Movatterモバイル変換


[0]ホーム

URL:


EP4300771A1 - Process and installation for global wireless energy transport - Google Patents

Process and installation for global wireless energy transport
Download PDF

Info

Publication number
EP4300771A1
EP4300771A1EP22182133.3AEP22182133AEP4300771A1EP 4300771 A1EP4300771 A1EP 4300771A1EP 22182133 AEP22182133 AEP 22182133AEP 4300771 A1EP4300771 A1EP 4300771A1
Authority
EP
European Patent Office
Prior art keywords
retransmission
conexant
meridian
fwsg
parallel
Prior art date
Legal status (The legal status is an assumption and is not a legal conclusion. Google has not performed a legal analysis and makes no representation as to the accuracy of the status listed.)
Pending
Application number
EP22182133.3A
Other languages
German (de)
French (fr)
Inventor
Gabriel Marius Rus
Current Assignee (The listed assignees may be inaccurate. Google has not performed a legal analysis and makes no representation or warranty as to the accuracy of the list.)
Individual
Original Assignee
Individual
Priority date (The priority date is an assumption and is not a legal conclusion. Google has not performed a legal analysis and makes no representation as to the accuracy of the date listed.)
Filing date
Publication date
Application filed by IndividualfiledCriticalIndividual
Priority to EP22182133.3ApriorityCriticalpatent/EP4300771A1/en
Publication of EP4300771A1publicationCriticalpatent/EP4300771A1/en
Pendinglegal-statusCriticalCurrent

Links

Images

Classifications

Definitions

Landscapes

Abstract

The present invention concerns a process and a installation. The process is to be used in conjunction with the process and installation described in European Patent No. 2,692,701. It refers to a transport concept and we shall call it Conexant and it applies to a six train FWSG as described in EP 2,692,701, (which we will call Radiant) for a population equivalent between 280-2,236. The most important feature of the concept it derives from the existence of a seasonal energy surplus and a seasonal energy deficit for Radiant plants as well as for photovoltaic energy production of an agglomeration, Connexant being used for the transport of both energies. In conclusion, Conexant keeps the principle of the Radiant plant which is to use the energy produced in summer during the winter, but applies it to pairs of plants located at antipodes and therefore with seasons in opposition. Conexant has three link-up levels, level 1 from the household to the Radiant FSWG or from FWSG's reserve, level 2 from the FWSG to the retransmission centers or between 2 FWSG's, level 3 between two of the six retransmission centers.The first secondary coil for all levels has a new winding geometry.

