Movatterモバイル変換


[0]ホーム

URL:


FR2560394A1 - Electrooptic modulator device comprising an optical fibre - Google Patents

Electrooptic modulator device comprising an optical fibre
Download PDF

Info

Publication number
FR2560394A1
FR2560394A1FR8402856AFR8402856AFR2560394A1FR 2560394 A1FR2560394 A1FR 2560394A1FR 8402856 AFR8402856 AFR 8402856AFR 8402856 AFR8402856 AFR 8402856AFR 2560394 A1FR2560394 A1FR 2560394A1
Authority
FR
France
Prior art keywords
fiber
sheath
electrodes
piezoelectric
core
Prior art date
Legal status (The legal status is an assumption and is not a legal conclusion. Google has not performed a legal analysis and makes no representation as to the accuracy of the status listed.)
Granted
Application number
FR8402856A
Other languages
French (fr)
Other versions
FR2560394B1 (en
Inventor
Francois Micheron
Herve Arditty
Current Assignee (The listed assignees may be inaccurate. Google has not performed a legal analysis and makes no representation or warranty as to the accuracy of the list.)
Thales SA
Original Assignee
Thomson CSF SA
Priority date (The priority date is an assumption and is not a legal conclusion. Google has not performed a legal analysis and makes no representation as to the accuracy of the date listed.)
Filing date
Publication date
Application filed by Thomson CSF SAfiledCriticalThomson CSF SA
Priority to FR8402856ApriorityCriticalpatent/FR2560394B1/en
Publication of FR2560394A1publicationCriticalpatent/FR2560394A1/en
Application grantedgrantedCritical
Publication of FR2560394B1publicationCriticalpatent/FR2560394B1/en
Expiredlegal-statusCriticalCurrent

Links

Classifications

Landscapes

Abstract

The device of the invention is an electro-optic modulator device comprising an optical fibre 4 which includes an optical cladding made from piezoelectric material, two outer electrodes 11, 12 being arranged on the outer surface of this cladding, and an inner electrode 10 between this cladding 4 and the core 15 of the fibre. A potential difference V is applied between the two outer electrodes. The application is particularly applicable to the production of electrically controlled electrooptic modulators.

Description

Translated fromFrench

DISPOSITIF MODULATEUR ELECT ROOP TIQUE
COMPORTANT UNE FIBRE OPTIQUE.
ELECTROOPTIC MODULATOR DEVICE
COMPRISING OPTICAL FIBER.

La présente invention décrit un dispositif modulateur électrooptique comportant une fibre à gaine piézoélectrique. The present invention describes an electrooptical modulator device comprising a piezoelectric sheath fiber.

Un article intitulé "Optical fiber copolymer film electric field sensor" paru dans "Applied Optics" le premier avril 1983 décrit un détecteur de champ électrique qui utilise la variation d'indice d'une fibre induite par effet électrooptique, due aux contraintes mécaniques engendrées par effet piézoélectrique dans une gaine polymère. Ce détecteur comprend deux électrodes planes disposées de part et d'autre de la fibre. An article entitled "Optical fiber copolymer film electric field sensor" published in "Applied Optics" on April 1, 1983 describes an electric field detector which uses the variation of index of a fiber induced by electrooptical effect, due to the mechanical stresses generated by piezoelectric effect in a polymer sheath. This detector comprises two planar electrodes arranged on either side of the fiber.

Cette gaine polymère peut êfre du polyfluorure de vinylìåène (PVF2), ou mieux les copolymères avec le polytétrafluoroéthylène (PVF2/PTFE) ou le polytrifluoréthylène (PVF2/P TrFE). This polymeric sheath can be polyvinylfluoride (PVF2), or better the copolymers with polytetrafluoroethylene (PVF2 / PTFE) or polytrifluoroethylene (PVF2 / P TrFE).

Une grande simplification d'un tel détecteur consiste à disposer ces électrodes à la surface de la fibre mais la difficulté de mise en oeuvre de ce détecteur réside alors dans la disposition des électrodes et dans la prise des contacts sur lesdites électrodes. A great simplification of such a detector consists in placing these electrodes on the surface of the fiber, but the difficulty in implementing this detector then lies in the arrangement of the electrodes and in making the contacts on said electrodes.

