, mercapto ou alcoylthio. According to the invention, the products of general formula (I) in which X represents a hydroxyl, amino, alkylamino, mercapto or alkylthio radical can be obtained from a product of general formula (I) in which X represents an atom of halogen according to known methods which allow the replacement of a halogen atom with a hydroxy, amino, alkylamino, mercapto or alkylthio radical.

Ainsi, les produits de formule générale (I) dans laquelle
X représente un radical hydroxy peuvent être obtenus par hydrolyse du produit de formule générale (I) dans laquelle X représente un atome d'halogène par chauffage au reflux en milieu aqueux acide tel que l'acide chlorhydrique 2N.
Thus, the products of general formula (I) in which
X represents a hydroxyl radical can be obtained by hydrolysis of the product of general formula (I) wherein X represents a halogen atom by refluxing in an acidic aqueous medium such as hydrochloric acid 2N.

Les produits de formule générale.(I) dans laquelle X représente un radical amino ou alcoylamino peuvent être obtenus par action de l'ammoniac ou d'une amine primaire sur un produit de formule générale (I) dans laquelle X représente un atome d'halogène en opérant a une température voisine de 80"C. The products of general formula (I) in which X represents an amino or alkylamino radical may be obtained by the action of ammonia or a primary amine on a product of general formula (I) in which X represents an atom of halogen while operating at a temperature of about 80 ° C.

Les produits de formule générale (I) dans laquelle X représente un radical mercapto peuvent être obtenus par action de la thiourée sur un produit de formule générale (I) dans laquelle X représente un atome d'halogène en opérant dans un alcool (isopropanol) a la température de reflux du mélange réactionnel. The products of general formula (I) in which X represents a mercapto radical can be obtained by the action of thiourea on a product of general formula (I) in which X represents a halogen atom by operating in an alcohol (isopropanol) a the reflux temperature of the reaction mixture.

Les produits de formule générale (I) dans laquelle X représente un radical alcoylthio peuvent être obtenus par action d'un sel de métal alcalin d'un mercaptan en opérant dans un solvant organique tel qu'un alcool ou un thiol ou leurs mélanges, a une température supérieure a 1000C. The products of general formula (I) in which X represents an alkylthio radical can be obtained by the action of an alkali metal salt of a mercaptan by operating in an organic solvent such as an alcohol or a thiol or mixtures thereof, a a temperature above 1000C.

Les produits de formule générale (I) obtenus selon les procédés de la présente invention peuvent être isolés du mélange réactionnel selon les techniques habituelles de séparation et ils peuvent être purifiés par application des méthodes physicochimiques telles que la cristallisation ou la chromatographie. The products of general formula (I) obtained according to the processes of the present invention can be isolated from the reaction mixture according to the usual separation techniques and they can be purified by application of physicochemical methods such as crystallization or chromatography.

Les nouveaux produits de formule générale (I) manifestent une activité antivirale particulièrement remarquable. En particulier, ils présentent des propriétés inhibitrices de la multiplication des virus de l'herpès (HSV1 et HSV2) a des concentrations comprises entre 20 et 100 pglcm3 pour lesquelles ne se manifeste pas d'effet cytotoxique. The new products of general formula (I) exhibit a particularly remarkable antiviral activity. In particular, they have inhibitory properties of the multiplication of herpes viruses (HSV1 and HSV2) at concentrations of between 20 and 100 μg / cm 3 for which there is no evidence of a cytotoxic effect.

Chez la souris immuno-déprimée infectée par le virus de l'herpès, les produits selon la présente invention, à une dose comprise entre 5 et 50 mg/kg par voie orale ou intrapéritonéale, ont un effet protecteur significatif vis- -vis de la mortalité et ils augmentent le temps moyen de survie. In the immuno-depressed mouse infected with the herpes virus, the products according to the present invention, at a dose of between 5 and 50 mg / kg orally or intraperitoneally, have a significant protective effect vis-à-vis the mortality and they increase the average survival time.

Les exemples suivants, donnés a titre non limitatif, montrent comment l'invention peut être mise en pratique. The following examples, given in a non-limiting manner, show how the invention can be put into practice.

EXEMPLE 1
a) Un mélange de 1,0 g (3,17 m.moles) de (#)-(1α,2ss,3ss, 5ss)-amino-3 hydroxyméthyl-5 cyclopentanediol-1,2 et de 0,9 g (3,2 m.moles) d'amino-2 dichloro-4,6 (diéthoxy-2,2 éthyl)-5 pyrimidine dans 40 cm3 de butanol-1 contenant 3 cm3 de triéthylamine est chauffé a 1000C pendant 2 jours sous atmosphère d'argon.
EXAMPLE 1
a) A mixture of 1.0 g (3.17 mmol) of (#) - (1α, 2ss, 3ss, 5ss) -amino-3-hydroxymethyl-5-cyclopentanediol and 0.9 g (3.2 mmol) of 2-amino-4,6-dichloro-2- (2-diethoxyethyl) pyrimidine in 40 cm3 of butanol-1 containing 3 cm3 of triethylamine is heated at 1000C for 2 days in an atmosphere argon.

Le mélange réactionnel est concentré a sec sous pression réduite (5 mm de mercure ; 0,67 kPa) a une température inférieure ou égale a 50 C. Le résidu est chromatographié sur une colonne de gel de silice (diamètre : 1,1 cm ; hauteur : 28 cm). The reaction mixture is concentrated to dryness under reduced pressure (5 mm of mercury, 0.67 kPa) at a temperature of less than or equal to 50 ° C. The residue is chromatographed on a column of silica gel (diameter: 1.1 cm; height: 28 cm).

L'élution par un mélange chloroforme-éthanol (95-5 en volumes) fournit le (#)-(1α,2ss,3ss,5ss)-[[amino-2 chloro-4 (diéthoxy-2,2 éthyl)-5 pyrimidinyl-6 amino3-3 (hydroxyméthyl)-5 cyclopentanediol-1,2 sous forme d'une huile incolore avec un rendement de 42 Z. Elution with a chloroform-ethanol mixture (95-5 by volume) gives (#) - (1α, 2ss, 3ss, 5ss) - [[2-amino-4-chloro-2,2-diethoxyethyl] 6-Pyrimidinyl-3-amino-3- (hydroxymethyl) -5-cyclopentanediol as a colorless oil with a yield of 42%.

La structure du produit obtenu est confirmée par - l'analyse élémentaire quantitative (C16H27N405Cl) calc. Z C 49,11 H 6,91 N 14,34 Cl 9,09 tr. 49,08 7,21 14,22 9,25 - le spectre de résonance magnétique nucléaire du proton (100 MHz diméthylsulfoxyde-d6 ; référence : tétraméthylsilane ; déplacements chimiques en ppm) 6,25 (s, 2H) ; 6,22 Cd > 1H) ; 5,05 (d, 1H) ; 4,73 Cd > 1H) ; 4,40 (m, 3H) ; 3,48 (m, 8H) ; 2,72 (m, 2H) ; 1,99 (m, 2H) ; 1,21 (m, 7H). The structure of the product obtained is confirmed by - quantitative elemental analysis (C16H27N405Cl) calc. Z C 49.11 H 6.91 N 14.34 Cl 9.09 tr. 49.08 7.21 14.22 9.25 - the proton nuclear magnetic resonance spectrum (100 MHz dimethylsulfoxide-d6, reference: tetramethylsilane, chemical shifts in ppm) 6.25 (s, 2H); 6.22 Cd> 1H); 5.05 (d, 1H); 4.73 Cd> 1H); 4.40 (m, 3H); 3.48 (m, 8H); 2.72 (m, 2H); 1.99 (m, 2H); 1.21 (m, 7H).

b) On agite pendant 3 jours, a une température voisine de 20 C, une solution de 0,5 g (1,28 m.moles) du produit obtenu précédemment dans 40 cm3 d'une solution aqueuse d'acide chlorhydrique O,2N. Le mélange réactionnel est neutralisé par addition d'ammoniaque concentrée puis il est concentré à sec sous pression réduite (5 mm de mercure ; 0,67 kPa) a une température inférieure ou égale a 500C. Le résidu est dissous dans 200 cm3 d'acétate d'éthyle. La solution obtenue est lavée avec 3 fois 50 cm3 d'eau. b) A solution of 0.5 g (1.28 mmol) of the product obtained above in 40 cm 3 of a 0.2 N aqueous solution of hydrochloric acid is stirred for 3 days at a temperature in the region of 20 ° C. . The reaction mixture is neutralized by adding concentrated ammonia and then concentrated to dryness under reduced pressure (5 mm Hg, 0.67 kPa) at a temperature of less than or equal to 500C. The residue is dissolved in 200 cm3 of ethyl acetate. The solution obtained is washed with 3 times 50 cm3 of water.