Description

  • The present invention concerns a process and a installation. The process is to be used in conjunction with the process and installation described inEuropean Patent No. 2,692,701. We shall call the installation described in theEP 2,692,701, Radiant, as it is an energy production concept that combines a Power Plant (PP) with a Waste Water Treatment Plant (WWTP). The present invention refers to a transport concept and we shall call it Conexant and it applies to a six train FWSG as described inEP 2,692,701, or a population equivalent between 280-2,236.
  • The most important feature of the concept it derives from the existence of a seasonal energy surplus and a seasonal energy deficit for Radiant plants as well as for photovoltaic energy production of an agglomeration, Connexant being used for the transport of both energies. In conclusion, Conexant keeps the principle of the Radiant plant which is to use the energy produced in summer during the winter, but applies it to pairs of plants located at antipodes and therefore with seasons in opposition.
  • Conexant may also transport other energy sources like nuclear, hydro and wind power, but the the subsequent development strategy however will be for only two main sources of energy: biomass (Radiant) and photovoltaic energy (at consumer level). Those sources of energy are complementary in respect to availability: one is available all the time, and the other only in the daytime. The energy compensation has two main tipes: seasonal and diurnal. We shall present them both.
  • The seasonal compensation for the warm season in northen hemisphere is presented inFigure 1. During the warm season (between the spring and autum equinox) there will be an energy transfer from parallel 46.9991 (EPSG 4326) to parallel -26.2185 (EPSG 4326). The same energy transfer will be made during the cold season (in the northern hemisphere), only this time from the parallel - 26.2185 (EPSG 4326) to the parallel 46.9991 (EPSG 4326). In this situation, presented inFigure 2, the energy transfer is made from the tropical zone to the temperate zone. The difference in latitude will be felt by a higher energy intensity per square meter for the southern hemisphere. However, more photovoltaic installations will be needed in the southern hemisphere to compensate for the much higher energy consumption imbalance in the northern hemisphere (proportional to the asymmetry in population distribution).
  • The six points are retransmission centers. The energy in that area is received and passed on under the seasonal compensation schemes. The positioning of each of the 6 retransmission centers was established by an algorithm. Positioning accuracy is in the tens of thousands of degrees (approximately 10 meters). The algorithm will be presented below. The presentation of the 6 points and the geographical equator is made inFigure 3.
  • The numbering of the points is from 1 to 6 starting from the top left, ending in the bottom right in the up-down, left-right directions. We will start by presenting the algorithm for establishing the points on the main meridian or meridian 3-4. This is the one that crosses Europe and Africa. The algorithm for establishing points 3-4 has three stages. The first of these was the one in which the meridian was determined, with the property that the intersections with the land areas have, in sum, the longest length. Also in the first stage, the maximum of the meridian + antimeridian intersections with the land was calculated. The result was identical to the first calculated maximum, namely the merdian 22.5565 (EPSG 4326). The second stage was to establish the parallel whose intersections with the land areas have, in sum, the longest length. The result was in North Africa, 30.4382 (EPSG 4326) and is called the main parallel. The first two steps are shown inFigure 4.
  • In the third stage, the parallel with the maximum land at the north of the main parallel (global maximum) was determined as well as the parallel with the maximum land south of the main parallel (local maximum but global for Australia). These are, as already mentioned, 46.9991 (EPSG 4326) and -26.2185 (EPSG 4326). The parallels will be called the northern parallel and the southern parallel. The two previously determined parallels will determine the existence of a "false equator" in the middle of the distance between them. This is important because it separates the Radiant power plants that will transmit to a retransmission center or another diametrically opposite. The false equator will be present in all the images that follow from now on. The parallels and the false equator are inFigure 5
  • . The algorithm for determining the western meridian or meridian 1-2 consisted of the following steps: establishingpoint 1, establishingpoint 2.
  • Point 1 resulted from the intersection of a meridian with a parallel. The merdian was the one that intersects the maximum land between the false equator and the North Pole, on the North American continent. The parallel was the northern parallel. The resulting point is: -98.0063; 46.9991 (EPSG 4326). The same procedure was applied withpoint 2. The difference was that the meridian intersected the maximum land between the equator and the South Pole, on the South American continent, and the parallel was the southern one. The resulting point is: -69.4974; -26.2185. The determination of meridian 1-2 is shown inFigure 6. The algorithm for establishing the eastern meridian or meridian 5-6 consisted of the following steps: establishing point 5, establishing point 6. Point 5 resulted from the intersection of a meridian with a parallel. The merdian was the one that intersects the maximum land between the false equator and the North Pole, on the Asian continent. The parallel was the northern parallel. The resulting point is: 103.7923; 46.9991 (EPSG 4326). The same procedure was applied with point 6. The difference was that the meridian intersected the maximum land between the equator and the South Pole, on the Australian continent, and the parallel was the southern one. The resulting point is: 142.1776; -26.2185 (EPSG 4326). The determination of the meridian 5-6 is presented inFigure 7.
  • The daytime compensation scheme equals the differences between the photovoltaic energy produced during the day and that produced during the night. For daytime compensation, in addition to the meridians, the diagonals were taken into account. Distances between points. including the diagonals are listed below. Seasonal are the distances 1-2, 3-4, 5-6, the rest beeing composite.
    LinkDistance (m)LinkDistance (m)LinkDistance (m)LinkDistance (m)
    1-28,600,0953-55,879,0292-613,287,4252-312,240,351
    3-48,108,1894-611,326,0926-314,308,4441-614,323,267
    5-68,978,9852-48,958,4244-511,470,6422-517,624,493
    1-38,100,4911-59,376,4734-114,380,011
  • The largest diagonal is 2-5. Its distance is the maximum distance for which the 6 retransmission centers are dimensioned. Alternatively a pair of new retransmission centers (with retransmission from other centers only) may be positioned in the Pacific Ocean.
  • Figure 8 is the daytime compensation scheme for 12/21/2017 11:28 PM UTC. The (civil) night areas are the areas marked with transparent gray.