Le dispositif de l'invention permet de réaliser un modulateur ayant ces caractéristiques de fabrication mais dans lequel est résolu le problème du positionnement des électrodes. The device of the invention makes it possible to produce a modulator having these manufacturing characteristics but in which the problem of positioning the electrodes is resolved.

Le dispositif de l'invention a pour objet un dispositif modulateur électrooptique comprenant une fibre qui comporte un coeur et une gaine optique en matériau piézoélectrique et deux électrodes extérieures disposées sur la surface extérieure de cette gaine, une différence de potentiel étant appliquée entre ces deux électrodes, caractérisé en ce qu'il comporte en outre une électrode interne disposée entre le coeur et la gaine de ladite fibre. The object of the device of the invention is an electrooptical modulator device comprising a fiber which comprises a core and an optical sheath made of piezoelectric material and two external electrodes disposed on the external surface of this sheath, a potential difference being applied between these two electrodes , characterized in that it further comprises an internal electrode disposed between the core and the sheath of said fiber.

L'invention sera mieux comprise au moyen de la description ci-après et des figures annexées parmi lesquelles:
- les figures 1 à 3 représentent différents dispositifs de l'art connu,
- la figure 4 représente le dispositif de l'invention,
- la figure 5 représente un schéma équivalent du dispositif de l'invention,
- les figures 6 à 9 représentent différentes variantes du dispositif de Invention
Dans les dispositifs de l'art connu, il existe différentes façons de positionner les électrodes dans un modulateur électrooptique à gaine piézo électrique.
The invention will be better understood by means of the description below and the appended figures among which:
FIGS. 1 to 3 represent different devices of the known art,
FIG. 4 represents the device of the invention,
FIG. 5 represents an equivalent diagram of the device of the invention,
- Figures 6 to 9 show different variants of the device of Invention
In the devices of the known art, there are different ways of positioning the electrodes in an electrooptical modulator with a piezoelectric sheath.

Dans une première configuration représentée à la figure 1, des électro des annulaires 2,3 sont disposées sur la gaine 4, mais alors la longueur d'intéraction 5 est faible, de même que la variation d'indice sauf dans le cas de fortes tensions de modulations. Dans une seconde configuration represen- tée à la figure 2, les électrodes 6,7 sont en forme de deux portions d'un même cylindre, déposées sur la gaine 4: le champ électrique et les contraintes mécaniques sont très hétérogènes, neanmoins la longueur d'intéraction peut être grande. Enfin dans une troisième configuration représentée à la figure 3 on obtient des électrodes 8 et 9, en métallisant la fibre, puis en la gainant ensuite du polymère piézoélectrique, cetui-ci étant métallisé extérieurement.Dans ce dernier cas, il y a une impossibilité accéder à l'électrode interne 8. In a first configuration represented in FIG. 1, electro-annulars 2,3 are placed on the sheath 4, but then the length of interaction 5 is small, as is the variation of index except in the case of high voltages of modulations. In a second configuration represented in FIG. 2, the electrodes 6,7 are in the form of two portions of the same cylinder, deposited on the sheath 4: the electric field and the mechanical stresses are very heterogeneous, nevertheless the length d interaction can be great. Finally, in a third configuration represented in FIG. 3, electrodes 8 and 9 are obtained, by metallizing the fiber, then by coating it with piezoelectric polymer, this latter being metallized externally. In the latter case, it is impossible to access to the internal electrode 8.

Le dispositif de l'invention concerne une telle configuration d'électrode des mais il ne nécessite pas accès à l'électrode interne 8. Il permet par rapport aux dispositifs de l'art connu, d'obtenir une meilleure homogénéisé das champs électriques et des contraintes mécaniques. De plus la longueur dintéraction entre les électrodes est plus importante. The device of the invention relates to such an electrode configuration, but it does not require access to the internal electrode 8. It allows, compared with the devices of the known art, to obtain better homogenized das electric fields and mechanical stresses. In addition, the length of interaction between the electrodes is greater.

