Movatterモバイル変換


[0]ホーム

URL:


ES2744587T3 - 1-Substituted pyrimidine N-nucleoside analogs for antiviral treatment - Google Patents

1-Substituted pyrimidine N-nucleoside analogs for antiviral treatment
Download PDF

Info

Publication number
ES2744587T3
ES2744587T3ES12716969TES12716969TES2744587T3ES 2744587 T3ES2744587 T3ES 2744587T3ES 12716969 TES12716969 TES 12716969TES 12716969 TES12716969 TES 12716969TES 2744587 T3ES2744587 T3ES 2744587T3
Authority
ES
Spain
Prior art keywords
compound
virus
inhibitors
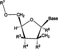
alkyl
hcv
Prior art date
Legal status (The legal status is an assumption and is not a legal conclusion. Google has not performed a legal analysis and makes no representation as to the accuracy of the status listed.)
Active
Application number
ES12716969T
Other languages
Spanish (es)
Inventor
Aesop Cho
Choung U Kim
Thorsten A Kirschberg
Michael R Mish
Neil Squires
Current Assignee (The listed assignees may be inaccurate. Google has not performed a legal analysis and makes no representation or warranty as to the accuracy of the list.)
Gilead Sciences Inc
Original Assignee
Gilead Sciences Inc
Priority date (The priority date is an assumption and is not a legal conclusion. Google has not performed a legal analysis and makes no representation as to the accuracy of the date listed.)
Filing date
Publication date
Application filed by Gilead Sciences IncfiledCriticalGilead Sciences Inc
Application grantedgrantedCritical
Publication of ES2744587T3publicationCriticalpatent/ES2744587T3/en
Activelegal-statusCriticalCurrent
Anticipated expirationlegal-statusCritical

Links

Classifications

Landscapes

Abstract

Translated fromSpanish

Un Compuesto seleccionado de:**Fórmula** o una sal farmacéuticamente aceptable de los mismos.A Compound selected from: ** Formula ** or a pharmaceutically acceptable salt thereof.

Description

Translated fromSpanish

DESCRIPCIÓNDESCRIPTION

Análogos de N-nucleósido de pirimidina 1-sustituidos para un tratamiento antiviral1-substituted pyrimidine N-nucleoside analogs for an antiviral treatment

CAMPO DE LA INVENCIÓNFIELD OF THE INVENTION

[0001]La invención se refiere en general a compuestos con actividad antiviral, más particularmente nucleósidos activos contra infecciones de virusFlaviviridae, Paramyxoviridae, Orthomyxoviridae,yPicornaviridae.[0001] The invention generally relates to compounds with antiviral activity, more particularly nucleosides active against infections ofFlaviviridae, Paramyxoviridae, Orthomyxoviridae, andPicornaviridae viruses.

ANTECEDENTES DE LA INVENCIÓNBACKGROUND OF THE INVENTION

[0002]Los virus que comprenden la familiaFlaviviridaecomprenden al menos tres géneros distinguibles incluyendopestivirus, flavivirus,yhepacivirus(Calisher, et al., J. Gen. Virol., 1993, 70, 37-43). Si bien lospestiviruscausan muchas enfermedades animales económicamente importantes, como el virus de la diarrea viral bovina (BVDV), el virus de la peste porcina clásica (CSFV, cólera porcina) y la enfermedad fronteriza de las ovejas (BDV), su importancia en la enfermedad humana está menos caracterizada (Moennig, V., y col., Adv. Vir. Res. 1992, 48, 53-98).Los flavivirusson responsables de importantes enfermedades humanas como el dengue y la fiebre amarilla, mientras que loshepaciviruscausan infecciones por el virus de la hepatitis C en humanos. Otras infecciones virales importantes causadas por la familiaFlaviviridaeincluyen el virus de la encefalitis japonesa (JEV) del virus del Nilo Occidental (VNO), el virus de la encefalitis transmitida por garrapatas, el virus Junjin, la encefalitis del valle de Murray, la encefalitis de San Luis, el virus de la fiebre hemorrágica de Omsk y el virus del Zika. Combinadas, las infecciones de la familia del virusFlaviviridaecausan mortalidad, morbilidad y pérdidas económicas significativas en todo el mundo. Por lo tanto, existe la necesidad de desarrollar tratamientos efectivos para las infecciones por el virusFlaviviridae.[0002] Viruses comprising theFlaviviridae family comprise at least three distinguishable genera includingpestivirus, flavivirus, andhepacivirus (Calisher, et al., J. Gen. Virol., 1993, 70, 37-43). Whilepestiviruses cause many economically important animal diseases, such as bovine viral diarrhea virus (BVDV), classical swine fever virus (CSFV, swine cholera) and border sheep disease (BDV), their importance in human disease is less characterized (Moennig, V., et al., Adv. Vir. Res. 1992, 48, 53-98).Flaviviruses are responsible for important human diseases such as dengue and yellow fever, whilehepaciviruses cause hepatitis C virus infections in humans. Other important viral infections caused by theFlaviviridae family include the Japanese Nile Encephalitis virus (WNV), the tick-borne encephalitis virus, the Junjin virus, the Murray Valley encephalitis, the encephalitis from St. Louis, the Omsk hemorrhagic fever virus and the Zika virus. Combined, infections of theFlaviviridae virus family cause mortality, morbidity and significant economic losses worldwide. Therefore, there is a need to develop effective treatments forFlaviviridae virus infections.

[0003]Un miembro común de la familiaFlaviviridaees virus de la hepatitis C (VHC). El VHC es la principal causa de enfermedad hepática crónica en todo el mundo (Boyer, N. et al. J Hepatol. 32: 98-112, 2000), por lo que un enfoque importante de la investigación antiviral actual se dirige al desarrollo de mejores métodos de tratamiento de infecciones de VHC crónico en humanos (Di Besceglie, AM y Bacon, BR, Scientific American, oct.: 80-85, (1999); Gordon, CP, et al., J. Med. Chem. 2005, 48, 1-20; Maradpour, D.; y col., Nat. Rev. Micro. 2007, 5 (6), 453-463). Bymock et al. Revisan varios tratamientos contra el VHC. en Antiviral Chemistry & Chemotherapy, 11: 2; 79-95 (2000).[0003] A common member of theFlaviviridae family is hepatitis C virus (HCV). HCV is the leading cause of chronic liver disease worldwide (Boyer, N. et al. J Hepatol. 32: 98-112, 2000), so an important approach to current antiviral research is aimed at the development of Better methods of treating chronic HCV infections in humans (Di Besceglie, AM and Bacon, BR, Scientific American, Oct .: 80-85, (1999); Gordon, CP, et al., J. Med. Chem. 2005 , 48, 1-20; Maradpour, D .; et al., Nat. Rev. Micro. 2007, 5 (6), 453-463). Bymock et al. They review several treatments for HCV. in Antiviral Chemistry & Chemotherapy, 11: 2; 79-95 (2000).

[0004]La ARN polimerasa dependiente de ARN (RdRp) es uno de los objetivos mejor estudiados para el desarrollo de nuevos agentes terapéuticos del VHC. La polimerasa NS5B es un objetivo para los inhibidores en los primeros ensayos clínicos en humanos (Sommadossi, J., WO 01/90121 A2, US 2004/0006002 A1). Estas enzimas se han caracterizado ampliamente a nivel bioquímico y estructural, con ensayos de detección para identificar inhibidores selectivos (De Clercq, E. (2001) J. Pharmacol. Exp. Ter. 297: 1-10; De Clercq, E. (2001)) J. Clin. Virol. 22: 73-89). Los objetivos bioquímicos como NS5B son importantes en el desarrollo de terapias contra el VHC, ya que el VHC no se replica en el laboratorio y existen dificultades para desarrollar ensayos basados en células y sistemas preclínicos de animales.[0004] RNA-dependent RNA polymerase (RdRp) is one of the best studied objectives for the development of new HCV therapeutic agents. NS5B polymerase is a target for inhibitors in the first clinical trials in humans (Sommadossi, J., WO 01/90121 A2, US 2004/0006002 A1). These enzymes have been broadly characterized at the biochemical and structural level, with screening assays to identify selective inhibitors (De Clercq, E. (2001) J. Pharmacol. Exp. Ter. 297: 1-10; De Clercq, E. (2001 )) J. Clin. Virol 22: 73-89). Biochemical targets such as NS5B are important in the development of HCV therapies, since HCV is not replicated in the laboratory and there are difficulties in developing cell-based assays and preclinical animal systems.

[0005]Actualmente, existen principalmente dos compuestos antivirales, ribavirina, un análogo de nucleósido, e interferón-alfa (a) (IFN), que se utilizan para el tratamiento de infecciones por VHC crónica en humanos. La ribavirina sola no es efectiva para reducir los niveles de ARN viral, tiene una toxicidad significativa y se sabe que induce anemia. Se ha informado que la combinación de IFN y ribavirina es efectiva en el tratamiento de la hepatitis C crónica (Scott, LJ, et al. Drugs 2002, 62, 507-556), pero menos de la mitad de los pacientes que recibieron este tratamiento muestran un beneficio persistente. Otras solicitudes de patente que describen el uso de análogos de nucleósidos para tratar el virus de la hepatitis C incluyen WO 01/32153, WO 01/60315, WO 02/057425, WO 02/057287, WO 02/032920, WO 02/18404, WO 04/046331, WO2008/089105 y WO2008/141079, pero los tratamientos adicionales para las infecciones por VHC aún no están disponibles para los pacientes.[0005] Currently, there are mainly two antiviral compounds, ribavirin, a nucleoside analogue, and interferon-alpha (a) (IFN), which are used for the treatment of chronic HCV infections in humans. Ribavirin alone is not effective in reducing viral RNA levels, has significant toxicity and is known to induce anemia. The combination of IFN and ribavirin has been reported to be effective in the treatment of chronic hepatitis C (Scott, LJ, et al. Drugs 2002, 62, 507-556), but less than half of the patients who received this treatment Show a persistent benefit. Other patent applications describing the use of nucleoside analogs to treat hepatitis C virus include WO 01/32153, WO 01/60315, WO 02/057425, WO 02/057287, WO 02/032920, WO 02/18404 , WO 04/046331, WO2008 / 089105 and WO2008 / 141079, but additional treatments for HCV infections are not yet available to patients.

[0006]Las curas virológicas de pacientes con infección crónica por el VHC son difíciles de lograr debido a la prodigiosa cantidad de producción diaria de virus en pacientes con infección crónica y la alta mutabilidad espontánea del virus del VHC (Neumann, et al., Science 1998, 282, 103- 7; Fukimoto, et al., Hepatology, 1996, 24, 1351-4; Domingo, et al., Gene, 1985, 40, 1-8; Martell, et al., J. Virol. 1992, 66, 3225-9. Se ha demostrado que los análogos nucleósidos antivirales experimentales inducen mutaciones viables en el virus del VHC tantoin vivocomoin vitro(Migliaccio, et al., J. Biol. Chem. 2003, 926; Carroll, et al., Antimicrobial Agents Chemotherapy 2009, 926; Brown, Ab , Expert Opin. Investig. Drugs 2009, 18, 709-725). Por lo tanto, los medicamentos que tienen propiedades antivirales mejoradas, particularmente actividad mejorada contra cepas resistentes de virus, biodisponibilidad oral mejorada, menos lado indeseable Los efectos y la vida media efectiva extendidain vivo(De Francesco, R. et al. (2003) Antiviral Research 58: 1-16) se requieren urgentemente.[0006] The virological cures of patients with chronic HCV infection are difficult to achieve due to the prodigious amount of daily virus production in patients with chronic infection and the high spontaneous mutability of the HCV virus (Neumann, et al., Science 1998, 282, 103-7; Fukimoto, et al., Hepatology, 1996, 24, 1351-4; Domingo, et al., Gene, 1985, 40, 1-8; Martell, et al., J. Virol. 1992, 66, 3225-9 It has been shown that experimental antiviral nucleoside analogs induce viable mutations in the HCV virus bothin vivo andin vitro (Migliaccio, et al., J. Biol. Chem. 2003, 926; Carroll, et al., Antimicrobial Agents Chemotherapy 2009, 926; Brown, Ab, Expert Opin. Investig. Drugs 2009, 18, 709-725) .Therefore, drugs that have improved antiviral properties, particularly enhanced activity against resistant strains of viruses , improved oral bioavailability, less undesirable side Effects and extended effective half-lifein vivo (De Francesco, R. et al. (2003) Antiviral Research 58: 1-16) are urgently required.

[0007]Nucleósidos y nucleótidos 2'-deoxi-2'-fluoro anti HCV han sido descritos por Sofia (WO/2008/121634), Attenni (WO/2008/142055), Narjes (WO/2008/085508), Wang (WO/2006/012440), Clark (WO/2005/003147) y Sommadossi (WO/2004/002999) pero ninguno de estos compuestos ha estado disponible para los pacientes.[0007] Nucleosides and nucleotides 2'-deoxy-2'-fluoro anti HCV have been described by Sofia (WO / 2008/121634), Attenni (WO / 2008/142055), Narjes (WO / 2008/085508), Wang ( WO / 2006/012440), Clark (WO / 2005/003147) and Sommadossi (WO / 2004/002999) but none of these compounds has been available to patients.

[0008]Los virus de influenza de la familiaOrthomyxoviridaeque pertenecen a los géneros A y B son los responsables de las epidemias de gripe estacional cada año, que causan infecciones respiratorias agudas contagiosas. Los niños, los ancianos y las personas con enfermedades crónicas corren un alto riesgo de desarrollar complicaciones graves que conducen a altas tasas de morbilidad y mortalidad (Memoli et al., Drug Discovery Today 2008, 13, 590-595). Entre los tres géneros de influenza, los virus tipo A son los patógenos humanos más virulentos que causan la enfermedad más grave, pueden transmitirse a otras especies y dan lugar a pandemias de influenza humana. El reciente brote de influenza humana de la cepa agresiva porcina A/H1N1 en 2009 ha hecho hincapié en la necesidad de nuevas terapias antivirales. Si bien los programas de vacunación anuales se utilizan actualmente para proteger a las poblaciones de la infección por influenza, estos programas deben anticipar que las cepas de virus que prevalecerán durante los brotes estacionales sean efectivas y no abordan el problema de las pandemias de influenza repentinas e imprevistas. El reciente brote de influenza humana de la cepa agresiva porcina A/H1N1 en 2009 es un ejemplo de este problema. Por lo tanto, existe una continua necesidad de nuevas terapias anti-influenza.[0008] Influenza viruses of the familyOrthomyxoviridae belonging to genera A and B are responsible of seasonal flu epidemics every year, which cause contagious acute respiratory infections. Children, the elderly and people with chronic diseases are at high risk of developing serious complications that lead to high rates of morbidity and mortality (Memoli et al., Drug Discovery Today 2008, 13, 590-595). Among the three genera of influenza, type A viruses are the most virulent human pathogens that cause the most serious disease, can be transmitted to other species and lead to human influenza pandemics. The recent outbreak of human influenza from the aggressive swine strain A / H1N1 in 2009 has emphasized the need for new antiviral therapies. While annual vaccination programs are currently used to protect populations from influenza infection, these programs should anticipate that the virus strains that will prevail during seasonal outbreaks are effective and do not address the problem of sudden influenza pandemics. unforeseen The recent outbreak of human influenza from the aggressive swine strain A / H1N1 in 2009 is an example of this problem. Therefore, there is a continuing need for new anti-influenza therapies.

[0009]El documento WO 01/90121 A2 se refiere a un método y composición para tratar un huésped infectado con hepatitis C que comprende administrar una cantidad eficaz de tratamiento de hepatitis C de un nucleósido modificado 1', 2' o 3 'o una sal o profármaco farmacéuticamente aceptable.[0009] WO 01/90121 A2 refers to a method and composition for treating a hepatitis C infected host comprising administering an effective amount of hepatitis C treatment of a modified 1 ', 2' or 3 'nucleoside or a pharmaceutically acceptable salt or prodrug.

[0010]Haidong Huang y col., Journal of the American Chemical Society, vol. 131, no. 4, 4 de febrero de 2009, páginas 1344-1345 se refiere a la inhibición competitiva de uracilo ADN glicosilasa por un nucleótido modificado cuyo trifosfato es un sustrato para la ADN polimerasa.[0010] Haidong Huang et al., Journal of the American Chemical Society, vol. 131, no. 4, February 4, 2009, pages 1344-1345 refers to the competitive inhibition of uracil DNA glycosylase by a modified nucleotide whose triphosphate is a substrate for DNA polymerase.

[0011]Peter Grünefeld y col., Journal of Organic Chemistry, vol. 69, no. 22, 1 de octubre de 2004, páginas 7543-7551 se refiere a la síntesis de una 1'-aminometiltimidina y oligodesoxirribonucleótidos con residuos de 1'-acilamidometiltimidina.[0011] Peter Grünefeld et al., Journal of Organic Chemistry, vol. 69, no. 22, October 1, 2004, pages 7543-7551 refers to the synthesis of a 1'-aminomethylthymidine and oligodeoxyribonucleotides with residues of 1'-acylamidomethylthymidine.

[0012]Tetsuya Kodama et al., Chemistry- A European Journal, vol. 7, n° 11, 1 de junio de 2011, páginas 2332-2340 se refiere a un método para la preparación de ribonucleósidos de pirimidina de azúcar de cadena ramificada 1'a de uridina.[0012] Tetsuya Kodama et al., Chemistry- A European Journal, vol. 7, No. 11, June 1, 2011, pages 2332-2340 refers to a method for the preparation of branched-chain sugar pyrimidine ribonucleosides 1'a of uridine.

[0013]Valérie Uteza et al., Tetrahedron, vol. 49, n° 38, 1 de septiembre de 1993, páginas 8579-8588 se refiere a la determinación de síntesis y estructura de nucleósidos 1'-C-ciano-p-D.[0013] Valérie Uteza et al., Tetrahedron, vol. 49, No. 38, September 1, 1993, pages 8579-8588 refers to the determination of synthesis and structure of nucleosides 1'-C-cyano-pD.

SUMARIO DE LA INVENCIÓNSUMMARY OF THE INVENTION

[0014]Se proporcionan compuestos que inhiben los virus de la familiaFlaviviridae.La invención también comprende compuestos que inhiben las polimerasas de ácido nucleico viral, particularmente la ARN polimerasa dependiente de ARN del VHC (RdRp), en lugar de las polimerasas de ácido nucleico celular. Sin desear limitarse a la teoría, los compuestos de la invención pueden inhibir la ARN polimerasa dependiente de ARN viral y, por lo tanto, inhibir la replicación del virus. Los compuestos de la invención son útiles para tratar infecciones porFlaviviridae,incluida la hepatitis C, en humanos y otros animales. Sorprendentemente se ha encontrado que cuando R6 es distinto de hidrógeno, como, por ejemplo, ciano, alquenilo o alquinilo, los compuestos tienen una selectividad celular mejorada. Esto se explica con más detalle en los ejemplos a continuación.[0014] Compounds that inhibit viruses of theFlaviviridae family are provided. The invention also comprises compounds that inhibit viral nucleic acid polymerases, particularly HCV RNA-dependent RNA polymerase (RdRp), rather than cellular nucleic acid polymerases. Without wishing to limit the theory, the compounds of the invention can inhibit viral RNA-dependent RNA polymerase and therefore inhibit virus replication. The compounds of the invention are useful for treatingFlaviviridae infections, including hepatitis C, in humans and other animals. Surprisingly it has been found that when R6 is other than hydrogen, such as cyano, alkenyl or alkynyl, the compounds have an improved cell selectivity. This is explained in more detail in the examples below.

[0015]La presente invención proporciona un compuesto seleccionado de:[0015] The present invention provides a compound selected from:

Figure imgf000003_0001
Figure imgf000003_0001

Figure imgf000004_0001
Figure imgf000004_0001

o una sal farmacéuticamente aceptable del mismo.or a pharmaceutically acceptable salt thereof.

DESCRIPCIÓN DETALLADA DE REALIZACIONES EJEMPLARESDETAILED DESCRIPTION OF EXEMPLARY EMBODIMENTS

[0016]Ahora se hará referencia en detalle a ciertas realizaciones de la invención, ejemplos de las cuales se ilustran en la descripción adjunta, las estructuras y fórmulas. Si bien la invención se describirá junto con las realizaciones enumeradas, se entenderá que no están destinadas a limitar la invención a esas realizaciones. Por el contrario, la invención está destinada a cubrir todas las alternativas, modificaciones y equivalentes, que pueden incluirse dentro del alcance de la presente invención.[0016] Reference will now be made in detail to certain embodiments of the invention, examples of which are illustrated in the attached description, structures and formulas. While the invention will be described in conjunction with the listed embodiments, it will be understood that they are not intended to limit the invention to those embodiments. On the contrary, the invention is intended to cover all alternatives, modifications and equivalents, which may be included within the scope of the present invention.

CompuestosCompounds

[0017]Los compuestos de la presente invención, que se describen anteriormente, son compuestos de Fórmula I. Además, los compuestos de Fórmula I también se describen en el presente documento. Por lo tanto, la presente descripción proporciona compuestos de Fórmula I:[0017] The compounds of the present invention, which are described above, are compounds of Formula I. In addition, the compounds of Formula I are also described herein. Therefore, the present description provides compounds of Formula I:

Figure imgf000005_0001
Figure imgf000005_0001

o una sal farmacéuticamente aceptable de los mismos;or a pharmaceutically acceptable salt thereof;

en donde:where:

Base es una base de pirimidina natural o modificada;Base is a natural or modified pyrimidine base;

R1 es H, CN, ORa, (C1-C4) alquilo, (C1-C4) alquilo sustituido, (C2-C4) alquenilo, (C2-C4) alquenilo sustituido, (C2-C4) alquinilo, (C2-C4) alquinilo sustituido o S(O)nRa;R1 is H, CN, ORa, (C1 -C4 ) alkyl, (C1 -C4 ) substituted alkyl, (C2 -C4 ) alkenyl, (C2 -C4 ) substituted alkenyl, (C2 - C4 ) alkynyl, (C2 -C4 ) substituted alkynyl or S (O) nRa;

R2 es H, ORa, N(Ra)2, N3, CN, NO2, S(O)nRa, (C1-C4) alquilo, (C4-C6) cicloalquilalquilo, (C1-C4) alquilo sustituido, (C2-C4) alquenilo, (C2-C4) alquenilo sustituido, (C2-C4) alquinilo, o (C2-C4) alquinilo sustituido; o R1 y R2 tomados junto con el carbono al que están unidos forman un anillo de cicloalquilo de 3 a 6 miembros en el que 1 a 3 átomos de carbono de dicho anillo de cicloalquilo está opcionalmente reemplazado por O o S(O)n;R2 is H, ORa, N (Ra)2 , N3 , CN, NO2 , S (O) nRa, (C1 -C4 ) alkyl, (C4 -C6 ) cycloalkylalkyl, (C1 -C4 ) substituted alkyl, (C2 -C4 ) alkenyl, (C2 -C4 ) substituted alkenyl, (C2 -C4 ) alkynyl, or (C2 -C4 ) substituted alkynyl; or R1 and R2 taken together with the carbon to which they are attached form a 3 to 6 membered cycloalkyl ring in which 1 to 3 carbon atoms of said cycloalkyl ring is optionally replaced by O or S (O) n;

R3, R4 y R5 son cada uno independientemente H, ORa, N(Ra)2, N3, CN, NO2, S(O)nRa, halógeno, (C1-C4) alquilo, (C4-C8) cicloalquilalquil, (C1-C4) alquilo sustituido, (C2-C4) alquinilo, (C2-C4) alquenilo sustituido, (C2-C4) alquinilo, o (C2-C4) alquinilo sustituido;R3, R4 and R5 are each independently H, ORa, N (Ra)2 , N3 , CN, NO2 , S (O) nRa, halogen, (C1 -C4 ) alkyl, (C4 -C8 ) cycloalkylalkyl, (C1 -C4 ) substituted alkyl, (C2 -C4 ) alkynyl, (C2 -C4 ) substituted alkenyl, (C2 -C4 ) alkynyl, or (C2 -C4 ) alkynyl replaced;

o dos de R3, R4 o R5 en átomos de carbono adyacentes cuando se toman juntos son -O(CO)O- o cuando se toman junto con los átomos de carbono del anillo a los que están unidos para formar un doble enlace; R6 esC n ,etenilo, 2-haloeten-1-ilo, o (C2-C8)alquin-1-ilo,or two of R3, R4 or R5 in adjacent carbon atoms when taken together are -O (CO) O- or when taken together with the carbon atoms of the ring to which they are attached to form a double bond; R6 isC n, ethenyl, 2-haloeten-1-yl, or (C2 -C8 ) alkynyl-1- yl,

cada n es independientemente 0, 1, o 2;each n is independently 0, 1, or 2;

cada Ra es independientemente H, (C1-C8) alquilo, (C2-C8) alquenilo, (C2-C8) alquinilo, arilo (C1-C8) alquilo, (C4-C8) cicloalquilalquilo, -C(=O)R11, -C(=O)OR11, -C(=O)NR"R12, -C(=O)SR11, -S(O)R11, -S(O)2R11, -S(O)(OR11), -S(O)2(OR11), o -SO2NR11R12;each Ra is independently H, (C1 -C8 ) alkyl, (C2 -C8 ) alkenyl, (C2 -C8 ) alkynyl, aryl (C1 -C8 ) alkyl, (C4 -C8 ) cycloalkylalkyl, -C (= O) R11, -C (= O) OR11, -C (= O) NR "R12, -C (= O) SR11, -S (O) R11, -S (O)2 R11 , -S (O) (OR11), -S (O)2 (OR11), or -SO2 NR11R12;

R7 es H, -C(=O)R11, -C(=O)OR11, -C(=O)NR"R12, -C(=O)SR11, -S(O)R11, -S(O)2R11, -S(O)(OR11), -S(O)2(OR11), -SO2NR11R12, o el grupo de Fórmula laR7 is H, -C (= O) R11, -C (= O) OR11, -C (= O) NR "R12, -C (= O) SR11, -S (O) R11, -S (O)2 R11, -S (O) (OR11), -S (O)2 (OR11), -SO2 NR11 R12, or the group of Formula la

Figure imgf000005_0002
Figure imgf000005_0002

Formula laFormulate

en dondewhere

Y es O, S, NR, N(O)(R), N(OR), N(O)(OR) o N-NR2;Y is O, S, NR, N (O) (R), N (OR), N (O) (OR) or N-NR2 ;

W 1 y W2, cuando se toman juntos, son -Y3(C(Ry)2)3Y3-;W 1 and W2, when taken together, are -Y3 (C (Ry)2 )3 Y3-;

o uno de W 1 o W2 junto con R3 o R4 es -Y3- y el otro de W 1 o W2 es Fórmula Ib;or one of W 1 or W2 together with R3 or R4 is -Y3- and the other of W 1 or W2 is Formula Ib;

o W 1 y W2 son cada uno, independientemente, un grupo de Fórmula Ib:or W 1 and W2 are each, independently, a group of Formula Ib:

Figure imgf000005_0003
Figure imgf000005_0003

Formula IbFormula Ib

en donde:where:

cada Y1 es independientemente O, S, NR, N(O)(R), N(OR), N(O)(OR), o N-NR2;each Y1 is independently O, S, NR, N (O) (R), N (OR), N (O) (OR), or N-NR2 ;

cada Y2 es independientemente un enlace, O, CR2, NR, N(O)(R), N(OR), N(O)(OR), N-NR2, S, S-S, S (O), o S(O)2;Each Y2 is independently a link, O, CR2 , NR, N (O) (R), N (OR), N (O) (OR), N-NR2 , S, SS, S (O), or S (O)2 ;

cada Y3 es independientemente O, S, o NR;each Y3 is independently O, S, or NR;

M2 es 0, 1 o 2;M2 is 0, 1 or 2;

cada Rx es un grupo de Fórmula IcEach Rx is a group of Formula Ic

Figure imgf000006_0001
Figure imgf000006_0001

en donde:where:

cada M1a, M1c y M1d es independientemente 0 o 1;each M1a, M1c and M1d is independently 0 or 1;

M1b es 0, 1, 2, 3, 4, 5, 6, 7, 8, 9, 10, 11 o 12;M1b is 0, 1, 2, 3, 4, 5, 6, 7, 8, 9, 10, 11 or 12;

cada Ry es independientemente H, F, Cl, Br, I, -CN, -N3, -NO2, -OR, -C(R)2-O-C(R)3, -C(=Y1)R, -C(=Y1)R13, -C(=Y1)OR, -C(=Y1)N(R)2, -N(R)2, -+N(R)3, -SR, -S(O)R, -S(O)2R, -S(O)2R13, -S(O)(OR), -S(O)2(OR), -OC(=Y1)R, -OC(=Y1)OR, -OC(=Y1)(N(R)2), -SC(=Y1)R, -SC(=Y1)OR, -SC(=Y1)(N(R)2), -N(R)C(=Y1)R, -N(R)C(=Y1)OR, -N(R)C(=Y1)N(R)2, -SO2NR2, (C1-C8) alquilo, (C2-C8) alquenilo, (C2-C8) alquinilo, (C6-C20) arilo, (C3-C20) cicloalquilo, (C2-C20) heterociclilo, arilalquilo, o heteroarilalquilo,each Ry is independently H, F, Cl, Br, I, -CN, -N3 , -NO2 , -OR, -C (R)2 -OC (R)3 , -C (= Y1) R, - C (= Y1) R13, -C (= Y1) OR, -C (= Y1) N (R) 2, -N (R) 2, - + N (R) 3, -SR, -S (O) R, -S (O) 2R, -S (O) 2R13, -S (O) (OR), -S (O) 2 (OR), -OC (= Y1) R, -OC (= Y1) OR , -OC (= Y1) (N (R) 2), -SC (= Y1) R, -SC (= Y1) OR, -SC (= Y1) (N (R) 2), -N (R) C (= Y1) R, -N (R) C (= Y1) OR, -N (R) C (= Y1) N (R)2 , -SO2 NR2 , (C1 -C8 ) alkyl, (C2 -C8 ) alkenyl, (C2 -C8 ) alkynyl, (C6 -C20 ) aryl, (C3 -C20 ) cycloalkyl, (C2 -C20 ) heterocyclyl, arylalkyl, or heteroarylalkyl,

en donde cada (C1-C8) alquilo, (C2-C3) alquenilo, (C2-C3) alquinilo, (C6-C20) arilo, (C3-C20) cicloalquilo,wherein each (C1 -C8 ) alkyl, (C2 -C3 ) alkenyl, (C2 -C3 ) alkynyl, (C6 -C20 ) aryl, (C3 -C20 ) cycloalkyl,

(C2-C20) heterociclilo, arilalquilo, o heteroarilalquilo está opcionalmente sustituido con 1-3 grupos R20;(C2 -C20 ) heterocyclyl, arylalkyl, or heteroarylalkyl is optionally substituted with 1-3 R20 groups;

o cuando se toman juntos, dos Ry en el mismo átomo de carbono forman un anillo de cicloalquilo deor when taken together, two Ry on the same carbon atom form a cycloalkyl ring of

3 a 7 átomos de carbono;3 to 7 carbon atoms;

cada R es independientemente H, (C1-C8) alquilo, (C2-C8) alquenilo, (C2-C8) alquinilo, (C6-C20) arilo, (C3-C20) cicloalquilo, (C2-C20) heterociclilo, o arilalquilo;each R is independently H, (C1 -C8 ) alkyl, (C2 -C8 ) alkenyl, (C2 -C8 ) alkynyl, (C6 -C20 ) aryl, (C3 -C20 ) cycloalkyl , (C2 -C20 ) heterocyclyl, or arylalkyl;

R8 es H, (C1-C4) alquilo, o (C1-C4) alquilo sustituido;R8 is H, (C1 -C4 ) alkyl, or (C1 -C4 ) substituted alkyl;

cada R11 o R12 es independientemente H, (C1-C8) alquilo, (C2-C8) alquenilo, (C2-C8) alquinilo, (C4-C8) cicloalquilalquilo, (C3-C20) cicloalquilo, (C2-C20) heterociclilo, arilo opcionalmente sustituido, heteroarilo opcionalmente sustituido, -C(=O) (C1-C8) alquilo, -S(O)n(C1-C8) alquilo o (C1-C8) arilalquilo; o R11 y R12 tomados junto con un nitrógeno al que están unidos ambos forman un anillo heterocíclico de 3 a 7 miembroseach R11 or R12 is independently H, (C1 -C8 ) alkyl, (C2 -C8 ) alkenyl, (C2 -C8 ) alkynyl, (C4 -C8 ) cycloalkylalkyl, (C3 -C20 ) cycloalkyl, (C2 -C20 ) heterocyclyl, optionally substituted aryl, optionally substituted heteroaryl, -C (= O) (C1 -C8 ) alkyl, -S (O) n (C1 -C8 ) alkyl or (C1 -C8 ) arylalkyl; or R11 and R12 taken together with a nitrogen to which they are attached both form a 3- to 7-membered heterocyclic ring

en el que cualquier átomo de carbono de dicho anillo heterocíclico puede reemplazarse opcionalmente con -O-, -S- o -NRa-;wherein any carbon atom of said heterocyclic ring can be optionally replaced with -O-, -S- or -NRa-;

cada R13 es independientemente un cicloalquilo o heterociclo opcionalmente sustituido con 1-3 grupos R oeach R13 is independently a cycloalkyl or heterocycle optionally substituted with 1-3 R groups or

R20;R20;

cada R20 es independientemente, halógeno, CN, N3, N(R)2, OR, -SR, -S(O)R, -S(O)2R, -S(O)(OR), -S(O)2(OR), -C(=Y1)R, -C(=Y1)OR, o C(=Y1)N(R)2;Each R20 is independently, halogen, CN, N3 , N (R)2 , OR, -SR, -S (O) R, -S (O)2 R, -S (O) (OR), -S ( O)2 (OR), -C (= Y1) R, -C (= Y1) OR, or C (= Y1) N (R)2 ;

en donde cada alquilo, alquenilo, alquinilo, arilo o heteroarilo de cada uno de R1, R2, R3, R4, R5, R8, R11 o R12 está, independientemente, opcionalmente sustituido con 1 a 3 halo, hidroxi, CN, N3, N(Ra)2u ORa; y en dondewherein each alkyl, alkenyl, alkynyl, aryl or heteroaryl of each of R1, R2, R3, R4, R5, R8, R11 or R12 is, independently, optionally substituted with 1 to 3 halo, hydroxy, CN, N3 , N (Ra)2 or ORa; and where

1 a 3 de los átomos de carbono no terminales de cada uno de dichos alquilo (C1-C8) se pueden reemplazar opcionalmente con -O-, -S- o -NRa-;1 to 3 of the non-terminal carbon atoms of each of said (C1 -C8 ) alkyl can optionally be replaced with -O-, -S- or -NRa-;

con las siguientes condiciones:with the following conditions:

a) cuando R1, R3 y R5 son hidrógeno, R2 y

Figure imgf000006_0002
son hidroxi, R6 es ciano y R7 entonces la Base no es uracilo o timina;a) when R1, R3 and R5 are hydrogen, R2 and
Figure imgf000006_0002
they are hydroxy, R6 is cyano and R7 so the Base is not uracil or thymine;

b) cuando R1 y R4 son hidroxi, R2,

Figure imgf000006_0003
son hidrógeno, R6 es ci entonces la Base no es uracilo o citosina;b) when R1 and R4 are hydroxy, R2,
Figure imgf000006_0003
they are hydrogen, R6 is ci then the Base is not uracil or cytosine;

c) cuando R1, R2, R3 y R5 son hidrógeno, R4 es hidroxi, R6 es ciano y R7 y R8 son hidrógeno, entoncesc) when R1, R2, R3 and R5 are hydrogen, R4 is hydroxy, R6 is cyano and R7 and R8 are hydrogen, then

la Base no es uracilo, citosina, timina o 5-yodo-uracilo;the Base is not uracil, cytosine, thymine or 5-iodine-uracil;

d) cuando R1, R3 y R5 son hidrógeno, R2 y R4 son hidroxi, R6 es etenilo y R7 y R8 son hidrógeno, entonces la Base no es uracilo o citosina;d) when R1, R3 and R5 are hydrogen, R2 and R4 are hydroxy, R6 is ethenyl and R7 and R8 are hydrogen, then the Base is not uracil or cytosine;

e) cuando R5 es distinto de H, entonces R8 es H;e) when R5 is different from H, then R8 is H;

f) cuando R1 es hidroxi, R2, R3, R5 y R8 son hidrógeno, R6 es ciano, R4 es hidrógeno o benzoilo, y R7 es hidrógeno o benzoilo, entonces la Base no es citosina;f) when R1 is hydroxy, R2, R3, R5 and R8 are hydrogen, R6 is cyano, R4 is hydrogen or benzoyl, and R7 is hydrogen or benzoyl, then the Base is not cytosine;

g) cuando R1 es acetilo o hidroxi, R2, R3, R5, R7 y R8 son hidrógeno, R4 es hidroxi o -OC(O)fenilo, entonces la Base no es 2-oxo-4- hidroxipirimidinilo;g) when R1 is acetyl or hydroxy, R2, R3, R5, R7 and R8 are hydrogen, R4 is hydroxy or -OC (O) phenyl, then the Base is not 2-oxo-4-hydroxypyrimidinyl;

h) cuando R1 es acetoxi, R4 es benzoiloxi, R6 es ciano, R7 es benzoilo y R2, R3, R5 y R8 son hidrógeno, entonces la base no es uracilo; yh) when R1 is acetoxy, R4 is benzoyloxy, R6 is cyano, R7 is benzoyl and R2, R3, R5 and R8 are hydrogen, then the base is not uracil; Y

i) al menos uno de R1, R2, R3, R4 y R5 no es hidrógeno.i) at least one of R1, R2, R3, R4 and R5 is not hydrogen.

[0018]Cabe señalar que en las condiciones discutidas en todo momento cuando se hace referencia a la Base sin indicar específicamente que está sustituida, como el uracilo o la timina, la condición solo se refiere a la Base no sustituida.[0018] It should be noted that under the conditions discussed at all times when referring to the Base without specifically indicating that it is substituted, such as uracil or thymine, the condition only refers to the unsubstituted Base.

[0019]En algunas realizaciones, R1 es H, CN, ORa, (C1-C4) alquilo, (C2-C4) alquenilo, o (C2-C4) alquinilo. En algunas realizaciones, R1 es hidrógeno, metilo, o hidroxi.[0019] In some embodiments, R1 is H, CN, ORa, (C1 -C4 ) alkyl, (C2 -C4 ) alkenyl, or (C2 -C4 ) alkynyl. In some embodiments, R1 is hydrogen, methyl, or hydroxy.

[0020]En algunas realizaciones, R2 es H o ORa. En algunas realizaciones, R2 es hidrógeno, metoxi o hidroxi.[0020] In some embodiments, R2 is H or ORa. In some embodiments, R2 is hydrogen, methoxy or hydroxy.

[0021]En algunas realizaciones, R1 y R2 tomados junto con el carbono al que están unidos forman un anillo de cicloalquilo de 4 miembros en donde 1 a 3 átomos de carbono de dicho anillo cicloalquilo está opcionalmente reemplazado por O.[0021] In some embodiments, R1 and R2 taken together with the carbon to which they are attached form a 4-membered cycloalkyl ring wherein 1 to 3 carbon atoms of said cycloalkyl ring is optionally replaced by O.

[0022]En algunas realizaciones, R3, R4 y R5 son cada uno independientemente H, ORa, N3, CN, (C1-C4) alquilo, o (C2-C4) alquinilo. En algunas realizaciones, R3, R4 y R5 son cada uno independientemente H, hidroxi, N3u -OC(O)-isopropilo.[0022] In some embodiments, R3, R4 and R5 are each independently H, ORa, N3 , CN, (C1 -C4 ) alkyl, or (C2 -C4 ) alkynyl. In some embodiments, R3, R4 and R5 are each independently H, hydroxy, N3 or -OC (O) -isopropyl.

[0023]En algunas realizaciones, la base es uracilo opcionalmente sustituido con halógeno, tal como, a modo de ejemplo solamente, fluoro. En otras realizaciones, la Base es citosina opcionalmente sustituida con halógeno, tal como, a modo de ejemplo solamente, flúor.[0023] In some embodiments, the base is uracil optionally substituted with halogen, such as, by way of example only, fluoro. In other embodiments, the Base is cytosine optionally substituted with halogen, such as, by way of example only, fluorine.

[0024]En algunas realizaciones, la base es una pirimidina representada por la Fórmula VI o VII:[0024] In some embodiments, the base is a pyrimidine represented by Formula VI or VII:

Figure imgf000007_0001
Figure imgf000007_0001

o tautómero del mismo,or tautomer thereof,

en donde:where:

cada X1 o X2 es independientemente CR10 o N, siempre que al menos uno de X1 o X2 sea CR10;each X1 or X2 is independently CR10 or N, provided that at least one of X1 or X2 is CR10;

cada R9 es H, halógeno, NR11 R12, N(R11)OR11, NR11 NR11 R12, N3, NO, NO2, OR11 o SR11; yeach R9 is H, halogen, NR11 R12, N (R11) OR11, NR11 NR11 R12, N3 , NO, NO2 , OR11 or SR11; Y

cada R10 es independientemente H, halógeno, NR11 R12, N(R11)OR11, NR11NR11R12, N3, NO, NO2, CHO, CN, -CH(=NR11), -CH=NHNR11, -CH=N(OR11), -CH(OR11)2, -C(=O)NR11R12, -C(= S)NR11R12, -C(=O)OR11, R11, OR11 o SR11; cada R11 o R12 es independientemente H, (C1-C8) alquilo, (C2-C8) alquenilo, (C2-C8) alquinilo, (C4-C8) cicloalquilalquilo, (C3-C20) cicloalquil, (C2-C23) heterociclilo, arilo opcionalmente sustituido, heteroarilo opcionalmente sustituido, -C(=O) (C1-C8) alquilo, -S(O)n(C1-C8) alquilo o arilalquilo (C1-C8); o R11 y R12 tomados junto con un nitrógeno al que están unidos ambos forman un anillo heterocíclico de 3 a 7 miembros en el que cualquier átomo de carbono de dicho anillo heterocíclico puede reemplazarse opcionalmente con -O-, -S- o-NRa-; yEach R10 is independently H, halogen, NR11 R12, N (R11) OR11, NR11NR11R12, N3 , NO, NO2 , CHO, CN, -CH (= NR11), -CH = NHNR11, -CH = N (OR11) , -CH (OR11)2 , -C (= O) NR11R12, -C (= S) NR11R12, -C (= O) OR11, R11, OR11 or SR11; each R11 or R12 is independently H, (C1 -C8 ) alkyl, (C2 -C8 ) alkenyl, (C2 -C8 ) alkynyl, (C4 -C8 ) cycloalkylalkyl, (C3 -C20 ) cycloalkyl, (C2 -C23 ) heterocyclyl, optionally substituted aryl, optionally substituted heteroaryl, -C (= O) (C1 -C8 ) alkyl, -S (O) n (C1 -C8 ) alkyl or arylalkyl (C1 -C8 ); or R11 and R12 taken together with a nitrogen to which both are attached form a 3- to 7-membered heterocyclic ring in which any carbon atom of said heterocyclic ring can be optionally replaced with -O-, -S- or-NRa-; Y

R14 es H, (C1-C8) alquilo, o (C4-C8) cicloalquilalquilo.R14 is H, (C1 -C8 ) alkyl, or (C4 -C8 ) cycloalkylalkyl.

[0025]En algunas realizaciones, R6 es CN, etenilo, o etinilo.[0025] In some embodiments, R6 is CN, ethenyl, or ethynyl.

[0026]En algunas realizaciones, R7 es H o[0026] In some embodiments, R7 is H or

Figure imgf000007_0002
Figure imgf000007_0002

[0027]En algunas realizaciones, R7 es H o[0027] In some embodiments, R7 is H or

Figure imgf000008_0001
Figure imgf000008_0001

en donde W 1 y W2 son cada uno, independientemente, un grupo de la Fórmula Ib.where W 1 and W2 are each, independently, a group of Formula Ib.

[0028] Las realizaciones adicionales de R7 se describen a continuación.[0028] Additional embodiments of R7 are described below.

[0029] En algunas realizaciones,[0029] In some embodiments,

R1 es H, OH, CN, (C1-C4) alquilo, (C2-C4) alquenilo, o (C2-C4) alquinilo;R1 is H, OH, CN, (C1 -C4 ) alkyl, (C2 -C4 ) alkenyl, or (C2 -C4 ) alkynyl;

R2 es H, OH o O(C1-C4) alquilo;R2 is H, OH or O (C1 -C4 ) alkyl;

o R1 y R2 tomados junto con el carbono al que están unidos forman un anillo de cicloalquilo de 3 a 6 miembros en el que 1 a 3 átomos de carbono de dicho anillo de cicloalquilo está opcionalmente reemplazado por O; R3 es H o (C1-C4) alquilo;or R1 and R2 taken together with the carbon to which they are attached form a 3 to 6 membered cycloalkyl ring in which 1 to 3 carbon atoms of said cycloalkyl ring is optionally replaced by O; R3 is H or (C1 -C4 ) alkyl;

R4es H, OH, O(Cr C4) alquilo, o OC(O)-(C1-C4) alquilo;R4 is H, OH, O (Cr C4 ) alkyl, or OC (O) - (C1 -C4 ) alkyl;

R5es H, CN, N3, (C1-C4) alquilo, (C2-C4) alquenilo, o (C2-C4) alquinilo;R5 is H, CN, N3 , (C1 -C4 ) alkyl, (C2 -C4 ) alkenyl, or (C2 -C4 ) alkynyl;

R6 es CN, etenilo, 2-haloeten-1-ilo, o (C2-C8)alquin-1-ilo; yR6 is CN, ethenyl, 2-haloeten-1-yl, or (C2-C8) alkyne-1-yl; Y

R8 es H o (C1-C4) alquilo.R8 is H or (C1 -C4 ) alkyl.

[0030] En algunas realizaciones,[0030] In some embodiments,

R1 es H, OH, O(C1-C4) alquilo;R1 is H, OH, O (C1 -C4 ) alkyl;

R2 es H, OH o O(C1-C4) alquilo;R2 is H, OH or O (C1 -C4 ) alkyl;

o R1 y R2 tomados junto con el carbono al que están unidos forman un anillo de cicloalquilo de 4 miembros en el que un átomo de carbono de dicho anillo de cicloalquilo está opcionalmente reemplazado por O; R3 es H o (C1-C4) alquilo;or R1 and R2 taken together with the carbon to which they are attached form a 4-membered cycloalkyl ring in which a carbon atom of said cycloalkyl ring is optionally replaced by O; R3 is H or (C1 -C4 ) alkyl;

R4es H, OH, O(Cr C4) alquilo, o -OC(O)-(C1-C4) alquilo;R4 is H, OH, O (Cr C4 ) alkyl, or -OC (O) - (C1 -C4 ) alkyl;

R5es H, N3, o (C1-C4) alquilo;R5 is H, N3 , or (C1 -C4 ) alkyl;

R6 es CN, etenilo, o etinilo; yR6 is CN, ethenyl, or ethynyl; Y

R8 es H o (C1-C4) alquilo.R8 is H or (C1 -C4 ) alkyl.

[0031] En algunas realizaciones, la base es una base de pirimidina que ocurren naturalmente o modificados; R1 es H, OH, CN, (C1-C4) alquilo, (C2-C4) alquenilo, o (C2-C4) alquinilo;[0031] In some embodiments, the base is a naturally occurring or modified pyrimidine base; R1 is H, OH, CN, (C1 -C4 ) alkyl, (C2 -C4 ) alkenyl, or (C2 -C4 ) alkynyl;

R2 es H, OH o O(C1-C4) alquilo;R2 is H, OH or O (C1 -C4 ) alkyl;

o R1 y R2 tomados junto con el carbono al que están unidos forman un anillo de cicloalquilo de 3 a 6 miembros en el que 1 a 3 átomos de carbono de dicho anillo de cicloalquilo está opcionalmente reemplazado por O;or R1 and R2 taken together with the carbon to which they are attached form a 3 to 6 membered cycloalkyl ring in which 1 to 3 carbon atoms of said cycloalkyl ring is optionally replaced by O;

R3 es H o (C1-C4) alquilo;R3 is H or (C1 -C4 ) alkyl;

R4es H, OH, O(Cr C4) alquilo, o -OC(O)-(C1-C4) alquilo;R4 is H, OH, O (Cr C4 ) alkyl, or -OC (O) - (C1 -C4 ) alkyl;

R5es H, CN, N3, (C1-C4) alquilo, (C2-C4) alquenilo, o (C2-C4) alquinilo;R5 is H, CN, N3 , (C1 -C4 ) alkyl, (C2 -C4 ) alkenyl, or (C2 -C4 ) alkynyl;

R6 es CN, etenilo, 2-haloeten-1-ilo, o (C2-C8)alquin-1-ilo;R6 is CN, ethenyl, 2-haloeten-1-yl, or (C2-C8) alkyne-1-yl;

R7 es H, -C(=O)R11, -C(=O)OR11, -C(=O)NR"R12, -C(=O)SR11, -S(O)R11, -S(O)2R11, -S(O)(OR11), -S(O)2(OR11), -SO2NR11R12, o Fórmula IaR7 is H, -C (= O) R11, -C (= O) OR11, -C (= O) NR "R12, -C (= O) SR11, -S (O) R11, -S (O)2 R11, -S (O) (OR11), -S (O)2 (OR11), -SO2 NR11 R12, or Formula Ia

Figure imgf000008_0002
Figure imgf000008_0002

Y es O, S, NR, N(O)(R), N(OR), N(O)(OR) o N-NR2;Y is O, S, NR, N (O) (R), N (OR), N (O) (OR) or N-NR2 ;

W 1 yW 2, cuando se toman juntos, son -Y3(C(Ry)2)3Y3-;W 1 and W 2, when taken together, are -Y3 (C (Ry)2 )3 Y3-;

o uno de W 1 o W2 junto con R3 o R4 es -Y3- y el otro de W 1 o W2 es Fórmula Ib;or one of W 1 or W2 together with R3 or R4 is -Y3- and the other of W 1 or W2 is Formula Ib;

o W 1 y W2 son cada uno, independientemente, un grupo de la Fórmula Ib:or W 1 and W2 are each, independently, a group of Formula Ib:

Figure imgf000009_0001
Figure imgf000009_0001

Formula IbFormula Ib

en donde:where:

cada Y1 es independientemente O, S, NR, N(O)(R), N(OR), N(O)(OR), o N-NR2;each Y1 is independently O, S, NR, N (O) (R), N (OR), N (O) (OR), or N-NR2 ;

cada Y2 es independientemente un enlace, O, CR2, NR, N(O)(R), N(OR), N(O)(OR), N-NR2, S, S-S, S(O), o S(O)2;Each Y2 is independently a link, O, CR2 , NR, N (O) (R), N (OR), N (O) (OR), N-NR2 , S, SS, S (O), or S (O)2 ;

cada Y3 es independientemente O, S, o NR;each Y3 is independently O, S, or NR;

M2 es 0, 1 o 2;M2 is 0, 1 or 2;

cada Rx es independientemente Ry o la fórmula:Each Rx is independently Ry or the formula:

Figure imgf000009_0002
Figure imgf000009_0002

en donde:where:

cada M1a, M1c y M1d es independientemente 0 o 1;each M1a, M1c and M1d is independently 0 or 1;

M1b es 0, 1,2, 3, 4, 5, 6, 7, 8, 9, 10, 11 o 12;M1b is 0, 1,2, 3, 4, 5, 6, 7, 8, 9, 10, 11 or 12;

cada Ry es independientemente H, F, CI, Br, I, OH, R, -C(R)2-O-C(R)3, -C(=Y1)R, -C(=Y1)R13, -C(=Y1)OR, -C(=Y1)N(R)2, -N(R)2, -+N(R)3, -SR, -S(O)R, -S(O)2R, -S(O)2R13, -S(O)(OR), -S(O)2(OR), -OC(=Y1)R, -OC(=Y1)OR, -OC(=Y1)(N(R)2), -SC(=Y1)R, -SC(=Y1)OR, -SC(=Y1)(N(R)2), -N(R)C(=Y1)R, -N(R)C(=Y1)OR, -N(R)C(=Y1)N(R)2, -SO2NR2, -CN, -N3, -NO2, -OR, (C1-C8) alquilo, (C2-C8) alquenilo, (C8-C20) arilo, (C3-C20) cicloalquilo, (C2-C20) heterocicloalquilo, arilalquilo, o heteroarilalquilo,each Ry is independently H, F, CI, Br, I, OH, R, -C (R)2 -OC (R)3 , -C (= Y1) R, -C (= Y1) R13, -C ( = Y1) OR, -C (= Y1) N (R) 2, -N (R) 2, - + N (R) 3, -SR, -S (O) R, -S (O) 2R, - S (O) 2R13, -S (O) (OR), -S (O) 2 (OR), -OC (= Y1) R, -OC (= Y1) OR, -OC (= Y1) (N ( R) 2), -SC (= Y1) R, -SC (= Y1) OR, -SC (= Y1) (N (R) 2), -N (R) C (= Y1) R, -N ( R) C (= Y1) OR, -N (R) C (= Y1) N (R)2 , -SO2 NR2 , -CN, -N3 , -NO2 , -OR, (C1 -C8 ) alkyl, (C2 -C8 ) alkenyl, (C8 -C20 ) aryl, (C3 -C20 ) cycloalkyl, (C2 -C20 ) heterocycloalkyl, arylalkyl, or heteroarylalkyl,

en donde cada (C1-C8) alquilo, (C2-C8) alquenilo, (C2-C8) alquinilo, (C6-C20) arilo, (C3-C20) cicloalquilo, (C2-C20) heterociclilo, arilalquilo, o heteroarilalquilo está opcionalmente sustituido con 1-3 grupos R20; o cuando se toman juntos, dos Ry en el mismo átomo de carbono forman un anillo de cicloalquilo de 3 a 7 átomos de carbono;wherein each (C1 -C8 ) alkyl, (C2 -C8 ) alkenyl, (C2 -C8 ) alkynyl, (C6 -C20 ) aryl, (C3 -C20 ) cycloalkyl, (C2 -C20 ) heterocyclyl, arylalkyl, or heteroarylalkyl is optionally substituted with 1-3 R20 groups; or when taken together, two Ry on the same carbon atom form a cycloalkyl ring of 3 to 7 carbon atoms;

cada R es independientemente H, (C1-C8) alquilo, (C2-C8) alquenilo, (C2-C8) alquinilo, (C6-C20) arilo, (C3-C20) cicloalquilo, (C2-C20) heterociclilo, o arilalquilo;each R is independently H, (C1 -C8 ) alkyl, (C2 -C8 ) alkenyl, (C2 -C8 ) alkynyl, (C6 -C20 ) aryl, (C3 -C20 ) cycloalkyl , (C2 -C20 ) heterocyclyl, or arylalkyl;

R8 es H, (C1-C4) alquilo, o (C1-C4) alquilo sustituido;R8 is H, (C1 -C4 ) alkyl, or (C1 -C4 ) substituted alkyl;

cada R11 o R12 es independientemente H, (C1-C8) alquilo, (C2-C8) alquenilo, (C2-C8) alquinilo, (C4-C8) cicloalquilalquilo, arilo opcionalmente sustituido, heteroarilo opcionalmente sustituido, -C(=O) (C1-C8) alquilo, -S(O)n(C1-C8) alquilo o aril (C1-C8) alquilo; o R11 y R12 tomados junto con un nitrógeno al que están unidos ambos forman un anillo heterocíclico de 3 a 7 miembros en el que cualquier átomo de carbono de dicho anillo heterocíclico puede reemplazarse opcionalmente con -O-, -S- o -NRa-;each R11 or R12 is independently H, (C1 -C8 ) alkyl, (C2 -C8 ) alkenyl, (C2 -C8 ) alkynyl, (C4 -C8 ) cycloalkylalkyl, optionally substituted aryl, optionally heteroaryl substituted, -C (= O) (C1 -C8 ) alkyl, -S (O) n (C1 -C8 ) alkyl or aryl (C1 -C8 ) alkyl; or R11 and R12 taken together with a nitrogen to which both are attached form a 3- to 7-membered heterocyclic ring in which any carbon atom of said heterocyclic ring can optionally be replaced with -O-, -S- or -NRa-;

en donde cada alquilo, alquenilo, alquinilo, arilo o heteroarilo de cada R1, R2, R3, R4, R5, R8, R11 o R12 está, independientemente, opcionalmente sustituido con 1 a 3 halo, hidroxi, CN, N3, N(Ra)2u ORa; y en donde 1 a 3 de los átomos de carbono no terminales de cada uno de dichos alquilo (C1-C8) se pueden reemplazar opcionalmente con -O-, -S- o -NRa-;wherein each alkyl, alkenyl, alkynyl, aryl or heteroaryl of each R1, R2, R3, R4, R5, R8, R11 or R12 is, independently, optionally substituted with 1 to 3 halo, hydroxy, CN, N3 , N ( Ra)2 or ORa; and wherein 1 to 3 of the non-terminal carbon atoms of each of said (C1 -C8 ) alkyl can optionally be replaced with -O-, -S- or -NRa-;

con la condición de que al menos uno de R1, R2, R3 y R4 sean hidroxi.with the proviso that at least one of R1, R2, R3 and R4 are hydroxy.

[0032]En algunas realizaciones, R7 es H o[0032] In some embodiments, R7 is H or

Figure imgf000010_0001
Figure imgf000010_0001

[0033] En algunas realizaciones, el grupo -R7-O-C(R8)-C(R5)-C(R3) (R4)- es de la siguiente fórmula:[0033] In some embodiments, the group -R7 -OC (R8 ) -C (R5 ) -C (R3 ) (R4 ) - is of the following formula:

Figure imgf000010_0002
Figure imgf000010_0002

[0034] En algunas realizaciones, el grupo -R7-O-C(R8)-C(R5)-C(R3)(R4)- es de la siguiente fórmula:[0034] In some embodiments, the group -R7 -OC (R8 ) -C (R5 ) -C (R3 ) (R4 ) - is of the following formula:

Figure imgf000010_0003
Figure imgf000010_0003

[0035] En algunas realizaciones, el compuesto es de la siguiente fórmula:[0035] In some embodiments, the compound is of the following formula:

Figure imgf000010_0004
Figure imgf000010_0004

[0036] En algunas realizaciones; el compuesto es de la siguiente fórmula:[0036] In some embodiments; The compound is of the following formula:

Figure imgf000011_0001
Figure imgf000011_0001

[0037] En algunas realizaciones, al menos uno de R1, R2, R3, y R4 son hidroxi. En algunas realizaciones, al menos dos de R1, R2, R3 y R4 son hidroxi.[0037] In some embodiments, at least one of R1, R2, R3, and R4 are hydroxy. In some embodiments, at least two of R1, R2, R3 and R4 are hydroxy.

[0038] En algunas realizaciones, el compuesto está representado por la Fórmula II:[0038] In some embodiments, the compound is represented by Formula II:

Figure imgf000011_0002
Figure imgf000011_0002

en donde cada Y e Y1 es O y cada uno de Base, R1, R2, R3, R4, R5, R7 y R8 es como se describe anteriormente.wherein each Y and Y1 is O and each of Base, R1, R2, R3, R4, R5, R7 and R8 is as described above.

[0039] En algunas realizaciones, el compuesto está representado por la Fórmula III:[0039] In some embodiments, the compound is represented by Formula III:

Figure imgf000011_0003
Figure imgf000011_0003

donde cada Y e Y1 es O y cada uno de Base, R1, R2, R3, R4, R5, R7 y R8 es como se describe anteriormente.where each Y and Y1 is O and each of Base, R1, R2, R3, R4, R5, R7 and R8 is as described above.

[0040] En algunas realizaciones, el compuesto está representado por la Fórmula I-V:[0040] In some embodiments, the compound is represented by Formula I-V:

Figure imgf000011_0004
Figure imgf000011_0004

en donde cada Y e Y1 es O y cada uno de Base, R

Figure imgf000012_0001
R7 y R8 es como se d[0041]En algunas realizaciones, el compuesto está representado por la Fórmula V:where each Y and Y1 is O and each of Base, R
Figure imgf000012_0001
R7 and R8 is as d[0041] In some embodiments, the compound is represented by Formula V:

Figure imgf000012_0002
Figure imgf000012_0002

en donde cada Y e Y1 es O y X es halógeno y cada uno de Base, R1, R2, R3, R4, R5, R7 y R8 e anteriormente. En algunas realizaciones, el halógeno es flúor, cloro o yodo. En algunas realizaciones, los grupos bromovinilo no están incluidos en la posición R6where each Y and Y1 is O and X is halogen and each of Base, R1, R2, R3, R4, R5, R7 and R8 and above. In some embodiments, the halogen is fluorine, chlorine or iodine. In some embodiments, bromovinyl groups are not included in the R6 position.

[0042]En otra realización, el compuesto de Fórmula I-V es un compuesto seleccionado del grupo que consiste en:[0042] In another embodiment, the compound of Formula IV is a compound selected from the group consisting of:

Figure imgf000012_0003
Figure imgf000012_0003

Figure imgf000013_0001
Figure imgf000013_0001

Figure imgf000014_0001
Figure imgf000014_0001

o una sal farmacéuticamente aceptable de los mismos.or a pharmaceutically acceptable salt thereof.

[0043]En otra realización, el compuesto de Fórmula I-V es un compuesto seleccionado del grupo que consiste en:[0043] In another embodiment, the compound of Formula IV is a compound selected from the group consisting of:

Figure imgf000015_0001
Figure imgf000015_0001

o una sal farmacéuticamente aceptable de los mismos.or a pharmaceutically acceptable salt thereof.

[0044]En algunas realizaciones, el siguiente compuesto no está incluido en los compuestos, pero puede ser útil en los métodos de la invención:[0044] In some embodiments, the following compound is not included in the compounds, but may be useful in the methods of the invention:

Figure imgf000016_0001
Figure imgf000016_0001

Composiciones farmacéuticasPharmaceutical compositions

[0045]En otra realización, se proporcionan composiciones farmacéuticas que comprenden una cantidad eficaz de un compuesto de la invención como se describe en el presente documento, o una sal farmacéuticamente aceptable del mismo, en combinación con un diluyente o vehículo farmacéuticamente aceptable.[0045] In another embodiment, pharmaceutical compositions are provided comprising an effective amount of a compound of the invention as described herein, or a pharmaceutically acceptable salt thereof, in combination with a pharmaceutically acceptable diluent or carrier.