  • Figure 9 is the daily compensation scheme for 21.06.2018 23:06 UTC. Here the retransmission center, which is in the hot season and which releases energy during the night (3), is powered by the hydrogen reserve of the Radiant plant. Conexant has 3 levels of power supply:
    • base load - when Conexant delivers from the hydrogen supply,
    • peaking mode 1 - when within 5,000 km (for 0-3.5 hours) the energy is delivered directly in peer to peer mode (without retransmission), direct daytime offset.
    • peaking mode 2 (peaking 2) - when it can no longer be supplied in peaking 1 it is delivered at a fixed point (retransmission center).
  • Figure 10 is the daytime compensation scheme for 21.03.2018 22:30 UTC (after the spring equinox). All six retransmission centers may be positioned within a 70 kilometers radius away from the points mentioned above. The coordinates precision is 10 meters for theoretical purposes only. The same observation goes for the starting/ending time of the warm seaseon which may be with an additional 0-40 days delay, depending on global wheather forcasts, according to an separate alghoritm that will be established. Also theoretical is the assumption of intersecting the maximum land surface. This assumtion is made with respect to a population that will be distributed evenly in villages that have an an average of 2.236 population equivalent, that is the maximum capacity of a Radiant FWSG.
  • This Patent purpose is not to be a design manual. The processes described inUS Patents No 593,198 (filled on 27/03/1897),645,576 (filled on 02/09/1897),649,621 (filled on 19/02/1900),787,412 (filled on 16/05/1900),1,119,732 (filled on 18/01/1902) are linked with a phenomenon that Tesla envisioned and shall be called Wireless in Tesla's Sense (WTS). WTS is to be applied following the Patents and all his lectures and articles. The prior art mentioned is cronologically ordered so will shall mention the features that remain from older Patents. Besides WTS which is coherent in all priror art mentioned, there are two distinct stages in the Patents: one of a smaller potential and scale experiments and the other, after the return from Colorado Springs in January 1900, of a greater potential and scale, the ready to build stage. And as we already mantained there are three levels of Conexant link-up (in both senses):
    • level 1 from the household to the Radiant FSWG or from FWSG's reserve;
    • level 2 from the FWSG to the retransmission centers or between 2 FWSG's;
    • level 3 between retransmission centers.
    Tesla builtlevel 1, experimental transmitters, then the prototype he tried to put in operation was alevel 2 for which he secured a reserve by making bigger the storage capacity of the condenser. So, having in view that in the present patent we deal with the whole system we shall mention only the differences and as already stated the features that remain from older patents.
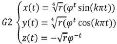
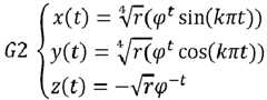
  • The first feature, presented inUS 593,138 is the conical spiral coil. Tesla used for the prototype an undeground structure that used the deep aquifers with very deep shafts. Forlevel 1 which is used at a range of 0-5 km and with transmitters at every house hold, we intend to use close-to-surface waterflows, namely wastewater. For this the grounding will be something like a cross formed by two semi-elipses intersected and conected to a central conductor, like an inversed lightning-protector fromFigure 5US 1,266,175 (filled by Tesla in 06/05/1916). And between excitation coil at the household and the grounding cross, the wastewater pipe will be positioned. Besides using the close to surface waterflows, this design is electrical shock hazard free. In respect with the conical spiral coil we have a new winding geometry for the single layer coil, named Io, based on the following equations:G1{xt=r4ϕtsinkπtyt=r4ϕtcoskπtzt=rϕt
    Figure imgb0001
    andG2{xt=r4ϕtsinkπtyt=r4ϕtcoskπtzt=rϕt
    Figure imgb0002
  • Where the general equation of the winding, Io, is the reunion of G1 and G2 parametric curves witht (real number) beeing the parameter,r (real number) beeing the scale factor andk (natural number) beeing the closeness factor. The general equation curves forr=1, k=1 andt ∈ [-2,2] are inFigure 11 andFigure 12.
  • The two curves describing the winding have all points in the surface of two Gabriel's horns or they are enveloping the surface of two rectangular hyperbolas rotated around their asymptotes. The bigger is the closeness factork, the greater is the number of spins of the windings that are on the same Gabriel's horn. The biggest number of spins of each winding is around the vertex of the hyperbola. The bigger is the scale factorr the greater the diameter corresponding to the vertex, in other words the scale factor can be used for dimensioning a winding by transformingx(t), y(t) andz(t) in axis for measuring real lenghts.
  • Io can be used in the case of a homopolar generator (HPG) or a homopolar motor (HM), the space between the windings being the transfer surface which can also use new methods for transfer from a stationary to a rotating system. The rotor will also have a corresponding stator. The original idea for this HPG is mentioned in Nikola Tesla's article from "The Electrical Engineer", N.Y, Sept. 2, 1891.
  • Regarding the use in Conexant concept, the use of G1 and G2 will be restricted to only one of them, G2 will be used only in the northen hemisphere,Figure 11 rotated clockwise untilx = -∞ is at the top of the page and G1 will be used in the southern hemisphere,Figure 11 rotated counterclockwise untilx = -∞ is at the bottom of the page.
  • In conclusion, the secondary conical coil presented inFigure 1 andFigure 2 of the patentUS 593,138 will be replaced by G1 or G2, depending of the Earth's hemisphere. The curve of the secondary winding will be equally distanced from the hyperbola's vertex. The primary winding will be at the base of the secondary on a slightly bigger diameter corresponding to the vertex, and it will be calculated using a bigger scale factor. The second secondary coil presented inUS Patent 1,119,732 will remain as it is. The frequncies will be: level 1- greater or equal to 7.83 Hz, level 2-greater than 7 kHz, level 3-greater than 2 Mhz and flywheels may be used at all levels for momentary storing the energy. For opening comunication channels phase-shifting will be used.
  • Furthermore from the "state of the art" which is presented in Tesla's Patents lectures and articles there are no other observations. Nevertheless WTS implies a great importance given to:
    • total length of the secondary circuit which is approximately one-quarter of the wave length of the electrical disturbance in the circuit which can be achevied at low frequencies by using thin graphene-infused copper wires;
    • very large self-inductance and a comparatively small capacity;
    • if necessary, for predimensioning the secondary coil, the calculus of hyprebola lenght by means of ellipic integrals, in order be divided to an wire diameter and also the total lenght of G1 or G2 coil wire;
    • inductance calculations formulae for variable-pitch multi-section helical coils by means of elliptic integrals;
    • capacitance to ground calculation formulae for sphere or toroid also by means of elliptic integrals.