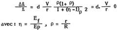
Le dispositif de rinvention est représenté à la figure 4. Il comporte une électrode interne 10 et deux électrodes externes 11 et 12 entre lesquelles est appliquée la différence de potentiel V. On peut alors considérer la variation de chemin optique dans le dispositif de l'invention:
Pour une fibre de longueur Q d'indice n sous Peffet d'une contrainte mécanique qui engendre une variation dimensionnelle A CIRIER, / Q la variation dindice par effet élastooptique est sensiblement, pour la silice:

Figure img00020001
The inventive device is shown in FIG. 4. It comprises an internal electrode 10 and two external electrodes 11 and 12 between which the potential difference V is applied. The variation in optical path can then be considered in the device of the invention :
For a fiber of length Q of index n under the effect of a mechanical stress which generates a dimensional variation to be estimated, / Q the variation of index by elastooptic effect is substantially, for silica:
Figure img00020001

Figure img00030001
Figure img00030001

On suppose que la gaine piézoélectrique impose une variation de longueur à la fibre gainée, par le jeu d'un coefficient piézoélectrique transversal; effet piézoélectrique longitudinal n'étant pas pris en compte, du fait que la face externe de la gaine est libre.Cette approximation n'est utilisable en toute rigueur que dans le cas des basses fréquences (fréquences inférieures à la fréquence de résonnance en mode longitudinal). Aux fréquences supérieures, la variation de chemin optique tend vers la limite due à la seule variation associée à l'eff et élastooptique. It is assumed that the piezoelectric sheath imposes a variation in length on the sheathed fiber, by the play of a transverse piezoelectric coefficient; longitudinal piezoelectric effect not being taken into account, since the external face of the sheath is free. This approximation can only be strictly used in the case of low frequencies (frequencies lower than the resonance frequency in longitudinal mode ). At higher frequencies, the variation of optical path tends towards the limit due to the only variation associated with the eff and elastooptics.

Le calcul de la variation de longueur du composite fibre/gaine est effectué dans rapproximation d'absence de cisaillement dans la gaine:
Rayon de la fibre: r
Rayon de la fibre gainée: R
d'où épaisseur de polymère: R - r
Coefficient piézo transverse d intrinsèque du polymère:

Figure img00030002

avec t: champ électrique, V: tension appliquée soit Ep le module d'Young du polymère
Ef le module Young de la fibre
On obtient l'alongement T de la fibre gainée:
Figure img00030003
The calculation of the variation in length of the fiber / cladding composite is carried out by approximating the absence of shear in the cladding:
Fiber radius: r
Sheathed fiber radius: R
hence polymer thickness: R - r
Piezo transverse coefficient intrinsic of the polymer:
Figure img00030002

with t: electric field, V: applied voltage let Ep be the Young's modulus of the polymer
Ef the Young module of the fiber
The elongation T of the sheathed fiber is obtained:
Figure img00030003

La fonction e (p) passe par le maximum e max = 0,144 pour
Popt = 0,288, ce qui permet d'optimiser l'épaisseur de la gaine pour un rayon de fibre donné.
The function e (p) goes through the maximum e max = 0.144 for
Popt = 0.288, which optimizes the thickness of the sheath for a given fiber radius.

Application numérique:
d = 20.10 12 m.V-1(PVF2/PTrFE) r = 100 /urn
p=popt
Ep=2.5 109 Nm-1
Ef = 5.10I0Nm 1
(n = 20). d'où #l = 2,9 10-8 V-1 # #(n l)
l nl pour n = 1.5 et Q = 1 mètre
.# (n l) = 4,3 10-8 m par volt et pour 1 mètre soit, pour h (n Q) = > = 0,3 10 6m

Figure img00040001

1 mètre = 7 volts
Ainsi la fibre modulatrice, représentée à la figure 4 a la constitution de celle de la figure 3 (fibre conductrice en surface, gaine métallisée), à la différence que la métallisation de la gaine est interrompue sur une courte distance 13. La tension V de modulation est appliquée entre les deux électrodes externes 11,12 ainsi définies. Le schéma équivalent à ce dispositif est représenté sur la figure 5.Les deux'sections de la fibre définissent deux capacités C1 et C2 placées en série, l'électrode commune étant la métallisation interne. Si les deux électrodes externes 11, 12 ont la même longueur, C1 égale C2, et la tension appliquée dans chaque section est V/2.Digital Application:
d = 20.10 12 mV-1 (PVF2 / PTrFE) r = 100 / urn
p = popt
Ep = 2.5 109 Nm-1
Ef = 5.10I0Nm 1
(n = 20). hence #l = 2.9 10-8 V-1 # # (nl)
l nl for n = 1.5 and Q = 1 meter
. # (nl) = 4.3 10-8 m per volt and for 1 meter either, for h (n Q) => = 0.3 10 6m
Figure img00040001