[0046]También se describen aquí composiciones farmacéuticas que comprenden un diluyente o vehículo farmacéuticamente aceptable en combinación con una cantidad eficaz de un compuesto de Fórmula I:[0046] Pharmaceutical compositions comprising a pharmaceutically acceptable diluent or carrier in combination with an effective amount of a compound of Formula I are also described herein:

Figure imgf000016_0002
Figure imgf000016_0002

o una sal farmacéuticamente aceptable del mismo;or a pharmaceutically acceptable salt thereof;

en donde:where:

Base es una base de pirimidina natural o modificada;Base is a natural or modified pyrimidine base;

R1 es H, CN, ORa, (C1-C4) alquilo, (C1-C4) alquilo sustituido, (C2-C4), alquinilo (C2-C4) alquenilo sustituido, (C2-C4) alquinilo, (C2-C4) alquinilo sustituido o S(O)nRa;R1 is H, CN, ORa, (C1 -C4 ) alkyl, (C1 -C4 ) substituted alkyl, (C2 -C4 ), alkynyl (C2 -C4 ) substituted alkenyl, (C2 - C4 ) alkynyl, (C2 -C4 ) substituted alkynyl or S (O) nRa;

R2 es H, ORa, N(Ra)2, N3, CN, NO2, S(O)nRa, (C1-C4) alquilo, (C4-Ce) cicloalquilalquilo, (C1-C4) alquilo sustitui C4) alquenilo, (C2-C4) alquenilo sustituido, (C2-C4) alquinilo, o (C2-C4) alquinilo sustituido;R2 is H, ORa, N (Ra)2 , N3 , CN, NO2 , S (O) nRa, (C1 -C4 ) alkyl, (C4 -Ce) cycloalkylalkyl, (C1 -C4 ) C4- alkyl substituted alkenyl, (C2 -C4 ) substituted alkenyl, (C2 -C4 ) alkynyl, or (C2 -C4 ) substituted alkynyl;

o R1 y R2 tomados junto con el carbono al que están unidos forman un anillo de cicloalquilo de 3 a 6 miembros en el que 1 a 3 átomos de carbono de dicho anillo de cicloalquilo está opcionalmente reemplazado por O o S(O)nor R1 and R2 taken together with the carbon to which they are attached form a 3 to 6 membered cycloalkyl ring in which 1 to 3 carbon atoms of said cycloalkyl ring is optionally replaced by O or S (O) n

R3, R4 y R5 son cada uno independientemente H, ORa, N(Ra)2, N3, CN, NO2, S(O)nRa, halógeno, (C1-C8) cicloalquilalquil, (C1-C4) alquilo sustituido, (C2-C4), alquinilo (C2-C4) alquenilo sustituido, (C2-C4) alquinilo, o (C2-C4) sustituido alquinilo;R3, R4 and R5 are each independently H, ORa, N (Ra)2 , N3 , CN, NO2 , S (O) nRa, halogen, (C1 -C8) cycloalkylalkyl, (C1 -C4 ) substituted alkyl, (C2 -C4 ), alkynyl (C2 -C4 ) substituted alkenyl, (C2 -C4 ) alkynyl, or (C2 -C4 ) substituted alkynyl;

o dos de R3, R4 o R5 en átomos de carbono adyacentes cuando se toman juntos son -O(CO)O- o cuando se tomanor two of R3, R4 or R5 in adjacent carbon atoms when taken together are -O (CO) O- or when taken

junto con los átomos de carbono del anillo a los que están unidos para formar un doble enlace;together with the carbon atoms of the ring to which they are attached to form a double bond;

R6 es CN, etenilo, 2-haloeten-1-ilo, o (C2-C8)alquin-1-ilo,R6 is CN, ethenyl, 2-haloeten-1-yl, or (C2-C8) alkyne-1-yl,

cada n es independientemente 0, 1, o 2;each n is independently 0, 1, or 2;

cada Ra es independientemente H, (C1-C8) alquilo, (C2-C8) alquenilo, (C2-C8) alquinilo, arilo (C1-C8) alquilo, (C4-C8) cicloalquilalquilo, -C(=O)R11, -C(=O)OR11, -C(=O)NR11R12, -C(=O)SR11, -S(O)R11, -S(O)2R11, -S(O)(OR11), -S(O)2(OR11), o -SO2NR11R12;each Ra is independently H, (C1 -C8 ) alkyl, (C2 -C8 ) alkenyl, (C2 -C8 ) alkynyl, aryl (C1 -C8 ) alkyl, (C4 -C8 ) cycloalkylalkyl, -C (= O) R11, -C (= O) OR11, -C (= O) NR11R12, -C (= O) SR11, -S (O) R11, -S (O)2 R11, - S (O) (OR11), -S (O)2 (OR11), or -SO2 NR11R12;

R7 es H, -C(=O)R11, -C(=O)OR11, -C(=O)NR11R12, -C(=O)SR11, -S(O)R11, -S(O)2R11, -S(O)(OR11), -S(O)2(OR11), -SO2NR11R12, o el grupo de Fórmula laR7 is H, -C (= O) R11, -C (= O) OR11, -C (= O) NR11R12, -C (= O) SR11, -S (O) R11, -S (O)2 R11 , -S (O) (OR11), -S (O)2 (OR11), -SO2 NR11R12, or the group of Formula la

Figure imgf000017_0001
Figure imgf000017_0001

Formula laFormulate

en dondewhere

Y es O, S, NR, N(O)(R), N(OR), N(O)(OR) o N-NR2;Y is O, S, NR, N (O) (R), N (OR), N (O) (OR) or N-NR2 ;

W 1 y W2, cuando se toman juntos, son -Y3(C(Ry)2)3Y3-;W 1 and W2, when taken together, are -Y3 (C (Ry)2 )3 Y3-;

o uno de W 1 o W2 junto con R3 o R4 es -Y3- y el otro de W 1 o W2 es Fórmula Ib;or one of W 1 or W2 together with R3 or R4 is -Y3- and the other of W 1 or W2 is Formula Ib;

o W 1yW 2 son cada uno, independientemente, un grupo de Fórmula Ib:or W 1 and W 2 are each, independently, a group of Formula Ib:

Figure imgf000017_0002
Figure imgf000017_0002

Formula IbFormula Ib

en donde:where:

cada Y1 es independientemente O, S, NR, N(O)(R), N(OR), N(O)(OR), o N-NR2;each Y1 is independently O, S, NR, N (O) (R), N (OR), N (O) (OR), or N-NR2 ;

cada Y2 es independientemente un enlace, O, CR2, NR, N(O)(R), N(OR), N(O)(OR), N-NR2, S, S-S, S(O), o S(O)2;Each Y2 is independently a link, O, CR2 , NR, N (O) (R), N (OR), N (O) (OR), N-NR2 , S, SS, S (O), or S (O)2 ;

cada Y3 es independientemente O, S, o NR;each Y3 is independently O, S, or NR;

M2 es 0, 1 o 2;M2 is 0, 1 or 2;

cada Rx es un grupo de Fórmula IcEach Rx is a group of Formula Ic

Figure imgf000017_0003
Figure imgf000017_0003

en donde:where:

cada M1a, M1c y M1d es independientemente 0 o 1;each M1a, M1c and M1d is independently 0 or 1;

M1b es 0, 1, 2, 3, 4, 5, 6, 7, 8, 9, 10, 11 o 12;M1b is 0, 1, 2, 3, 4, 5, 6, 7, 8, 9, 10, 11 or 12;

cada Ry es independientemente H, F, Cl, Br, I, -CN, -N3, -NO2, -OR, -C(R)2-O-C(R)3, -C(=Y1)R, -C(=Y1)R13, -C(=Y1)OR, -C(=Y1)N(R)2, -N(R)2, -+N(R)3, -SR, -S(O)R, -S(O)2R, -S(O)2R13 -S(O)(OR), -S(O)2(OR), -OC(=Y1)R, -OC(=Y1)OR, -OC(=Y1)(N(R)2), -SC(=Y1)R, -SC(=Y1)OR, -SC(=Y1)(N(R)2), -N(R)C(=Y1)R, -N(R)C(=Y1)OR, -N(R)C(=Y1)N(R)2, -SO2NR2, (C1-C8) alquilo, (C2-C8) alquenilo, (C2-C8) alquinilo, (C6-C20) arilo, (C3-C20) cicloalquilo, (C2-C20) heterociclilo, arilalquilo o heteroarilalquilo,each Ry is independently H, F, Cl, Br, I, -CN, -N3 , -NO2 , -OR, -C (R)2 -OC (R)3 , -C (= Y1) R, - C (= Y1) R13, -C (= Y1) OR, -C (= Y1) N (R) 2, -N (R) 2, - + N (R) 3, -SR, -S (O) R, -S (O) 2R, -S (O) 2R13 -S (O) (OR), -S (O) 2 (OR), -OC (= Y1) R, -OC (= Y1) OR, -OC (= Y1) (N (R) 2), -SC (= Y1) R, -SC (= Y1) OR, -SC (= Y1) (N (R) 2), -N (R) C (= Y1) R, -N (R) C (= Y1) OR, -N (R) C (= Y1) N (R)2 , -SO2 NR2 , (C1 -C8 ) alkyl, ( C2 -C8 ) alkenyl, (C2 -C8 ) alkynyl, (C6 -C20 ) aryl, (C3 -C20 ) cycloalkyl, (C2 -C20 ) heterocyclyl, arylalkyl or heteroarylalkyl,

en donde cada (C1-C8) alquilo, (C2-C8) alquenilo, (C2-C8) alquinilo, (C6-C20) arilo, (C3-C20) cicloalquilo, (C2-C20) heterociclilo, arilalquilo, o heteroarilalquilo está opcionalmente sustituido con 1-3 grupos R20;wherein each (C1 -C8 ) alkyl, (C2 -C8 ) alkenyl, (C2 -C8 ) alkynyl, (C6 -C20 ) aryl, (C3 -C20 ) cycloalkyl, (C2 -C20 ) heterocyclyl, arylalkyl, or heteroarylalkyl is optionally substituted with 1-3 R20 groups;

o cuando se toman juntos, dos Ry en el mismo átomo de carbono forman un anillo de cicloalquilo de 3 a 7 átomos de carbono;or when taken together, two Ry on the same carbon atom form a cycloalkyl ring of 3 to 7 carbon atoms;

cada R es independientemente H, (C1-C8) alquilo, (C2-C8) alquenilo, (C2-C8) alquinilo, (C6-C20) arilo, (C3-C20)each R is independently H, (C1 -C8 ) alkyl, (C2 -C8 ) alkenyl, (C2 -C8 ) alkynyl, (C6 -C20 ) aryl, (C3 -C20 )

cicloalquilo, (C2-C20) heterociclilo, o arilalquMo;cycloalkyl, (C2 -C20 ) heterocyclyl, or arylalkyl;

R8es H, (C1-C4) alquilo, o (C1-C4) alquilo sustituido;R8 is H, (C1 -C4 ) alkyl, or (C1 -C4 ) substituted alkyl;

cada R11o R12es independientemente H, (C1-C8) alquilo, (C2-C8) alquenilo, (C2-C8) alquinilo, (C4-C8) cicloalquilalquilo, (C3-C20) cicloalquil, (C2-C23) heterociclilo, arilo opcionalmente sustituido, heteroarilo opcionalmente sustituido, -C(=O) (C1-C8) alquilo, -S(O)n(C1-C8) alquilo o arilalquilo (C1-C8); o R11y R12tomados junto con un nitrógeno al que están unidos ambos forman un anillo heterocíclico de 3 a 7 miembroseach R11 or R12 is independently H, (C1 -C8 ) alkyl, (C2 -C8 ) alkenyl, (C2 -C8 ) alkynyl, (C4 -C8 ) cycloalkylalkyl, (C3 - C20 ) cycloalkyl, (C2 -C23 ) heterocyclyl, optionally substituted aryl, optionally substituted heteroaryl, -C (= O) (C1 -C8 ) alkyl, -S (O) n (C1 -C8 ) alkyl or arylalkyl (C1 -C8 ); or R11 and R12 taken together with a nitrogen to which both are attached form a 3- to 7-membered heterocyclic ring

en el que cualquier átomo de carbono de dicho anillo heterocíclico puede reemplazarse opcionalmente con -O-, -S- o -NRa-;wherein any carbon atom of said heterocyclic ring can be optionally replaced with -O-, -S- or -NRa-;

cada R13es independientemente un cicloalquilo o heterociclo opcionalmente sustituido con 1-3 grupos R oeach R13 is independently a cycloalkyl or heterocycle optionally substituted with 1-3 R groups or

R20;R20;

cada R20 es independientemente, halógeno, CN, N3, N(R)2, OR, -SR, -S(O)R, -S(O)2R, -S(O)(OR), -S(O)2(OR), -C(=Y1)R, -C(=Y1)OR, o C(=Y1)N(R)2;Each R20 is independently, halogen, CN, N3 , N (R)2 , OR, -SR, -S (O) R, -S (O)2 R, -S (O) (OR), -S ( O)2 (OR), -C (= Y1) R, -C (= Y1) OR, or C (= Y1) N (R)2 ;

en donde cada alquilo, alquenilo, alquinilo, arilo o heteroarilo de cada uno de R1, R2, R3, R4, R5, R8, R11o R12está, independientemente, opcionalmente sustituido con 1 a 3 halo, hidroxi, CN, N3, N(Ra)2u ORa; y en dondewherein each alkyl, alkenyl, alkynyl, aryl or heteroaryl of each of R1 , R2 , R3 , R4 , R5 , R8 , R11 or R12 is, independently, optionally substituted with 1 to 3 halo , hydroxy, CN, N3 , N (Ra)2 or ORa; and where

1 a 3 de los átomos de carbono no terminales de cada dicho alquilo (C1-C8) pueden reemplazarse opcionalmente con -O-, -S- o-NRacon la condición de que al menos uno de R1, R2, R3, R4y R5no es hidrógeno.1 to 3 of the non-terminal carbon atoms of each said (C1 -C8 ) alkyl may optionally be replaced with -O-, -S- or -NR with the proviso that at least one of R1 , R2 , R3 , R4 and R5 is not hydrogen.

[0047]En otra realización, las composiciones farmacéuticas comprenden además al menos un agente terapéutico adicional seleccionado del grupo que consiste en interferones, análogos de ribavirina, inhibidores de la proteasa NS3, inhibidores de NS5a, inhibidores de la polimerasa NS5b, alfa-glucosidasa 1, inhibidores de la ciclofilina, hepatoprotectores, otros inhibidores nucleósidos del VHC, inhibidores no nucleósidos del VHC y otros medicamentos[0047] In another embodiment, the pharmaceutical compositions further comprise at least one additional therapeutic agent selected from the group consisting of interferons, ribavirin analogs, NS3 protease inhibitors, NS5a inhibitors, NS5b polymerase inhibitors, alpha-glucosidase 1 , cyclophilin inhibitors, hepatoprotectors, other HCV nucleoside inhibitors, HCV non-nucleoside inhibitors and other medications

para tratar el VHC.to treat HCV.

[0048]En todavía otras realizaciones, las composiciones farmacéuticas comprenden además al menos un inhibidor de la neuramidasa viral o inhibidor del canal M2 viral, tales como, a modo de ejemplo solamente oseltamivir, zanamivir, laninamivir, peramivir, amantadina y rimantadina.[0048] In still other embodiments, the pharmaceutical compositions further comprise at least one viral neuramidase inhibitor or viral M2 channel inhibitor, such as, for example, only oseltamivir, zanamivir, laninamivir, peramivir, amantadine and rimantadine.

[0049]A continuación se proporcionan terapias combinadas adicionales.[0049] Additional combination therapies are provided below.

MétodosMethods

[0050]La presente invención también se dirige a compuestos para uso en un método de inhibición de la polimerasa[0050] The present invention is also directed to compounds for use in a polymerase inhibition method

del VHC que comprende administrar a un mamífero en necesidad del mismo una cantidad terapéuticamente eficaz deHCV comprising administering to a mammal in need thereof a therapeutically effective amount of

un compuesto de acuerdo con la presente invención como se describe anteriormente.a compound according to the present invention as described above.

[0051]Los compuestos de la presente invención son compuestos de fórmula I. Otros compuestos de Fórmula I también[0051] The compounds of the present invention are compounds of formula I. Other compounds of Formula I also

se dan a conocer en el presente documento para su uso en este método. Por lo tanto, la presente descripción proporciona compuestos de Fórmula I para usar en el método anterior:They are disclosed herein for use in this method. Therefore, the present description provides compounds of Formula I for use in the above method:

Figure imgf000018_0001
Figure imgf000018_0001

o una sal farmacéuticamente aceptable del mismo;or a pharmaceutically acceptable salt thereof;

en donde:where:

Base es una base de pirimidina natural o modificada;Base is a natural or modified pyrimidine base;

R1es H, CN, ORa, (C1-C4) alquilo, (C1-C4) alquilo sustituido, (C2-C4), alquinilo (C2-C4) alquenilo sustituido, (C2-C4) alquinilo, (C2-C4) alquinilo sustituido o S(O)nRa;R1 is H, CN, ORa, (C1 -C4 ) alkyl, (C1 -C4 ) substituted alkyl, (C2 -C4 ), alkynyl (C2 -C4 ) substituted alkenyl, (C2 -C4 ) alkynyl, (C2 -C4 ) substituted alkynyl or S (O) nRa;

R2es H, ORa, N(Ra)2, N3, CN, NO2, S(O)nRa, (C1-C4) alquilo, (C4-Ce) cicloalquilalquilo, (C1-C4) alqui C4) alquenilo, (C2-C4) alquenilo sustituido, (C2-C4) alquinilo, o (C2-C4) alquinilo sustituido;R2 is H, ORa, N (Ra)2 , N3 , CN, NO2 , S (O) nRa, (C1 -C4 ) alkyl, (C4 -Ce) cycloalkylalkyl, (C1 -C4 ) C4 alkyl) alkenyl, (C2 -C4 ) substituted alkenyl, (C2 -C4 ) alkynyl, or (C2 -C4 ) substituted alkynyl;

o R1y R2tomados junto con el carbono al que están unidos forman un anillo de cicloalquilo de 3 a 6 miembros en el que 1 a 3 átomos de carbono de dicho anillo de cicloalquilo está opcionalmente reemplazado por O o S(O)nor R1 and R2 taken together with the carbon to which they are attached form a 3- to 6-membered cycloalkyl ring in which 1 to 3 carbon atoms of said cycloalkyl ring is optionally replaced by O or S (O) n

R3, R4y R5son cada uno independientemente H, ORa, N(Ra)2, N3, CN, NO2, S(O)nRa, halógeno, (C1-C4) alquilo, (C4R3 , R4 and R5 are each independently H, ORa, N (Ra)2 , N3 , CN, NO2 , S (O) nRa, halogen, (C1 -C4 ) alkyl, (C4

Cb) cicloalquilalquil, (C1-C4) alquilo sustituido, (C2-C4) alquenilo, (C2-C4) alquenilo sustituido, (C2-C4) alquinilo, o (C2-C4) sustituido alquinilo;Cb) cycloalkylalkyl, (C1 -C4 ) substituted alkyl, (C2 -C4 ) alkenyl, (C2 -C4 ) substituted alkenyl, (C2 -C4 ) alkynyl, or (C2 -C4 ) substituted alkynyl;

o dos de R3, R4 o R5 en átomos de carbono adyacentes cuando se toman juntos son -O(CO)O- o cuando se toman junto con los átomos de carbono del anillo a los que están unidos para formar un doble enlace;or two of R3, R4 or R5 in adjacent carbon atoms when taken together are -O (CO) O- or when taken together with the carbon atoms of the ring to which they are attached to form a double bond;

R6 es CN, etenilo, 2-haloeten-1-ilo, o (C2-C8)alquin-1-ilo,R6 is CN, ethenyl, 2-haloeten-1-yl, or (C2-C8) alkyne-1-yl,

cada n es independientemente 0, 1, o 2;each n is independently 0, 1, or 2;

cada Ra es independientemente H, (C1-C8) alquilo, (C2-C8) alquenilo, (C2-C8) alquinilo, arilo (C1-C8) alquilo, (C4-C8) cicloalquilalquilo, -C(=O)R11, -C(=O)OR11, -C(=O)NR11R12, -C(=O)SR11, -S(O)R11, -S(O)2R11, -S(O)(OR11), -S(O)2(OR11), o -SO2NR11R12;each Ra is independently H, (C1 -C8 ) alkyl, (C2 -C8 ) alkenyl, (C2 -C8 ) alkynyl, aryl (C1 -C8 ) alkyl, (C4 -C8 ) cycloalkylalkyl, -C (= O) R11, -C (= O) OR11, -C (= O) NR11R12, -C (= O) SR11, -S (O) R11, -S (O)2 R11, - S (O) (OR11), -S (O)2 (OR11), or -SO2 NR11R12;

R7 es H, -C(=O)R11, -C(=O)OR11, -C(=O)NR11R12, -C(=O)SR11, -S(O)R11, -S(O)2R11, -S(O)(OR11), -S(O)2(OR11), -SO2NR11R12, o el grupo de Fórmula IaR7 is H, -C (= O) R11, -C (= O) OR11, -C (= O) NR11R12, -C (= O) SR11, -S (O) R11, -S (O)2 R11 , -S (O) (OR11), -S (O)2 (OR11), -SO2 NR11R12, or the group of Formula Ia

Figure imgf000019_0001
Figure imgf000019_0001

Formula laFormulate

en dondewhere

Y es O, S, NR, N(O)(R), N(OR), N(O)(OR) o N-NR2;Y is O, S, NR, N (O) (R), N (OR), N (O) (OR) or N-NR2 ;

W 1 y W2, cuando se toman juntos, son -Y3(C(Ry)2)3Y3-;W 1 and W2, when taken together, are -Y3 (C (Ry)2 )3 Y3-;

o uno de W 1 o W2 junto con R3 o R4 es -Y3- y el otro de W 1 o W2 es Fórmula Ib;or one of W 1 or W2 together with R3 or R4 is -Y3- and the other of W 1 or W2 is Formula Ib;

o W 1yW 2 son cada uno, independientemente, un grupo de Fórmula Ib:or W 1 and W 2 are each, independently, a group of Formula Ib:

Figure imgf000019_0002
Figure imgf000019_0002

Formula IbFormula Ib

en donde:where:

cada Y1 es independientemente O, S, NR, N(O)(R), N(OR), N(O)(OR), o N-NR2;each Y1 is independently O, S, NR, N (O) (R), N (OR), N (O) (OR), or N-NR2 ;

cada Y2 es independientemente un enlace, O, CR2, NR, N(O)(R), N(OR), N(O)(OR), N-NR2, S, S-S, S(O), o S(O)2;Each Y2 is independently a link, O, CR2 , NR, N (O) (R), N (OR), N (O) (OR), N-NR2 , S, SS, S (O), or S (O)2 ;

cada Y3 es independientemente O, S, o NR;each Y3 is independently O, S, or NR;

M2 es 0, 1 o 2;M2 is 0, 1 or 2;

cada Rx es un grupo de Fórmula IcEach Rx is a group of Formula Ic

Figure imgf000019_0003
Figure imgf000019_0003

en donde:where:

cada M1a, M1c y M1d es independientemente 0 o 1;each M1a, M1c and M1d is independently 0 or 1;

M1b es 0, 1, 2, 3, 4, 5, 6, 7, 8, 9, 10, 11 o 12;M1b is 0, 1, 2, 3, 4, 5, 6, 7, 8, 9, 10, 11 or 12;

cada Ry es independientemente H, F, Cl, Br, I, -CN, -N3, -NO2, -OR, -C(R)2-O-C(R)3, -C(=Y1)R, -C(=Y1)R13, -C(=Y1)OR, -C(=Y1)N(R)2, -N(R)2, -+N(R)3, -SR, -S(O)R, -S(O)2R, -S(O)2R13, -S(O)(OR), -S(O)2(OR), -OC(=Y1)R, -OC(=Y1)OR, -OC(=Y1)(N(R)2), -SC(=Y1)R, -SC(=Y1)OR, -SC(=Y1)(N(R)2), -N(R)C(=Y1)R, -N(R)C(=Y1)OR, -N(R)C(=Y1)N(R)2, -SO2NR2, (C-i-Ca) alquilo, (C2-C8) alquenilo, (C2-C8) alquinilo, C6-C20arilo, C3-C20cicloalquilo, C2-C20heterociclilo, arilalquilo, o heteroarilalquilo,each Ry is independently H, F, Cl, Br, I, -CN, -N3 , -NO2 , -OR, -C (R)2 -OC (R)3 , -C (= Y1) R, - C (= Y1) R13, -C (= Y1) OR, -C (= Y1) N (R) 2, -N (R) 2, - + N (R) 3, -SR, -S (O) R, -S (O) 2R, -S (O) 2R13, -S (O) (OR), -S (O) 2 (OR), -OC (= Y1) R, -OC (= Y1) OR , -OC (= Y1) (N (R) 2), -SC (= Y1) R, -SC (= Y1) OR, -SC (= Y1) (N (R) 2), -N (R) C (= Y1) R, -N (R) C (= Y1) OR, -N (R) C (= Y1) N (R)2 , -SO2 NR2 , (Ci-Ca) alkyl, (C2- C8 ) alkenyl, (C2 -C8 ) alkynyl, C6 -C20 aryl, C3 -C20 cycloalkyl, C2 -C20 heterocyclyl, arylalkyl, or heteroarylalkyl,

en donde cada (C-i-Ca) alquilo, (C2-Ca) alquenilo, (C2-Ca) alquinilo, (C6-C20) arilo, (C3-C20) cicloalquilo, (C2-C20) heterociclilo, arilalquilo, o heteroarilalquilo está opcionalmente sustituido con 1-3 grupos R20; o cuando se toman juntos, dos RY en el mismo átomo de carbono forman un anillo cicloalquilo de 3 a 7 átomos de carbono;wherein each (Ci-Ca) alkyl, (C2 -Ca) alkenyl, (C2 -Ca) alkynyl, (C6 -C20 ) aryl, (C3 -C20 ) cycloalkyl, (C2 -C20 ) heterocyclyl, arylalkyl, or heteroarylalkyl is optionally substituted with 1-3 R20 groups; or when taken together, two RYs on the same carbon atom form a cycloalkyl ring of 3 to 7 carbon atoms;

cada R es independientemente H, (C-i-Ca) alquilo, (C2-Ca) alquenilo, (C2-Ca) alquinilo, C6-C20arilo, C3-C20cicloalquilo, C2-C20heterociclilo, o arilalquilo;each R is independently H, (Ci-Ca) alkyl, (C2 -Ca) alkenyl, (C2 -Ca) alkynyl, C6 -C20 aryl, C3 -C20 cycloalkyl, C2 -C20 heterocyclyl, or arylalkyl;

R8 es H, (C1-C4) alquilo, o (C1-C4) alquilo sustituido;R8 is H, (C1 -C4 ) alkyl, or (C1 -C4 ) substituted alkyl;

cada R11 o R12 es independientemente H, (C1-C8) alquilo, (C2-C8) alquenilo, (C2-C8) alquinilo, (C4-C8) cicloalquilalquilo, (C3-C20) cicloalquilo, (C2-C20) heterociclilo, arilo opcionalmente sustituido, heteroarilo opcionalmente sustituido, -C(=O) (C1-C8) alquilo, -S(O)n(C1-C8) alquilo o arilalquilo (C1-C8); o R11 y R12 tomados junto con un nitrógeno al que ambos están unidos forman un anillo heterocíclico de 3 a 7 miembros en el que cualquier átomo de carbono de dicho anillo heterocíclico se puede reemplazar opcionalmente con -O-, -S- o -NRa-;each R11 or R12 is independently H, (C1 -C8 ) alkyl, (C2 -C8 ) alkenyl, (C2 -C8 ) alkynyl, (C4 -C8 ) cycloalkylalkyl, (C3 -C20 ) cycloalkyl, (C2 -C20 ) heterocyclyl, optionally substituted aryl, optionally substituted heteroaryl, -C (= O) (C1 -C8 ) alkyl, -S (O) n (C1 -C8 ) alkyl or arylalkyl (C1 -C8); or R11 and R12 taken together with a nitrogen to which both are attached form a 3- to 7-membered heterocyclic ring in which any carbon atom of said heterocyclic ring can be optionally replaced with -O-, -S- or -NRa- ;

cada R13 es independientemente un cicloalquilo o heterociclo opcionalmente sustituido con 1-3 grupos R o R20;each R13 is independently a cycloalkyl or heterocycle optionally substituted with 1-3 R or R20 groups;

cada R20 es independientemente, halógeno, CN, N3, N(R)2, OR, -SR, -S(O)R, -S(O)2R, -S(O)(OR), -S(O)2(OR), -C(=Y1)R, -C(=Y1)OR, o C(=Y1)N(R)2;Each R20 is independently, halogen, CN, N3 , N (R)2 , OR, -SR, -S (O) R, -S (O)2 R, -S (O) (OR), -S ( O)2 (OR), -C (= Y1) R, -C (= Y1) OR, or C (= Y1) N (R)2 ;

en donde cada alquilo, alquenilo, alquinilo, arilo o heteroarilo de cada uno de R1, R2, R3, R4, R5, R8, R11 o R12 está, independientemente, opcionalmente sustituido con 1 a 3 halo, hidroxi, CN, N3, N(R8)2o ORa y en donde 1 a 3 de los átomos de carbono no terminales de cada uno de dicho (C1-C8) alquilo se pueden reemplazar opcionalmente con -O-, -S- o -NRa-;wherein each alkyl, alkenyl, alkynyl, aryl or heteroaryl of each of R1, R2, R3, R4, R5, R8, R11 or R12 is, independently, optionally substituted with 1 to 3 halo, hydroxy, CN, N3 , N (R8)2 or ORa and wherein 1 to 3 of the non-terminal carbon atoms of each of said (C1 -C8 ) alkyl can optionally be replaced with -O-, -S- or -NRa-;

con la condición de que al menos uno de R1, R2, R3, R4 y R5 no sea hidrógeno.with the proviso that at least one of R1, R2, R3, R4 and R5 is not hydrogen.

[0052]En una realización, la invención se dirige a un compuesto o una composición farmacéutica para usar en un método de tratamiento de una infección viral causada por un virusFlaviviridaeque comprende administrar a un mamífero que lo necesita una cantidad terapéuticamente efectiva de un compuesto o composición farmacéutica de acuerdo con la invención como se describe anteriormente. Los otros compuestos de Fórmula I también se describen en el presente documento para su uso en este método. En algunas realizaciones, el virus se selecciona del grupo que consiste en el virus del dengue, el virus de la fiebre amarilla, el virus del Nilo Occidental, el virus de la encefalitis japonesa, el virus de la encefalitis transmitida por garrapatas, el virus Kunjin, el virus de la encefalitis del valle de Murray, el virus de la encefalitis de San Luis, el virus de la fiebre hemorrágica de Omsk, el virus de la diarrea viral bovina, el virus del Zika y el virus de la hepatitis C. En una realización, la infección viral es causada por el virus de la hepatitis C.[0052] In one embodiment, the invention is directed to a compound or a pharmaceutical composition for use in a method of treating a viral infection caused by aFlaviviridae virus which comprises administering to a mammal in need thereof a therapeutically effective amount of a compound. or pharmaceutical composition according to the invention as described above. The other compounds of Formula I are also described herein for use in this method. In some embodiments, the virus is selected from the group consisting of dengue virus, yellow fever virus, West Nile virus, Japanese encephalitis virus, tick-borne encephalitis virus, Kunjin virus , Murray Valley encephalitis virus, St. Louis encephalitis virus, Omsk hemorrhagic fever virus, bovine viral diarrhea virus, Zika virus and hepatitis C virus. one embodiment, the viral infection is caused by the hepatitis C virus.

[0053]Un compuesto o composición farmacéutica de la invención puede usarse en un método que comprende además administrar al menos un agente terapéutico adicional seleccionado del grupo que consiste en interferones, análogos de ribavirina, inhibidores de la proteasa NS3, inhibidores de la polimerasa NS5b, inhibidores de NS5a, inhibidores de la alfa-glucosidasa 1, inhibidores de la ciclofilina, hepatoprotectores, otros inhibidores nucleósidos del VHC, inhibidores no nucleósidos del VHC y otros medicamentos para tratar el VHC.[0053] A compound or pharmaceutical composition of the invention may be used in a method further comprising administering at least one additional therapeutic agent selected from the group consisting of interferons, ribavirin analogs, NS3 protease inhibitors, NS5b polymerase inhibitors, NS5a inhibitors, alpha-glucosidase 1 inhibitors, cyclophilin inhibitors, hepatoprotectors, other HCV nucleoside inhibitors, HCV non-nucleoside inhibitors and other medicines to treat HCV.

[0054]En otra realización, la invención se refiere a un compuesto o una composición farmacéutica para uso en un método de tratamiento de una infección viral causada por un virusParamyxoviridaeque comprende administrar a un mamífero en necesidad del mismo una cantidad terapéuticamente eficaz de un compuesto o composición farmacéutica según la invención como se describe anteriormente. En una realización, el virus es un virus respiratorio sincitial 15.[0054] In another embodiment, the invention relates to a compound or a pharmaceutical composition for use in a method of treating a viral infection caused by aParamyxoviridae virus comprising administering to a mammal in need thereof a therapeutically effective amount of a compound or pharmaceutical composition according to the invention as described above. In one embodiment, the virus is a respiratory syncytial virus 15.

[0055]En otra realización, la invención se refiere a un compuesto o una composición farmacéutica para uso en un método de tratamiento de una infección viral causada por un virusOrthomyxoviridaeque comprende administrar a un mamífero en necesidad del mismo una cantidad terapéuticamente eficaz de un compuesto o composición farmacéutica según la invención como se describe anteriormente. En algunas realizaciones, el virus es un virus de la influenza A, virus de la influenza B o virus de la influenza C. En algunas realizaciones, el método comprende además administrar al menos un agente terapéutico adicional seleccionado del grupo que consiste en oseltamivir, zanamivir, laninamivir, peramivir, amantadina y rimantadina.[0055] In another embodiment, the invention relates to a compound or a pharmaceutical composition for use in a method of treating a viral infection caused by anOrthomyxoviridae virus comprising administering to a mammal in need thereof a therapeutically effective amount of a compound or pharmaceutical composition according to the invention as described above. In some embodiments, the virus is an influenza A virus, influenza B virus or influenza C virus. In some embodiments, the method further comprises administering at least one additional therapeutic agent selected from the group consisting of oseltamivir, zanamivir , laninamivir, peramivir, amantadine and rimantadine.

[0056]En otras realizaciones, la invención se refiere a un compuesto o una composición farmacéutica para uso en un método de tratamiento de una infección viral causada por un virusPicornaviridaeque comprende administrar a un mamífero en necesidad del mismo una cantidad terapéuticamente eficaz de un compuesto o composición farmacéutica según la invención como se describe anteriormente. En algunos métodos, el virus es un enterovirus. En algunos métodos, se administra un agente adicional, como pleconaril y/o BTA-798.[0056] In other embodiments, the invention relates to a compound or pharmaceutical composition for use in a method of treating a viral infection caused by aPicornaviridae virus comprising administering to a mammal in need thereof a therapeutically effective amount of a compound or pharmaceutical composition according to the invention as described above. In some methods, the virus is an enterovirus. In some methods, an additional agent, such as pleconaril and / or BTA-798, is administered.

DEFINICIONESDEFINITIONS

[0057]A menos que se indique lo contrario, los siguientes términos y frases como se usa aquí se pretende que tengan los siguientes significados:[0057] Unless otherwise indicated, the following terms and phrases as used herein are intended to have the following meanings:

Cuando nombres comerciales se utilizan en el presente documento, los solicitantes pretenden incluir de manera independiente el producto nombre comercial y el (los) ingrediente(s) farmacéutico(s) activo(s) del producto con nombre comercial.When trade names are used herein, applicants intend to independently include the product trade name and the active pharmaceutical ingredient (s) of the product with trade name.

[0058]Como se usa en este documento, "un compuesto", "un compuesto de la invención", o "un compuesto de Fórmula I" significa un compuesto de Fórmula I o una sal farmacéuticamente aceptable del mismo. De manera similar, con respecto a los intermedios aislables, la frase "un compuesto de Fórmula (número)" significa un compuesto de esa fórmula y sales farmacéuticamente aceptables del mismo.[0058] As used herein, "a compound", "a compound of the invention", or "a compound of Formula I" means a compound of Formula I or a pharmaceutically acceptable salt thereof. Similarly, with respect to insulating intermediates, the phrase "a compound of Formula (number)" means a compound of that formula and pharmaceutically acceptable salts thereof.

[0059]"Alquilo" es un hidrocarburo que contiene átomos normales, secundarios, terciarios o cíclicos de carbono. Por ejemplo, un grupo alquilo puede tener de 1 a 20 átomos de carbono (es decir, alquilo C1-C20), 1 a 8 átomos de carbono (es decir, alquilo CrCs), 1 a 6 átomos de carbono (es decir, C1-C6alquilo) o de 1 a 4 átomos de carbono (es decir, C1-C4alquilo). Los ejemplos de grupos alquilo adecuados incluyen, pero no se limitan a, metilo (Me, -CH3), etilo (Et, -CH2CH3), 1 -propilo (n-Pr, n-propilo, -CH2CH2CH3), 2-propilo (i-Pr, i-propilo, -CH(CH3)2), 1 -butilo (n-Bu, n-butilo, -CH2CH2CH2CH3), 2-metil-1 -propilo (i-Bu, i-butilo, -CH2CH(CH3)2), 2-butilo (s-Bu, s-butilo, -CH(CH3)CH2CH3), 2-metil-2-propilo (t-Bu, t-butilo, -C(CH3)3), 1-pentilo (n-pentilo, -CH2CH2CH2CH2CH3), 2-pentilo (-CH(CH3)CH2CH2CH3), 3-pentilo (-CH(CH2CH3)2), 2-metil-2-butilo (-C(CH3)2CH2CH3), 3 -metil-2-butilo (-CH(CH3)CH(CH3)2), 3-metil-1-butilo (-CH2CH2CH(CH3)2), 2-metil-1 -butilo (-CH2CH(CH3)CH2CH3), 1-hexilo (-CH2CH2CH2CH2CH2CH3), 2-hexilo (-CH(CH3)CH2CH2CH2CH3), 3-hexilo (-CH(CH2CH3)(CH2CH2CH3)), 2-metil-2-pentilo (-C(CH3)2CH2CH2CH3), 3-metil-2-pentilo (-CH(CH3)CH(CH3)CH2CH3), 4-metil-2-pentilo (-CH(CH3)CH2CH(CH3)2), 3-metilo-3-pentilo (-C(CH3)(CH2CH3)2), 2-metil-3-pentilo (-CH(CH2CH3)CH(CH3)2), 2,3-dimetil-2-butilo (-C(CH3)2CH(CH3)2), 3,3-dimetil-2-butilo (-CH(CH3)C(CH3)3y octilo (-(CH2)7CH3).[0059] "Alkyl" is a hydrocarbon containing normal, secondary, tertiary or cyclic carbon atoms. For example, an alkyl group may have 1 to 20 carbon atoms (i.e., C1 -C20 alkyl), 1 to 8 carbon atoms (i.e., CrCs alkyl), 1 to 6 carbon atoms (i.e. , C1 -C6 alkyl) or 1 to 4 carbon atoms (ie, C1 -C4 alkyl). Examples of suitable alkyl groups include, but are not limited to, methyl (Me, -CH3 ), ethyl (Et, -CH2 CH3 ), 1-propyl (n-Pr, n-propyl, -CH2 CH2 CH3 ), 2-propyl (i-Pr, i-propyl, -CH (CH3 )2 ), 1 -butyl (n-Bu, n-butyl, -CH2 CH2 CH2 CH3 ), 2 -methyl-1 -propyl (i-Bu, i-butyl, -CH2 CH (CH3 )2 ), 2-butyl (s-Bu, s-butyl, -CH (CH3 ) CH2 CH3 ), 2-methyl-2-propyl (t-Bu, t-butyl, -C (CH3 )3 ), 1-pentyl (n-pentyl, -CH2 CH2 CH2 CH2 CH3 ), 2-pentyl ( -CH (CH3 ) CH2 CH2 CH3 ), 3-pentyl (-CH (CH2 CH3 )2 ), 2-methyl-2-butyl (-C (CH3 )2 CH2 CH3 ), 3-methyl-2-butyl (-CH (CH3 ) CH (CH3 )2 ), 3-methyl-1-butyl (-CH2 CH2 CH (CH3 )2 ), 2-methyl-1 -butyl (-CH2 CH (CH3 ) CH2 CH3 ), 1-hexyl (-CH2 CH2 CH2 CH2 CH2 CH3 ), 2-hexyl (-CH (CH3 ) CH2 CH2 CH2 CH3 ), 3-hexyl (-CH (CH2 CH3 ) (CH2 CH2 CH3 )), 2-methyl-2-pentyl (-C (CH3 )2 CH2 CH2 CH3 ), 3 -methyl-2-pentyl (-CH (CH3 ) CH (CH3 ) CH2 CH3 ), 4-methyl-2-pentyl (-CH (CH3 ) CH2 CH (CH3 )2 ), 3 -methyl-3-pentyl (-C (CH3 ) (CH2 CH3 )2 ), 2-methyl-3-pentyl (-CH (CH2 CH3 ) CH (CH3 )2 ), 2,3- dimethyl-2-butyl (-C (CH3 )2 CH (CH3 )2 ), 3,3-dimethyl-2-butyl (-CH (CH3 ) C (CH3 )3 and octyl (- (CH2 )7 CH3 ).

[0060]"Alcoxi" significa un grupo que tiene la fórmula -O-alquilo, en el que un grupo alquilo, como se definió anteriormente, está unido a la molécula parental a través de un átomo de oxígeno. La porción alquilo de un grupo alcoxi puede tener de 1 a 20 átomos de carbono (es decir, C1-C20alcoxi), 1 a 12 átomos de carbono (es decir, C1-C12alcoxi), o de 1 a 6 átomos de carbono (es decir, C1-C6alcoxi). Los ejemplos de grupos alcoxi adecuados incluyen, pero no se limitan a, metoxi (-O-CH3o -OMe), etoxi (-OCH2CH3o OEt), t-butoxi (-O- C (CH3)3o -OtBu) y similares.[0060] "Alkoxy" means a group having the formula -O-alkyl, in which an alkyl group, as defined above, is attached to the parent molecule through an oxygen atom. The alkyl portion of an alkoxy group may have 1 to 20 carbon atoms (i.e., C1 -C20 alkoxy), 1 to 12 carbon atoms (i.e., C1 -C12 alkoxy), or 1 to 6 carbon atoms (ie C1 -C6 alkoxy). Examples of suitable alkoxy groups include, but are not limited to, methoxy (-O-CH3 or -OMe), ethoxy (-OCH2 CH3 or OEt), t-butoxy (-O- C (CH3 )3 or -OtBu) and the like.

[0061]"Haloalquilo" es un grupo alquilo, como se definen anteriormente, en el que uno o más átomos de hidrógeno del grupo alquilo se ha reemplazado con un átomo de halógeno. La porción alquilo de un grupo haloalquilo puede tener de 1 a 20 átomos de carbono (es decir, C1-C20haloalquilo), 1 a 12 átomos de carbono (es decir, C1-C12haloalquilo), o de 1 a 6 átomos de carbono (es decir, C1-C6alquilo). Los ejemplos de grupos haloalquilo adecuados incluyen, pero no se limitan a, -CF3, -CHF2, -CFH2, -CH2CF3, y similares.[0061] "Haloalkyl" is an alkyl group, as defined above, in which one or more hydrogen atoms of the alkyl group has been replaced with a halogen atom. The alkyl portion of a haloalkyl group may have 1 to 20 carbon atoms (i.e., C1 -C20 haloalkyl), 1 to 12 carbon atoms (i.e., C1 -C12 haloalkyl), or 1 to 6 carbon atoms (ie C1 -C6 alkyl). Examples of suitable haloalkyl groups include, but are not limited to, -CF3 , -CHF2 , -CFH2 , -CH2 CF3 , and the like.

[0062]"Alquenilo" es un hidrocarburo que contiene átomos normales, secundarios, terciarios o cíclicos de carbono con al menos un sitio de insaturación, es decir, un carbono-carbono, sp2 doble enlace. Por ejemplo, un grupo alquenilo que puede tener de 2 a 20 átomos de carbono (es decir, C2-C20alquenilo), 2 a 8 átomos de carbono (es decir, C2-C8alquenilo), de 2 a 6 átomos de carbono (es decir, C2-C6alquenilo) o de 2 a 4 átomos de carbono (es decir, C2-C4alquenilo). Los ejemplos de grupos alquenilo adecuados incluyen, pero no se limitan a, etenilo o vinilo (tanto tiene una estructura -CH = CH2), alilo (-CH2CH = CH2), ciclopentenilo (-C5H7), y 5-hexenilo (-CH2CH2CH2CH2CH = CH2).[0062] "Alkenyl" is a hydrocarbon containing normal, secondary, tertiary or cyclic carbon atoms with at least one unsaturation site, that is, a carbon-carbon, sp2 double bond. For example, an alkenyl group that may have 2 to 20 carbon atoms (i.e., C2 -C20 alkenyl), 2 to 8 carbon atoms (i.e., C2 -C8 alkenyl), 2 to 6 carbon atoms (ie C2 -C6 alkenyl) or 2 to 4 carbon atoms (ie C2 -C4 alkenyl). Examples of suitable alkenyl groups include, but are not limited to, ethenyl or vinyl (both having a structure -CH = CH2 ), allyl (-CH2 CH = CH2 ), cyclopentenyl (-C5 H7 ), and 5-hexenyl (-CH2 CH2 CH2 CH2 CH = CH2 ).

[0063]"Alquinilo" es un hidrocarburo que contiene átomos normales, secundarios, terciarios o cíclicos de carbono con al menos un sitio de insaturación, es decir, un carbono-carbono, un triple enlace sp. Por ejemplo, un grupo alquinilo que puede tener de 2 a 20 átomos de carbono (es decir, C2-C20alquinilo), de 2 a 8 átomos de carbono (es decir, C2-C8 alquino,), de 2 a 6 átomos de carbono (es decir, C2-C6alquinilo), o de 2 a 4 átomos de carbono (es decir, C2-C4alquinilo). Los ejemplos de grupos alquinilo adecuados incluyen, pero no se limitan a, etinilo o acetilénico (-CECH), propargilo (-CH2CECH), y similares.[0063] "Alkynyl" is a hydrocarbon containing normal, secondary, tertiary or cyclic carbon atoms with at least one unsaturation site, that is, a carbon-carbon, a triple sp splice. For example, an alkynyl group that may have 2 to 20 carbon atoms (i.e., C2 -C20 alkynyl), 2 to 8 carbon atoms (i.e., C2 -C 8 alkyne,), from 2 to 6 carbon atoms (i.e., C2 -C6 alkynyl), or 2 to 4 carbon atoms (i.e., C2 -C4 alkynyl). Examples of suitable alkynyl groups include, but are not limited to, ethynyl or acetylenic (-CECH), propargyl (-CH2 CECH), and the like.

[0064]"Alquileno" se refiere a una cadena saturada, lineal o ramificada o radical de hidrocarburo cíclico que tiene dos centros radicales monovalentes derivados por la eliminación de dos átomos de hidrógeno del mismo o dos átomos de carbono diferentes de un alcano. Por ejemplo, un grupo alquileno puede tener de 1 a 20 átomos de carbono, de 1 a 10 átomos de carbono o de 1 a 6 átomos de carbono. Los radicales alquileno típicos incluyen, entre otros, metileno (-CH2-), 1,1 -etilo (-CH(CH3)-), 1,2-etilo (-CH2CH2-), 1,1-propilo (-CH(CH2CH3)-), 1,2-propilo (-CH2CH(CH3)-), 1,3-propilo (-CH2CH2CH2-), 1,4-butilo (-CH2CH2CH2CH2-) y similares.[0064] "Alkylene" refers to a saturated, linear or branched chain or cyclic hydrocarbon radical having two monovalent radical centers derived by the removal of two hydrogen atoms of the same or two different carbon atoms from an alkane. For example, an alkylene group may have 1 to 20 carbon atoms, 1 to 10 carbon atoms or 1 to 6 carbon atoms. Typical alkylene radicals include, among others, methylene (-CH2 -), 1,1-ethyl (-CH (CH3 ) -), 1,2-ethyl (-CH2 CH2 -), 1,1- propyl (-CH (CH2 CH3 ) -), 1,2-propyl (-CH2 CH (CH3 ) -), 1,3-propyl (-CH2 CH2 CH2 -), 1,4- butyl (-CH2 CH2 CH2 CH2 -) and the like.

[0065]"Alquenileno" se refiere a una cadena insaturada, lineal o ramificada o radical de hidrocarburo cíclico que tiene dos centros radicales monovalentes derivados por la eliminación de dos átomos de hidrógeno del mismo o dos átomos de carbono diferentes de un alqueno original. Por ejemplo, un grupo alquenileno puede tener de 1 a 20 átomos de carbono, de 1 a 10 átomos de carbono o de 1 a 6 átomos de carbono. Los radicales alquenileno típicos incluyen, pero no se limitan a, 1,2-etileno (-CH=CH-).[0065] "Alkenylene" refers to an unsaturated, linear or branched chain or cyclic hydrocarbon radical having two monovalent radical centers derived by the removal of two hydrogen atoms of the same or two different carbon atoms from an original alkene. For example, an alkenylene group may have 1 to 20 carbon atoms, 1 to 10 carbon atoms or 1 to 6 carbon atoms. Typical alkenylene radicals include, but are not limited to, 1,2-ethylene (-CH = CH-).

[0066]El término "alquinileno" se refiere a un radical hidrocarbonado cíclico, insaturado, ramificado o lineal que tiene dos centros radicales monovalentes derivados de la eliminación de dos átomos de hidrógeno del mismo o dos átomos de carbono diferentes de un alquino original. Por ejemplo, un grupo alquinileno puede tener de 1 a 20 átomos de carbono, de 1 a 10 átomos de carbono o de 1 a 6 átomos de carbono. Los radicales alquinileno típicos incluyen, pero no se limitan a, acetileno (-CEC-), propargilo (-CH2CEC-) y 4-pentinilo (-CH2CH2CH2CEC-).[0066] The term "alkynylene" refers to a cyclic, unsaturated, branched or linear hydrocarbon radical having two monovalent radical centers derived from the removal of two hydrogen atoms of the same or two different carbon atoms from an original alkyne. For example, an alkynylene group may have 1 to 20 carbon atoms, 1 to 10 carbon atoms or 1 to 6 carbon atoms. Typical alkynylene radicals include, but are not limited to, acetylene (-CEC-), propargyl (-CH2 CEC-) and 4-pentinyl (-CH2 CH2 CH2 CEC-).

[0067]"Amino" se refiere en general a un radical de nitrógeno que puede ser considerado un derivado de amoníaco, que tiene la fórmula -N(X)2, donde cada "X" es independientemente H, alquilo sustituido o no sustituido, carbociclilo sustituido o no sustituido, heterociclilo sustituido o no sustituido, etc. La hibridación del nitrógeno es aproximadamente sp3 Los tipos no limitantes de amino incluyen -NH2, -N(alquil)2, -NH(alquilo), -N(carbociclilo)2, -NH(carbociclilo), -N(heterociclilo)2, -NH(heterociclilo)), -N(arilo)2, -NH(arilo), -N(alquilo) (arilo), -N(alquilo) (heterociclilo), -N(carbociclilo) (heterociclilo), -N(arilo) (heteroarilo), -N(alquilo) (heteroarilo), etc. El término "alquilamino" se refiere a un grupo amino sustituido con al menos un grupo alquilo. Los ejemplos no limitantes de grupos amino incluyen -NH2, -NH(CH3), -N(CH3)2, -NH(CH2CH3), -N(CH2CH3)2, -NH(fenilo), -N(fenil)2, -NH(bencilo), -N(bencilo)2, etc. Alquilamino sustituido se refiere generalmente a grupos alquilamino, como se definió anteriormente, en los que al menos un alquilo sustituido, como se define en el presente documento, está unido al átomo de nitrógeno amino. Los ejemplos no limitantes de alquilamino sustituido incluyen -NH(alquileno-C(O)-OH), -NH(alquileno-C(O)-O-alquilo), -N(alquileno-C(O)-OH)2, -N(alquileno-C(O)-O-alquilo)2, etc.[0067] "Amino" generally refers to a nitrogen radical that can be considered an ammonia derivative, having the formula -N (X)2 , where each "X" is independently H, substituted or unsubstituted alkyl, substituted or unsubstituted carbocyclyl, substituted or unsubstituted heterocyclyl, etc. Nitrogen hybridization is approximately sp3. Non-limiting types of amino include -NH2 , -N (alkyl)2 , -NH (alkyl), -N (carbocyclyl)2 , -NH (carbocyclyl), -N (heterocyclyl)2 , -NH (heterocyclyl)), -N (aryl)2 , -NH (aryl), -N (alkyl) (aryl), -N (alkyl) (heterocyclyl), -N (carbocyclyl) (heterocyclyl), -N (aryl) (heteroaryl), -N (alkyl) (heteroaryl), etc. The term "alkylamino" refers to an amino group substituted with at least one alkyl group. Non-limiting examples of amino groups include -NH2 , -NH (CH3 ), -N (CH3 )2 , -NH (CH2 CH3 ), -N (CH2 CH3 )2 , -NH (phenyl ), -N (phenyl)2 , -NH (benzyl), -N (benzyl)2 , etc. "Alkylamino substituted" generally refers to alkylamino groups, as defined above, in which at least one substituted alkyl, as defined herein, is attached to the amino nitrogen atom. Non-limiting examples of substituted alkylamino include -NH (alkylene-C (O) -OH), -NH (C-alkylene-O) -O-alkyl), -N (C-alkylene (O) -OH)2 , -N (alkylene-C (O) -O-alkyl)2 , etc.

[0068]"Carbociclo" o "carbociclilo" se refiere a un anillo saturado (es decir, "cicloalquilo"), parcialmente insaturado (por ejemplo, "cicloalquenilo", cicloalcadienilo, etc.) o aromático (es decir, "arilo") que tiene de 3 a 7 átomos de carbono como monociclo, de 7 a 12 átomos de carbono como bicíclico, y hasta unos 20 átomos de carbono como policiclo. Los carbociclos monocíclicos tienen 3 a 7 átomos en el anillo, aún más típicamente 5 o 6 átomos en el anillo. En ciertas realizaciones, los grupos cicloalquilo pueden tener de 3 a 6 átomos de carbono, o 5 o 6 átomos de carbono. Los carbociclos bicíclicos tienen de 7 a 12 átomos en el anillo, por ejemplo, dispuestos como un sistema biciclo [4,5], [5,5], [5,6] o [6,6], o 9 o 10 átomos en el anillo dispuestos como un sistema biciclo [5,6] o [6,6], o anillos espiro fusionados. Ejemplos no limitativos de carbociclos monocíclicos incluyen ciclopropilo, ciclobutilo, ciclopentilo, 1-ciclopent-1-enilo, 1-ciclopent-2-enilo, 1-ciclopent-3-enilo, ciclohexilo, 1-ciclohex-1-enilo, 1-ciclohex-2-enilo, 1-ciclohex-3-enilo y fenilo. Ejemplos no limitantes de carbociclos biciclo incluyen naftilo, tetrahidronaftaleno y decalina.[0068] "Carbocycle" or "carbocyclyl" refers to a saturated ring (ie, "cycloalkyl"), partially unsaturated (eg, "cycloalkenyl", cycloalcadienyl, etc.) or aromatic (ie, "aryl") which has 3 to 7 carbon atoms as a monocycle, 7 to 12 carbon atoms as bicyclic, and up to about 20 carbon atoms as a polycycle. Monocyclic carbocycles have 3 to 7 atoms in the ring, even more typically 5 or 6 atoms in the ring. In certain embodiments, cycloalkyl groups may have 3 to 6 carbon atoms, or 5 or 6 carbon atoms. Bicyclic carbocycles have 7 to 12 ring atoms, for example, arranged as a bicycle system [4,5], [5,5], [5,6] or [6,6], or 9 or 10 atoms in the ring arranged as a bicyclo system [5,6] or [6,6], or fused spiro rings. Non-limiting examples of monocyclic carbocycles include cyclopropyl, cyclobutyl, cyclopentyl, 1-cyclopent-1-enyl, 1-cyclopent-2-enyl, 1-cyclopent-3-enyl, cyclohexyl, 1-cyclohex-1-enyl, 1-cyclohex -2-enyl, 1-cyclohex-3-enyl and phenyl. Non-limiting examples of bicyclic carbocycles include naphthyl, tetrahydronaphthalene and decalin.

[0069]"Cicloalquilalquilo" o "carbociclilalquilo" o "cicloalquilalquileno" se refiere a un radical alquilo acíclico en el que uno de los átomos de hidrógeno unidos a un átomo de carbono se sustituye con un cicloalquilo o radical carbociclilo como se describe en el presente documento. Ejemplos típicos, pero no limitativos, de grupos cicloalquilalquilo incluyen ciclopropilmetilo, ciclopropiletilo, ciclobutilmetilo, ciclopentilmetilo y ciclohexilmetilo. En los grupos cicloalquil-alquileno, típicamente comprende de 4 a2 0átomos de carbono (es decir, C4a C20), por ejemplo, la porción alquilo del grupo es de 1 a 6 (es decir, átomos de carbono C1a C6) y el resto cicloalquilo es de 3 a 14 átomos de carbono.[0069] "Cycloalkylalkyl" or "carbocyclylalkyl" or "cycloalkylalkylene" refers to an acyclic alkyl radical in which one of the hydrogen atoms attached to a carbon atom is substituted with a cycloalkyl or carbocyclyl radical as described herein. document. Typical, but not limiting, examples of cycloalkylalkyl groups include cyclopropylmethyl, cyclopropylethyl, cyclobutylmethyl, cyclopentylmethyl and cyclohexylmethyl. In the cycloalkyl-alkylene groups, it typically comprises from 4 to2 0 carbon atoms (i.e., C4 to C20 ), for example, the alkyl portion of the group is 1 to 6 (i.e., C1 carbon atoms to C6) and the cycloalkyl moiety is from 3 to 14 carbon atoms.

[0070]"Arilo" significa un radical hidrocarburo aromático derivado de la eliminación de un átomo de hidrógeno de un solo átomo de carbono de un sistema de anillo aromático progenitor. Por ejemplo, un grupo arilo puede tener de 6 a 20 átomos de carbono, de 6 a 14 átomos de carbono o de 6 a 10 átomos de carbono. Los grupos arilo típicos incluyen, pero no se limitan a, radicales derivados de benceno (por ejemplo, fenilo), benceno sustituido, naftaleno, antraceno, bifenilo y similares.[0070] "Aryl" means an aromatic hydrocarbon radical derived from the removal of a hydrogen atom from a single carbon atom from a parent aromatic ring system. For example, an aryl group may have 6 to 20 carbon atoms, 6 to 14 carbon atoms or 6 to 10 carbon atoms. Typical aryl groups include, but are not limited to, benzene-derived radicals (eg, phenyl), substituted benzene, naphthalene, anthracene, biphenyl, and the like.

[0071]"Arilalquilo" se refiere a un radical alquilo acíclico en el que uno de los átomos de hidrógeno unidos a un átomo de carbono, típicamente un terminal o átomo de carbono, sp3 se sustituye con un radical arilo. Los grupos arilalquilo típicos incluyen, pero no se limitan a, bencilo, 2-feniletan-1-ilo, naftilmetilo, 2-naftiletan-1-ilo, naftobencilo, 2-naftofeniletan-1-ilo y similares. El grupo arilalquilo puede comprender de 7 a 20 átomos de carbono, por ejemplo, el resto alquilo es de 1 a 6 átomos de carbono y el resto arilo es de 6 a 14 átomos de carbono.[0071] "Arylalkyl" refers to an acyclic alkyl radical in which one of the hydrogen atoms attached to a carbon atom, typically a carbon terminal or atom, sp3 is substituted with an aryl radical. Typical arylalkyl groups include, but are not limited to, benzyl, 2-phenylethane-1-yl, naphthylmethyl, 2-naphthylethane-1-yl, naphthobenzyl, 2-naphophenylethane-1-yl, and the like. The arylalkyl group may comprise 7 to 20 carbon atoms, for example, the alkyl moiety is 1 to 6 carbon atoms and the aryl moiety is 6 to 14 carbon atoms.

[0072]El término "sustituido", en referencia a grupos alquilo, alquileno, arilo, arilalquilo, alcoxi, heterociclilo, heteroarilo, carbociclilo, etc., por ejemplo, "alquilo sustituido", "alquileno sustituido", "arilo sustituido", "arilalquilo sustituido", "heterociclilo sustituido” y “carbociclilo sustituido" significa alquilo, alquileno, arilo, arilalquilo, heterociclilo, carbociclilo, respectivamente, en el que uno o más átomos de hidrógeno se reemplazan cada uno independientemente con un sustituyente no hidrógeno. Los sustituyentes típicos incluyen, entre otros, -X1, -Rb, -O', =O, -ORb, -SRb, -S-, -NRb2, -N+Rb3, =NRb, -CX3, -CN, -OCN, -SCN, -N=C=O, -NCS, -NO, -NO2, =N2, -N3, -NHC(=O)Rb, -OC(=O)Rb, -NHC(=O)NRb2, -S(=O)2-, -S(=O)2OH, -S(=O)2Rb, -OS(=O)2ORb, -S(=O)2NRb2, -S(=O)Rb, -OP(=O)(ORb)2, -P(=O)(ORb)2, -P(=O)(O‘)2, -P(=O)(OH)2, -P(O)(ORb)(O-), -C(=O)Rb, -C(=O)X, -C(S)Rb, -C(O)ORb, -C(O)O-, -C(S)ORb, -C(O)SRb, -C(S)SRb, -c(o)N Rb2, -C(s)NRb2, -C(=NRb)NRb2, donde cada X1 es independientemente un halógeno: F, Cl, Br o I; y cada Rb es independientemente H, alquilo, arilo, arilalquilo, un heterociclo o un grupo protector o resto profármaco. Los grupos alquileno, alquenileno y alquinileno también pueden estar sustituidos de manera similar. A menos que se indique lo contrario, cuando el término "sustituido" se usa junto con grupos tales como arilalquilo, que tienen dos o más restos capaces de sustitución, los sustituyentes pueden unirse al resto arilo, al resto alquilo, o a ambos.[0072] The term "substituted", referring to alkyl, alkylene, aryl, arylalkyl, alkoxy, heterocyclyl, heteroaryl, carbocyclyl, etc. groups, for example, "substituted alkyl", "substituted alkylene", "substituted aryl", "substituted arylalkyl", "substituted heterocyclyl" and "substituted carbocyclyl" means alkyl, alkylene, aryl, arylalkyl, heterocyclyl, carbocyclyl, respectively, in which one or more hydrogen atoms are each independently replaced with a non-hydrogen substituent. Typical substituents include, among others, -X1, -Rb, -O ', = O, -ORb, -SRb, -S-, -NRb2 , -N + Rb3 , = NRb, -CX3 , -CN , -OCN, -SCN, -N = C = O, -NCS, -NO, -NO2 , = N2 , -N3 , -NHC (= O) Rb, -OC (= O) Rb, -NHC (= O) NRb2 , -S (= O) 2-, -S (= O) 2OH, -S (= O) 2Rb, -OS (= O) 2ORb, -S (= O) 2NRb2, -S (= O) Rb, -OP (= O) (ORb) 2, -P (= O) (ORb) 2, -P (= O) (O ') 2, -P (= O) (OH) 2 , -P (O) (ORb) (O-), -C (= O) Rb, -C (= O) X, -C (S) Rb, -C (O) ORb, -C (O) O -, -C (S) ORb, -C (O) SRb, -C (S) SRb, -c (o) NRb2 , -C (s) NRb2 , -C (= NRb) NRb2 , where each X1 is independently a halogen: F, Cl, Br or I; and each Rb is independently H, alkyl, aryl, arylalkyl, a heterocycle or a protecting group or prodrug moiety. The alkylene, alkenylene and alkynylene groups may also be similarly substituted. Unless otherwise indicated, when the term "substituted" is used together with groups such as arylalkyl, which have two or more moieties capable of substitution, the substituents can be attached to the aryl moiety, to the alkyl moiety, or both.

[0073]El término "profármaco" tal como se utiliza aquí, se refiere a cualquier compuesto que cuando se administra a un sistema biológico genera la sustancia farmacológica, es decir, el ingrediente activo, como resultado de reacciones químicas espontáneas, reacciones químicas catalizadas por enzimas, fotólisis y/o reacciones químicas metabólicas. Un profármaco es, por lo tanto, una forma análoga o latente modificada covalentemente de un compuesto terapéuticamente activo.[0073] The term "prodrug" as used herein, refers to any compound that when administered to a biological system generates the pharmacological substance, that is, the active ingredient, as a result of reactions. spontaneous chemicals, chemical reactions catalyzed by enzymes, photolysis and / or metabolic chemical reactions. A prodrug is therefore an analogous or latent covalently modified form of a therapeutically active compound.

[0074]El "heterociclo" o "heterociclilo" como se usa en el presente documento incluye, a modo de ejemplo y sin limitación, los heterociclos descritos en Paquette, Leo A.; Principles of Modern Heterocyclic Chemistry (WA Benjamin, Nueva York, 1968), en particular los capítulos 1, 3, 4, 6, 7 y 9; la química de los compuestos heterocíclicos, una serie de monografías "(John Wiley & Sons, Nueva York, 1950 al presente), en particular los volúmenes 13, 14, 16, 19 y 28; y J. Am. Chem. Soc. (1960) 82: 5566. En una realización específica de la invención, "heterociclo" incluye un "carbociclo" como se define en el presente documento, en el que uno o más (por ejemplo, 1, 2, 3 o 4) átomos de carbono han sido reemplazados por un heteroátomo (por ejemplo, O, N o S). Los términos "heterociclo" o "heterociclilo" incluyen anillos saturados, anillos parcialmente insaturados y anillos aromáticos (es decir, anillos heteroaromáticos). Los heterociclilos sustituidos incluyen, por ejemplo, anillos heterocíclicos sustituidos con cualquier de los sustituyentes descritos en este documento que incluyen grupos carbonilo. Un ejemplo no limitante de un heterociclilo sustituido con carbonilo es:[0074] The "heterocycle" or "heterocyclyl" as used herein includes, by way of example and without limitation, the heterocycles described in Paquette, Leo A .; Principles of Modern Heterocyclic Chemistry (WA Benjamin, New York, 1968), in particular chapters 1, 3, 4, 6, 7 and 9; the chemistry of heterocyclic compounds, a series of monographs "(John Wiley & Sons, New York, 1950 to the present), in particular volumes 13, 14, 16, 19 and 28; and J. Am. Chem. Soc. ( 1960) 82: 5566. In a specific embodiment of the invention, "heterocycle" includes a "carbocycle" as defined herein, in which one or more (eg, 1, 2, 3 or 4) atoms of carbon have been replaced by a heteroatom (for example, O, N or S) The terms "heterocycle" or "heterocyclyl" include saturated rings, partially unsaturated rings and aromatic rings (ie, heteroaromatic rings). Substituted heterocyclyls include, for example, heterocyclic rings substituted with any of the substituents described herein that include carbonyl groups A non-limiting example of a carbonyl substituted heterocyclyl is:

Figure imgf000023_0001
Figure imgf000023_0001

[0075]Los ejemplos de heterociclos incluyen, a modo de ejemplo y sin limitación, piridilo, dihidropiridilo, tetrahidropiridilo (piperidilo), tiazolilo, tetrahidrotiofenilo, tetrahidrotiofenilo oxidado con azufre, pirimidinilo, furanilo, tienilo, pirrolilo, pirazolilo, imidazolilo, tetrazolilo, benzofuranilo, tianaftalenilo, indolilo, indolenilo, quinolinilo, isoquinolinilo, bencimidazolilo, piperidinilo, 4-piperidonilo, pirrolidinilo, 2-pirrolidonilo, pirrolinilo, tetrahidrofuranilo, tetrahidroquinolinilo, tetrahidroisoquinolinilo, decahidroquinolinilo, octahidroisoquinolinilo, azocinilo, triazinilo, 6H-1,2,5-tiadiazinilo, 2H,6H-1,5,2-ditiazinilo, tienilo, tiantrenilo, piranilo, isobenzofuranilo, cromenilo, xantenilo, fenoxatinilo, 2H-pirrolilo, isotiazolilo, isoxazolilo, pirazinilo, piridazinilo, indolizinilo, isoindolilo, 3H-indolilo, 1H-indazolilo, purinilo, 4H-quinolizinilo, ftalazinilo, naftiridinilo, quinoxalinilo, quinazolinilo, cinolinilo, pteridinilo, 4aH-carbazolilo, carbazolilo, pcarbolinilo, fenantridinilo, acridinilo, pirimidinilo, fenantrolinilo, fenazinilo, fenotiazinilo, furazanilo, fenoxazinilo, isocromanilo, cromanilo, imidazolidinilo, imidazolinilo, pirazolidinilo, pirazolinilo, piperazinilo, indolinilo, isoindolinilo, quinuclidinilo, morfolinilo, oxazolidinilo, benzotriazolilo, benzisoxazolilo, oxindolilo, benzoxazolinilo, isatinoilo y bistetrahidrofuranilo:[0075] Examples of heterocycles include, by way of example and without limitation, pyridyl, dihydropyridyl, tetrahydropyridyl (piperidyl), thiazolyl, sulfur oxidized tetrahydrothiophenyl, tetrahydrothiophenyl, pyrimidinyl, furanyl, thienyl, pyrrolyl, pyrazoluranyl, imidazolyl, imidazolyl, imidazolyl , tianaftalenilo, indolyl, indolenyl, quinolinyl, isoquinolinyl, benzimidazolyl, piperidinyl, 4-piperidonyl, pyrrolidinyl, 2-pyrrolidonyl, pyrrolinyl, tetrahydrofuranyl, tetrahydroquinolinyl, tetrahydroisoquinolinyl, decahydroquinolinyl, octahydroisoquinolinyl, azocinyl, triazinyl, 6H-1,2,5-thiadiazinyl , 2H, 6H-1,5,2-dithiazinyl, thienyl, tiantrenyl, pyranyl, isobenzofuranyl, chromenyl, xanthenyl, phenoxyatinyl, 2H-pyrrolyl, isothiazolyl, isoxazolyl, pyrazinyl, pyridazinyl, indolizinyl, isoindolyl, 3H-inoldazole , purinyl, 4H-quinolizinyl, phthalazinyl, naphthyridinyl, quinoxalinyl, quinazolinyl, cinolinyl, pteridinyl, 4aH-carbazolyl, carbaz olyl, pcarbolinilo, phenanthridinyl, acridinyl, pyrimidinyl, phenanthrolinyl, phenazinyl, phenothiazinyl, furazanyl, phenoxazinyl, isochromanyl, chromanyl, imidazolidinyl, imidazolinyl, pyrazolidinyl, pyrazolinyl, piperazinyl, indolinyl, isoindolinyl, quinuclidinyl, morpholinyl, oxazolidinyl, benzotriazolyl, benzisoxazolyl, oxindolyl, benzoxazolinyl, isatinoyl and bistetrahydrofuranyl:

Figure imgf000023_0002
Figure imgf000023_0002

[0076]A modo de ejemplo y no de limitación, los heterociclos unidos a carbono están unidos en la posición 2, 3, 4, 5, ó 6 de una piridina, posición 3, 4, 5, ó 6 de una piridazina, posición 2, 4, 5, o 6 de una pirimidina, posición 2, 3, 5 o 6 de una pirazina, posición 2, 3, 4 o 5 de un furano, tetrahidrofurano, tiofurano, tiofeno, pirrol o tetrahidropirrol, posición 2, 4 o 5 de un oxazol, imidazol o tiazol, posición 3, 4 o 5 de un isoxazol, pirazol o isotiazol, posición 2 o 3 de una aziridina, posición 2, 3 o 4 de una azetidina, posición 2, 3, 4, 5, 6, 7 u 8 de una quinolina o posición 1, 3, 4, 5, 6, 7 u 8 de una isoquinolina. Aún más típicamente, los heterociclos unidos a carbono incluyen 2-piridilo, 3-piridilo, 4-piridilo, 5-piridilo, 6-piridilo, 3-piridazinilo, 4-piridazinilo, 5-piridazinilo, 6-piridazinilo, 2-pirimidinilo, 4-pirimidinilo, 5-pirimidinilo, 6-pirimidinilo, 2-pirazinilo, 3-pirazinilo, 5-pirazinilo, 6-pirazinilo, 2-tiazolilo, 4-tiazolilo o 5-tiazolilo.[0076] By way of example and not limitation, carbon-linked heterocycles are attached at position 2, 3, 4, 5, or 6 of a pyridine, position 3, 4, 5, or 6 of a pyridazine, position 2, 4, 5, or 6 of a pyrimidine, position 2, 3, 5 or 6 of a pyrazine, position 2, 3, 4 or 5 of a furan, tetrahydrofuran, thiofuran, thiophene, pyrrole or tetrahydropyrrole, position 2, 4 or 5 of an oxazole, imidazole or thiazole, position 3, 4 or 5 of an isoxazole, pyrazole or isothiazole, position 2 or 3 of an aziridine, position 2, 3 or 4 of an azetidine, position 2, 3, 4, 5 , 6, 7 or 8 of a quinoline or position 1, 3, 4, 5, 6, 7 or 8 of an isoquinoline. Even more typically, carbon-linked heterocycles include 2-pyridyl, 3-pyridyl, 4-pyridyl, 5-pyridyl, 6-pyridyl, 3-pyridazinyl, 4-pyridazinyl, 5-pyridazinyl, 6-pyridazinyl, 2-pyrimidinyl, 4-pyrimidinyl, 5-pyrimidinyl, 6-pyrimidinyl, 2-pyrazinyl, 3-pyrazinyl, 5-pyrazinyl, 6-pyrazinyl, 2-thiazolyl, 4-thiazolyl or 5-thiazolyl.