Les phases organiques sont séchées sur sulfate de magnésium. Après filtration et évaporation du solvant, le résidu obtenu est cristallisé dans l'éthanol. On obtient ainsi le (#)-(1α,2ss,3ss,5ss)-(amino-2 chloro-4 7H-pyrrolo[2,3-d] pyrimidinyl-7)-3 cyclopentanediol-1 ,2 fondant a 2280C, avec un rendement de 69 Z.The organic phases are dried over magnesium sulfate. After filtration and evaporation of the solvent, the residue obtained is crystallized in ethanol. The (#) - (1α, 2ss, 3ss, 5ss) - (2-amino-4-chloro-7H-pyrrolo [2,3-d] pyrimidin-7-yl) -3-cyclopentanediol melting at 22 ° C. is thus obtained. , with a yield of 69 Z.

La structure du produit obtenu est confirmée par - l'analyse élémentaire quantitative (C12H15N4O3Cl) calc. % C 48,24 H 5,02 N 18,76 C1 11,89 tr. 48,51 4,86 18,77 12,03 - le spectre ultra-violet
X max = 237, 264 et 314 nm (31400, 3500, 5300) - le spectre de résonance magnétique nucléaire du proton (100 MHz diméthylsulfoxyde-d6 ; référence : tétraméthylsilane s déplacements chimiques en ppm) 7,28 (d, 1H, J = 3,9 Hz) ; 6,57 (s, 2H) ; 6,29 Cd > 1H, J = 3,9 Hz); 5,04 (m, 1H) ; 5,03 Cd > 1H, J = 5 Hz) ; 4,94 (d, 1H, J = 4 Hz) ; 4,67 (t, 1H, J = 5 Hz) ; 3,84 (m, -1H) ; 3,73 (m, 1H) ; 3,55 (m, 2H) ; 2,00 (m, 3H).
The structure of the product obtained is confirmed by - quantitative elemental analysis (C12H15N4O3Cl) calc. % C 48.24 H 5.02 N 18.76 C1 11.89 tr. 48.51 4.86 18.77 12.03 - the ultra violet spectrum
X max = 237, 264 and 314 nm (31400, 3500, 5300) - the nuclear magnetic resonance spectrum of the proton (100 MHz dimethylsulfoxide-d6, reference: tetramethylsilane s chemical shifts in ppm) 7.28 (d, 1H, J = 3.9 Hz); 6.57 (s, 2H); 6.29 Cd> 1H, J = 3.9 Hz); 5.04 (m, 1H); 5.03 Cd> 1H, J = 5 Hz); 4.94 (d, 1H, J = 4 Hz); 4.67 (t, 1H, J = 5 Hz); 3.84 (m, -1H); 3.73 (m, 1H); 3.55 (m, 2H); 2.00 (m, 3H).

L'amino-2 dichloro-4,6 (diéthoxy-2,2 éthyl)-5 pyrimidine peut être préparée de la manière suivante
On chauffe au reflux pendant 3 heures un mélange de 2 g (9,7 m.moles) d'(amino-2 dichloro-4,6 pyrimidinyl-5) acétaldéhyde et de 53,5 mg (1 m.mole) de chlorure d'ammonium dans 40 cm3 d'éthanol absolu. Le mélange réactionnel est concentré a sec sous pression réduite (5 mm de mercure ; 0,67 kPa) à une température inférieure ou égale à 500C. Le résidu est dissous dans l'hexane chaud. Après traitement au noir décolorant, filtration et refroidissement, on obtient l'amino-2 dichloro-4,6 (diéthoxy-2 éthyl)-5 pyrimidine fondant a 146-148 C, avec un rendement de 77 g.
2-Amino-4,6-dichloro-2- (2-diethoxyethyl) pyrimidine can be prepared in the following manner
A mixture of 2 g (9.7 mmol) of (2-amino-4,6-dichloropyrimidinyl) acetaldehyde and 53.5 mg (1 mmol) of chloride is refluxed for 3 hours. of ammonium in 40 cm3 of absolute ethanol. The reaction mixture is concentrated to dryness under reduced pressure (5 mm Hg, 0.67 kPa) at a temperature of less than or equal to 500C. The residue is dissolved in hot hexane. After bleaching, filtration and cooling, 2-amino-4,6-dichloro-2- (2-diethoxyethyl) pyrimidine, m.p. 146-148 ° C., was obtained in a yield of 77 g.

La structure du produit obtenu est confirmée par -l'analyse élémentaire quantitative (C10H15N3O2Cl2) calc. Z C 42,85 H 5,35 N 15*00 Cl 25,35 tr. 42,56 5,12 15,36 25,23 - le spectre ultra-violet
A nax = 304 et 238 nm (4500, 18300) - le spectre de résonance magnétique nucléaire du proton (100 MHz ; diméthylsulfoxyde-d6 ; références : tétraméthylsilane ; déplacements chimiques en ppm) 7,36 (s, 2H) ; 4,68 (t, 1H) ; 3,54 (m, 4H) ; 2,93 (d, 2H) ; 1,08 (t, 6H).
The structure of the product obtained is confirmed by the quantitative elemental analysis (C10H15N3O2Cl2) calc. ZC 42.85 H 5.35 N 15 * 00 Cl 25.35 tr. 42.56 5.12 15.36 25.23 - the ultraviolet spectrum
A nax = 304 and 238 nm (4500, 18300) - proton nuclear magnetic resonance spectrum (100 MHz, d6-dimethylsulfoxide, references: tetramethylsilane, chemical shifts in ppm) 7.36 (s, 2H); 4.68 (t, 1H); 3.54 (m, 4H); 2.93 (d, 2H); 1.08 (t, 6H).

L'(amino-2 dichloro-4,6 pyrimidinyl-5) acétaldéhyde peut être prépare de la manière suivante
Une solution de 3 g (14,7 m.moles) d'allyl-5 amino-2 dichloro-4,5 pyrimidine dans un mélange de 100 cm3 d'acétate d'éthyle et de 30 cm3 de méthanol est ozonisée a -78 C pendant 2 heures 30 minutes environ en utilisant un appareil qui fournit 5 Z d'ozone à un débit de 1 litre/minute. Quand tout l'allyl-5 amino-2 dichloro-4,6 pyrimidine a disparu, le mélange réactionnel est balayé par un courant d'oxygène pendant 30 minutes. Au mélange réactionnel on ajoute simultanément 9,9 g d'iodure de sodium et 9,9 cm3 d'acide acétique glacial. On laisse la température monter au voisinage de 200C tout en agitant pendant 30 minutes. On ajoute une solution aqueuse de thiosulfate de sodium 67 g/litre jusqu'a décoloration du mélange réactionnel qui est alors dilué par 100 cm3 d'eau puis extrait avec 4 fois 100 cm3 de chlorure de méthylène.
(Amino-2-dichloro-4,6-pyrimidinyl) acetaldehyde can be prepared in the following manner
A solution of 3 g (14.7 mmol) of allyl-5-amino-2-dichloro-4,5-pyrimidine in a mixture of 100 cm3 of ethyl acetate and 30 cm3 of methanol is ozonized at -78. C for about 2 hours 30 minutes using a device that provides 5% ozone at a rate of 1 liter / minute. When all of the 5-allyl-2-amino-4,6-dichloropyrimidine has disappeared, the reaction mixture is flushed with oxygen for 30 minutes. 9.9 g of sodium iodide and 9.9 cm 3 of glacial acetic acid are added simultaneously to the reaction mixture. The temperature is allowed to rise to about 200C while stirring for 30 minutes. An aqueous solution of sodium thiosulfate (67 g / liter) is added until the reaction mixture is decolourized, which is then diluted with 100 cm3 of water and then extracted with 4 times 100 cm3 of methylene chloride.

Les extraits organiques réunis sont lavés successivement avec 4 fois 100 cm3 d'eau, 100 cm3 d'une solution aqueuse saturée de bicarbonate de sodium, 100 cm3 d'une solution aqueuse saturée de chlorure de sodium et 100 cm3 d'eau. Les phases organiques sont séchées sur sulfate de magnésium. Après filtration et évaporation du solvant, on obtient l'(amino-2 dichloro-4,6 pyrimidinyl-5) acétaldéhyde qui, auprès recristallisation dans le toluène, fond à 180-182 C.The combined organic extracts are washed successively with 4 times 100 cm3 of water, 100 cm3 of a saturated aqueous solution of sodium bicarbonate, 100 cm3 of a saturated aqueous solution of sodium chloride and 100 cm3 of water. The organic phases are dried over magnesium sulfate. After filtration and evaporation of the solvent, there is obtained (2-amino-4,6-dichloro-5-pyrimidinyl) acetaldehyde which, from recrystallization in toluene, melts at 180-182 C.

