Movatterモバイル変換


[0]ホーム

URL:


EP4160818A1 - Antenna device suitable for wireless communications, rf transceiver containing an antenna device, use in a wireless communication system of an antenna device - Google Patents

Antenna device suitable for wireless communications, rf transceiver containing an antenna device, use in a wireless communication system of an antenna device
Download PDF

Info

Publication number
EP4160818A1
EP4160818A1EP22198716.7AEP22198716AEP4160818A1EP 4160818 A1EP4160818 A1EP 4160818A1EP 22198716 AEP22198716 AEP 22198716AEP 4160818 A1EP4160818 A1EP 4160818A1
Authority
EP
European Patent Office
Prior art keywords
antenna device
stud
resonator
antenna
top side
Prior art date
Legal status (The legal status is an assumption and is not a legal conclusion. Google has not performed a legal analysis and makes no representation as to the accuracy of the status listed.)
Pending
Application number
EP22198716.7A
Other languages
German (de)
French (fr)
Inventor
Guilherme THEIS
Diego Caratelli
Current Assignee (The listed assignees may be inaccurate. Google has not performed a legal analysis and makes no representation or warranty as to the accuracy of the list.)
Antenna Company International NV
Original Assignee
Antenna Company International NV
Priority date (The priority date is an assumption and is not a legal conclusion. Google has not performed a legal analysis and makes no representation as to the accuracy of the date listed.)
Filing date
Publication date
Application filed by Antenna Company International NVfiledCriticalAntenna Company International NV
Publication of EP4160818A1publicationCriticalpatent/EP4160818A1/en
Pendinglegal-statusCriticalCurrent

Links

Images

Classifications

Definitions

Landscapes

Abstract

Antenna device which is suitable for wireless communications, remote sensing, and space/satellite applications at millimeter or sub-millimeter wave frequencies, wherein the antenna device comprises:
i) a primary layer having a top side and a bottom side, the primary layer comprising a multitude of adjacent antenna units wherein each antenna unit has a respective electrically conductive antenna plate which is present at the top side of the primary layer, and
ii) a dielectric resonator body which comprises a resonator base layer having a top side and a bottom side, which top side is provided with a multitude of adjacent resonator units, wherein the resonator base layer and the resonator units are made of dielectric material,
wherein the bottom side of the dielectric resonator body is provided on the top side of the primary layer, and wherein above the antenna plate of each antenna unit a corresponding resonator unit is present,
wherein the adjacent resonator units are spaced apart from each other, and each resonator unit has the form of a stud projecting from the resonator base layer,
and wherein each stud is a solid structure which is provided with one or more excised sections, and/or has a tapered outer circumference.