[0077]A modo de ejemplo y no de limitación, los heterociclos unidos a nitrógeno se unen en la posición 1 de una aziridina, azetidina, pirrol, pirrolidina, 2-pirrolina, 3-pirrolina, imidazol, imidazolidina, 2-imidazolina, 3-imidazolina, pirazol, pirazolina, 2-pirazolina, 3-pirazolina, piperidina, piperazina, indol, indolina, 1H-indazol, posición 2 de un isoindol, o isoindolina, posición 4 de una morfolina y posición 9 de un carbazol, o p-carbolina. Aún más típicamente, los heterociclos unidos a nitrógeno incluyen 1-aziridilo, 1-azetedilo, 1 -pirrolilo, 1 -imidazolilo, 1 -pirazolilo y 1 -piperidinilo.[0077] By way of example and not limitation, nitrogen-linked heterocycles bind at the 1-position of an aziridine, azetidine, pyrrole, pyrrolidine, 2-pyrroline, 3-pyrroline, imidazole, imidazolidine, 2-imidazoline, 3 -imidazoline, pyrazole, pyrazoline, 2-pyrazoline, 3-pyrazoline, piperidine, piperazine, indole, indoline, 1H-indazole, position 2 of an isoindol, or isoindoline, position 4 of a morpholine and position 9 of a carbazole, or p -carboline Even more typically, nitrogen-linked heterocycles include 1-aziridyl, 1-azetedyl, 1-pyrrolyl, 1-imidazolyl, 1-pyrazolyl and 1 -piperidinyl.

[0078]"Heterociclilalquilo" o "heterociclilalquileno" se refiere a un radical alquilo acíclico en el que uno de los átomos de hidrógeno unidos a un átomo de carbono, típicamente un terminal o átomo de carbono sp3, se sustituye con un radical heterociclilo (es decir, un resto heterociclilalquileno). Grupos alquilo heterociclilo típicos incluyen, pero no se limitan a heterociclil-CH2-, 2-(heterociclilo)etan-1-ilo, y similares, en el que la porción "heterociclilo" incluye cualquiera de los grupos heterociclilo descritos anteriormente, incluyendo los descritos enPrincipies of Modern Heterocyclic Chemistry.Un experto en la materia también comprenderá que el grupo heterociclilo se puede unir a la porción alquilo del heterociclilalquilo por medio de un enlace carbono-carbono o un enlace carbono-heteroátomo, con la condición de que el grupo resultante sea químicamente estable. El grupo alquilo heterocicNlo comprende 3 a 20 (es decir, C3a C20) átomos de carbono, por ejemplo, la porción alquilo del grupo es de 1 a 6 (es decir, C1a Ce) átomos de carbono y el resto heterociclilo es de 2 a 14 átomos de carbono. Los ejemplos de heterociclilalquilos incluyen, a modo de ejemplo y sin limitación, heterociclos que contienen azufre, oxígeno y/o nitrógeno de 5 miembros, tales como tiazolilmetilo, 2-tiazoliletan-1-ilo, imidazolilmetilo, oxazolilmetilo, tiadiazolilmetilo, etc., azufre de 6 miembros, heterociclos que contienen oxígeno y/o nitrógeno tales como piperidinilmetilo, piperazinilmetilo, morfolinilmetilo, piridinilmetilo, piridizilmetilo, pirimidilmetilo, pirazinilmetilo, etc.[0078] "Heterocyclylalkyl" or "heterocyclylalkylene" refers to an acyclic alkyl radical in which one of the hydrogen atoms attached to a carbon atom, typically a sp3 carbon terminal or atom, is substituted with a heterocyclyl radical (it is ie, a heterocyclylalkylene moiety). Typical heterocyclyl alkyl groups include, but are not limited to heterocyclyl-CH2 -, 2- (heterocyclyl) ethan-1-yl, and the like, wherein the "heterocyclyl" portion includes any of the heterocyclyl groups described above, including described inPrincipies of Modern Heterocyclic Chemistry. One skilled in the art will also understand that the heterocyclyl group can be attached to the alkyl portion of the heterocyclylalkyl by means of a carbon-carbon bond or a carbon-heteroatom bond, provided that the resulting group be chemically stable. The heterocyclic alkyl group comprises 3 to 20 (i.e., C3 to C20 ) carbon atoms, for example, the alkyl portion of the group is 1 to 6 (i.e., C1 to Ce) carbon atoms and the rest Heterocyclyl is 2 to 14 carbon atoms. Examples of heterocyclylalkyl include, by way of example and without limitation, 5-membered sulfur, oxygen and / or nitrogen heterocycles, such as thiazolylmethyl, 2-thiazolylethane-1-yl, imidazolylmethyl, oxazolylmethyl, thiadiazolylmethyl, etc., sulfur 6-membered, heterocycles containing oxygen and / or nitrogen such as piperidinylmethyl, piperazinylmethyl, morpholinylmethyl, pyridinylmethyl, pyridizylmethyl, pyrimidylmethyl, pyrazinylmethyl, etc.

[0079]"Heteroarilo" se refiere a un heterociclilo aromático que tiene al menos un heteroátomo en el anillo. Ejemplos no limitantes de heteroátomos adecuados que pueden incluirse en el anillo aromático incluyen oxígeno, azufre y nitrógeno. Los ejemplos no limitantes de anillos heteroarilo incluyen todos los anillos aromáticos enumerados en la definición de "heterociclilo", incluidos piridinilo, pirrolilo, oxazolilo, indolilo, isoindolilo, purinilo, furanilo, tienilo, benzofuranilo, benzotiofenilo, carbazolilo, imidazolilo, tiazolilo., isoxazolilo, pirazolilo, isotiazolilo, quinolilo, isoquinolilo, piridazilo, pirimidilo, pirazilo, etc.[0079] "Heteroaryl" refers to an aromatic heterocyclyl having at least one ring heteroatom. Non-limiting examples of suitable heteroatoms that may be included in the aromatic ring include oxygen, sulfur and nitrogen. Non-limiting examples of heteroaryl rings include all aromatic rings listed in the definition of "heterocyclyl", including pyridinyl, pyrrolyl, oxazolyl, indolyl, isoindolyl, purinyl, furanyl, thienyl, benzofuranyl, benzothiophenyl, carbazolyl, imidazolyl, thiazolyl. , pyrazolyl, isothiazolyl, quinolyl, isoquinolyl, pyridazyl, pyrimidyl, pyrazyl, etc.

[0080]"Heteroarilalquilo" se refiere a un grupo alquilo, como se define en el presente documento, en el que un átomo de hidrógeno ha sido reemplazado por un grupo heteroarilo como se define en el presente documento. Ejemplos no limitativos de heteroarilalquilo incluyen -CH2-piridinilo, -CH2-pirrolilo, -CH2-oxazolilo, -CH2-indolilo, -CH2-isoindolilo, -CH2-purinilo, -CH2-furanilo, -CH2-tienilo, -CH2-benzofuranilo, -CH2-benzotiofenilo, -CH2-carbazolilo, -CH2-imidazolilo, -CH2-tiazolilo, -CH2-isoxazolilo, -CH2-pirazolilo, -CH2-isotiazolilo, -CH2-quinolilo, -CH2-isoquinolilo, -CH2-piridazilo, -CH2pirimidilo, -CH2-pirazilo, -CH(CH3)piridinilo, -CH(CH3)pirrolilo, -CH(CH3)oxazolilo, -CH(CH3)indolilo, -CH(CH3)isoindolilo, -CH(CH3)-purinilo, -CH(CH3)-furanilo, -CH(CH3)-tienilo, -CH(CH3)-benzofuranilo, -CH(CH3)-benzotiofenilo, -CH(CH3)-carbazolilo, -CH(CH3)imidazolilo, -CH(CH3)-tiazolilo, -CH(CH3)-isoxazolilo, -CH(CH3)-pirazolil, -CH(CH3)-isotiazolilo, -CH(CH3)-quinolilo, -CH(CH3)-isoquinolilo, -CH(CH3)-piridazilo, -CH(CH3)-pirimidilo, -CH(CH3)-pirazilo, etc.[0080] "Heteroarylalkyl" refers to an alkyl group, as defined herein, in which a hydrogen atom has been replaced by a heteroaryl group as defined herein. Nonlimiting examples of heteroarylalkyl include -CH2 pyridinyl, -CH2 -pyrrolyl, -CH2 -oxazolilo,-CH2-indolyl,-CH2 isoindolyl, -CH2 -purinyl, -CH2 -furanyl, -CH2- thienyl, -CH2 -benzofuranyl, -CH2 -benzothiophenyl, -CH2 -carbazolyl, -CH2 -imidazolyl, -CH2 -thiazolyl, -CH2 -isoxazolyl, -CH2 -pyrazolyl, -CH2 - isothiazolyl, -CH2 -quinolyl, -CH2 -isoquinolyl, -CH2 -pyridazyl, -CH2 pyrimidyl, -CH2 -pyrazyl, -CH (CH3 ) pyridinyl, -CH (CH3 ) pyrrolyl, -CH ( CH3 ) oxazolyl, -CH (CH3 ) indolyl, -CH (CH3 ) isoindolyl, -CH (CH3 ) -purinyl, -CH (CH3 ) -furanyl, -CH (CH3 ) -thienyl, -CH (CH3 ) -benzofuranyl, -CH (CH3 ) -benzothiophenyl, -CH (CH3 ) -carbazolyl, -CH (CH3 ) imidazolyl, -CH (CH3 ) -thiazolyl, -CH (CH3 ) -isoxazolyl , -CH (CH3 ) -pyrazolyl, -CH (CH3 ) -isothiazolyl, -CH (CH3 ) -quinolyl, -CH (CH3 ) -isoquinolyl, -CH (CH3 ) -pyridazyl, -CH (CH3 ) -pyrimidyl, -CH (CH3 ) -pyrazyl, etc.

[0081]El término "opcionalmente sustituido" en referencia a un resto particular del compuesto de Fórmula I-V (por ejemplo, un grupo arilo opcionalmente sustituido) se refiere a un resto en el que todos los sustituyentes son hidrógeno o en donde uno o más de los hidrógenos de la fracción puede ser reemplazado por sustituyentes como los enumerados en la definición de "sustituido".[0081] The term "optionally substituted" in reference to a particular moiety of the compound of Formula IV (eg, an optionally substituted aryl group) refers to a moiety in which all substituents are hydrogen or wherein one or more of The hydrogens of the fraction can be replaced by substituents such as those listed in the definition of "substituted."

[0082]El término "opcionalmente sustituido" en referencia a un resto particular del compuesto de Fórmula I-V (por ejemplo, los átomos de carbono de dicho (C1-C8) alquilo puede estar opcionalmente reemplazado por -O-, -S-, o -NRa-) significa que uno o más de los grupos metileno del alquilo (C1-C8) pueden reemplazarse por 0, 1, 2 o más de los grupos especificados (por ejemplo, -O-, - S-, o -NRa-).[0082] The term "optionally substituted" in reference to a particular moiety of the compound of Formula IV (for example, the carbon atoms of said (C1 -C8 ) alkyl may be optionally replaced by -O-, -S- , or -NRa-) means that one or more of the methylene groups of the (C1 -C8 ) alkyl can be replaced by 0, 1, 2 or more of the specified groups (for example, -O-, - S-, or -NRa-).

[0083]El término "átomo(s) no terminal(es) de carbono" en referencia a un grupo alquilo, alquenilo, alquinilo, alquileno, alquenileno, o resto alquinileno se refiere a los átomos de carbono en el resto que intervienen entre el primer átomo de carbono del resto y el último átomo de carbono en el resto. Por lo tanto, a modo de ejemplo y no de limitación, en el resto alquilo -CH2(C*)H2(C*)H2CH3o resto alquileno -CH2(C*)H2(C*)H2CH2- los átomos de C* se considerarían átomos de carbono no terminales.[0083] The term "non-terminal carbon atom (s)" in reference to an alkyl, alkenyl, alkynyl, alkylene, alkenylene, or alkynylene moiety group refers to the carbon atoms in the remainder that intervene between the first carbon atom of the rest and the last carbon atom in the rest. Therefore, by way of example and not limitation, in the remainder alkyl -CH2 (C *) H2 (C *) H2 CH3 or alkylene moiety -CH2 (C *) H2 (C *) H2 CH2 - C * atoms would be considered non-terminal carbon atoms.

[0084]Ciertos Y e Y1 alternativos son óxidos de nitrógeno, tales como N(O)(R) o N(O)(OR). Estos óxidos de nitrógeno, como se muestra aquí unidos a un átomo de carbono, también se pueden representar mediante grupos separados por carga, tal como[0084] Certain alternative Y and Y1 are nitrogen oxides, such as N (O) (R) or N (O) (OR). These nitrogen oxides, as shown herein attached to a carbon atom, can also be represented by charge-separated groups, such as

Figure imgf000024_0001
Figure imgf000024_0001

respectivamente, y están destinados a ser equivalentes a las representaciones mencionadas anteriormente para los fines de describir esta invención.respectively, and are intended to be equivalent to the representations mentioned above for the purpose of describing this invention.

[0085]El término base "pirimidina" comprende, pero no se limita a bases de pirimidina que ocurren naturalmente o modificadas, tales como timina, citosina, 5-fluorocitosina, 5-metilcitosina, 6-azapirimidina, incluyendo 6-azacitosina, 2-y/o 4-mercaptopirimidina, uracilo, 5-halouracilo, incluyendo 5-fluorouracilo, C5-alquilpyrimidines, C5-bencilpirimidinas, C5-halopirimidinas, C5-vinilpirimidina, C5-pirimidina acetilénica, C5-acil pirimidina, C5-amidopirimidina, C5-cianopirimidina, C5-5-yodopirimidina, C6-yodo-pirimidina, C5-Br-vinil pirimidina, C6-Br-vinil pirimidina, C5-nitropirimidina, C5-amino- pirimidina, 5-azacitidinilo y 5-azauracililo. Los tautómeros de estas bases también están incluidos en el alcance de la invención. Por ejemplo, los tautómeros de uracilo tienen las siguientes estructuras:[0085] The base term "pyrimidine" comprises, but is not limited to naturally occurring or modified pyrimidine bases, such as thymine, cytosine, 5-fluorocytosine, 5-methylcytosine, 6-azapyrimidine, including 6-azacytosine, 2- and / or 4-mercaptopyrimidine, uracil, 5-halouracil, including 5-fluorouracil, C5-alkylpyrimidines, C5-benzylpyrimidines, C5-halopyrimidines, C5-vinylpyrimidine, C5-pyrimidine acetylenic, C5-acyl-pyrimidine, C5-acyl-pyrimidine cyanopyrimidine, C5-5-iodopyrimidine, C6-iodo-pyrimidine, C5-Br-vinyl pyrimidine, C6-Br-vinyl pyrimidine, C5-nitropyrimidine, C5-amino-pyrimidine, 5-azacitidinyl and 5-azauracilyl. Tautomers of these bases are also included in the scope of the invention. For example, uracil tautomers have the following structures:

Figure imgf000025_0001
Figure imgf000025_0001

[0086]Las bases de pirimidina de la Fórmula I-V están vinculadas al azúcar ribosa, o análogo del mismo, a través de un átomo de nitrógeno de la base. Los grupos funcionales de oxígeno y nitrógeno en la base se pueden proteger según sea necesario o deseado. Los grupos protectores adecuados son bien conocidos por los expertos en la técnica, e incluyen trimetilsililo, dimetilhexilsililo, t-butildimetilsililo, y t-butildifenilsililo, tritilo, grupos alquilo y grupos acilo tales como acetilo y propionilo, metanosulfonilo y p-toluenosulfonilo.[0086] The pyrimidine bases of Formula IV are linked to ribose sugar, or analog thereof, through a nitrogen atom of the base. The oxygen and nitrogen functional groups in the base can be protected as necessary or desired. Suitable protecting groups are well known to those skilled in the art, and include trimethylsilyl, dimethylhexylsilyl, t-butyldimethylsilyl, and t-butyldiphenylsilyl, trityl, alkyl groups and acyl groups such as acetyl and propionyl, methanesulfonyl and p-toluenesulfonyl.

[0087]A menos que se especifique lo contrario, los átomos de carbono de los compuestos de Fórmula I-V están destinados a tener una valencia de cuatro. En algunas representaciones de estructuras químicas donde los átomos de carbono no tienen un número suficiente de variables unidas para producir una valencia de cuatro, se debe suponer que los sustituyentes de carbono restantes necesarios para proporcionar una valencia de cuatro son hidrógeno. Por ejemplo,[0087] Unless otherwise specified, the carbon atoms of the compounds of Formula IV are intended to have a valence of four. In some representations of chemical structures where carbon atoms do not have a sufficient number of variables attached to produce a valence of four, it must be assumed that the remaining carbon substituents necessary to provide a valence of four are hydrogen. For example,

Figure imgf000025_0002
Figure imgf000025_0002

tiene el mismo significado queIt has the same meaning as

Figure imgf000025_0003
Figure imgf000025_0003

[0088]El "grupo protector" se refiere a un resto de un compuesto que enmascara o altera las propiedades de un grupo funcional o las propiedades del compuesto en su conjunto. La subestructura química de un grupo protector varía ampliamente. Una función de un grupo protector es servir como intermediario en la síntesis de la sustancia farmacológica parental. Los grupos protectores químicos y las estrategias para la protección/desprotección son bien conocidos en la técnica. Ver: "Protective Groups in Organic Chemistry", Theodora W. Greene (John Wiley & Sons, Inc., Nueva York, 1991. Los grupos protectores a menudo se utilizan para enmascarar la reactividad de ciertos grupos funcionales, para ayudar en la eficiencia de reacciones químicas deseadas, p. ej., hacer y romper enlaces químicos de una manera ordenada y planificada. La protección de los grupos funcionales de un compuesto altera otras propiedades físicas además de la reactividad del grupo funcional protegido, como la polaridad, la lipofilia (hidrofobia) y otras propiedades que pueden medirse mediante herramientas analíticas comunes. Los intermedios químicamente protegidos pueden ser biológicamente activos o inactivos.[0088] The "protecting group" refers to a remainder of a compound that masks or alters the properties of a functional group or the properties of the compound as a whole. The chemical substructure of a protective group varies widely. A function of a protective group is to serve as an intermediary in the synthesis of the parental drug substance. Chemical protecting groups and strategies for protection / deprotection are well known in the art. See: "Protective Groups in Organic Chemistry," Theodora W. Greene (John Wiley & Sons, Inc., New York, 1991. Protective groups are often used to mask the reactivity of certain functional groups, to aid in the efficiency of Desired chemical reactions, e.g., making and breaking chemical bonds in an orderly and planned manner The protection of functional groups of a compound alters other physical properties in addition to the reactivity of the protected functional group, such as polarity, lipophilicity ( hydrophobia) and other properties that can be measured by common analytical tools Chemically protected intermediates can be biologically active or inactive.

[0089]Compuestos protegidos pueden también exhibir propiedades alteradas, y en algunos casos, propiedades optimizadasen vitroyen vivo,tales como paso a través de las membranas celulares y la resistencia a la degradación enzimática o secuestro. En este papel, los compuestos protegidos con los efectos terapéuticos previstos pueden denominarse profármacos. Otra función de un grupo protector es convertir el fármaco parental en un profármaco, por lo que el fármaco parental se libera tras la conversión del profármacoin vivo.Debido a que los profármacos activos pueden absorberse más eficazmente que el fármaco parental, los profármacos pueden poseer una mayor potenciain vivoque el fármaco parental. Los grupos protectores se eliminanin vitro,en el caso de productos químicos intermedios, oin vivo,en el caso de los profármacos. Con productos químicos intermedios, no es particularmente importante que los productos resultantes después de la desprotección, por ejemplo, los alcoholes, sean fisiológicamente aceptables, aunque en general es más deseable si los productos son farmacológicamente inocuos.[0089] Protected compounds may also exhibit altered properties, and in some cases, properties optimizedin vitro andin vivo, such as passage through cell membranes and resistance to enzymatic degradation or sequestration. In this role, compounds protected with the expected therapeutic effects may be called prodrugs. Another function of a protective group is to convert the parental drug into a prodrug, whereby the parental drug is released after the conversion of the prodrugin vivo. Because the active prodrugs can be absorbed more efficiently than the parental drug, the prodrugs may possess a greater potencyin vivo than the parental drug. Protective groups are removedin vitro, in the case of intermediate chemicals, orin vivo, in the case of prodrugs. With intermediate chemicals, it is not particularly important that the resulting products after deprotection, for example, alcohols, are physiologically acceptable, although in general it is more desirable if the products are pharmacologically safe.

[0090] Por "fracción de profármaco" se entiende un grupo funcional lábil que se separa del compuesto inhibidor activo durante el metabolismo, sistémicamente, dentro de una célula, por hidrólisis, escisión enzimática o por algún otro proceso (Bundgaard, Hans, "Design and Application of Prodrugs" en (1991), P. Krogsgaard-Larsen y H. Bundgaard, Eds. Harwood Academic Publishers Textbook of Drug Design and Development, pp. 113-191). Las enzimas que son capaces de un mecanismo de activación enzimática con los compuestos profármacos de fosfonato de la invención incluyen, pero no se limitan a amidasas, esterasas, enzimas microbianas, fosfolipasas, colinesterasas y fosfasas. Los restos de profármacos pueden servir para mejorar la solubilidad, la absorción y la lipofilia para optimizar el suministro de fármacos, la biodisponibilidad y la eficacia.[0090] By "prodrug fraction" is meant a labile functional group that is separated from the active inhibitor compound during metabolism, systemically, within a cell, by hydrolysis, enzymatic cleavage or by some other process (Bundgaard, Hans, "Design and Application of Prodrugs "in (1991), P. Krogsgaard-Larsen and H. Bundgaard, Eds. Harwood Academic Publishers Textbook of Drug Design and Development, pp. 113-191). Enzymes that are capable of an enzymatic activation mechanism with the phosphonate prodrug compounds of the invention include, but are not limited to amidases, esterases, microbial enzymes, phospholipases, cholinesterase and phosphase. Prodrug residues can be used to improve solubility, absorption and lipophilicity to optimize drug delivery, bioavailability and efficacy.

[0091] Un resto de profármaco puede incluir un metabolito activo o el propio fármaco.[0091] A prodrug moiety may include an active metabolite or the drug itself.

[0092] Los restos de profármaco ejemplares incluyen los ésteres de aciloximetilo hidrolíticamente sensibles o lábiles -CH2OC(=O)R30 y aciloximetilo carbonatos -CH2OC(=O)OR30 en la que R30 es C1-C6alquilo, C1-C6alquilo sustituido, C6-C20arilo o C6-C20arilo sustituido. El aciloxialquilo éster se usó como una estrategia de profármaco para ácidos carboxílicos y se aplicó a fosfatos y fosfonatos por Farquhar et al. (1983) J. Pharm. Sci. 72: 324; también Patentes de los Estados Unidos Nos 4816570, 4968788, 5663159 y 5792756. En ciertos compuestos de la invención, un resto de profármaco es parte de un grupo fosfato. El éster de aciloxialquilo se puede usar para administrar ácidos fosfóricos a través de las membranas celulares y mejorar la biodisponibilidad oral. Una variante cercana del éster de aciloxialquilo, el éster de alcoxicarboniloxialquilo (carbonato), también puede mejorar la biodisponibilidad oral como un resto de profármaco en los compuestos de las combinaciones de la invención. Un ejemplo de aciloximetil éster es pivaloiloximetoxi, (POM) -CH2OC(=O)C(CH3)3. Un resto de profármaco de aciloximetil carbonato ejemplar es el pivaloiloximetilcarbonato (POC)-c H2OC(=O)Oc (CH3)3.[0092] Exemplary prodrug moieties include hydrolytically sensitive or labile acyloxymethyl esters -CH2 OC (= O) R30 and acyloxymethyl carbonates -CH2 OC (= O) OR30 in which R30 is C1 -C6 alkyl, C1 -C6 substituted alkyl, C6 -C20 aryl or C6 -C20 substituted aryl. The acyloxyalkyl ester was used as a prodrug strategy for carboxylic acids and applied to phosphates and phosphonates by Farquhar et al. (1983) J. Pharm. Sci. 72: 324; also United States Patents Nos. 4816570, 4968788, 5663159 and 5792756. In certain compounds of the invention, a prodrug moiety is part of a phosphate group. The acyloxyalkyl ester can be used to administer phosphoric acids through cell membranes and improve oral bioavailability. A nearby variant of the acyloxyalkyl ester, the alkoxycarbonyloxyalkyl ester (carbonate), can also improve oral bioavailability as a prodrug moiety in the compounds of the combinations of the invention. An example of acyloxymethyl ester is pivaloyloxymethoxy, (POM) -CH2 OC (= O) C (CH3 )3 . An exemplary acyloxymethyl carbonate prodrug moiety is pivaloyloxymethylcarbonate (POC) -c H2 OC (= O) Oc (CH3 )3 .

[0093] El grupo fosfato puede ser un resto de profármaco de fosfato. El resto profármaco puede ser sensible a la hidrólisis, tal como, pero sin limitación, aquellos que comprenden un grupo pivaloiloximetil carbonato (POC) o POM. Alternativamente, el resto de profármaco puede ser sensible a la escisión potenciada enzimáticamente, tal como un éster de lactato o un grupo fosfonamidato-éster.[0093] The phosphate group may be a phosphate prodrug moiety. The prodrug moiety may be sensitive to hydrolysis, such as, but not limited to, those comprising a pivaloyloxymethyl carbonate (POC) or POM group. Alternatively, the prodrug moiety may be sensitive to enzymatically enhanced cleavage, such as a lactate ester or a phosphonamidate-ester group.

[0094] Se informó que ésteres de arilo de los grupos de fósforo, especialmente los ésteres de fenilo, mejoran la biodisponibilidad oral (DeLambert et al (1994) J. Med Chem. 37: 498). También se han descrito ésteres de fenilo que contienen un éster carboxílico orto al fosfato (Khamnei y Torrence, (1996) J. Med. Chem. 39: 4109-4115). Se informa que los ésteres de bencilo generan el ácido fosfónico original. En algunos casos, los sustituyentes en la posiciónortooparapueden acelerar la hidrólisis. Los análogos de bencilo con un fenol acilado o un fenol alquilado pueden generar el compuesto fenólico a través de la acción de enzimas, por ejemplo, esterasas, oxidasas, etc., que a su vez se escinden en el enlace de CO bencílico para generar el ácido fosfórico y el intermedio de metona quinona. Mitchell et al. describen ejemplos de esta clase de profármacos. (1992) J. Chem. Soc. Perkin Trans. I 2345; Brook y col. WO 91/19721. Todavía se han descrito otros profármacos bencílicos que contienen un grupo que contiene éster carboxílico unido al metileno bencílico (Glazier et al. WO 91/19721). Se informa que los profármacos que contienen tio son útiles para la administración intracelular de fármacos de fosfonato. Estos proésteres contienen un grupo etiltio en el que el grupo tiol se esterifica con un grupo acilo o se combina con otro grupo tiol para formar un disulfuro. La desesterificación o reducción del disulfuro genera el tio intermedio libre que posteriormente se descompone en ácido fosfórico y episulfuro (Puech et al. (1993) Antiviral Res., 22: 155-174; Benzaria et al. (1996) J. Med. Chem. 39: 4958). Los ésteres de fosfonato cíclicos también se han descrito como profármacos de compuestos que contienen fósforo (Erion et al., Patente de los Estados Unidos N° 6312662).[0094] Aryl esters of phosphorus groups, especially phenyl esters, were reported to improve oral bioavailability (DeLambert et al (1994) J. Med Chem. 37: 498). Phenyl esters containing an ortho phosphate carboxylic ester have also been described (Khamnei and Torrence, (1996) J. Med. Chem. 39: 4109-4115). It is reported that benzyl esters generate the original phosphonic acid. In some cases, substituents at theortho orpara position may accelerate the hydrolysis. Benzyl analogues with an acylated phenol or an alkylated phenol can generate the phenolic compound through the action of enzymes, for example, esterases, oxidases, etc., which in turn are cleaved in the benzyl CO bond to generate the phosphoric acid and metone quinone intermediate. Mitchell et al. describe examples of this class of prodrugs. (1992) J. Chem. Soc. Perkin Trans. I 2345; Brook et al. WO 91/19721. Other benzyl prodrugs containing a group containing carboxylic ester linked to benzyl methylene have been described (Glazier et al. WO 91/19721). It is reported that thio-containing prodrugs are useful for intracellular administration of phosphonate drugs. These proesters contain an ethylthio group in which the thiol group is esterified with an acyl group or combined with another thiol group to form a disulfide. Deesterification or reduction of disulfide generates the free intermediate uncle that subsequently decomposes into phosphoric acid and episulfide (Puech et al. (1993) Antiviral Res., 22: 155-174; Benzaria et al. (1996) J. Med. Chem 39: 4958). Cyclic phosphonate esters have also been described as prodrugs of phosphorus-containing compounds (Erion et al., U.S. Patent No. 6312662).

[0095] Es de señalar que todos los enantiómeros, diastereómeros y mezclas racémicas, tautómeros, polimorfos, pseudopolimorfos de compuestos dentro del alcance de la Fórmula I-V y sales farmacéuticamente aceptables de los mismos están abarcadas por la presente invención. Todas las mezclas de tales enantiómeros y diastereómeros están dentro del alcance de la presente invención.[0095] It should be noted that all enantiomers, diastereomers and racemic mixtures, tautomers, polymorphs, pseudopolymorphs of compounds within the scope of Formula I-V and pharmaceutically acceptable salts thereof are encompassed by the present invention. All mixtures of such enantiomers and diastereomers are within the scope of the present invention.

[0096] Un compuesto de sus sales farmacéuticamente aceptables de Fórmula I-V y pueden existir como diferentes polimorfos o pseudopolimorfos. Como se usa en este documento, el polimorfismo cristalino significa la capacidad de un compuesto cristalino de existir en diferentes estructuras cristalinas. El polimorfismo cristalino puede ser el resultado de diferencias en el empaque de cristal (polimorfismo de empaque) o diferencias en el empaque entre diferentes conformadores de la misma molécula (polimorfismo conformacional). Como se usa en el presente documento, el pseudopolimorfismo cristalino significa la capacidad de un hidrato o solvato de un compuesto para existir en diferentes estructuras cristalinas. Los pseudopolimorfos de la presente invención pueden existir debido a diferencias en el empaquetamiento de cristal (pseudopolimorfismo de empaquetamiento) o debido a diferencias en el empaquetamiento entre diferentes conformadores de la misma molécula (pseudopolimorfismo conformacional). La presente invención comprende todos los polimorfos y pseudopolimorfos de los compuestos de Fórmula I-V y sus sales farmacéuticamente aceptables.[0096] A compound of its pharmaceutically acceptable salts of Formula I-V and may exist as different polymorphs or pseudopolymorphs. As used herein, crystalline polymorphism means the ability of a crystalline compound to exist in different crystalline structures. The crystalline polymorphism may be the result of differences in the crystal packing (packing polymorphism) or differences in the packing between different shapers of the same molecule (conformational polymorphism). As used herein, crystalline pseudopolymorphism means the ability of a hydrate or solvate of a compound to exist in different crystalline structures. The pseudopolymorphs of the present invention may exist due to differences in crystal packaging (packaging pseudopolymorphism) or due to differences in packaging between different conformators of the same molecule (conformational pseudopolymorphism). The present invention comprises all polymorphs and pseudopolymorphs of the compounds of Formula I-V and their pharmaceutically acceptable salts.

[0097] Un compuesto de sus sales farmacéuticamente aceptables de Fórmula I-V, y también pueden existir como un sólido amorfo. Como se usa en este documento, un sólido amorfo es un sólido en el que no hay un orden de largo alcance de las posiciones de los átomos en el sólido. Esta definición también se aplica cuando el tamaño del cristal es de dos nanómetros o menos. Se pueden usar aditivos, incluidos disolventes, para crear las formas amorfas de la presente invención. La presente invención comprende todas las formas amorfas de los compuestos de Fórmula I-V y sus sales farmacéuticamente aceptables.[0097] A compound of its pharmaceutically acceptable salts of Formula IV, and may also exist as a solid amorphous As used herein, an amorphous solid is a solid in which there is no long-range order of the positions of atoms in the solid. This definition also applies when the crystal size is two nanometers or less. Additives, including solvents, can be used to create the amorphous forms of the present invention. The present invention comprises all amorphous forms of the compounds of Formula IV and their pharmaceutically acceptable salts.

[0098]Sustituyentes seleccionados que comprenden los compuestos de Fórmula I-V están presentes en un grado recursivo. En este contexto, "sustituyente recursivo" significa que un sustituyente puede recitar otra instancia de sí mismo. Debido a la naturaleza recursiva de tales sustituyentes, teóricamente, puede estar presente un gran número de compuestos en cualquier realización dada. Por ejemplo, Rx comprende un sustituyente Ry. Ry puede ser R. R puede ser W3 W3 puede ser W4 y W4 puede ser R o comprender sustituyentes que comprenden Ry. Un experto habitual en la técnica de la química medicinal comprende que el número total de dichos sustituyentes está razonablemente limitado por las propiedades deseadas del compuesto deseado. Dichas propiedades incluyen, a modo de ejemplo y sin limitación, propiedades físicas tales como peso molecular, solubilidad o log P, propiedades de aplicación tales como actividad contra el objetivo deseado, y propiedades prácticas tales como facilidad de síntesis.[0098] Selected substituents comprising the compounds of Formula IV are present in a recursive degree. In this context, "recursive substituent" means that a substituent can recite another instance of itself. Due to the recursive nature of such substituents, theoretically, a large number of compounds may be present in any given embodiment. For example, Rx comprises a Ry substituent. Ry may be R. R may be W3 W3 may be W4 and W4 may be R or comprise substituents comprising Ry. A person skilled in the art of medicinal chemistry understands that the total number of such substituents is reasonably limited by the desired properties of the desired compound. Such properties include, by way of example and without limitation, physical properties such as molecular weight, solubility or log P, application properties such as activity against the desired target, and practical properties such as ease of synthesis.

[0099]A modo de ejemplo y no de limitación, W3 y Ry son sustituyentes recursivos en ciertas realizaciones. Típicamente, cada sustituyente recursivo puede ocurrir independientemente 20, 19, 18, 17, 16, 15, 14, 13, 12, 11, 10, 9, 8, 7, 6, 5, 4, 3, 2, 1 o 0 veces en una realización dada. Más típicamente, cada sustituyente recursivo puede ocurrir independientemente 12 o menos veces en una realización dada. Aún más típicamente, cada sustituyente recursivo puede ocurrir independientemente 3 o menos veces en una realización dada. Por ejemplo, W3 ocurrirá de 0 a 8 veces, Ry ocurrirá de 0 a 6 veces en una realización dada. Aún más típicamente, W3 ocurrirá de 0 a 6 veces y Ry ocurrirá de 0 a 4 veces en una realización dada.[0099] By way of example and not limitation, W3 and Ry are recursive substituents in certain embodiments. Typically, each recursive substituent can occur independently 20, 19, 18, 17, 16, 15, 14, 13, 12, 11, 10, 9, 8, 7, 6, 5, 4, 3, 2, 1 or 0 times In a given embodiment. More typically, each recursive substituent can occur independently 12 or less times in a given embodiment. Even more typically, each recursive substituent can occur independently 3 or less times in a given embodiment. For example, W3 will occur 0 to 8 times, Ry will occur 0 to 6 times in a given embodiment. Even more typically, W3 will occur 0 to 6 times and Ry will occur 0 to 4 times in a given embodiment.

[0100]Los sustituyentes recursivos son un aspecto pretendido de la invención. Un experto habitual en la técnica de la química medicinal comprende la versatilidad de dichos sustituyentes. En la medida en que los sustituyentes recursivos estén presentes en una realización de la invención, el número total se determinará como se establece anteriormente.[0100] Recursive substituents are an intended aspect of the invention. A person skilled in the art of medicinal chemistry understands the versatility of such substituents. To the extent that recursive substituents are present in an embodiment of the invention, the total number will be determined as set forth above.

[0101]El modificador "aproximadamente" utilizado en relación con una cantidad incluye el valor indicado y tiene el significado dictado por el contexto (por ejemplo, incluye el grado de error asociado con la medición de la cantidad particular).[0101] The "approximately" modifier used in relation to a quantity includes the indicated value and has the meaning dictated by the context (for example, it includes the degree of error associated with the measurement of the particular quantity).

[0102]Los compuestos de la Fórmula I-V puede comprender un grupo fosfato como R7, que puede ser un resto de profármaco[0102] The compounds of Formula IV may comprise a phosphate group such as R7, which may be a prodrug moiety

Figure imgf000027_0001
Figure imgf000027_0001

en donde cada Y o Y1 es, independientemente, O, S, NR, N(O)(R), N(OR), N(O)(OR), o N-NR2; W 1 y W2, cuando se toman juntos, son -Y3(C(Ry)2)3Y3-; o uno de W 1 o W2 junto con R3 o R4 es -Y3- y el otro de W 1 o W2 es Fórmula Ib; o W 1 y W2 son cada uno, independientemente, un grupo de Fórmula Ib:wherein each Y or Y1 is, independently, O, S, NR, N (O) (R), N (OR), N (O) (OR), or N-NR2 ; W 1 and W2, when taken together, are -Y3 (C (Ry)2 )3 Y3-; or one of W 1 or W2 together with R3 or R4 is -Y3- and the other of W 1 or W2 is Formula Ib; or W 1 and W2 are each, independently, a group of Formula Ib:

Figure imgf000027_0002
Figure imgf000027_0002

en donde:where:

cada Y2 es independientemente un enlace, O, CR2, NR, N(O)(R), N(OR), N(O)(OR), N-NR2, S, S-S, S(O), o S(O)2;Each Y2 is independently a link, O, CR2 , NR, N (O) (R), N (OR), N (O) (OR), N-NR2 , S, SS, S (O), or S (O)2 ;

cada Y3 es independientemente O, S, o NR;each Y3 is independently O, S, or NR;

M2 es 0, 1 o 2;M2 is 0, 1 or 2;

cada Ry es independientemente H, F, Cl, Br, I, OH, R, -C(=Y1)R, -C(=Y1)OR, -C(=Y1)N(R)2, -N(R)2, -+N(R)3, SR, -S(O)R, -S(O)2R, -S(O)(OR), -S(O)2(OR), -OC(=Y1)R, -OC(=Y1)OR, -OC(=Y1)(N(R)2), -SC(=Y1)R, -SC(=Y1)OR, -SC(=Y1)(N(R)2), -N(R)C(=Y1)R, -N(R)C(=Y1)OR, o -N (R) C(=Y1)N(R)2, -SO2NR2, -CN, -N3, -NO2, -OR, un grupo protector o W3; o cuando se toman juntos, dos Ry en el mismo átomo de carbono forman un anillo carbocíclico de 3 a 7 átomos de carbono; cada Rx es independientemente Ry, un grupo protector, o la fórmula:each Ry is independently H, F, Cl, Br, I, OH, R, -C (= Y1) R, -C (= Y1) OR, -C (= Y1) N (R)2 , -N (R )2 , - + N (R)3 , SR, -S (O) R, -S (O) 2R, -S (O) (OR), -S (O) 2 (OR), -OC (= Y1) R, -OC (= Y1) OR , -OC (= Y1) (N (R) 2), -SC (= Y1) R, -SC (= Y1) OR, -SC (= Y1) (N (R)2 ), -N (R) C (= Y1) R, -N (R) C (= Y1) OR, or -N (R) C (= Y1) N (R)2 , -SO2 NR2 , -CN, -N3 , - NO2 , -OR, a protecting group or W3; or when taken together, two Ry on the same carbon atom form a carbocyclic ring of 3 to 7 carbon atoms; Each Rx is independently Ry, a protecting group, or the formula:

Figure imgf000028_0001
Figure imgf000028_0001

en donde:where:

M1a, M1c y M1d son independientemente 0 o 1;M1a, M1c and M1d are independently 0 or 1;

M1b es 0, 1, 2, 3, 4, 5, 6, 7, 8, 9, 10, 11 o 12;M1b is 0, 1, 2, 3, 4, 5, 6, 7, 8, 9, 10, 11 or 12;

cada R es H, halógeno, (C-i-Ca) alquilo, (C-i-Ca) alquilo sustituido, (C2-C8) alquenilo, (C2-C8) alquenilo sustituido, (C2-Ca) alquinilo, (C2-Ca) alquinilo sustituido, C6-C20arilo, C6-C20arilo sustituido, (C2-C20) heterociclo, (C2-C20) heterociclilo sustituido, arilalquilo, arilalquilo sustituido o un grupo protector;each R is H, halogen, (Ci-Ca) alkyl, (Ci-Ca) substituted alkyl, (C2 -C8 ) alkenyl, (C2 -C8 ) substituted alkenyl, (C2 -Ca) alkynyl, ( C2 -Ca) substituted alkynyl, C6 -C20 aryl, C6 -C20 substituted aryl, (C2 -C20 ) heterocycle, (C2 -C20 ) substituted heterocyclyl, arylalkyl, substituted arylalkyl or a protecting group ;

W3 es W4 o W5; W4 es R, -C(Y1)Ry, -C(Y1)W5, -SO2Ry, o -SO2W5; y W5 es un carbociclo o un heterociclo en el que W5 está sustituido independientemente con 0 a 3 grupos Ry.W3 is W4 or W5; W4 is R, -C (Y1) Ry, -C (Y1) W5, -SO2 Ry, or -SO2 W5 ; and W5 is a carbocycle or a heterocycle in which W5 is independently substituted with 0 to 3 Ry groups.

Carbociclos W5 y heterociclos W5 pueden estar sustituidos independientemente con 0 a 3 grupos Ry. W5 puede ser un anillo saturado, insaturado o aromático que comprende un carbociclo o un heterociclo mono- o bicíclico. W5 puede tener de 3 a 10 átomos en el anillo, por ejemplo, átomos de 3 a 7 en el anillo. Los anillos W5 están saturados cuando contienen 3 átomos en el anillo, saturados o monoinsaturados cuando contienen 4 átomos en el anillo, saturados o mono o di-insaturados cuando contienen 5 átomos en el anillo, y saturados, mono o di-insaturados o aromáticos cuando contiene 6 átomos en el anillo.W5 carbocycles and W5 heterocycles may be independently substituted with 0 to 3 Ry groups. W5 can be a saturated, unsaturated or aromatic ring comprising a carbocycle or a mono- or bicyclic heterocycle. W5 may have 3 to 10 atoms in the ring, for example, atoms 3 to 7 in the ring. W5 rings are saturated when they contain 3 atoms in the ring, saturated or monounsaturated when they contain 4 atoms in the ring, saturated or mono or di-unsaturated when they contain 5 atoms in the ring, and saturated, mono or di-unsaturated or aromatic when It contains 6 atoms in the ring.

El heterociclo W5 puede ser un monociclo con 3 a 7 miembros del anillo (2 a 6 átomos de carbono y 1 a 3 heteroátomos seleccionados entre N, O, P y S) o una biciclo que tiene 7 a 10 miembros del anillo (4 a 9 átomos de carbono y 1 a 3 heteroátomos seleccionados de N, O, P y S). W5 monociclos heterocíclicos pueden tener de 3 a 6 átomos en el anillo (2 a 5 átomos de carbono y de 1 a 2 heteroátomos seleccionados de N, O, y S); o 5 o 6 átomos en el anillo (3 a 5 átomos de carbono y 1 a 2 heteroátomos seleccionados de N y S). Las bicicletas W5 heterocíclicas tienen de 7 a 10 átomos en el anillo (6 a 9 átomos de carbono y 1 a 2 heteroátomos seleccionados de N, O y S) dispuestos como un sistema biciclo [4,5], [5,5], [5,6], o [6,6]; o 9 a 10 átomos en el anillo (8 a 9 átomos de carbono y 1 a 2 heteroátomos seleccionados de N y S) dispuestos como un sistema biciclo [5,6] o [6,6]. El W5 heterociclo puede estar unido a Y2 a través de un carbono, nitrógeno, azufre u otro átomo por un enlace covalente estable.The W5 heterocycle may be a monocycle with 3 to 7 ring members (2 to 6 carbon atoms and 1 to 3 heteroatoms selected from N, O, P and S) or a bicycle having 7 to 10 ring members (4 to 9 carbon atoms and 1 to 3 heteroatoms selected from N, O, P and S). W5 heterocyclic monocycles may have 3 to 6 ring atoms (2 to 5 carbon atoms and 1 to 2 heteroatoms selected from N, O, and S); or 5 or 6 ring atoms (3 to 5 carbon atoms and 1 to 2 heteroatoms selected from N and S). W5 heterocyclic bicycles have 7 to 10 ring atoms (6 to 9 carbon atoms and 1 to 2 heteroatoms selected from N, O and S) arranged as a bicyclic system [4,5], [5,5], [5.6], or [6.6]; or 9 to 10 ring atoms (8 to 9 carbon atoms and 1 to 2 heteroatoms selected from N and S) arranged as a bicyclo system [5,6] or [6,6]. The W5 heterocycle can be attached to Y2 through a carbon, nitrogen, sulfur or other atom by a stable covalent bond.

Heterociclos W5 incluyen, por ejemplo, piridilo, isómeros dihidropiridilo, piperidina, piridazinilo, pirimidinilo, pirazinilo, s-triazinilo, oxazolilo, imidazolilo, tiazolilo, isoxazolilo, pirazolilo, isotiazolilo, furanilo, tiofuranilo, tienilo y pirrolilo. W5 también incluye, pero no se limita a, ejemplos como:W5 heterocycles include, for example, pyridyl, dihydropyridyl isomers, piperidine, pyridazinyl, pyrimidinyl, pyrazinyl, s-triazinyl, oxazolyl, imidazolyl, thiazolyl, isoxazolyl, pyrazolyl, isothiazolyl, furanyl, thiofrolyl, thienyl. W5 also includes, but is not limited to, examples such as:

Figure imgf000028_0002
Figure imgf000028_0002

Carbociclos y heterociclos W5 pueden estar sustituidos independientemente con 0 a 3 grupos R, como se define anteriormente. Por ejemplo, los carbociclos W5 sustituidos incluyen:Carbocycles and W5 heterocycles can be independently substituted with 0 to 3 R groups, as defined above. For example, substituted W5 carbocycles include:

Figure imgf000029_0001
Figure imgf000029_0001

Los ejemplos de fenil carbociclos sustituidos incluyen:Examples of phenyl substituted carbocycles include:

[0103][0103]

Figure imgf000029_0002
Figure imgf000029_0002

[0104]Realizaciones de[0104] Realizations of

Figure imgf000029_0003
Figure imgf000029_0003

de compuestos de Fórmula I-V incluyen subestructuras tales como:of compounds of Formula IV include substructures such as:

Figure imgf000030_0001
Figure imgf000030_0001

en donde cada Y2b es, independientemente, O o N(R). En otro aspecto de esta realización, cada Y2b es O y cada Rx es independientemente:where each Y2b is, independently, O or N (R). In another aspect of this embodiment, each Y2b is O and each Rx is independently:

Figure imgf000030_0002
Figure imgf000030_0002

en donde M1b es 1, 2 o 3 y cada Y2 es independientemente un enlace, O, CR2o S. En otro aspecto de esta realización, un Y2b-Rx es NH (R) y el otro Y2b-Rx es O-Rx en donde Rx es:wherein M1b is 1, 2 or 3 and each Y2 is independently a bond, O, CR2 or S. In another aspect of this embodiment, one Y2b-Rx is NH (R) and the other Y2b-Rx is O-Rx where Rx is:

Figure imgf000030_0003
Figure imgf000030_0003

en donde M1b es 2. En otro aspecto de esta realización, cada Y2b es O y cada Rx es independientemente:wherein M1b is 2. In another aspect of this embodiment, each Y2b is O and each Rx is independently:

Figure imgf000030_0004
Figure imgf000030_0004

en donde M1b es 2. En otro aspecto de esta realización, cada Y2b es O y cada Rx es independientemente:wherein M1b is 2. In another aspect of this embodiment, each Y2b is O and each Rx is independently:

Figure imgf000030_0005
Figure imgf000030_0005

en el que M1b es 1 e Y2 es un enlace, O, o CR2.in which M1b is 1 and Y2 is a bond, O, or CR2 .

[0105]Otras realizaciones de[0105] Other embodiments of

Figure imgf000031_0001
Figure imgf000031_0001

de compuestos de Fórmulas I-V incluyen subestructuras tales como:of compounds of Formulas I-V include substructures such as:

Figure imgf000031_0002
Figure imgf000031_0002

donde cada Y3 es, independientemente, O o N(R). En otro aspecto de esta realización, cada Y3 es O. En otro aspecto de esta realización, la subestructura es:where each Y3 is, independently, O or N (R). In another aspect of this embodiment, each Y3 is O. In another aspect of this embodiment, the substructure is:

Figure imgf000031_0003
Figure imgf000031_0003

en donde Ry es W5 como se define aquí. Otra realización dewhere Ry is W5 as defined here. Another embodiment of

Figure imgf000031_0004
Figure imgf000031_0004

de Fórmula I-V incluye las subestructuras:Formula I-V includes the substructures:

Figure imgf000031_0005
Figure imgf000031_0005

donde cada Y2c es, independientemente, O, N(Ry) o S.where each Y2c is, independently, O, N (Ry) or S.

[0106]Otra realización de[0106] Another embodiment of

Figure imgf000032_0001
Figure imgf000032_0001

de compuestos de Fórmula I-V incluye las subestructuras en donde uno de W 1 o W2 junto con R3 o R4 es -Y3- y el otro de W 1 o W2 es Fórmula Ib. Tal realización está representada por un compuesto de Fórmula Ic seleccionado de:of compounds of Formula I-V includes substructures wherein one of W 1 or W2 together with R3 or R4 is -Y3- and the other of W 1 or W2 is Formula Ib. Such an embodiment is represented by a compound of Formula Ic selected from:

Figure imgf000032_0004
Figure imgf000032_0004

[0107]En otro aspecto de la realización de Fórmula Id, cada Y e Y3 es O. En otro aspecto de la realización de Fórmula Id, W 1 o W2 es Y2b-Rx; cada Y, Y3 e Y2b es O y Rx es:[0107] In another aspect of the embodiment of Formula Id, each Y and Y3 is O. In another aspect of the embodiment of Formula Id, W 1 or W2 is Y2b-Rx; Each Y, Y3 and Y2b is O and Rx is:

Figure imgf000032_0002
Figure imgf000032_0002

en donde M1b es 1, 2 o 3 y cada Y2 es independientemente un enlace, O, CR2, o S. En otro aspecto de la realización de la Fórmula Id, W 1 o W2 es Y2b-Rx; cada Y, Y3 e Y2b es O y Rx es:wherein M1b is 1, 2 or 3 and each Y2 is independently a bond, O, CR2 , or S. In another aspect of the embodiment of Formula Id, W 1 or W2 is Y2b-Rx; Each Y, Y3 and Y2b is O and Rx is:

Figure imgf000032_0003
Figure imgf000032_0003

en donde M1 b es 2. En otro aspecto de la realización de la Fórmula Id, W 1 o W2 es Y2b-Rx; cada Y, Y3 e Y2b es O y Rx es:wherein M1 b is 2. In another aspect of the embodiment of Formula Id, W 1 or W2 is Y2b-Rx; Each Y, Y3 and Y2b is O and Rx is:

Figure imgf000033_0001
Figure imgf000033_0001

en el que M1b es 1 e Y2 es un enlace, O, o CR2.in which M1b is 1 and Y2 is a bond, O, or CR2 .

[0108]Otra realización de[0108] Another embodiment of

Figure imgf000033_0002
Figure imgf000033_0002

de compuestos de Fórmula I-V incluye una subestructura:of compounds of Formula I-V includes a substructure:

Figure imgf000033_0003
Figure imgf000033_0003

en donde W 5 es un carbociclo tal como fenilo o fenilo sustituido. En otro aspecto de esta realización, la subestructura es:wherein W 5 is a carbocycle such as phenyl or substituted phenyl. In another aspect of this embodiment, the substructure is:

Figure imgf000033_0004
Figure imgf000033_0004

en donde Y2b es O o N(R) y el carbociclo fenilo está sustituido con 0 a 3 grupos R. En otro aspecto de esta realización de la subestructura, Rx es:wherein Y2b is O or N (R) and the phenyl carbocycle is substituted with 0 to 3 R groups. In another aspect of this embodiment of the substructure, Rx is:

Figure imgf000033_0005
Figure imgf000033_0005

en donde M1b es 1,2 o 3 y cada Y2 es independientemente un enlace, O, CR2, o S.where M1b is 1.2 or 3 and each Y2 is independently a bond, O, CR2 , or S.

[0109]Otra realización de[0109] Another embodiment of

Figure imgf000034_0001
Figure imgf000034_0001

de Fórmula I-V incluye subestructuras:Formula I-V includes substructures:

Figure imgf000034_0002
Figure imgf000034_0002

[0110]El carbono quiral de los restos de aminoácidos y lactato puede ser la configuración R o S o la mezcla racémica.[0110] The chiral carbon of the amino acid and lactate residues may be the R or S configuration or the racemic mixture.

[0111]Otra realización de[0111] Another embodiment of

Figure imgf000034_0003
Figure imgf000034_0003

de Fórmula I-V es subestructuraof Formula I-V is substructure

Figure imgf000034_0004
Figure imgf000034_0004

donde cada Y2 es, independientemente, -O- o -NH-. En otro aspecto de esta realización, Ry es (C1-C8) alquilo, (C1-C8) alquilo sustituido, (C2-C8) alquenilo, (C2-C8) alquenilo sustituido, (C2-C8) alquinilo o (C2-C8) alquinilo sustituido. En otro aspecto de esta realización, Ry es (C1-C8) alquilo, (C1-C8) alquilo sustituido, (C2-C8) alquenilo, (C2-C8) alquenilo sustituido, (C2-C8) alquinilo o (C2-C8) alquinilo sustituido; y R es CH3. En otro aspecto de esta realización, Ry es (C1-C8) alquilo, (C1-C8) alquilo sustituido, (C2-C8) alquenilo, (C2-C8) alquenilo sustituido, (C2-C8) alquinilo o (C2-C8) alquinilo sustituido; R es CH3; y cada Y2 es -NH-. En un aspecto de esta realización, W 1 yW 2 son, independientemente, unido por nitrógeno, aminoácidos de origen natural o de origen natural ésteres de aminoácidos. En otro aspecto de esta realización, W 1 y W2 son, independientemente, de origen natural ácidos carboxílicos 2-hidroxi o de origen natural 2-hidroxi ésteres de ácido carboxílico en el que el ácido o éster está unido a P a través del grupo 2-hidroxi.where each Y2 is, independently, -O- or -NH-. In another aspect of this embodiment, Ry is (C1 -C8 ) alkyl, (C1 -C8 ) substituted alkyl, (C2 -C8 ) alkenyl, (C2 -C8 ) substituted alkenyl, (C2 -C8 ) alkynyl or (C2 -C8 ) substituted alkynyl. In another aspect of this embodiment, Ry is (C1 -C8 ) alkyl, (C1 -C8 ) substituted alkyl, (C2 -C8 ) alkenyl, (C2 -C8 ) substituted alkenyl, (C2 -C8 ) alkynyl or (C2 -C8 ) substituted alkynyl; and R is CH3 . In another aspect of this embodiment, Ry is (C1 -C8 ) alkyl, (C1 -C8 ) substituted alkyl, (C2 -C8 ) alkenyl, (C2 -C8 ) substituted alkenyl, (C2 - C8 ) alkynyl or (C2 -C8 ) substituted alkynyl; R is CH3 ; and each Y2 is -NH-. In one aspect of this embodiment, W 1 and W 2 are independently bound by nitrogen, naturally occurring amino acids or naturally occurring amino acid esters. In another aspect of this embodiment, W 1 and W2 are, independently, naturally occurring 2-hydroxy carboxylic acids or naturally occurring 2-hydroxy carboxylic acid esters in which the acid or ester is linked to P through group 2 -hydroxy.

[0112]Otra realización de[0112] Another embodiment of

Figure imgf000035_0001
Figure imgf000035_0001

de Fórmula I a V es la subestructura:Formula I to V is the substructure:

Figure imgf000035_0002
Figure imgf000035_0002

[0113]En un aspecto de esta realización, cada Rx es, independientemente, (C1-C8) alquilo. En otro aspecto de esta realización, cada Rx es, independientemente, C6-C20arilo o C6-C20arilo sustituido.[0113] In one aspect of this embodiment, each Rx is independently (C1 -C8 ) alkyl. In another aspect of this embodiment, each Rx is independently C6 -C20 aryl or C6 -C20 substituted aryl.

[0114]En una realización,[0114] In one embodiment,

Figure imgf000035_0003
Figure imgf000035_0003

se selecciona deis selected from

Figure imgf000035_0004
Figure imgf000035_0004

[0115]En algunas realizaciones, el grupo -R7-O-C(R8)-C(R5)-C(R3)(R4)-tiene la siguiente fórmula:[0115] In some embodiments, the group -R7-OC (R8) -C (R5) -C (R3) (R4) - has the following formula:

Figure imgf000036_0001
Figure imgf000036_0001

[0116]Otra realización de[0116] Another embodiment of

Figure imgf000036_0002
Figure imgf000036_0002

de Fórmulas I-V es subestructuraof Formulas I-V is substructure

Figure imgf000036_0003
Figure imgf000036_0003

en donde W 1 y W2 se seleccionan independientemente de una de las fórmulas en las Tablas 1,1-1,37 y la Tabla 2,1 a continuación. Las variables utilizadas en las Tablas 1,1-1,37 (p. ej., W23, R21, etc.) pertenecen solo a las Tablas 1,1­ 1,37, a menos que se indique lo contrario.wherein W 1 and W2 are independently selected from one of the formulas in Tables 1.1-1.37 and Table 2.1 below. The variables used in Tables 1.1-1.37 (e.g., W23, R21, etc.) belong only to Tables 1.1 1.37, unless otherwise indicated.

[0117]Las variables utilizadas en las Tablas 1,1 a 1,37 tienen las siguientes definiciones:[0117] The variables used in Tables 1.1 to 1.37 have the following definitions:

cada R21es independientemente H o (C1-C8) alquilo;each R21 is independently H or (C1 -C8 ) alkyl;

cada R22es independientemente H, R21, R23o R24en donde cada R24está independientemente sustituido con 0 a 3 R23;each R22 is independently H, R21 , R23 or R24 where each R24 is independently substituted with 0 to 3 R23 ;

cada R23es independientemente R23a, R23b, R23c o R23d, siempre que cuando R23esté unido a un heteroátomo, entonces R23sea R23c o R23d;each R23 is independently R23a, R23b, R23c or R23d, provided that when R23 is attached to a heteroatom, then R23 is R23c or R23d;

cada R23a es independientemente F, Cl, Br, I, -CN, N3o -NO2;each R23a is independently F, Cl, Br, I, -CN, N3 or -NO2 ;

cada R23b es independientemente Y21;each R23b is independently Y21 ;

cada R23c es independientemente -R2x, -N(R2x)(R2x), -SR2x, -S(O)R2x, -S(O)2R2x, -S(O)(OR2x), -S(O)2(OR2x), -OC(=Y21)R2x, -OC(=Y21)OR2x, -OC(=Y21)(N(R2x)(R2x)), -SC(=Y21) R2x, -SC(=Y21) OR2x, -SC(=Y21)(N(R2x)(R2x)), -N(R2x)C(=Y21) R2x, -N(R2x)C(=Y21) OR2x, o -N (R2x)C(=Y21)(N(R2x)(R2x)); cada R23d es independientemente -C(=Y21) R2x, -C(=Y21) OR2x o -C(=Y21)(N(R2x)(R2x)); cada R2x es independientemente H, (C1-C8) alquilo, (C2-C8) alquenilo, (C2-C8) alquinilo, arilo, heteroarilo; o dos R2x tomados junto con un nitrógeno al que ambos están unidos forman un anillo heterocíclico de 3 a 7 miembros en el que cualquier átomo de carbono de dicho anillo heterocíclico puede reemplazarse opcionalmente con -O-, -S- o -NR21-; y en el que uno o más de los átomos de carbono no terminales de cada uno de dichos (C1-C8) alquilo puede estar opcionalmente sustituido con -O-, -S- o -NR21-; cada R24es independientemente (C1-C8) alquilo, (C2-C8) alquenilo, o (C2-C8) alquinilo; cada R25es independientemente R24en el que cada R24está sustituido con 0 a 3 grupos R23; cada R25a es independientemente (C1-C8) alquileno, (C2-C8) alquenileno, o (C2-C8) alquinileno uno cualquiera de los cuales dijo (C1-C8) alquileno, (C2- C8) alquenileno, o (C2-C8) alquinileno está sustituido con 0-3 grupos R23;each R23c is independently -R2x, -N (R2x) (R2x), -SR2x, -S (O) R2x, -S (O)2 R2x, -S (O) (OR2x), -S (O)2 ( OR2x), -OC (= Y21 ) R2x, -OC (= Y21 ) OR2x, -OC (= Y21 ) (N (R2x) (R2x)), -SC (= Y21 ) R2x, -SC ( = Y21 ) OR2x, -SC (= Y21 ) (N (R2x) (R2x)), -N (R2x) C (= Y21 ) R2x, -N (R2x) C (= Y21 ) OR2x, or -N (R2x) C (= Y21 ) (N (R2x) (R2x)); each R23d is independently -C (= Y21 ) R2x, -C (= Y21 ) OR2x or -C (= Y21 ) (N (R2x) (R2x)); each R2x is independently H, (C1 -C8 ) alkyl, (C2 -C8 ) alkenyl, (C2 -C8 ) alkynyl, aryl, heteroaryl; or two R2x taken together with a nitrogen to which both are attached form a 3- to 7-membered heterocyclic ring in which any carbon atom of said heterocyclic ring can be optionally replaced with -O-, -S- or -NR21- ; and wherein one or more of the non-terminal carbon atoms of each of said (C1 -C8 ) alkyl may be optionally substituted with -O-, -S- or -NR21 -; each R24 is independently (C1 -C8 ) alkyl, (C2 -C8 ) alkenyl, or (C2 -C8 ) alkynyl; each R25 is independently R24 in which each R24 is substituted with 0 to 3 groups R23 ; each R25a is independently (C1 -C8 ) alkylene, (C2 -C8 ) alkenylene, or (C2 -C8 ) alkynylene any one of which said (C1 -C8 ) alkylene, (C2 - C8 ) alkenylene, or (C2 -C8 ) alkynylene is substituted with 0-3 R23 groups;

cada W23es independientemente W24o W25;each W23 is independently W24 or W25 ;

cada W24es independientemente R25, -C(=Y21)R25, -C(=Y21)W25, -SO2R25, o -SO2W25;each W24 is independently R25 , -C (= Y21 ) R25 , -C (= Y21 ) W25 , -SO2 R25 , or -SO2 W25 ;

cada W25es independientemente carbociclo o heterociclilo, en el que W25está sustituido independientemente con 0 a 3 grupos R22; yeach W25 is independently carbocycle or heterocyclyl, wherein W25 is independently substituted with 0 to 3 R22 groups; Y

cada Y21es independientemente O o S.Each Y21 is independently O or S.

Figure imgf000037_0001
Figure imgf000037_0001

Figure imgf000038_0001
Figure imgf000038_0001

Figure imgf000039_0001
Figure imgf000039_0001

Figure imgf000040_0001
Figure imgf000040_0001

Figure imgf000041_0001
Figure imgf000041_0001

Figure imgf000042_0001
Figure imgf000042_0001

Figure imgf000043_0001
Figure imgf000043_0001

Figure imgf000044_0001
Figure imgf000044_0001

Figure imgf000045_0001
Figure imgf000045_0001

Figure imgf000046_0001
Figure imgf000046_0001

Figure imgf000047_0001
Figure imgf000047_0001

Figure imgf000048_0001
Figure imgf000048_0001

Figure imgf000049_0001
Figure imgf000049_0001

Figure imgf000050_0001
Figure imgf000050_0001

Figure imgf000051_0001
Figure imgf000051_0001

Figure imgf000052_0001
Figure imgf000052_0001

Figure imgf000053_0001
Figure imgf000053_0001

Figure imgf000054_0001
Figure imgf000054_0001

[0118]Las realizaciones de Rx incluyen ésteres, carbamatos, carbonatos, tioésteres, amidas, tioamidas y grupos urea:[0118] Rx embodiments include esters, carbamates, carbonates, thioesters, amides, thioamides and urea groups:

Figure imgf000054_0002
Figure imgf000054_0002

[0119]Cualquier referencia a los compuestos de la invención descritos en el presente documento también incluye una referencia a una sal fisiológicamente aceptable de los mismos. Los ejemplos de sales fisiológicamente aceptables de los compuestos de la invención incluyen sales derivadas de una base apropiada, tal como un metal alcalino o una tierra alcalina (por ejemplo, Na+, Li+, K+, Ca+2y Mg+2), amonio y NR4+ (en donde R se define aquí). Las sales fisiológicamente aceptables de un átomo de nitrógeno o un grupo amino incluyen (a) sales de adición de ácido formadas con ácidos inorgánicos, por ejemplo, ácido clorhídrico, ácido bromhídrico, ácido sulfúrico, ácido sulfámico, ácido fosfórico, ácido nítrico y similares; (b) sales formadas con ácidos orgánicos tales como, por ejemplo, ácido acético, ácido oxálico, ácido tartárico, ácido succínico, ácido maleico, ácido fumárico, ácido glucónico, ácido cítrico, ácido málico, ácido ascórbico, ácido benzoico, ácido isetiónico, ácido lactobiónico, ácido tánico, ácido palmítico, ácido algínico, ácido poliglutámico, ácido naftalenosulfónico, ácido metanosulfónico, ácido p-toluenosulfónico, ácido bencenosulfónico, ácido naftalenodisulfónico, ácido poligalacturónico, ácido malónico, ácido sulfosalicílico, ácido glicólico, 2-hidroxi-3-naftoato, pamoato, ácido salicílico, ácido esteárico, ácido ftálico, ácido mandélico, ácido láctico, ácido etanosulfónico, lisina, arginina, ácido glutámico, glicina, serina, treonina, alanina, isoleucina, leucina y similares; y (c) sales formadas a partir de aniones elementales, por ejemplo, cloro, bromo y yodo. Las sales fisiológicamente aceptables de un compuesto de un grupo hidroxi incluyen el anión de dicho compuesto en combinación con un catión adecuado tal como Na+ y NR4+.[0119] Any reference to the compounds of the invention described herein also includes a reference to a physiologically acceptable salt thereof. Examples of physiologically acceptable salts of the compounds of the invention include salts derived from an appropriate base, such as an alkali metal or an alkaline earth (for example, Na +, Li +, K +, Ca+2 and Mg + 2), ammonium and NR4 + (where R is defined here). Physiologically acceptable salts of a nitrogen atom or an amino group include (a) acid addition salts formed with inorganic acids, for example, hydrochloric acid, hydrobromic acid, sulfuric acid, sulfamic acid, phosphoric acid, nitric acid and the like; (b) salts formed with organic acids such as, for example, acid acetic acid, oxalic acid, tartaric acid, succinic acid, maleic acid, fumaric acid, gluconic acid, citric acid, malic acid, ascorbic acid, benzoic acid, isethionic acid, lactobionic acid, tannic acid, palmitic acid, alginic acid, polyglutamic acid, naphthalenesulfonic acid, methanesulfonic acid, p-toluenesulfonic acid, benzenesulfonic acid, naphthalenedisulfonic acid, polygalacturonic acid, malonic acid, sulfosalicylic acid, glycolic acid, 2-hydroxy-3-naphthoate, pamoate, salicylic acid, stearic acid, phthalic acid, phthalic acid, manic acid , lactic acid, ethanesulfonic acid, lysine, arginine, glutamic acid, glycine, serine, threonine, alanine, isoleucine, leucine and the like; and (c) salts formed from elemental anions, for example, chlorine, bromine and iodine. Physiologically acceptable salts of a compound of a hydroxy group include the anion of said compound in combination with a suitable cation such as Na + and NR4 +.

[0120]Para uso terapéutico, las sales de ingredientes activos de los compuestos de la invención serán fisiológicamente aceptables, es decir, serán sales derivadas de un ácido o base fisiológicamente aceptable. Sin embargo, las sales de ácidos o bases que no son fisiológicamente aceptables también pueden encontrar uso, por ejemplo, en la preparación o purificación de un compuesto fisiológicamente aceptable. Todas las sales, derivadas o no de un ácido o base fisiológicamente aceptable, están dentro del alcance de la presente invención.[0120] For therapeutic use, the salts of active ingredients of the compounds of the invention will be physiologically acceptable, that is, they will be salts derived from a physiologically acceptable acid or base. However, salts of acids or bases that are not physiologically acceptable may also find use, for example, in the preparation or purification of a physiologically acceptable compound. All salts, whether or not derived from a physiologically acceptable acid or base, are within the scope of the present invention.

[0121]Finalmente, es de entenderse que las composiciones de esta invención comprenden compuestos de la invención en su forma no ionizada, así como la forma de ion híbrido, y combinaciones con cantidades estequiométricas de agua como en hidratos.[0121] Finally, it is to be understood that the compositions of this invention comprise compounds of the invention in their non-ionized form, as well as the hybrid ion form, and combinations with stoichiometric amounts of water as in hydrates.