Claims (4)

  1. Process for transporting energy that derives from the existence of a seasonal energy surplus and a seasonal energy deficit from a biomass cumulated with a solar production concept, applied to pairs of plants located at antipodes but also to pairs of plants located on different meridians (sesonal and diurnal) named Conexant.
  2. At least six installations for retransmission (retransmission centers) located on the world map (EPSG 4326) two to the left and two to the right of a zero meridian (that has the maximum land intersected by the meridian and antimeridian) and three on the upper side with three on the bottom side of an false equator which is determined first, by finding a main parallel that intersects the maximum land and then by finding two parallels that intersect the maximum land, one at the north of the main parallel and one at the south of it and then dividing the distance between them by two, after which the two points of the zero meridian are established by the north and south parallels and the rest of four points are found by intersecting the meridian of maximum land between the North pole and the false equator with the north parallel on the North American continent, by intersecting the meridian of maximum land between the South pole and the false equator with the south parallel on the South American continent, by intersecting the meridian of maximum land between the North pole and the false equator with the north parallel on the Asian continent and by intersecting the meridian of maximum land between the South pole and the false equator with the south parallel on the Australian continent.
    2. Three levels of power supply: Base Load - when Conexant delivers from the hydrogen supply, Peaking Mode 1 - when within 5,000 km (for 0-3.5 hours) the energy is delivered directly in peer to peer mode (without retransmission), direct daytime offset, Peaking Mode 2 (peaking 2) - when it can no longer be supplied in Peaking 1 it is delivered at a fixed point (retransmission center) which correspond with three levels of Conexant link-up (in both senses): Level 1 from the household to the Radiant FSWG or from FWSG's reserve, Level 2 from the FWSG to the retransmission centers or between 2 FWSG's, Level 3 between retransmission centers.
  3. Level 1 is using close-to-surface waterflows, namely wastewater for which the grounding will be a cross formed by two semi-elipses intersected and conected to a central conductor, like an inversed lightning-protector from Figure 5 US 1,266,175 (filled by Tesla in 06/05/1916) and between excitation coil at the household and the grounding cross, the wastewater pipe will be positioned.
  4. The Io geometry which is the reunion of the parametric curvesG1{xt=r4ϕtsinkπtyt=r4ϕtcoskπtzt=rϕt
    Figure imgb0003
    andG2{xt=r4ϕtsinkπtyt=r4ϕtcoskπtzt=rϕt
    Figure imgb0004
    witht (real number) beeing the parameter,r (real number) beeing the scale factor andk (natural number) beeing the closeness factor. Io may can be used in the case of a homopolar generator (HPG) or a homopolar motor (HM), and G1 alone can be used in Conexant in the southern hemisphere whereas G2 alone can be used in Conexant in the northen hemiphere, both as the first of the two single layer secondary coils.
EP22182133.3A2022-06-302022-06-30Process and installation for global wireless energy transportPendingEP4300771A1 (en)