Description

  • The present invention relates to an antenna device and the application of an antenna device in a wireless communications system. The invention is developed for wireless communication protocols according to a 5G and 6G network standard, and wireless communication protocols that will be developed in the future. In accordance therewith, the invention is suitable for communications wherein millimeter or sub-millimeter wave frequency bands are used. Furthermore, the invention may be used in remote sensing and space/satellite applications.
  • In the context of antennas which are useful for 5G and 6G applications, it is a prerequisite that the antenna has a relatively broad field of view in regard of emitting and receiving electromagnetic waves.
  • In view thereof, antenna devices have been developed which are composed of multiple adjacent patch antenna units which are positioned in a number of parallel arrays that form a grid-like pattern of antenna units. Such a grid of antenna units is capable of creating a broad field of view, when a phase difference is applied over the respective input signals that are led to the induvial patch antenna units. It is herein beneficial that the distance between the central points of adjacent patch antennas is approximately half the value of the wavelength that is to be emitted. Furthermore, each antenna unit is provided with a dielectric resonator unit,
  • With regard to a proper functioning of such an antenna device, each antenna unit is provided with a corresponding resonator unit for achieving an adequate transmission of electromagnetic signals for its intended use, while in addition thereto the resonator base layer further contributes to the optimization of the transmission from each antenna unit.
  • An example of such an antenna device is disclosed in an earlier patent applicationWO 2021/060974, which relates to an antenna device which is suitable for wireless communications according to a 5G network standard, wherein the antenna device comprises:
    1. i) a primary layer having a top side and a bottom side, the primary layer comprising a multitude of adjacent antenna units wherein each antenna unit has a respective electrically conductive antenna plate which is present at the top side of the primary layer, and
    2. ii) a dielectric resonator body which comprises a resonator base layer having a top side and a bottom side, which top side is provided with a multitude of adjacent resonator units, wherein the resonator base layer and the resonator units are made of dielectric material,
    wherein the bottom side of the dielectric resonator body is provided on the top side of the primary layer, and wherein above the antenna plate of each antenna unit a corresponding resonator unit is present.
  • An important issue when operating such an antenna device which is composed of multiple adjacent antenna units and resonator units, is to avoid the occurrence of any overheating of the antenna device as a whole. Especially when used for 5G applications, the antenna device typically produces a significant amount of heat when in operation.
  • In order to secure a proper functionality of the antenna device, its temperature should typically be kept well below 150°C. A commonly applied solution in the prior art to address this issue, is to provide the antenna device with additional heat sinks in order to secure that the heat produced by the antenna device is sufficiently exchanged with surrounding air.
  • A property that is commonly used to express the aptitude of a system for exchanging heat, is its thermal resistance, i.e. the resistance to conduct a heat flow through a system over a temperature difference that is present in the system. The thermal resistance essentially determines what reduction of temperature can be achieved by heat exchange with surrounding air when the antenna is operational.
  • An antenna device which is provided with heat sinks according to the prior art, improves the thermal resistance of the device to an extent that the effective temperature of the device during operation is lowered significantly in comparison to a reference antenna device that merely consists of a primary layer of multiple adjacent antenna units.
  • The provision of heat sinks is therefore an important basic requirement in antenna devices which are composed of a grid of antenna units, especially when having a grid size of 8x8 antenna units or larger. A reduction of temperature of the antenna device during operation is hereby achieved of about 9%, when a passive heat sink structure is integrated in the antenna unit.
  • However, in view of antenna devices that have a large grid size of more than 100 antenna units, a further reduction of temperature during operation than attainable by a passive heat sink has become a general need. Furthermore, in order for the antenna device to achieve a reliable operation over a wide range of ambient temperatures that may occur dependent on various climatic circumstances, an additional improvement of the heat exchanging capacities of the antenna device is generally sought for.
  • In order to achieve the above goal, an active (liquid cooled) heat sink can be applied which has a larger thermal conductivity than a passive heat sink. However, such an active heat sink has some substantial drawbacks, as it is more costly and more voluminous than a passive heat sink.
  • In view of the above drawbacks of applying an active heat sink, a general need exists for a further reduction of temperature during operation of an antenna device which is provided with a passive heat sink. In that context, it is an object of the invention to provide an antenna device which further promotes the exchange of heat with surrounding air by virtue of its structural design.
  • The object of the invention is met by a first aspect of the invention which provides:
    • an antenna device which is suitable for wireless communications according to a 5G network standard, wherein the antenna device comprises:
      1. i) a primary layer having a top side and a bottom side, the primary layer comprising a multitude of adjacent antenna units wherein each antenna unit has a respective electrically conductive antenna plate which is present at the top side of the primary layer, and