[0122]Los compuestos de la invención pueden tener centros quirales, por ejemplo, átomos de carbono quiral o fósforo. Los compuestos de la invención incluyen, por lo tanto, mezclas racémicas de todos los estereoisómeros, incluidos enantiómeros, diastereómeros y atropisómeros. Además, los compuestos de la invención incluyen isómeros ópticos enriquecidos o resueltos en cualquiera o en todos los átomos quirales asimétricos. En otras palabras, los centros quirales aparentes a partir de las representaciones se proporcionan como isómeros quirales o mezclas racémicas. Tanto las mezclas racémicas como las diastereoméricas, así como los isómeros ópticos individuales aislados o sintetizados; sustancialmente libres de sus socios enantioméricos o diastereoméricos, están todos dentro del alcance de la invención. Las mezclas racémicas se separan en sus isómeros individuales, sustancialmente ópticamente puros a través de técnicas bien conocidas como, por ejemplo, la separación de sales diastereoméricas formadas con adyuvantes ópticamente activos, p. ej., ácidos o bases, seguido de la conversión de nuevo a las sustancias ópticamente activas. En la mayoría de los casos, el isómero óptico deseado se sintetiza por medio de reacciones estereoespecíficas, comenzando con el estereoisómero apropiado del material de partida deseado.[0122] The compounds of the invention may have chiral centers, for example, chiral carbon atoms or phosphorus. Compounds of the invention therefore include racemic mixtures of all stereoisomers, including enantiomers, diastereomers and atropisomers. In addition, the compounds of the invention include optical isomers enriched or resolved in any or all asymmetric chiral atoms. In other words, apparent chiral centers from the representations are provided as chiral isomers or racemic mixtures. Both racemic and diastereomeric mixtures, as well as individual optical isomers isolated or synthesized; substantially free of their enantiomeric or diastereomeric partners, they are all within the scope of the invention. The racemic mixtures are separated into their individual, substantially optically pure isomers through well known techniques such as, for example, the separation of diastereomeric salts formed with optically active adjuvants, e.g. eg, acids or bases, followed by conversion back to the optically active substances. In most cases, the desired optical isomer is synthesized by stereospecific reactions, starting with the appropriate stereoisomer of the desired starting material.

[0123]El término "quiral" se refiere a las moléculas que tienen la propiedad de no superponibilidad del compañero de la imagen especular, mientras que el término "aquiral" se refiere a las moléculas que son superponibles en su compañero de la imagen especular.[0123] The term "chiral" refers to molecules that have the property of non-superposition of the mirror image partner, while the term "aquiral" refers to molecules that are superimposable in their mirror image partner.

[0124]El término "estereoisómeros" se refiere a compuestos que tienen una constitución química idéntica, pero difieren con respecto a la disposición de los átomos o grupos en el espacio.[0124] The term "stereoisomers" refers to compounds that have an identical chemical constitution, but differ with respect to the arrangement of atoms or groups in space.

[0125]"Diastereómero" se refiere a un estereoisómero con dos o más centros de quiralidad y cuyas moléculas no son imágenes especulares entre sí. Los diastereómeros tienen diferentes propiedades físicas, por ejemplo, puntos de fusión, puntos de ebullición, propiedades espectrales y reactividades. Las mezclas de diastereómeros pueden separarse bajo procedimientos analíticos de alta resolución, tales como electroforesis y cromatografía.[0125] "Diastereomer" refers to a stereoisomer with two or more centers of chirality and whose molecules are not mirror images of each other. Diastereomers have different physical properties, for example, melting points, boiling points, spectral properties and reactivities. Mixtures of diastereomers can be separated under high resolution analytical procedures, such as electrophoresis and chromatography.

[0126]Los "enantiómeros" se refieren a dos estereoisómeros de un compuesto que son imágenes especulares no superponibles entre sí.[0126] "Enantiomers" refer to two stereoisomers of a compound that are non-superimposable mirror images of each other.

[0127]Las definiciones y convenciones estereoquímicas usadas en el presente documento generalmente siguen a Sp Parker, Ed., McGraw-Hill Dictionary of Chemical Terms (1984) McGraw-Hill Book Company, Nueva York; y Eliel, E. y Wilen, S., Stereochemistry of Organic Compounds (1994) John Wiley & Sons, Inc., Nueva York. Muchos compuestos orgánicos existen en formas ópticamente activas, es decir, tienen la capacidad de rotar el plano de la luz polarizada en el plano. Al describir un compuesto ópticamente activo, los prefijos D y L o R y S se usan para denotar la configuración absoluta de la molécula sobre su centro o centros quirales. Los prefijos d e I, D y L, o (+) y (-) se emplean para designar el signo de rotación de la luz polarizada en plano por el compuesto, con S, (-), o 1 que significa que el compuesto es levorotatorio mientras que un compuesto con el prefijo R, (+) o d es dextrorrotatorio. Para una estructura química dada, estos estereoisómeros son idénticos, excepto que son imágenes especulares entre sí. Un estereoisómero específico también puede denominarse enantiómero, y una mezcla de tales isómeros a menudo se denomina mezcla enantiomérica. Una mezcla 50:50 de enantiómeros se conoce como una mezcla racémica o un racemato, que puede ocurrir donde no ha habido estereoselección o estereoespecificidad en una reacción o proceso químico. Los términos "mezcla racémica" y "racemato" se refieren a una mezcla equimolar de dos especies enantioméricas, desprovistas de actividad óptica.[0127] The definitions and stereochemical conventions used herein generally follow Sp Parker, Ed., McGraw-Hill Dictionary of Chemical Terms (1984) McGraw-Hill Book Company, New York; and Eliel, E. and Wilen, S., Stereochemistry of Organic Compounds (1994) John Wiley & Sons, Inc., New York. Many organic compounds exist in optically active forms, that is, they have the ability to rotate the plane of polarized light in the plane. When describing an optically active compound, the prefixes D and L or R and S are used to denote the absolute configuration of the molecule on its chiral center or centers. The prefixes of I, D and L, or (+) and (-) are used to designate the sign of rotation of the light polarized in plane by the compound, with S, (-), or 1 which means that the compound is levorotatory while a compound with the prefix R, (+) od is dextrorotatory. For a given chemical structure, these stereoisomers are identical, except that they are mirror images of each other. A specific stereoisomer can also be called an enantiomer, and a mixture of such isomers is often called an enantiomeric mixture. A 50:50 mixture of enantiomers is known as a racemic mixture or a racemate, which can occur where there has been no stereoselection or stereospecificity in a chemical reaction or process. The terms "racemic mixture" and "racemate" refer to an equimolar mixture of two enantiomeric species, devoid of optical activity.

[0128]Siempre que un compuesto descrito en el presente documento se sustituya con más de uno del mismo grupo designado, por ejemplo, "R" o "R1”, entonces se entenderá que los grupos pueden ser iguales o diferentes, es decir, cada grupo es independientemente seleccionado. Las líneas onduladas indican el sitio de los enlaces covalentes a las subestructuras, grupos, restos o átomos adyacentes.[0128] As long as a compound described herein is replaced with more than one of the same designated group, for example, "R" or "R1", then it will be understood that the groups may be the same or different, that is, each group is independently selected. Wavy lines indicate the site of covalent bonds to adjacent substructures, groups, moieties or atoms.

[0129]Los compuestos de la invención también pueden existir como isómeros tautómeros en ciertos casos. Aunque solo se puede representar una estructura de resonancia deslocalizada, todas estas formas se contemplan dentro del alcance de la invención. Por ejemplo, pueden existir tautómeros de ene-amina para sistemas de purina, pirimidina, imidazol, guanidina, amidina y tetrazol y todas sus formas tautómeras posibles están dentro del alcance de la invención.[0129] The compounds of the invention may also exist as tautomeric isomers in certain cases. Although only one delocalized resonance structure can be represented, all these forms are contemplated within the scope of the invention. For example, ene-amine tautomers may exist for purine, pyrimidine, imidazole, guanidine, amidine and tetrazole systems and all possible tautomeric forms are within the scope of the invention.

Métodos de inhibición de la polimerasa del VHCHCV polymerase inhibition methods

[0130]La invención también se refiere a compuestos para su uso en métodos de inhibición de la actividad de la polimerasa del VHC que comprende la etapa de tratar una muestra sospechosa de contener VHC con una composición de la invención.[0130] The invention also relates to compounds for use in methods of inhibiting the activity of HCV polymerase comprising the step of treating a sample suspected of containing HCV with a composition of the invention.

[0131]Las composiciones de la invención pueden actuar como inhibidores de la polimerasa del VHC, como intermedios para tales inhibidores o tener otras utilidades como se describe a continuación. Los inhibidores se unirán a ubicaciones en la superficie o en una cavidad de la polimerasa del VHC que tiene una geometría única para la polimerasa del VHC. Las composiciones que se unen a la polimerasa del VHC pueden unirse con diversos grados de reversibilidad. Aquellos compuestos que se unen de manera sustancialmente irreversible son candidatos ideales para uso en este método de la invención. Una vez marcadas, las composiciones de unión sustancialmente irreversibles son útiles como sondas para la detección de la polimerasa del VHC. Por consiguiente, también se describen en el presente documento métodos para detectar la polimerasa de VHC en una muestra sospechosa de contener polimerasa de VHC que comprende los pasos de: tratar una muestra sospechosa de contener polimerasa de VHC con una composición que comprende un compuesto de la invención unido a una etiqueta; y observar el efecto de la muestra en la actividad de la etiqueta. Los marcadores adecuados son bien conocidos en el campo del diagnóstico e incluyen radicales libres estables, fluoróforos, radioisótopos, enzimas, grupos quimioluminiscentes y cromógenos. Los compuestos de la presente invención se marcan de manera convencional usando grupos funcionales tales como hidroxilo, carboxilo, sulfhidrilo o amino.[0131] The compositions of the invention may act as HCV polymerase inhibitors, as intermediates for such inhibitors or have other utilities as described below. The inhibitors will bind to locations on the surface or in an HCV polymerase cavity that has a unique geometry for HCV polymerase. Compositions that bind to HCV polymerase can bind with varying degrees of reversibility. Those compounds that bind substantially irreversibly are ideal candidates for use in this method of the invention. Once labeled, substantially irreversible binding compositions are useful as probes for the detection of HCV polymerase. Accordingly, methods for detecting HCV polymerase in a sample suspected of containing HCV polymerase comprising the steps of: treating a sample suspected of containing HCV polymerase with a composition comprising a compound of the compound are also described herein. invention attached to a tag; and observe the effect of the sample on the activity of the label. Suitable markers are well known in the diagnostic field and include stable free radicals, fluorophores, radioisotopes, enzymes, chemiluminescent groups and chromogens. The compounds of the present invention are labeled in a conventional manner using functional groups such as hydroxyl, carboxyl, sulfhydryl or amino.

[0132]Dentro del contexto de la invención, las muestras sospechosas de contener polimerasa de VHC incluyen materiales naturales o artificiales tales como organismos vivos; cultivos de tejidos o células; muestras biológicas tales como muestras de material biológico (sangre, suero, orina, líquido cefalorraquídeo, lágrimas, esputo, saliva, muestras de tejido y similares); muestras de laboratorio; muestras de comida, agua o aire; muestras de bioproductos tales como extractos de células, particularmente células recombinantes que sintetizan una glicoproteína deseada; y similares. Por lo general, se sospechará que la muestra contiene un organismo que produce polimerasa del VHC, con frecuencia un organismo patógeno como el VHC. Las muestras pueden estar contenidas en cualquier medio incluyendo agua y mezclas de solvente orgánico/agua. Las muestras incluyen organismos vivos como los humanos y materiales hechos por el hombre como los cultivos celulares.[0132] Within the context of the invention, samples suspected of containing HCV polymerase include natural or artificial materials such as living organisms; tissue or cell cultures; biological samples such as samples of biological material (blood, serum, urine, cerebrospinal fluid, tears, sputum, saliva, tissue samples and the like); laboratory samples; food, water or air samples; samples of bioproducts such as cell extracts, particularly recombinant cells that synthesize a desired glycoprotein; and the like In general, it will be suspected that the sample contains an organism that produces HCV polymerase, often a pathogenic organism such as HCV. Samples may be contained in any medium including water and organic solvent / water mixtures. Samples include living organisms such as humans and man-made materials such as cell cultures.

[0133]La etapa de tratamiento de la invención comprende agregar la composición de la invención a la muestra o comprende agregar un precursor de la composición a la muestra. La etapa de adición comprende cualquier método de administración como se describe anteriormente.[0133] The treatment step of the invention comprises adding the composition of the invention to the sample or comprising adding a precursor of the composition to the sample. The addition step comprises any method of administration as described above.

[0134]Si se desea, la actividad de la polimerasa del VHC después de la aplicación de la composición puede observarse mediante cualquier método que incluya métodos directos e indirectos para detectar la actividad de la polimerasa del VHC. Se contemplan todos los métodos cuantitativos, cualitativos y semicuantitativos para determinar la actividad de la polimerasa del VHC. Normalmente, se aplica uno de los métodos de detección descritos anteriormente, sin embargo, cualquier otro método, como la observación de las propiedades fisiológicas de un organismo vivo, también es aplicable.[0134] If desired, the activity of HCV polymerase after application of the composition can be observed by any method that includes direct and indirect methods to detect the activity of HCV polymerase. All quantitative, qualitative and semi-quantitative methods for determining the activity of HCV polymerase are contemplated. Normally, one of the detection methods described above is applied, however, any other method, such as the observation of the physiological properties of a living organism, is also applicable.

[0135]Los organismos que contienen polimerasa de VHC incluyen el virus de VHC. Los compuestos de esta invención son útiles en el tratamiento o la profilaxis de infecciones por v Hc en animales o en el hombre.[0135] Organisms containing HCV polymerase include the HCV virus. The compounds of this invention are useful in the treatment or prophylaxis of v Hc infections in animals or in man.

[0136]Sin embargo, en el cribado de compuestos capaces de inhibir los virus de la inmunodeficiencia humana, se debe tener en cuenta que los resultados de los ensayos enzimáticos pueden no correlacionarse con los ensayos de cultivo celular. Por lo tanto, un ensayo basado en células debería ser la principal herramienta de detección.[0136] However, in the screening of compounds capable of inhibiting human immunodeficiency viruses, it should be borne in mind that the results of enzymatic assays may not correlate with cell culture assays. Therefore, a cell-based assay should be the main detection tool.

Cribas para inhibidores de la polimerasa del VHCScreening for HCV polymerase inhibitors

[0137]Las composiciones de la invención se seleccionan para determinar la actividad inhibitoria contra la polimerasa del VHC por cualquiera de las técnicas convencionales para evaluar la actividad enzimática. Dentro del contexto de la invención, típicamente las composiciones se seleccionan primero para la inhibición de la polimerasa del VHCin vitroy las composiciones que muestran actividad inhibidora se seleccionan luego para la actividadin vivo.Las composiciones que tienen Kiin vitro(constantes inhibitorias) de menos de aproximadamente 5 X 10-6 M y preferiblemente menos de aproximadamente 1 X 10-7 M se prefieren para usoin vivo.[0137] The compositions of the invention are selected to determine the inhibitory activity against HCV polymerase by any of the conventional techniques for evaluating enzyme activity. Within the context of the invention, the compositions are typically selected first for the inhibition of HCV polymerasein vitro and the compositions showing inhibitory activity are then selected forin vivo activity. Compositions having Kiin vitro (inhibitory constants) of less than about 5 X 10-6 M and preferably less than about 1 X 10-7 M are preferred forin vivo use.

[0138]Las cribasin vitroútiles se han descrito en detalle y no se elaborarán aquí. Sin embargo, los ejemplos describen ensayosinvitro adecuados.[0138] Usefulin vitro screens have been described in detail and will not be elaborated here. However, the examples describe suitablein vitro assays.

Formulaciones farmacéuticasPharmaceutical formulations

[0139]Los compuestos de esta invención se formulan con vehículos y excipientes convencionales, que se seleccionarán de acuerdo con la práctica ordinaria. Las tabletas contendrán excipientes, deslizantes, rellenos, aglutinantes y similares. Formulaciones acuosas se preparan en forma estéril y, cuando están destinadas a ser administradas por otra vía que no sea la administración oral, generalmente serán isotónicas. Todas las formulaciones contendrán opcionalmente excipientes como los establecidos en el "Handbook of Pharmaceutical Excipients" (1986). Los excipientes incluyen ácido ascórbico y otros antioxidantes, agentes quelantes como EDTA, carbohidratos como dextrano, hidroxialquilcelulosa, hidroxialquilmetilcelulosa, ácido esteárico y similares. El pH de las formulaciones varía de aproximadamente 3 a aproximadamente 11, pero normalmente es de aproximadamente 7 a 10.[0139] The compounds of this invention are formulated with conventional carriers and excipients, which will be selected in accordance with ordinary practice. The tablets will contain excipients, sliders, fillers, binders and the like. Aqueous formulations are prepared in sterile form and, when they are intended to be administered by another route other than oral administration, they will generally be isotonic. All formulations will optionally contain excipients such as those set forth in the "Handbook of Pharmaceutical Excipients" (1986). Excipients include ascorbic acid and other antioxidants, chelating agents such as EDTA, carbohydrates such as dextran, hydroxyalkylcellulose, hydroxyalkylmethylcellulose, stearic acid and the like. The pH of the formulations ranges from about 3 to about 11, but is usually about 7 to 10.

[0140]Si bien es posible que los ingredientes activos se administren solos, puede ser preferible presentarlos como formulaciones farmacéuticas. Las formulaciones, tanto para uso veterinario como humano, de la invención comprenden al menos un ingrediente activo, como se definió anteriormente, junto con uno o más vehículos aceptables y opcionalmente otros ingredientes terapéuticos. El (los) vehículo(s) debe(n) ser "aceptable(s)" en el sentido de ser compatible(s) con los otros ingredientes de la formulación y fisiológicamente inocuo(s) para el receptor de los mismos.[0140] While it is possible for the active ingredients to be administered alone, it may be preferable to present them as pharmaceutical formulations. The formulations, both for veterinary and human use, of the invention comprise at least one active ingredient, as defined above, together with one or more acceptable carriers and optionally other therapeutic ingredients. The vehicle (s) must be "acceptable (s)" in the sense of being compatible with the other ingredients of the formulation and physiologically safe (s) for the recipient thereof.

[0141]Las formulaciones incluyen aquellas adecuadas para las rutas de administración anteriores. Las formulaciones pueden presentarse convenientemente en forma de dosificación unitaria y pueden prepararse por cualquiera de los métodos bien conocidos en la técnica de la farmacia. Las técnicas y formulaciones generalmente se encuentran en Remington's Pharmaceutical Sciences (Mack Publishing Co., Easton, PA). Dichos métodos incluyen el paso de asociar el ingrediente activo con el vehículo que constituye uno o más ingredientes accesorios. En general, las formulaciones se preparan asociando de manera uniforme e íntima el ingrediente activo con vehículos líquidos o vehículos sólidos finamente divididos o ambos, y luego, si es necesario, moldeando el producto.[0141] The formulations include those suitable for the above administration routes. The formulations may conveniently be presented in unit dosage form and may be prepared by any of the methods well known in the art of pharmacy. Techniques and formulations are generally found in Remington's Pharmaceutical Sciences (Mack Publishing Co., Easton, PA). Such methods include the step of associating the active ingredient with the vehicle that constitutes one or more accessory ingredients. In general, the formulations are prepared by uniformly and intimately associating the active ingredient with liquid vehicles or finely divided solid vehicles or both, and then, if necessary, by molding the product.

[0142]Las formulaciones de la presente invención adecuadas para administración oral pueden presentarse como unidades discretas tales como cápsulas, sellos o tabletas que contienen cada una una cantidad predeterminada del ingrediente activo; como un polvo o gránulos; como una solución o suspensión en un líquido acuoso o no acuoso; o como una emulsión líquida de aceite en agua o una emulsión líquida de agua en aceite. El ingrediente activo también puede administrarse como un bolo, electuario o pasta.[0142] The formulations of the present invention suitable for oral administration may be presented as discrete units such as capsules, seals or tablets each containing a predetermined amount of the active ingredient; as a powder or granules; as a solution or suspension in an aqueous or non-aqueous liquid; or as a liquid oil-in-water emulsion or a water-in-oil liquid emulsion. The active ingredient can also be administered as a bolus, electuary or paste.

[0143]Una tableta está hecha por compresión o moldeo, opcionalmente con uno o más ingredientes accesorios. Los comprimidos comprimidos se pueden preparar comprimiendo en una máquina adecuada el ingrediente activo en una forma que fluye libremente, como un polvo o gránulos, opcionalmente mezclado con un aglutinante, lubricante, diluyente inerte, conservante, tensioactivo o agente dispersante. Las tabletas moldeadas pueden prepararse moldeando en una máquina adecuada una mezcla del ingrediente activo en polvo humedecido con un diluyente líquido inerte. Las tabletas pueden recubrirse o ranurarse opcionalmente y, opcionalmente, formularse para proporcionar una liberación lenta o controlada del ingrediente activo a partir de las mismas.[0143] A tablet is made by compression or molding, optionally with one or more accessory ingredients. Compressed tablets may be prepared by compressing the active ingredient in a suitable machine in a free flowing form, such as a powder or granules, optionally mixed with a binder, lubricant, inert diluent, preservative, surfactant or dispersing agent. Molded tablets may be prepared by molding in a suitable machine a mixture of the powdered active ingredient moistened with an inert liquid diluent. The tablets may be optionally coated or grooved and, optionally, formulated to provide a slow or controlled release of the active ingredient therefrom.

[0144]Para infecciones del ojo u otros tejidos externos, por ejemplo, boca y piel, las formulaciones se aplican preferiblemente como una pomada o crema tópica que contiene los ingredientes activos en una cantidad de, por ejemplo, 0,075 a 20% p/p (incluidos los ingredientes activos en un rango entre 0,1% y 20% en incrementos de 0,1% p/p como 0,6% p/p, 0,7% p/p, etc.), preferiblemente 0,2 a 15% p/p y lo más preferiblemente 0,5 a 10% p/p. Cuando se formula en una pomada, los ingredientes activos pueden emplearse con una base de pomada parafínica o miscible con agua. Alternativamente, los ingredientes activos pueden formularse en una crema con una base de crema de aceite en agua.[0144] For infections of the eye or other external tissues, for example, mouth and skin, the formulations are preferably applied as a topical ointment or cream containing the active ingredients in an amount of, for example, 0.075 to 20% w / w (including active ingredients in a range between 0.1% and 20% in increments of 0.1% w / w such as 0.6% w / w, 0.7% w / w, etc.), preferably 0, 2 to 15% w / w and most preferably 0.5 to 10% w / w. When formulated in an ointment, the active ingredients can be used with a paraffinic or water-miscible ointment base. Alternatively, the active ingredients can be formulated in a cream with an oil-in-water cream base.

[0145]Si se desea, la fase acuosa de la base de crema puede incluir, por ejemplo, al menos 30% p/p de un alcohol polihídrico, es decir, un alcohol que tiene dos o más grupos hidroxilo tales como propilenglicol, butano 1,3-diol, manitol, sorbitol, glicerol y polietilenglicol (incluido PEG 400) y sus mezclas. Las formulaciones tópicas pueden incluir deseablemente un compuesto que mejore la absorción o penetración del ingrediente activo a través de la piel u otras áreas afectadas. Los ejemplos de tales potenciadores de penetración dérmica incluyen dimetilsulfóxido y análogos relacionados.[0145] If desired, the aqueous phase of the cream base may include, for example, at least 30% w / w of a polyhydric alcohol, that is, an alcohol having two or more hydroxyl groups such as propylene glycol, butane. 1,3-diol, mannitol, sorbitol, glycerol and polyethylene glycol (including PEG 400) and mixtures thereof. Topical formulations may desirably include a compound that improves the absorption or penetration of the active ingredient through the skin or other affected areas. Examples of such dermal penetration enhancers include dimethylsulfoxide and related analogs.

[0146]La fase oleosa de las emulsiones de esta invención puede estar constituida por ingredientes conocidos de una manera conocida. Mientras que la fase puede comprender simplemente un emulsionante (también conocido como un emulgente), deseablemente comprende una mezcla de al menos un emulsionante con una grasa o un aceite o con una grasa y un aceite. Preferiblemente, se incluye un emulsionante hidrofílico junto con un emulsionante lipofílico que actúa como estabilizador. También se prefiere incluir tanto un aceite como una grasa. Juntos, el (los) emulsionante(s) con o sin estabilizador(es) forman la denominada cera emulsionante, y la cera junto con el aceite y la grasa forman la denominada base de ungüento emulsionante que forma la fase oleosa dispersa de formulaciones de crema.[0146] The oil phase of the emulsions of this invention may be constituted by known ingredients in a known manner. While the phase may simply comprise an emulsifier (also known as an emulsifier), it desirably comprises a mixture of at least one emulsifier with a fat or an oil or with a grease and an oil. Preferably, a hydrophilic emulsifier is included together with a lipophilic emulsifier that acts as a stabilizer. It is also preferred to include both an oil and a fat. Together, the emulsifier (s) with or without stabilizer (s) form the so-called emulsifying wax, and the wax together with the oil and grease form the so-called emulsifying ointment base that forms the dispersed oil phase of cream formulations .

[0147]Los emulgentes y estabilizadores de emulsión adecuados para uso en la formulación de la invención incluyen Tween® 60, Span® 80, alcohol cetoestearílico, alcohol bencílico, alcohol miristílico, monoestearato de glicerilo y laurilsulfato de sodio.[0147] Emulsifiers and emulsion stabilizers suitable for use in the formulation of the invention include Tween® 60, Span® 80, ketostearyl alcohol, benzyl alcohol, myristyl alcohol, glyceryl monostearate and sodium lauryl sulfate.

[0148]La elección de aceites o grasas para la formulación adecuados se basa en conseguir las propiedades cosméticas deseadas. La crema debe ser preferiblemente un producto no grasoso, no manchable y lavable con una consistencia adecuada para evitar fugas de tubos u otros recipientes. Cadena recta o ramificada, ésteres de alquilo mono o dibásicos como di-isoadipato, estearato de isocetilo, diéster de propilenglicol de ácidos grasos de coco, miristato de isopropilo, oleato de decilo, palmitato de isopropilo, estearato de butilo, palmitato de 2-etilhexilo o una combinación de cadena ramificada pueden usarse ésteres conocidos como Crodamol CAP, siendo los tres últimos ésteres preferidos. Estos pueden usarse solos o en combinación dependiendo de las propiedades requeridas. Alternativamente, se utilizan lípidos de alto punto de fusión tales como parafina blanda blanca y/o parafina líquida u otros aceites minerales.[0148] The choice of suitable oils or fats for the formulation is based on achieving the desired cosmetic properties. The cream should preferably be a non-greasy, non-stainable and washable product with a consistency suitable to prevent leakage of tubes or other containers. Straight or branched chain, mono or dibasic alkyl esters such as di-isoadipate, isocetyl stearate, propylene glycol diester of coconut fatty acids, isopropyl myristate, decyl oleate, isopropyl palmitate, butyl stearate, 2-ethylhexyl palmitate or a branched chain combination esters known as Crodamol CAP may be used, with the last three esters being preferred. These can be used alone or in combination depending on the required properties. Alternatively, high melting point lipids such as white soft paraffin and / or liquid paraffin or other mineral oils are used.

[0149]Las formulaciones farmacéuticas según la presente invención comprenden una combinación de acuerdo con la invención junto con uno o más vehículos o excipientes farmacéuticamente aceptables y opcionalmente otros agentes terapéuticos. Las formulaciones farmacéuticas que contienen el ingrediente activo pueden estar en cualquier forma adecuada para el método de administración pretendido. Cuando se usa para uso oral, por ejemplo, se pueden preparar tabletas, grageas, pastillas, suspensiones acuosas o oleosas, polvos o gránulos dispersables, emulsiones, cápsulas duras o blandas, jarabes o elixires. Composiciones destinadas a uso oral pueden prepararse de acuerdo con cualquier método conocido en la técnica para la fabricación de composiciones farmacéuticas y tales composiciones pueden contener uno o más agentes que incluyen agentes edulcorantes, agentes aromatizantes, agentes colorantes y agentes conservantes, para proporcionar una preparación palatable. Las tabletas que contienen el ingrediente activo mezclado con un excipiente no tóxico farmacéuticamente aceptable que son adecuadas para la fabricación de tabletas son aceptables. Estos excipientes pueden ser, por ejemplo, diluyentes inertes, tales como carbonato de calcio o sodio, lactosa, fosfato de calcio o sodio; agentes de granulación y desintegración, tales como almidón de maíz o ácido algínico; agentes aglutinantes, tales como almidón, gelatina o acacia; y agentes lubricantes, tales como estearato de magnesio, ácido esteárico o talco. Las tabletas pueden no estar recubiertas o pueden estar recubiertas por técnicas conocidas que incluyen microencapsulación para retrasar la desintegración y adsorción en el tracto gastrointestinal y, por lo tanto, proporcionar una acción sostenida durante un período más largo. Por ejemplo, puede emplearse un material de retardo de tiempo tal como monoestearato de glicerilo o diestearato de glicerilo solo o con una cera.[0149] The pharmaceutical formulations according to the present invention comprise a combination according to the invention together with one or more pharmaceutically acceptable carriers or excipients and optionally other therapeutic agents. Pharmaceutical formulations containing the active ingredient may be in any form suitable for the intended method of administration. When used for oral use, for example, tablets, dragees, tablets, aqueous or oily suspensions, dispersible powders or granules, emulsions, hard or soft capsules, syrups or elixirs can be prepared. Compositions intended for oral use may be prepared according to any method known in the art for the manufacture of pharmaceutical compositions and such compositions may contain one or more agents including sweetening agents, flavoring agents, coloring agents and preservatives, to provide a palatable preparation . Tablets containing the active ingredient mixed with a pharmaceutically acceptable non-toxic excipient that are suitable for the manufacture of tablets are acceptable. These excipients may be, for example, inert diluents, such as calcium or sodium carbonate, lactose, calcium or sodium phosphate; granulating and disintegrating agents, such as corn starch or alginic acid; binding agents, such as starch, gelatin or acacia; and lubricating agents, such as magnesium stearate, stearic acid or talc. The tablets may not be coated or they may be coated by known techniques that include microencapsulation to delay disintegration and adsorption in the gastrointestinal tract and, therefore, provide sustained action for a longer period. For example, a time delay material such as glyceryl monostearate or glyceryl distearate alone or with a wax can be employed.

[0150]Las formulaciones para uso oral también pueden presentarse como cápsulas de gelatina dura donde el ingrediente activo se mezcla con un diluyente sólido inerte, por ejemplo, fosfato de calcio o caolín, o como cápsulas de gelatina blanda en las que el ingrediente activo se mezcla con agua o un medio de aceite, como aceite de maní, parafina líquida o aceite de oliva.[0150] Formulations for oral use may also be presented as hard gelatin capsules where the active ingredient is mixed with an inert solid diluent, for example, calcium phosphate or kaolin, or as soft gelatin capsules in which the active ingredient is mix with water or a medium of oil, such as peanut oil, liquid paraffin or olive oil.

[0151]Las suspensiones acuosas de la invención contienen los materiales activos en mezcla con excipientes adecuados para la fabricación de suspensiones acuosas. Dichos excipientes incluyen un agente de suspensión, como carboximetilcelulosa de sodio, metilcelulosa, hidroxipropilmetilcelulosa, alginato de sodio, polivinilpirrolidona, goma de tragacanto y goma arábiga, y agentes dispersantes o humectantes como una fosfatida natural (p. ej., lecitina), un producto de condensación de un óxido de alquileno con un ácido graso (p. ej., estearato de polioxietileno), un producto de condensación de óxido de etileno con un alcohol alifático de cadena larga (p. ej., heptadecaetilenoxicetanol), un producto de condensación de óxido de etileno con un éster parcial derivado de un ácido graso y un anhídrido de hexitol (por ejemplo, monooleato de polioxietilensorbitán). La suspensión acuosa también puede contener uno o más conservantes tales como p-hidroxibenzoato de etilo o n-propilo, uno o más agentes colorantes, uno o más agentes aromatizantes y uno o más agentes edulcorantes, tales como sacarosa o sacarina.[0151] The aqueous suspensions of the invention contain the active materials in admixture with excipients suitable for the manufacture of aqueous suspensions. Such excipients include a suspending agent, such as sodium carboxymethylcellulose, methylcellulose, hydroxypropylmethylcellulose, sodium alginate, polyvinylpyrrolidone, gum tragacanth and gum arabic, and dispersing or wetting agents such as a natural phosphatide (e.g., lecithin), a product of condensation of an alkylene oxide with a fatty acid (e.g., polyoxyethylene stearate), a condensation product of ethylene oxide with a long chain aliphatic alcohol (e.g., heptadecaethylene oxyethanol), a condensation product of ethylene oxide with a partial ester derived from a fatty acid and a hexitol anhydride (for example, polyoxyethylene sorbitan monooleate). The aqueous suspension may also contain one or more preservatives such as ethyl p-hydroxybenzoate or n-propyl, one or more coloring agents, one or more flavoring agents and one or more sweetening agents, such as sucrose or saccharin.

[0152]Las suspensiones de aceite se pueden formular suspendiendo el ingrediente activo en un aceite vegetal, tal como aceite de cacahuete, aceite de oliva, aceite de sésamo o aceite de coco, o en un aceite mineral tal como parafina líquida. Las suspensiones orales pueden contener un agente espesante, como cera de abejas, parafina dura o alcohol cetílico. Se pueden agregar agentes edulcorantes, como los establecidos anteriormente, y agentes aromatizantes para proporcionar una preparación oral agradable al paladar. Estas composiciones pueden conservarse mediante la adición de un antioxidante tal como ácido ascórbico.[0152] Oil suspensions may be formulated by suspending the active ingredient in a vegetable oil, such as peanut oil, olive oil, sesame oil or coconut oil, or in a mineral oil such as liquid paraffin. Oral suspensions may contain a thickening agent, such as beeswax, hard paraffin or cetyl alcohol. Sweetening agents, such as those set forth above, and flavoring agents may be added to provide a pleasant oral preparation on the palate. These compositions can be preserved by the addition of an antioxidant such as ascorbic acid.

[0153]Los polvos y gránulos dispersables de la invención adecuados para preparación de una suspensión acuosa mediante la adición de agua proporcionan el ingrediente activo en mezcla con un agente dispersante o humectante, un agente de suspensión, y uno o más conservantes. Los agentes dispersantes o humectantes y agentes de suspensión adecuados se ejemplifican por los descritos anteriormente. También pueden estar presentes excipientes adicionales, por ejemplo, agentes edulcorantes, aromatizantes y colorantes.[0153] The dispersible powders and granules of the invention suitable for preparing an aqueous suspension by the addition of water provide the active ingredient in admixture with a dispersing or wetting agent, a suspending agent, and one or more preservatives. Suitable dispersing or wetting agents and suspending agents are exemplified by those described above. Additional excipients may also be present, for example, sweetening, flavoring and coloring agents.

[0154]Las composiciones farmacéuticas de la invención también pueden estar en forma de emulsiones de aceite-en­ agua. La fase oleosa puede ser un aceite vegetal, como el aceite de oliva o el aceite de arachis, un aceite mineral, como parafina líquida, o una mezcla de estos. Los agentes emulsionantes adecuados incluyen gomas naturales, tales como goma arábiga y goma de tragacanto, fosfátidos que se producen naturalmente, tales como lecitina de soja, ésteres o ésteres parciales derivados de ácidos grasos y anhídridos de hexitol, tales como monooleato de sorbitán, y productos de condensación de estos ésteres parciales con óxido de etileno, como el monooleato de polioxietilensorbitán. La emulsión también puede contener agentes edulcorantes y aromatizantes. Los jarabes y elixires pueden formularse con agentes edulcorantes, como glicerol, sorbitol o sacarosa. Dichas formulaciones también pueden contener un demulcente, un conservante, un saborizante o un agente colorante.[0154] The pharmaceutical compositions of the invention may also be in the form of oil-in-water emulsions. The oil phase may be a vegetable oil, such as olive oil or arachis oil, a mineral oil, such as liquid paraffin, or a mixture of these. Suitable emulsifying agents include natural gums, such as gum arabic and tragacanth gum, naturally occurring phosphatides, such as soy lecithin, esters or partial esters derived from fatty acids and hexitol anhydrides, such as sorbitan monooleate, and products of condensation of these partial esters with ethylene oxide, such as monooleate polyoxyethylene sorbitan. The emulsion may also contain sweetening and flavoring agents. Syrups and elixirs can be formulated with sweetening agents, such as glycerol, sorbitol or sucrose. Such formulations may also contain a demulcent, a preservative, a flavoring agent or a coloring agent.

[0155]Las composiciones farmacéuticas de la invención pueden estar en la forma de una preparación inyectable estéril, tal como una suspensión acuosa o inyectable estéril oleaginosa. Esta suspensión puede formularse de acuerdo con la técnica conocida usando aquellos agentes dispersantes o humectantes y agentes de suspensión adecuados que se han mencionado anteriormente. La preparación inyectable estéril también puede ser una solución o suspensión inyectable estéril en un diluyente o disolvente parenteralmente aceptable no tóxico, tal como una solución en 1,3-butanodiol o preparada como un polvo liofilizado. Entre los vehículos y solventes aceptables que pueden emplearse están el agua, la solución de Ringer y la solución isotónica de cloruro de sodio. Además, los aceites fijos estériles se pueden emplear convencionalmente como solvente o medio de suspensión. Para este propósito, se puede emplear cualquier aceite fijo suave, incluyendo mono o diglicéridos sintéticos. Además, los ácidos grasos tales como el ácido oleico también pueden usarse en la preparación de inyectables.[0155] The pharmaceutical compositions of the invention may be in the form of a sterile injectable preparation, such as an aqueous suspension or sterile oleaginous injection. This suspension can be formulated in accordance with the known technique using those suitable dispersing or wetting agents and suspending agents mentioned above. The sterile injectable preparation may also be a sterile injectable solution or suspension in a nontoxic parenterally acceptable diluent or solvent, such as a solution in 1,3-butanediol or prepared as a lyophilized powder. Among the acceptable vehicles and solvents that can be employed are water, Ringer's solution and isotonic sodium chloride solution. In addition, sterile fixed oils can be conventionally used as a solvent or suspending medium. For this purpose, any mild fixed oil, including synthetic mono or diglycerides, can be used. In addition, fatty acids such as oleic acid can also be used in the preparation of injectables.

[0156]La cantidad de ingrediente activo que puede combinarse con el material portador para producir una sola forma de dosificación variará dependiendo del huésped tratado y el modo particular de administración. Por ejemplo, una formulación de liberación prolongada destinada a la administración oral a humanos puede contener aproximadamente 1 a 1000 mg de material activo compuesto con una cantidad apropiada y conveniente de material portador que puede variar de aproximadamente 5 a aproximadamente 95% de las composiciones totales (peso:peso). La composición farmacéutica se puede preparar para proporcionar cantidades fácilmente medibles para la administración. Por ejemplo, una solución acuosa destinada a infusión intravenosa puede contener de aproximadamente 3 a 500 |jg del ingrediente activo por mililitro de solución para que pueda producirse una infusión de un volumen adecuado a una velocidad de aproximadamente 30 ml/h.[0156] The amount of active ingredient that can be combined with the carrier material to produce a single dosage form will vary depending on the treated host and the particular mode of administration. For example, a prolonged release formulation intended for oral administration to humans may contain about 1 to 1000 mg of active compound compound with an appropriate and convenient amount of carrier material that can vary from about 5 to about 95% of the total compositions ( weight: weight) The pharmaceutical composition can be prepared to provide easily measurable amounts for administration. For example, an aqueous solution intended for intravenous infusion may contain from about 3 to 500 µg of the active ingredient per milliliter of solution so that an infusion of a suitable volume can occur at a rate of about 30 ml / h.

[0157]Las formulaciones adecuadas para la administración tópica en el ojo también incluyen gotas para los ojos en las que el ingrediente activo se disuelve o suspende en un vehículo adecuado, especialmente un disolvente acuoso para el ingrediente activo. El ingrediente activo está presente preferiblemente en tales formulaciones en una concentración de 0,5 a 20%, ventajosamente de 0,5 a 10%, y particularmente de aproximadamente 1,5% p/p.[0157] Formulations suitable for topical administration in the eye also include eye drops in which the active ingredient is dissolved or suspended in a suitable vehicle, especially an aqueous solvent for the active ingredient. The active ingredient is preferably present in such formulations in a concentration of 0.5 to 20%, advantageously 0.5 to 10%, and particularly about 1.5% w / w.

[0158]Las formulaciones adecuadas para la administración tópica en la boca incluyen pastillas que comprenden el ingrediente activo en una base aromatizada, generalmente sacarosa y acacia o tragacanto; pastillas que comprenden el ingrediente activo en una base inerte tal como gelatina y glicerina, o sacarosa y acacia; y enjuagues bucales que comprenden el ingrediente activo en un vehículo líquido adecuado.[0158] Formulations suitable for topical administration in the mouth include tablets comprising the active ingredient in a flavored base, generally sucrose and acacia or tragacanth; pills comprising the active ingredient in an inert base such as gelatin and glycerin, or sucrose and acacia; and mouthwashes comprising the active ingredient in a suitable liquid vehicle.

[0159]Las formulaciones para administración rectal pueden presentarse como un supositorio con una base adecuada que comprende, por ejemplo, manteca de cacao o un salicilato.[0159] Formulations for rectal administration may be presented as a suppository with a suitable base comprising, for example, cocoa butter or a salicylate.

[0160]Las formulaciones adecuadas para administración intrapulmonar o nasal tienen un tamaño de partícula, por ejemplo, en el intervalo de 0,1 a 500 micras, tal como 0,5, 1, 30, 35, etc., que se administra por inhalación rápida a través del paso nasal o por inhalación a través de la boca para alcanzar los sacos alveolares. Las formulaciones adecuadas incluyen soluciones acuosas u oleosas del ingrediente activo. Las formulaciones adecuadas para la administración de aerosol o polvo seco pueden prepararse de acuerdo con métodos convencionales y pueden administrarse con otros agentes terapéuticos tales como compuestos utilizados hasta ahora en el tratamiento o profilaxis de infecciones por VHC como se describe a continuación.[0160] Formulations suitable for intrapulmonary or nasal administration have a particle size, for example, in the range of 0.1 to 500 microns, such as 0.5, 1, 30, 35, etc., which is administered by rapid inhalation through the nasal passage or by inhalation through the mouth to reach the alveolar sacs. Suitable formulations include aqueous or oily solutions of the active ingredient. Formulations suitable for administration of aerosol or dry powder can be prepared according to conventional methods and can be administered with other therapeutic agents such as compounds used so far in the treatment or prophylaxis of HCV infections as described below.

[0161]Las formulaciones adecuadas para administración vaginal pueden presentarse como pesarios, tampones, cremas, geles, pastas, espumas o formulaciones en aerosol que contienen además del ingrediente activo los portadores que se conocen en la técnica como apropiados.[0161] Formulations suitable for vaginal administration may be presented as pessaries, buffers, creams, gels, pastes, foams or aerosol formulations which contain in addition to the active ingredient the carriers known in the art as appropriate.

[0162]Las formulaciones adecuadas para administración parenteral incluyen soluciones de inyección estériles acuosas y no acuosas que pueden contener antioxidantes, tampones, bacteriostáticos y solutos que hacen que la formulación sea isotónica con la sangre del receptor previsto; y suspensiones estériles acuosas y no acuosas que pueden incluir agentes de suspensión y agentes espesantes.[0162] Formulations suitable for parenteral administration include sterile aqueous and non-aqueous injection solutions that may contain antioxidants, buffers, bacteriostats and solutes that make the formulation isotonic with the intended recipient's blood; and sterile aqueous and non-aqueous suspensions that may include suspending agents and thickening agents.

[0163]Las formulaciones se presentan en recipientes de dosis unitaria o de múltiples dosis, por ejemplo, ampollas y viales sellados, y pueden almacenarse en una condición secada por congelación (liofilizada) que requiere sólo la adición del vehículo líquido estéril, por ejemplo, agua para inyección, inmediatamente antes de su uso. Las soluciones y suspensiones de inyección extemporánea se preparan a partir de polvos, gránulos y tabletas estériles del tipo descrito anteriormente. Las formulaciones preferidas de dosificación unitaria son aquellas que contienen una dosis diaria o una subdosis unitaria diaria, como se menciona anteriormente en el presente documento, o una fracción apropiada de la misma, del ingrediente activo.[0163] The formulations are presented in single-dose or multi-dose containers, for example, sealed ampoules and vials, and can be stored in a freeze-dried (lyophilized) condition that requires only the addition of the sterile liquid vehicle, for example, water for injection, immediately before use. Extemporaneous injection solutions and suspensions are prepared from sterile powders, granules and tablets of the type described above. Preferred unit dosage formulations are those that contain a daily dose or a daily unit sub-dose, as mentioned hereinbefore, or an appropriate fraction thereof, of the active ingredient.

[0164]Debe entenderse que además de los ingredientes particularmente mencionados anteriormente las formulaciones de esta invención pueden incluir otros agentes convencionales en la técnica teniendo en cuenta el tipo de formulación en cuestión, por ejemplo, aquellas adecuadas para administración oral pueden incluir aromatizantes agentes.[0164] It should be understood that in addition to the ingredients particularly mentioned above, the formulations of this invention may include other conventional agents in the art taking into account the type of formulation in question, for example, those suitable for oral administration may include flavorings. Agents

[0165]La invención proporciona además composiciones veterinarias que comprenden al menos un ingrediente activo como se definió anteriormente junto con un vehículo veterinario para ello.[0165] The invention further provides veterinary compositions comprising at least one active ingredient as defined above together with a veterinary vehicle therefor.

[0166]Los vehículos veterinarios son materiales útiles para el propósito de administrar la composición y pueden ser materiales sólidos, líquidos o gaseosos que son de otro modo inertes o aceptables en la técnica veterinaria y son compatibles con el ingrediente activo. Estas composiciones veterinarias pueden administrarse por vía oral, parenteral o por cualquier otra vía deseada.[0166] Veterinary vehicles are useful materials for the purpose of administering the composition and may be solid, liquid or gaseous materials that are otherwise inert or acceptable in the veterinary technique and are compatible with the active ingredient. These veterinary compositions can be administered orally, parenterally or by any other desired route.

[0167]Los compuestos de la invención se utilizan para proporcionar formulaciones farmacéuticas de liberación controlada que contienen como ingrediente activo uno o más compuestos de la invención ("formulaciones de liberación controlada") en las que la liberación del ingrediente activo se controlan y regulan para permitir menos frecuencia de dosificación o para mejorar el perfil farmacocinético o de toxicidad de un ingrediente activo dado.[0167] The compounds of the invention are used to provide pharmaceutical controlled release formulations containing as an active ingredient one or more compounds of the invention ("controlled release formulations") in which the release of the active ingredient is controlled and regulated for allow less dosage frequency or to improve the pharmacokinetic or toxicity profile of a given active ingredient.

[0168]La dosis efectiva de ingrediente activo depende al menos de la naturaleza de la afección a tratar, la toxicidad, si el compuesto se está utilizando profilácticamente (dosis más bajas) o contra una infección viral activa, el método de entrega, y la formulación farmacéutica, y será determinado por el clínico utilizando estudios convencionales de aumento de dosis. Se puede esperar que sea de aproximadamente 0,0001 a aproximadamente 100 mg/kg de peso corporal por día; típicamente, de aproximadamente 0,01 a aproximadamente 10 mg/kg de peso corporal por día; más típicamente, de aproximadamente 0,01 a aproximadamente 5 mg/kg de peso corporal por día; más típicamente, de aproximadamente 0,05 a aproximadamente 0,5 mg/kg de peso corporal por día. Por ejemplo, la dosis candidata diaria para un humano adulto de aproximadamente 70 kg de peso corporal oscilará entre 1 mg y 1000 mg, preferiblemente entre 5 mg y 500 mg, y puede tomar la forma de dosis únicas o múltiples.[0168] The effective dose of active ingredient depends at least on the nature of the condition to be treated, the toxicity, if the compound is being used prophylactically (lower doses) or against an active viral infection, the method of delivery, and the pharmaceutical formulation, and will be determined by the clinician using conventional dose increase studies. It can be expected to be from about 0.0001 to about 100 mg / kg of body weight per day; typically, from about 0.01 to about 10 mg / kg body weight per day; more typically, from about 0.01 to about 5 mg / kg body weight per day; more typically, from about 0.05 to about 0.5 mg / kg body weight per day. For example, the daily candidate dose for an adult human of approximately 70 kg of body weight will range between 1 mg and 1000 mg, preferably between 5 mg and 500 mg, and may take the form of single or multiple doses.

Vías de administraciónAdministration Paths

[0169]Uno o más compuestos de la invención (denominados en la presente como los ingredientes activos) se administran por cualquier vía apropiada para la afección a tratar. Las vías adecuadas incluyen oral, rectal, nasal, tópica (incluyendo bucal y sublingual), vaginal y parenteral (incluyendo subcutánea, intramuscular, intravenosa, intradérmica, intratecal y epidural) y similares. Se apreciará que la vía preferida puede variar con, por ejemplo, la condición del receptor. Una ventaja de los compuestos de esta invención es que son biodisponibles por vía oral y pueden dosificarse por vía oral.[0169] One or more compounds of the invention (referred to herein as the active ingredients) are administered by any appropriate route for the condition to be treated. Suitable routes include oral, rectal, nasal, topical (including buccal and sublingual), vaginal and parenteral (including subcutaneous, intramuscular, intravenous, intradermal, intrathecal and epidural) and the like. It will be appreciated that the preferred route may vary with, for example, the condition of the recipient. An advantage of the compounds of this invention is that they are bioavailable orally and can be dosed orally.

Terapia de combinaciónCombination therapy

[0170]Las composiciones de la invención también se usan en combinación con otros ingredientes activos. Para el tratamiento de infecciones por el VHC, preferiblemente, los otros ingredientes o agentes terapéuticos activos son interferones, análogos de ribavirina, inhibidores de la proteasa NS3, inhibidores de la NS5a, inhibidores de la polimerasa NS5b, inhibidores de la alfa-glucosidasa 1, inhibidores de la ciclofilina, hepatoprotectores, otros inhibidores nucleósidos del VHC, inhibidores no nucleósidos del VHC y otras drogas para tratar el VHC.[0170] The compositions of the invention are also used in combination with other active ingredients. For the treatment of HCV infections, preferably, the other active therapeutic ingredients or agents are interferons, ribavirin analogs, NS3 protease inhibitors, NS5a inhibitors, NS5b polymerase inhibitors, alpha-glucosidase 1 inhibitors, Cyclophilin inhibitors, hepatoprotectors, other HCV nucleoside inhibitors, HCV non-nucleoside inhibitors and other drugs to treat HCV.

[0171]Las combinaciones de los compuestos de Fórmula I-V se seleccionan típicamente en función de la condición a tratar, las reactividades cruzadas de los ingredientes y las farmaco-propiedades de la combinación. Por ejemplo, cuando se trata una infección (p. ej., VHC), las composiciones de la invención se combinan con otros agentes terapéuticos activos (como los descritos aquí).[0171] The combinations of the compounds of Formula IV are typically selected based on the condition to be treated, the cross-reactivities of the ingredients and the pharmaco-properties of the combination. For example, when an infection is treated (eg, HCV), the compositions of the invention are combined with other active therapeutic agents (such as those described herein).

[0172]Agentes o ingredientes terapéuticos activos adecuados que se pueden combinar con los compuestos de Fórmula I-V se incluyen interferones, por ejemplo, rIFN-alfa 2b pegilado, rIFN-alfa 2a pegilado, rIFN-alfa 2b, IFN alfa-2b XL, rIFN alfa 2a, consenso IFN alfa, infergen, rebif, locteron, AVI-005, PEG-infergen, IFN-beta pegilado, interferon alfa oral, ferón, reaferón, intermax alfa, r-IFN-beta, infergen actinmune, IFN-omega con DUROS y albuferon; análogos de ribavirina, por ejemplo, rebetol, copegus, VX-497 y viramidina (taribavirina); inhibidores de NS5a, por ejemplo, A-831, A-689 y BMS-790052; inhibidores de la polimerasa NS5b, por ejemplo, NM-283, valopicitabina, R1626, IDX184, PSI-7851, PSI-6130 (R1656), HCV-796, BILB 1941, MK-0608, NM-107, R7128, VCH-759, PF- 868554, GSK625433 y XTL-2125; inhibidores de la proteasa NS3, por ejemplo, SCH-503034 (SCH-7), VX-950 (Telaprevir), ITMN-191 y BILN-2065; inhibidores de alfa-glucosidasa 1, por ejemplo, MX-3253 (celgosivir) y UT-231B; hepatoprotectores, por ejemplo, IDN-6556, ME 3738, MitoQ y l B-84451; inhibidores no nucleósidos del VHC, por ejemplo, derivados de bencimidazol, derivados de benzo-1,2,4-tiadiazina y derivados de fenilalanina; y otros medicamentos para tratar el VHC, por ejemplo, zadaxina, nitazoxanida (alinea), BIVN-401 (virostat), DEBIO-025, VGX-410C, EMZ-702, AVI 4065, bavituximab, oglufanida, PYN-17, KPE02003002, actilon (CPG-10101), KRN-7000, civacir, GI-5005, ANA-975, XTL-6865, ANA 971, NOV-205, tarvacina, EHC-18 y NIM811.[0172] Suitable active therapeutic agents or ingredients that can be combined with the compounds of Formula IV include interferons, for example, pegylated rIFN-alpha 2b, pegylated rIFN-alpha 2a, rIFN-alpha 2b, IFN alpha-2b XL, rIFN alpha 2a, consensus IFN alpha, infergen, rebif, locteron, AVI-005, PEG-infergen, pegylated IFN-beta, oral interferon alpha, feron, reaferon, intermax alfa, r-IFN-beta, actinmune infergen, IFN-omega with HARD and albuferon; ribavirin analogues, for example, rebetol, copegus, VX-497 and viramidine (taribavirin); NS5a inhibitors, for example, A-831, A-689 and BMS-790052; NS5b polymerase inhibitors, for example, NM-283, valopicitabine, R1626, IDX184, PSI-7851, PSI-6130 (R1656), HCV-796, BILB 1941, MK-0608, NM-107, R7128, VCH-759 , PF- 868554, GSK625433 and XTL-2125; NS3 protease inhibitors, for example, SCH-503034 (SCH-7), VX-950 (Telaprevir), ITMN-191 and BILN-2065; alpha-glucosidase 1 inhibitors, for example, MX-3253 (celgosivir) and UT-231B; hepatoprotectors, for example, IDN-6556, ME 3738, MitoQ and B-84451; HCV non-nucleoside inhibitors, for example, benzimidazole derivatives, benzo-1,2,4-thiadiazine derivatives and phenylalanine derivatives; and other medicines to treat HCV, for example, zadaxin, nitazoxanide (aligns), BIVN-401 (virostat), DEBIO-025, VGX-410C, EMZ-702, AVI 4065, bavituximab, oglufanide, PYN-17, KPE02003002, actilon (CPG-10101), KRN-7000, civacir, GI-5005, ANA-975, XTL-6865, ANA 971, NOV-205, tarvacina, EHC-18 and NIM811.

[0173]En otra realización más, la presente solicitud da a conocer composiciones farmacéuticas que comprenden un compuesto de la presente invención, o una sal farmacéuticamente aceptable, solvato, y/o éster del mismo, en combinación con al menos un agente terapéutico adicional, y un portador o excipiente farmacéuticamente aceptable.[0173] In yet another embodiment, the present application discloses pharmaceutical compositions comprising a compound of the present invention, or a pharmaceutically acceptable salt, solvate, and / or ester thereof, in combination with at least one additional therapeutic agent, and a pharmaceutically acceptable carrier or excipient.

[0174]Según la presente invención, el agente terapéutico usado en combinación con el compuesto de la presente invención puede ser cualquier agente que tenga un efecto terapéutico cuando se usa en combinación con el compuesto de la presente invención. Por ejemplo, el agente terapéutico utilizado en combinación con el compuesto de la presente invención puede ser interferones, análogos de ribavirina, inhibidores de la proteasa NS3, inhibidores de NS5a, inhibidores de la polimerasa NS5b, inhibidores de la alfa-glucosidasa 1, inhibidores de la ciclofilina, hepatoprotectores, otros inhibidores de nucleósidos del VHC, inhibidores no nucleósidos del VHC y otras drogas para tratar el VHC.[0174] According to the present invention, the therapeutic agent used in combination with the compound of the present invention can be any agent that has a therapeutic effect when used in combination with the compound of the present invention. For example, the therapeutic agent used in combination with the compound of the present invention may be interferons, ribavirin analogs, NS3 protease inhibitors, NS5a inhibitors, NS5b polymerase inhibitors, alpha-glucosidase 1 inhibitors, inhibitors of Cyclophilin, hepatoprotectors, other HCV nucleoside inhibitors, HCV non-nucleoside inhibitors and other drugs to treat HCV.

[0175]En otra realización, la presente solicitud proporciona composiciones farmacéuticas que comprenden un compuesto de la presente invención, o una sal, solvato y/o éster farmacéuticamente aceptable del mismo, en combinación con al menos un agente terapéutico adicional seleccionado del grupo que consiste en rIFN-alfa 2b pegilado, rIFN-alfa 2a pegilado, rIFN-alfa 2b, IFN alfa-2b XL, rIFN-alfa 2a, consenso IFN alfa, infergen, rebif, locteron, AVI-005, PEG-infergen, IFN-beta pegilado, interferón alfa oral, ferón, reaferón, alfa intermax, r-IFN-beta, infergen actinmune, IFN-omega con DUROS, albuferón, rebetol, copegus, VX-497, viramidina (taribavirina), A-831, A-689, NM-283, valopicitabina, R1626, PSI-6130 (R1656), IDX184, PSI-7851, HCV-796, BILB 1941, MK-0608, NM-107, R7128, VCH-759, PF-868554, GSK625433, XTL-2125, SCH-503034 (SCH-7), VX-950 (Telaprevir), ITMN-191 y BILN-2065, MX-3253 (celgosivir), UT-231B, IDN-6556, ME 3738, MitoQ, y LB-84451, derivados de bencimidazol, derivados de benzo-1,2,4-tiadiazina y derivados de fenilalanina, zadaxina, nitazoxanida (alinea), BIVN-401 (virostat), DEBIO-025, VGX-410C, EMZ-702, AVI 4065, bavituximab, oglufanida, PYN-17, KPE02003002, actilon (CPG-10101), KRN-7000, civacir, GI-5005, ANA-975, XTL-6865, ANA 971, NOV-205, tarvacina, EHC-18 y NIM811 y un portador o excipiente farmacéuticamente aceptable.[0175] In another embodiment, the present application provides pharmaceutical compositions comprising a compound of the present invention, or a pharmaceutically acceptable salt, solvate and / or ester thereof, in combination with at least one additional therapeutic agent selected from the group consisting in pegylated rIFN-alpha 2b, pegylated rIFN-alpha 2a, rIFN-alpha 2b, IFN alpha-2b XL, rIFN-alpha 2a, IFN alpha consensus, infergen, rebif, locteron, AVI-005, PEG-infergen, IFN-beta pegylated, oral alpha interferon, feron, reaferon, alpha intermax, r-IFN-beta, actinmune infergen, IFN-omega with HARD, albuferon, rebetol, copegus, VX-497, viramidine (taribavirin), A-831, A-689 , NM-283, valopicitabine, R1626, PSI-6130 (R1656), IDX184, PSI-7851, HCV-796, BILB 1941, MK-0608, NM-107, R7128, VCH-759, PF-868554, GSK625433, XTL -2125, SCH-503034 (SCH-7), VX-950 (Telaprevir), ITMN-191 and BILN-2065, MX-3253 (celgosivir), UT-231B, IDN-6556, ME 3738, MitoQ, and LB- 84451, benzimidazole derivatives, deri fords of benzo-1,2,4-thiadiazine and derivatives of phenylalanine, zadaxin, nitazoxanide (aligns), BIVN-401 (virostat), DEBIO-025, VGX-410C, EMZ-702, AVI 4065, bavituximab, oglufanide, PYN -17, KPE02003002, actilon (CPG-10101), KRN-7000, civacir, GI-5005, ANA-975, XTL-6865, ANA 971, NOV-205, tarvacina, EHC-18 and NIM811 and a pharmaceutically carrier or excipient acceptable.

[0176]En otra realización más, la presente solicitud proporciona un agente farmacéutico combinado que comprende:[0176] In yet another embodiment, the present application provides a combined pharmaceutical agent comprising:

a) una primera composición farmacéutica que comprende un compuesto de la presente invención, o una sal, solvato o éster farmacéuticamente aceptable del mismo; ya) a first pharmaceutical composition comprising a compound of the present invention, or a pharmaceutically acceptable salt, solvate or ester thereof; Y

b) una segunda composición farmacéutica que comprende al menos un agente terapéutico adicional seleccionado del grupo que consiste en compuestos inhibidores de proteasa del VIH, inhibidores de VIH no nucleosídicos de la transcriptasa inversa, inhibidores nucleósidos de VIH de la transcriptasa inversa, los inhibidores de nucleótidos del VIH de la transcriptasa inversa, inhibidores de integrasa del VIH, inhibidores de gp41, inhibidores de CXCR4, inhibidores de gp120, inhibidores de CCR5, interferones, análogos de ribavirina, inhibidores de proteasa NS3, inhibidores de NS5a, inhibidores de alfa-glucosidasa 1, inhibidores de ciclofilina, hepatoprotectores, otros inhibidores de nucleósidos del VHC, inhibidores no nucleósidos de VHC y otras drogas para tratar el VHC y sus combinaciones.b) a second pharmaceutical composition comprising at least one additional therapeutic agent selected from the group consisting of HIV protease inhibitor compounds, non-nucleoside HIV reverse transcriptase inhibitors, HIV nucleoside reverse transcriptase inhibitors, nucleotide inhibitors HIV reverse transcriptase inhibitors, HIV integrase inhibitors, gp41 inhibitors, CXCR4 inhibitors, gp120 inhibitors, CCR5 inhibitors, interferons, ribavirin analogs, NS3 protease inhibitors, NS5a inhibitors, alpha-glucosidase 1 inhibitors , cyclophilin inhibitors, hepatoprotectors, other HCV nucleoside inhibitors, HCV non-nucleoside inhibitors and other drugs to treat HCV and its combinations.

[0177]Las combinaciones de los compuestos de Fórmula I-V y agentes terapéuticos activos adicionales se pueden seleccionar para tratar a pacientes infectados con VHC y otras afecciones, como infecciones por VIH. En consecuencia, los compuestos de Fórmula I-V pueden combinarse con uno o más compuestos útiles en el tratamiento del VIH, por ejemplo, compuestos inhibidores de la proteasa del VIH, inhibidores no nucleósidos del VIH de la transcriptasa inversa, inhibidores nucleósidos del VIH de la transcriptasa inversa, inhibidores nucleótidos del VIH de la transcriptasa inversa, inhibidores de la integrasa del VIH, inhibidores de gp41, inhibidores de CXCR4, inhibidores de gp120, inhibidores de CCR5, interferones, análogos de ribavirina, inhibidores de proteasa NS3, inhibidores de NS5a, inhibidores de alfa-glucosidasa 1, inhibidores de ciclofilina, hepatoprotectores, otros inhibidores de nucleósidos del VHC, inhibidores no nucleósidos del VHC y otras drogas para tratar el VHC.[0177] Combinations of the compounds of Formula IV and additional active therapeutic agents can be selected to treat patients infected with HCV and other conditions, such as HIV infections. Accordingly, compounds of Formula IV may be combined with one or more compounds useful in the treatment of HIV, for example, HIV protease inhibitor compounds, non-nucleoside reverse transcriptase HIV inhibitors, nucleoside transcriptase HIV inhibitors reverse, nucleotide reverse transcriptase HIV inhibitors, HIV integrase inhibitors, gp41 inhibitors, CXCR4 inhibitors, gp120 inhibitors, CCR5 inhibitors, interferons, ribavirin analogs, NS3 protease inhibitors, NS5a inhibitors, inhibitors of alpha-glucosidase 1, cyclophilin inhibitors, hepatoprotectors, other HCV nucleoside inhibitors, HCV non-nucleoside inhibitors and other drugs to treat HCV.