Priority Applications (1)

Application NumberPriority DateFiling DateTitle
EP22182133.3AEP4300771A1 (en)2022-06-302022-06-30Process and installation for global wireless energy transport

Applications Claiming Priority (1)

Application NumberPriority DateFiling DateTitle
EP22182133.3AEP4300771A1 (en)2022-06-302022-06-30Process and installation for global wireless energy transport

Publications (1)

Publication NumberPublication Date
EP4300771A1true EP4300771A1 (en)2024-01-03

Family

ID=83193268

Family Applications (1)

Application NumberTitlePriority DateFiling Date
EP22182133.3APendingEP4300771A1 (en)2022-06-302022-06-30Process and installation for global wireless energy transport

Country Status (1)

CountryLink
EP (1)EP4300771A1 (en)

Citations (10)

* Cited by examiner, † Cited by third party
Publication numberPriority datePublication dateAssigneeTitle
US593138A (en)1897-11-02Nikola TeslaElectrical Transformer
US593198A (en)1897-11-09Apparatus for treating garbage
US645576A (en)1897-09-021900-03-20Nikola TeslaSystem of transmission of electrical energy.
US787412A (en)1900-05-161905-04-18Nikola TeslaArt of transmitting electrical energy through the natural mediums.
US1119732A (en)1907-05-041914-12-01Nikola TeslaApparatus for transmitting electrical energy.
US1266175A (en)1916-05-061918-05-14Nikola TeslaLightning-protector.
US20110156494A1 (en)*2008-08-252011-06-30Governing Dynamics LlcWireless Energy Transfer System
US20110156498A1 (en)*2004-07-202011-06-30Criswell David RPower Generating and Distribution System and Method
EP2692701A1 (en)2012-07-312014-02-05Gabriel Marius RusProcess and plant for wastewater treatment and energy generation
US20170341942A1 (en)*2016-05-242017-11-30Harper Biotech Llc D/B/A Simbuka Energy, LlcMethods and systems for large scale carbon dioxide utilization from lake kivu via a co2 industrial utilization hub integrated with electric power production and optional cryo-energy storage

Patent Citations (11)

* Cited by examiner, † Cited by third party
Publication numberPriority datePublication dateAssigneeTitle
US593138A (en)1897-11-02Nikola TeslaElectrical Transformer
US593198A (en)1897-11-09Apparatus for treating garbage
US645576A (en)1897-09-021900-03-20Nikola TeslaSystem of transmission of electrical energy.
US649621A (en)1897-09-021900-05-15Nikola TeslaApparatus for transmission of electrical energy.
US787412A (en)1900-05-161905-04-18Nikola TeslaArt of transmitting electrical energy through the natural mediums.
US1119732A (en)1907-05-041914-12-01Nikola TeslaApparatus for transmitting electrical energy.
US1266175A (en)1916-05-061918-05-14Nikola TeslaLightning-protector.
US20110156498A1 (en)*2004-07-202011-06-30Criswell David RPower Generating and Distribution System and Method
US20110156494A1 (en)*2008-08-252011-06-30Governing Dynamics LlcWireless Energy Transfer System
EP2692701A1 (en)2012-07-312014-02-05Gabriel Marius RusProcess and plant for wastewater treatment and energy generation
US20170341942A1 (en)*2016-05-242017-11-30Harper Biotech Llc D/B/A Simbuka Energy, LlcMethods and systems for large scale carbon dioxide utilization from lake kivu via a co2 industrial utilization hub integrated with electric power production and optional cryo-energy storage