      2. ii) a dielectric resonator body which comprises a resonator base layer having a top side and a bottom side, which top side is provided with a multitude of adjacent resonator units, wherein the resonator base layer and the resonator units are made of dielectric material,
      wherein the bottom side of the dielectric resonator body is provided on the top side of the primary layer, and wherein above the antenna plate of each antenna unit a corresponding resonator unit is present,
    • wherein the adjacent resonator units are spaced apart from each other, and each resonator unit has the form of a stud projecting from the resonator base layer,
    • and wherein each stud is a solid structure which is provided with one or more excised sections, and/or has a tapered outer circumference.
  • Surprisingly, it has been found possible to achieve an additional and substantial exchange of heat from the antenna device to the surrounding air, by virtue of a specific configuration of the solid structure of the studs that form the resonator units, which configuration comprises the provision of one or more excised sections in the solid structure, and/or the application of a solid structure which has a tapered outer circumference.
  • It has been found that an antenna device according to the invention improves the thermal resistance of the device to an extent that the effective temperature of the device during operation is lowered by an overall amount of 15% up to 25%, in comparison to a reference device that merely consists of a primary layer of multiple adjacent antenna units and without passive heat sinks.
  • It is pointed out that when such a reference device of a primary layer of multiple adjacent antenna units is provided with passive heat sinks, and is yet not provided with a resonator body according to the invention, an intermediate temperature reduction of about 9% is achievable. The resonator body according to the invention thus achieves an additional temperature reduction of about 6% to 16%, which is additional to the temperature reduction of 9% that is accomplished by the passive heat sinks.
  • As a preferred option in the antenna device according to the invention, the one or more excised sections of the solid body of the stud is a bore with preferably one open end and one closed end.
  • Particularly preferred in this context, is that the bore is oriented in the projecting direction of the stud, wherein the bore is more preferably provided in a central zone of the stud.
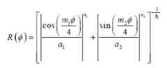
  • It is further preferred in the antenna device, that the bore is elongated and is defined by a longitudinal axis and a contour perpendicular to the longitudinal axis, wherein the contour defines an inner surface of the solid body that delimits the bore, and wherein the contour is generally defined by an x and y coordinate which fulfils the following equations:
    Figure imgb0001
    Figure imgb0002
    wherein:
    Figure imgb0003
    • wherein the values for the parameters cx, cy, m1, m2, a1, a2, n1, n2 and b1 are selected from the group of real numbers of positive value, and ϕ is an angular coordinate that covers the range from -π to π;
    • which contour includes the shapes of an oval, an ellipse, a circle, or a variant thereof.
  • It is generally preferred in the invention, that the size of the contour of the bore is constant over the whole length of the bore.
  • Further preferably, in the antenna device according to the invention, the one or more excised sections of the solid body of the stud is a planar incision which extends through at least one side of the outer circumference of the stud, preferably through a multitude of sides of the outer circumference of the stud.
  • Particularly preferred in this context, is that the planar incision is oriented in the projecting direction of the stud, and preferably extends through a central zone of the stud.
  • In the antenna device according to the invention, it is preferred that the tapered outer circumference of the solid body of the stud is such, that the tapering of the outer circumference is oriented in the projecting direction of the stud.
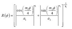
  • Particularly preferred in the antenna device of the invention is that each stud, viewed in a cross-section perpendicular to its projecting direction, has a cross-sectional contour which is generally defined by an x and y coordinate which fulfils the following equations:
    Figure imgb0004
    Figure imgb0005
    wherein:
    Figure imgb0006
    • wherein the values for the parameters cx, cy, m1, m2, a1, a2, n1, n2 and b1 are selected from the group of real numbers of positive value, and ϕ is an angular coordinate that covers the range from -π to π;
    • which contour includes the shapes of an oval, an ellipse, a circle, or a variant thereof.
  • It is further preferred in the antenna device according to the invention, that the cross-sectional contour of each stud is substantially of the same form along its projecting direction.
  • Particularly preferred herein is that each stud has an axis of symmetry which extends in a direction that is equal to the projecting direction of the stud.
  • Advantageously, in the antenna device according to the invention, each stud has a height that is equal to or greater than its maximum width.
  • Such a dimensional design of the stud may be referred to as a pillar or a beam.
  • In the antenna device according to the invention, it is preferred that the height of each stud is in the range of 2.7 to 4 mm, and the maximum width is in the range between 2 and 3 mm.
  • Furthermore, it is preferred in the antenna device according to the invention, that the thickness of the resonator base layer is lower than 1.00 mm, preferably in the range of 0.35 to 0.65 mm.
  • It is particularly preferred in the antenna device according to the invention, that the thickness of the resonator base layer is a fraction of the height of each stud, preferably a fraction between 30% and 10%.
  • In the antenna device according to the invention, it is preferred that the bottom side of the resonator base layer is directly adhered onto the top side of the primary layer, thereby covering the top side area of the primary layer either completely, or for a major part.