Le rendement est de 70 Z. The yield is 70 Z.

La structure du produit obtenu est confirmée par - l'analyse élémentaire quantitative (C6H5N3C12O) calc. % C 34,95 H 2,43 N 20,38 C1 34,46 tr. 34,77 2,70 19,96 34,36 - le spectre ultra-violet
X max = 304 et 237 nm (3700, 15200) - le spectre de résonance magnétique nucléaire du proton (100 MHz diméthylsulfoxyde-d6 ; référence : tétraméthylsilane ; déplacements chimiques en ppm) 9,70 (s, 1H) ; 7,50 (s, 2H) ; 3,93 (s, 2H).
The structure of the product obtained is confirmed by - quantitative elemental analysis (C6H5N3C12O) calc. % C 34.95 H 2.43 N 20.38 C1 34.46 tr. 34.77 2.70 19.96 34.36 - the ultra violet spectrum
X max = 304 and 237 nm (3700, 15200) - the nuclear magnetic resonance spectrum of the proton (100 MHz dimethylsulfoxide-d6, reference: tetramethylsilane, chemical shifts in ppm) 9.70 (s, 1H); 7.50 (s, 2H); 3.93 (s, 2H).

L'allyl-5 amino-2 dichloro-4,6 pyrimidine peut être préparée de la manière suivante
A une solution de 12,3 g (58,98 m.moles) de pentachlorure de phosphore dans 300 cm3 d'oxychlorure de phosphore à 600C on ajoute 9,8 g (55,9 m.moles) d'allyl-5 amino-2 dihydroxy-4,6 pyrimidine anhydre. On chauffe à 120 C puis on ajoute, goutte à goutte, une solution de 6 g de diéthylaniline dans 60 cm3 d'oxychlorure de phosphore. Le mélange réactionnel est chauffe au reflux pendant 4 heures puis il est concentré à sec. On ajoute lentement 200 cm3 d'eau chaude (T = 80 C) au résidu. La suspension obtenue est refroidie puis est extraite avec 3 fois 250 cm3 de chlorure de méthylène. Les extraits organiques réunis sont lavés à l'eau jusqu'à pH = 5 puis sont séchés sur sulfate de magnésium.Après filtration et évaporation du solvant, on obtient, avec un rendement de 57 %, l'allyl-5 amino-2 dichloro-4,6 pyrimidine fondant à 1820C après recristallisation dans le méthanol.
Allyl-5-amino-2-dichloro-4,6-pyrimidine can be prepared in the following manner
To a solution of 12.3 g (58.98 mmol) of phosphorus pentachloride in 300 cm3 of phosphorus oxychloride at 600 ° C. is added 9.8 g (55.9 mmol) of 5-allyl amino. -2,6-dihydroxy-pyrimidine anhydrous. The mixture is heated to 120 ° C. and then a solution of 6 g of diethylaniline in 60 cm 3 of phosphorus oxychloride is added dropwise. The reaction mixture is refluxed for 4 hours and then concentrated to dryness. 200 cm3 of hot water (T = 80 ° C.) are slowly added to the residue. The suspension obtained is cooled and is extracted with 3 times 250 cm3 of methylene chloride. The combined organic extracts are washed with water to pH = 5 and are then dried over magnesium sulphate. After filtration and evaporation of the solvent, allyl-5-amino-2-dichloro is obtained in a yield of 57%. -4.6 pyrimidine melting at 1820C after recrystallization from methanol.

La structure du produit obtenu est confirmée par - l'analyse élémentaire quantitative (C7H7N3C12) calc. % C 41,17 H 3,43 N 20,58 C1 34,80 tr. 41,39 3,47 20,46 34,71 - le spectre ultra-violet # max = 305 et 237 nm (4500, 19700) - le spectre de résonance magnétique nucléaire du proton (100 MHz diméthylsulfoxyde-d6 ; référence : tétraméthylsilane ; déplacements chimiques en ppm) 7,36 (s, 2H) ; 5,88 (m, 1H) ; 5,03 (m, 2H) ; 3,45 (m, 2H). The structure of the product obtained is confirmed by the quantitative elemental analysis (C7H7N3Cl2) calc. % C 41.17 H 3.43 N 20.58 C1 34.80 tr. 41.39 3.47 20.46 34.71 - the ultraviolet spectrum # max = 305 and 237 nm (4500, 19700) - the nuclear magnetic resonance spectrum of the proton (100 MHz dimethylsulfoxide-d6, reference: tetramethylsilane; chemical shifts in ppm) 7.36 (s, 2H); 5.88 (m, 1H); 5.03 (m, 2H); 3.45 (m, 2H).

L'allyl-5 amino-2 dihydroxy-4,6 pyrimidine peut etre préparée de la manière suivante
On ajoute 54 g (0,56 mole) de chlorhydrate de guanidine à 400 cm3 d'éthanol froid contenant 114,92 g (1,69 mole) d'éthylate de sodium. On agite pendant 10 minutes à 50C puis on ajoute 110 g (0,56 mole) d'allylmalonate d'éthyle. Le mélange réactionnel est agité pendant 18 heures à une température voisine de 200C. Le mélange réactionnel est acidifié par addition d'acide chlorhydrique concentré. Le produit brut qui précipite est séparé par filtration.
Allyl-5-amino-2-dihydroxy-4,6-pyrimidine can be prepared in the following manner
54 g (0.56 moles) of guanidine hydrochloride are added to 400 cm3 of cold ethanol containing 114.92 g (1.69 moles) of sodium ethoxide. The mixture is stirred for 10 minutes at 50 ° C. and then 110 g (0.56 mol) of ethyl allyl malonate are added. The reaction mixture is stirred for 18 hours at a temperature of 200C. The reaction mixture is acidified by the addition of concentrated hydrochloric acid. The crude product which precipitates is separated by filtration.

Après recristallisation dans l'eau, on obtient 60,4 g d'allyl-5 amino-2 dihydroxy-4,6 pyrimidine fondant a 272 C.After recrystallization from water, 60.4 g of 2-allyl-2-amino-4,6-dihydroxy pyrimidine, melting at 272 ° C., are obtained.

Le rendement est de 64 Z. The yield is 64 Z.

structure du produit obtenu est confirmée par - l'analyse élémentaire quantitative (C7H9N3O2, 1/2 H2O) calc. Z C 47,72 H 5,72 N 23,85 tr. 47,61 6,03 23,87 - le spectre ultra-violet
X max 2 266 nm (15500) - le spectre de résonance magnétique nucléaire du proton (100 MHz ; diméthylsulfoxyde-d6 ; référence : tétraméthylsilane ; déplacements chimiques en ppm): 6,37 (s, 2H) ; 5,80 (m, 1H) ; 5,00 (m, 1H) ; 4,84 (m, 1H) ; 3,33 (large) ; 2,90 (double triplet, 2H).
structure of the product obtained is confirmed by - quantitative elemental analysis (C7H9N3O2, 1/2 H2O) calc. ZC 47.72 H 5.72 N 23.85 tr. 47.61 6.03 23.87 - the ultra violet spectrum
Max 2266 nm (15500) - the proton nuclear magnetic resonance spectrum (100 MHz, d6-dimethylsulfoxide, reference: tetramethylsilane, chemical shifts in ppm): 6.37 (s, 2H); 5.80 (m, 1H); 5.00 (m, 1H); 4.84 (m, 1H); 3.33 (broad); 2.90 (double triplet, 2H).

EXEMPLE 2
a) On chauffe a 1000C pendant 2 jours sous atmosphère d'argon un mélange de 555 mg (3,7 m.moles) de (#)-(1α,2α,3α,5α)- amino-3 hydroxyméthyl-5 cyclopentanediol-1,2 et de 1 g (3,7 m.moles) d'amino-2 dichloro-4,6 (diéthoxy-2,2 éthyl)-5 pyrimidine dans 40 cm3 de butanol-l contenant 3 cm3 de triéthylamine. Le mélange réactionnel est traité dans les conditions de l'exemple 1. On obtient, avec un rendement de 50 %, le (#)-(1α,2α,3α,5α)- [[amino-2 chloro-4 (diéthoxy-2,2 éthyl)-5 pyrimidinyl-6] amino]-3 (hydroxyméthyl)-5 cyclopentanediol-1,2 sous forme d'une huile incolore.
EXAMPLE 2
a) A mixture of 555 mg (3.7 mmoles) of (#) - (1α, 2α, 3α, 5α) -amino-3-hydroxymethyl is heated at 1000 ° C. for 2 days under an argon atmosphere. Cyclopentanediol-1,2 and 1 g (3.7 mmol) of 2-amino-4,6-dichloro-2- (2-diethoxyethyl) pyrimidine in 40 cm3 of butanol-1 containing 3 cm3. of triethylamine. The reaction mixture is treated under the conditions of Example 1. In a yield of 50%, the (#) - (1α, 2α, 3α, 5α) - [[2-amino-chloro] 4- (2,2-Diethoxyethyl) -5-pyrimidinyl] amino] -3 (hydroxymethyl) -5-cyclopentanediol as a colorless oil.