1 meter = 7 volts
Thus the modulating fiber, represented in FIG. 4 has the constitution of that of FIG. 3 (conductive fiber at the surface, metallized sheath), with the difference that the metallization of the sheath is interrupted over a short distance 13. The voltage V of modulation is applied between the two external electrodes 11,12 thus defined. The diagram equivalent to this device is shown in Figure 5. The two sections of the fiber define two capacitors C1 and C2 placed in series, the common electrode being the internal metallization. If the two external electrodes 11, 12 have the same length, C1 equals C2, and the voltage applied in each section is V / 2.

On remarquera toutefois que les directions des champs électriques sont opposées dans les deux sections. Dans le cas d'une gaine piezoélectrique uniformément polarisée, les effets piézoélectriques donc les effets élaste optiques correspondants tendent à s'opposer et même à s'annuler dans le cas de deux sections de même longueur.Note, however, that the directions of the electric fields are opposite in the two sections. In the case of a uniformly polarized piezoelectric sheath, the piezoelectric effects therefore the corresponding optical elastic effects tend to oppose and even cancel out in the case of two sections of the same length.

Pour résoudre ce problème deux solutions sont possibles. To solve this problem two solutions are possible.

ar Une première solution consiste à utiliser un polymère non polaire, dans lequel on met en oeuvre effet d'électrostriction. Mais les effets électrostrictifs transverses ne sont pas utilisables sauf en cas de mise en oeuvre de grandes longueurs et de tensions importantes, pour que leurs effets ne soient pas négligeables. ar A first solution consists in using a non-polar polymer, in which the electrostriction effect is implemented. However, the transverse electrostrictive effects cannot be used except in the case of implementation of great lengths and significant voltages, so that their effects are not negligible.

b) La seconde solution, proposée dans cette demande de brevet, consiste à créer dans la gaine piézoélectrique une polarisation rémanente hétérogène, de sorte que celle ci soit partout dans la même direction que celle du champ appliqué pour la modulation. b) The second solution, proposed in this patent application, consists in creating a heterogeneous remanent polarization in the piezoelectric sheath, so that it is everywhere in the same direction as that of the field applied for modulation.

En effet, l'eff et piézoélectrique est une conséquence de l'effet élec trostrictif, lequel est autopolarisé par la polarisation rémanente. Indeed, the piezoelectric and eff is a consequence of the trostrictive electic effect, which is autopolarized by the remanent polarization.

Cette solution est mise en oeuvre selon le procédé suivant:
- opérer sur la métallisation de la gaine non polarisée une interruption, comme représenté sur la figure 4.
This solution is implemented according to the following method:
- operate on the metallization of the non-polarized sheath with an interruption, as shown in FIG. 4.

- connecter entre les deux électrodes la source de tension de polarisation, et procéder à ropération de polarisation. - connect the polarization voltage source between the two electrodes, and carry out polarization operation.

- Popération de polarisation terminée, la source de tension de polarisation est alors remplacée par la source de tension de modulation. - Polarization population finished, the polarization voltage source is then replaced by the modulation voltage source.

On remarque qu'en admettant que la polarisation rémanente, donc le coefficient piezoélectrique, soit proportionnel au champ de polarisation, la position de l'interruption de métallisation est importante. It is noted that by admitting that the remanent polarization, therefore the piezoelectric coefficient, is proportional to the field of polarization, the position of the interruption of metallization is important.

Au contraire, si le coefficient piezoélectrique a atteint sa valeur de saturation dans les deux tronçons, la position de l'interruption de métallisation est indifférente (le champ électrique dans une section étant inversement proportionnel à sa longueur). On the contrary, if the piezoelectric coefficient has reached its saturation value in the two sections, the position of the metallization interruption is indifferent (the electric field in a section being inversely proportional to its length).

On peut alors considérer différents exemples de mise en oeuvre. We can then consider different examples of implementation.