[0178]Más específicamente, uno o más compuestos de la presente invención pueden combinarse con uno o más compuestos seleccionados del grupo que consiste en 1) inhibidores de la proteasa del VIH, por ejemplo, amprenavir, atazanavir, fosamprenavir, indinavir, lopinavir, ritonavir, lopinavir ritonavir, nelfinavir, saquinavir, tipranavir, brecanavir, darunavir, TMC-126, TMC-114, mozenavir (DMP-450), JE-2147 (AG1776), AG1859, DG35, L-756423, RO0334649, KNI-272, DPC-681, DPC-684 y GW640385X, DG17, PPL-100, 2) un inhibidor no nucleósido del VIH de la transcriptasa inversa, por ejemplo, capravirina, emivirina, delaviridina, efavirenz, nevirapina, (+) calanolida A, etravirina, GW5634, DPC-083, DPC-961, DPC-963, MIV-150 y TMC-120, TMC-278 (rilpivirina), efavirenz, BILR 355 BS, VRX 840773, UK-453,061, RDEA806, 3) un inhibidor de nucleósidos del VIH de transcriptasa inversa, por ejemplo, zidovudina, emtricitabina, didanosina, estavudina, zalcitabina, lamivudina, abacavir, amdoxovir, elvucitabina, alovudina, MIV-210, racivir (6-FTC), D-d4FC, emtricitabina, fosfazida, fozivudina tidoxil, fosalvudina tidoxil, apricitibina (AVX754), amdoxovir, KP-1461, abacavir lamivudina, abacavir lamivudina zidovudina, zidovudina lamivudina, inhibidor de la transcripción de un inhibidor de VIH; tenofovir disoproxil fumarato emtricitabina, tenofovir disoproxil fumarato emtricitabina efavirenz y adefovir, 5) un inhibidor de la integrasa del VIH, p. ej., curcumina, derivados de la curcumina, ácido chicórico, derivados del ácido chicórico, ácido 3,5-dicafeoilquínico, derivados de ácido 3,5-dicafeoilquínico, ácido aurintricarboxílico, derivados del ácido aurintricarboxílico, éster fenetílico del ácido cafeico, derivados del éster fenetílico del ácido cafeico, tirfostina, derivados de la tirfostina, quercetina, derivados de la quercetina, S-1360, zintevir (AR-177), L-870812 y L-870810, MK-0518 (raltegravir), BMS-707035, MK-2048, BA-011, BMS- 538158, GSK364735C, 6) un inhibidor de gp41, por ejemplo, enfuvirtida, sifuvirtida, FB006M, TRI-1144, SPC3, DES6, Locus gp41, CovX y REp 9, 7) un inhibidor de CXCR4, por ejemplo, AMD-070, 8) un inhibidor de entrada, por ejemplo, SP01A, TNX-355, 9) un inhibidor de gp120, por ejemplo, Bm S-488043 y BlockAide/CR, 10) un inhibidor de G6PD y NADH-oxidasa, por ejemplo, inmunitina, 10) un inhibidor de CCR5, por ejemplo, aplaviroc, vicriviroc, INCB9471, PRO-140, INCB15050, PF-232798, CCR5mAb004, y maraviroc, 11) un interferón, por ejemplo, rIFN-alfa 2b pegilado, rIFN-alfa 2a pegilado, rIFN-alfa 2b, IFN alfa-2b XL, rIFN-alfa 2a, consenso If N alfa, infergen, rebif, locteron, AVI-005, PEG-infergen, IFN-beta pegilado, interferón alfa oral, ferón, reaferón, intermax alfa, r-IFN-beta, infergen actinmune, IFN-omega con DUROS y albuferón, 12) análogos de ribavirina, por ejemplo, rebetol, copegus, VX-497 y viramidina (taribavirina) 13) inhibidores de NS5a, por ejemplo, A-831, A-689 y Bm S-790052, 14) inhibidores de la polimerasa NS5b, por ejemplo, NM-283, valopicitabina, R1626, PSI-6130 (R1656), IDX184, PSI-7851, HCV-796, BILB 1941, MK-0608, NM-107, R7128, VCH-759, PF-868554, GSK625433 y XTL-2125, 15) inhibidores de la proteasa NS3, p. ej., SCH-503034 (SCH-7), VX-950 (Telaprevir), ITMN-191 y BILN-2065, 16) inhibidores de la alfa-glucosidasa 1, p. ej., Mx -3253 (celgosivir) y UT-231B, 17) hepatoprotectores, por ejemplo, IDN-6556, ME 3738, MitoQ y LB-84451, 18) inhibidores no nucleósidos del VHC, por ejemplo, derivados de bencimidazol, derivados de benzo-1,2,4-tiadiazina, y derivados de fenilalanina, 19) otros medicamentos para tratar el VHC, por ejemplo, zadaxina, nitazoxanida (alinea), BIVN-401 (virostat), DEBIO-025, VGX-410C, EMZ-702, AVI 4065, bavituximab, oglufanida, PYN-17, KPE02003002, actilon (CPG-10101), KRN-7000, civacir, GI-5005, ANA-975, XTL-6865, ANA 971, NOV-205, tarvacina, EHC-18 y NIM811, 19) potenciadores farmacocinéticos, por ejemplo, BAS-100 y SPI452, 20) inhibidores de la ARNasa H, por ejemplo, o Dn -93 y ODN-112, 21) otros agentes anti-VIH, por ejemplo, VGV-1, PA-457 (bevirimat), amplígeno, HRG214, citolina, polimun, VGX-410, KD247, AMZ 0026, CYT 99007, A-221 HIV, BAY 50-4798, MDX010 (iplimumab), PBS119, ALG889 y PA-1050040.[0178] More specifically, one or more compounds of the present invention may be combined with one or more compounds selected from the group consisting of 1) HIV protease inhibitors, for example, amprenavir, atazanavir, fosamprenavir, indinavir, lopinavir, ritonavir , lopinavir ritonavir, nelfinavir, saquinavir, tipranavir, brecanavir, darunavir, TMC-126, TMC-114, mozenavir (DMP-450), JE-2147 (AG1776), AG1859, DG35, L-756423, RO0334649, KNI-272, DPC-681, DPC-684 and GW640385X, DG17, PPL-100, 2) a non-nucleoside reverse transcriptase HIV inhibitor, for example, capravirin, emivirine, delaviridine, efavirenz, nevirapine, (+) calanolide A, etravirine, GW5634, DPC-083, DPC-961, DPC-963, MIV-150 and TMC-120, TMC-278 (rilpivirine), efavirenz, BILR 355 BS, VRX 840773, UK-453,061, RDEA806, 3) a nucleoside inhibitor HIV reverse transcriptase, for example, zidovudine, emtricitabine, didanosine, stavudine, zalcitabine, lamivudine, abacavir, amdoxovir, elvuci tabina, alovudine, MIV-210, racivir (6-FTC), D-d4FC, emtricitabine, phosphazide, fozivudine tidoxil, fosalvudine tidoxil, apricitibin (AVX754), amdoxovir, KP-1461, abacavir lamivudine, abacamidov, lamivinavido lamivudud inhibitor of transcription of an HIV inhibitor; Tenofovir disoproxil emtricitabine fumarate, tenofovir disoproxil emtricitabine efavirenz and adefovir, 5) an HIV integrase inhibitor, p. eg, curcumin, curcumin derivatives, chicoric acid, chicoric acid derivatives, 3,5-dicafeoilquinic acid, 3,5-dicafeoylquinic acid derivatives, aurintricarboxylic acid, aurintricarboxylic acid derivatives, caffeic acid phenethyl ester, Phenethyl ester of caffeic acid, thyrfostine, derivatives of thyrfostine, quercetin, derivatives of quercetin, S-1360, zintevir (AR-177), L-870812 and L-870810, MK-0518 (raltegravir), BMS-707035, MK-2048, BA-011, BMS- 538158, GSK364735C, 6) a gp41 inhibitor, for example, enfuvirtide, sifuvirtide, FB006M, TRI-1144, SPC3, DES6, Locus gp41, CovX and REp 9, 7) an inhibitor of CXCR4, for example, AMD-070, 8) an input inhibitor, for example, SP01A, TNX-355, 9) an inhibitor of gp120, for example, Bm S-488043 and BlockAide / CR, 10) an inhibitor of G6PD and NADH oxidase, for example, immunitin, 10) a CCR5 inhibitor, for example, aplaviroc, vicriviroc, INCB9471, PRO-140, INCB15050, PF-232798, CCR5mAb004, and Maraviroc, 11) an interferon, for example, pegylated rIFN-alpha 2b, pegylated rIFN-alpha 2a, rIFN-alpha 2b, IFN alpha-2b XL, rIFN- alpha 2a, consensus If N alpha, infergen, rebif, locteron, AVI-005, PEG-infergen, pegylated IFN-beta, oral alpha interferon, feron, reaferon, intermax alfa, r-IFN-beta, actinmune infergen, IFN-omega with DUROS and albuferon, 12) ribavirin analogues, for example, rebetol, copegus, VX-497 and viramidine (taribavirin) 13) NS5a inhibitors, for example, A-831, A-689 and Bm S-790052, 14) NS5b polymerase inhibitors, for example, NM-283, valopicitabine, R1626, PSI-6130 (R1656), IDX184, PSI-7851, HCV-796, BILB 1941, MK-0608, NM-107, R7128, VCH-759 , PF-868554, GSK625433 and XTL-2125, 15) NS3 protease inhibitors, p. eg, SCH-503034 (SCH-7), VX-950 (Telaprevir), ITMN-191 and BILN-2065, 16) alpha-glucosidase 1 inhibitors, p. eg, Mx -3253 (celgosivir) and UT-231B, 17) hepatoprotectors, for example, IDN-6556, ME 3738, MitoQ and LB-84451, 18) HCV non-nucleoside inhibitors, for example, benzimidazole derivatives, derivatives of benzo-1,2,4-thiadiazine, and phenylalanine derivatives, 19) other medicines to treat HCV, for example, zadaxin, nitazoxanide (aligns), BIVN-401 (virostat), DEBIO-025, VGX-410C, EMZ-702, AVI 4065, bavituximab, oglufanide, PYN-17, KPE02003002, actilon (CPG-10101), KRN-7000, civacir, GI-5005, ANA-975, XTL-6865, ANA 971, NOV-205, tarvacina , EHC-18 and NIM811, 19) pharmacokinetic enhancers, for example, BAS-100 and SPI452, 20) RNase H inhibitors, for example, or Dn -93 and ODN-112, 21) other anti-HIV agents, for example, VGV-1, PA-457 (bevirimat), amplifier, HRG214, citoline, polyimun, VGX-410, KD247, AMZ 0026, CYT 99007, A-221 HIV, BAY 50-4798, MDX010 (iplimumab), PBS119, ALG889 and PA-1050040.

[0179]Para el tratamiento de infecciones por virusParamyxoviridae,preferiblemente, el otro agente terapéutico activo es activo contra infecciones por virusParamyxoviridae,particularmente infecciones por virus sincitial respiratorio y/o infecciones por virus parainfluenza. Ejemplos no limitantes de estos otros agentes terapéuticos activos son ribavirina y/o palivizumab.[0179] For the treatment ofParamyxoviridae virus infections, preferably, the other active therapeutic agent is active againstParamyxoviridae virus infections, particularly respiratory syncytial virus infections and / or parainfluenza virus infections. Non-limiting examples of these other active therapeutic agents are ribavirin and / or palivizumab.

[0180]Para el tratamiento de las infecciones por el virusOrthomyxoviridae,preferiblemente, el otro agente terapéutico activo es activo contra las infecciones por el virusOrthomyxoviridae,particularmente las infecciones por el virus de la influenza. Ejemplos no limitantes de estos otros agentes terapéuticos activos son los inhibidores virales de neuramidasa y/o los inhibidores virales del canal M2. Ejemplos no limitantes de inhibidores de neuramidasa incluyen oseltamivir, zanamivir, laninamivir y peramivir. Ejemplos no limitantes de inhibidores virales del canal M2 incluyen amantadina y rimantadina.[0180] For the treatment ofOrthomyxoviridae virus infections, preferably, the other active therapeutic agent is active againstOrthomyxoviridae virus infections, particularly influenza virus infections. Non-limiting examples of these other active therapeutic agents are viral neuramidase inhibitors and / or M2 channel viral inhibitors. Non-limiting examples of neuramidase inhibitors include oseltamivir, zanamivir, laninamivir and peramivir. Non-limiting examples of viral M2 channel inhibitors include amantadine and rimantadine.

[0181]Para el tratamiento de las infecciones por el virusPicornaviridae,preferiblemente, el otro agente terapéutico activo es activo contra las infecciones por el virusPicornaviridae,particularmente las infecciones por enterovirus. Ejemplos no limitantes de estos otros agentes terapéuticos activos son los inhibidores de unión a la cápside, tales como pleconaril, BTA-798 y otros compuestos descritos por Wu, et al. (US 7,078,403) y Watson (US 7,166,604).[0181] For the treatment ofPicornaviridae virus infections, preferably, the other active therapeutic agent is active againstPicornaviridae virus infections, particularly enterovirus infections. Non-limiting examples of these other active therapeutic agents are capsid binding inhibitors, such as pleconaril, BTA-798 and other compounds described by Wu, et al. (US 7,078,403) and Watson (US 7,166,604).

[0182]Muchas de las infecciones de los virusParamyxoviridae, OrthomyxoviridaeyPicornaviridaeson infecciones respiratorias. Por lo tanto, se pueden usar terapias activas adicionales para tratar síntomas respiratorios y secuelas de infección en combinación con los compuestos de Fórmula I-V. Por ejemplo, otros agentes terapéuticos adicionales preferidos en combinación con los compuestos de Fórmula I-V para el tratamiento de infecciones respiratorias virales incluyen, pero no se limitan a broncodilatadores y corticosteroides. Los glucocorticoides, que se introdujeron por primera vez como una terapia para el asma en 1950 (Carryer, Journal of Allergy, 21,282-287, 1950), siguen siendo la terapia más potente y consistentemente efectiva para esta enfermedad, aunque su mecanismo de acción aún no se comprende completamente (Morris, J. Allergy Clin. Immunol., 75 (1 Pt) 1-13, 1985). Desafortunadamente, las terapias de glucocorticoides orales están asociadas con profundos efectos secundarios indeseables, como obesidad troncal, hipertensión, glaucoma, intolerancia a la glucosa, aceleración de la formación de cataratas, pérdida mineral ósea y efectos psicológicos, todo lo cual limita su uso como agentes terapéuticos a largo plazo. (Goodman y Gilman, 10a edición, 2001). Una solución a los efectos secundarios sistémicos es administrar medicamentos esteroides directamente al sitio de la inflamación. Los corticosteroides inhalados (SCI) se han desarrollado para mitigar los efectos adversos graves de los esteroides orales. Ejemplos no limitantes de corticosteroides que pueden usarse en combinaciones con los compuestos de Fórmula I-V son dexametasona, fosfato sódico de dexametasona, fluorometolona, acetato de fluorometolona, loteprednol, loteprednol etabonato, hidrocortisona, prednisolona, fludrocortisonas, triamcinolona, triamcinolhasacetonona, betaclometasona, acetonida, betaclometasona, acetonida, betaclometasona, acetonida, metilprednisolona, fluocinolona, acetonida de fluocinolona, flunisolida, fluortina-21-butilato, flumetasona, pivalato de flumetasona, budesonida, propionato de halobetasol, furoato de mometasona, propionato de fluticasona, ciclesonida; o una de sus sales farmacéuticamente aceptables.[0182] Many of the infections of theParamyxoviridae, Orthomyxoviridae andPicornaviridae viruses are respiratory infections. Therefore, additional active therapies can be used to treat respiratory symptoms and sequelae of infection in combination with the compounds of Formula IV. For example, other preferred additional therapeutic agents in combination with the compounds of Formula IV for the treatment of viral respiratory infections include, but are not limited to bronchodilators and corticosteroids. Glucocorticoids, which were first introduced as an asthma therapy in 1950 (Carryer, Journal of Allergy, 21,282-287, 1950), remain the most potent and consistently effective therapy for this disease, although their mechanism of action is still not fully understood (Morris, J. Allergy Clin. Immunol., 75 (1 Pt) 1-13, 1985). Unfortunately, oral glucocorticoid therapies are associated with profound undesirable side effects, such as trunk obesity, hypertension, glaucoma, glucose intolerance, acceleration of cataract formation, bone mineral loss and psychological effects, all of which limit their use as agents Long-term therapeutic. (Goodman and Gilman, 10th edition, 2001). One solution to systemic side effects is to administer steroid medications directly to the site of inflammation. Inhaled corticosteroids (SCI) have been developed to mitigate the serious adverse effects of oral steroids. Non-limiting examples of corticosteroids that can be used in combinations with the compounds of Formula IV are dexamethasone, dexamethasone sodium phosphate, fluorometolone, fluorometholone acetate, loteprednol, loteprednol ethabonate, hydrocortisone, prednisolone, fludrocortisone, triamcinoloneone betaone, triamcinoloneone, beta-acetononeone, beta-acetononeone, beta-acetononeone, beta-acetononeone, beta-acetononeone, beta-acetononeone, beta-acetononeone, beta-acetononeone, beta-acetonone, beta-acetonone, beta-acetonone, beta-acetononeone, beta-acetonone, beta-acetonone, beta-acetonone, beta-acetononeone , acetonide, betaclomethasone, acetonide, methylprednisolone, fluocinolone, fluocinolone acetonide, flunisolide, fluortin-21-butylate, flumetasone, flumetasone pivalate, budesonide, halobetasol propionate, mometasone cytasone, propionate, flutonautic acid; or one of its pharmaceutically acceptable salts.

[0183]Otros agentes antiinflamatorios que funcionan a través de mecanismos antiinflamatorios en cascada también son útiles como agentes terapéuticos adicionales en combinación con los compuestos de Fórmula I-V para el tratamiento de infecciones respiratorias virales. Aplicando "moduladores de la transducción de señales antiinflamatorias" (en este texto denominado AISTM), como inhibidores de la fosfodiesterasa (p. ej., PDE-4, PDE-5 o PDE-7 específicos), inhibidores del factor de transcripción (p. ej., bloqueo de NFkB a través de la inhibición de IKK), o inhibidores de la quinasa (p. ej., el bloqueo de P38 mAp , JNK, PI3K, EGFR o Syk) es un enfoque lógico para desactivar la inflamación ya que estas pequeñas moléculas se dirigen a un número limitado de vías intracelulares comunes: esas vías de transducción de señales que son puntos críticos para la intervención terapéutica antiinflamatoria (ver revisión de PJ Barnes, 2006). Estos agentes terapéuticos adicionales no limitantes incluyen: 5-(2,4-difluoro-fenoxi)-1-isobutil-1H-indazol-6-ácido carboxílico (2-dimetilamino-etil)-amida (inhibidor de la mapa quinasa P38 ARRY-797); 3cidopropilmetoxi-N-(3,5-didoro-piridin-4-il)-4-difluorormetoxi-benzamida (inhibidor de PDE-4 Roflumilast); 4-[2-(3-cidopentiloxi-4-metoxifenil)-2-fenil-etil]-piridina (inhibidor de PDE-4 CDP-840); N-(3,5-dicloro-4-piridinil)-4-(difluorometoxi)-8-[(metilsulfonil)amino]-1-dibenzofurancarboxamida (inhibidor de PDE-4 Oglemilast); N-(3,5-dicloropiridin-4-il)-2-[1-(4-fluorobencil)-5-hidroxi-1H-indol-3-il]-2-oxo-acetamida (inhibidor PDE-4 AWD 12-281); 8-metoxi-2-trifluor-ometil-quinolin-5-ácido carboxílico (3,5-dicloro-1-oxi-piridin-4-il)-amida (inhibidor de PDE-4 Sch 351591); 4-[5-(4-fluorofenil)-2-(4-metanosulfinil-fenil)-1H-imidazol-4-il]-piridina (inhibidor de P38 SB-203850); 4-[4-(4-Fluoro-fenil)-1-(3-fenil-propií)-5-piridin-4-il-1H-imidazol-2-il]-but-3-in-1-ol (Inhibidor de P38 RWJ-67657); 4-ciano-4-(3-ciclopentiloxi-4-metoxi-fenil)-ácido ciclohexanocarboxílico 2-dietilamino-etil éster (profármaco 2-dietil-etil éster de Cilomilast, inhibidor de PDE-4); (3-cloro-4-fluorofenil)-[7-metoxi-6-(3-morfolin-4-il-propoxi)-quinazolin-4-il]-amina (Gefitinib, inhibidor de EGFR); y 4-(4-metil-piperazin-1-ilmetil)-N-[4-metil-3-(4-piridin-3-il-pirimidin-2-ilamino)-fenil]-benzamida (Imatinib, EGFR inhibidor)[0183] Other anti-inflammatory agents that function through cascading anti-inflammatory mechanisms are also useful as additional therapeutic agents in combination with the compounds of Formula IV for the treatment of viral respiratory infections. Applying "anti-inflammatory signal transduction modulators" (in this text called AISTM), such as phosphodiesterase inhibitors (eg, specific PDE-4, PDE-5 or PDE-7), transcription factor inhibitors (p e.g., blocking NFk B through inhibition of IKK), or kinase inhibitors (e.g., blocking of P38 mAp, JNK, PI3K, EGFR or Syk) is a logical approach to deactivate inflammation since these small molecules target a limited number of common intracellular pathways: those signal transduction pathways that are critical points for therapeutic anti-inflammatory intervention (see review by PJ Barnes, 2006). These additional non-limiting therapeutic agents include: 5- (2,4-Difluoro-phenoxy) -1-isobutyl-1H-indazol-6-carboxylic acid (2-dimethylamino-ethyl) -amide (P38 map kinase inhibitor ARRY- 797); 3cidopropylmethoxy-N- (3,5-didoro-pyridin-4-yl) -4-difluororomethoxy-benzamide (PDE-4 inhibitor Roflumilast); 4- [2- (3-Cidopentyloxy-4-methoxyphenyl) -2-phenyl-ethyl] -pyridine (PDE-4 CDP-840 inhibitor); N- (3,5-dichloro-4-pyridinyl) -4- (difluoromethoxy) -8 - [(methylsulfonyl) amino] -1-dibenzofurancarboxamide (PDE-4 Oglemilast inhibitor); N- (3,5-dichloropyridin-4-yl) -2- [1- (4-fluorobenzyl) -5-hydroxy-1H-indol-3-yl] -2-oxo-acetamide (PDE-4 AWD 12 inhibitor -281); 8-methoxy-2-trifluor-omethyl-quinolin-5-carboxylic acid (3,5-dichloro-1-oxy-pyridin-4-yl) -amide (PDE-4 Sch 351591 inhibitor); 4- [5- (4-fluorophenyl) -2- (4-methanesulfinyl-phenyl) -1H-imidazol-4-yl] -pyridine (P38 inhibitor SB-203850); 4- [4- (4-Fluoro-phenyl) -1- (3-phenyl-propií) -5-pyridin-4-yl-1H-imidazol-2-yl] -but-3-in-1-ol ( P38 inhibitor RWJ-67657); 4-cyano-4- (3-cyclopentyloxy-4-methoxy-phenyl) -cyclohexanecarboxylic acid 2-diethylamino-ethyl ester (Cylomilast 2-diethyl-ethyl ester prodrug, PDE-4 inhibitor); (3-Chloro-4-fluorophenyl) - [7-methoxy-6- (3-morpholin-4-yl-propoxy) -quinazolin-4-yl] -amine (Gefitinib, EGFR inhibitor); and 4- (4-methyl-piperazin-1-ylmethyl) -N- [4-methyl-3- (4-pyridin-3-yl-pyrimidin-2-ylamino) -phenyl] -benzamide (Imatinib, EGFR inhibitor)

[0184]Las combinaciones que comprenden broncodilatadores agonistas de p2-adrenoreceptor inhalados tales como formoterol, albuterol o salmeterol con los compuestos de Fórmula I-V también son combinaciones adecuadas, pero no limitantes, útiles para el tratamiento de infecciones virales respiratorias.[0184] Combinations comprising inhaled p2-adrenoreceptor agonist bronchodilators such as formoterol, albuterol or salmeterol with the compounds of Formula IV are also suitable, but not limiting, combinations useful for the treatment of respiratory viral infections.

[0185]Las combinaciones de broncodilatadores agonistas de p2-adrenoreceptor inhalados tales como formoterol o salmeterol con ICS también se usan para tratar tanto la broncoconstricción como la inflamación (Symbicort® y Advair®, respectivamente). Las combinaciones que comprenden estas combinaciones de ICS y agonista de los receptores p2-adrenérgicos junto con los compuestos de Fórmula I-V también son combinaciones adecuadas, pero no limitantes, útiles para el tratamiento de infecciones virales respiratorias.[0185] Combinations of inhaled p2-adrenoreceptor agonist bronchodilators such as formoterol or salmeterol with ICS are also used to treat both bronchoconstriction and inflammation (Symbicort® and Advair®, respectively). The combinations comprising these combinations of ICS and p2-adrenergic receptor agonist together with the compounds of Formula IV are also suitable, but not limiting, combinations useful for the treatment of respiratory viral infections.

[0186]Para el tratamiento o la profilaxis de la broncoconstricción pulmonar, los anticolinérgicos son de uso potencial y, por lo tanto, útiles como agentes terapéuticos adicionales en combinación con los compuestos de Fórmula I-V para el tratamiento de infecciones respiratorias virales. Estos anticolinérgicos incluyen, entre otros, antagonistas del receptor muscarínico (particularmente del subtipo M3) que han demostrado eficacia terapéutica en el hombre para el control del tono colinérgico en la EPOC (Witek, 1999); 1-{4-hidroxi-1-[3,3,3-tris-(4-fluoro-fenil)-propionil]-pirrolidina-2-carbonil}-pirrolidina-2-ácido carboxílico (1-metil-piperidin-4-ilmetil)-amida; 3-[3-(2-dietilamino-acetoxi)-2-fenilpropioniloxi]-8-isopropil-8-metil-8-azonia-biciclo[3,2,1]octano (ipratropio-N,N-dietilglicinato); 1-ciclohexil-3,4-dihidro-1H-isoquinolin-2-ácido carboxílico 1-azabiciclo[2,2,2]oct-3-il éster (solifenacina); 2-hidroximetil-4-metanosulfinil-2-ácido fenilbutírico 1-éster de aza-biciclo[2,2,2]oct-3-il (revatropato); 2-{1-[2-(2,3-dihidrobenzofuran-5-il)-etil]-pirrolidin-3-il}-2,2-difenil-acetamida (darifenacina); 4-azepan-1-il-2,2-difenil-butiramida (buzepida); 7-[3-(2-dietilamino-acetoxi)-2- fenil-propioniloxi]-9-etil-9-metil-3-oxa-9-azonia-triciclo[3,3,1,02,4]nonano (Oxitropio-N,N-dietilglicinato); 7-[2-(2-ditilamino-acetoxi)-2,2-di-tiofen-2-il-acetoxi]-9,9-dimetil-3-oxa-9-azonia-triciclo[3,3,1,02,4]nonano (tiotropio-N,N-dietilglicinato); ácido dimetilaminoacético 2-(3-diisopropilamino-1-fenil-propil)-4-metil-fenil éster (Tolterodina-N,N-dimetilglicinato); 3-[4,4-Bis-(4-fluoro-fenil)-2-oxo-imidazolidin-1-il]-1-metil-1-(2-oxo-2-piridin-2-il-etil)-pirrolidinio; 1-[1-(3-fluoro-bencil)-piperidin-4-il]-4,4-bis-(4-fluoro-fenil)-imidazolidin-2-ona; -Ciclooctil-3-(3-metoxi-1-azabiciclo[2,2,2]oct-3- il)-1-fenil-prop-2-in-1-ol; 3-[2-(2-Dietilamino-acetoxi)-2,2-ditiofen-2-il-acetoxi]-1-(3-fenoxi-propil)-1-azoniabiciclo[2,2,2]octano (Aclidinio-N,N-dietilglicinato); o (2-Dietilamino-acetoxi)-di-tiofen-2-il-ácido acético 1-metil-1-(2-fenoxi-etil)-piperidin-4-il éster.[0186] For the treatment or prophylaxis of pulmonary bronchoconstriction, anticholinergics are of potential use and, therefore, useful as additional therapeutic agents in combination with the compounds of Formula IV for the treatment of viral respiratory infections. These anticholinergics include, among others, muscarinic receptor antagonists (particularly of the M3 subtype) that have demonstrated therapeutic efficacy in man for the control of cholinergic tone in COPD (Witek, 1999); 1- {4-hydroxy-1- [3,3,3-tris- (4-fluoro-phenyl) -propionyl] -pyrrolidine-2-carbonyl} -pyrrolidine-2-carboxylic acid (1-methyl-piperidin-4 -ylmethyl) -amide; 3- [3- (2-Diethylamino-acetoxy) -2-phenylpropionyloxy] -8-isopropyl-8-methyl-8-azonia-bicyclo [3,2,1] octane (ipratropium-N, N-diethylglycinate); 1-cyclohexyl-3,4-dihydro-1H-isoquinolin-2-carboxylic acid 1-azabicyclo [2,2,2] oct-3-yl ester (solifenacin); 2-hydroxymethyl-4-methanesulfinyl-2-phenylbutyric acid 1-aza-bicyclo ester [2,2,2] oct-3-yl (revatropate); 2- {1- [2- (2,3-dihydrobenzofuran-5-yl) -ethyl] -pyrrolidin-3-yl} -2,2-diphenyl-acetamide (darifenacin); 4-azepan-1-yl-2,2-diphenyl-butyramide (buzepide); 7- [3- (2-Diethylamino-acetoxy) -2-phenyl-propionyloxy] -9-ethyl-9-methyl-3-oxa-9-azonia-tricycle [3,3,1,02,4] nonane ( Oxitropio-N, N-diethylglycinate); 7- [2- (2-Dithylamino-acetoxy) -2,2-di-thiophene-2-yl-acetoxy] -9,9-dimethyl-3-oxa-9-azonia-tricycle [3,3,1, 02.4] nonane (tiotropium-N, N-diethylglycinate); dimethylaminoacetic acid 2- (3-diisopropylamino-1-phenyl-propyl) -4-methyl-phenyl ester (Tolterodine-N, N-dimethylglycinate); 3- [4,4-Bis- (4-fluoro-phenyl) -2-oxo-imidazolidin-1-yl] -1-methyl-1- (2-oxo-2-pyridin-2-yl-ethyl) - pyrrolidinium; 1- [1- (3-Fluoro-benzyl) -piperidin-4-yl] -4,4-bis- (4-fluoro-phenyl) -imidazolidin-2-one; -Cyclooctyl-3- (3-methoxy-1-azabicyclo [2,2,2] oct-3- il) -1-phenyl-prop-2-in-1-ol; 3- [2- (2-Diethylamino-acetoxy) -2,2-dithiophene-2-yl-acetoxy] -1- (3-phenoxy-propyl) -1-azoniabicyclo [2,2,2] octane (Aclidinium- N, N-diethylglycinate); or (2-Diethylamino-acetoxy) -di-thiophene-2-yl-acetic acid 1-methyl-1- (2-phenoxy-ethyl) -piperidin-4-yl ester.

[0187]Los compuestos de Fórmula I-V también se pueden combinar con agentes mucolíticos para tratar tanto la infección y los síntomas de las infecciones respiratorias. Un ejemplo no limitante de un agente mucolítico es el ambroxol. Del mismo modo, los compuestos de Fórmula I-V pueden combinarse con expectorantes para tratar tanto la infección como los síntomas de las infecciones respiratorias. Un ejemplo no limitativo de un expectorante es la guaifenesina.[0187] The compounds of Formula IV can also be combined with mucolytic agents to treat both the infection and the symptoms of respiratory infections. A non-limiting example of a mucolytic agent is ambroxol. Similarly, the compounds of Formula IV can be combined with expectorants to treat both the infection and the symptoms of respiratory infections. A non-limiting example of an expectorant is guaifenesin.

[0188]También es posible combinar cualquier compuesto de la invención con uno o más de otros agentes terapéuticos activos en una forma de dosificación unitaria para administración simultánea o secuencial a un paciente. La terapia combinada puede administrarse como un régimen simultáneo o secuencial. Cuando se administra secuencialmente, la combinación puede administrarse en dos o más administraciones.[0188] It is also possible to combine any compound of the invention with one or more other active therapeutic agents in a unit dosage form for simultaneous or sequential administration to a patient. Combined therapy can be administered as a simultaneous or sequential regimen. When administered sequentially, the combination can be administered in two or more administrations.

[0189]La administración conjunta de un compuesto de la invención con uno o más de otros agentes terapéuticos activos generalmente se refiere a la administración simultánea o secuencial de un compuesto de la invención y uno o más de otros agentes terapéuticos activos, de modo que cantidades terapéuticamente eficaces del compuesto de la invención y uno o más agentes terapéuticos activos están presentes en el cuerpo del paciente.[0189] The co-administration of a compound of the invention with one or more other active therapeutic agents generally refers to the simultaneous or sequential administration of a compound of the invention and one or more other active therapeutic agents, so that amounts Therapeutically effective of the compound of the invention and one or more active therapeutic agents are present in the patient's body.

[0190]La administración conjunta incluye la administración de dosis unitarias de los compuestos de la invención antes o después de la administración de dosis unitarias de uno o más de otros agentes terapéuticos activos, por ejemplo, la administración de los compuestos de la invención en segundos, minutos, u horas de la administración de uno o más agentes terapéuticos activos adicionales. Por ejemplo, una dosis unitaria de un compuesto de la invención se puede administrar primero, seguido en segundos o minutos por la administración de una dosis unitaria de uno o más de otros agentes terapéuticos activos. Alternativamente, se puede administrar primero una dosis unitaria de uno o más de otros agentes terapéuticos, seguido de la administración de una dosis unitaria de un compuesto de la invención en segundos o minutos. En algunos casos, puede ser deseable administrar primero una dosis unitaria de un compuesto de la invención, seguido, después de un período de horas (por ejemplo, 1-12 horas), por la administración de una dosis unitaria de uno o más de otros agentes terapéuticos activos. En otros casos, puede ser deseable administrar una dosis unitaria de uno o más agentes terapéuticos activos primero, seguido, después de un período de horas (por ejemplo, 1-12 horas), por la administración de una dosis unitaria de un compuesto de la invención.[0190] Joint administration includes administration of unit doses of the compounds of the invention before or after administration of unit doses of one or more other active therapeutic agents, for example, administration of the compounds of the invention in seconds. , minutes, or hours of administration of one or more additional active therapeutic agents. For example, a unit dose of a compound of the invention may be administered first, followed in seconds or minutes by the administration of a unit dose of one or more other active therapeutic agents. Alternatively, a unit dose of one or more other therapeutic agents may be administered first, followed by the administration of a unit dose of a compound of the invention in seconds or minutes. In some cases, it may be desirable to first administer a unit dose of a compound of the invention, followed, after a period of hours (for example, 1-12 hours), by the administration of a unit dose of one or more other active therapeutic agents. In other cases, it may be desirable to administer a unit dose of one or more active therapeutic agents first, followed, after a period of hours (for example, 1-12 hours), by the administration of a unit dose of a compound of the invention.

[0191]La terapia de combinación puede proporcionar "sinergia" y "sinérgico", es decir, el efecto logrado cuando los ingredientes activos usados juntos es mayor que la suma de los efectos que resultan del uso de los compuestos por separado. Se puede lograr un efecto sinérgico cuando los ingredientes activos son: (1) co-formulados y administrados o administrados simultáneamente en una formulación combinada; (2) entregados por alternancia o en paralelo como formulaciones separadas; o (3) por algún otro régimen. Cuando se administra en terapia de alternancia, se puede lograr un efecto sinérgico cuando los compuestos se administran o entregan secuencialmente, por ejemplo, en tabletas, píldoras o cápsulas separadas, o mediante diferentes inyecciones en jeringas separadas. En general, durante la terapia de alternancia, una dosis efectiva de cada ingrediente activo se administra secuencialmente, es decir, en serie, mientras que en la terapia de combinación, las dosis efectivas de dos o más ingredientes activos se administran juntas. Un efecto antivírico sinérgico denota un efecto antiviral que es mayor que los efectos puramente aditivos predichos de los compuestos individuales de la combinación.[0191] Combination therapy can provide "synergy" and "synergy," that is, the effect achieved when the active ingredients used together is greater than the sum of the effects that result from the use of the compounds separately. A synergistic effect can be achieved when the active ingredients are: (1) co-formulated and administered or administered simultaneously in a combined formulation; (2) delivered by alternation or in parallel as separate formulations; or (3) by some other regime. When administered in alternating therapy, a synergistic effect can be achieved when the compounds are administered or delivered sequentially, for example, in separate tablets, pills or capsules, or by different injections into separate syringes. In general, during alternation therapy, an effective dose of each active ingredient is administered sequentially, that is, in series, while in combination therapy, effective doses of two or more active ingredients are administered together. A synergistic antiviral effect denotes an antiviral effect that is greater than the predicted purely additive effects of the individual compounds in the combination.

[0192]En otra realización más, la presente solicitud proporciona métodos para inhibir la polimerasa de VHC en una célula, que comprende: poner en contacto una célula infectada con VHC con una cantidad eficaz de un compuesto de Fórmula I-V, o un solvato de sal farmacéuticamente aceptable, y/o éster del mismo, por lo que se inhibe la polimerasa del VHC.[0192] In yet another embodiment, the present application provides methods for inhibiting HCV polymerase in a cell, comprising: contacting an HCV infected cell with an effective amount of a compound of Formula IV, or a salt solvate pharmaceutically acceptable, and / or ester thereof, whereby HCV polymerase is inhibited.

[0193]En otra realización más, la presente solicitud proporciona métodos para inhibir la polimerasa de VHC en una célula, que comprende: poner en contacto una célula infectada con VHC con una cantidad eficaz de un compuesto de Fórmula I-V, o un solvato de sal farmacéuticamente aceptable, y/o éster del mismo, y al menos un agente terapéutico activo adicional, mediante el cual se inhibe la polimerasa de VHC.[0193] In yet another embodiment, the present application provides methods for inhibiting HCV polymerase in a cell, comprising: contacting an HCV-infected cell with an effective amount of a compound of Formula IV, or a salt solvate pharmaceutically acceptable, and / or ester thereof, and at least one additional active therapeutic agent, by which HCV polymerase is inhibited.

[0194]En todavía otra realización, la presente solicitud proporciona métodos para inhibir la polimerasa del VHC en una célula, que comprende: poner en contacto una célula infectada con HCV con una cantidad eficaz de un compuesto de Fórmula I-V, o una sal farmacéuticamente aceptable, solvato, y/o éster del mismo, y al menos un agente terapéutico activo adicional seleccionado del grupo que consiste en interferones, análogos de ribavirina, inhibidores de proteasa NS3, inhibidores de NS5a, inhibidores de alfa-glucosidasa 1, inhibidores de ciclofilina, hepatoprotectores, otros inhibidores de nucleósidos del VHC, inhibidores no nucleósidos del VHC y otras drogas para tratar el VHC.[0194] In yet another embodiment, the present application provides methods for inhibiting HCV polymerase in a cell, comprising: contacting an HCV infected cell with an effective amount of a compound of Formula IV, or a pharmaceutically acceptable salt. , solvate, and / or ester thereof, and at least one additional active therapeutic agent selected from the group consisting of interferons, ribavirin analogs, NS3 protease inhibitors, NS5a inhibitors, alpha-glucosidase 1 inhibitors, cyclophilin inhibitors, Hepatoprotectors, other HCV nucleoside inhibitors, HCV non-nucleoside inhibitors and other drugs to treat HCV.

[0195]En otra realización más, la presente solicitud proporciona métodos para tratar el VHC en un paciente, que comprende: administrar al paciente una cantidad terapéuticamente eficaz de un compuesto de Fórmula I-V, o una sal, solvato farmacéuticamente aceptable y/o éster del mismo.[0195] In yet another embodiment, the present application provides methods for treating HCV in a patient, comprising: administering to the patient a therapeutically effective amount of a compound of Formula IV, or a pharmaceutically acceptable salt, solvate and / or ester of the same.

[0196]En otra realización más, la presente solicitud proporciona métodos para tratar el VHC en un paciente, que comprende: administrar al paciente una cantidad terapéuticamente eficaz de un compuesto de Fórmula I-V, o una sal, solvato farmacéuticamente aceptable y/o éster del mismo, y al menos un agente terapéutico activo adicional, mediante el cual se inhibe la polimerasa del VHC.[0196] In yet another embodiment, the present application provides methods for treating HCV in a patient, comprising: administering to the patient a therapeutically effective amount of a compound of Formula IV, or a pharmaceutically acceptable salt, solvate and / or ester of the itself, and at least one additional active therapeutic agent, by which HCV polymerase is inhibited.

[0197]En otra realización más, la presente solicitud proporciona métodos para tratar el VHC en un paciente, que comprende: administrar al paciente una cantidad terapéuticamente eficaz de un compuesto de Fórmula I-V, o una sal, solvato farmacéuticamente aceptable y/o éster del mismo, y al menos un agente terapéutico activo adicional seleccionado del grupo que consiste en interferones, análogos de ribavirina, inhibidores de proteasa NS3, inhibidores de NS5a, inhibidores de alfa-glucosidasa 1, inhibidores de ciclofilina, hepatoprotectores, otros inhibidores nucleósidos del VHC, inhibidores no nucleósidos del VHC y otros medicamentos para tratar el VHC.[0197] In yet another embodiment, the present application provides methods for treating HCV in a patient, comprising: administering to the patient a therapeutically effective amount of a compound of Formula IV, or a pharmaceutically acceptable salt, solvate and / or ester of the same, and at least one additional active therapeutic agent selected from the group consisting of interferons, ribavirin analogs, NS3 protease inhibitors, NS5a inhibitors, alpha-glucosidase 1 inhibitors, cyclophilin inhibitors, hepatoprotectors, other HCV nucleoside inhibitors, non-nucleoside HCV inhibitors and other medications to treat HCV.

[0198]En todavía otra realización más, la presente solicitud proporciona el uso de un compuesto de la presente invención, o una sal farmacéuticamente aceptable, solvato, y/o éster del mismo, para la preparación de un medicamento para tratar una infección por VHC en un paciente.[0198] In yet another embodiment, the present application provides the use of a compound of the present invention, or a pharmaceutically acceptable salt, solvate, and / or ester thereof, for the preparation of a medicament for treating an HCV infection. in a patient

EjemplosExamples

[0199]Se usan ciertas abreviaturas y siglas para describir los detalles experimentales. Aunque la mayoría de estos se entenderían por un experto en la materia, la Tabla 3 contiene una lista de muchas de estas abreviaturas y acrónimos.[0199] Certain abbreviations and acronyms are used to describe the experimental details. Although most of these would be understood by one skilled in the art, Table 3 contains a list of many of these abbreviations and acronyms.

Tabla 3. Lista de abreviaturas y acrónimos.Table 3. List of abbreviations and acronyms.

Abreviatura SignificadoAbbreviation Meaning

AC2O Anhídrido acéticoAC2 O Acetic anhydride

ACN AcetonitriloACN Acetonitrile

AcOH o HOAc Ácido acéticoAcOH or HOAc Acetic acid

AlBN 2,2'-azobis(2-metilpropionitrilo)AlBN 2,2'-azobis (2-methylpropionitrile)

Ar AriloAr Arilo

Bn BenciloBn Bencilo

bs o br s Singlete anchobs or br s Wide singlet

Bu ButiloBu Butyl

Bz BenzoíloBz Benzoílo

cm Centímetroscm Centimeters

conc. Concentraciónconc. Concentration

d Dobleted Double

DABCO 1.4- diazabiciclo[2,2,2]octanoDABCO 1.4- diazabicyclo [2,2,2] octane

DBN 1.5- diazabiciclo[4,3,0]non-5-enoDBN 1.5- diazabicyclo [4,3,0] non-5-eno

DBU 1.5- diazabiciclo[5,4,0]undec-5-enoDBU 1.5- diazabicyclo [5,4,0] undec-5-eno

DCC diciclohexilcarbodiimidaDCC dicyclohexylcarbodiimide

DCE dicloroetanoDCE dichloroethane

DCM diclorometanoDCM dichloromethane

dd doblete de dobletesdd doublet doublets

ddd doblete de dobletes de dobletesddd doublet doublets doublets

DMAP 4-dimetilaminopiridinaDMAP 4-dimethylaminopyridine

DMEM medio de Eagle modificado de Dulbecco DMF dimetilformamidaDMEM medium of modified Eagle from Dulbecco DMF dimethylformamide

DMSO dimetilsulfóxidoDMSO dimethylsulfoxide

dt doble tripletedt double triplet

DTT ditiotreitolDTT dithiothreitol

EDTA ácido etilendiaminotetraacéticoEDTA ethylenediaminetetraacetic acid

equiv. equivalentesequiv. equivalent

Et etiloEthyl et

EtOAc acetato de etiloEtOAc ethyl acetate

FBS suero bovino fetalFBS fetal bovine serum

g gramog gram

h o hr horah or hr hour

Hex hexano o hexanosHex hexane or hexanes

HPLC cromatografía líquida de alta presiónHPLC high pressure liquid chromatography

IBX ácido 2-lodoxibenzoicoIBX 2-lodoxibenzoic acid

IPA alcohol isopropílicoIPA isopropyl alcohol

kg kilogramokg kilogram

LC/MS cromatografía líquida/espectrometría de masas m metroLC / MS liquid chromatography / mass spectrometry m meter

m/z o m/e relación masa a cargam / z or m / e mass to load ratio

MDCK células de riñón de canino de Madin-Darby Me metiloMDCK canine kidney cells from Madin-Darby Me methyl

MeCN acetonitriloMeCN acetonitrile

MeOH metanolMeOH methanol

mg milligramomg milligram

MH- masa menos 1MH- mass minus 1

MH+ masa más 1MH + mass plus 1

MHz megahertzMHz megahertz

min minutomin minute

mL mililitromL milliliter

mmol milimolmmol millimol

MS o ms espectro de masasMS or more mass spectrum

Ms-Cl cloruro de sulfonilo de metanoMs-Cl methane sulfonyl chloride

(continúa) Abreviatura Significado(keep going) Abbreviation Meaning

N normalNormal n

NBS N-bromosuccinimidaNBS N-Bromosuccinimide

NMP N-metilpirrolidinonaNMP N-methylpyrrolidinone

RMN resonancia magnética nuclearNMR nuclear magnetic resonance

PBS solución salina tamponada de fosfatoPBS phosphate buffered saline

PEG polietilenglicolPEG polyethylene glycol

Ph feniloPh phenyl

ppm partes por millónppm parts per million

Pyr o Py piridinaPyr or Py pyridine

q cuartetowhat a foursome

RP fase inversaRP reverse phase

RPMI Roswell Park Memorial InstituteRPMI Roswell Park Memorial Institute

ta o t.a. o TA temperatura ambienteta or t.a. or room temperature

s singletes singlet

sat. saturadosat. saturated

t tripletet triplet

TBAF fluoruro de tetrabutilamonioTBAF tetrabutylammonium fluoride

TBDMS terc-butildimetilsililoTBDMS tert-butyldimethylsilyl

TEA trietilaminaASD triethylamine

TES trietilsilanoTES Triethylsilane

Tf trifluorometanosulfonatoTf trifluoromethanesulfonate

TFA ácido trifluoroacéticoTFA trifluoroacetic acid

THF tetrahidrofuranoTHF tetrahydrofuran

TIPDS-Cl 1,3-dicloro-1,1,3,3-tetraisopropiloTIPDS-Cl 1,3-dichloro-1,1,3,3-tetraisopropyl

TLC o tlc cromatografía en capa finaTLC or tlc thin layer chromatography

TMS trimetilsilanoTMS trimethylsilane

TMSOTf (trimetilsilil)trifluorometilsulfonatoTMSOTf (trimethylsilyl) trifluoromethylsulfonate

Tr trifenilmetilo o tritiloTr triphenylmethyl or trityl

XTT {2,3-bis(2-metoxi-4-nitro-5-sulfofenil)-5-[(fenilamino)carbonil]-2H-hidróxido de 8 tetrazolio}XTT {2,3-bis (2-methoxy-4-nitro-5-sulfophenyl) -5 - [(phenylamino) carbonyl] -2H-8-tetrazolium hydroxide}

Preparación de compuestosCompound Preparation

Método general para la preparación de nucleósidos sustituidos con 1'-CNGeneral method for the preparation of nucleosides substituted with 1'-CN

[0200]El nucleósido sustituido con 1'-CN (Compuesto GC) puede prepararse siguiendo un método similar al descrito en Tetrahedron Letters, 1993, 8579. En consecuencia, 1'-bromo-1'-ciano hexosa protegida adecuadamente (Compuesto G-B), que se obtiene de una reacción de la 1'-ciano hexosa correspondiente (Compuesto G-A) con un agente bromante como NBS, se acopla a una base de pirimidina sililada con o sin un ácido de Lewis como tetracloruro de tino, mercurio cianuro o triflato de plata. El producto acoplado se desprotege luego para obtener un nucleósido sustituido con 1'-CN (Compuesto G-C, Esquema 1). Las referencias para la preparación de cadaCompuesto G-Aindividual se citan en la sección de Ejemplos a continuación.[0200] The nucleoside substituted with 1'-CN (Compound GC) can be prepared following a method similar to that described in Tetrahedron Letters, 1993, 8579. Accordingly, suitably protected 1'-bromo-1'-cyano hexose (Compound GB ) , which is obtained from a reaction of the corresponding 1'-cyano hexose (Compound GA ) with a brominating agent such as NBS, is coupled to a silylated pyrimidine base with or without a Lewis acid such as tino tetrachloride, cyanide mercury or triflate silver. The coupled product is then deprotected to obtain a nucleoside substituted with 1'-CN (Compound GC , Scheme 1). References for the preparation of each individualGA Compound are cited in the Examples section below.

Esquema 1Scheme 1

Figure imgf000066_0001
Figure imgf000066_0001

Método general para la preparación de nucleósidos sustituidos con 1'-alquenilo, 1'-haloetenilo o 1'-alquiniloGeneral method for the preparation of nucleosides substituted with 1'-alkenyl, 1'-haloetenyl or 1'-alkynyl

[0201]El nucleósido sustituido por l'-alquenilo, l'-haloetenilo, o l'-alquinilo se puede preparar siguiendo un método similar al descrito en el Journal of Organic Chemistry, 2004, 1831. En consecuencia, un nucleósido de uridina insaturado de 1',2' apropiadamente protegido (Compuesto G-D) se convierte en el epóxido 1',2' (Compuesto G-E), que se hace reaccionar con un tri(alquenil), tri(haloetenil) o tri(alquinil)aluminio apropiado para proporcionar un nucleósido de uridina sustituido por 1'-alquenilo, 1'-haloetenilo o alquinilo (Compuesto G-F) (Esquema 2A). El análogo de uridina se puede convertir en el correspondiente análogo de citidina (Compuesto G-G) siguiendo métodos generales bien establecidos en la práctica de la química de nucleósidos, algunos de los cuales se describen procedimientos detallados en la sección de Ejemplos a continuación (Esquema 2B).[0201] The nucleoside substituted by l'-alkenyl, l'-haloetenyl, or l'-alkynyl can be prepared following a method similar to that described in the Journal of Organic Chemistry, 2004, 1831. Accordingly, an unsaturated uridine nucleoside 1 ', 2' appropriately protected (Compound GD ) becomes epoxy 1 ', 2' (GE Compound ), which is reacted with a tri (alkenyl), tri (haloetenyl) or tri (alkynyl) aluminum suitable for providing a uridine nucleoside substituted by 1'-alkenyl, 1'-haloetenyl or alkynyl (Compound GF ) (Scheme 2A). The uridine analogue can be converted into the corresponding cytidine analogue (Compound GG ) following general methods well established in the practice of nucleoside chemistry, some of which are detailed procedures in the Examples section below (Scheme 2B) .

Esquema 2AScheme 2A

Figure imgf000067_0001
Figure imgf000067_0001

Uridina 1.2’ insaturada tn(alquenilo)alumimo. protegidatri(haloetemlo).Uridine 1.2 'unsaturated tn (alkenyl) alumimo. protectedtri (haloetemlo).

tri alquinilo aluminiotri alkynyl aluminum

Figure imgf000067_0002
Figure imgf000067_0002

G-FG-F

Esquema 2BScheme 2B

Figure imgf000067_0003
Figure imgf000067_0003

G-F G-GG-F G-G

Preparación de compuestos ejemplaresPreparation of exemplary compounds

[0202]Los compuestos 1-6, 12-17, 23-31, 34, 35 y 39-42 a continuación no forman parte de la presente invención.[0202] Compounds 1-6, 12-17, 23-31, 34, 35 and 39-42 below do not form part of the present invention.

Compuesto 1Compound 1

Figure imgf000067_0004
Figure imgf000067_0004

[0203]ElCompuesto la(preparado según J. Organic Chemistry, 1968, 2490) se sometió a las condiciones de reacción similares a las descritas en WO200512308, proporcionando el Compuesto Ib (Rendimiento; 74%). Punto de fusion; 101-103°C.[0203]Compound la (prepared according to J. Organic Chemistry, 1968, 2490) was subjected to reaction conditions similar to those described in WO200512308, providing Compound Ib (Yield; 74%). Melting point; 101-103 ° C.

Figure imgf000068_0001
Figure imgf000068_0001

[0204]ElCompuesto 1bse sometió a las condiciones de reacción similares a las descritas en Tetrahedron Letters, 1993, 8579, proporcionando el Compuesto Ic. Punto de fusion; 44-49°C.[0204]Compound 1b was subjected to reaction conditions similar to those described in Tetrahedron Letters, 1993, 8579, providing Compound Ic. Melting point; 44-49 ° C.

Figure imgf000068_0002
Figure imgf000068_0002

[0205]ElCompuesto 1c(300 mg, 0,53 mmol) se colocó en un vial de microondas bajo argón y se disolvió con una mezcla 1:1 de dicloroetano anhidro y acetonitrilo (12 ml). Se añadió 2,6-Lutidina (0,3 ml, 2,6 mmol), seguido de 0,3 ml de uracilo bis-TMS. Luego, se añadieron 300 mg (1,17 mmol) de Ag (OTf) y la mezcla se selló y se calentó a 150°C durante 30 minutos mediante el uso de un reactor de microondas. Después de este tiempo, la reacción se juzgó completa por análisis LC/MS. La reacción se filtró y el filtrado se diluyó con 300 ml de DCM. La capa orgánica se lavó con 300 ml de solución saturada de bicarbonato de sodio, luego 2x 300 ml de H2O, y luego con 300 ml de solución saturada. solución de salmuera. La fase orgánica se secó por paso a través de un filtro de membrana hidrófoba y los volátiles se eliminaron para dar 330 mg de producto bruto. La cromatografía usando una columna de sílice de 40 g y un gradiente de hexanos/EtOAc 7:3 a EtOAc al 100% dio 90 mg 1d (rendimiento del 28%) como un isómero único. 1H-RMN (400 MHz, CD3CN): H59,30 (bs, 1H), 8,15 (m, 1H), 8,08 (m, 2H), 7,78 (d,J= 8,4 Hz, 2H), 7,65 (m, 2H), 7,58 (m, 4H), 7,25 (m, 2H), 5,92 (d,J= 2,8 Hz, 1H), 5,72 (d,J= 8,4 Hz, 1H), 4,98 (m, 1H), 4,87 (m, 2H), 1,68 (s, 3H). MS = 596 (M H+). Tiempo de retención de LC/MS en un método de LC/MS de 3,5 minutos (columna Polar Rp) = 2,48 min.[0205]Compound 1c (300 mg, 0.53 mmol) was placed in a microwave vial under argon and dissolved with a 1: 1 mixture of anhydrous dichloroethane and acetonitrile (12 ml). 2,6-Lutidine (0.3 ml, 2.6 mmol) was added, followed by 0.3 ml of bis-TMS uracil. Then, 300 mg (1.17 mmol) of Ag (OTf) was added and the mixture was sealed and heated at 150 ° C for 30 minutes by using a microwave reactor. After this time, the reaction was judged complete by LC / MS analysis. The reaction was filtered and the filtrate was diluted with 300 ml of DCM. The organic layer was washed with 300 ml of saturated sodium bicarbonate solution, then 2 x 300 ml of H2 O, and then with 300 ml of saturated solution. brine solution The organic phase was dried by passage through a hydrophobic membrane filter and the volatiles were removed to give 330 mg of crude product. Chromatography using a 40 g silica column and a gradient of hexanes / EtOAc 7: 3 to 100% EtOAc gave 90 mg 1d (28% yield) as a single isomer. 1H-NMR (400 MHz, CD3 CN): H59.30 (bs, 1H), 8.15 (m, 1H), 8.08 (m, 2H), 7.78 (d,J = 8.4 Hz, 2H), 7.65 (m, 2H), 7.58 (m, 4H), 7.25 (m, 2H), 5.92 (d,J = 2.8 Hz, 1H), 5, 72 (d,J = 8.4 Hz, 1H), 4.98 (m, 1H), 4.87 (m, 2H), 1.68 (s, 3H). MS = 596 (M H +). LC / MS retention time in a 3.5 minute LC / MS method (Polar Rp column) = 2.48 min.

Figure imgf000068_0003
Figure imgf000068_0003

[0206]A una solución delCompuesto 1d(40 mg, 0,07 mmol) en MeOH (1 ml) a temperatura ambiente se añadieron 2 ml de conc. ac. amoníaco. La mezcla de reacción se agitó a temperatura ambiente durante 20 h. El análisis LC/MS indicó que la reacción se había completado. La reacción se concentró hasta un residuo y el producto bruto, 40 mg, se disolvió en agua y se purificó mediante HPLC de fase reverenciada. La concentración de las fracciones del producto proporcionó 14 mg (74% de rendimiento) del producto tris-debenzoiladoCompuesto 1.1H-RMN (400 MHz, D2O): H5 7,91 (d,J= 8,4 Hz, 1H), 5,78 (d, J= 8,4 Hz, 1H), 4,15 (m, 1H), 3,94 (m, 1H), 3,75 (m, 1H), 3,67 (m, 1H), 1,18 (s, 3H). MS = 282 (M - H+) Tiempo de retención de LC/MS en un método de Lc /MS de 3,5 minutos (columna Polar RP) = 0,52 min.[0206] To a solution ofCompound 1d (40 mg, 0.07 mmol) in MeOH (1 ml) at room temperature was added 2 ml of conc. ac. ammonia. The reaction mixture was stirred at room temperature for 20 h. The LC / MS analysis indicated that the reaction was complete. The reaction was concentrated to a residue and the crude product, 40 mg, dissolved in water and purified by revered phase HPLC. The concentration of the product fractions provided 14 mg (74% yield) of the tris-debzoylated productCompound 1 .1 H-NMR (400 MHz, D2 O): H5 7.91 (d,J = 8.4 Hz, 1H), 5.78 (d, J = 8.4 Hz, 1H), 4.15 (m, 1H), 3.94 (m, 1H), 3.75 (m, 1H), 3.67 ( m, 1H), 1.18 (s, 3H). MS = 282 (M - H +) LC / MS retention time in a 3.5 minute Lc / MS method (Polar RP column) = 0.52 min.

Compuesto 2Compound 2

Figure imgf000069_0001
Figure imgf000069_0001

[0207]A una solución delCompuesto 1c(250 mg, 0,4 mmol) en piridina (8 ml) a 0°C se le añadieron 0,5 g (2 mmol, 5 equiv.) De 4-Cl-fenilfosforodicloridato, seguido de 350 mg (5 mmol, 12,5 equiv) 1,2,4-triazol. La reacción se dejó calentar a temperatura ambiente y se agitó durante 3H adicionales. El análisis Lc /MS indicó que la reacción se había completado. La reacción se concentró a un residuo, se disolvió en 100 ml de DCM, se lavó con 2x50 ml de agua, 50 ml 50% saturada de NaHCO3acuoso. solución, seguido de secado y concentración para dar 340 mg del producto intermedio bruto.[0207] To a solution ofCompound 1c (250 mg, 0.4 mmol) in pyridine (8 ml) at 0 ° C was added 0.5 g (2 mmol, 5 equiv.) Of 4-Cl-phenylphosphorodichloridate, followed by 350 mg (5 mmol, 12.5 equiv) 1,2,4-triazole. The reaction was allowed to warm to room temperature and stirred for an additional 3H. The Lc / MS analysis indicated that the reaction was complete. The reaction was concentrated to a residue, dissolved in 100 ml of DCM, washed with 2x50 ml of water, 50 ml saturated 50% aqueous NaHCO3 . solution, followed by drying and concentration to give 340 mg of the crude intermediate.

[0208]175 mg del residuo en bruto se recogió en 10 ml de una mezcla 1:3 de HCl conc. ac. NH4OH y dioxano. La reacción se agitó durante 5 h, momento en el cual se eliminó el disolvente y el residuo se formó un azeótropo con tolueno para dar 160 mg de producto intermedio. En este momento, se añadieron 10 ml de 7N NH3 en metanol y la solución resultante se agitó durante 18 h. LC/MS mostró que la reacción se había completado, y el material resultante se purificó mediante HPLC de fase inversa. La concentración de las fracciones del producto proporcionó 23 mg (28% de rendimiento global) del producto tris-debenzoiladoCompuesto 2.1H-RMN (400 MHz, D2O): H57,74 (d,J= 8,0 Hz, 1H), 5,84 (d,J= 8,0 Hz, 1H), 4,20 (m, 1H), 3,81 (m, 1H), 3,68 (m, 1H), 3,62 (m, 1H), 1,08 (s, 3H). MS = 281 (M - H+). Tiempo de retención de LC/MS en un método de LC/MS de 3,5 minutos (columna Polar RP) = 0,37 min.[0208] 175 mg of the crude residue was taken up in 10 ml of a 1: 3 mixture of conc. HCl. ac. NH4 OH and dioxane. The reaction was stirred for 5 h, at which time the solvent was removed and the residue formed an azeotrope with toluene to give 160 mg of intermediate. At this time, 10 ml of 7N NH3 in methanol was added and the resulting solution was stirred for 18 h. LC / MS showed that the reaction was complete, and the resulting material was purified by reverse phase HPLC. The concentration of the product fractions provided 23 mg (28% overall yield) of the tris-debzoylated productCompound 2 .1H-NMR (400 MHz, D2 O): H57.74 (d,J = 8.0 Hz, 1H), 5.84 (d,J = 8.0 Hz, 1H), 4.20 (m, 1H), 3.81 (m, 1H), 3.68 (m, 1H), 3.62 ( m, 1H), 1.08 (s, 3H). MS = 281 (M - H +). LC / MS retention time in a 3.5 minute LC / MS method (Polar RP column) = 0.37 min.

Compuesto 3Compound 3

Figure imgf000069_0003
Figure imgf000069_0003

[0209]ElCompuesto 3a(preparado de acuerdo con Tetrahedron Letters, 1993,

Figure imgf000069_0002
) se disolvió en 75 ml de cada DCE y a Cn en un recipiente de alta presión de 400 ml. A esto se le añadió uracilo Bis (TMS) (12 g, 47 mmol) como sólido y finalmente se añadió Ag (OTf) (11g, 43 mmol). La reacción se selló y se calentó a 135°C durante 90 minutos. La mezcla de reacción se enfrió luego a ta y se filtró AgBr precipitado. Luego se eliminaron los disolventes al vacío y el residuo resultante se redisolvió en EtOAc y aq. NaHCO3. La mezcla resultante se extrajo 3x con EtOAc, luego los orgánicos se lavaron con agua (1x), ac. bicarbonato de sodio (2x), agua (2x) y salmuera (1x) antes de secar sobre sulfato de sodio. La solución se filtró y se evaporó hasta sequedad. El residuo se purificó por cromatografía sobre gel de sílice con Hex: EtOAc para proporcionar 3b (12,8 g; rendimiento del 74%). MS [M H+] = 581,9. 1H RMN: (400 MHz, CD3OD) 88,15 (1H, d,J= 8,4 Hz), 5,68 (1H, d,J= 8,4 Hz), 4,52 (1H, d), 4,26 (1H, m), 4,06 (1H, dd), 3,97 (1H, dd,J= 12,8, 2,0 Hz), 3,73 (1H, dd,J= 12,8, 2,0 Hz). MS [M - H+] = 268,0.[0209]Compound 3a (prepared according to Tetrahedron Letters, 1993,
Figure imgf000069_0002
) was dissolved in 75 ml of each DCE and at Cn in a 400 ml high pressure vessel. To this was added uracil Bis (TMS) (12 g, 47 mmol) as a solid and finally Ag (OTf) (11g, 43 mmol) was added. The reaction was sealed and heated at 135 ° C for 90 minutes. The reaction mixture was then cooled to rt and precipitated AgBr filtered. The solvents were then removed in vacuo and the resulting residue was redissolved in EtOAc and aq. NaHCO3 . The resulting mixture was extracted 3x with EtOAc, then the organics were washed with water (1x), aq. sodium bicarbonate (2x), water (2x) and brine (1x) before drying over sodium sulfate. The solution was filtered and evaporated to dryness. The residue was purified by chromatography on silica gel with Hex: EtOAc to provide 3b (12.8 g; 74% yield). MS [M H +] = 581.9. 1H NMR: (400 MHz, CD3 OD) 88.15 (1H, d,J = 8.4 Hz), 5.68 (1H, d,J = 8.4 Hz), 4.52 (1H, d ), 4.26 (1H, m), 4.06 (1H, dd), 3.97 (1H, dd,J = 12.8, 2.0 Hz), 3.73 (1H, dd,J = 12.8, 2.0 Hz). MS [M - H +] = 268.0.

Figure imgf000069_0004
Figure imgf000069_0004

[0210]ElCompuesto 3bse convirtió en elCompuesto 3de una manera similar a la preparación delCompuesto 1.[0210]Compound 3b was converted toCompound 3 in a manner similar to the preparation ofCompound 1 .

Compuesto 4Compound 4

Figure imgf000070_0001
Figure imgf000070_0001

[0211]A una solución de agitación delCompuesto 3b (2 g, 3,44 mmol) en ACN (100 ml) se añadió TEA (0,96 ml, 6,88 mmol) y luego cloruro de 2,4,6 triisopropilbencenosulfonilo (2,08 g, 6,88 mmol). Por último, se añadió DMAP (840 mg, 6,88 mmol) y la reacción se dejó agitar a temperatura ambiente bajo argón durante la noche. Al día siguiente, se determinó que la reacción se completaba por LCMs y los disolventes se eliminaron a presión reducida. El crudo fue luego aminado seguido de desbenzoilado, siguiendo el procedimiento descrito en la preparación delCompuesto 2. El producto bruto resultante se disolvió en agua y se purificó por HPLC preparativa para dar el Compuesto 4 (330 mg, 36% de rendimiento). MS [M - H+] = 267,0. 1H RMN: (400 MHz, D2O) 87,84 (1H, d,J= 7,6 Hz), 5,91 (1H, d,J= 7,6 Hz), 4,44 (1H, d), 4,26 (1H, m), 3,96 (1H, dd), 3,88 (1H, dd,J= 12,8, 2,0 Hz), 3,67 (1H, dd,J= 12,8, 2,0 Hz). MS [M -H+] = 267,0.[0211] To a stirring solution ofCompound 3b ( 2 g, 3.44 mmol) in ACN (100 ml) was added TEA (0.96 ml, 6.88 mmol) and then 2,4,6 triisopropylbenzenesulfonyl chloride (2.08 g, 6.88 mmol). Finally, DMAP (840 mg, 6.88 mmol) was added and the reaction was allowed to stir at room temperature under argon overnight. The next day, it was determined that the reaction was completed by LCMs and the solvents were removed under reduced pressure. The crude was then amined followed by debenzoylated, following the procedure described in the preparation ofCompound 2 . The resulting crude product was dissolved in water and purified by preparative HPLC to give Compound 4 (330 mg, 36% yield). MS [M - H +] = 267.0. 1 H NMR: (400 MHz, D2 O) 87.84 (1H, d,J = 7.6 Hz), 5.91 (1H, d,J = 7.6 Hz), 4.44 (1H, d ), 4.26 (1H, m), 3.96 (1H, dd), 3.88 (1H, dd,J = 12.8, 2.0 Hz), 3.67 (1H, dd,J = 12.8, 2.0 Hz). MS [M-H +] = 267.0.

Compuesto 5Compound 5

Figure imgf000070_0002
Figure imgf000070_0002

[0212]ElCompuesto 5se preparó en una materia similar a la delCompuesto 3sustituyendo el uracilo bis (TMS) 5-F por el uracilo bis(TMS) 5-no sustituido.[0212]Compound 5 was prepared in a material similar to that ofCompound 3 by replacing the 5-unsubstituted uracil bis (TMS) 5-F with the uracil bis (TMS).

1H RMN: (400 MHz, D2O) 88,16 (1H, d,J= 7,2 Hz), 4,15 (1H, m), 3,95 (1H, dd,J= 12,8, 2,4 Hz), 3,73 (1H, dd,J= 12,8, 2,4 Hz), 3,69 (1H, d,J= 8,8 Hz), 1,19 (3H, s).1 H NMR: (400 MHz, D2 O) 88.16 (1H, d,J = 7.2 Hz), 4.15 (1H, m), 3.95 (1H, dd,J = 12.8, 2.4 Hz), 3.73 (1H, dd,J = 12.8, 2.4 Hz), 3.69 (1H, d,J = 8.8 Hz), 1.19 (3H, s) .

19F RMN: (376 MHz, D2O) 8 -165,4 ppm.19 F NMR: (376 MHz, D2 O) 8-165.4 ppm.

LC/MS: m/z (M - H)- = 300, ta = 0,67 min en un método de HPLC C18 de 3,5 min.LC / MS: m / z (M-H) - = 300, ta = 0.67 min in a C18 HPLC method of 3.5 min.

Compuesto 6Compound 6

Figure imgf000070_0003
Figure imgf000070_0003

[0213]ElCompuesto 6se preparó de una manera similar para preparar elCompuesto 4.1H RMN (400 MHz, CD3OD) 8 8,47 (d,J= 7,5 Hz, 1H), 4,15 (dt,J= 8,5, 2,5 Hz, 1H), 4,01 (dd,J= 12,8, 2,3 Hz, 1H), 3,80 (dd,J= 12,8, 2,6 Hz, 1H), 3,73 (t,J= 9,4 Hz, 1H), 1,24 (s, 3H). MS = 301 (M H+). Tiempo de retención de LC/MS en un método de LC/MS de 3,5 minutos (columna Polar RP) = 0,50 min.[0213]Compound 6 was prepared in a similar manner to prepareCompound 4 .1H NMR (400 MHz, CD3 OD) 8 8.47 (d,J = 7.5 Hz, 1H), 4.15 (dt ,J = 8.5, 2.5 Hz, 1H), 4.01 (dd,J = 12.8, 2.3 Hz, 1H), 3.80 (dd,J = 12.8, 2.6 Hz, 1H), 3.73 (t,J = 9.4 Hz, 1H), 1.24 (s, 3H). MS = 301 (M H +). LC / MS retention time in a 3.5-minute LC / MS method (Polar RP column) = 0.50 min.

Compuesto 7Compound 7

Figure imgf000071_0001
Figure imgf000071_0001

[0214]Se añadió ácido sulfúrico concentrado (0,7 ml) a una solución (turbia) delCompuesto 3(2,57 g, 9,5 mmol) en acetona (70 ml). La solución resultante (transparente) se agitó a temperatura ambiente durante 3 horas. La reacción se neutralizó con trietilamina (3,5 ml) y el disolvente se eliminó a presión reducida. El aceite amarillo resultante se sometió a cromatografía en gel de sílice con un eluyente (metanol al 20% en diclorometano) y diclorometano en un gradiente de 0 -100%. Las fracciones que contenían el producto se combinaron y el disolvente se eliminó a presión reducida proporcionando elCompuesto 7a(2,13 g, 72%).[0214] Concentrated sulfuric acid (0.7 ml) was added to a (cloudy) solution ofCompound 3 (2.57 g, 9.5 mmol) in acetone (70 ml). The resulting solution (clear) was stirred at room temperature for 3 hours. The reaction was neutralized with triethylamine (3.5 ml) and the solvent was removed under reduced pressure. The resulting yellow oil was chromatographed on silica gel with an eluent (20% methanol in dichloromethane) and dichloromethane in a gradient of 0 -100%. The fractions containing the product were combined and the solvent was removed under reduced pressure to provideCompound 7a (2.13 g, 72%).