La structure du produit obtenu est confirmée par - l'analyse élémentaire quantitative (C16H27N4O5Cl) calc. % C 49,11 H 6,91 N 14,34 Ci 9,99 tr. 48,98 6,94 14,34 8,94 - le spectre de résonance magnétique nucléaire du proton (100 MHz ; diméthylsulfoxyde-d6 ; référence : tétraméthylsilane ; déplacements chimiques en ppm) 6,30 (d, 1H) ; 6,20 (s, 2H) ; 4,80 (d, 1H, J = 6,1Hz) ; 4,68 (d, 1H, J = 4,7 Hz) ; 4,53 (t, 1H, Jn 5,2Hz) ; 4,39 (t, 1H) ; 4,33 (m, 1H) ; 4,04 (m, 1H) ; 3,86 Cm, 1H) ; 3,54 (m, 6H) ; 2,69 Cm, 4H) 2,06 (m, 2H) ; 1,38 (m, 1H) ; 1,13 (m, 6H). The structure of the product obtained is confirmed by - quantitative elemental analysis (C16H27N4O5Cl) calc. % C 49.11 H 6.91 N 14.34 Ci 9.99 tr. 48.98 6.94 14.34 8.94 - the proton nuclear magnetic resonance spectrum (100 MHz, d6-dimethylsulfoxide, reference: tetramethylsilane, chemical shifts in ppm) 6.30 (d, 1H); 6.20 (s, 2H); 4.80 (d, 1H, J = 6.1Hz); 4.68 (d, 1H, J = 4.7 Hz); 4.53 (t, 1H, Jn 5.2 Hz); 4.39 (t, 1H); 4.33 (m, 1H); 4.04 (m, 1H); 3.86 cm, 1H); 3.54 (m, 6H); 2.69 cm, 4H) 2.06 (m, 2H); 1.38 (m, 1H); 1.13 (m, 6H).

b) On agite 400 mg (1,02 m.mole) du produit obtenu précédemment dans une solution aqueuse d'acide chlorhydrique 0,2N pendant 3 jours à une température voisine de 20 C. Après traitement du mélange réactionnel dans les conditions décrites dans l'exemple lb), on obtient, après recristaîlisation dans le méthanol, 280 mg de (#)-(1α,2α,3α,5)-(amino-2 chloro-4 7H-pyrrolo[2,3-d] pyrimidi nyl-7)-3 hydroxyméthyl-5 cyclopentanediol-1,2 fondant à 203-2040C. b) 400 mg (1.02 mmol) of the product obtained above are stirred in a 0.2N aqueous hydrochloric acid solution for 3 days at a temperature in the region of 20 ° C. After treatment of the reaction mixture under the conditions described in Example 1b), after recrystallization from methanol, 280 mg of (#) - (1α, 2α, 3α, 5) - (2-amino-4-chloro-7H-pyrrolo [2,3-de] are obtained. d] pyrimidin-7-yl) -5-hydroxymethyl-1,2-cyclopentanediol melting at 203-2040C.

Le rendement est de 91 %. The yield is 91%.

La structure du produit obtenu est confirmée par - l'analyse élémentaire quantitative (C12Hl5N403Cl) calc. % C 48,24 H 5,02 N 18,76 tr. 48,32 5,03 18,54 - le spectre ultra-violet
X max =- 237, 263 et 316 nm (31500, 3300, 5900) - le spectre de resonance magnétique nucléaire du proton (100 MHz ; diméthylsulfoxyde-d6 ; référence : tétraméthylsilane ; déplacements chimiques en ppm) 7,36 (d, 1H, J = 3,8 Hz) ; 6,58 (s, 2H) ; 6,28 (d, 1H, J = 3,8 Hz); 5,01 (quadruplet, 1H) ; 4,87 (d, 1H, J = 4,2 Hz) ; 4,79 (d, 1H,
J = 6 Hz) ; 4.53 (t, 1H, J = 5,1 Hz) ; 4,09 (m, 1H) ; 4,04 (m, 1H); 3,67 (m, 1H) ; 3,53 (n, 1H) ; 2,16 (m, 1H) ; 2,11 (m, 1H) ; 1,86 (m, 1H).
The structure of the product obtained is confirmed by - quantitative elemental analysis (C12H15N403Cl) calc. % C 48.24 H 5.02 N 18.76 tr. 48.32 5.03 18.54 - the ultra violet spectrum
X max = - 237, 263 and 316 nm (31500, 3300, 5900) - the proton nuclear magnetic resonance spectrum (100 MHz, d6-dimethylsulfoxide, reference: tetramethylsilane, chemical shifts in ppm) 7.36 (d, 1H , J = 3.8 Hz); 6.58 (s, 2H); 6.28 (d, 1H, J = 3.8 Hz); 5.01 (quadruplet, 1H); 4.87 (d, 1H, J = 4.2 Hz); 4.79 (d, 1H,
J = 6 Hz); 4.53 (t, 1H, J = 5.1 Hz); 4.09 (m, 1H); 4.04 (m, 1H); 3.67 (m, 1H); 3.53 (n, 1H); 2.16 (m, 1H); 2.11 (m, 1H); 1.86 (m, 1H).

EXEMPLE 3
On chauffe I reflux pendant 8 heures, sous atmosphère d'argon, une solution de 280 mg (1,36 m.mole) d'(amino-2 dichloro-4,6 pyrimidinyl-5) acétaldéhyde et de 400 mg (2,72 m.moles) de (#)-(1α,2α,3ss,5ss) amino-3 hydroxyméthyl-5 cyclopentanediol-1,2 dans 20 cm3 de butanol-l contenant 3 cm3 de triéthylamine.
EXAMPLE 3
A solution of 280 mg (1.36 mmol) of (2-amino-4,6-dichloro-5-pyrimidinyl) acetaldehyde and 400 mg (2%) is refluxed for 8 hours under argon. 72 μmol) of (#) - (1α, 2α, 3β, 5ss) amino-3-hydroxymethyl-5-cyclopentanediol in 20 cm3 of butanol-1 containing 3 cm 3 of triethylamine.

Le mélange réactionnel est concentré a sec sous pression réduite (5 mm de mercure ; 0,67 kPa) à une température inférieure ou égale I 50 C. Le résidu obtenu est chromatographié sur une colonne de gel de silice (diamètre : 1,1 cm ; hauteur : 28 cm). La colonne est d'abord lavée par du chloroforme pur puis l'élution est poursuivie par un mélange chloroforme-éthanol (95-5 en volumes). On obtient > après évaporation du solvant le (#)-(1α,2α,3ss,5ss)-(amino-2 chloro-4 7H-pyrrolo[2,3-d] pyrimidinyl-7)-3 hydroxyméthyl-5 cyclopentanediol-1,2 fondant a 178 C. The reaction mixture is concentrated to dryness under reduced pressure (5 mm of mercury, 0.67 kPa) at a temperature of less than or equal to 1 50 C. The residue obtained is chromatographed on a column of silica gel (diameter: 1.1 cm). height: 28 cm). The column is first washed with pure chloroform and then the elution is continued with a chloroform-ethanol mixture (95-5 by volume). After evaporation of the solvent, (## - (1α, 2α, 3ss, 5ss) - (2-amino-4-chloro-7H-pyrrolo [2,3-d] pyrimidinyl) -3-hydroxymethyl-5 1,2-cyclopentanediol melting at 178 ° C.

Le rendement est de 49 Z. The yield is 49 Z.