La fibre peut être métallisée par méthode électroless. Une autre technique consiste à effectuer un pré-gainage à l'aide dun polymère conducteur, par exemple le copolymère polyfluorure de vinylidène/polytri- fluoroéthylène (PVF2/PTrFE) de faible masse moléculaire, chargé dau moins 15 % de poudre de carbone conducteur. Le gainage proprement dit est effectué à l'aide d'un polymère piézoélectrique, qui ne nécessite pas d'étirement Pour induction de la phase polaire, par exemple de la forme:

Figure img00050001

ou mieux P
Figure img00050002
The fiber can be metallized by electroless method. Another technique consists in carrying out a pre-cladding using a conductive polymer, for example the low molecular weight polyvinylidene / polytrifluoroethylene (PVF2 / PTrFE) copolymer loaded with at least 15% of conductive carbon powder. The actual sheathing is carried out using a piezoelectric polymer, which does not require stretching. For induction of the polar phase, for example of the form:
Figure img00050001

or better P
Figure img00050002

Enfin, l'électrode externe peut à nouveau être obtenue par procède électroless, ou par surgainage de polymère conducteur. Finally, the external electrode can again be obtained by electroless process, or by sheathing of conductive polymer.

Dans ce cas, des électrodes en polymère conducteur, les trois couches polymères peuvent être obtenues par triple coextrusion coaxiale avec la fibre, du fait de leur bonne comptabilité. In this case, electrodes made of conductive polymer, the three polymer layers can be obtained by triple coaxial coextrusion with the fiber, due to their good compatibility.

L'interruption de l'électrode externe peut être pratiquée mécaniques ment ou chimiquement par dissolution; la polarisation est effectuée en portant les deux électrodes à une différence de potentiel créant dans la fibre un champ d'environ 1 MV/cm, soit par exemple, pour 100 /um de gaine,
V = 20.000 V, pendant 5 minutes à température ambiante.
The interruption of the external electrode can be practiced mechanically or chemically by dissolution; the polarization is carried out by bringing the two electrodes to a potential difference creating in the fiber a field of approximately 1 MV / cm, that is for example, for 100 / μm of sheath,
V = 20,000 V, for 5 minutes at room temperature.

La zone 13 d'interruption d'électrode peut être surgainée d'un polymère isolant 14, déposé par exemple, en solution, comme représenté à la figure 6, afin d'éviter le claquage dans cette zone de largeur par exemple de quelques millimètres. The electrode interruption zone 13 can be overgrown with an insulating polymer 14, deposited for example, in solution, as shown in FIG. 6, in order to avoid breakdown in this zone of width, for example of a few millimeters.

Cette coupure 13 peut être réalisée en utilisant un dissolvant. This cut 13 can be achieved using a solvent.

Le dispositif l'invention peut être répété plusieurs fois le long d'une même fibre, comme représenté à la figure 7. The device of the invention can be repeated several times along the same fiber, as shown in FIG. 7.

Les électrodes du dispositif de l'invention peuvent avoir la forme d'une hélice. The electrodes of the device of the invention may have the shape of a helix.

Ainsi sur la figure 8 l'électrode interne 10 à la forme d'une hélice, et à la figure 9 les électrodes externes Il et 12 ont cette forme avec, entre elles, la coupure 13. Thus in FIG. 8 the internal electrode 10 in the form of a helix, and in FIG. 9 the external electrodes II and 12 have this form with, between them, the cut 13.

Ces électrodes peuvent être obtenues par rubanage ou par toute autre méthode de dépot en hélice d'une couche d'aluminium très mince par exemple. These electrodes can be obtained by tape or by any other method of helically depositing a very thin aluminum layer for example.

Cette variante du dispositif de l'invention permet alors d'obtenir une contrainte qui a une variation en hélice. This variant of the device of the invention then makes it possible to obtain a stress which has a helical variation.