Figure imgf000071_0002
Figure imgf000071_0002

[0215]Ácido 2-lodoxibenzoico (IBX) (3 g, 4,8 mmol, 45% en peso) se agitó con acetato de etilo (15 ml) durante 15 minutos hasta obtener una mezcla suave formado. El sólido se aisló por filtración por succión y luego se añadió a una solución delCompuesto 7a(500 mg, 1,6 mmol) en acetonitrilo (20 ml). La mezcla se calentó a 80°C durante 30 min. La mezcla de reacción se enfrió en un baño de hielo y las aguas madres se aislaron por filtración por succión. El disolvente se eliminó a presión reducida, y el sólido blanco se formó un azeótropo con tolueno. El materialCompuesto 7bse usó inmediatamente, y se supuso que el rendimiento era del 100%.[0215] 2-Lodoxibenzoic acid (IBX) (3 g, 4.8 mmol, 45% by weight) was stirred with ethyl acetate (15 ml) for 15 minutes until a smooth mixture formed. The solid was isolated by suction filtration and then added to a solution ofCompound 7a (500 mg, 1.6 mmol) in acetonitrile (20 ml). The mixture was heated at 80 ° C for 30 min. The reaction mixture was cooled in an ice bath and the mother liquor was isolated by suction filtration. The solvent was removed under reduced pressure, and the white solid formed an azeotrope with toluene.Compound material7b was used immediately, and the yield was assumed to be 100%.

Figure imgf000071_0003
Figure imgf000071_0003

[0216]Se añadió una solución de bromuro de metilmagnesio (2,69 ml, 8,1 mmol, 3 M en éter dietílico) a una solución delCompuesto 7b(495 mg, 1,6 mmol) en tetrahidrofurano (20 ml) a - 20°C bajo una atmósfera de argón. Después de 5 minutos, la mezcla se dejó calentar a temperatura ambiente. Después de 45 minutos, la mezcla se enfrió a 0°C y la reacción se inactivó con cloruro de amonio saturado (10 ml). El tetrahidrofurano se eliminó a presión reducida y la fase acuosa se extrajo con acetato de etilo (3 x 25 ml). Las fases orgánicas combinadas se secaron sobre sulfato de sodio y se filtraron. El disolvente se eliminó a presión reducida. El residuo resultante se sometió a HPLC de fase inversa con un eluyente de agua y acetonitrilo. Las fracciones que contenían el producto se combinaron y el disolvente se eliminó por liofilización proporcionando elCompuesto (R)-7c(35 mg, 7%) y elCompuesto (S)-7c(15 mg, 3%).[0216] A solution of methylmagnesium bromide (2.69 ml, 8.1 mmol, 3 M in diethyl ether) was added to a solution ofCompound 7b (495 mg, 1.6 mmol) in tetrahydrofuran (20 ml) at - 20 ° C under an argon atmosphere. After 5 minutes, the mixture was allowed to warm to room temperature. After 45 minutes, the mixture was cooled to 0 ° C and the reaction was quenched with saturated ammonium chloride (10 ml). Tetrahydrofuran was removed under reduced pressure and the aqueous phase was extracted with ethyl acetate (3 x 25 ml). The combined organic phases were dried over sodium sulfate and filtered. The solvent was removed under reduced pressure. The resulting residue was subjected to reverse phase HPLC with an eluent of water and acetonitrile. The fractions containing the product were combined and the solvent was removed by lyophilization to provideCompound (R) -7c (35 mg, 7%) andCompound (S) -7c (15 mg, 3%).

Figure imgf000072_0001
Figure imgf000072_0001

[0217]Una solución delCompuesto (S)-7c(15 mg, 0,046 mmol) y ácido trifluoroacético (1 ml) en agua (1 ml) se agitó a temperatura ambiente durante 5,5 horas. La solución se diluyó con agua (5 ml) y acetonitrilo (5 ml), y el disolvente se eliminó por liofilización. El residuo resultante se sometió a HPLC de fase inversa con un eluyente de agua y acetonitrilo. Las fracciones que contenían el producto se combinaron y el disolvente se eliminó por liofilización, proporcionando elCompuesto 7(4,2 mg, 32%). 1H-RMN (400 MHz, D2O): H58,15 (d,J= 8,4 Hz, 1H), 5,59 (d,J= 8,4 Hz, 1H), 4,42 (d,J= 4,4 Hzm 1H), 4,00 (dd, J1= 2,8 Hz, J2= 8,8 Hz, 1H), 3,94 (dd, J1= 4,0 Hz, J2= 8,4 Hz, 1H), 3,85 (dd, J1= 2,4Hz, J2= 6,4 Hz, 1H), 1,27 (d,J= 6,4 Hz, 3H). MS = 281,8 (M - H+). Tiempo de retención de LC/MS en un método de 6,0 minutos LC/MS (columna Polar RP) = 0,33 min.[0217] A solution ofCompound (S) -7c (15 mg, 0.046 mmol) and trifluoroacetic acid (1 ml) in water (1 ml) was stirred at room temperature for 5.5 hours. The solution was diluted with water (5 ml) and acetonitrile (5 ml), and the solvent was removed by lyophilization. The resulting residue was subjected to reverse phase HPLC with an eluent of water and acetonitrile. The fractions containing the product were combined and the solvent was removed by lyophilization to provideCompound 7 (4.2 mg, 32%). 1H-NMR (400 MHz, D2 O): H58.15 (d,J = 8.4 Hz, 1H), 5.59 (d,J = 8.4 Hz, 1H), 4.42 (d,J = 4.4 Hzm 1H), 4.00 (dd, J1 = 2.8 Hz, J2 = 8.8 Hz, 1H), 3.94 (dd, J1 = 4.0 Hz, J2 = 8.4 Hz, 1H), 3.85 (dd, J1 = 2.4Hz, J2 = 6.4 Hz, 1H), 1.27 (d,J = 6.4 Hz, 3H). MS = 281.8 (M - H +). LC / MS retention time in a method of 6.0 minutes LC / MS (Polar RP column) = 0.33 min.

Compuesto 8Compound 8

Figure imgf000072_0002
Figure imgf000072_0002

[0218]ElCompuesto 8a(preparado por un método informado en Journal of Medicinal Chemistry, 2000, 43, 2566; 1,0 g, 2,06 mmol) se disolvió en nitrometano (20 ml) a temperatura ambiente. TMS-cianuro (296 mg, 2,97 mmol) seguido por BF3eterato (0,246 ml). La agitación a temperatura ambiente continuó. Después de 45 minutos, los volátiles se eliminaronal vacío.El material bruto se llevó a DCM y la solución se lavó con solución acuosa saturada de bicarbonato de sodio. La capa orgánica se secó sobre sulfato de sodio. La filtración y la evaporación de los disolventes produjeron el material brutoCompuesto 8b(923 mg), que se usó en la siguiente etapa sin purificación adicional.1H-RMN (400 MHz, CDCla): H58,08 (m, 2H), 7,92 (m, 4H), 7,57 (m, 3H), 7,43 - 7,35 (m,6H), 6,00 - 5,93 (m, 2H), 5,51 (m, 1H), 4,94 (d,J= 4,4 Hz, 1H), 4,53 (m,1H), 1,52 (d,J= 6,8 Hz, 3H) ppm. Tiempo de retención de LC/MS en un método de Lc /MS de 6,0 minutos (columna Polar RP) = 4,87 min.[0218]Compound 8a (prepared by a method reported in the Journal of Medicinal Chemistry, 2000, 43, 2566; 1.0 g, 2.06 mmol) was dissolved in nitromethane (20 ml) at room temperature. TMS-cyanide (296 mg, 2.97 mmol) followed by BF3 etherate (0.246 ml). Stirring at room temperature continued. After 45 minutes, the volatiles were removedin vacuo. The crude material was brought to DCM and the solution was washed with saturated aqueous sodium bicarbonate solution. The organic layer was dried over sodium sulfate. Filtration and evaporation of the solvents produced the crude materialCompound 8b (923 mg), which was used in the next step without further purification.1 H-NMR (400 MHz, CDCla): H58.08 (m, 2H), 7.92 (m, 4H), 7.57 (m, 3H), 7.43-7.35 (m,6 H ), 6.00 - 5.93 (m, 2H), 5.51 (m, 1H), 4.94 (d,J = 4.4 Hz, 1H), 4.53 (m,1 H), 1.52 (d,J = 6.8 Hz, 3H) ppm. LC / MS retention time in a 6.0 minute Lc / MS method (Polar RP column) = 4.87 min.

Figure imgf000072_0003
Figure imgf000072_0003

[0219]ElCompuesto 8b(923 mg, 1,90 mmol) se sometió a las condiciones de reacción similares a las descritas en Tetrahedron Letters, 1993, 8579, que proporciona elCompuesto 8c(768,0 mg, 1,36 mmol). ElCompuesto 8cse obtuvo como una mezcla de dos isómeros. 1H-RMN (400 m Hz , CDCh): H58,10-7,88 (m, 6H), 7,62 - 7,34 (m, 9H), 6,33 -6,26 (m, 1H), 6,10 y 5,90 (m, 1H), 5,58 (m, 1H), 4,81 -4,75 (m, 1H), 1,56 y 1,52 (d,J= 6,8 Hz, 3H) ppm. Tiempo de retención de LC/MS en un método de LC/MS de 6,0 minutos (columna Polar RP) = 5,14 min.[0219]Compound 8b (923 mg, 1.90 mmol) was subjected to reaction conditions similar to those described in Tetrahedron Letters, 1993, 8579, which providesCompound 8c (768.0 mg, 1.36 mmol) .Compound 8c was obtained as a mixture of two isomers. 1 H-NMR (400 m Hz, CDCh): H58.10-7.88 (m, 6H), 7.62-7.34 (m, 9H), 6.33-6.26 (m, 1H), 6.10 and 5.90 (m, 1H), 5.58 (m, 1H), 4.81 -4.75 (m, 1H), 1.56 and 1.52 (d,J = 6.8 Hz, 3H) ppm. LC / MS retention time in a 6.0 minute LC / MS method (Polar RP column) = 5.14 min.

Figure imgf000073_0001
Figure imgf000073_0001

[0220]ElCompuesto 8c(703 mg, 1,24 mmol), uracilo bis-TMS (630 mg, 2,46 mmol) y triflato de plata (I) (630 mg, 2,46 mmol) se colocaron en un vial de microondas bajo argón y dicloroetano anhidro. (5 ml) y acetonitrilo (5 ml) se añadieron. La mezcla se calentó a 135°C durante 30 minutos mediante el uso de un reactor de microondas. La mezcla de reacción se enfrió a temperatura ambiente, se filtró y los volátiles se eliminaronal vacío.El material bruto se purificó por cromatografía sobre gel de sílice (eluyente: hexanos/EtOAc) proporcionando el Compuesto 8d (504 mg, 0,845 mmol) como un isómero único. 1H-RMN (400 MHz, CDCla): H58,08 (d, J = 7,2 Hz, 2H), 8,03 - 8,00 (m, 4H), 7,62 - 7,37 (m, 10H), 6,36 (d,J= 5,6 Hz, 1H), 6,11 (m, 1H), 5,66 (dq,J= 7,2/2,8 Hz, 1H), 4,50 (dd,J= 8,4/2,4 Hz, 1H), 4,90 (m, 1H), 1,57 (d,J= 6,8 Hz, 3H) ppm. MS = 596 (M H+). Tiempo de retención de LC/Ms en un método de lC/MS de 6 minutos (columna Polar RP) = 4,43 min.[0220]Compound 8c (703 mg, 1.24 mmol), bis-TMS uracil (630 mg, 2.46 mmol) and silver (I) triflate (630 mg, 2.46 mmol) were placed in a vial microwave under argon and anhydrous dichloroethane. (5 ml) and acetonitrile (5 ml) were added. The mixture was heated at 135 ° C for 30 minutes by using a microwave reactor. The reaction mixture was cooled to room temperature, filtered and volatiles removedin vacuo. The crude material was purified by silica gel chromatography (eluent: hexanes / EtOAc) to provide Compound 8d (504 mg, 0.845 mmol) as a single isomer. 1H-NMR (400 MHz, CDCla): H58.08 (d, J = 7.2 Hz, 2H), 8.03-8.00 (m, 4H), 7.62-7.37 (m, 10H ), 6.36 (d,J = 5.6 Hz, 1H), 6.11 (m, 1H), 5.66 (dq,J = 7.2 / 2.8 Hz, 1H), 4.50 (dd,J = 8.4 / 2.4 Hz, 1H), 4.90 (m, 1H), 1.57 (d,J = 6.8 Hz, 3H) ppm. MS = 596 (M H +). LC / Ms retention time in a 6-minute lC / MS method (Polar RP column) = 4.43 min.

Figure imgf000073_0002
Figure imgf000073_0002

[0221]A una solución delCompuesto 8d(65 mg, 0,109 mmol) en MeOH (1 ml) a temperatura ambiente se añadieron 2 ml de amoníaco concentrado. ac. amoníaco. La mezcla de reacción se agitó a temperatura ambiente durante 8 h. El análisis LC/MS indicó que se consumió casi todo el material de partida. La reacción se concentróal vacío.El producto de reacción bruto se disolvió en agua y se purificó mediante HPLC de fase inversa (eluyente: agua/MeCN). Las fracciones que contenían el producto se combinaron, congelaron y liofilizaron para proporcionar elCompuesto 8(22,0 mg, 0,077 mmol). 1H-RMN (400 MHz, D2O): H57,93 (d,J= 8,4 Hz, 1H), 5,75 (d,J= 8,4 Hz, 1H), 4,50 (m, 1H), 4,15 (m, 3H), 1,16 (d,J= 6,8 Hz, 3H) ppm. MS = 282 (M - H+). Tiempo de retención de LC/MS en un método de 6 minutos LC/MS (columna Polar RP) = 0,97 min.[0221] To a solution ofCompound 8d (65 mg, 0.109 mmol) in MeOH (1 ml) at room temperature was added 2 ml of concentrated ammonia. ac. ammonia. The reaction mixture was stirred at room temperature for 8 h. The LC / MS analysis indicated that almost all the starting material was consumed. The reaction was concentratedin vacuo. The crude reaction product was dissolved in water and purified by reverse phase HPLC (eluent: water / MeCN). The fractions containing the product were combined, frozen and lyophilized to provideCompound 8 (22.0 mg, 0.077 mmol). 1H-NMR (400 MHz, D2 O): H57.93 (d,J = 8.4 Hz, 1H), 5.75 (d,J = 8.4 Hz, 1H), 4.50 (m, 1H), 4.15 (m, 3H), 1.16 (d,J = 6.8 Hz, 3H) ppm. MS = 282 (M - H +). LC / MS retention time in a 6-minute method LC / MS (Polar RP column) = 0.97 min.

Compuesto 9Compound 9

Figure imgf000073_0003
Figure imgf000073_0003

[0222]2,4,6-Triisopropilbenceno-1-cloruro de sulfonilo se añadió (1,58 g, 5,2 mmol) a una solución deCompuesto 8d(1,56 g, 2,6 mmol), W,A/-dimetilaminopiridina (640 mg, 5,2 mmol) y trietilamina (0,73 ml, 5,2 mmol) en acetonitrilo (30 ml) y se agitó a temperatura ambiente durante 30 minutos. Se añadió hidróxido de amonio acuoso concentrado (6 ml) y después de 15 minutos se eliminó el acetonitrilo a presión reducida. El residuo se recogió en acetato de etilo (75 ml) y se lavó con agua (20 ml), cloruro de amonio saturado (20 ml) y luego salmuera (20 ml). La fase orgánica se secó sobre sulfato de sodio y se filtró. El disolvente se eliminó a presión reducida y el residuo se sometió a cromatografía sobre gel de sílice con un eluyente de metanol y diclorometano. Las fracciones que contenían el producto se combinaron y el disolvente se eliminó a presión para proporcionar elCompuesto 9a(920 mg, 60%).[0222] 2,4,6-Triisopropylbenzene-1-sulfonyl chloride (1.58 g, 5.2 mmol) was added to a solution ofCompound 8d (1.56 g, 2.6 mmol), W, A / -dimethylaminopyridine (640 mg, 5.2 mmol) and triethylamine (0.73 ml, 5.2 mmol) in acetonitrile (30 ml) and stirred at room temperature for 30 minutes. Concentrated aqueous ammonium hydroxide (6 ml) was added and after 15 minutes the acetonitrile was removed under reduced pressure. The residue was taken up in ethyl acetate (75 ml) and washed with water (20 ml), saturated ammonium chloride (20 ml) and then brine (20 ml). The organic phase was dried over sodium sulfate and filtered. The solvent was removed under reduced pressure and the residue was chromatographed on silica gel with an eluent of methanol and dichloromethane. The fractions containing the product were combined and the solvent was removed under pressure to provideCompound 9a (920 mg, 60%).

Figure imgf000074_0001
Figure imgf000074_0001

[0223]Se añadió hidróxido de amonio concentrado (30 ml) a una solución deCompuesto 9a(460 mg, 7,7 mmol) en 1,4-dioxano (15 ml). La solución se agitó a 50°C en un recipiente sellado. Después de 9 horas, la solución se enfrió y el disolvente se concentró hasta un volumen de 10 ml. La mezcla se enfrió a 0°C durante 5 minutos y se filtró. El filtrado se sometió a HPLC de fase inversa con un eluyente de agua y acetonitrilo. Las fracciones que contenían el producto se combinaron. El disolvente se eliminó por liofilización para proporcionar el Compuesto 9 (148 mg, 67%).[0223] Concentrated ammonium hydroxide (30 ml) was added to a solution ofCompound 9a (460 mg, 7.7 mmol) in 1,4-dioxane (15 ml). The solution was stirred at 50 ° C in a sealed container. After 9 hours, the solution was cooled and the solvent was concentrated to a volume of 10 ml. The mixture was cooled at 0 ° C for 5 minutes and filtered. The filtrate was subjected to reverse phase HPLC with an eluent of water and acetonitrile. Fractions containing the product were combined. The solvent was removed by lyophilization to provide Compound 9 (148 mg, 67%).

1H-RMN (400 MHz, D2O): H57,88 (d,J= 7,6 Hz, 1H), 5,91 (d,J= 8,0 Hz, 1H), 4,42 (d,J= 5,2 Hz, 1H), 4,16 (m, 1H), 4,09 (m, 2H), 1,16 (d,J= 7,2 Hz, 3H). MS = 283,1 (M H+). Tiempo de retención de LC/MS en un método de LC/MS de 6,0 minutos (columna Polar RP) = 0,28 min.1H-NMR (400 MHz, D2 O): H57.88 (d,J = 7.6 Hz, 1H), 5.91 (d,J = 8.0 Hz, 1H), 4.42 (d,J = 5.2 Hz, 1H), 4.16 (m, 1H), 4.09 (m, 2H), 1.16 (d,J = 7.2 Hz, 3H). MS = 283.1 (M H +). LC / MS retention time in a 6.0 minute LC / MS method (Polar RP column) = 0.28 min.

Compuesto 10Compound 10

Figure imgf000074_0002
Figure imgf000074_0002

[0224]A una solución delCompuesto 8d (4,32 g, 7,25 mmol) en piridina/ácido glacial (55 ml/13,5 ml) a temperatura ambiente se añadió hidrato de hidrazina (598 mg, 10,87 mmol). La mezcla de reacción se agitó a temperatura ambiente durante 40 horas. Se añadió acetona (4 ml) y se continuó la agitación a temperatura ambiente. Después de 2 horas adicionales, el volumen de disolvente se redujoal vacíoa ~ 1/3 del volumen original. La mezcla se diluyó con EtOAc, se lavó con HCl acuoso (1 N) y solución acuosa saturada de bicarbonato sódico/salmuera (1/1). La capa orgánica se secó sobre sulfato de sodio. La filtración y la evaporación de los disolventes proporcionaron el Compuesto bruto 10a (3,33 g, 6,77 mmol). El material se usó en el siguiente paso sin más purificación. 1H-RMN (400 MHz, CDCh): H58,43 (m, 1H), 8,17 (d,J= 6,8 Hz, 2H), 7,86 (d,J= 7,6 Hz, 2H), 7,61 - 7,41 (m, 7H), 6,04 (dd,J= 5,2/1,2 Hz, 1H), 5,63 (m, 2H), 4,99 (s, 1H), 4,94 (m, 1H), 4,79 (m, 1H), 1,54 (d,J= 6,8 Hz, 3H) ppm. MS = 489 (M - H+). Tiempo de retención de LC/MS en un método de lC/MS de 6 minutos (columna Polar RP) = 3,53 min.[0224] To a solution ofCompound 8d ( 4.32 g, 7.25 mmol) in pyridine / glacial acid (55 ml / 13.5 ml) at room temperature was added hydrazine hydrate (598 mg, 10.87 mmol ). The reaction mixture was stirred at room temperature for 40 hours. Acetone (4 ml) was added and stirring was continued at room temperature. After an additional 2 hours, the solvent volume was reducedin vacuo to ~ 1/3 of the original volume. The mixture was diluted with EtOAc, washed with aqueous HCl (1 N) and saturated aqueous sodium bicarbonate solution / brine (1/1). The organic layer was dried over sodium sulfate. Filtration and evaporation of the solvents gave the crude compound 10a (3.33 g, 6.77 mmol). The material was used in the next step without further purification. 1H-NMR (400 MHz, CDCh): H58.43 (m, 1H), 8.17 (d,J = 6.8 Hz, 2H), 7.86 (d,J = 7.6 Hz, 2H) , 7.61-7.41 (m, 7H), 6.04 (dd,J = 5.2 / 1.2 Hz, 1H), 5.63 (m, 2H), 4.99 (s, 1H ), 4.94 (m, 1H), 4.79 (m, 1H), 1.54 (d,J = 6.8 Hz, 3H) ppm. MS = 489 (M - H +). LC / MS retention time in a 6-minute lC / MS method (Polar RP column) = 3.53 min.

Figure imgf000074_0003
Figure imgf000074_0003

[0225]A una solución delCompuesto 10a(3,25 g, 6,61 mmol) en piridina (40 ml) a temperatura ambiente se añadió cloruro de metanosulfonilo (1,51 g, 13,22 mmol). La mezcla de reacción se agitó a temperatura ambiente. Después de 3 horas, se añadió más cloruro de metilsulfonilo (0,75 g, 6,61 mmol) y se continuó la agitación a temperatura ambiente. Después de 5 horas, los volátiles se eliminaronal vacío.La mezcla de reacción cruda se diluyó con EtOAc, se lavó con HCl acuoso (1 N) y solución acuosa saturada de bicarbonato sódico/salmuera (1/1). La capa orgánica se secó sobre sulfato de sodio. La filtración y la evaporación de los disolventes proporcionaron material bruto que se purificó por cromatografía sobre gel de sílice (eluyente: EtOAc/hexanos) para proporcionar elCompuesto 10b(2,53 g, 4,27 mmol). 1H-RMN (400 MHz, CDCh): H59,22 (m, 1H), 8,07 (d,J= 7,6 Hz, 2H), 7,95 (d,J= 7,2 Hz, 2H), 7,61 (m, 2H), 7,47 -7,39 (m, 5H), 5,81 -5,72 (m, 3H), 5,29 (d, d,J= 8,4/1,6 Hz, 1H), 4,87 (dd,J= 9,2/3,2 Hz, 1H), 3,36 (s, 3H), 1,45 (d,J= 7,2 Hz, 3H) ppm. MS = 570 (M H+). Tiempo de retención de LC/MS en un método de 6 minutos Lc /MS (columna Polar RP) = 3,84 min.[0225] To a solution ofCompound 10a (3.25 g, 6.61 mmol) in pyridine (40 ml) at room temperature was added methanesulfonyl chloride (1.51 g, 13.22 mmol). The reaction mixture was stirred at room temperature. After 3 hours, more methylsulfonyl chloride (0.75 g, 6.61 mmol) was added and stirring was continued at room temperature. After 5 hours, the volatiles were removedin vacuo. The crude reaction mixture was diluted with EtOAc, washed with aqueous HCl (1 N) and saturated aqueous sodium bicarbonate / brine solution (1/1). The organic layer was dried over sodium sulfate. Filtration and evaporation of the solvents provided crude material that was purified by chromatography on silica gel (eluent: EtOAc / hexanes) to provideCompound 10b (2.53 g, 4.27 mmol). 1H-NMR (400 MHz, CDCh): H59.22 (m, 1H), 8.07 (d,J = 7.6 Hz, 2H), 7.95 (d,J = 7.2 Hz, 2H) , 7.61 (m, 2H), 7.47 -7.39 (m, 5H), 5.81 -5.72 (m, 3H), 5.29 (d, d,J = 8.4 / 1.6 Hz, 1H), 4.87 (dd,J = 9.2 / 3.2 Hz, 1H), 3.36 (s, 3H), 1.45 (d,J = 7.2 Hz, 3H) ppm. MS = 570 (M H +). LC / MS retention time in a 6-minute method Lc / MS (Polar RP column) = 3.84 min.

Figure imgf000075_0001
Figure imgf000075_0001

[0226]A una solución delCompuesto 10b(2,45 g, 4,30 mmol) en acetonitrilo (40 ml) a temperatura ambiente se le añadió trietilamina (2,45 g, 24,20 mmol). La mezcla de reacción se calentó a 65°C (baño de aceite). Después de 2 horas, la reacción se enfrió a temperatura ambiente y los volátiles se eliminaronal vacío.La mezcla de reacción cruda se diluyó con EtOAc y se lavó con HCl acuoso (1 N) y solución acuosa saturada de bicarbonato sódico/salmuera (1/1). La capa orgánica se secó sobre sulfato de sodio. La filtración y la evaporación de los disolventes dieron el productoCompuesto 10c(1,78 g, 3,76 mmol). 1H-RMN (400 MHz, CDCla): H58,07 (d,J= 7,2 Hz, 2H), 7,92 (d,J= 7,2 Hz, 2H), 7,69 -7,37 (m, 7H), 6,01 (d,J= 7,6Hz, 1H), 5,91 (m, 1H), 5,78 (d,J= 0,8Hz, 1H), 5,43 (m, 1H), 4,81 (m, 1H), 1,40 (d,J= 6,4 Hz, 3H) ppm. MS = 472 (M - H+. Tiempo de retención LC/MS en un método LC/MS de 6 minutos (columna Polar RP) = 4,09 min.[0226] To a solution ofCompound 10b (2.45 g, 4.30 mmol) in acetonitrile (40 ml) at room temperature was added triethylamine (2.45 g, 24.20 mmol). The reaction mixture was heated to 65 ° C (oil bath). After 2 hours, the reaction was cooled to room temperature and the volatiles were removedin vacuo. The crude reaction mixture was diluted with EtOAc and washed with aqueous HCl (1 N) and saturated aqueous sodium bicarbonate / brine solution (1/1). The organic layer was dried over sodium sulfate. Filtration and evaporation of the solvents gave the productCompound 10c (1.78 g, 3.76 mmol). 1H-NMR (400 MHz, CDCla): H58.07 (d,J = 7.2 Hz, 2H), 7.92 (d,J = 7.2 Hz, 2H), 7.69-7.37 ( m, 7H), 6.01 (d,J = 7.6Hz, 1H), 5.91 (m, 1H), 5.78 (d,J = 0.8Hz, 1H), 5.43 (m, 1H), 4.81 (m, 1H), 1.40 (d,J = 6.4 Hz, 3H) ppm. MS = 472 (M-H +. LC / MS retention time in a 6-minute LC / MS method (Polar RP column) = 4.09 min.

Figure imgf000075_0002
Figure imgf000075_0002

[0227]A una solución delCompuesto 10c(1,70 g, 3,59 mmol) en DMF (10 ml) se le añadió HCl acuoso (1 N, 10 ml) a temperatura ambiente. A la suspensión resultante se le añadió más DMF (10 ml). La mezcla de reacción se calentó a 40°C (baño de aceite). Después de 30 minutos, la reacción se enfrió a temperatura ambiente, se diluyó con EtOAc, y se lavó con salmuera, LiCl acuoso (5%) y solución acuosa saturada de bicarbonato sódico/salmuera (1/1). La capa orgánica se secó sobre sulfato de sodio. La filtración y la evaporación de los disolventes produjeron una mezcla de reacción cruda que se purificó por cromatografía sobre gel de sílice (eluyente: EtOAc/hexanos) para proporcionar el productoCompuesto 10d(1,65 g, 3,37 mmol). 1H-RMN (400 MHz, CDCls): H510,08 (s, 1H), 8,13 (d,J= 7,2 Hz, 2H), 8,07 (d,J= 7,2 Hz, 2H), 7,57 - 7,37 (m, 7H), 5,77 (m, 1H), 5,71 (m, 1H), 5,13 (s, 1H), 5,04 (s, 1H), 4,79 (d, d,J= 8,4/1,6Hz, 1H), 4,59 (m, 1H), 1,52 (d,J= 6,8 Hz, 3H) ppm. MS = 492 (M - H+). Tiempo de retención de LC/MS en un método de LC/MS de 6 minutos (columna Polar RP) = 3,71 min.[0227] To a solution ofCompound 10c (1.70 g, 3.59 mmol) in DMF (10 ml) was added aqueous HCl (1 N, 10 ml) at room temperature. To the resulting suspension was added more DMF (10 ml). The reaction mixture was heated to 40 ° C (oil bath). After 30 minutes, the reaction was cooled to room temperature, diluted with EtOAc, and washed with brine, aqueous LiCl (5%) and saturated aqueous sodium bicarbonate / brine solution (1/1). The organic layer was dried over sodium sulfate. Filtration and evaporation of the solvents yielded a crude reaction mixture that was purified by chromatography on silica gel (eluent: EtOAc / hexanes) to giveCompound 10d (1.65 g, 3.37 mmol). 1H-NMR (400 MHz, CDCls): H510.08 (s, 1H), 8.13 (d,J = 7.2 Hz, 2H), 8.07 (d,J = 7.2 Hz, 2H) , 7.57-7.37 (m, 7H), 5.77 (m, 1H), 5.71 (m, 1H), 5.13 (s, 1H), 5.04 (s, 1H), 4.79 (d, d,J = 8.4 / 1.6Hz, 1H), 4.59 (m, 1H), 1.52 (d,J = 6.8 Hz, 3H) ppm. MS = 492 (M - H +). LC / MS retention time in a 6-minute LC / MS method (Polar RP column) = 3.71 min.

Figure imgf000075_0003
Figure imgf000075_0003

[0228]A una solución delCompuesto 10d(65,2 mg, 0,132 mmol) en MeOH (1 ml) a temperatura ambiente se añadieron 2 ml de concentrado. ac. amoníaco. La mezcla de reacción se agitó a temperatura ambiente durante 12 horas. La reacción se concentróal vacío.El producto de reacción bruto se disolvió en agua y se purificó mediante HPLC de fase inversa (eluyente: agua/MeCN). Las fracciones que contenían el producto se combinaron, congelaron y liofilizaron para proporcionar el Compuesto 10 (10,3 mg, 0,036 mmol).1H-RMN (400 MHz, D2O): H57,74 (d,J= 8,4 Hz, 1H), 5,76 (d,J= 8,4 Hz, 1H), 4,69 (m, 1H), 4,26 (m, 1H), 4,13 (m, 1H), 3,99 (m, 1H), 1,17 (d,J= 6,4 Hz, 3H) ppm. MS = 284 (M H+). Tiempo de retención de LC/MS en un método de6minutos LC/Ms (columna Polar RP) = 1,37 min.[0228] To a solution ofCompound 10d (65.2 mg, 0.132 mmol) in MeOH (1 ml) at room temperature was added 2 ml of concentrate. ac. ammonia. The reaction mixture was stirred at room temperature for 12 hours. The reaction was concentratedin vacuo. The crude reaction product was dissolved in water and purified by Reverse phase HPLC (eluent: water / MeCN). The fractions containing the product were combined, frozen and lyophilized to provide Compound 10 (10.3 mg, 0.036 mmol).1 H-NMR (400 MHz, D2 O): H57.74 (d,J = 8.4 Hz, 1H), 5.76 (d,J = 8.4 Hz, 1H), 4.69 (m , 1H), 4.26 (m, 1H), 4.13 (m, 1H), 3.99 (m, 1H), 1.17 (d,J = 6.4 Hz, 3H) ppm. MS = 284 (M H +). LC / MS retention time in a6 minute LC / Ms method (Polar RP column) = 1.37 min.

Compuesto 11Compound 11

Figure imgf000076_0001
Figure imgf000076_0001

[0229]A una solución delCompuesto 10d(189,2 mg, 0,385 mmol) en piridina (2 ml) a temperatura ambiente se añadió anhídrido acético (47,5 mg, 0,462 mmol). Después de 2 horas, los volátiles se eliminaronal vacío.La mezcla de reacción cruda se diluyó con EtOAc y se lavó con HCl acuoso (1 N) y solución acuosa saturada de bicarbonato sódico/salmuera (1/1). La capa orgánica se secó sobre sulfato de sodio. La filtración y la evaporación de los disolventes proporcionaron material bruto que se purificó por cromatografía sobre gel de sílice (eluyente: EtOAc/hexanos) para proporcionar elCompuesto 11a(185,5 mg, 0,348 mmol).1H-RMN (400 MHz, CDCh): 8,15 (m, 3H), 8,04 (d,J= 7,6 Hz, 2H), 7,65 - 7,44 (m, 7H), 5,99 (s, 1H), 5,81 - 5,73 (m, 3H), 4,69 (m, 1H), 1,57 - 1,54 (m,6H) ppm. MS = 533 (M H+). Tiempo de retención de LC/MS en un método de6minutos LC/MS (columna Polar RP) = 3,89 min.[0229] To a solution ofCompound 10d (189.2 mg, 0.385 mmol) in pyridine (2 ml) at room temperature was added acetic anhydride (47.5 mg, 0.462 mmol). After 2 hours, the volatiles were removedin vacuo. The crude reaction mixture was diluted with EtOAc and washed with aqueous HCl (1 N) and saturated aqueous sodium bicarbonate / brine solution (1/1). The organic layer was dried over sodium sulfate. Filtration and evaporation of the solvents provided crude material that was purified by chromatography on silica gel (eluent: EtOAc / hexanes) to provideCompound 11a (185.5 mg, 0.348 mmol).1 H-NMR (400 MHz, CDCh): 8.15 (m, 3H), 8.04 (d,J = 7.6 Hz, 2H), 7.65 - 7.44 (m, 7H), 5 , 99 (s, 1H), 5.81 to 5.73 (m, 3H), 4.69 (m, 1H), 1.57 to 1.54 (m,6H) ppm. MS = 533 (M H +). LC / MS retention time in a6 minute LC / MS method (Polar RP column) = 3.89 min.

Figure imgf000076_0002
Figure imgf000076_0002

[0230]A una solución delCompuesto 11a(180,0 mg, 0,338 mmol), DMAP (82,4 mg, 0,676 mmol) y trietilamina (68,2 mg, 0,676 mmol) en acetonitrilo( 8ml) a temperatura ambiente se le añadió cloruro de triisopropilfenilsulfonilo (204 mg, 0,666 mmol). La agitación a temperatura ambiente continuó. Después de 30 minutos, la reacción se enfrió a 0°C. La solución NH3acuosa concentrada (2 ml) se añadió y la reacción se dejó calentar a temperatura ambiente. Después de 30 minutos adicionales, el volumen de la mezcla de reacción se redujoal vacío.La mezcla de reacción cruda se diluyó con EtOAc y se lavó con HCl acuoso (1 N) y solución acuosa saturada de bicarbonato sódico/salmuera (1/1). La capa orgánica se secó sobre sulfato de sodio. La filtración y la evaporación de los disolventes proporcionaron material bruto que se purificó por cromatografía sobre gel de sílice (eluyente: EtOAc/hexanos) para proporcionar una mezcla delCompuesto 11by su derivado 2O' des-acetilo (128,5 mg, combinados). Esta mezcla se usó en la siguiente reacción. Tiempo de retención de LC/MS en un método de LC/MS de6minutos (columna Polar RP) = 3,59 min (Compuesto 11b) y 3,42 min (des-Ac).[0230] To a solution ofCompound 11a (180.0 mg, 0.338 mmol), DMAP (82.4 mg, 0.676 mmol) and triethylamine (68.2 mg, 0.676 mmol) in acetonitrile(8 ml) at room temperature is Triisopropylphenylsulfonyl chloride (204 mg, 0.666 mmol) was added. Stirring at room temperature continued. After 30 minutes, the reaction was cooled to 0 ° C. The concentrated aqueous NH3 solution (2 ml) was added and the reaction was allowed to warm to room temperature. After an additional 30 minutes, the volume of the reaction mixture was reducedin vacuo. The crude reaction mixture was diluted with EtOAc and washed with aqueous HCl (1 N) and saturated aqueous sodium bicarbonate / brine solution (1/1). The organic layer was dried over sodium sulfate. Filtration and evaporation of the solvents provided crude material that was purified by silica gel chromatography (eluent: EtOAc / hexanes) to provide a mixture ofCompound 11b and its 2O 'deacetyl derivative (128.5 mg, combined) . This mixture was used in the next reaction. LC / MS retention time in a6- minute LC / MS method (Polar RP column) = 3.59 min (Compound 11b) and 3.42 min (des-Ac).

Figure imgf000076_0003
Figure imgf000076_0003

[0231]A una solución delCompuesto 11by su derivado de des-acetilo (11,0 mg, ~0,230 mmol) en dioxano (1 ml) a temperatura ambiente se añadieron 2 ml de concentrado. ac. amoníaco. La mezcla de reacción se agitó a temperatura ambiente durante 1,5 horas y a 50°C durante6horas. La reacción se enfrió a temperatura ambiente y se concentróal vacío.El producto de reacción bruto se disolvió en agua y se purificó mediante HPLC de fase inversa (eluyente: agua/MeCN). Las fracciones que contenían el producto se combinaron, congelaron y liofilizaron para proporcionar elCompuesto 11(22,7 mg, 0,081 mmol).1H-RMN (400 MHz, D2O): H57,68 (d,J= 7,6 Hz, 1H), 5,91 (d,J= 7,6 Hz, 1H), 4,70 (s, 1H), 4,23 (m, 1H), 4,10 (m, 1H), 3,98 (m, 1H), 1,17 (d,J= 6,4 Hz, 3H) ppm. MS = 283 (M H+). Tiempo de retención de LC/MS en un método de6minutos LC/MS (columna Polar RP) = 0,62 min.[0231] To a solution ofCompound 11b and itsdeacetyl derivative (11.0 mg, ~ 0.230 mmol) in dioxane (1 ml) at room temperature was added 2 ml of concentrate. ac. ammonia. The reaction mixture was stirred at temperature. ambient for 1.5 hours and at 50 ° C for6 hours. The reaction was cooled to room temperature and concentratedin vacuo. The crude reaction product was dissolved in water and purified by reverse phase HPLC (eluent: water / MeCN). The fractions containing the product were combined, frozen and lyophilized to provideCompound 11 (22.7 mg, 0.081 mmol).1 H-NMR (400 MHz, D2 O): H57.68 (d,J = 7.6 Hz, 1H), 5.91 (d,J = 7.6 Hz, 1H), 4.70 (s , 1H), 4.23 (m, 1H), 4.10 (m, 1H), 3.98 (m, 1H), 1.17 (d,J = 6.4 Hz, 3H) ppm. MS = 283 (M H +). LC / MS retention time in a6- minute LC / MS method (Polar RP column) = 0.62 min.

Compuesto 12Compound 12

Figure imgf000077_0001
Figure imgf000077_0001

[0232]ElCompuesto 3(2,0 g, 7,4 mmol) se disolvió en piridina seca (24 ml). A esta mezcla, se añadió gota a gota 1,3-dicloro-1,1,3,3-tetraisopropil disiloxano (2 ml. 1,3 eq). La solución se agitó a temperatura ambiente durante 16 horas. Después, el disolvente se eliminó a vacío y el residuo resultante se disolvió en EtOAc, se lavó con H2O y salmuera. La fase orgánica se secó sobre Na2SO4y se evaporó a sequedad. El producto bruto se purificó por cromatografía en columna sobre gel de sílice usando acetato de etilo/hexanos para dar elCompuesto 12a(2,1 g, 55% de rendimiento). MS = 510 (M - H+). Tiempo de retención de LC/MS en un método de LC/MS de 3,5 minutos (columna Polar RP) = 2,49 min.[0232]Compound 3 (2.0 g, 7.4 mmol) was dissolved in dry pyridine (24 ml). To this mixture, 1,3-dichloro-1,1,3,3-tetraisopropyl disiloxane (2 ml. 1.3 eq) was added dropwise. The solution was stirred at room temperature for 16 hours. The solvent was removed in vacuo and the resulting residue was dissolved in EtOAc, washed with H2 O and brine. The organic phase was dried over Na2 SO4 and evaporated to dryness. The crude product was purified by column chromatography on silica gel using ethyl acetate / hexanes to giveCompound 12a (2.1 g, 55% yield). MS = 510 (M - H +). LC / MS retention time in a 3.5 minute LC / MS method (Polar RP column) = 2.49 min.

Figure imgf000077_0002
Figure imgf000077_0002

[0233]Se añadió trietilamina (0,089 ml, 0,64 mmol) a una solución en agitación deCompuesto 12a(300 mg, 0,49 mmol) en CH3CN (5 ml). Se añadieron cloruro de 2,4,6-triisopropilbencenosulfonilo (192 mg, 0,64 mmol) y 4-dimetilaminopiridina (78 mg, 0,64 mmol). La mezcla de reacción se agitó a temperatura ambiente durante 1 hora. Se añadió etanol (25 ml) a la mezcla, junto con trietilamina adicional (0,34 ml). La solución se agitó a temperatura ambiente durante 5 horas. Después, el disolvente se eliminó a vacío y el residuo resultante se disolvió en EtOAc, se lavó con solución concentrada de NH4Cl, H2O y salmuera. La fase orgánica se secó sobre Na2SO4y se evaporó a sequedad. El producto bruto se purificó por cromatografía en columna sobre gel de sílice usando acetato de etilo/hexanos para dar elCompuesto 12b(250 g, 95% de rendimiento). MS = 540 (M H+). Tiempo de retención de LC/MS en un método de LC/MS de 3,5 minutos (columna Polar RP) =2 , 6 9min.[0233] Triethylamine (0.089 ml, 0.64 mmol) was added to a stirring solution ofCompound 12a (300 mg, 0.49 mmol) in CH3 CN (5 ml). 2,4,6-Triisopropylbenzenesulfonyl chloride (192 mg, 0.64 mmol) and 4-dimethylaminopyridine (78 mg, 0.64 mmol) were added. The reaction mixture was stirred at room temperature for 1 hour. Ethanol (25 ml) was added to the mixture, together with additional triethylamine (0.34 ml). The solution was stirred at room temperature for 5 hours. Then, the solvent was removed in vacuo and the resulting residue was dissolved in EtOAc, washed with concentrated NH4 Cl solution, H2 O and brine. The organic phase was dried over Na2 SO4 and evaporated to dryness. The crude product was purified by column chromatography on silica gel using ethyl acetate / hexanes to giveCompound 12b (250 g, 95% yield). MS = 540 (M H +). LC / MS retention time in a 3.5-minute LC / MS method (Polar RP column) =2.6 9 min.

Figure imgf000077_0003
Figure imgf000077_0003

[0234]ElCompuesto 12b(900 mg, 1,8 mmol) se disolvió en acetona seca (20 ml). Se añadió óxido de plata (I) (3,3 g, 14 mmol) a la solución, seguido de la adición de yoduro de metilo (2,5 g, 18 mmol). La solución se agitó a temperatura ambiente durante 16 horas. La mezcla se filtró para eliminar el óxido suspendido, se concentró al vacío y se purificó por cromatografía en columna sobre gel de sílice usando acetato de etilo/hexanos para dar elCompuesto 12c(250 g, 26% de rendimiento). MS = 554 (M H+). Tiempo de retención de LC/MS en un método de LC/MS de 3,5 minutos (columna Polar RP) = 2,75 min.[0234]Compound 12b (900 mg, 1.8 mmol) was dissolved in dry acetone (20 ml). Silver (I) oxide (3.3 g, 14 mmol) was added to the solution, followed by the addition of methyl iodide (2.5 g, 18 mmol). The solution was stirred at room temperature for 16 hours. The mixture was filtered to remove the suspended oxide, concentrated in vacuo and purified by column chromatography on silica gel using ethyl acetate / hexanes to giveCompound 12c (250 g, 26% yield). MS = 554 (M H +). LC / MS retention time in a 3.5 minute LC / MS method (Polar RP column) = 2.75 min.

Figure imgf000078_0001
Figure imgf000078_0001

[0235]ElCompuesto 12c(220 mg, 0,40 mmol) se disolvió en metanol (6 ml) y la solución resultante se enfrió a 0°C en un baño de hielo. El ácido clorhídrico (0,6 ml, 1 M en H2se añadió gota a gota O). Una vez completada la adición, la mezcla se dejó calentar a temperatura ambiente y se agitó durante 12 horas. El disolvente se concentró y el residuo se lavó dos veces con DCM para eliminar las impurezas de sililo. El crudo se purificó por cromatografía en columna sobre gel de sílice usando MeOH/DCM para dar el Compuesto 12 (80 mg, 70% de rendimiento). MS = 284 (M H+). Tiempo de retención de LC/MS en un método de LC/MS de 3,5 minutos (columna Polar RP) = 0,90 min.[0235]Compound 12c (220 mg, 0.40 mmol) was dissolved in methanol (6 ml) and the resulting solution was cooled to 0 ° C in an ice bath. Hydrochloric acid (0.6 ml, 1 M in H2 was added dropwise O). After the addition was complete, the mixture was allowed to warm to room temperature and stirred for 12 hours. The solvent was concentrated and the residue was washed twice with DCM to remove silyl impurities. The crude was purified by column chromatography on silica gel using MeOH / DCM to give Compound 12 (80 mg, 70% yield). MS = 284 (M H +). LC / MS retention time in a 3.5 minute LC / MS method (Polar RP column) = 0.90 min.

Compuesto 13Compound 13

Figure imgf000078_0002
Figure imgf000078_0002

[0236]ElCompuesto 12(70 mg, 0,25 mmol) se disolvió en piridina seca (2 ml). A esta mezcla, se añadió gota a gota 1,3-dicloro-1,1,3,3-tetraisoporpil disiloxano (0,10 ml. 1,3 eq). La solución se agitó a temperatura ambiente durante 2 horas. Después, el disolvente se eliminó a vacío y el residuo resultante se disolvió en EtOAc, se lavó con H2O y salmuera. La fase orgánica se secó sobre Na2SO4y se evaporó a sequedad. El producto bruto se purificó por cromatografía en columna sobre gel de sílice usando acetato de etilo/hexanos para dar elCompuesto 13a(120 mg, 55% de rendimiento). MS = 526 (M H+). Tiempo de retención de LC/MS en un método de LC/MS de 3,5 minutos (columna Polar RP) = 2,57 min.[0236]Compound 12 (70 mg, 0.25 mmol) was dissolved in dry pyridine (2 ml). To this mixture, 1,3-dichloro-1,1,3,3-tetraisoporpyl disiloxane (0.10 ml. 1.3 eq) was added dropwise. The solution was stirred at room temperature for 2 hours. The solvent was removed in vacuo and the resulting residue was dissolved in EtOAc, washed with H2 O and brine. The organic phase was dried over Na2 SO4 and evaporated to dryness. The crude product was purified by column chromatography on silica gel using ethyl acetate / hexanes to giveCompound 13a (120 mg, 55% yield). MS = 526 (M H +). LC / MS retention time in a 3.5 minute LC / MS method (Polar RP column) = 2.57 min.

Figure imgf000078_0003
Figure imgf000078_0003

[0237]Se añadió trietilamina (60 mg, 0,60 mmol) a una solución en agitación deCompuesto 13a(155 mg, 0,30 mmol) en CH3CN (1 ml). Se añadieron cloruro de 2,4,6-triisopropilbencenosulfonilo (179 mg, 0,60 mmol) y 4-dimetilaminopiridina (72 mg, 0,0,60 mmol). La mezcla de reacción se agitó a temperatura ambiente durante 3 horas. La mezcla se evaporó a la sequedad El residuo se disolvió en CH3CN (3 ml) y NH3se añadió (solución acuosa al 28%, 6 ml). La mezcla de reacción se agitó a temperatura ambiente durante 2 horas. A continuación, el disolvente se eliminó a vacío y el residuo se disolvió en CH2Cl2y se lavó con salmuera. La fase orgánica se secó sobre Na2SO4y se evaporó a sequedad. El producto bruto se purificó por cromatografía en columna sobre gel de sílice usando acetato de etilo/metanol 3:1 para dar el Compuesto 13b (80 mg, 52% de rendimiento). MS = 556 (M H+). Tiempo de retención de LC/MS en un método de LC/MS de 3,5 minutos (columna Polar RP) = 2,45 min.[0237] Triethylamine (60 mg, 0.60 mmol) was added to a stirring solution ofCompound 13a (155 mg, 0.30 mmol) in CH3 CN (1 mL). 2,4,6-Triisopropylbenzenesulfonyl chloride (179 mg, 0.60 mmol) and 4-dimethylaminopyridine (72 mg, 0.060 mmol) were added. The reaction mixture was stirred at room temperature for 3 hours. The mixture was evaporated to dryness. The residue was dissolved in CH3 CN (3 ml) and NH3 was added (28% aqueous solution, 6 ml) The reaction mixture was stirred at room temperature for 2 hours. Then, the solvent was removed in vacuo and the residue was dissolved in CH2 Cl2 and washed with brine. The organic phase was dried over Na2 SO4 and evaporated to dryness. The crude product was purified by column chromatography on silica gel using 3: 1 ethyl acetate / methanol to give Compound 13b (80 mg, 52% yield). MS = 556 (M H +). LC / MS retention time in a 3.5-minute LC / MS method (Polar RP column) = 2.45 min.

Figure imgf000079_0001
Figure imgf000079_0001

[0238]ElCompuesto 13b(240 mg, 0,46 mmol) se disolvió en THF anhidro (6 ml). Se añadió difluorodifenilsilicato de tetrabutilamonio (TBAT) (540 mg, 1,01 mmol) y la solución resultante se agitó a temperatura ambiente durante 20 min. Se añadió ácido acético (0,06 ml, 1,0 mmol). La mezcla se concentró y el residuo se disolvió en agua. El material insoluble se eliminó por filtración. El filtrado se purificó por HPLC (modo neutro, columna RP Polar) para dar elCompuesto 13(30 mg, 24% de rendimiento). MS = 283 (M H+). 1H RMN (400 MHz, CD3OD) 88,14 (d,J= 7,7 Hz, 1H), 5,89 (d,J= 7,7 Hz, 1H), 4,16 (dd,J= 10,1, 4,4 Hz, 2H), 3,80 (s, 3H), 3,73 (dd,J= 10,0, 2,5 Hz, 1H). Tiempo de retención de LC/MS en un método de LC/MS de 3,5 minutos (columna Polar RP) = 0,48 min.[0238]Compound 13b (240 mg, 0.46 mmol) was dissolved in anhydrous THF (6 ml). Tetrabutylammonium difluorodiphenylsilicate (TBAT) (540 mg, 1.01 mmol) was added and the resulting solution was stirred at room temperature for 20 min. Acetic acid (0.06 ml, 1.0 mmol) was added. The mixture was concentrated and the residue was dissolved in water. Insoluble material was removed by filtration. The filtrate was purified by HPLC (neutral mode, RP Polar column) to giveCompound 13 (30 mg, 24% yield). MS = 283 (M H +). 1 H NMR (400 MHz, CD3 OD) 88.14 (d,J = 7.7 Hz, 1 H), 5.89 (d,J = 7.7 Hz, 1 H), 4.16 (dd,J = 10.1, 4.4 Hz, 2H), 3.80 (s, 3H), 3.73 (dd,J = 10.0, 2.5 Hz, 1H). LC / MS retention time in a 3.5 minute LC / MS method (Polar RP column) = 0.48 min.

Compuesto 14Compound 14

Figure imgf000079_0002
Figure imgf000079_0002

[0239] A un matraz seco de fondo redondo purgado con argón (25 ml) se le añadió elCompuesto 1y piridina anhidra (4 ml). Se añadió gota a gota 1,3-dicloro-1,1,3,3-tetraisoporpil disiloxano (1,33 ml, 4,16 mmol) y la reacción se agitó durante 2 horas a 0°C. Luego se retiró el baño de hielo y la mezcla se calentó a temperatura ambiente y continuó agitándose hasta la desaparición completa del material de partida. Después de 10 minutos de calentamiento, la reacción se diluyó con 10 ml de H2O y se recogió el material deseado a través de filtración a vacío. El material se colocó a alto vacío durante la noche para un secado adicional. Se recogieron 1,90 g (96% de rendimiento) del material deseado,Compuesto 14a. MS = 526,4 (M - H+). Tiempo de retención de LC/MS en un método de lC/MS de 6,0 minutos (columna Polar RP) = 5,09 min.[0239 ] To a dry round bottom flask purged with argon (25 ml) was addedCompound 1 and anhydrous pyridine (4 ml). 1,3-Dichloro-1,1,3,3-tetraisoporpil disiloxane (1.33 ml, 4.16 mmol) was added dropwise and the reaction was stirred for 2 hours at 0 ° C. The ice bath was then removed and the mixture was heated to room temperature and continued stirring until the starting material disappeared completely. After 10 minutes of heating, the reaction was diluted with 10 ml of H2 O and the desired material was collected through vacuum filtration. The material was placed under high vacuum overnight for further drying. 1.90 g (96% yield) of the desired material,Compound 14a , was collected. MS = 526.4 (M-H +). LC / MS retention time in a 6.0 minute lC / MS method (Polar RP column) = 5.09 min.

Figure imgf000079_0003
Figure imgf000079_0003

[0240]A un matraz seco de fondo redondo purgado con argón (50 ml) se le añadió elCompuesto 14a(1,7 g, 3,23 mmol), diclorometano anhidro (10 ml) y acetonitrilo anhidro (10 ml). Luego se añadió en porciones dimetilamino piridina (1,19 g, 9,7 mmol) seguido de la adición gota a gota de cloroxoacetato de metilo (0,89 ml, 9,7 mmol). La reacción se dejó agitar a temperatura ambiente hasta la desaparición completa del material de partida. Después de 1,5 h, la mezcla de reacción en bruto se diluyó con EtOAc, seguido de lavados con NaHCO3(sat), agua, y salmuera. Las capas orgánicas combinadas se secaron sobre NaSO4y el disolvente se eliminó a presión reducida. La mezcla se secó azeotrópicamente usando tolueno y se colocó a alto vacío durante la noche para completar. Se recogieron 1,72 g (rendimiento del 87%) del material deseado, Compuesto 14b. 1H-RMN (400 Mh z , CD3OD): H57,82 (d,J= 8,4 Hz, 1H), 5,78 (d,J= 8,4 Hz, 1H), 4,47 (m, 1H), 4,30 (m, 1H), 4,20 (m, 2H), 3,93 (s, 3H), 2,89 (s, 3H), 1,08 (m, 28H). MS = 609,8 (M - H+). Tiempo de retención de Lc /MS en un método de LC/MS de 6,0 minutos (columna Polar RP) = 5,35 min.[0240]Compound 14a (1.7 g, 3.23 mmol), anhydrous dichloromethane (10 ml) and anhydrous acetonitrile (10 ml) were added to a round bottom dry flask purged with argon (50 ml). Then dimethylamino pyridine (1.19 g, 9.7 mmol) was added portionwise followed by the dropwise addition of methyl chloroxoacetate (0.89 ml, 9.7 mmol). The reaction was allowed to stir at room temperature until the complete disappearance of the starting material. After 1.5 h, the crude reaction mixture was diluted with EtOAc, followed by washing with NaHCO3 (sat), water, and brine. The combined organic layers were dried over NaSO4 and the solvent was removed under reduced pressure. The mixture dried azeotropically using toluene and placed under high vacuum overnight to complete. 1.72 g (87% yield) of the desired material, Compound 14b, was collected. 1H-NMR (400 Mh z, CD3OD): H57.82 (d,J = 8.4 Hz, 1H), 5.78 (d,J = 8.4 Hz, 1H), 4.47 (m, 1H ), 4.30 (m, 1H), 4.20 (m, 2H), 3.93 (s, 3H), 2.89 (s, 3H), 1.08 (m, 28H). MS = 609.8 (M-H +). Lc / MS retention time in a 6.0 minute LC / MS method (Polar RP column) = 5.35 min.

Figure imgf000080_0001
Figure imgf000080_0001

[0241] A un matraz seco de fondo redondo purgado con argón (500 ml) se le anadió el Compuesto 14b (1,75 g, 2,86 mmol) y tolueno anhidro (120 ml). Luego se añadieron AIBN (118,8 g, 0,49 mmol) y BuaSnH (2,3 ml, 8,78 mmol) y el matraz se colocó en un bloque de calentamiento y se ajustó a 100°C. Después de 3 h, el disolvente se eliminó a presión reducida y la mezcla de reacción cruda se purificó usando cromatografía ultrarrápida (Hex/EtOAc). Se recogió el material deseado, el Compuesto 14c, junto con el isómero alfa (900 mg; 62%, 78:22 beta/alfa). Isómero beta después de la separación de la columna; 1H-RMN (400 MHz, CD3OD): H57,82 (d,J= 8,4 Hz, 1H), 5,73 (d,J= 8,4 Hz, 1H), 4,22 (m, 2H), 4,09 (m, 2H), 3,15 (m, 1H), 1,01 (m, 31H). MS = 507,9 (M - H-). Tiempo de retención de LC/MS en un método de 6,0 minutos LC/MS (columna Polar RP) = 5,18 min.[0241] Compound 14b (1.75 g, 2.86 mmol) and anhydrous toluene (120 ml) were added to a round bottom dry flask purged with argon (500 ml). Then AIBN (118.8 g, 0.49 mmol) and BuaSnH (2.3 ml, 8.78 mmol) were added and the flask was placed in a heating block and adjusted to 100 ° C. After 3 h, the solvent was removed under reduced pressure and the crude reaction mixture was purified using flash chromatography (Hex / EtOAc). The desired material, Compound 14c, was collected together with the alpha isomer (900 mg; 62%, 78:22 beta / alpha). Beta isomer after column separation; 1H-NMR (400 MHz, CD3OD): H57.82 (d,J = 8.4 Hz, 1H), 5.73 (d,J = 8.4 Hz, 1H), 4.22 (m, 2H) , 4.09 (m, 2H), 3.15 (m, 1H), 1.01 (m, 31H). MS = 507.9 (M-H-). LC / MS retention time in a method of 6.0 minutes LC / MS (Polar RP column) = 5.18 min.

Figure imgf000080_0002
Figure imgf000080_0002

[0242] A un matraz seco de fondo redondo purgado con argón (100 ml) se le añadió el Compuesto 14c (500 mg, 1,00 mmol) y acetonitrilo anhidro (13 ml). Luego se añadieron dimetilamino piridina (244 mg, 2,0 mmol) y trietilamina (0,28 ml, 2,0 mmol) al matraz. Por último, se añadió cloruro de 2,4,6-triisopropilbencenosulfonilo (0,28 ml, 2 mmol) a la mezcla y la solución se volvió amarilla. La reacción continuó agitándose a temperatura ambiente hasta la desaparición completa del material de partida. Después de 45 minutos, se añadió hidróxido de amonio (2,6 ml, 20% en volumen) a 0°C y la reacción se dejó calentar lentamente a temperatura ambiente. Después de 20 minutos adicionales, el disolvente se eliminó a presión reducida. La mezcla de reacción bruta se diluyó con EtOAc, seguido de lavados con NaHCO3(sat), agua, y salmuera. Las capas orgánicas combinadas se secaron sobre NaSO4y el disolvente se eliminó a presión reducida. La mezcla de reacción cruda se purificó luego usando cromatografía instantánea (DCM/MeOH). Se recogieron 380 mg (75% de rendimiento) del material deseado, Compuesto 14d. 1H-RMN (400 MHz, CD3OD): 7,77 (d,J= 8,4 Hz, 1H), 5,93 (d,J= 8,4 Hz, 1H), 4,23 (m, 2H), 4,07 (m, 2H), 3,17 (m, 1H), 1,25 (m, 1H), 1,09 (m, 27H), 0,96 (m, 3H). MS = 509,1 (M - H+). Tiempo de retención de LC/MS en un método de 6,0 minutos LC/MS (columna Polar RP) = 4,83 min.[0242] Compound 14c (500 mg, 1.00 mmol) and anhydrous acetonitrile (13 ml) were added to a round bottom dry flask purged with argon (100 ml). Then dimethylamino pyridine (244 mg, 2.0 mmol) and triethylamine (0.28 ml, 2.0 mmol) were added to the flask. Finally, 2,4,6-triisopropylbenzenesulfonyl chloride (0.28 ml, 2 mmol) was added to the mixture and the solution turned yellow. The reaction continued to stir at room temperature until complete disappearance of the starting material. After 45 minutes, ammonium hydroxide (2.6 ml, 20% by volume) was added at 0 ° C and the reaction was allowed to slowly warm to room temperature. After an additional 20 minutes, the solvent was removed under reduced pressure. The crude reaction mixture was diluted with EtOAc, followed by washing with NaHCO3 (sat), water, and brine. The combined organic layers were dried over NaSO4 and the solvent was removed under reduced pressure. The crude reaction mixture was then purified using flash chromatography (DCM / MeOH). 380 mg (75% yield) of the desired material, Compound 14d. 1H-NMR (400 MHz, CD3OD): 7.77 (d,J = 8.4 Hz, 1H), 5.93 (d,J = 8.4 Hz, 1H), 4.23 (m, 2H) , 4.07 (m, 2H), 3.17 (m, 1H), 1.25 (m, 1H), 1.09 (m, 27H), 0.96 (m, 3H). MS = 509.1 (M-H +). LC / MS retention time in a method of 6.0 minutes LC / MS (Polar RP column) = 4.83 min.

Figure imgf000080_0003
Figure imgf000080_0003

[0243]A un matraz de fondo redondo seco de argón purgado (50 ml) se añadió elCompuesto 14d(180 mg, 0,35 mmol) y tetrahidrofurano anhidro (9 ml). Luego se añadió TBAF (0,23 mL, 0,778 mmol) y la reacción se dejó agitar a temperatura ambiente hasta la desaparición completa del material de partida. Después de 10 minutos, se añadió ácido acético para neutralizar la solución y luego se eliminó el disolvente a presión reducida. La mezcla de reacción cruda se disolvió en agua, los insolubles se filtraron y el filtrado se purificó usando HPLC preparativa. Se recogieron 80 mg (86%) del material deseado,Compuesto 14. 1H-RMN (400 MHz, CD3OD): H57,77 (d,J= 8,4 Hz, 1H), 5,94 (d,J= 8,4 Hz, 1H), 4,24 (m, 1H), 3,91 (m, 1H), 3,83 (m, 1H), 3,70 (m, 1H), 3,07 (m, 1H), 0,66 (d,J= 7,5 Hz, 3H). MS = 267,1 (M H+). Tiempo de retención de LC/Ms en un método de LC/MS de 3,0 minutos (columna Polar RP) = 0,40 min.Compuesto 15[0243]Compound 14d (180 mg, 0.35 mmol) and anhydrous tetrahydrofuran (9 ml) were added to a dry round bottom flask of purged argon (50 ml). TBAF (0.23 mL, 0.788 mmol) was then added and the reaction was allowed to stir at room temperature until complete disappearance of the starting material. After 10 minutes, acetic acid was added to neutralize the solution and then the solvent was removed under reduced pressure. The crude reaction mixture was dissolved in water, the insolubles were filtered and the filtrate was purified using preparative HPLC. 80 mg (86%) of the desired material,Compound 14 , was collected. 1H-NMR (400 MHz, CD3OD): H57.77 (d,J = 8.4 Hz, 1H), 5.94 (d,J = 8.4 Hz, 1H), 4.24 (m, 1H) , 3.91 (m, 1H), 3.83 (m, 1H), 3.70 (m, 1H), 3.07 (m, 1H), 0.66 (d,J = 7.5 Hz, 3H). MS = 267.1 (M H +). LC / Ms retention time in a 3.0 minute LC / MS method (Polar RP column) = 0.40 min.Compound 15

Figure imgf000081_0001
Figure imgf000081_0001

[0244]ElCompuesto 15se preparó a partir delCompuesto 14cen condiciones similares a las descritas en la conversión delCompuesto 14dalCompuesto 14.[0244]Compound 15 was prepared fromCompound 14c under conditions similar to those described in the conversion ofCompound 14d toCompound 14 .

1H-RMN (400 MHz, CD3OD): H57,83 (d,J= 8,4 Hz, 1H), 5,78 (d,J= 8,4 Hz, 1H), 4,24 (m, 1H), 3,94 (m, 1H), 3,84 (dd, 1H), 3,71 (dd, 1H), 3,07 (m, 1H), 0,76 (d,J= 7,5 Hz, 3H). MS = 268,1 (M H+). Tiempo de retención de LC/MS en un método de LC/MS de 3,0 minutos (columna Polar RP) = 0,79 min.1H-NMR (400 MHz, CD3OD): H57.83 (d,J = 8.4 Hz, 1H), 5.78 (d,J = 8.4 Hz, 1H), 4.24 (m, 1H) , 3.94 (m, 1H), 3.84 (dd, 1H), 3.71 (dd, 1H), 3.07 (m, 1H), 0.76 (d,J = 7.5 Hz, 3H). MS = 268.1 (M H +). LC / MS retention time in a 3.0 minute LC / MS method (Polar RP column) = 0.79 min.

Compuesto 16Compound 16

Figure imgf000081_0002
Figure imgf000081_0002

[0245]ElCompuesto 16puede obtenerse delCompuesto 3siguiendo la secuencia sintética mostrada anteriormente, cuyos procedimientos se describen en Journal of Organic Chemistry, 1981, 46, 3603. Brevemente, una solución delCompuesto 3y cloruro de tritilo (~1,1 eq) en La piridina se agita a temperatura ambiente. Si es necesario, se agrega cloruro de tritilo adicional aproximadamente a las 24 h y aproximadamente 48 h. Una vez completada la reacción, se elimina el disolvente y el residuo se reparte entre diclorometano y agua. La capa orgánica se concentra y el residuo se purifica por cromatografía sobre gel de sílice. El intermedio tritilado se trata luego con (tiocarbonil) diimidazol (~1,4 eq.) En d Mf durante aproximadamente 1 h a 24 h para proporcionar, después del tratamiento habitual, el 2',3'-0-tiocarbonato. Una solución del tiocarbonato en tolueno se trata con una solución de hidruro de trin-butilestaño (3-4 eq.) y una cantidad catalítica de AIBN en tolueno a aproximadamente 80 a aproximadamente 120°C durante aproximadamente 30 minutos. a 5 h. El tratamiento y la purificación habituales proporcionan el producto 3'-desoxi, junto con el producto 2'-desoxi. El intermedio 3'-desoxi deseado se trata luego con ácido fórmico al 80-95% para proporcionar elCompuesto 16.[0245]Compound 16 can be obtained fromCompound 3 following the synthetic sequence shown above, the procedures of which are described in the Journal of Organic Chemistry, 1981, 46, 3603. Briefly, a solution ofCompound 3 and trityl chloride (~ 1.1 eq) in Pyridine is stirred at room temperature. If necessary, additional trityl chloride is added at approximately 24 h and approximately 48 h. Once the reaction is complete, the solvent is removed and the residue is partitioned between dichloromethane and water. The organic layer is concentrated and the residue is purified by chromatography on silica gel. The tritylated intermediate is then treated with (thiocarbonyl) diimidazole (~ 1.4 eq.) In d Mf for about 1 h at 24 h to provide, after the usual treatment, 2 ', 3'-0-thiocarbonate. A solution of thiocarbonate in toluene is treated with a solution of trin-butyltin hydride (3-4 eq.) And a catalytic amount of AIBN in toluene at about 80 to about 120 ° C for about 30 minutes. at 5 h. The usual treatment and purification provide the 3'-deoxy product, together with the 2'-deoxy product. The desired 3'-deoxy intermediate is then treated with 80-95% formic acid to provideCompound 16 .

Compuesto 17Compound 17

Figure imgf000082_0001
Figure imgf000082_0001

[0246]ElCompuesto 17se obtiene delCompuesto 16siguiendo el procedimiento similar al de la preparación delCompuesto 4.[0246]Compound 17 is obtained fromCompound 16 following the procedure similar to that of preparingCompound 4.