La structure du produit obtenu est confirmée par -l'analyse élémentaire quantitative (C12H15N4O3C1) calc. % C 48,24 H 5,02 N 18,76 tr. 48,18 5,19 18,64 - le spectre ultra-violet
X max = 236, 263 et 315 nm (30000, 3100, 5300) - le spectre de résonance magnétique nucléaire du proton (100 MHz ; diméthylsulfoxyde-d6 ; référence : tétraméthylsilane ; déplacements chimiques en ppm) 7,31 Cd > 1H, J = 3,9 Hz) ; 6,56 Cs, 2H) ; 6,35 (d, 1H, J = 3,9 Hz); 4,82 (m, 1H) ; 4,75 (d, 1H, J = 5 Hz) ; 4,66 (t large, 1H) ; 4,54 (d, 1H, J = 4Hz) ; 4,15 (m, 1H) ; 3,84 (m, 1H) ; 3,46 Cm > 2H) 2,11 (m, 2H) ; 1,48 (m, 1H).
The structure of the product obtained is confirmed by the quantitative elemental analysis (C12H15N4O3Cl) calc. % C 48.24 H 5.02 N 18.76 tr. 48,18 5,19 18,64 - the ultraviolet spectrum
X max = 236, 263 and 315 nm (30000, 3100, 5300) - the nuclear magnetic resonance spectrum of the proton (100 MHz, dimethylsulfoxide-d6, reference: tetramethylsilane, chemical shifts in ppm) 7.31 Cd> 1H, J = 3.9 Hz); 6.56 Cs, 2H); 6.35 (d, 1H, J = 3.9 Hz); 4.82 (m, 1H); 4.75 (d, 1H, J = 5 Hz); 4.66 (t wide, 1H); 4.54 (d, 1H, J = 4Hz); 4.15 (m, 1H); 3.84 (m, 1H); 3.46 Cm> 2H) 2.11 (m, 2H); 1.48 (m, 1H).

EXEMPLE 4
Une solution de 150 mg (0,5 m.mole) du produit obtenu à l'exemple lb) dans 20 cm3 d'une solution aqueuse d'acide chlorhydrique 1N est chauffée, sous agitation, au reflux pendant 6 heures.
EXAMPLE 4
A solution of 150 mg (0.5 mmol) of the product obtained in Example 1b) in 20 cm3 of a 1N aqueous hydrochloric acid solution is heated, with stirring, under reflux for 6 hours.

Le solvant est éliminé par distillation azéotropique avec de méthanol sous pression réduite (5 mm de mercure ; 0,67 kPa) à une température inférieure ou égale à 50 C. Le résidu est dissous dans 2 cm3 d'eau et la solution obtenue est neutralisée CpH = 7) par addition d'une solution de soude 6N. Après refroidissement, le précipité est séparé par filtration et lavé avec de l'eau froide.The solvent is removed by azeotropic distillation with methanol under reduced pressure (5 mm Hg, 0.67 kPa) at a temperature of less than or equal to 50 C. The residue is dissolved in 2 cm3 of water and the resulting solution is neutralized. CpH = 7) by addition of a 6N sodium hydroxide solution. After cooling, the precipitate is filtered off and washed with cold water.

On obtient, avec un rendement de 85 %, le (+) amino-2 dihydro-3,4 [(1α,2α,3ss,4α)-dihydroxy-,3 hydroxyméthyl-4 cyclopentyl-1]-7 7H-pyrrolo[2,3-d] pyrimidinone-4 fondant à 274-2750C.85% yield of (+) -2-amino-3,4-dihydro [(1α, 2α, 3β, 4α) -dihydroxy-3-hydroxymethyl-4-cyclopentyl] -7H is obtained. pyrrolo [2,3-d] pyrimidinone-4 melting at 274-2750C.

La structure du produit obtenu est confirmée par - l'analyse élémentaire quantitative (C12Hl6N404, 3,5 H20) calc. % C 46,90 H 6,18 N 18,24 tr. 47,24 6,32 18,61 - le spectre ultra-violet
X max = 262 nm (15000) ; épaulement à 280 nm - le spectre de résonance magnétique nucléaire du proton (400 MHz diméthylsulfoxyde-d6 ; référence : tétraméthylsilane ; déplacements chimiques en ppm) 10,26 (s, 1H) ; 6,83 (d, 1H, J = 3,7 Hz) ; 6,21 (s, 2H) ; 6,20 (d, 1H, J = 3,7 Hz) ; 5,03 (d, 1H, J = 4,9 Hz) ; 4,95- (d, 1H,
J = 3,7 Hz) ; 4,93 (m, 1H, J = 4,9 et 11 Hz) ; 4,71 (t, 1H) ; 3,77 (t, 1H, J = 1,5 Hz) ; 3,70 (d, 1H, J = 3,3 Hz) ; 3,58 (m, 1H,
J = 10,5 et 6,5 Hz) ; 3,47 (m, 1H) ; 2,07 (m, 1H, J = 12 et 7,9 Hz) ; 1,91 (m, 1H, J = 8 Hz) ; 1,85 (m, 1H).
The structure of the product obtained is confirmed by the quantitative elemental analysis (C12H16N4O4, 3.5H2O) calc. % C 46.90 H 6.18 N 18.24 tr. 47.24 6.32 18.61 - the ultra violet spectrum
X max = 262 nm (15,000); shoulder at 280 nm - the proton nuclear magnetic resonance spectrum (400 MHz dimethylsulfoxide-d6, reference: tetramethylsilane, chemical shifts in ppm) 10.26 (s, 1H); 6.83 (d, 1H, J = 3.7 Hz); 6.21 (s, 2H); 6.20 (d, 1H, J = 3.7 Hz); 5.03 (d, 1H, J = 4.9 Hz); 4.95- (d, 1H,
J = 3.7 Hz); 4.93 (m, 1H, J = 4.9 and 11 Hz); 4.71 (t, 1H); 3.77 (t, 1H, J = 1.5 Hz); 3.70 (d, 1H, J = 3.3 Hz); 3.58 (m, 1H,
J = 10.5 and 6.5 Hz); 3.47 (m, 1H); 2.07 (m, 1H, J = 12 and 7.9 Hz); 1.91 (m, 1H, J = 8 Hz); 1.85 (m, 1H).

EXEMPLE 5
On opère comme dans exemple 4 mais partir de 200 mg (0,67 m.mole) du produit obtenu à l'exemple 2b). On obtient, avec un rendement de 75 %, le (#)-amino-2 dihydro-3,4 [(1α,2α,3α,4α) dihydroxy-2,3 hydroxyméthyl-4 cyclopentyl-1]-7 7H-pyrrolo[2,3-d] pyrimidinone-4 fondant 212 C.
EXAMPLE 5
The procedure is as in Example 4 but from 200 mg (0.67 mmol) of the product obtained in Example 2b). 75% yield of (#) -amino-2-dihydro-3,4 [(1α, 2α, 3α, 4α-dihydroxy-2,3-hydroxymethyl-4-cyclopentyl)] is obtained in a yield of 75%. 7H-pyrrolo [2,3-d] pyrimidinone-4 melting 212C.

La structure du produit obtenu est confirmée par - l'analyse élémentaire quantitative (C12H16N4O4, H20) calc. Z C 48,31 H 6,08 N 18,78 tr. 48,64 5,92 18,77 - le spectre ultra-violet
X max = 262 nm (12000) ; épaulement à 280 nm - le spectre de résonance magnétique nucléaire du proton (400 MHz dimethylsulfoxyde-d6 ; référence : tétraméthylsilane ; déplacements chimiques en ppm) : 10,27 (s, 1H) ; 6,92 (d, 1H, J = 3,5 Hz) ; 6,20 (d, 1H) ; 6,16 (s, 2H) ; 4,83 (quadruplet, 1H, J = 6,7, 7,9 et 9,2 Hz) ; 4,82 (d, 1H,
J = 4,9Hz) ; 4,71 (d, 1H, J = 6,7 Hz) ; 4,55 (t, 1H, 4,9 Hz) ; 4,08 (quadruplet, 1H , J = 4 et 4,5 Hz) ; 3,95 (quadruplet, 1H,
J = 6,7 Hz) ; 3,64 (m, 1H, J = 10,5 et 5,5 Hz) ; 3,53 (m, 1H) 2 (m, 1H) ; 1,88 (m, 1H).
The structure of the product obtained is confirmed by the quantitative elemental analysis (C12H16N4O4, H20) calc. ZC 48.31 H 6.08 N 18.78 tr. 48.64 5.92 18.77 - the ultra violet spectrum
X max = 262 nm (12000); shoulder at 280 nm - the proton nuclear magnetic resonance spectrum (400 MHz dimethylsulfoxide-d6, reference: tetramethylsilane, chemical shifts in ppm): 10.27 (s, 1H); 6.92 (d, 1H, J = 3.5 Hz); 6.20 (d, 1H); 6.16 (s, 2H); 4.83 (quadruplet, 1H, J = 6.7, 7.9 and 9.2 Hz); 4.82 (d, 1H,
J = 4.9 Hz); 4.71 (d, 1H, J = 6.7 Hz); 4.55 (t, 1H, 4.9 Hz); 4.08 (quadruplet, 1H, J = 4 and 4.5 Hz); 3.95 (quadruplet, 1H,
J = 6.7 Hz); 3.64 (m, 1H, J = 10.5 and 5.5 Hz); 3.53 (m, 1H) 2 (m, 1H); 1.88 (m, 1H).