Claims (9)

Translated fromFrench
REVENDICATIONS 1. Dispositif modulateur électrooptique comprenant une fibre qui comporte un coeur (1) et une gaine (4) optique en matériau piézoélectrique et deux électrodes extérieures (11,12) disposées sur la surface extérieure de cette gaine (4), une différence de potentiel (V) étant appliquée entre ces deux électrodes (11,12), caractérisé en ce qu'il comporte en outre une électrode interne (10) disposée entre le coeur (1) et la gaine (4) de ladite fibre. 1. Electrooptical modulator device comprising a fiber which comprises a core (1) and an optical sheath (4) made of piezoelectric material and two external electrodes (11,12) arranged on the external surface of this sheath (4), a potential difference (V) being applied between these two electrodes (11,12), characterized in that it further comprises an internal electrode (10) disposed between the core (1) and the sheath (4) of said fiber. 2. Dispositif selon la revendication 1, caractérisé en ce que ce matériau piézoélcctrique est un matériau polymère 2. Device according to claim 1, characterized in that this piezoelectric material is a polymer material 3. Dispositif selon la revendication 2, caractérise en ce que ce matériau polymère est du polyfluorure de vinylidène. 3. Device according to claim 2, characterized in that this polymeric material is polyvinylidene fluoride. 4. Dispositif selon la revendication 1, caractérisé en ce que le matériau piézoélectrique est un copolymère du polyfluorure de vinylidène 4. Device according to claim 1, characterized in that the piezoelectric material is a copolymer of polyvinylidene fluoride 5. Dispositif selon la revendication 4 caractérisé en ce que ce copolymère est le polytétrafluoroéthylène. 5. Device according to claim 4 characterized in that this copolymer is polytetrafluoroethylene. 6. Dispositif selon la revendication 4, caractérisé en ce que ce copolymère est le polytrifluoroéthylène. 6. Device according to claim 4, characterized in that this copolymer is polytrifluoroethylene. 7. Dispositif selon la revendication 1, caractérise en ce qu'une couche de polymere (14) isolant est déposée au dessus de la zone située entre les deux électrodes externe (li,12). 7. Device according to claim 1, characterized in that an insulating polymer layer (14) is deposited above the zone situated between the two external electrodes (li, 12). 8. Dispositif selon la revendication 1 caractérisé en ce que l'électrode interne est un ruban ayant la forme dune hélice enroulée autour du coeur (1) de la fibre. 8. Device according to claim 1 characterized in that the internal electrode is a ribbon having the shape of a helix wound around the core (1) of the fiber. 9. Dispositif selon la revendication 1, caractérisé en ce que les électrodes externes (11,12) sont deux rubans ayant la forme dune hélice enroulée autour de la gaine optique (4) de la fibre. 9. Device according to claim 1, characterized in that the external electrodes (11,12) are two strips having the shape of a helix wound around the optical sheath (4) of the fiber.
FR8402856A1984-02-241984-02-24 ELECTRO-OPTICAL MODULATOR DEVICE HAVING OPTICAL FIBERExpiredFR2560394B1 (en)

Priority Applications (1)

Application NumberPriority DateFiling DateTitle
FR8402856AFR2560394B1 (en)1984-02-241984-02-24 ELECTRO-OPTICAL MODULATOR DEVICE HAVING OPTICAL FIBER

Applications Claiming Priority (1)

Application NumberPriority DateFiling DateTitle
FR8402856AFR2560394B1 (en)1984-02-241984-02-24 ELECTRO-OPTICAL MODULATOR DEVICE HAVING OPTICAL FIBER

Publications (2)

Publication NumberPublication Date
FR2560394A1true FR2560394A1 (en)1985-08-30
FR2560394B1 FR2560394B1 (en)1986-06-06

Family

ID=9301376

Family Applications (1)

Application NumberTitlePriority DateFiling Date
FR8402856AExpiredFR2560394B1 (en)1984-02-241984-02-24 ELECTRO-OPTICAL MODULATOR DEVICE HAVING OPTICAL FIBER

Country Status (1)

CountryLink
FR (1)FR2560394B1 (en)

Cited By (3)

* Cited by examiner, † Cited by third party
Publication numberPriority datePublication dateAssigneeTitle
EP0356056A1 (en)*1988-08-161990-02-28Gec-Marconi LimitedOptical phase modulator
WO2004055576A1 (en)*2002-12-172004-07-01Koninklijke Philips Electronics N.V.Electro-optic filament or fibre
US20070258673A1 (en)*2006-05-082007-11-08El-Sherif Mahmoud AOn-fiber tunable bragg gratings for DWDM applications

Citations (2)