Compuesto 18Compound 18

Figure imgf000082_0002
Figure imgf000082_0002

[0247]ElCompuesto 18se prepara siguiendo una secuencia sintética similar a la delCompuesto 8sustituyendo elCompuesto 18apor elCompuesto 8a[0247]Compound 18 is prepared following a synthetic sequence similar to that ofCompound 8 by replacingCompound 18a withCompound 8a

Preparación de18a18th Preparation

[0248][0248]

Figure imgf000082_0003
Figure imgf000082_0003

[0249]ElCompuesto 18apuede obtenerse mediante una secuencia de reacción como se muestra anteriormente. Los procedimientos detallados para la construcción del anillo de oxetano se describen en Organic Biomolecular Chemistry, 2003, 1, 3513. La protección y la desprotección en esta preparación se logran mediante métodos generales bien establecidos en la práctica de la química de nucleósidos.[0249]Compound 18a can be obtained by a reaction sequence as shown above. Detailed procedures for the construction of the oxetane ring are described in Organic Biomolecular Chemistry, 2003, 1, 3513. The protection and deprotection in this preparation are achieved by well established general methods in the practice of nucleoside chemistry.

Compuesto 19Compound 19

Figure imgf000083_0001
Figure imgf000083_0001

[0250]ElCompuesto 19se obtiene delCompuesto 18siguiendo el procedimiento similar al de la preparación delCompuesto 4.[0250]Compound 19 is obtained fromCompound 18 following the procedure similar to that of preparingCompound 4.

Método general para la preparación de nucleósidos sustituidos con 1'-CN-4'-azidoGeneral method for the preparation of nucleosides substituted with 1'-CN-4'-azido

[0251]La incorporación del grupo azido en la posición 4' del nucleósido sustituido con 1'-CN consiste en la deshidratación a losCompuestos GIde losCompuestos G-Hy la posterior azido-hidroxilación aG-J(Esquema 3). Los CompuestosG-Jse preparan según métodos bien establecidos en la técnica. Las referencias relevantes incluyen Arch.Pharm.Res., 1995, 364; Antiviral Chemistry and Chemotherapy, 2009, 99; Bioorganic and Medicinal Chemistry Letters, 2007, 2570; Journal of Medicinal Chemistry, 1992, 1440; Journal of Medicinal Chemistry, 2007, 5463; Journal of Medicinal Chemistry, 2009, 2971; Synlett, 2011, 57; EP371366, 1990.[0251] The incorporation of the azido group at the 4'-position of the 1'-CN substituted nucleoside consists in dehydration to theGI Compounds of theGH Compounds and the subsequent azido-hydroxylation toGJ (Scheme 3).GJ Compounds are prepared according to methods well established in the art. Relevant references include Arch.Pharm.Res., 1995, 364; Antiviral Chemistry and Chemotherapy, 2009, 99; Bioorganic and Medicinal Chemistry Letters, 2007, 2570; Journal of Medicinal Chemistry, 1992, 1440; Journal of Medicinal Chemistry, 2007, 5463; Journal of Medicinal Chemistry, 2009, 2971; Synlett, 2011, 57; EP371366, 1990.

Esquema 3Scheme 3

Figure imgf000083_0002
Figure imgf000083_0002

Compuesto 20Compound 20

Figure imgf000083_0003
Figure imgf000083_0003

[0252]ElCompuesto 20se prepara de acuerdo con el método general, a partir delCompuesto 3.[0252]Compound 20 is prepared according to the general method, fromCompound 3 .

Compuesto 21Compound 21

Figure imgf000084_0001
Figure imgf000084_0001

[0253]ElCompuesto 21se prepara de acuerdo con el método general, a partir delCompuesto 15.[0253]Compound 21 is prepared according to the general method, fromCompound 15 .

Compuesto 22Compound 22

Figure imgf000084_0002
Figure imgf000084_0002

[0254]ElCompuesto 22se prepara a partir delCompuesto 20. La estereoquímica de 2'-alfa-OH se cambia a 2'-beta-OH en una cuestión similar a la delCompuesto l0.[0254]Compound 22 is prepared fromCompound 20 . The stereochemistry of 2'-alpha-OH is changed to 2'-beta-OH in a matter similar to that ofCompound 10 .

Compuesto 23Compound 23

Figure imgf000084_0003
Figure imgf000084_0003

[0255]ElCompuesto 23bse obtiene delCompuesto 23a(preparado según Tetrahedron, 2000, 5363) por un método similar al descrito en Tetrahedron Letters, 1995, 1683, usando di-t-butil-diclorosilano y nitrato de plata.[0255]Compound 23b is obtained fromCompound 23a (prepared according to Tetrahedron, 2000, 5363) by a method similar to that described in Tetrahedron Letters, 1995, 1683, using di-t-butyl dichlorosilane and silver nitrate.

Figure imgf000084_0004
Figure imgf000084_0004

[0256]ElCompuesto 23cse obtiene delCompuesto 23bpor un método similar al descrito en Journal of Organic Chemistry, 2004, 1831, usando dimetildioxirano y trietilaluminio.[0256]Compound 23c is obtained fromCompound 23b by a method similar to that described in the Journal of Organic Chemistry, 2004, 1831, using dimethyldioxyran and triethylaluminum.

Figure imgf000084_0005
Figure imgf000084_0005

[0257]ElCompuesto 23se obtiene delCompuesto 23cpor un método similar al descrito en Tetrahedron Letters, 1995, 1683, usando poli (fluoruro de hidrógeno) de piridinio.[0257]Compound 23 is obtained fromCompound 23c by a method similar to that described in Tetrahedron Letters, 1995, 1683, using pyridinium poly (hydrogen fluoride).

Compuesto 24Compound 24

Figure imgf000085_0001
Figure imgf000085_0001

[0258]ElCompuesto 24se obtiene delCompuesto 23siguiendo el procedimiento similar al de la preparación delCompuesto 4.[0258]Compound 24 is obtained fromCompound 23 following the procedure similar to that of preparingCompound 4.

Compuesto 25Compound 25

Figure imgf000085_0002
Figure imgf000085_0002

[0259]ElCompuesto 25se obtiene de una manera similar a la preparación delCompuesto 23, excepto que se usa trivinilaluminio en lugar de trietilaluminio.[0259]Compound 25 is obtained in a manner similar to the preparation ofCompound 23 , except that trivinyl aluminum is used instead of triethylaluminum.

Compuesto 26Compound 26

Figure imgf000085_0003
Figure imgf000085_0003

[0260]ElCompuesto 26se obtiene delCompuesto 25siguiendo el procedimiento similar al de preparación deCompuesto 4.[0260]Compound 26 is obtained fromCompound 25 following the procedure similar to the preparation ofCompound 4 .

Procedimiento general para la preparación de nucleótidos trifosfatos:General procedure for the preparation of nucleotide triphosphates:

[0261]A un matraz con forma de pera (5-15 ml) se le carga un nucleósido (~20 mg). Se agrega fosfato de trimetilo (0,5-1,0 mL). La solución se enfría con baño de agua con hielo. Se agrega POCh (40-45 mg) y se agita a 0°C hasta que se completa la reacción (1 a 4 h; el progreso de la reacción se controla por HPLC de intercambio iónico; las muestras analíticas se preparan tomando aproximadamente 3 pl de mezcla de reacción y diluirlo con 1,0 M Et3NH2CO3(30-50 pl)). Luego se agrega una solución de pirofosfato-Bu3N (250 mg) y Bu3N (90-105 mg) en acetonitrilo o DMF (1­ 1,5 mL). La mezcla se agita a 0°C durante 0,3 a 2,5 h, y luego la reacción se apaga con 1,0 M Et3NH2CO3(~5 ml). La mezcla resultante se agita durante 0,5-1 h adicionales mientras se calienta a temperatura ambiente. La mezcla se concentra a sequedad, se redisuelve en agua (4 ml) y se purifica por HPLC de intercambio iónico. Las fracciones que contienen el producto deseado se concentran a sequedad, se disuelven en agua (~5 ml), se concentran a sequedad y nuevamente se disuelven en agua (~5 ml). Se agrega NaHCO3(30-50 mg) y se concentra a sequedad. El residuo se disuelve en agua y se concentra a sequedad nuevamente. Este proceso se repite 2-5 veces. El residuo se somete luego a purificación por C-18 HPLC, proporcionando el producto deseado como una sal de sodio. Alternativamente, la mezcla de reacción cruda se somete primero a C-18 HPLC y luego a purificación por HPLC de intercambio iónico para proporcionar el producto deseado como una sal de trietilamonio.[0261] A pear-shaped flask (5-15 ml) is charged with a nucleoside (~ 20 mg). Trimethyl phosphate (0.5-1.0 mL) is added. The solution is cooled with ice water bath. POCh (40-45 mg) is added and stirred at 0 ° C until the reaction is complete (1 to 4 h; the progress of the reaction is monitored by ion exchange HPLC; the analytical samples are prepared by taking approximately 3 pl of reaction mixture and dilute it with 1.0 M Et3 NH2 CO3 (30-50 pl)). Then a solution of pyrophosphate-Bu3 N (250 mg) and Bu3 N (90-105 mg) in acetonitrile or DMF (1 1.5 mL) is added. The mixture is stirred at 0 ° C for 0.3 to 2.5 h, and then the reaction is quenched with 1.0 M Et3 NH2 CO3 (~ 5 ml). The resulting mixture is stirred for an additional 0.5-1 h while it is heated to room temperature. The mixture is concentrated to dryness, redissolved in water (4 ml) and purified by ion exchange HPLC. The fractions containing the desired product are concentrated to dryness, dissolved in water (~ 5 ml), concentrated to dryness and again dissolved in water (~ 5 ml). NaHCO3 (30-50 mg) is added and concentrated to dryness. The residue is dissolved in water and concentrated to dryness again. This process is repeated 2-5 times. The residue is then subjected to purification by C-18 HPLC, providing the desired product as a sodium salt. Alternatively, the crude reaction mixture is first subjected to C-18 HPLC and then purified by ion exchange HPLC to provide the desired product as a triethylammonium salt.

Compuesto 27Compound 27

Figure imgf000086_0001
Figure imgf000086_0001

[0262]ElCompuesto 27se preparó por el método general usando elCompuesto 1como material de partida. 1H RMN (400 MHz, D2O): 87,82 (d, 1H), 5,75 (d, 1H), 4,1-4,3 (m, 3H), 3,95 (d, 1H), 1,10 (s, 3H). 31P RMN (162 MHz, D2O): 8 -5,5 (d), -10,9(d), -21,3(t). MS = 522,0 (M - H+).[0262]Compound 27 was prepared by the general method usingCompound 1 as a starting material. 1 H NMR (400 MHz, D2 O): 87.82 (d, 1 H), 5.75 (d, 1 H), 4.1-4.3 (m, 3 H), 3.95 (d, 1 H) , 1.10 (s, 3H). 31 P NMR (162 MHz, D2 O): 8 -5.5 (d), -10.9 (d), -21.3 (t). MS = 522.0 (M-H +).

Compuesto 28Compound 28

Figure imgf000086_0002
Figure imgf000086_0002

[0263]ElCompuesto 28se preparó por el método general usando el Compuesto 2 como material de partida. 1H RMN (400 MHz, D2O): 87,95 (d, 1H), 6,04 (d, 1H), 4,1-4,4 (m, 3H), 3,87 (d, 1H), 3,10 (NCH2CH3), 1,10 (s, 3H, solapado con NCH2CH3). 31P RMN (162 MHz, D2O): 810,7 (d), -11,5(d), -23,2 (t). MS = 521,0 (M - H+).[0263]Compound 28 was prepared by the general method using Compound 2 as a starting material. 1 H NMR (400 MHz, D2 O): 87.95 (d, 1 H), 6.04 (d, 1 H), 4.1-4.4 (m, 3 H), 3.87 (d, 1 H) , 3.10 (NCH2 CH3 ), 1.10 (s, 3H, overlapped with NCH2 CH3 ). 31 P NMR (162 MHz, D2 O): 810.7 (d), -11.5 (d), -23.2 (t). MS = 521.0 (M-H +).

Procedimiento general para la preparación de un profármaco de nucleósidos Tipo PD-A:General procedure for the preparation of a nucleoside prodrug Type PD-A:

[0264]Los ejemplos no limitantes de profármacos de mono-fosforamidato que comprenden la presente invención pueden prepararse de acuerdo con el Esquema general 4.[0264] Non-limiting examples of mono-phosphoramidate prodrugs comprising the present invention can be prepared according to General Scheme 4.

Figure imgf000086_0003
Figure imgf000086_0003

[0265]El procedimiento general comprende la reacción de una sal de éster de aminoácido Compuesto 100b, por ejemplo, sal de HCl, con un Compuesto 100a de aril diclorofosfato en presencia de aproximadamente dos a diez equivalentes de una base adecuada para dar el Compuesto 100c de fosforamidato. Las bases adecuadas incluyen, pero no se limitan a, imidazoles, piridinas como lutidina y DMAP, aminas terciarias como trietilamina y DABCO, y amidinas sustituidas como DBN y DBU. Las aminas terciarias son particularmente preferidas.[0265] The general process comprises the reaction of an amino acid ester salt Compound 100b, for example, HCl salt, with a Compound 100a of aryl dichlorophosphate in the presence of about two to ten equivalents of a suitable base to give Compound 100c of phosphoramidate. Suitable bases include, but are not limited to, imidazoles, pyridines such as lutidine and DMAP, tertiary amines such as triethylamine and DABCO, and substituted amidines such as DBN and DBU. Tertiary amines are particularly preferred.

[0266]Preferiblemente, el producto de cada etapa se usa directamente en las etapas posteriores sin recristalización o cromatografía. En el documento WO 2006/121820 se pueden encontrar ejemplos específicos, pero no limitantes, del Compuesto 100a, el Compuesto 100b y el Compuesto 100c. Un nucleósido reacciona con el Compuesto 100c de quioridato de fósforo en presencia de una base adecuada. Las bases adecuadas incluyen, pero no se limitan a, imidazoles, piridinas como lutidina y DMAP, aminas terciarias como trietilamina y DABCO y amidinas sustituidas como[0266] Preferably, the product of each stage is used directly in the subsequent stages without recrystallization or chromatography. In WO 2006/121820, specific, but not limiting, examples of Compound 100a, Compound 100b and Compound 100c can be found. A nucleoside reacts with Compound 100c phosphorus quioridate in the presence of a suitable base. Suitable bases include, but are not limited to, imidazoles, pyridines such as lutidine and DMAP, tertiary amines such as triethylamine and DABCO and substituted amidines such as

[0267]DBN y DBU. El productoCompuesto PD-Apuede aislarse por recristalización y/o cromatografía.[0267] DBN and DBU.Compound PD-A product can be isolated by recrystallization and / or chromatography.

Procedimiento general alternativo para PD-AAlternative General Procedure for PD-A

[0268]El fósforo cloruratoCompuesto 100creacciona con un fenol activado, tal como 4-nitrofenol, 2-nitrofenol, y 2,4-dinitrofenol, en presencia de una base adecuada para dar un fenolato fósforoCompuesto 100dque es estable durante purificación adicional. ElCompuesto 100dse acopla luego con unNucleósido; Una solución de unNucleósidoen NMP (~30 mL/mmol) se enfría a 0°C usando un baño de hielo. A esta mezcla, se agrega gota a gota una solución de t-BuMgCl en THF (1,0 M, 1,5 - 2,5 eq. Al nucleósido). Una solución deCompuesto 100d(~1,5 eq. al nucleósido) en THF (A continuación se añade ~15 ml/mmol) gota a gota a la mezcla de reacción. La mezcla resultante se deja calentar a temperatura ambiente y se agita durante 16 h. La solución después se inactivó con H2O (~30 ml/mmol) y se purificó por HPLC de fase inversa (30-60% CH3CN en H2O). Las fracciones del producto se combinaron, se concentraron a vacío, y después se purificaron adicionalmente usando cromatografía flash en gel de sílice (1-35% de MeOH en CH2Cl2) para dar un monofosfato profármacoCompuesto PD-A. La mezcla diasteromérica delCompuesto 100dse separa opcionalmente en dos estereoisómeros individualesCompuesto (S)-100dyCompuesto (R)-100dpor cristalización o cromatografía antes del acoplamiento con elNucleósidopara proporcionar un estereoisómero únicoCompuesto (S)-PD-AoCompuesto (R)-pD-A.[0268] Phosphorus ChlorideCompound 100c reacts with an activated phenol, such as 4-nitrophenol, 2-nitrophenol, and 2,4-dinitrophenol, in the presence of a suitable base to give a phosphorus phenolateCompound 100d that is stable during further purification .Compound 100d is then coupled with aNucleoside ; A solution of aNucleoside in NMP (~ 30 mL / mmol) is cooled to 0 ° C using an ice bath. To this mixture, a solution of t-BuMgCl in THF (1.0 M, 1.5-2.5 eq. To the nucleoside) is added dropwise. A solution ofCompound 100d (~ 1.5 eq. To the nucleoside) in THF (Then ~ 15 ml / mmol) is added dropwise to the reaction mixture. The resulting mixture is allowed to warm to room temperature and stirred for 16 h. The solution was then quenched with H2 O (~ 30 ml / mmol) and purified by reverse phase HPLC (30-60% CH3 CN in H2 O). The product fractions were combined, concentrated in vacuo, and then further purified using silica gel flash chromatography (1-35% MeOH in CH2 Cl2 ) to give a prodrug monophosphateCompound PD-A . The diasteromeric mixture ofCompound 100d is optionally separated into two individual stereoisomersCompound (S) -100d andCompound (R) -100d by crystallization or chromatography before coupling with theNucleoside to provide a single stereoisomerCompound (S) -PD-A orCompound (R) -pD-A .

Compuesto 29Compound 29

Figure imgf000087_0001
Figure imgf000087_0001

[0269]Una solución delCompuesto 1(37 mg, 0,13 mmol) en NMP (4 ml) se enfrió a 0°C usando un baño de hielo. A esta mezcla, se añadió gota a gota una solución de t-BuMgCl en THF (0,46 ml, 1,0 M). Luego se añadió gota a gota a la mezcla de reacción una solución delCompuesto 100d-1(82 mg, 0,20 mmol) en THF (2 ml). La mezcla resultante se dejó calentar a temperatura ambiente y se agitó durante 16 h. Después, la solución se inactivó con H2O (4 ml) y se purificó por HPLC de fase inversa (30-60% CH3CN en H2O). Las fracciones del producto se combinaron, se concentraron a vacío, y después se purificó adicionalmente usando cromatografía flash en gel de sílice (2-35% de MeOH en CH2Ch) para dar elCompuesto 29(8 mg, 14%) como una mezcla diastereomérica. 1H RMN (400 MHz, CD3OD) 87,86 (d,J= 8,4 Hz, 1H), 7,36 (t,J= 7,9 Hz, 2H), 7,31 - 7,14 (m, 3H), 5,62 (d,J= 8,4 Hz, 1H), 4,96 (dt,J= 12,5, 6,3 Hz, 1H), 4,55 (ddd,J= 12,2, 6,3, 1,9 Hz, 1H), 4,45 - 4,24 (m, 2H), 4,08 (q,J= 7,1 Hz, 1H), 3,98 - 3,60 (m, 2H), 1,34 (dd,J= 7,1, 0,6 Hz, 3H), 1,27 -1,17 (m, 9H). 31P RMN (162 MHz, CD3OD) 8 -4,16, -4,02. MS = 551 (M - H+). Tiempo de retención de LC/MS en un método de LC/MS de 3,5 minutos (columna Polar RP) = 1,89 min.[0269] A solution ofCompound 1 (37 mg, 0.13 mmol) in NMP (4 ml) was cooled to 0 ° C using an ice bath. To this mixture, a solution of t-BuMgCl in THF (0.46 ml, 1.0 M) was added dropwise. Then a solution ofCompound 100d-1 (82 mg, 0.20 mmol) in THF (2 ml) was added dropwise to the reaction mixture. The resulting mixture was allowed to warm to room temperature and stirred for 16 h. Then, the solution was quenched with H2 O (4 ml) and purified by reverse phase HPLC (30-60% CH3 CN in H2 O). The product fractions were combined, concentrated in vacuo, and then further purified using silica gel flash chromatography (2-35% MeOH in CH2 Ch) to giveCompound 29 (8 mg, 14%) as a diastereomeric mixture. 1 H NMR (400 MHz, CD3 OD) 87.86 (d,J = 8.4 Hz, 1 H), 7.36 (t,J = 7.9 Hz, 2 H), 7.31 - 7.14 ( m, 3H), 5.62 (d,J = 8.4 Hz, 1H), 4.96 (dt,J = 12.5, 6.3 Hz, 1H), 4.55 (ddd,J = 12 , 2, 6.3, 1.9 Hz, 1H), 4.45-4.24 (m, 2H), 4.08 (q,J = 7.1 Hz, 1H), 3.98-3, 60 (m, 2H), 1.34 (dd,J = 7.1, 0.6 Hz, 3H), 1.27 -1.17 (m, 9H). 31P NMR (162 MHz, CD3 OD) 8 -4.16, -4.02. MS = 551 (M - H +). LC / MS retention time in a 3.5 minute LC / MS method (Polar RP column) = 1.89 min.

Compuesto 30Compound 30

Figure imgf000087_0002
Figure imgf000087_0002

[0270]Una solución delCompuesto 2(40 mg, 0,14 mmol) en NMP (4 ml) se enfrió a 0°C usando un baño de hielo. A esta mezcla, se añadió gota a gota una solución de t-BuMgCl en THF (0,49 ml, 1,0 M). Luego se añadió gota a gota a la mezcla de reacción una solución deCompuesto (S)-100d-1(86 mg, 0,21 mmol) en THF (2 ml). La mezcla de reacción resultante se dejó calentar a temperatura ambiente y se agitó durante 16 h. Después, la solución se inactivó con H2O (4 ml) y se purificó por HPLC de fase inversa (30-60% CH3CN en H2O). Las fracciones del producto se combinaron, se concentraron a vacío, y después se purificó adicionalmente usando cromatografía flash en gel de sílice (2-40% de MeOH en CH2Ch) para dar el Compuesto (S)-30(16 mg, 21%). 1H RMN (400 MHz, CD3OD) 87,83 (t,J= 9,0 Hz, 1H), 7,35 (t,J= 7,9 Hz, 2H), 7,28 -7,12 (m, 3H), 5,87 (dd,J= 12,8, 7,8 Hz, 1H), 4,96 (dt,J= 12,6, 6,3 Hz, 1H), 4,64 -4,46 (m, 1H), 4,35 (ddd,J= 11,7, 6,4, 2,9 Hz, 2H), 3,91 (dq,J= 14,1, 7,1 Hz, 1H), 3,66 (d,J= 7,7 Hz, 1H), 1,33 (t,J= 9,3 Hz, 3H), 1,21 (dd,J= 6,2, 2,0 Hz, 6H), 1,11 (s, 3H). 31P RMN (162 MHz, CD3OD) 8 -4,00. MS = 552 (M H+). Tiempo de retención de LC/MS en un método de LC/MS de 3,5 minutos (columna Polar RP) = 1,80 min.[0270] A solution ofCompound 2 (40 mg, 0.14 mmol) in NMP (4 ml) was cooled to 0 ° C using an ice bath. To this mixture, a solution of t-BuMgCl in THF (0.49 ml, 1.0 M) was added dropwise. Then a solution ofCompound (S) -100d-1 (86 mg, 0.21 mmol) in THF (2 ml) was added dropwise to the reaction mixture. The resulting reaction mixture was allowed to warm to room temperature and stirred for 16 h. Then, the solution was quenched with H2 O (4 ml) and purified by reverse phase HPLC (30-60% CH3 CN in H2 O). The product fractions were combined, concentrated in vacuo, and then further purified using silica gel flash chromatography (2-40% MeOH in CH2 Ch) to give Compound (S)-30 (16 mg, 21 %). 1H NMR (400 MHz, CD3 OD) 87.83 (t,J = 9.0 Hz, 1H), 7.35 (t,J = 7.9 Hz, 2H), 7.28-7.12 ( m, 3H), 5.87 (dd,J = 12.8, 7.8 Hz, 1H), 4.96 (dt,J = 12.6, 6.3 Hz, 1H), 4.64 -4 , 46 (m, 1H), 4.35 (ddd,J = 11.7, 6.4, 2.9 Hz, 2H), 3.91 (dq,J = 14.1, 7.1 Hz, 1H ), 3.66 (d,J = 7.7 Hz, 1H), 1.33 (t,J = 9.3 Hz, 3H), 1.21 (dd,J = 6.2, 2.0 Hz , 6H), 1.11 (s, 3H). 31P NMR (162 MHz, CD3 OD) 8 -4.00. MS = 552 (M H +). LC / MS retention time in a 3.5 minute LC / MS method (Polar RP column) = 1.80 min.

Preparación del Compuesto (S)-100d-1Preparation of Compound (S) -100d-1

[0271][0271]

Figure imgf000088_0001
Figure imgf000088_0001

[0272]El hidrocloruro de éster isopropílico de alanina (7,95 g, 47,4 mmol) se suspendió en diclorometano (100 ml). Se añadió elCompuesto 100a(10 g, 47,4 mmol). Luego se añadió gota a gota trietilamina (13,2 ml, 95 mmol) durante un período de 15 min. (temperatura de reacción interna; -10°C ~ -3°C). Cuando la reacción estuvo casi completa (por RMN de fósforo), se añadió p-nitrofenol (6,29 g, 45,0 mmol) como un sólido en una porción. A la suspensión resultante se le añadió trietilamina (6,28 ml, 45 mmol) durante un período de 15 min. La mezcla se calentó luego a temperatura ambiente. Cuando se completó la reacción, se añadió MTBE (100 ml). El precipitado blanco se eliminó por filtración. La torta del filtro se lavó con MTBE (3 x 50 ml). El filtrado y los lavados se combinaron y concentraron. El residuo se purificó por cromatografía en columna de gel de sílice (0 a 50% acetato de etilo/hexanos), proporcionando elCompuesto 100d-1como una relación 1:1 de mezcla diasteromérica (14,1 g, 77%). 1H RMN (300 MHz, CDCh): 8 8,22 (2d, 2H), 7,2-7,4 (m, 7H), 5,0 (m, 1H), 4,09 (m, 1H), 3,96 (m, 1H), 1,39 (2d, 3H), 1,22 (m, 6H). MS = 409,0 (M H+), 407,2 (M - H+).[0272] Alanine isopropyl ester hydrochloride (7.95 g, 47.4 mmol) was suspended in dichloromethane (100 ml).Compound 100a (10 g, 47.4 mmol) was added. Then triethylamine (13.2 ml, 95 mmol) was added dropwise over a period of 15 min. (internal reaction temperature; -10 ° C ~ -3 ° C). When the reaction was almost complete (by phosphorus NMR), p-nitrophenol (6.29 g, 45.0 mmol) was added as a solid in one portion. To the resulting suspension was added triethylamine (6.28 ml, 45 mmol) over a period of 15 min. The mixture was then heated to room temperature. When the reaction was complete, MTBE (100 ml) was added. The white precipitate was removed by filtration. The filter cake was washed with MTBE (3 x 50 ml). The filtrate and washings were combined and concentrated. The residue was purified by silica gel column chromatography (0 to 50% ethyl acetate / hexanes), providingCompound 100d-1 as a 1: 1 ratio of diasteromeric mixture (14.1 g, 77%). 1 H NMR (300 MHz, CDCh): 8 8.22 (2d, 2H), 7.2-7.4 (m, 7H), 5.0 (m, 1H), 4.09 (m, 1H), 3.96 (m, 1H), 1.39 (2d, 3H), 1.22 (m, 6H). MS = 409.0 (M H +), 407.2 (M - H +).

Separación de dos diastereómeros del Compuesto 100d-1Separation of two diastereomers of Compound 100d-1

[0273][0273]

Figure imgf000088_0002
Figure imgf000088_0002

[0274]Los dos diastereómeros se separaron por cromatografía en columna quiral en las siguientes condiciones; Columna: Chiralpak IC, 2 x 25 cm[0274] The two diastereomers were separated by chiral column chromatography under the following conditions; Column: Chiralpak IC, 2 x 25 cm

Sistema de disolvente: 70% de heptano y 30% de isopropanol (IPA)Solvent system: 70% heptane and 30% isopropanol (IPA)

Velocidad de flujo: 6 ml/min.Flow rate: 6 ml / min.

Volumen de carga por ejecución: 1,0 mlLoad volume per run: 1.0 ml

Concentración de muestra de carga: 150 mg/ml en 70% de heptano y 30% de IPALoad sample concentration: 150 mg / ml in 70% heptane and 30% IPA

Compuesto (S)-100d-1: tiempo de retención 43 min. 31P RMN (162,1 MHz, CDCh): 8 -2,99(s).Compuesto (R)-100d-1: tiempo de retención 62 min. 31P RMN (162,1 MHz, CDCla): 8 -3,02 (s).Compound (S) -100d-1 : retention time 43 min. 31P NMR (162.1 MHz, CDCh): 8 -2.99 (s).Compound (R) -100d-1 : retention time 62 min. 31P NMR (162.1 MHz, CDCla): 8-3.02 (s).

[0275]Alternativamente, los dos diastereómeros se separaron por cristalización bajo el siguiente procedimiento;[0275] Alternatively, the two diastereomers were separated by crystallization under the following procedure;

[0276]ElCompuesto 100d-1se disolvió en éter dietílico (~10 ml/gramo). Mientras se agitaba, se agregaron hexanos. hasta que la solución se volvió turbia. Se añadieron cristales de semillas (~10 mg/gramo deCompuesto (S)-100d-1) para promover la cristalización. La suspensión resultante se agitó suavemente durante 16 h, se enfrió a ~ 0°C, se agitó durante 2 h adicionales y se filtró para recoger el material cristalino (rendimiento de recuperación del material cristalino 35% - 35%). El material cristalino contiene ~95% delCompuesto (s)-100d-1y ~5% delCompuesto (R)-100d-1. La recristalización produjo 99% de (S)-isómero diastereoisómeramente puro.[0276]Compound 100d-1 was dissolved in diethyl ether (~ 10 ml / gram). While stirring, hexanes were added. until the solution became cloudy. Seed crystals (~ 10 mg / gram ofCompound (S) -100d-1 ) were added to promote crystallization. The resulting suspension was gently stirred for 16 h, cooled to ~ 0 ° C, stirred for an additional 2 h and filtered to collect the crystalline material (crystalline material recovery yield 35% - 35%). The crystalline material contains ~ 95% ofCompound (s) -100d-1 and ~ 5% ofCompound (R) -100d-1 . Recrystallization produced 99% of (S)-diastereoisomerically pure isomer.

Compuesto 31Compound 31

Figure imgf000089_0001
Figure imgf000089_0001

[0277]Una solución delCompuesto 4(50 mg, 0,188 mmol) en NMP (5 ml) se enfrió a 0°C bajo argón. A esto se agregó 3,5 eq. de t-BuMgCl gota a gota. A la suspensión resultante se añadióCompuesto (S)-100d-1(218 mg, 0,47 mmol) predisuelto en THF (3 ml) gota a gota. La reacción se calentó inmediatamente a 50°C y el progreso de la reacción se controló para su finalización por LCMS (45-60 minutos). Cuando se determinó que la reacción estaba completa, la reacción se enfrió, se añadieron 0,5 ml de cada agua y MeOH a la reacción, la reacción se filtró y se purificó por HPLC preparativa para proporcionar elCompuesto (S)-31(43 mg, 43% de rendimiento). MS [M H+] = 538,9[0277] A solution ofCompound 4 (50 mg, 0.188 mmol) in NMP (5 ml) was cooled to 0 ° C under argon. To this was added 3.5 eq. of t-BuMgCl drop by drop. To the resulting suspension was addedCompound (S) -100d-1 (218 mg, 0.47 mmol) pre-dissolved in THF (3 ml) dropwise. The reaction was immediately heated to 50 ° C and the progress of the reaction was monitored for completion by LCMS (45-60 minutes). When the reaction was determined to be complete, the reaction was cooled, 0.5 ml of each water and MeOH were added to the reaction, the reaction was filtered and purified by preparative HPLC to provideCompound (S) -31 (43 mg, 43% yield). MS [M H +] = 538.9

Compuesto 32Compound 32

Figure imgf000089_0002
Figure imgf000089_0002

[0278]Una solución delCompuesto 9(148 mg, 0,52 mmol), monohidrato de ácido p-toluenosulfónico (76 mg, 0,40 mmol) y formiato de trimetilorto (6 ml) en 1,4-dioxano (6 ml) se agitó a temperatura ambiente. por 1,5 h. La reacción se neutralizó con trietilamina (0,06 ml) y el disolvente se eliminó a presión reducida. El residuo se recogió en metanol (8 ml) y se agitó a temperatura ambiente durante 30 minutos. El disolvente se eliminó a presión reducida. El residuo se sometió a cromatografía sobre gel de sílice con un eluyente de metanol y trietilamina al 1% en diclorometano. Las fracciones que contenían el producto se combinaron y el disolvente se eliminó a presión para proporcionar elCompuesto PD-9a(143 mg, 84%).[0278] A solution ofCompound 9 (148 mg, 0.52 mmol), p-toluenesulfonic acid monohydrate (76 mg, 0.40 mmol) and trimethylorto formate (6 ml) in 1,4-dioxane (6 ml ) stirred at room temperature. for 1.5 h. The reaction was neutralized with triethylamine (0.06 ml) and the solvent was removed under reduced pressure. The residue was taken up in methanol (8 ml) and stirred at room temperature for 30 minutes. The solvent was removed under reduced pressure. The residue was chromatographed on silica gel with an eluent of 1% methanol and triethylamine in dichloromethane. The fractions containing the product were combined and the solvent was removed under pressure to provideCompound PD-9a (143 mg, 84%).

Figure imgf000090_0001
Figure imgf000090_0001

[0279]Una solución de cloruro de ferc-butilmagnesio (0,23 ml,.0,23 mmol 1,0 M) en tetrahidrofurano se añadió a una solución deCompuesto PD-9a(50 mg, 0,15 mmol) en tetrahidrofurano (2 ml) en atmósfera de argón. Se formó un sólido blanco. Después de 30 minutos, se añadió una solución delCompuesto (S)-100d-1(126 mg, 0,31 mmol) en tetrahidrofurano (1 ml) y la mezcla se calentó a 50°C. Después de 20 minutos, el sólido se había disuelto y la solución era amarilla. La reacción se enfrió a 0°C y se inactivó con metanol (1 ml). El disolvente se eliminó a presión reducida y el residuo se sometió a cromatografía sobre gel de sílice con un eluyente de metanol en diclorometano. Las fracciones que contenían el producto se combinaron y el disolvente se eliminó a presión para proporcionar elCompuesto (S)-pD-9b(76,8 mg, 83%).[0279] A solution of ferc-butylmagnesium chloride (0.23 ml, 0.23 mmol 1.0 M) in tetrahydrofuran was added to a solution ofCompound PD-9a (50 mg, 0.15 mmol) in tetrahydrofuran (2 ml) under argon. A white solid formed. After 30 minutes, a solution ofCompound (S) -100d-1 (126 mg, 0.31 mmol) in tetrahydrofuran (1 ml) was added and the mixture was heated to 50 ° C. After 20 minutes, the solid had dissolved and the solution was yellow. The reaction was cooled to 0 ° C and quenched with methanol (1 ml). The solvent was removed under reduced pressure and the residue was chromatographed on silica gel with an eluent of methanol in dichloromethane. The fractions containing the product were combined and the solvent was removed under pressure to provideCompound (S) -pD-9b (76.8 mg, 83%).

Figure imgf000090_0002
Figure imgf000090_0002

[0280]Una solución delCompuesto (S)-pD-9b(76,8 mg, 0,13 mmol) en ácido fórmico (5 ml, 95%) y agua (1 ml) se agitó durante 20 minutos. El disolvente se eliminó a presión reducida y el residuo se sometió a azeótropo con acetato de etilo. El residuo resultante se sometió a cromatografía de fase inversa con un eluyente de acetonitrilo y agua. Las fracciones que contenían el producto se combinaron. El disolvente se eliminó por liofilización para proporcionar elCompuesto (S)-32(8,3 mg, 31%). 1H-RMN (400 MHz, DMSO): H57,92 (d,J= 7,6 Hz, 1H), 7,45 (s, 1H), 7,39 (s, 1H), 7,35 (t,J= 8,0 Hz, 2H), 7,16 (m, 3H), 6,72 (d,J= 5,2 Hz, 1H), 6,04 (dd, J = 10,0 Hz, J2= 13,2 Hz, 1H), 5,68 (d,J= 7,6 Hz, 1H), 5,27 (d,J= 7,2 HZ, 1H), 4,83 (m, 2H), 4,22 (m, 2H), 3,87 (m, 1H), 3,75 (m, 1H), 1,38 (d,J= 6,8 Hz, 3H), 1,18 (d,J= 6,8 Hz, 3H), 1,11 (m, 6H). 31P-RMN (400 MHz, DMSO): H5 3,22 (s). MS = 552,0 (M H+). Tiempo de retención de LC/MS en un método de LC/MS de 6,0 minutos (columna Polar RP) = 2,52 min.[0280] A solution ofCompound (S) -pD-9b (76.8 mg, 0.13 mmol) in formic acid (5 ml, 95%) and water (1 ml) was stirred for 20 minutes. The solvent was removed under reduced pressure and the residue was subjected to azeotrope with ethyl acetate. The resulting residue was subjected to reverse phase chromatography with an eluent of acetonitrile and water. Fractions containing the product were combined. The solvent was removed by lyophilization to provideCompound (S) -32 (8.3 mg, 31%). 1H-NMR (400 MHz, DMSO): H57.92 (d,J = 7.6 Hz, 1H), 7.45 (s, 1H), 7.39 (s, 1H), 7.35 (t,J = 8.0 Hz, 2H), 7.16 (m, 3H), 6.72 (d,J = 5.2 Hz, 1H), 6.04 (dd, J = 10.0 Hz, J2 = 13.2 Hz, 1H), 5.68 (d,J = 7.6 Hz, 1H), 5.27 (d,J = 7.2 HZ, 1H), 4.83 (m, 2H), 4.22 (m, 2H), 3.87 (m, 1H), 3.75 (m, 1H), 1.38 (d,J = 6.8 Hz, 3H), 1.18 (d,J = 6.8 Hz, 3H), 1.11 (m, 6H). 31P-NMR (400 MHz, DMSO): H5 3.22 (s). MS = 552.0 (M H +). LC / MS retention time in a 6.0 minute LC / MS method (Polar RP column) = 2.52 min.

Compuesto 33Compound 33

Figure imgf000090_0003
Figure imgf000090_0003

[0281]ElCompuesto (S)-33se preparó siguiendo el procedimiento para elCompuesto (S)-32excepto que se usó elCompuesto 8como material de partida. 1H-RMN (400 MHz, DMSO): H511,53 (d, 18 Hz), 7,91 (m, 1 H), 7,30 (m, 2H), 7,12 (m, 3H), 6,74 (d,J= 6,0 HZ, 1H), 5,97 (m, 1H), 5,32 (m, 2H), 4,78 (m, 2H), 4,32 (t,J= 5,2 Hz, 1H), 3,89 (m, 1H), 3,73 (m, 1H)), 1,31 (m, 3H), 1,47 (m, 3H), 1,07 (m, 6H). 31P-RMN (400 MHz, DMSO): H53,52(s). MS = 553,3 (M H+). Tiempo de retención de LC/MS en un método de LC/MS de 6,0 minutos (columna Polar RP) = 2,76 min.[0281]Compound (S) -33 was prepared following the procedure forCompound (S) -32 except thatCompound 8 was used as the starting material. 1 H-NMR (400 MHz, DMSO): H511.53 (d, 18 Hz), 7.91 (m, 1 H), 7.30 (m, 2H), 7.12 (m, 3H), 6, 74 (d,J = 6.0 HZ, 1H), 5.97 (m, 1H), 5.32 (m, 2H), 4.78 (m, 2H), 4.32 (t,J = 5 , 2 Hz, 1H), 3.89 (m, 1H), 3.73 (m, 1H)), 1.31 (m, 3H), 1.47 (m, 3H), 1.07 (m, 6H). 31P-NMR (400 MHz, DMSO): H53.52 (s). MS = 553.3 (M H +). LC / MS retention time in a 6.0 minute LC / MS method (Polar RP column) = 2.76 min.

Compuesto 34Compound 34

Figure imgf000091_0001
Figure imgf000091_0001

[0282]Una solución delCompuesto 12(10 mg, 0,035 mmol) en NMP (1 ml) se enfrió a 0°C usando un baño de hielo. A esta mezcla, se añadió gota a gota una solución de t-BuMgCl en THF (0,12 ml, 1,0 M). Luego se añadió gota a gota a la mezcla de reacción una solución delCompuesto (S)-100d-1(22 mg, 0,053 mmol) en THF (1 ml). La mezcla resultante se dejó calentar a temperatura ambiente y se agitó durante 16 h. Después, la solución se inactivó con H2O (2 ml) y se purificó por HPLC de fase inversa (30-60% CH3CN en H2O para dar elCompuesto (S)-34(1 mg, 10%). 1H RMN (400 MHz, CD3OD) 87,86 (d,J= 8,3 Hz, 1H), 7,36 (t,J= 7,9 Hz, 2H), 7,28 - 7,11 (m, 3H), 5,59 (d,J= 8,3 Hz, 1H), 4,95 (dt,J= 12,5, 6,2 Hz, 1H), 4,52 (dd,J= 10,8, 5,9 Hz, 1H), 4,42 -4,21 (m, 2H), 4,02 (dd,J= 9,7, 4,9 Hz, 1H), 3,89 (dt,J= 17,4, 7,3 Hz, 1H), 3,78 (s, 3H), 1,41 -1,12 (m, 10H). MS = 553 (M H+). 31P RMN (162,1 MHz, CDOD): 8 4,03(s). Tiempo de retención LC/MS en un método LC/MS de 3,5 minutos (columna Polar RP) = 2,04 min.[0282] A solution ofCompound 12 (10 mg, 0.035 mmol) in NMP (1 ml) was cooled to 0 ° C using an ice bath. To this mixture, a solution of t-BuMgCl in THF (0.12 ml, 1.0 M) was added dropwise. Then a solution ofCompound (S) -100d-1 (22 mg, 0.053 mmol) in THF (1 ml) was added dropwise to the reaction mixture. The resulting mixture was allowed to warm to room temperature and stirred for 16 h. Then, the solution was quenched with H2 O (2 ml) and purified by reverse phase HPLC (30-60% CH3 CN in H2 O to giveCompound (S) -34 (1 mg, 10%) 1 H NMR (400 MHz, CD3 OD) 87.86 (d,J = 8.3 Hz, 1 H), 7.36 (t,J = 7.9 Hz, 2 H), 7.28 - 7.11 (m, 3H), 5.59 (d,J = 8.3 Hz, 1H), 4.95 (dt,J = 12.5, 6.2 Hz, 1H), 4.52 (dd,J = 10.8, 5.9 Hz, 1H), 4.42 -4.21 (m, 2H), 4.02 (dd,J = 9.7, 4.9 Hz, 1H), 3.89 (dt ,J = 17.4, 7.3 Hz, 1H), 3.78 (s, 3H), 1.41 -1.12 (m, 10H), MS = 553 (M H +), 31 P NMR (162, 1 MHz, CDOD): 8 4.03 (s) LC / MS retention time in a 3.5-minute LC / MS method (Polar RP column) = 2.04 min.

Procedimiento general para la preparación de un profármaco de nucleósidos Tipo PD-B:General procedure for the preparation of a nucleoside prodrug Type PD-B:

[0283]Los ejemplos no limitantes de profármacos de mono-fosforamidato 3'-O-acilado que comprenden la presente invención pueden prepararse de acuerdo con el esquema general 5.[0283] Non-limiting examples of 3'-O-acylated mono-phosphoramidate prodrugs comprising the present invention can be prepared in accordance with general scheme 5.

Figure imgf000091_0002
Figure imgf000091_0002

[0284]El procedimiento general comprende la reacción delCompuesto PD-A(R4= OH) con un ácido carboxílico o un carboxilato activado tal como un cloruro de acilo o un anhídrido de ácido, que generalmente conocen los expertos en la técnica (Journal of Medicinal Chemistry, 2006, 49, 6614 y Organic Letters, 2003, 6, 807). Cuando R8 = NH2, puede ser necesaria la protección del grupo amino. Brevemente, a una solución delCompuesto PD-Aen acetonitrilo (2 ml) se agrega W,W-dimetilformamida dimetil acetal (~1,1 eq.) y se agita a temperatura ambiente durante 1 h. Una vez completada la protección del grupo 6-amino, la mezcla se concentra hasta sequedad. Al residuo se le agrega un agente deshidratante tal como DCC (~4 eq.), acetonitrilo y un ácido carboxílico (~2 eq.). La mezcla se agita a temperatura ambiente durante 24-48 h. Se añaden agua (0,2 ml) y ácido trifluoroacético (0,1 ml) a 0°C y se agitan a temperatura ambiente durante 64 h. Se añadió bicarbonato de sodio a 0°C. La mezcla se agita a temperatura ambiente durante 0,5 h y se filtra. El filtrado se concentra y el residuo se purifica por cromatografía en columna de gel de sílice para proporcionar elCompuesto PD-B. Si se utiliza un cloruro de acilo o un anhídrido ácido, se agrega una base adecuada, tal como trietilamina, en lugar de un agente deshidratante.[0284] The general process comprises the reaction ofCompound PD-A (R4 = OH) with a carboxylic acid or an activated carboxylate such as an acyl chloride or an acid anhydride, generally known to those skilled in the art (Journal of Medicinal Chemistry, 2006, 49, 6614 and Organic Letters, 2003, 6, 807). When R8 = NH2 , protection of the amino group may be necessary. Briefly, to a solution ofCompound PD-A in acetonitrile (2 ml) is added W, W-dimethylformamide dimethyl acetal (~ 1.1 eq.) And stirred at room temperature for 1 h. Once the protection of the 6-amino group is complete, the mixture is concentrated to dryness. To the residue is added a dehydrating agent such as DCC (~ 4 eq.), Acetonitrile and a carboxylic acid (~ 2 eq.). The mixture is stirred at room temperature for 24-48 h. Water (0.2 ml) and trifluoroacetic acid (0.1 ml) are added at 0 ° C and stirred at room temperature for 64 h. Sodium bicarbonate was added at 0 ° C. The mixture is stirred at room temperature for 0.5 h and filtered. The filtrate is concentrated and the residue is purified by silica gel column chromatography to provideCompound PD-B . If an acyl chloride or an acid anhydride is used, a suitable base, such as triethylamine, is added instead of a dehydrating agent.

Compuesto 35Compound 35

Figure imgf000091_0003
Figure imgf000091_0003

[0285]A una solución delCompuesto (S)-30(34 mg, 0,062 mmol) en THF (0,8 mL) bajo una atmósfera de argón a temperatura ambiente se le añadió W,A/-dimetilformamida-dimetilacetal (8,2 pl, 0,062 mmol) Después de 8 h, se añadió una W,W-dimetilformamida-dimetilacetal adicional (10 ml) y se agitó durante 16 h. La mezcla de reacción se concentró. La reacción se recogió en DCM y se concentró. Este proceso fue repetido dos veces. El residuo resultante se recogió en THF (0,8 ml) y se enfrió a 0°C bajo una atmósfera de argón. A la solución se le añadió trietilamina (11 pl, 0,075 mmol) y DMAP (0,4 mg, 0,003 mmol). Después de 5 minutos, se añadió cloruro de isobutirilo (7,4 pl, 0,07 mmol). Después de 30 minutos, la reacción se dejó calentar a temperatura ambiente y se agitó durante 3 horas. La mezcla se enfrió a 0°C, se inactivó con una solución de TFA al 5% en agua y luego se dejó agitar a temperatura ambiente durante 4 horas. La mezcla resultante se neutralizó con bicarbonato de sodio sólido, se diluyó con agua y se extrajo con acetato de etilo (3x). Las capas orgánicas combinadas se secaron con sulfato de sodio, se filtraron y se concentraron. El residuo se purificó por RP HPLC (acetonitrilo/agua), proporcionando elCompuesto (S)-35(32 mg, 83%). 1H RMN (400 MHz, CDCla): 87,96 (br s, 1H), 7,76 (d, 1H), 7,13-7,32 (m, 5H), 6,29 (br s, 1H) 5,94 (s, 1H), 5,87 (d, 1H), 5,00 (m, 2H), 4,48-4,58 (m, 2H), 4,29 (m, 1H), 3,88-4,05 (m, 2H), 2,67 (m, 1H), 1,39 (d, 3H), 1,22 (12H), 1,02 (s, 3H). 31P RMN (161 MHz, CDCla): 83,20 (s). LC/MS = 622 (M H+).[0285] To a solution ofCompound (S) -30 (34 mg, 0.062 mmol) in THF (0.8 mL) under an argon atmosphere at room temperature was added W, A / -dimethylformamide-dimethylacetal (8, 2 pl, 0.062 mmol) After 8 h, an additional W, W-dimethylformamide-dimethylacetal (10 ml) was added and stirred for 16 h. The reaction mixture was concentrated. The reaction was taken up in DCM and concentrated. This process was repeated twice. The resulting residue was taken up in THF (0.8 ml) and cooled to 0 ° C under an argon atmosphere. To the solution was added triethylamine (11 pl, 0.075 mmol) and DMAP (0.4 mg, 0.003 mmol). After 5 minutes, isobutyryl chloride (7.4 pl, 0.07 mmol) was added. After 30 minutes, the reaction was allowed to warm to room temperature and stirred for 3 hours. The mixture was cooled to 0 ° C, quenched with a 5% TFA solution in water and then allowed to stir at room temperature for 4 hours. The resulting mixture was neutralized with solid sodium bicarbonate, diluted with water and extracted with ethyl acetate (3x). The combined organic layers were dried with sodium sulfate, filtered and concentrated. The residue was purified by RP HPLC (acetonitrile / water) to provideCompound (S) -35 (32 mg, 83%). 1H NMR (400 MHz, CDCla): 87.96 (br s, 1H), 7.76 (d, 1H), 7.13-7.32 (m, 5H), 6.29 (br s, 1H) 5.94 (s, 1H), 5.87 (d, 1H), 5.00 (m, 2H), 4.48-4.58 (m, 2H), 4.29 (m, 1H), 3 , 88-4.05 (m, 2H), 2.67 (m, 1H), 1.39 (d, 3H), 1.22 (12H), 1.02 (s, 3H). 31P NMR (161 MHz, CDCla): 83.20 (s). LC / MS = 622 (M H +).

Procedimiento general para la preparación de un profármaco de nucleósidos Tipo PD-C:General procedure for the preparation of a nucleoside prodrug Type PD-C:

[0286]Ejemplos no limitantes de los profármacos de mono-fosforamidato 3',5-cíclicos que comprenden la presente invención pueden prepararse de acuerdo con el Esquema general 6.[0286] Non-limiting examples of the 3 ', 5-cyclic mono-phosphoramidate prodrugs comprising the present invention can be prepared in accordance with General Scheme 6.

Figure imgf000092_0001
Figure imgf000092_0001

[0287]El Esquema 6 ilustra procesos químicos que pueden ser útiles para la preparación delCompuesto PD-C. En consecuencia, elCompuesto PD-Ase convierte en elCompuesto PD-Cen presencia de una base cuando Ar se sustituye con un grupo p-nitro o p-cloro que retira electrones (European Journal of Medicinal Chemistry, 2009, 44, 3769). Alternativamente, unNucleósidose convierte en unCompuesto 71de fosfato cíclico de acuerdo con Bioorganic and Medicinal Chemistry Letters, 2007, 17, 2452, que luego se acopla con una sal de éster de aminoácido para formar elCompuesto PD-C.[0287] Scheme 6 illustrates chemical processes that may be useful for the preparation ofCompound PD-C . Consequently,Compound PD-A becomesCompound PD-C in the presence of a base when Ar is replaced with a p-nitro or p-chlorine group that removes electrons (European Journal of Medicinal Chemistry, 2009, 44, 3769 ). Alternatively, aNucleoside is converted to a Cyclic PhosphateCompound 71 according to Bioorganic and Medicinal Chemistry Letters, 2007, 17, 2452, which is then coupled with an amino acid ester salt to formCompound PD-C .

Compuesto 36Compound 36

Figure imgf000092_0002
Figure imgf000092_0002

[0288]Una solución delCompuesto 36aen DMSO se trata a temperatura ambiente con f-butóxido de potasio (~1 eq.) y la mezcla resultante se agita durante aproximadamente 10 minutos. a aproximadamente 2 h. La mezcla se enfría luego a 0°C y se neutraliza con HCl 1N a ~ pH 6. La mezcla se purifica por HPLC para proporcionar el Compuesto 36. ElCompuesto 36aintermedio se obtiene mediante el método genral para la preparación delCompuesto PD-Ade tipo profármaco, comenzando con elCompuesto 100a(ArO = 4-clorofenol), elCompuesto 100b(éster 2'-etilbutilo de clorhidrato de alanina) y elCompuesto 2.[0288] A solution ofCompound 36a in DMSO is treated at room temperature with potassium f-butoxide (~ 1 eq.) And the resulting mixture is stirred for approximately 10 minutes. at about 2 h. The mixture is then cooled to 0 ° C and neutralized with 1N HCl at ~ pH 6. The mixture is purified by HPLC to provide Compound 36. IntermediateCompound 36a is obtained by the general method for the preparation ofCompound PD-A of prodrug type, starting withCompound 100a (ArO = 4-chlorophenol),Compound 100b (alanine hydrochloride 2'-ethylbutyl ester) andCompound 2 .

Compuesto 37Compound 37

Figure imgf000093_0001
Figure imgf000093_0001

[0289]ElCompuesto 2se disuelve en PO(OMe)3(solución 0,1 - 0,5 M) y se enfría a 0°C bajo argón. A esta solución de agitación se agrega POCh (1,0 - 5,0 eq.) gota a gota, y la mezcla de reacción se deja calentar a temperatura ambiente durante aproximadamente 2-16 h. La solución resultante se agrega gota a gota a una solución de acetonitrilo que se agita rápidamente y KOH acuoso 0,05 - 0,5 M. Cuando se completa la adición, los solventes se eliminan bajo presión reducida. El residuo resultante se disuelve en agua y se purifica por HPLC para dar[0289]Compound 2 is dissolved in PO (OMe)3 (0.1-0.5 M solution) and cooled to 0 ° C under argon. To this stirring solution, POCh (1.0-5.0 eq.) Is added dropwise, and the reaction mixture is allowed to warm to room temperature for approximately 2-16 h. The resulting solution is added dropwise to a rapidly stirring acetonitrile solution and 0.05-0.5 M aqueous KOH. When the addition is complete, the solvents are removed under reduced pressure. The resulting residue is dissolved in water and purified by HPLC to give

Compuesto 71-2.Compound 71-2.

Figure imgf000093_0002
Figure imgf000093_0002

[0290]Una solución delCompuesto 71-2en DCM y PO(OMe)3se prepara y se enfría a 0°C. A esta solución se agrega cloruro de oxalilo (1,0 - 5,0 eq.) Seguido de una cantidad catalítica de DMF. La mezcla se deja agitar durante aproximadamente 10 minutos. a aproximadamente 1h. Cuando se completa la activación, se agrega un gran volumen de 2-propanol a la mezcla de reacción y se deja agitar y calentar a temperatura ambiente. Los disolventes se eliminan a presión reducida, y el material bruto resultante se purifica por HPLC preparativa para dar elCompuesto 37.[0290] A solution ofCompound 71-2 in DCM and PO (OMe)3 is prepared and cooled to 0 ° C. To this solution is added oxalyl chloride (1.0-5.0 eq.) Followed by a catalytic amount of DMF. The mixture is allowed to stir for approximately 10 minutes. at about 1h. When activation is complete, a large volume of 2-propanol is added to the reaction mixture and allowed to stir and warm to room temperature. The solvents are removed under reduced pressure, and the resulting crude material is purified by preparative HPLC to giveCompound 37 .

Compuesto 38Compound 38

Figure imgf000093_0003
Figure imgf000093_0003

[0291]ElCompuesto 38se prepara a partir delCompuesto 71-2en una materia similar a la delCompuesto 37sustituyendo 2-aminopropano por 2-propanol.[0291]Compound 38 is prepared fromCompound 71-2 in a matter similar to that ofCompound 37 by substituting 2-aminopropane for 2-propanol.

Compuesto 39Compound 39

Figure imgf000094_0001
Figure imgf000094_0001

[0292]Una mezcla de alrededor de 1,25 mmol deCompuesto 1y alrededor de 1,9 mmol de trietilamonio 2-(2,2-dimetil-3-(tritiloxi)propanoiltio) fosfinato de etilo (WO2008082601) se disuelve en piridina anhidra (aproximadamente 19 ml). Se agrega cloruro de pivaloilo (aproximadamente 2,5 mmol) gota a gota a aproximadamente -30 a aproximadamente 0°C y la solución se agita durante aproximadamente 30 minutos a aproximadamente 24 horas. La reacción se diluye con cloruro de metileno y se neutraliza con cloruro de amonio acuoso (aproximadamente 0,5 M). La fase de diclorometano se evapora y el residuo se seca y se purifica por cromatografía para dar elCompuesto 39.[0292] A mixture of about 1.25 mmol ofCompound 1 and about 1.9 mmol of ethyl triethylammonium 2- (2,2-dimethyl-3- (trityloxy) propanoylthio) phosphinate (WO2008082601) is dissolved in pyridine anhydrous (approximately 19 ml). Pivaloyl chloride (about 2.5 mmol) is added dropwise at about -30 to about 0 ° C and the solution is stirred for about 30 minutes to about 24 hours. The reaction is diluted with methylene chloride and neutralized with aqueous ammonium chloride (approximately 0.5 M). The dichloromethane phase is evaporated and the residue is dried and purified by chromatography to giveCompound 39 .

Compuesto 40Compound 40

Figure imgf000094_0002
Figure imgf000094_0002

[0293]A una solución de aproximadamente 0,49 mmol delCompuesto 39en tetracloruro de carbono anhidro (aproximadamente 5 ml) se agrega gota a gota bencilamina (aproximadamente 2,45 mmol). La mezcla de reacción se agita durante aproximadamente una a aproximadamente 24 horas. El disolvente se evapora y el residuo se purifica por cromatografía para dar elCompuesto 40.[0293] To a solution of approximately 0.49 mmol ofCompound 39 in anhydrous carbon tetrachloride (approximately 5 ml) is added dropwise benzylamine (approximately 2.45 mmol). The reaction mixture is stirred for about one to about 24 hours. The solvent is evaporated and the residue is purified by chromatography to giveCompound 40 .

Compuesto 41Compound 41

Figure imgf000094_0003
Figure imgf000094_0003

[0294]Una solución de aproximadamente 2 mmol delCompuesto 40en diclorometano (aproximadamente 10 ml) se trata con una solución acuosa de ácido trifluoroacético (90%, aproximadamente 10 ml). La mezcla de reacción se agita a aproximadamente 25 a aproximadamente 60°C durante aproximadamente una a aproximadamente 24 horas. La mezcla de reacción se diluye con etanol, los volátiles se evaporan y el residuo se purifica por cromatografía para dar elCompuesto 41.[0294] A solution of approximately 2 mmol ofCompound 40 in dichloromethane (approximately 10 ml) is treated with an aqueous solution of trifluoroacetic acid (90%, approximately 10 ml). The reaction mixture is stirred at about 25 to about 60 ° C for about one to about 24 hours. The reaction mixture is diluted with ethanol, the volatiles are evaporated and the residue is purified by chromatography to giveCompound 41 .

Compuesto 42Compound 42

Figure imgf000095_0001
Figure imgf000095_0001

[0295]Sobre 90 mMCompuesto 1en THF se enfría a aproximadamente -78°G y aproximadamente 2,2 a aproximadamente 5 equivalentes de f-butil-magneisum cloruro (aproximadamente 1 M en THF) se añade. La mezcla se calienta a aproximadamente 0°G durante aproximadamente 30 minutos y se enfría nuevamente a aproximadamente -78°G. Se agrega gota a gota una solución de 2-{[clor(1-fenoxi)fosforil]amino}etil isobutirato (WO2008085508) (1 M en THF, aproximadamente 2 equivalentes). El enfriamiento se elimina y la reacción se agita durante aproximadamente una a aproximadamente 24 horas. La reacción se apaga con agua y la mezcla se extrae con acetato de etilo. Los extractos se secan y se evaporan y el residuo se purifica por cromatografía para dar elCompuesto 42.[0295] About 90 mMCompound 1 in THF is cooled to about -78 ° G and about 2.2 to about 5 equivalents of f-butyl-magneisum chloride (about 1 M in THF) is added. The mixture is heated at about 0 ° G for about 30 minutes and cooled again to about -78 ° G. A solution of 2 - {[chloro (1-phenoxy) phosphoryl] amino} ethyl isobutyrate (WO2008085508) (1 M in THF, approximately 2 equivalents) is added dropwise. The cooling is removed and the reaction is stirred for about one to about 24 hours. The reaction is quenched with water and the mixture is extracted with ethyl acetate. The extracts are dried and evaporated and the residue is purified by chromatography to giveCompound 42 .

Actividad antiviralAntiviral activity

[0296]Otro aspecto de la invención se refiere a compuestos para uso en métodos de inhibición de las infecciones virales, que comprende la etapa de tratar una muestra o sujeto sospechoso de tener dicha inhibición con una composición de la invención.[0296] Another aspect of the invention relates to compounds for use in methods of inhibiting viral infections, comprising the step of treating a sample or subject suspected of having said inhibition with a composition of the invention.

[0297]Dentro del contexto de la invención, las muestras sospechosas de contener un virus incluyen materiales naturales o artificiales tales como organismos vivos; cultivos de tejidos o células; muestras biológicas tales como muestras de material biológico (sangre, suero, orina, líquido cefalorraquídeo, lágrimas, esputo, saliva, muestras de tejido y similares); muestras de laboratorio; muestras de comida, agua o aire; muestras de bioproductos tales como extractos de células, particularmente células recombinantes que sintetizan una glicoproteína deseada; y similares. Típicamente, se sospechará que la muestra contiene un organismo que induce una infección viral, con frecuencia un organismo patógeno como un virus tumoral. Las muestras pueden estar contenidas en cualquier medio incluyendo agua y mezclas de solvente orgánico/agua. Las muestras incluyen organismos vivos como los humanos y materiales hechos por el hombre como los cultivos celulares.[0297] Within the context of the invention, samples suspected of containing a virus include natural or artificial materials such as living organisms; tissue or cell cultures; biological samples such as samples of biological material (blood, serum, urine, cerebrospinal fluid, tears, sputum, saliva, tissue samples and the like); laboratory samples; food, water or air samples; samples of bioproducts such as cell extracts, particularly recombinant cells that synthesize a desired glycoprotein; and the like Typically, it will be suspected that the sample contains an organism that induces a viral infection, often a pathogenic organism such as a tumor virus. Samples may be contained in any medium including water and organic solvent / water mixtures. Samples include living organisms such as humans and man-made materials such as cell cultures.

[0298]Si se desea, la actividad antivirus de un compuesto de la invención después de la aplicación de la composición se puede observar mediante cualquier método que incluya métodos directos e indirectos para detectar dicha actividad. Se contemplan métodos cuantitativos, cualitativos y semicuantitativos para determinar dicha actividad. Normalmente, se aplica uno de los métodos de detección descritos anteriormente, sin embargo, cualquier otro método, como la observación de las propiedades fisiológicas de un organismo vivo, también es aplicable.[0298] If desired, the antivirus activity of a compound of the invention after application of the composition can be observed by any method that includes direct and indirect methods to detect such activity. Quantitative, qualitative and semi-quantitative methods for determining such activity are contemplated. Normally, one of the detection methods described above is applied, however, any other method, such as the observation of the physiological properties of a living organism, is also applicable.

La actividad antiviral de un compuesto de la invención se puede medir usando protocolos de detección estándar que se conocen. Por ejemplo, la actividad antiviral de un compuesto se puede medir usando los siguientes protocolos generales.The antiviral activity of a compound of the invention can be measured using standard detection protocols that are known. For example, the antiviral activity of a compound can be measured using the following general protocols.

Ensayo de inmunodetección de flavivirus basado en célulasCell-based flavivirus immunodetection assay

[0299]Las células BHK21 o A549 se trataron con tripsina, se contaron y se diluyeron a 2x105 células/ml en medios Hams F-12 (células A549) o medio RPMI-1640 (células BHK21) suplementado con 2% de suero bovino fetal (FBS) y 1 % penicilina/estreptomicina. 2x104 células se dispensan en placas claras de cultivo de tejidos de 96 pocillos por pocillo y se colocaron a 37°C, 5% de CO2durante la noche. Al día siguiente, las células se infectan con virus con una multiplicidad de infección (MOI) de 0,3 en presencia de concentraciones variadas de compuestos de prueba durante 1 hora a 37°C y 5% de CO2durante otras 48 horas. Las células se lavan una vez con PBS y se fijan con metanol frío durante 10 minutos. Después de lavar dos veces con PBS, las células fijas se bloquean con PBS que contiene FBS al 1% y Tween-20 al 0,05% durante 1 hora a temperatura ambiente. La solución de anticuerpo primario (4G2) se agrega luego a una concentración de 1:20 a 1:100 en PBS que contiene 1% de FBS y 0,05% de Tween-20 durante 3 horas. Luego se lavan las células tres veces con PBS seguido de una incubación de una hora con IgG anti-ratón conjugada con peroxidasa de rábano picante (HRP) (Sigma, dilución 1:2000). Después de lavar tres veces con PBS, se añaden 50 microlitros de solución de sustrato 3,3',5,5'-tetrametilbencidina (TMB) (Sigma) a cada pocillo durante dos minutos. La reacción se detiene mediante la adición de ácido sulfúrico 0,5 M. Las placas se leen a una absorbancia de 450 nm para la cuantificación de la carga viral. Después de la medición, las células se lavan tres veces con PBS seguido de incubación con yoduro de propidio durante 5 minutos. La placa se lee en un lector Tecan SafireTM (excitación 537 nm, emisión 617 nm) para la cuantificación del número de células. Las curvas de respuesta a la dosis se trazan a partir de la absorbancia media frente al logaritmo de la concentración de los compuestos de prueba. La CE50se calcula mediante análisis de regresión no lineal. Se puede usar un control positivo tal como N-nonil-desooxinojirimicina.[0299] BHK21 or A549 cells were treated with trypsin, counted and diluted to 2x105 cells / ml in Hams F-12 media (A549 cells) or RPMI-1640 medium (BHK21 cells) supplemented with 2% fetal bovine serum (FBS) and 1% penicillin / streptomycin. 2x104 cells are dispensed in clear 96-well tissue culture plates per well and placed at 37 ° C, 5% CO2 overnight. The next day, cells are infected with viruses with a multiplicity of infection (MOI) of 0.3 in the presence of varying concentrations of test compounds for 1 hour at 37 ° C and 5% CO2 for another 48 hours. The cells are washed once with PBS and fixed with cold methanol for 10 minutes. After washing twice with PBS, the fixed cells are blocked with PBS containing 1% FBS and 0.05% Tween-20 for 1 hour at room temperature. The primary antibody solution (4G2) is then added at a concentration of 1:20 to 1: 100 in PBS containing 1% FBS and 0.05% Tween-20 for 3 hours. The cells are then washed three times with PBS followed by a one-hour incubation with horseradish peroxidase conjugated to horseradish peroxidase (HRP) (Sigma, dilution 1: 2000). After washing three times with PBS, 50 microliters of 3,3 ', 5,5'-tetramethylbenzidine (TMB) (Sigma) substrate solution is added to each well for two minutes. The reaction is stopped by the addition of 0.5 M sulfuric acid. The plates are read at an absorbance of 450 nm for quantification of viral load. After measurement, the cells are washed three times with PBS followed by incubation with propidium iodide for 5 minutes. The plate is read on a Tecan SafireTM reader (excitation 537 nm, emission 617 nm) for the quantification of the number of cells. The dose response curves are plotted from the mean absorbance versus the log of the concentration of the test compounds. The EC50 is calculated by nonlinear regression analysis. A positive control such as N-nonyl-deooxinojirimycin can be used.