EXEMPLE 6
On opère comme dans l'exemple 4 mais à partir de 170 mg (0,56 m.mole) du produit obtenu à l'exemple 3. On obtent, avec un rendement de 80 X, le (+) amino-2 dihydro-3,4 [(1α,2ss,3ss,4α)- dihydroxy-2,3 hydroxyméthyl-4 cyclopentyl-1]-7 7H-pyrrolo[2,3-d] pyrimidinone-4 fondant à 1960C.
EXAMPLE 6
The procedure is as in Example 4, but starting from 170 mg (0.56 mmol) of the product obtained in Example 3. The (+) amino-2-dihydro- 3,4 [(1α, 2ss, 3ss, 4α) 2,3-dihydroxy-4-hydroxymethyl-1-cyclopentyl] -7H-pyrrolo [2,3-d] pyrimidinone-4 melting at 1960C.

La structure du produit obtenu est confirmée par - l'analyse élémentaire quantitative (C12Hl6N404, H20) calc. % C 48,31 H 6,08 N 18,78 tr. 48,33 6,13 18,88 le spectre ultra-violet # max = 262 nm (13000) ; épaulement à 280 nm - le spectre de résonance magnétique nucléaire du proton (400 MHz ; diméthylsulfoxyde-d6 ; référence : tétraméthylsilane ; déplacements chimiques en ppm) : 10,29 (s, 1H) ; 6.85 (d, 1H, J = 3,7 Hz) ; 6,27 (d, 1H) ; 6,20 (s, 2H) ; 4,75 (d, 1H, J = 6,1 Hz) ; 4,75 (t, 1H, J = 5 Hz) ; 4,56 (d, 1H, J = 3,6 Hz) ; 4,73 (quadruplet, 1H, J = 9,2, 10 et 8 Hz) ; 4,07 (m, 1H, J = 5,5 Hz) ; 3,81 (m, 1H, J = 3,5 Hz) ; 3,47 (m, 2H) ; 2,11 (m 1H, J = 13 Hz) ; 1,99 (m, 1H, J = 9 et 8 Hz0 ; 1,41 (m, 1H)
es compositions médicinales contenant au moins un produit de formule générale (I) à l'état pur ou en présence d'un diluant ou d'un enrobage et pouvant entre utilisées par voie orale, parentérale ou rectale constituent un autre objet de la présente invention.
The structure of the product obtained is confirmed by the quantitative elemental analysis (C12H16N4O4, H2O) calc. % C 48.31 H 6.08 N 18.78 tr. 48.33 6.13 18.88 the ultraviolet spectrum # max = 262 nm (13000); shoulder at 280 nm - the proton nuclear magnetic resonance spectrum (400 MHz, d6-dimethylsulfoxide, reference: tetramethylsilane, chemical shifts in ppm): 10.29 (s, 1H); 6.85 (d, 1H, J = 3.7 Hz); 6.27 (d, 1H); 6.20 (s, 2H); 4.75 (d, 1H, J = 6.1 Hz); 4.75 (t, 1H, J = 5 Hz); 4.56 (d, 1H, J = 3.6 Hz); 4.73 (quadruplet, 1H, J = 9.2, 10 and 8 Hz); 4.07 (m, 1H, J = 5.5 Hz); 3.81 (m, 1H, J = 3.5 Hz); 3.47 (m, 2H); 2.11 (m 1H, J = 13 Hz); 1.99 (m, 1H, J = 9 and 8 Hz, 1.41 (m, 1H)
Medicinal compositions containing at least one product of general formula (I) in the pure state or in the presence of a diluent or a coating and which can be used orally, parenterally or rectally constitute another object of the present invention. .

Les compositions solides pour administration orale peuvent être des comprimés, des pilules, des poudre ou des granulés. Dans ces compositions, le produit actif est mélangé à un ou plusieurs diluants inertes, tels que le saccharose, le lactose ou l'amidon. Ces compositions peuvent 6galement comprendre des substances autres que les diluants, par exemple un lubrifiant tel que le stéarate de magnésium. Solid compositions for oral administration may be tablets, pills, powder or granules. In these compositions, the active product is mixed with one or more inert diluents, such as sucrose, lactose or starch. These compositions may also comprise substances other than diluents, for example a lubricant such as magnesium stearate.

Les compositions liquides pour administration orale peuvent etre des émulsions pharmaceutiquement acceptables, des solutions, des suspensions, des sirops ou des élixirs contenant des diluants inertes tels que l'eau ou l'huile de paraffine Ces compositions peuvent également comprendre des substances autres que les diluants, par exemple des produits mouillants, des produits sucrants ou des parfums. The liquid compositions for oral administration may be pharmaceutically acceptable emulsions, solutions, suspensions, syrups or elixirs containing inert diluents such as water or paraffin oil. These compositions may also comprise substances other than diluents. eg wetting products, sweeteners or perfumes.

Les compositions pour administration parentérale peuvent etre des solutions stériles aqueuses ou non aqueuses, des suspen- sions ou des émulsions. Comme solvants ou véhicules, on peut employer le propyleneglycol, les huilas végétales, an particulier l'huile d'olive et les esters organiques injectables, par exemple l'oléate d'éthyle. Ces compositions peuvent également contenir des adjuvants, en particulier des agents mouillants, émulsifiants et dispersants. La stérilisation peut se faire de plusieurs façons, par exemple I l'aide d'un filtre bacteriologique, en incorporant a la composition des agents stérilisants, par irradiation ou par chauffage.Elles peuvent être également préparées sous forme de compositions solides stériles qui peuvent être dissoutes au moment de l'emploi dans de l'eau stérile ou tout autre milieu stérile injectable. The compositions for parenteral administration may be sterile aqueous or nonaqueous solutions, suspensions or emulsions. Suitable solvents or carriers are propylene glycol, vegetable oils, in particular olive oil and injectable organic esters, for example ethyl oleate. These compositions may also contain adjuvants, in particular wetting agents, emulsifiers and dispersants. The sterilization can be carried out in several ways, for example by means of a bacteriological filter, by incorporating sterilizing agents into the composition, by irradiation or by heating. They can also be prepared in the form of sterile solid compositions which can be dissolved at the time of use in sterile water or any other sterile injectable medium.

Les compositions pour administration rectale sont des suppositoires qui contiennent, outre le produit actif, des excipients tels que du beurre de cacao ou un glycéride semisynthétique approprié. The compositions for rectal administration are suppositories which contain, in addition to the active product, excipients such as cocoa butter or a suitable semisynthetic glyceride.

En thérapeutique humaine, les compositions selon l'invention sont particulièrement utiles dans la prophylaxie et le traitement des infections virales en particulier des infections provoquées par les virus de l'herpès. Les doses dépendent de l'effet recherché, de la durée du traitement et de la vote d'administration ; elles sont généralement comprises entre 1 et 500 mg par jour pour un adulte. In human therapy, the compositions according to the invention are particularly useful in the prophylaxis and treatment of viral infections, in particular infections caused by herpes viruses. The doses depend on the desired effect, the duration of the treatment and the administration vote; they are generally between 1 and 500 mg per day for an adult.

D'une manière générale, le médecin déterminera la posologie qu'il estime la plus appropriée en fonction de ltâgeX du poids et de tous les autres facteurs propres au sujet I traiter. In general, the doctor will determine the dosage he considers the most appropriate according to age x weight and all other factors specific to the subject to be treated.

L'exemple suivant, donné I titre non limitatifs illustre une composition selon l'invention. The following example, given as non-limiting example illustrates a composition according to the invention.