Non-Patent Citations (1)

* Cited by examiner, † Cited by third party
Title
"The Electrical Engineer", NIKOLA TESLA'S, 2 September 1891 (1891-09-02)

Similar Documents

PublicationPublication DateTitle
Farley et al.The prereversal enhancement of the zonal electric field in the equatorial ionosphere
WattVLF Radio Engineering: International Series of Monographs in Electromagnetic Waves
Haurwitz et al.The diurnal and semidiurnal barometric oscillations global distribution and annual variation
ForbesThe equatorial electrojet
Balan et al.Equinoctial asymmetries in the ionosphere and thermosphere observed by the MU radar
ShubinGlobal empirical model of critical frequency of the ionospheric F 2-layer for quiet geomagnetic conditions
EP4300771A1 (en)Process and installation for global wireless energy transport
MatsushitaSeasonal and day‐to‐day changes of the central position of the Sq overhead current system
Shrestha et al.Application of AHP and GIS for optimal solar site identification in Madhesh Province, Nepal
MuldrewThe formation of ducts and spread F and the initiation of bubbles by field‐aligned currents
BarracloughA comparison of satellite and observatory estimates of geomagnetic secular variation
PreradovićSolar energy potential in Freiburg, Graz, Maribor, Banja Luka, Niš, and Athens
KarugaramaMitiiation of Blackout in Kigali Using a Microgrid with Advanced Energy Storage and Solar Photovoltaics
Batista et al.Nighttime thermospheric meridional winds at Cachoeira Paulista (23 S, 45 W): Evidence for effects of the equatorial midnight pressure bulge
Goel et al.Solar energy: Made simple for a sustainable future
Archibald et al.Islands in the sun: The solar power deployment initiative at the University of the Virgin Islands
Rama Rao et al.Characteristics of VHF radiowave scintillations over a solar cycle (1983− 1993) at a low-latitude station: Waltair (17.7° N, 83.3° E)
Sekiguchi et al.Diurnal and seasonal variations in the Schumann resonance parameters at Moshiri, Japan
Sharma et al.Seasonal and longitudinal variations in the occurrence frequency of magnetospheric ionization ducts
Gadhi et al.A review of renewable energy activities in Yemen
Rastogi et al.Asymmetries in the equatorial electrojet around NE Brazil sector
Karimi et al.Geo-spatial site selection for solar power plants using Geographic Information System (GIS) in Kermanshah Province, Iran
Charchaoui et al.Optimal site selection for Solar PV Farms in Northern Morocco using the AHP approach and GIS tools
Jayachandran et al.Short term variabilities of ionospheric electron content (IEC) and peak electron density (NP) during solar cycles 20 and 21 for a low latitude station
Soicher et al.Spatial variability of total electron content in the eastern Mediterranean region

Legal Events

DateCodeTitleDescription
PUAIPublic reference made under article 153(3) epc to a published international application that has entered the european phase

Free format text:ORIGINAL CODE: 0009012

STAAInformation on the status of an ep patent application or granted ep patent

Free format text:STATUS: THE APPLICATION HAS BEEN PUBLISHED

AKDesignated contracting states

Kind code of ref document:A1

Designated state(s):AL AT BE BG CH CY CZ DE DK EE ES FI FR GB GR HR HU IE IS IT LI LT LU LV MC MK MT NL NO PL PT RO RS SE SI SK SM TR

STAAInformation on the status of an ep patent application or granted ep patent

Free format text:STATUS: REQUEST FOR EXAMINATION WAS MADE

17PRequest for examination filed

Effective date:20240522

RBVDesignated contracting states (corrected)

Designated state(s):AL AT BE BG CH CY CZ DE DK EE ES FI FR GB GR HR HU IE IS IT LI LT LU LV MC MK MT NL NO PL PT RO RS SE SI SK SM TR

STAAInformation on the status of an ep patent application or granted ep patent

Free format text:STATUS: EXAMINATION IS IN PROGRESS

17QFirst examination report despatched

Effective date:20240813


[8]ページ先頭

©2009-2025 Movatter.jp