Ensayo de efecto citopático del flavivirus basado en célulasCytopathic effect test of cell-based flavivirus

[0300]Para la prueba contra el virus del Nilo Occidental o el virus de la encefalitis japonesa, las células BHK21 se tripsinizan y se diluyen a una concentración de 4 x 105 células/ml en medio RPMI-1640 suplementado con FBS al 2% y penicilina/estreptomicina al 1%. Para la prueba contra el virus del dengue, las células Huh7 se tripsinizan y se diluyen a una concentración de 4 x 105 células/ml en medio DMEM suplementado con 5% de FBS y 1% de penicilina/estreptomicina. Se dispensan 50 microlitros de suspensión celular (2 x 104 células) por pocillo en placas con base de polímero PIT de fondo óptico de 96 pocillos (Nunc). Las células se cultivan durante la noche en medio de cultivo a 37°C, 5% de CO2, y luego se infectan con el virus del Nilo Occidental (por ejemplo, la cepa B956) o el virus de la encefalitis japonesa (por ejemplo, la cepa de Nakayama) a MOI = 0,3, o con el virus del dengue (p. ej., cepa DEN-2 NGC) a MOI = 1, en presencia de diferentes concentraciones de compuestos de prueba. Las placas que contienen el virus y los compuestos se incuban adicionalmente a 37°C, 5% de CO2durante 72 horas. Al final de la incubación, se añaden 100 microlitros de reactivo CellTiter-GloTM a cada pocillo. El contenido se mezcla durante 2 minutos en un agitador orbital para inducir la lisis celular. Las placas se incuban a temperatura ambiente durante 10 minutos para estabilizar la señal luminiscente. La lectura de luminiscencia se registra utilizando un lector de placas. Se puede usar un control positivo tal como N-nonil-desooxinojirimicina.[0300] For the test against West Nile virus or Japanese encephalitis virus, BHK21 cells are trypsinized and diluted to a concentration of 4 x 105 cells / ml in RPMI-1640 medium supplemented with 2% FBS and 1% penicillin / streptomycin. For the dengue virus test, Huh7 cells are trypsinized and diluted to a concentration of 4 x 105 cells / ml in DMEM medium supplemented with 5% FBS and 1% penicillin / streptomycin. 50 microliters of cell suspension (2 x 104 cells) are dispensed per well in 96-well optical bottom PIT polymer based plates (Nunc). The cells are grown overnight in culture medium at 37 ° C, 5% CO2 , and then infected with West Nile virus (for example, strain B956) or Japanese encephalitis virus (for example , the Nakayama strain) at MOI = 0.3, or with the dengue virus (e.g., DEN-2 NGC strain) at MOI = 1, in the presence of different concentrations of test compounds. Plates containing the virus and the compounds are further incubated at 37 ° C, 5% CO2 for 72 hours. At the end of the incubation, 100 microliters of CellTiter-GloTM reagent are added to each well. The content is mixed for 2 minutes on an orbital shaker to induce cell lysis. The plates are incubated at room temperature for 10 minutes to stabilize the luminescent signal. The luminescence reading is recorded using a plate reader. A positive control such as N-nonyl-deooxinojirimycin can be used.

Actividad antiviral en un modelo de ratón de infección por dengueAntiviral activity in a mouse model of dengue infection

[0301]Los compuestos se ensayanin vivoen un modelo de ratón de infección por el virus del dengue (Schul et al J. Infectious Dis 2007; 195: 665-74). Se alojan ratones AG129 de seis a diez semanas (B&K Universal Ltd, HII, Reino Unido) en jaulas ventiladas individualmente. Los ratones se inyectan intraperitonealmente con 0,4 ml de suspensión de virus dengue TSV01 2. Se toman muestras de sangre mediante punción orbital retro bajo anestesia con isoflurano. Las muestras de sangre se recogen en tubos que contienen citrato de sodio a una concentración final del 0,4%, y se centrifugan inmediatamente durante 3 minutos a 6000 g para obtener plasma. El plasma (20 microlitros) se diluye en medio RPMI-1640 de 780 microlitros y se congela rápidamente en nitrógeno líquido para el análisis del ensayo en placa. El plasma restante se reserva para la determinación del nivel de citocinas y proteínas NS1. Los ratones desarrollan viremia por dengue que se eleva durante varios días, alcanzando su punto máximo el día 3 después de la infección.[0301] The compounds are testedin vivo in a mouse model of dengue virus infection (Schul et al. J. Infectious Dis 2007; 195: 665-74). AG129 mice are housed for six to ten weeks (B&K Universal Ltd, HII, United Kingdom) in individually ventilated cages. Mice are injected intraperitoneally with 0.4 ml of TSV01 2 dengue virus suspension. Blood samples are taken by retro orbital puncture under isoflurane anesthesia. Blood samples are collected in tubes containing sodium citrate at a final concentration of 0.4%, and centrifuged immediately for 3 minutes at 6000 g to obtain plasma. The plasma (20 microliters) is diluted in RPMI-1640 medium of 780 microliters and rapidly frozen in liquid nitrogen for analysis of the plate assay. The remaining plasma is reserved for the determination of the level of cytokines and NS1 proteins. Mice develop dengue viremia that rises for several days, peaking on day 3 after infection.

[0302]Para ensayar la actividad antiviral, un compuesto de la invención se disuelve en fluido de vehículo, por ejemplo, etanol al 10%, PEG 300 al 30% y D5W al 60% (dextrosa al 5% en agua; o HCl 6N (1,5 eq): 1N NaOH (pH ajustado a 3,5): tampón de citrato 100 mM pH 3,5 (0,9% v/v: 2,5% v/v: 96,6% v/v) Treinta y seis ratones AG129 de 6-10 semanas de edad se dividen en seis grupos de seis ratones cada uno. Todos los ratones están infectados con el virus del dengue como se describió anteriormente (día 0). El grupo 1 se dosifica por sonda oral de 200 ml/ratón con 0,2 mg/kg de un compuesto de la invención dos veces al día (una vez temprano en la mañana y una vez al final de la tarde) durante tres días consecutivos a partir del día 0 (primera dosis justo antes de la infección por dengue). Los grupos 2, 3 y 4 se dosifican de la misma manera con 1 mg/kg, 5 mg/kg y 25 mg/kg del compuesto, respectivamente. Puede usarse un control positivo, tal como (2R, 3R, 4R, 5R)-2-(2-amino-6-hidroxi-purin-9-il)-5-hidroximetil-3-metilo -tetrahidrofurano-3,4-diol, dosificado por sonda oral de 200 microlitros/ratón de la misma manera que los grupos anteriores. Un grupo adicional se trata solo con líquido vehicular.[0302] To test antiviral activity, a compound of the invention is dissolved in vehicle fluid, for example, 10% ethanol, 30% PEG 300 and 60% D5W (5% dextrose in water; or 6N HCl (1.5 eq): 1N NaOH (pH adjusted to 3.5): 100 mM citrate buffer pH 3.5 (0.9% v / v: 2.5% v / v: 96.6% v / v) Thirty-six AG129 mice, 6-10 weeks old, are divided into six groups of six mice each, all mice are infected with dengue virus as described above (day 0) Group 1 is dosed by 200 ml / mouse oral probe with 0.2 mg / kg of a compound of the invention twice a day (once early in the morning and once at the end of the afternoon) for three consecutive days from day 0 ( first dose just before dengue infection.) Groups 2, 3 and 4 are dosed in the same way with 1 mg / kg, 5 mg / kg and 25 mg / kg of the compound, respectively. such as (2R, 3R, 4R, 5R) -2- (2-amino-6-hydrox i-purin-9-yl) -5-hydroxymethyl-3-methyl-tetrahydrofuran-3,4-diol, dosed by oral 200 microliter / mouse probe in the same manner as the above groups. An additional group is treated only with vehicular fluid.

[0303]En el día 3 después de la infección, se toman aproximadamente 100 microlitros de muestras de sangre (anticoaguladas con citrato de sodio) de los ratones mediante punción retroorbital bajo anestesia con isoflurano. El plasma se obtiene de cada muestra de sangre por centrifugación y se congela en nitrógeno líquido para el análisis de plagas. Las muestras de plasma recolectadas se analizan mediante un ensayo de peste como se describe en Schulet al.Las citocinas también se analizan según lo descrito por Schul. Los niveles de proteína NS1 se analizan usando un kit Platelia™ (BioRad Laboratories). Un efecto antiviral está indicado por una reducción en los niveles de citoquinas y/o niveles de proteína NS1.[0303] On day 3 after infection, approximately 100 microliters of blood samples (anticoagulated with sodium citrate) are taken from the mice by retroorbital puncture under anesthesia with isoflurane. Plasma is obtained from each blood sample by centrifugation and frozen in liquid nitrogen for pest analysis. The collected plasma samples are analyzed by a plague test as described in Schulet al. Cytokines are also analyzed as described by Schul. NS1 protein levels are analyzed using a Platelia ™ kit (BioRad Laboratories). An antiviral effect is indicated by a reduction in cytokine levels and / or NS1 protein levels.

[0304]Típicamente, se obtienen reducciones en la viremia de aproximadamente 5-100 veces, más típicamente 10-60 veces, más típicamente 20-30 veces, con dosis de 5-50 mg/kg dos veces al día de los compuestos de la invención.[0304] Typically, reductions in viremia of approximately 5-100 times, more typically 10-60 times, more typically 20-30 times, are obtained with doses of 5-50 mg / kg twice daily of the compounds of the invention.

Determinación de HCV CIHCV CI Determination50fifty

[0305]Protocolo de ensayo: Ninguno de tipo salvaje o S282T (Migliaccio, et al, J. Biol. Chem. 2003, 49164 a 49170; Klumpp, et al, J. Biol Chem 2006, 3,793 a 3799) polimerasa mutante enzima se utilizó en este ensayo. Ensayo de la polimerasa NS5b (40 pl) se ensambló mediante la adición de 28 pl de mezcla de polimerasa (concentración final: 50 mM Tris-HCl a pH 7,5, KCl 10, 5 mM MgCh, DTT 1 mM, EDTA 10 mM, 4 ng/m L de plantilla de ARN y 75 nM VHC A21 NS5b polimerasa) a las placas de ensayo seguido de 4 pL de dilución del compuesto. La polimerasa y el compuesto se pre-incubaron a 35°C durante 10 minutos antes de la adición de 8 pL de mezcla de sustrato de nucleótidos (33P-ymarcado con nucleótidos que compiten en Km y 0,5 mM de los tres nucleótidos restantes). Las placas de ensayo se cubrieron y se incubaron a 35°C durante 90 min. Las reacciones se filtraron luego a través de placas de filtro DEAE-81 de 96 pocillos mediante vacío. A continuación, las placas de filtro se lavaron bajo vacío con múltiples volúmenes de 0,125 M NaHPO4, agua, y etanol para eliminar el marcador no incorporado. Luego se contaron las placas en TopCount para evaluar el nivel de síntesis del producto sobre los controles de fondo. El valor CI50se determina utilizando el programa de ajuste Prism.[0305] Test protocol: None of the wild type or S282T (Migliaccio, et al, J. Biol. Chem. 2003, 49164 to 49170; Klumpp, et al, J. Biol Chem 2006, 3,793 to 3799) enzyme mutant polymerase se used in this essay. NS5b polymerase assay (40 pl) was assembled by adding 28 pl of polymerase mixture (final concentration: 50 mM Tris-HCl at pH 7.5, 10.5 mM KCl MgCh, 1 mM DTT, 10 mM EDTA , 4 ng / mL of RNA template and 75 nM HCV A21 NS5b polymerase) to the assay plates followed by 4 pL of compound dilution. The polymerase and the compound were pre-incubated at 35 ° C for 10 minutes before the addition of 8 pL of nucleotide substrate mixture (33P-labeled with nucleotides competing in Km and 0.5 mM of the remaining three nucleotides) . The test plates were covered and incubated at 35 ° C for 90 min. The reactions were then filtered through 96-well DEAE-81 filter plates under vacuum. Next, the filter plates were washed under vacuum with multiple volumes of 0.125 M NaHPO4 , water, and ethanol to remove the unincorporated label. The plates were then counted in TopCount to assess the level of product synthesis on the background controls. The IC50 value is determined using the Prism adjustment program.

[0306] Preferiblemente, los compuestos descritos en este documento inhibieron la polimerasa NS5b con CI50por debajo de1 00 0j M, más preferiblemente por debajo de10 0j M, y lo más preferiblemente por debajo de10j M. Los datos para los compuestos representativos se encuentran en la siguiente Tabla.[0306] Preferably, the compounds described herein inhibited NS5b polymerase with IC50 below1 00 0 jM, more preferably below10 0 jM, and most preferably below10 j M. The data for representative compounds are found in the following Table.

Figure imgf000097_0001
Figure imgf000097_0001

Determinación de HCV CE50Determination of HCV CE50

[0307] Las células de replicón se sembraron en placas de 96 pocillos a una densidad de8x 103células por pocillo en 100 j L de medio de cultivo, con exclusión de Geneticina. El compuesto se diluyó en serie en DMSO al 100% y luego se agregó a las células a una dilución 1:200, logrando una concentración final de DMSO al 0,5% y un volumen total de 200 jl. Las placas se incubaron a 37°C durante 3 días, después de qué medio de cultivo se eliminó y las células se lisaron en tampón de lisis proporcionado por el sistema de ensayo de luciferasa de Promega. Siguiendo las instrucciones del fabricante, se añadieron100ml de sustrato de luciferasa a las células lisadas y se midió la actividad de luciferasa en un luminómetro TopCount. Preferiblemente, los compuestos descritos aquí tienen CE50 por debajo de 1000 j M, más preferiblemente por debajo de 100 j M, y lo más preferiblemente por debajo de 10 j M.[0307] The replicon cells were plated in 96 well plates at a density of8 x 103 cells per well in 100 j L of culture medium, excluding Geneticin. The compound was serially diluted in 100% DMSO and then added to the cells at a 1: 200 dilution, achieving a final concentration of 0.5% DMSO and a total volume of 200 µl. The plates were incubated at 37 ° C for 3 days, after which culture medium was removed and the cells lysed in lysis buffer provided by the Promega luciferase assay system. Following the manufacturer's instructions,100 ml of luciferase substrate was added to the lysed cells and luciferase activity was measured on a TopCount luminometer. Preferably, the compounds described herein have EC50 below 1000 µM, more preferably below 100 µM, and most preferably below 10 µM.

[0308] Los datos para compuestos representativos se muestran en la tabla a continuación.[0308] Data for representative compounds are shown in the table below.

Figure imgf000097_0002
Figure imgf000097_0002

Ensayo de biogénesis m itocondrial después del tratam iento de 5 días en células PC-3Mitochondrial biogenesis assay after 5-day treatment in PC-3 cells

[0309]Diluciones en serie de tres veces de compuestos se prepararon por duplicado en placas de 96 pocilios a partir de una concentración cerca del valor CC50del compuesto después de tratamiento de 5 días. Para los compuestos con CC50^ 100 |jM, la concentración inicial fue de 100 j M. Las células PC-3 se sembraron a una densidad de 2,5 X 103 células por pocillo en un volumen de ensayo final de 100 j L por pocillo con una cantidad constante de DMSO igual al 0,5%. Después de 5 días de incubación, las células se analizaron con kit de MitoBiogenesis™ In-Cell ELISA (catálogo n° MS642) de MitoSciences, que utiliza inmunocitoquímica cuantitativa para medir los niveles de proteína de los complejos II y IV en células cultivadas. Las células se fijaron en una placa de 96 pocillos y las proteínas diana se detectaron con anticuerpos monoclonales altamente específicos y bien caracterizados. Los niveles de proteína se cuantificaron con anticuerpos secundarios marcados con IRDye®. La imagen y cuantificación IR se realizó utilizando un instrumento Odyssey LI-COR®. Todas las relaciones se expresaron como un porcentaje del control de DMSO al 0,5%. En los casos en que la viabilidad celular se vio gravemente afectada, los datos para la biogénesis mitocondrial no se incluyeron para el análisis debido a errores significativos asociados con señales bajas. Se usó cloranfenicol como control positivo para el ensayo.[0309] Three-fold serial dilutions of compounds were prepared in duplicate in 96-well plates from a concentration near the CC50 value of the compound after 5-day treatment. For compounds with50 ^ 100 | jM CC, the initial concentration was 100 jM. PC-3 cells were seeded at a density of 2.5 X 103 cells per well in a final test volume of 100 jL per well with a constant amount of DMSO equal to 0.5%. After 5 days of incubation, the cells were analyzed with MitoBiogenesis ™ In-Cell ELISA kit (catalog # MS642) from MitoSciences, which uses quantitative immunocytochemistry to measure protein levels of complexes II and IV in cultured cells. The cells were fixed in a 96-well plate and the target proteins were detected with highly specific and well characterized monoclonal antibodies. Protein levels were quantified with secondary antibodies labeled with IRDye®. IR imaging and quantification was performed using an Odyssey LI-COR® instrument. All ratios were expressed as a percentage of 0.5% DMSO control. In cases where cell viability was severely affected, data for mitochondrial biogenesis was not included for analysis due to significant errors associated with low signals. Chloramphenicol was used as a positive control for the assay.

[0310]La citotoxicidad de un compuesto de la invención se puede determinar usando el siguiente protocolo general.[0310] The cytotoxicity of a compound of the invention can be determined using the following general protocol.

Ensayo de cultivo celular de citotoxicidad (determinación de CC50)Cytotoxicity cell culture assay (determination of CC50)

[0311]El ensayo se basa en la evaluación del efecto citotóxico de los compuestos ensayados utilizando un sustrato metabólico.[0311] The assay is based on the evaluation of the cytotoxic effect of the compounds tested using a metabolic substrate.

Protocolo de ensayo para la determinación de CC50.Test protocol for the determination of CC50 .

[0312][0312]

1. Mantener las células MT-2 en medio RPMI-1640 suplementado con suero bovino fetal al 5% y antibióticos.1. Maintain MT-2 cells in RPMI-1640 medium supplemented with 5% fetal bovine serum and antibiotics.

2. Distribuir las células en una placa de 96 pocillos (20.000 células en 100 j l de medio por pocillo) y agregar varias concentraciones del compuesto probado por triplicado (100 jl/pocillo). Incluir control no tratado. 3. Incubar las células durante 5 días a 37°C.2. Distribute the cells in a 96-well plate (20,000 cells in 100 μl of medium per well) and add various concentrations of the triplicate tested compound (100 μl / well). Include untreated control. 3. Incubate the cells for 5 days at 37 ° C.

4. Preparar la solución XTT( 6ml por placa de ensayo) en oscuridad a una concentración de 2 mg/ml en una solución salina tamponada con fosfato pH 7,4. Calentar la solución en un baño de agua a 55°C durante 5 min. Añadir 50 j L de metasulfato N-metilfenazonio (5 jg/mL) por6ml de solución de XTT.4. Prepare the XTT solution(6 ml per assay plate) in the dark at a concentration of 2 mg / ml in a phosphate buffered saline solution pH 7.4. Heat the solution in a water bath at 55 ° C for 5 min. Add 50 μL of N-methylphenazone Paulo metasulfate (5 μg / mL) per6 ml of XTT solution.

5. Retirar 100 j l de medio de cada pocillo en la placa de ensayo y agregar 100 j l de la solución de sustrato XTT por pocillo. Incubar a 37°C durante 45 a 60 min en una incubadora de CO2.5. Remove 100 ml of medium from each well on the test plate and add 100 ml of the XTT substrate solution per well. Incubate at 37 ° C for 45 to 60 min in a CO2 incubator.

6. Agregar 20 j l de Triton X-100 al 2% por pocillo para detener la conversión metabólica de XTT.6 . Add 20 µl of 2% Triton X-100 per well to stop the metabolic conversion of XTT.

7. Leer la absorbancia a 450 nm restando el fondo a 650 nm.7. Read the absorbance at 450 nm by subtracting the background at 650 nm.

8. Trazar el porcentaje de absorbancia en relación con el control no tratado y calcule el valor de CC50como la concentración del fármaco que resulta en una inhibición del 50% del crecimiento celular. Considerar que la absorbancia es directamente proporcional al crecimiento celular.8 . Plot the percentage of absorbance in relation to the untreated control and calculate the value of CC50 as the concentration of the drug resulting in a 50% inhibition of cell growth. Consider that absorbance is directly proportional to cell growth.

[0313]Se ha observado que los análogos de nucleósidos con R6 como se reivindica actualmente pueden tener una selectividad celular mejorada sobre sus contrapartes con R6 = H. Como se muestra en la tabla a continuación, los compuestos estructuralmente estrechamente relacionados con elCompuesto A(R6 = H) y elCompuesto 30(R6 = CN) tenía el mismo nivel de actividad antiviral, donde elCompuesto Amostró CE50de 2,5 j M y elCompuesto 30hizo CE50de 2,6 j M. Sin embargo, la toxicidad mitocondrial de estos dos compuestos fue sorprendentemente diferente uno de uno. ElCompuesto Amostró una inhibición del 50% de los niveles de proteína mitocondrial a 43 j M, mientras que elCompuesto 30no mostró ningún efecto inhibidor incluso a100j M, que era una concentración máxima ensayada en el ensayo de Biogénesis Mitocondrial.[0313] It has been observed that nucleoside analogs with R6 as currently claimed may have improved cell selectivity over their counterparts with R6 = H. As shown in the table below, compounds structurally closely related toCompound A ( R6 = H) andCompound 30 (R6 = CN) had the same level of antiviral activity, whereCompound A showed EC50 of 2.5 jM andCompound 30 made EC50 of 2.6 j M. However , the mitochondrial toxicity of these two compounds was surprisingly different one from one.Compound A showed a 50% inhibition of mitochondrial protein levels at 43 jM, whileCompound 30 showed no inhibitory effect even at100 jM, which was a maximum concentration tested in the Mitochondrial Biogenesis assay.

Figure imgf000098_0001
Figure imgf000098_0001

Figure imgf000099_0001
Figure imgf000099_0001

Ensayos antigripalesInfluenza Tests

[0314]Las células MDCK (Instituto Friedrich-Loeffler, Riems, Alemania) se cultivan en medio esencial mínimo Eagle (EMEM) suplementado con suero bovino fetal al 10%, penicilina 100 U/ml y estreptomicina 100 U/ml. El medio aplicado en los ensayos de reducción de placa se formula con aproximadamente2pg/ml de tripsina y aproximadamente1 ,2mM de bicarbonato y no contiene suero.[0314] MDCK cells (Friedrich-Loeffler Institute, Riems, Germany) are grown in minimal Eagle essential medium (EMEM) supplemented with 10% fetal bovine serum, 100 U / ml penicillin and 100 U / ml streptomycin. The medium applied in the plaque reduction assays is formulated with approximately2 pg / ml trypsin and approximately1.2 mM bicarbonate and does not contain serum.

[0315]A/Horneburg/IDT7489/08 y Brest/IDT490/08 se aíslan en huevos de gallina embrionados y en hisopos nasales obtenidos de cerdos con síntomas clínicos.[0315] A / Horneburg / IDT7489 / 08 and Brest / IDT490 / 08 are isolated in embryonated chicken eggs and nasal swabs obtained from pigs with clinical symptoms.

[0316]Existencias del virus de la gripe H1N1 A/PR/8/34 (Instituto de Virología, Universidad de Philipps, Marburg), el aislado humano H1N1 resistente al oseltamivir A/342/09 (Instituto Robert Koch, Berlín, Alemania) y los aislados porcinos H1N1 A/Belzig/2/01, A/Potsdam/15/81 (Dr. Schrader, Bundesinstitut fur Risikoforschung, Berlín, Alemania), A/Horneburg/IDT7489/08 y Brest/IDT490/08 se propagan en células MDCK, alicuotadas y almacenadas a -80°C hasta su uso.[0316] Stock of the H1N1 influenza virus A / PR / 8/34 (Institute of Virology, University of Philipps, Marburg), the H1N1 oseltamivir-resistant human isolate A / 342/09 (Robert Koch Institute, Berlin, Germany) and pig isolates H1N1 A / Belzig / 2/01, A / Potsdam / 15/81 (Dr. Schrader, Bundesinstitut fur Risikoforschung, Berlin, Germany), A / Horneburg / IDT7489 / 08 and Brest / IDT490 / 08 propagate in MDCK cells, aliquoted and stored at -80 ° C until use.

[0317]Inmediatamente antes de su uso, las reservas de compuestos se preparan en agua y se almacenan a 4°C. Las soluciones de reserva de compuestos se preparan en DMSO.[0317] Immediately before use, stockpiles of compounds are prepared in water and stored at 4 ° C. Compound stock solutions are prepared in DMSO.

La citotoxicidad, así como la actividad antiviral de los compuestos de prueba, se determinan en monocapas de células MDCK de 3 días de edad como se describió previamente por Schmidtke (Antivir. Res. 2002, 55, 117-127). Brevemente, para determinar la CC50, las monocapas de células confluentes cultivadas en placas de 96 pocillos se incuban con diluciones en serie de2veces (cada una por triplicado) del compuesto, un compuesto de prueba o estándar como el oseltamivir, durante 72 h (37°C, 5% de CO2), luego las células se fijan y se tiñen con una solución cristalina de formalina violeta. Después de la extracción del colorante, la densidad óptica de los pocillos individuales se cuantifica espectrofotométricamente a 550/630 nm con un lector de microplacas. La viabilidad celular de los pocillos individuales tratados con compuestos se evalúa como el porcentaje del valor medio de la densidad óptica resultante de seis controles celulares simulados que se estableció al1 0 0%. El CC50se define como la concentración del compuesto que reduce la viabilidad de los cultivos celulares no tratados en un 50%. Se calcula a partir de la curva dosis-respuesta media de dos ensayos independientes.The cytotoxicity, as well as the antiviral activity of the test compounds, are determined in monolayers of 3-day-old MDCK cells as previously described by Schmidtke (Antivir. Res. 2002, 55, 117-127). Briefly, to determine the CC50, the confluent cell monolayers grown in 96 - well plates are incubated with serial dilutions oftwo times (each in triplicate) of the compound, a test compound or standard such as oseltamivir, for 72 h (37 ° C, 5% CO2 ), then the cells are fixed and stained with a crystalline solution of violet formalin. After dye extraction, the optical density of the individual wells is quantified spectrophotometrically at 550/630 nm with a microplate reader. The cell viability of the individual wells treated with compounds is evaluated as the percentage of the average value of the optical density resulting from six simulated cell controls that was established at1.0 %. CC50 is defined as the concentration of the compound that reduces the viability of untreated cell cultures by 50%. It is calculated from the average dose-response curve of two independent trials.

[0318]Se usa un ensayo de reducción de placa para pruebas antivirales con el virus de la gripe A/Puerto Rico/8/34 en células MDCK. Las monocapas celulares se inoculan con aproximadamente 70 unidades formadoras de placa (pfu) del virus y se superponen con agar al 0,4% suplementado con concentraciones de compuesto de 2 veces en serie; cada uno probado por duplicado. Un control celular no infectado, no tratado, así como tres controles de virus infectados no tratados se incluyen en todos los ensayos. Después de 48 h de incubación a 37°C, las placas se fijan y se tiñen con una solución cristalina de formalina violeta, se cuenta el número de placas inducidas por virus y se calcula la reducción de la placa inducida por el compuesto. La concentración requerida para reducir el número de placa en un 50% se calcula a partir de las curvas de dosis-respuesta media de al menos 2 ensayos independientes.[0318] A plaque reduction assay is used for antiviral tests with influenza A / Puerto Rico / 8/34 virus in MDCK cells. The cell monolayers are inoculated with approximately 70 plaque forming units (pfu) of the virus and overlapped with 0.4% agar supplemented with compound concentrations of 2 times in series; Each tested in duplicate. An uninfected, untreated cell control, as well as three untreated infected virus controls are included in all assays. After 48 h of incubation at 37 ° C, the plates are fixed and stained with a crystalline solution of violet formalin, the number of plates induced by virus is counted and the reduction of the plate induced by the compound is calculated. The concentration required to reduce the plaque number by 50% is calculated from the mean dose-response curves of at least 2 independent trials.

Ensayos anti-enterovirusAnti-enterovirus assays

[0319]Los aislados de virus clínicos se pasan una vez en la línea celular utilizada para su aislamiento original para establecer reservas de virus funcionales y luego se almacenan como alícuotas en ampollas de vidrio a -80°C. Los enterovirus (EV) se propagan en células de rabdomiosarcoma embrionario humano (RD) cultivadas en medio esencial mínimo (MEM) suplementado con 10% de suero bovino fetal inactivado por calor (FBS). Los aislamientos CVA9 y CVB se pasan en células LLC-MK2D cultivadas en MEM más 5% de FBS. Los virus se analizan para determinar la sensibilidad a los medicamentos en la línea celular utilizada para su aislamiento original, con la excepción de los aislamientos de CVA9, que se analizan en células HeLa.[0319] Clinical virus isolates are passed once in the cell line used for their original isolation to establish functional virus reserves and then stored as aliquots in glass ampoules at -80 ° C. Enteroviruses (EV) propagate in human embryonic rhabdomyosarcoma (RD) cells grown in minimal essential medium (MEM) supplemented with 10% heat-inactivated fetal bovine serum (FBS). CVA9 and CVB isolates are passed on LLC-MK2 D cells grown in MEM plus 5% FBS. Viruses are analyzed to determine the sensitivity to drugs in the cell line used for their original isolation, with the exception of CVA9 isolates, which are analyzed in HeLa cells.

Ensayo del efecto citopático del virusCytopathic virus test

[0320]Las sensibilidades de los enterovirus a los compuestos de Fórmula I pueden determinarse en un ensayo de cultivo celular que mide la protección por el fármaco de una monocapa celular infectada de los efectos citopáticos de los virus. Ejemplos de las cepas prototípicas de los 15 enterovirus aislados más comúnmente (Strikas, et al., J. Infect. Dis. 1986, 153, 346-351) se muestran en la Tabla II Sembraron placas de cultivo de tejidos de noventa y seis pocillos (Costar 3598) a una densidad de 2,8 X 104 células/pocillo para células HeLa (en MEM más 5% de FBS), 3,6 X 104 células/pocillo para células LLC-MK2D (en MEM más 5% de FBS), o 6 X 104 células/pocillo para células RD (en MEM más 10% de f Bs ). Las células se incuban durante 24 h a 37°C en una atmósfera humidificada al 5% de CO2antes de su uso en el ensayo.[0320] The sensitivities of enteroviruses to the compounds of Formula I can be determined in a test of cell culture that measures the protection by the drug of an infected cell monolayer from the cytopathic effects of viruses. Examples of the prototypic strains of the 15 most commonly isolated enteroviruses (Strikas, et al., J. Infect. Dis. 1986, 153, 346-351) are shown in Table II. They planted ninety-six-well tissue culture plates. (Cost 3598) at a density of 2.8 X 104 cells / well for HeLa cells (in MEM plus 5% FBS), 3.6 X 104 cells / well for LLC-MK2 D cells (in MEM plus 5% of FBS), or 6 X 104 cells / well for RD cells (in MEM plus 10% of f Bs). The cells are incubated for 24 h at 37 ° C in a humidified atmosphere at 5% CO2 before use in the assay.

[0321]Para determinar el inóculo del virus en el ensayo, se colocan en placa diluciones en serie 0,5 log-10de virus individuales en sus respectivas líneas celulares en medio 199 (M199) más FBS al 5% suplementado con MgCh 30 mM y 15 |jg de DEAE dextrano por ml (medio completo M199). Las placas se incuban durante 3 días y luego se fijan con glutaraldehído al 5% y se tiñen con cristal violeta al 0,1%. Después de enjuagarse y secarse, la densidad óptica de los pocillos a una longitud de onda de 570 nm (OD570) se lee en un lector de placas Bio-Tek 300. La mayor dilución de virus que produce una lectura OD570de <15% del valor de control del cultivo celular se usa para las pruebas de sensibilidad a los medicamentos.[0321] To determine the inoculum of the virus in the assay, 0.5 log-10 serial dilutions of individual viruses are plated on their respective cell lines in 199 (M199) medium plus 5% FBS supplemented with 30 mM MgCh and 15 | jg of DEAE dextran per ml (complete medium M199). The plates are incubated for 3 days and then fixed with 5% glutaraldehyde and stained with 0.1% violet crystal. After rinsing and drying, the optical density of the wells at a wavelength of 570 nm (OD570 ) is read on a Bio-Tek 300 plate reader. The highest virus dilution that produces an OD570 reading of <15 % of the cell culture control value is used for drug sensitivity tests.

[0322]Para evaluar la sensibilidad al fármaco, las células en placas de 96 pocillos se infectan con la dilución de virus apropiada a 37°C en 150 j l de medio M199 completo. Durante el período de unión del virus de 1 h, los compuestos de Fórmula I se solubilizan en dimetilsulfóxido (DMSO) a 400 veces la concentración más alta que se analizará en el ensayo y luego se diluyen en serie dos veces en DMSO en polipropileno de 96 pocillos con fondo en placas U (Costar 3790) para producir 10 diluciones de compuestos. Luego se diluyen dos microlitros de las diluciones del compuesto DMSO en 198 j l de medio M199 completo para efectuar una dilución de compuesto de 100 veces. Después de la unión del virus, se añaden 50 j l de esta dilución de fármaco al inóculo de virus de 150 jl, dando como resultado una dilución final de 400 veces del compuesto en DMSO al 0,25%. Cada concentración compuesta se ejecuta por cuadruplicado. Las células no infectadas y las células que reciben virus en ausencia de compuesto se incluyen en cada placa. Las placas se incuban a continuación durante 3 días a 37°C en una atmósfera humidificada al 2,5% de CO2antes de la fijación y tinción. La concentración inhibitoria del 50% (CI50) se define como la concentración de compuesto que protege al 50% de la monocapa celular del efecto citopático inducido por el virus.[0322] To assess drug sensitivity, cells in 96-well plates are infected with the appropriate virus dilution at 37 ° C in 150 ml of complete M199 medium. During the 1 h virus binding period, the compounds of Formula I are solubilized in dimethylsulfoxide (DMSO) at 400 times the highest concentration to be analyzed in the assay and then serially diluted twice in DMSO in 96 polypropylene bottom wells in U plates (Costar 3790) to produce 10 dilutions of compounds. Two microliters of the dilutions of the DMSO compound are then diluted in 198 ml of complete M199 medium to effect a 100-fold dilution of the compound. After virus binding, 50 µl of this drug dilution is added to the 150 µl virus inoculum, resulting in a final 400-fold dilution of the compound in 0.25% DMSO. Each compound concentration is run in quadruplicate. Uninfected cells and cells that receive viruses in the absence of compound are included in each plate. The plates are then incubated for 3 days at 37 ° C in a humidified atmosphere at 2.5% CO2 before fixation and staining. The 50% inhibitory concentration (IC50 ) is defined as the concentration of compound that protects 50% of the cell monolayer from the cytopathic effect induced by the virus.

Tabla 4: Enterovirus comúnmente aislados.Table 4 : Commonly isolated Enteroviruses.

Figure imgf000100_0001
Figure imgf000100_0001

Actividad antiviral del virus sincitial respiratorio (VSR) y ensayos de citotoxicidad actividad anti-VSRAntiviral activity of respiratory syncytial virus (RSV) and cytotoxicity assays anti-RSV activity

[0323]La actividad antiviral contra RSV se determina usando un ensayo de citoprotección in vitro en células Hep2. En este ensayo, los compuestos que inhiben la replicación del virus exhiben un efecto citoprotector contra la muerte celular inducida por el virus que puede cuantificarse usando un reactivo de viabilidad celular. El método utilizado es similar a los métodos descritos previamente en la literatura publicada (Chapman et al., Antimicrob Agents Chemother.[0323] Antiviral activity against RSV is determined using an in vitro cytoprotection assay in Hep2 cells. In this assay, compounds that inhibit virus replication exhibit a cytoprotective effect against virus-induced cell death that can be quantified using a cell viability reagent. The method used is similar to the methods previously described in the published literature (Chapman et al., Antimicrob Agents Chemother.

2007, 51(9):3346-53.)2007, 51 (9): 3346-53.)

[0324]Las células Hep2 se obtienen de la ATCC (Manassas, VI) y se mantienen en medio MEM suplementado con suero bovino fetal al 10% y penicilina/estreptomicina. Las células se pasan dos veces por semana y se mantienen en una etapa subconfluente. Las existencias comerciales de RSV cepa A2 (Advanced Biotechnologies, Columbia, MD) se titulan antes de las pruebas de compuestos para determinar la dilución apropiada de existencias de virus que generan un efecto citopático deseable en las células Hep2.[0324] Hep2 cells are obtained from ATCC (Manassas, VI) and are maintained in MEM medium supplemented with 10% fetal bovine serum and penicillin / streptomycin. The cells are passed twice a week and kept in a subconfluent stage. Commercial stocks of RSV strain A2 (Advanced Biotechnologies, Columbia, MD) are titrated before compound testing to determine the appropriate dilution of virus stocks that They generate a desirable cytopathic effect on Hep2 cells.

[0325]Para las pruebas antivirales, las células Hep2 se siembran en placas de 96 pocillos 24 horas antes del ensayo a una densidad de 3.000 células/pocillo. En una placa separada de 96 pocillos, los compuestos a ensayar se diluyen en serie en medios de cultivo celular. Se preparan ocho concentraciones en incrementos de dilución en serie de 3 veces para cada compuesto probado y 100 pl/pocillo de cada dilución se transfieren por duplicado a placas con células Hep2 sembradas. Posteriormente, la dilución apropiada de existencias de virus previamente determinado por valoración se prepara en medios de cultivo celular y se añaden 100 pl/pocillo a las placas de prueba que contienen células y compuestos diluidos en serie. Cada placa incluye tres pocillos de células infectadas no tratadas y tres pocillos de células no infectadas que sirvieron como control de inhibición del virus al 0% y al 100%, respectivamente. Después de la infección con RSV, las placas de prueba se incuban durante 4 días en una incubadora de cultivo de tejidos. Después de la incubación, se determina el efecto citopático inducido por RSV usando un reactivo Cell TiterGlo (Promega, Madison, WI) seguido de una lectura de luminiscencia. El porcentaje de inhibición se calcula para cada concentración probada en relación con los controles de inhibición de 0% y 100% y el valor de CE50 para cada compuesto se determina por regresión no lineal como una concentración que inhibe el efecto citopático inducido por el RSV en un 50%. La ribavirina (comprada en Sigma, St. Louis, MO) se usa como control positivo para la actividad antiviral.[0325] For antiviral tests, Hep2 cells are plated in 96-well plates 24 hours prior to testing at a density of 3,000 cells / well. In a separate 96-well plate, the compounds to be tested are serially diluted in cell culture media. Eight concentrations are prepared in 3-fold serial dilution increments for each compound tested and 100 pl / well of each dilution is transferred in duplicate to plates with seeded Hep2 cells. Subsequently, the appropriate dilution of virus stocks previously determined by titration is prepared in cell culture media and 100 pl / well is added to the test plates containing cells and serially diluted compounds. Each plate includes three wells of untreated infected cells and three wells of uninfected cells that served as a 0% and 100% virus inhibition control, respectively. After RSV infection, the test plates are incubated for 4 days in a tissue culture incubator. After incubation, the cytopathic effect induced by RSV is determined using a Cell TiterGlo reagent (Promega, Madison, WI) followed by a luminescence reading. The percent inhibition is calculated for each concentration tested in relation to the 0% and 100% inhibition controls and the EC50 value for each compound is determined by nonlinear regression as a concentration that inhibits the cytopathic effect induced by RSV in 50% Ribavirin (purchased from Sigma, St. Louis, MO) is used as a positive control for antiviral activity.

[0326]Los compuestos también se ensayaron para determinar la actividad antiviral contra RSV en células Hep2 usando un formato de 384 pocillos. Los compuestos se diluyeron en DMSO usando una dilución en serie de 10 pasos en incrementos de 3 veces mediante automatización en 4 réplicas adyacentes cada uno. Se ensayaron ocho compuestos por placa de dilución. Luego se estamparon 0,4uL de compuestos diluidos a través de Biomek en placas de 384 pocillos (Nunc 142761 o 164730 con tapa 264616) que contenían 20 pl de medio (Mediatech Inc. MEM suplementado con Glutamina, FBS al 10% y Pen/Strep). Se usó DMSO y un compuesto de control positivo adecuado, tal como GS-32946780 pM o 427346 10 pM para los controles de destrucción celular al 100% y 0%, respectivamente.[0326] The compounds were also tested for antiviral activity against RSV in Hep2 cells using a 384 well format. The compounds were diluted in DMSO using a 10-step serial dilution in 3-fold increments by automation in 4 adjacent replicates each. Eight compounds were tested per dilution plate. 0.4uL of diluted compounds were then stamped through Biomek in 384-well plates (Nunc 142761 or 164730 with lid 264616) containing 20 pl of medium (Mediatech Inc. MEM supplemented with Glutamine, 10% FBS and Pen / Strep ). DMSO and a suitable positive control compound, such as GS-32946780 pM or 427346 10 pM, were used for 100% and 0% cell destruction controls, respectively.

[0327]Las células Hep2 (1,0 x 105 células/ml) se prepararon como anteriormente en lotes hasta un exceso de al menos 40 ml del número de placas de muestra (8 ml de mezcla de células por placa) y se infectaron con la cepa A2 de RSV suministrada por el proveedor (ABI) para llegar a un MOI de 1:1000 (virus: número de célula) o 1:3000 (vol. virus: vol. celular). Inmediatamente después de la adición del virus, se añadió la suspensión de células Hep2 infectadas con RSV a cada placa estampada de 384 pozos a 20 pl por pozo usando un dispensador uFlow, dando un volumen final de 40 pl/pozo, cada uno con 2000 células infectadas. Las placas fueron incubadas durante 5 días a 37°C y 5% de CO2. Después de la incubación, las placas se equilibraron a temperatura ambiente en una campana de gabinete de bioseguridad durante 1,5 horas y se agregaron a cada pocillo 40 pl de reactivo de viabilidad CellTiter Glo (Promega) a través de uFlow. Después de una incubación de 10-20 minutos, las placas se leyeron usando un lector de placas EnVision o Victor Luminescence (Perkin-Elmer). Luego, los datos se cargaron y analizaron en el portal de Bioinformática bajo los protocolos RSV Cell Infectivity y 8-plate EC50-Hep2-384 u 8-plate EC50-Hep2-Envision.[0327] Hep2 cells (1.0 x 105 cells / ml) were prepared as above in batches to an excess of at least 40 ml of the number of sample plates (8 ml of cell mixture per plate) and were infected with strain A2 of RSV supplied by the supplier (ABI) to reach an MOI of 1: 1000 (virus: cell number) or 1: 3000 (vol. virus: cell vol.). Immediately after virus addition, the suspension of RSV-infected Hep2 cells was added to each stamped plate of 384 wells at 20 pl per well using a uFlow dispenser, giving a final volume of 40 pl / well, each with 2000 cells infected. The plates were incubated for 5 days at 37 ° C and 5% CO2. After incubation, the plates were equilibrated at room temperature in a biosafety cabinet hood for 1.5 hours and 40 pl of CellTiter Glo viability reagent (Promega) was added to each well through uFlow. After a 10-20 minute incubation, the plates were read using an EnVision or Victor Luminescence plate reader (Perkin-Elmer). Then, the data was loaded and analyzed in the Bioinformatics portal under the RSV Cell Infectivity and 8-plate EC50-Hep2-384 or 8-plate EC50-Hep2-Envision protocols.

[0328]La actividad representativa para los compuestos de la invención contra los efectos citopáticos inducidos por RSV usando el método de 384 pocillos se muestra en la Tabla a continuación.[0328] The representative activity for the compounds of the invention against the cytopathic effects induced by RSV using the 384 well method is shown in the Table below.

Figure imgf000101_0001
Figure imgf000101_0001

(continúa)(keep going)

Figure imgf000102_0001
Figure imgf000102_0001

CitotoxicidadCytotoxicity

[0329]La citotoxicidad de los compuestos ensayados se determina en células Hep2 no infectadas en paralelo con la actividad antiviral usando el reactivo de viabilidad celular de una manera similar a la descrita anteriormente para otros tipos de células (Cihlar et al., Antimicrob Agents Chemother. 2008,52 (2): 655-65.). El mismo protocolo que para la determinación de la actividad antiviral se usa para la medición de la citotoxicidad del compuesto, excepto que las células no están infectadas con RSV. En cambio, los medios de cultivo celular frescos (100 pL/pocillo) sin el virus se agregan a las placas analizadas con células y compuestos prediluidos. A continuación, las células se incuban durante 4 días seguido de una prueba de viabilidad celular usando el reactivo CellTiter Glo y una lectura de luminiscencia. Las células no tratadas y las células tratadas con 50 pg/ml de puromicina (Sigma, St. Louis, MO) se usan como control de viabilidad celular al 100% y al 0%, respectivamente. El porcentaje de viabilidad celular se calcula para cada concentración de compuesto ensayada en relación con los controles de 0% y 100% y el valor CC50 se determina por regresión no lineal como una concentración de compuesto que reduce la viabilidad celular en un 50%.[0329] The cytotoxicity of the tested compounds is determined in non-infected Hep2 cells in parallel with the antiviral activity using the cell viability reagent in a manner similar to that described above for other cell types (Cihlar et al., Antimicrob Agents Chemother . 2008,52 (2): 655-65.). The same protocol as for the determination of antiviral activity is used for the measurement of the cytotoxicity of the compound, except that the cells are not infected with RSV. In contrast, fresh cell culture media (100 pL / well) without the virus is added to the plates analyzed with cells and prediluted compounds. The cells are then incubated for 4 days followed by a cell viability test using the CellTiter Glo reagent and a luminescence reading. Untreated cells and cells treated with 50 pg / ml puromycin (Sigma, St. Louis, MO) are used as 100% and 0% cell viability control, respectively. The percentage of cell viability is calculated for each concentration of compound tested in relation to the controls of 0% and 100% and the CC50 value is determined by non-linear regression as a concentration of compound that reduces cell viability by 50%.

Claims (7)

Translated fromSpanish
REIVINDICACIONES1.Un Compuesto seleccionado de:1. A Compound selected from:
Figure imgf000104_0001
Figure imgf000104_0001
o una sal farmacéuticamente aceptable de los mismos.or a pharmaceutically acceptable salt thereof.2. Una composición farmacéutica que comprende una cantidad terapéuticamente efectiva de un compuesto de la reivindicación 1 y un portador farmaceuticamente aceptable.2. A pharmaceutical composition comprising a therapeutically effective amount of a compound of claim 1 and a pharmaceutically acceptable carrier.3. La composición farmacéutica de la reivindicación 2 que comprende además al menos un agente terapéutico adicional seleccionado del grupo que consiste en interferones, análogos de ribavirina, inhibidores de proteasa NS3, inhibidores de NS5a, inhibidores de polimerasa NS5b, inhibidores de alfa-glucosidasa 1, inhibidores de ciclofilina, hepatoprotectores, otros inhibidores de nucleósidos del VHC, inhibidores no nucleósidos del VHC y otras drogas para tratar el VHC; opcionalmente, que comprende además al menos un inhibidor viral de neuramidasa o un inhibidor viral del canal M2; opcionalmente, en donde el inhibidor viral de neuramidasa o el inhibidor viral del canal M2 se selecciona del grupo que consiste en oseltamivir, zanamivir, laninamivir, peramivir, amanadina y rimantadina; opcionalmente, que comprende además pleconaril, BTA-798, o tanto pleconaril como BTA-798.3. The pharmaceutical composition of claim 2 further comprising at least one additional therapeutic agent selected from the group consisting of interferons, ribavirin analogs, NS3 protease inhibitors, NS5a inhibitors, NS5b polymerase inhibitors, alpha-glucosidase 1 inhibitors , cyclophilin inhibitors, hepatoprotectors, other HCV nucleoside inhibitors, HCV non-nucleoside inhibitors and other drugs to treat HCV; optionally, which further comprises at least one viral neuramidase inhibitor or a viral M2 channel inhibitor; optionally, wherein the neuramidase viral inhibitor or the M2 channel viral inhibitor is selected from the group consisting of oseltamivir, zanamivir, laninamivir, peramivir, amanadine and rimantadine; optionally, which further comprises pleconaril, BTA-798, or both pleconaril and BTA-798.4. Un compuesto de acuerdo con la reivindicación 1, o una composición farmacéutica de acuerdo con una cualquiera de las reivindicaciones 2 o 3, para uso en terapia.4. A compound according to claim 1, or a pharmaceutical composition according to any one of claims 2 or 3, for use in therapy.5. Un compuesto de acuerdo con la reivindicación 1, o una composición farmacéutica de acuerdo con una cualquiera de las reivindicaciones 2 o 3, para usar en la inhibición de la polimerasa del VHC, comprendiendo el uso la administración a un mamífero que lo necesite de una cantidad terapéuticamente efectiva del compuesto o composición.5. A compound according to claim 1, or a pharmaceutical composition according to any one of claims 2 or 3, for use in the inhibition of HCV polymerase, the use comprising administration to a mammal in need of a therapeutically effective amount of the compound or composition.6. Un compuesto de acuerdo con la reivindicación 1, o una composición farmacéutica de acuerdo con una cualquiera de las reivindicaciones 2 o 3, para uso en el tratamiento de una infección viral causada por un virusFlaviviridae,comprendiendo el uso la administración a un mamífero que lo necesite de una cantidad terapéuticamente efectiva de compuesto o composición; opcionalmente, en donde el virus se selecciona del grupo que consiste en el virus del dengue, el virus de la fiebre amarilla, el virus del Nilo Occidental, el virus de la encefalitis japonesa, el virus de la encefalitis transmitida por garrapatas, el virus Kunjin, el virus de la encefalitis del valle de Murray, el virus de la encefalitis de San Luis, el virus de la fiebre hemorrágica de Omsk, el virus de la diarrea viral bovina, el virus del Zika y virus de la hepatitis C; opcional y preferiblemente, en donde la infección viral es causada por el virus de la hepatitis C.6. A compound according to claim 1, or a pharmaceutical composition according to any one of claims 2 or 3, for use in the treatment of a viral infection caused by aFlaviviridae virus, the use comprising administration to a mammal that you need it from a therapeutically effective amount of compound or composition; optionally, where the virus is selected from the group consisting of dengue virus, yellow fever virus, West Nile virus, Japanese encephalitis virus, tick-borne encephalitis virus, Kunjin virus , Murray Valley encephalitis virus, St. Louis encephalitis virus, Omsk hemorrhagic fever virus, bovine viral diarrhea virus, Zika virus and hepatitis C virus; optionally and preferably, wherein the viral infection is caused by the hepatitis C virus.7. Un compuesto de acuerdo con la reivindicación 1, o una composición farmacéutica de acuerdo con una cualquiera de las reivindicaciones 2 o 3, para uso de acuerdo con la reivindicación 6, en donde el uso comprende además administrar al menos un agente terapéutico adicional seleccionado del grupo que consiste en interferones, análogos de ribavirina, inhibidores de la proteasa NS3, inhibidores de la polimerasa NS5b, inhibidores de la NS5a, inhibidores de la alfa-glucosidasa 1, inhibidores de la ciclofilina, hepatoprotectores, otros inhibidores nucleósidos del VHC, inhibidores no nucleósidos del VHC y otros medicamentos para tratar el VHC.7. A compound according to claim 1, or a pharmaceutical composition according to any one of claims 2 or 3, for use according to claim 6, wherein the use further comprises administering at least one additional therapeutic agent selected from the group consisting of interferons, ribavirin analogs, NS3 protease inhibitors, NS5b polymerase inhibitors, NS5a inhibitors, alpha-glucosidase 1 inhibitors, cyclophilin inhibitors, hepatoprotectors, other HCV nucleoside inhibitors, inhibitors HCV non-nucleosides and other medications to treat HCV.
ES12716969T2011-04-132012-04-13 1-Substituted pyrimidine N-nucleoside analogs for antiviral treatmentActiveES2744587T3 (en)

Applications Claiming Priority (2)

Application NumberPriority DateFiling DateTitle
US201161474848P2011-04-132011-04-13
PCT/US2012/033675WO2012142523A2 (en)2011-04-132012-04-131'-substituted pyrimidine n-nucleoside analogs for antiviral treatment

Publications (1)

Publication NumberPublication Date
ES2744587T3true ES2744587T3 (en)2020-02-25

Family

ID=46001834

Family Applications (1)

Application NumberTitlePriority DateFiling Date
ES12716969TActiveES2744587T3 (en)2011-04-132012-04-13 1-Substituted pyrimidine N-nucleoside analogs for antiviral treatment

Country Status (13)

CountryLink
US (1)US8877733B2 (en)
EP (1)EP2697241B1 (en)
JP (1)JP6043338B2 (en)
KR (1)KR20140019832A (en)
CN (1)CN103476783A (en)
AU (1)AU2012242517B2 (en)
BR (1)BR112013026219A2 (en)
CA (1)CA2830689A1 (en)
EA (1)EA201391264A1 (en)
ES (1)ES2744587T3 (en)
IL (1)IL228680A0 (en)
MX (1)MX2013011915A (en)
WO (1)WO2012142523A2 (en)

Families Citing this family (63)

* Cited by examiner, † Cited by third party
Publication numberPriority datePublication dateAssigneeTitle
MY164523A (en)2000-05-232017-12-29Univ Degli Studi CagliariMethods and compositions for treating hepatitis c virus
CA2506129C (en)2002-11-152015-02-17Idenix (Cayman) Limited2'-branched nucleosides and flaviviridae mutation
US9676797B2 (en)*2015-09-022017-06-13Abbvie Inc.Anti-viral compounds
US10023600B2 (en)2009-09-212018-07-17Gilead Sciences, Inc.Processes and intermediates for the preparation of 1′-substituted carba-nucleoside analogs
US20120027752A1 (en)2010-07-222012-02-02Gilead Sciences, Inc.Methods and compounds for treating paramyxoviridae virus infections
US9403863B2 (en)2011-09-122016-08-02Idenix Pharmaceuticals LlcSubstituted carbonyloxymethylphosphoramidate compounds and pharmaceutical compositions for the treatment of viral infections
WO2013056046A1 (en)2011-10-142013-04-18Idenix Pharmaceuticals, Inc.Substituted 3',5'-cyclic phosphates of purine nucleotide compounds and pharmaceutical compositions for the treatment of viral infections
US9109001B2 (en)2012-05-222015-08-18Idenix Pharmaceuticals, Inc.3′,5′-cyclic phosphoramidate prodrugs for HCV infection
MX355708B (en)2012-05-222018-04-27Idenix Pharmaceuticals LlcD-amino acid compounds for liver disease.
EP2852605B1 (en)2012-05-222018-01-31Idenix Pharmaceuticals LLC3',5'-cyclic phosphate prodrugs for hcv infection
US9422323B2 (en)2012-05-252016-08-23Janssen Sciences Ireland UcUracyl spirooxetane nucleosides
ES2671478T3 (en)2012-08-312018-06-06Novartis Ag 2'-ethinyl nucleoside derivatives for the treatment of viral infections
US9192621B2 (en)2012-09-272015-11-24Idenix Pharmaceuticals LlcEsters and malonates of SATE prodrugs
EA030189B8 (en)2012-10-082018-10-31Иденикс Фармасьютикалз Ллс2'-chloro nucleoside analogs for hcv infection
EP2935304A1 (en)2012-12-192015-10-28IDENIX Pharmaceuticals, Inc.4'-fluoro nucleosides for the treatment of hcv
LT2935303T (en)2012-12-212021-03-25Janssen Biopharma, Inc.4'-fluoro-nucleosides, 4'-fluoro-nucleotides and analogs thereof for the treatment of hcv
US9339541B2 (en)2013-03-042016-05-17Merck Sharp & Dohme Corp.Thiophosphate nucleosides for the treatment of HCV
EP2970358B1 (en)2013-03-042021-06-30Idenix Pharmaceuticals LLC3'-deoxy nucleosides for the treatment of hcv
WO2014160484A1 (en)2013-03-132014-10-02Idenix Pharmaceuticals, Inc.Amino acid phosphoramidate pronucleotides of 2'-cyano, azido and amino nucleosides for the treatment of hcv
WO2014165542A1 (en)*2013-04-012014-10-09Idenix Pharmaceuticals, Inc.2',4'-fluoro nucleosides for the treatment of hcv
JP2016518359A (en)*2013-04-122016-06-23アキリオン ファーマシューティカルズ,インコーポレーテッド Highly active nucleoside derivatives for treating HCV
US10005779B2 (en)2013-06-052018-06-26Idenix Pharmaceuticals Llc1′,4′-thio nucleosides for the treatment of HCV
WO2015017713A1 (en)2013-08-012015-02-05Idenix Pharmaceuticals, Inc.D-amino acid phosphoramidate pronucleotides of halogeno pyrimidine compounds for liver disease
CN105829333A (en)2013-10-112016-08-03艾丽奥斯生物制药有限公司Substituted nucleosides, nucleotides and analogs thereof
WO2015061683A1 (en)*2013-10-252015-04-30Idenix Pharmaceuticals, Inc.D-amino acid phosphoramidate and d-alanine thiophosphoramidate pronucleotides of nucleoside compounds useful for the treatment of hcv
EP3131914B1 (en)2014-04-162023-05-10Idenix Pharmaceuticals LLC3'-substituted methyl or alkynyl nucleosides for the treatment of hcv
TWI767201B (en)*2014-10-292022-06-11美商基利科學股份有限公司Methods for treating filoviridae virus infections
LT3236972T (en)2014-12-262021-11-10Emory University ANTIVIRAL N4-HYDROXICITIDINE DERIVATIVES
CA2978085C (en)2015-03-062023-01-17Atea Pharmaceuticals, Inc..beta.-d-2'-deoxy-2'-.alpha.-fluoro-2'-.beta.-c-substituted-2-modified-n6-substituted purine nucleotides for hcv treatment
HUE057928T2 (en)2015-09-162022-06-28Gilead Sciences Inc Procedures for the treatment of infections caused by viruses belonging to the Coronaviridae family
US11963972B2 (en)2016-03-232024-04-23Emory UniversityAntiviral agents and nucleoside analogs for treatment of Zika virus
US10202412B2 (en)2016-07-082019-02-12Atea Pharmaceuticals, Inc.β-D-2′-deoxy-2′-substituted-4′-substituted-2-substituted-N6-substituted-6-aminopurinenucleotides for the treatment of paramyxovirus and orthomyxovirus infections
WO2018013937A1 (en)2016-07-142018-01-18Atea Pharmaceuticals, Inc.Beta-d-2'-deoxy-2'-alpha-fluoro-2'-beta-c-substituted-4'-fluoro-n6-substituted-6-amino-2-substituted purine nucleotides for the treatment of hepatitis c virus infection
RS62943B1 (en)2016-09-072022-03-31Atea Pharmaceuticals Inc2'-substituted-n6-substituted purine nucleotides for rna virus treatment
EP3555293A4 (en)*2016-12-152020-08-12Meharry Medical College VIRUCIDES
CA3197567A1 (en)2017-02-012018-08-09Atea Pharmaceuticals, Inc.Nucleotide hemi-sulfate salt for the treatment of hepatitis c virus
AU2018235754B2 (en)2017-03-142021-04-08Gilead Sciences, Inc.Methods of treating feline coronavirus infections
CA3178212A1 (en)2017-05-012018-11-08Gilead Sciences, Inc.Crystalline forms of (s)-2-ethylbutyl 2-(((s)-(((2r,3s,4r,5r)-5-(4-aminopyrrolo[2,1-f] [1,2,4]triazin-7-yl)-5-cyano-3,4-dihydroxytetrahydrofuran-2-yl)methoxy)(phenoxy) phosphoryl)amino)propanoate
ES3000461T3 (en)2017-07-112025-02-28Gilead Sciences IncCompositions comprising an rna polymerase inhibitor and cyclodextrin for treating viral infections
HRP20241620T1 (en)2017-12-072025-01-31Emory University N4-HYDROXYCYTIDINE AND DERIVATIVES AND ANTIVIRAL USE RELATED THERETO
KR20200140865A (en)2018-04-102020-12-16아테아 파마슈티컬즈, 인크. Treatment of HCV-infected patients with cirrhosis
WO2020072931A2 (en)*2018-10-042020-04-09Octagon Therapeutics Inc.Pre-activated nucleoside impdh inhibitors as anti-infective drugs
WO2020202142A2 (en)2019-03-312020-10-08Yeda Research And Development Co. Ltd.Anti-viral and anti-tumoral compounds
CN118662520A (en)2020-01-272024-09-20吉利德科学公司Methods for treating SARS CoV-2 infection
TWI874791B (en)2020-02-182025-03-01美商基利科學股份有限公司Antiviral compounds
TWI883391B (en)2020-02-182025-05-11美商基利科學股份有限公司Antiviral compounds
CA3171648A1 (en)2020-02-182021-08-26Gilead Sciences, Inc.Antiviral compounds
US10874687B1 (en)2020-02-272020-12-29Atea Pharmaceuticals, Inc.Highly active compounds against COVID-19
EP4118085A2 (en)2020-03-122023-01-18Gilead Sciences, Inc.Methods of preparing 1'-cyano nucleosides
CN111548384B (en)*2020-03-292021-04-27常州安蒂卫生物科技有限公司Substituted N4-hydroxycytidine derivatives and prodrugs thereof for antiviral therapy
WO2021207049A1 (en)2020-04-062021-10-14Gilead Sciences, Inc.Inhalation formulations of 1'-cyano substituted carbanucleoside analogs
US10988503B1 (en)*2020-05-062021-04-27Nantong Weishun Biotechnology Co., LtdSix-membered ring-containing nucleoside compound and preparation method thereof
CA3179226A1 (en)2020-05-292021-12-02Tomas CihlarRemdesivir treatment methods
CR20220675A (en)2020-06-242023-02-15Gilead Sciences Inc1'-cyano nucleoside analogs and uses thereof
HUE067491T2 (en)2020-08-272024-10-28Gilead Sciences IncCompounds and methods for treatment of viral infections
JP2024513571A (en)*2021-04-092024-03-26エモリー ユニバーシティー Thionucleosides as antiviral agents
CA3216162A1 (en)2021-04-162022-10-20Gilead Sciences, Inc.Methods of preparing carbanucleosides using amides
AU2022328698B2 (en)2021-08-182025-02-20Gilead Sciences, Inc.Phospholipid compounds and methods of making and using the same
PE20250683A1 (en)2022-03-022025-03-04Gilead Sciences Inc COMPOUNDS AND METHODS FOR THE TREATMENT OF VIRAL INFECTIONS
AU2023236711A1 (en)2022-03-152024-10-03Rome Therapeutics, Inc.Compounds and methods for treating disease
WO2024016639A1 (en)*2022-07-212024-01-25华创合成制药股份有限公司Anti-viral-infection compound, and preparation method therefor and use thereof
WO2024169774A2 (en)*2023-02-172024-08-22Ascletis BioScience Co., LtdNucleoside and nucleotide analogs, methods of making and methods of use thereof
US12357577B1 (en)2024-02-022025-07-15Gilead Sciences, Inc.Pharmaceutical formulations and uses thereof

Family Cites Families (31)

* Cited by examiner, † Cited by third party
Publication numberPriority datePublication dateAssigneeTitle
US4816570A (en)1982-11-301989-03-28The Board Of Regents Of The University Of Texas SystemBiologically reversible phosphate and phosphonate protective groups
US4968788A (en)1986-04-041990-11-06Board Of Regents, The University Of Texas SystemBiologically reversible phosphate and phosphonate protective gruops
AU4479189A (en)1988-11-211990-06-21Syntex (U.S.A.) Inc.Antiviral agents
WO1991019721A1 (en)1990-06-131991-12-26Arnold GlazierPhosphorous produgs
ES2118069T3 (en)1990-09-141998-09-16Acad Of Science Czech Republic PHOSPHONATE DRUGS.
US6312662B1 (en)1998-03-062001-11-06Metabasis Therapeutics, Inc.Prodrugs phosphorus-containing compounds
AUPQ105499A0 (en)1999-06-181999-07-08Biota Scientific Management Pty LtdAntiviral agents
US6566365B1 (en)1999-11-042003-05-20Biochem Pharma Inc.Method for the treatment of Flaviviridea viral infection using nucleoside analogues
WO2001060315A2 (en)2000-02-182001-08-23Shire Biochem Inc.Method for the treatment or prevention of flavivirus infections using nucleoside analogues
MY164523A (en)2000-05-232017-12-29Univ Degli Studi CagliariMethods and compositions for treating hepatitis c virus
US20030008841A1 (en)2000-08-302003-01-09Rene DevosAnti-HCV nucleoside derivatives
US20030087873A1 (en)2000-10-182003-05-08Lieven StuyverModified nucleosides for the treatment of viral infections and abnormal cellular proliferation
CN1137132C (en)*2000-12-142004-02-04华东理工大学 A kind of cyanofuran nucleoside compound and preparation method thereof
AUPR213700A0 (en)2000-12-182001-01-25Biota Scientific Management Pty LtdAntiviral agents
NZ526703A (en)2001-01-222004-12-24Merck & Co IncNucleoside derivatives as inhibitors of RNA-dependent RNA viral polymerase
EP1438054A4 (en)2001-09-282006-07-26Idenix Cayman Ltd METHOD AND COMPOSITIONS FOR THE TREATMENT OF FLAVIVIRES AND PESTIVERS WITH 4'-MODIFIED NUCLEOSIDE
US7321033B2 (en)*2001-11-272008-01-22Anadys Pharmaceuticals, Inc.3-B-D-ribofuranosylthiazolo [4,5-d] pyrimidine nucleosides and uses thereof
CN104193791A (en)2002-06-282014-12-10埃迪尼克斯医药公司Modified 2' and 3'-nucleoside produgs for treating flaviridae infections
CA2506129C (en)2002-11-152015-02-17Idenix (Cayman) Limited2'-branched nucleosides and flaviviridae mutation
JPWO2004058959A1 (en)*2002-12-262006-04-27日本新薬株式会社 Production method of PNPase
PT3521297T (en)2003-05-302022-03-18Gilead Pharmasset LlcModified fluorinated nucleoside analogues
PE20050249A1 (en)2003-07-252005-06-01Aventis Pharma Gmbh NEW CYANOPYRROLIDES AND PROCEDURE FOR THEIR PREPARATION AS MEDICINES
MX2007000803A (en)2004-07-212007-04-02Pharmasset IncPreparation of alkyl-substituted 2-deoxy-2-fluoro-d-ribofuranosyl pyrimidines and purines and their derivatives.
WO2006121820A1 (en)2005-05-052006-11-16Valeant Research & DevelopmentPhosphoramidate prodrugs for treatment of viral infection
US7951789B2 (en)*2006-12-282011-05-31Idenix Pharmaceuticals, Inc.Compounds and pharmaceutical compositions for the treatment of viral infections
CA2673649A1 (en)2007-01-052008-07-17Istituto Di Ricerche Di Biologia Molecolare P. Angeletti S.P.A.Nucleoside aryl phosphoramidates for the treatment of rna-dependent rna viral infection
WO2008089105A2 (en)2007-01-122008-07-24Biocryst Pharmaceuticals, Inc.Antiviral nucleoside analogs
US7964580B2 (en)2007-03-302011-06-21Pharmasset, Inc.Nucleoside phosphoramidate prodrugs
WO2008141079A1 (en)2007-05-102008-11-20Biocryst Pharmaceuticals, Inc.Tetrahydrofuro [3 4-d] dioxolane compounds for use in the treatment of viral infections and cancer
GB0709791D0 (en)2007-05-222007-06-27Angeletti P Ist Richerche BioAntiviral agents
JO3027B1 (en)*2009-05-142016-09-05Janssen Products LpUracyl Spirooxetane Nucleosides

Also Published As

Publication numberPublication date
EP2697241B1 (en)2019-06-12
IL228680A0 (en)2013-12-31
AU2012242517B2 (en)2016-12-15
US8877733B2 (en)2014-11-04
WO2012142523A3 (en)2013-06-27
EA201391264A1 (en)2014-03-31
JP6043338B2 (en)2016-12-14
CA2830689A1 (en)2012-10-18
CN103476783A (en)2013-12-25
JP2014514308A (en)2014-06-19
KR20140019832A (en)2014-02-17
WO2012142523A2 (en)2012-10-18
BR112013026219A2 (en)2016-07-26
EP2697241A2 (en)2014-02-19
AU2012242517A1 (en)2013-10-03
US20120263678A1 (en)2012-10-18
NZ616732A (en)2016-09-30
MX2013011915A (en)2013-11-01

Similar Documents

PublicationPublication DateTitle
ES2744587T3 (en) 1-Substituted pyrimidine N-nucleoside analogs for antiviral treatment
ES2536193T3 (en) 1 &#39;substituted carbanucleoside analogues for antiviral treatment
ES2465265T3 (en) 1&#39;-substituted carbanucleoside prodrugs for antiviral treatment
JP5951690B2 (en) Carba-nucleoside analogs for antiviral treatment
HK1195075A (en)1‘-substituted pyrimidine n-nucleoside analogs for antiviral treatment
HK1195075B (en)1‘-substituted pyrimidine n-nucleoside analogs for antiviral treatment
NZ616732B2 (en)1&#39;-substituted pyrimidine n-nucleoside analogs for antiviral treatment
HK1216750B (en)1&#39; -substituted carba-nucleoside analogs for antiviral treatment
HK1152709B (en)1&#39; -substituted carba-nucleoside analogs for antiviral treatment

[8]ページ先頭

©2009-2025 Movatter.jp