EXEMPLE
On prépare selon la technique habituelle des comprimés dosés I 100 mg de produit actif ayant la composition suivante - (#)-(1α,2ss,3ss,5ss)-(amino-2 chloro-4 7H-pyrrolo[2,3-d]
pyrimidinyl-7)-3 hydroxyméthyl-5 cyclopentana-
diol-1,2 .................. 0,100 g - amidon ............. 0,110 g - silice précipitée .....................0,035 g - stéarate de magnésium ............... 0,005 g
EXAMPLE
100 mg of the active product having the following composition - (#) - (1α, 2ss, 3ss, 5ss) - (2-amino-4-chloro-7H-pyrrolo [2,3-d]) are prepared according to the usual technique. d]
pyrimidinyl-7) -3-hydroxymethyl-5-cyclopentan
1,2-diol .................. 0,100 g - starch ............. 0,110 g - precipitated silica ..... ................ 0.035 g - magnesium stearate ............... 0.005 g

Claims (6)

Translated fromFrench
REVENDICATIONS 1 - Un nouveau dérive de la pyrrolop[2,3-d] pyrimidine caractérisé en ce qu'il répond I la formule générale 1 - A new drift of pyrrolop [2,3-d] pyrimidine characterized in that it meets the general formula
Figure img00180001
Figure img00180001
dans laquelle : in which :X représente un atome d'halogène ou un radical hydroxy, amino, alcoylamino dont la partie alcoyle contient 1 I 4 atomes de carbone, mercapto ou alcoylthio dont la partie alcoyle contient 1 à 4 atomes de carbone, etX represents a halogen atom or a hydroxyl, amino, alkylamino radical whose alkyl part contains 1 to 4 carbon atoms, mercapto or alkylthio whose alkyl part contains 1 to 4 carbon atoms, andR représente un radical (la,2a,3a,4a)-dihydroxy-2,3 hydroxyméthyl-4 cyclopentyl-l, (1α,2α,3ss,4α)-dihydroxy-2,3 hydroxyméthyl-4 cyclopentyl-l ou (1α,2ss,3ss,4α)-dihydroxy-2,3 hydroxyméthyl-4 cyclopentyl-1.R represents a radical (1a, 2a, 3a, 4a) -dihydroxy-2,3-hydroxymethyl-4-cyclopentyl-1, (1α), 2α, 3ss, 4α-dihydroxy-2,3-hydroxymethyl-4-cyclopentyl or (1α, 2ss, 3ss, 4α) 2,3-dihydroxy-4-hydroxymethylcyclopentyl-1. 2 - Procédé de préparation d'un dérivé de la pyrrolo (2 > 3-d] pyrimidine selon la revendication 1 pour lequel X représente un atome d'halogène caractérisé en ce que lton cyclise un dérivé de la pyrimidine de formule générale 2 - Process for the preparation of a pyrrolo (2β-d) pyrimidine derivative according to claim 1, for which X represents a halogen atom, characterized in that it cyclizes a pyrimidine derivative of general formula
Figure img00180002
Figure img00180002
dans laquelle R est défini comme dans la revendication 1, X1 représente un atome d'halogène et R1 représente un radical alcoyle contenant 1 4 atomes de carbone au moyen d'une solution aqueuse d'un acide minéral I une température comprise entre 0 et 400c in which R is defined as in claim 1, X1 represents a halogen atom and R1 represents an alkyl radical containing 14 carbon atoms by means of an aqueous solution of a mineral acid I a temperature between 0 and 400c
3 - Procédé de préparation d'un dérivé de la pyrrolo [2 > 3-di pyrimidine selon la revendication 1 pour lequel X représente un radical hydroxy, amino, alcoylamino dont la partie alcoyle contient 1 I 4 atomes de carbone, mercapto ou alcoylthio contenant 1 à 4 atomes de carbone caractérisé en ce que l'on fait réagir 11 eau, l'ammoniac, une amine primaire, la thiourée ou un sel alcalin d'un mercaptan sur un produit selon la revendication 1 pour lequel X représente un atome d'halogène selon les méthodes connues qui permettent de remplacer un atome d'halogène par un radical hydroxy, amino, alcoylamino, mercapto ou alcoylthio. 3 - Process for the preparation of a pyrrolo [2? 3-di pyrimidine derivative according to claim 1 wherein X represents a hydroxy, amino, alkylamino radical whose alkyl part contains 1 to 4 carbon atoms, mercapto or alkylthio containing 1 to 4 carbon atoms, characterized in that water, ammonia, a primary amine, thiourea or an alkali metal salt of a mercaptan are reacted with a product according to claim 1, wherein X represents a hydrogen atom. halogen according to known methods which make it possible to replace a halogen atom with a hydroxyl, amino, alkylamino, mercapto or alkylthio radical. 4 - Procédé de préparation d'un dérivé de la pyrrolo [2,3-dl pyrimidine selon la revendication 1 pour lequel X représente un atome d'halogène et R représente un radical (1α,2ss,3ss,4α)- dihydroxy-2,3 hydroxyméthyl-4 cyclopentyl-4 caractérisé en ce que l'on fait réagir le (1α,2ss,3ss,4α)-amino- hydroxyméthyl-4 cyclopen- tanediol-1,2 sur l'aldéhyde de formule générale 4 - Process for the preparation of a pyrrolo [2,3-dl pyrimidine derivative according to claim 1 wherein X represents a halogen atom and R represents a radical (1α, 2ss, 3ss, 4α) dihydroxy -2,3-hydroxymethyl-4-cyclopentyl, characterized in that the (1α, 2ss, 3ss, 4α) -amino-4-hydroxymethylcyclopentanediol-1,2 is reacted with the aldehyde of formula General
Figure img00190001
Figure img00190001
dans laquelle X1 représente un atome d'halogène en opérant dans un solvant organique tel que le butanol en présence d'un accepteur d'acide tel que la triéthylamine I une température voisine de 80"C. wherein X1 represents a halogen atom by operating in an organic solvent such as butanol in the presence of an acid acceptor such as triethylamine I a temperature of about 80 ° C.
5 - Le pyrimidinyl-5 acétaldéhyde de formule générale5-pyrimidinyl-5-acetaldehyde of general formula
Figure img00200001
Figure img00200001
dans laquelle X1 représente un atome d'halogène, et son acétal avec un alcool aliphatique contenant 1 I 4 atomes de carbone. wherein X1 represents a halogen atom, and its acetal with an aliphatic alcohol containing 1 to 4 carbon atoms.
6 - Compositions pharmaceutiques caractérisées en ce qu'elles contiennent au moins un produit selon la revendication 1 en association avec un ou plusieurs diluants ou adjuvants compatibles et pharmaceutiquement acceptables. 6 - Pharmaceutical compositions characterized in that they contain at least one product according to claim 1 in combination with one or more compatible and pharmaceutically acceptable diluents or adjuvants.
FR8418991A1984-12-121984-12-12 NOVEL PYRROLO (2,3-D) PYRIMIDINE DERIVATIVES, THEIR PREPARATION AND THE PHARMACEUTICAL COMPOSITIONS CONTAINING THEMExpiredFR2574407B1 (en)

Priority Applications (1)

Application NumberPriority DateFiling DateTitle
FR8418991AFR2574407B1 (en)1984-12-121984-12-12 NOVEL PYRROLO (2,3-D) PYRIMIDINE DERIVATIVES, THEIR PREPARATION AND THE PHARMACEUTICAL COMPOSITIONS CONTAINING THEM

Applications Claiming Priority (1)

Application NumberPriority DateFiling DateTitle
FR8418991AFR2574407B1 (en)1984-12-121984-12-12 NOVEL PYRROLO (2,3-D) PYRIMIDINE DERIVATIVES, THEIR PREPARATION AND THE PHARMACEUTICAL COMPOSITIONS CONTAINING THEM

Publications (2)

Publication NumberPublication Date
FR2574407A1true FR2574407A1 (en)1986-06-13
FR2574407B1 FR2574407B1 (en)1987-06-05

Family

ID=9310521

Family Applications (1)

Application NumberTitlePriority DateFiling Date
FR8418991AExpiredFR2574407B1 (en)1984-12-121984-12-12 NOVEL PYRROLO (2,3-D) PYRIMIDINE DERIVATIVES, THEIR PREPARATION AND THE PHARMACEUTICAL COMPOSITIONS CONTAINING THEM

Country Status (1)

CountryLink
FR (1)FR2574407B1 (en)

Cited By (11)