* Cited by examiner, † Cited by third party
Publication numberPriority datePublication dateAssigneeTitle
US4068191A (en)*1975-08-221978-01-10Gte Laboratories IncorporatedAcoustooptic modulator for optical fiber waveguides
EP0084736A1 (en)*1982-01-211983-08-03Minnesota Mining And Manufacturing CompanyOptical fibers having piezoelectric coatings

Patent Citations (2)

* Cited by examiner, † Cited by third party
Publication numberPriority datePublication dateAssigneeTitle
US4068191A (en)*1975-08-221978-01-10Gte Laboratories IncorporatedAcoustooptic modulator for optical fiber waveguides
EP0084736A1 (en)*1982-01-211983-08-03Minnesota Mining And Manufacturing CompanyOptical fibers having piezoelectric coatings

Non-Patent Citations (1)

* Cited by examiner, † Cited by third party
Title
APPLIED OPTICS, vol. 22, no 7, avril 1983, pages 1006-1009, New York (US); M.D. MERMELSTEIN,: "Optical-fiber copolymer-film electric-field sensor."*

Cited By (4)

* Cited by examiner, † Cited by third party
Publication numberPriority datePublication dateAssigneeTitle
EP0356056A1 (en)*1988-08-161990-02-28Gec-Marconi LimitedOptical phase modulator
WO2004055576A1 (en)*2002-12-172004-07-01Koninklijke Philips Electronics N.V.Electro-optic filament or fibre
US20070258673A1 (en)*2006-05-082007-11-08El-Sherif Mahmoud AOn-fiber tunable bragg gratings for DWDM applications
US8805136B2 (en)*2006-05-082014-08-12Photonics On-Fiber Devices, Inc.On-fiber tunable Bragg gratings for DWDM applications

Also Published As

Publication numberPublication date
FR2560394B1 (en)1986-06-06

Similar Documents

PublicationPublication DateTitle
EP0168313B1 (en)Piezoelectric transducer and pressure sensor using such a transducer
EP0260173B1 (en)Piezo-electric hydrophones with improved sensitivity
FR2496380A1 (en) PIEZORESISTIVE DEVICE WITH ELECTRICAL CONTROL
EP1474711B1 (en)Tunable optical filter component
FR2588093A1 (en) DIFFERENTIAL ABSORPTION POLARIZER, METHOD FOR PRODUCING THE SAME, AND DEVICE USING THE SAME
FR2950708A1 (en) COMPACT OPTICAL MODULATOR WITH HIGH FLOW IN SEMICONDUCTOR ON INSULATION.
EP0200594A1 (en)Integrated optical device for optical-polarization conversion
FR2811828A1 (en) SOUND WAVE DEVICE COMPRISING ALTERNATE POLARIZATION AREAS
EP0297948A1 (en)Piezoelectric transducer comprising several coaxial sensitive elements
FR2556165A1 (en) MULTI-LAYER POLYMER HYDROPHONE NETWORK
EP0233797B1 (en)Progressive-wave electro-optical directional coupler with alternate phase displacement
FR2560394A1 (en)Electrooptic modulator device comprising an optical fibre
FR2730853A1 (en) PROCESS FOR POLARIZING A SHEET OF LARGE SURFACE FERROELECTRIC MATERIAL
FR2694819A1 (en) Speed adaptation device between electrical and optical signals.
FR2804790A1 (en) PROCESS FOR POLARIZING A FERROELECTRIC MATERIAL IN THE FORM OF A CYLINDER
CA2154666A1 (en)Piezoelectric component fabrication process
EP0497666B1 (en)Waveguide electro-optic device
EP0021967A1 (en)Electro-optic device with electric birefringence comprising a polarized polymer
EP1692475A1 (en)Improved radiant-energy-measuring device with two positions
EP0521797A1 (en)Electrically controlled optical switch
EP1038202B1 (en)Pockels cell and optical switch with pockels cell
EP4423558B1 (en)Self-adaptive thin-film electromagnetic shielding screen
FR2858857A1 (en) COMMANDABLE FILTER WITH QUICK SWITCHING
FR2471616A1 (en)Electro=optic light modulator - is based on pockels effect and has photoconductive crystal between parallel plane transparent electrodes
WO2003007056A1 (en)Fast switching controllable filter

Legal Events

DateCodeTitleDescription
STNotification of lapse

[8]ページ先頭

©2009-2025 Movatter.jp