* Cited by examiner, † Cited by third party
Publication numberPriority datePublication dateAssigneeTitle
WO1988003142A3 (en)*1986-10-241988-05-19Warner Lambert Co7-deazaguanines as immunomodulators
US4921858A (en)*1986-10-241990-05-01Warner-Lambert Company7-deazaguanines as immunomodulators
AP91A (en)*1988-01-201990-07-16Univ MinnesotaDideoxydidehydrocarbocyclic nucleosides.
US5122517A (en)*1988-06-101992-06-16Regents Of The University Of MinnesotaAntiviral combination comprising nucleoside analogs
US5175292A (en)*1988-01-201992-12-29Regents Of The University Of MinnesotaIntermediates for the preparation of dideoxycarbocyclic nucleosides
US5665721A (en)*1995-06-071997-09-09Abbott LaboratoriesHeterocyclic substituted cyclopentane compounds
US5763607A (en)*1988-01-201998-06-09Regents Of The University Of MinnesotaPreparation of optically-active isomers of dideoxycarbocyclic nucleosides
WO2010022121A1 (en)*2008-08-202010-02-25Schering CorporationSubstituted pyridine and pyrimidine derivatives and their use in treating viral infections
US8470834B2 (en)2008-08-202013-06-25Merck Sharp & Dohme Corp.AZO-substituted pyridine and pyrimidine derivatives and their use in treating viral infections
US8541434B2 (en)2008-08-202013-09-24Merck Sharp & Dohme Corp.Ethynyl-substituted pyridine and pyrimidine derivatives and their use in treating viral infections
US8715638B2 (en)2008-08-202014-05-06Merck Sharp & Dohme Corp.Ethenyl-substituted pyridine and pyrimidine derivatives and their use in treating viral infections

Citations (1)

* Cited by examiner, † Cited by third party
Publication numberPriority datePublication dateAssigneeTitle
EP0057548A2 (en)*1981-01-291982-08-11Warner-Lambert Company7-Beta-D-arabinofuranosyl-7H-pyrrolo(2,3-d)pyrimidine-4-amine 5'-phosphate compounds useful as antiviral agents, pharmaceutical compositions containing the compounds, and processes for producing the compounds

Patent Citations (1)

* Cited by examiner, † Cited by third party
Publication numberPriority datePublication dateAssigneeTitle
EP0057548A2 (en)*1981-01-291982-08-11Warner-Lambert Company7-Beta-D-arabinofuranosyl-7H-pyrrolo(2,3-d)pyrimidine-4-amine 5'-phosphate compounds useful as antiviral agents, pharmaceutical compositions containing the compounds, and processes for producing the compounds

Non-Patent Citations (2)

* Cited by examiner, † Cited by third party
Title
JOURNAL OF MEDICINAL CHEMISTRY, vol. 27, no. 4, 1984, pages 534-536, American Chemical Society, Washington, US; J.A. SECRIST III: "(+-)-3-(4-Amino-1H-pyrrolo[2,3-dÜpyrimidin-1-yl)-5-(hydroxymethyl)-(1alpha,2alpha,3beta,5beta)-1,2-cyclopentanediol, the carbocyclic analogue of tubercidin"*
JOURNAL OF MEDICINAL CHEMISTRY, vol. 27, no. 5, 1984, pages 670-674, American Chemical Society, Washington, US; Y. FULMER SHEALY et al.: "Synthesis and antiviral evaluation of carbocyclic analogues of ribofuranosides of 2-amino-6-substituted-purines and of 2-amino-6-substituted-8-azapurines"*

Cited By (16)

* Cited by examiner, † Cited by third party
Publication numberPriority datePublication dateAssigneeTitle
WO1988003142A3 (en)*1986-10-241988-05-19Warner Lambert Co7-deazaguanines as immunomodulators
US4921858A (en)*1986-10-241990-05-01Warner-Lambert Company7-deazaguanines as immunomodulators
US6072053A (en)*1988-01-202000-06-06Univ MinnesotaDideoxycarbocyclic nucleosides
US6534512B1 (en)1988-01-202003-03-18Regents Of The University Of MinnesotaDideoxycarbocyclic nucleosides
US5175292A (en)*1988-01-201992-12-29Regents Of The University Of MinnesotaIntermediates for the preparation of dideoxycarbocyclic nucleosides
AP91A (en)*1988-01-201990-07-16Univ MinnesotaDideoxydidehydrocarbocyclic nucleosides.
US5763607A (en)*1988-01-201998-06-09Regents Of The University Of MinnesotaPreparation of optically-active isomers of dideoxycarbocyclic nucleosides
US5962684A (en)*1988-01-201999-10-05Regents Of The University Of MinnesotaMethod of preparation of dideoxycarbocyclic nucleosides
US5122517A (en)*1988-06-101992-06-16Regents Of The University Of MinnesotaAntiviral combination comprising nucleoside analogs
US5665721A (en)*1995-06-071997-09-09Abbott LaboratoriesHeterocyclic substituted cyclopentane compounds
WO2010022121A1 (en)*2008-08-202010-02-25Schering CorporationSubstituted pyridine and pyrimidine derivatives and their use in treating viral infections
US8470834B2 (en)2008-08-202013-06-25Merck Sharp & Dohme Corp.AZO-substituted pyridine and pyrimidine derivatives and their use in treating viral infections
US8541434B2 (en)2008-08-202013-09-24Merck Sharp & Dohme Corp.Ethynyl-substituted pyridine and pyrimidine derivatives and their use in treating viral infections
US8697694B2 (en)2008-08-202014-04-15Merck Sharp & Dohme Corp.Substituted pyridine and pyrimidine derivatives and their use in treating viral infections
US8715638B2 (en)2008-08-202014-05-06Merck Sharp & Dohme Corp.Ethenyl-substituted pyridine and pyrimidine derivatives and their use in treating viral infections
JP2015129153A (en)*2008-08-202015-07-16メルク・シャープ・アンド・ドーム・コーポレーションMerck Sharp & Dohme Corp. Substituted pyridine derivatives and substituted pyrimidine derivatives and their use in the treatment of viral infections

Also Published As

Publication numberPublication date
FR2574407B1 (en)1987-06-05

Similar Documents

PublicationPublication DateTitle
AU695032B2 (en)Purine and guanine compounds as inhibitors of PNP
KR100191774B1 (en) Pyrazolo [1,5-alpha] pyrimidine derivatives and anti-inflammatory agents containing them
EP0399856B1 (en)Pteridin-4 (3H)-ones, processes for their preparation and medicaments containing them
MXPA97002488A (en)Compounds of purine and guanine as inhibitors of
FR2762843A1 (en) NOVEL CYCLOSPORIN DERIVATIVES, THEIR PREPARATION AND THE PHARMACEUTICAL COMPOSITIONS CONTAINING THEM
EP0005689B1 (en)Lactam-n-acetic acids, their amides, process for their preparation and therapeutic compositions containing them
FR2574407A1 (en)New pyrrolo[2,3-d]pyrimidine derivatives, a process for preparing them and pharmaceutical compositions containing them.
GB2125401A (en)Desoxyuridine derivatives and their use as pharmaceuticals
FR2757166A1 (en) PYRROLE DERIVATIVES, THEIR PREPARATION AND THE PHARMACEUTICAL COMPOSITIONS CONTAINING THEM
IE914171A1 (en)Pharmaceuticals
WO1998025612A1 (en)Novel therapeutic application of pyrrole derivatives
EP0411912A2 (en)Coumarin derivatives, their preparation and their use in the treatment of cerebrovascular disorders
AU8328187A (en)7-deazaguanines as immunomodulators
US20020016324A1 (en)Compounds having anticancer activity : process for their preparation and pharmaceutical compositions containing them
EP0045251B1 (en)Thiazolo(3,2-a)pyrimidine derivatives, their preparation and pharmaceutical compositions containing them
FR2621918A1 (en) 2 ', 3'-DIDESOXY-4-THIO-URIDINES, PROCESS FOR THE PREPARATION OF THESE SUBSTANCES AND MEDICAMENTS CONTAINING THEM
EP0196943A1 (en)8-Thiotetrahydroquinoleine derivatives and their salts
WO1991017984A1 (en)(3-alkylthio propyl)-3 benzothiazoline derivatives, preparation thereof and drugs containing said derivatives
EP0002635A1 (en)Process for the preparation of thieno (2,3-c) and (3,2-c) pyridine derivatives, thieno (2,3-c) pyridine derivatives thus obtained, and their therapeutical use
EP0049144B1 (en)5-fluoro uracil derivatives
EP0269841B1 (en)1-hydroxyalkyl xanthines, processes for their preparation and medicaments containing them
EP0060099A1 (en)Antiviral agents, their preparation and use
EP0030198B1 (en)Isoquinoline derivatives, their preparation and pharmaceutical compositions containing them
CA1127637A (en)5-FLUORO-(.beta.-URIDINE OR 2'-DEOXY-.beta.-URIDINE) DERIVATIVES, A PROCESS FOR PRODUCING THE SAME AND A CARCINOSTATIC AGENT CONTAINING THE SAME
LU85690A1 (en) NOVEL PYRAZOLO (1,5-A) PYRIDINE DERIVATIVES, THEIR PREPARATION AND THE THERAPEUTIC COMPOSITIONS CONTAINING THEM

Legal Events

DateCodeTitleDescription
STNotification of lapse

[8]ページ先頭

©2009-2025 Movatter.jp