  • By covering the top side area of the primary layer, the resonator base layer efficiently contributes to the transmission properties of each individual antenna unit, and also efficiently conducts heat that is produced in the primary layer during the operation of the antenna device towards the ambient air that surrounds the upper surface of the resonator body.
  • The bottom side of resonator base layer and top side of the primary layer are substantially planar, and may be adhered onto each other by an adhesive or tape. Alternatively the resonator base layer and the primary layer may be formed out of one piece, by a co-firing technique for ceramic material such as used for producing low temperature co-fired ceramics (LTCC).
  • In particular it is preferred in the antenna device according to the invention, that the dielectric resonator body is made as a single piece, and is preferably made from a single dielectric material.
  • In the dielectric resonator body made as a single piece, the resonator base layer and the resonator units together form a continuous body of material. Any discontinuities in design or material of the resonator body are thus avoided, which is advantageous because the presence of discontinuities is known to negatively affect the electromagnetic wave conversion process supported by the combination of the resonator base layer and the resonator units. For the same reasons, it is preferred that the resonator body is made from a single dielectric material.
  • Effectively, the dielectric properties of the dielectric resonator body according to the invention are virtually isotropic over its whole volume.
  • In this context, it is further preferred that the resonator body is massive, i.e. devoid of cavities.
  • Furthermore, it is advantageous when the same dielectric resonator body is made as a single piece and from a single dielectric material, because it allows for an expedient manner of production, such as 3D printing, casting, compression-molding, and injection-molding, which allows for a one-step process.
  • It is generally preferred that in the antenna device according to the invention, the resonator units are substantially identical, and the antenna units are substantially identical.
  • It is further preferred in the antenna device according to the invention, that the dielectric resonator body has a relative permittivity in the range of 5 - 20, preferably in the range of 8- 14, more preferably 10.
  • Such values of relative permittivity have proven most suitable for the intended use. Suitable dielectric materials that may be used for making the dielectric resonator body include low-loss dielectric materials based on glass, ceramics, or polymers.
  • Also preferable in the antenna device according to the invention, is that the dielectric resonator body has a loss tangent smaller than 0.0002 in the frequency band of operation.
  • In this context it is especially preferred that the dielectric resonator body is substantially made from alumina, or suitable dielectric material featuring high thermal conductivity in combination with reduced loss tangent characteristics.
  • It has been found that alumina is an attractive material for the resonator body in terms of its electrical properties (alumina has a relative permittivity of about 10 in combination with a reduced loss tangent of about 0.0001), as well as in terms of its heat conducting properties.
  • It is furthermore attractive in the antenna device according to the invention, that the dielectric resonator body has a thermal conductivity of at least 10 W/(m.K), in particular at least 20 W/(m.K).
  • It is advantageous when in the antenna device according to the invention, the multitude of adjacent antenna units is provided in parallel arrays, thus forming a grid pattern, which results in a larger effective area of the antenna device and, therefore, enhanced peak gain characteristics. The grid pattern is for instance made up of a number of rows of antenna units that are aligned parallel to each other.
  • Analogously, it is preferred that in the antenna device according to the invention, the multitude of adjacent resonator units are provided in parallel arrays, thus forming a grid pattern.
  • Such a formation of the antenna units is highly suitable for the intended application of the antenna device in 5G communication systems and networks.
  • Typically, all the parallel rows of the grid pattern contain the same number n of antenna (and resonator) units. Furthermore, the number m of parallel rows in the grid structure may be the same as the number n of antenna (and resonator units) in a single row, so that a grid pattern of n x m cells, that is the square ofn, is formed.
  • A further preferred feature of the antenna device according to the invention, is that the antenna plate of each antenna unit is provided with an aperture or slot, preferably at a central position of the antenna plate. Said slot is used to feed the dielectric resonator structure of the relevant antenna unit.
  • The use of an antenna slot feed was found to be effective in improving the overall circuital characteristics, such as impedance matching bandwidth, and radiation properties, such as gain, of the individual dielectric resonator antenna elements, as well as the antenna device as a whole.
  • Preferably, the antenna plate consists of a rectangular shaped electrically conductive plate in which the individual feeding slot is realized, for instance at the central position of each antenna plate. The antenna feeding slots are typically created in the conductive plate by etching.
  • With respect to the antenna units in the antenna device according to invention, each antenna unit preferably features:
    • a respective feed connector for an electrical input signal, which feed connector is present at the bottom side of the primary layer and is connected by electrically conductive vias to the respective antenna plate, and
    • a respective electrically conductive strip line which is present inside the primary layer and which is electrically isolated from the antenna plate and the conductive vias by a respective dielectric spacer structure.
  • It is furthermore preferred when a distributed impedance matching network is integrated in the primary layer for optimizing the input signal that is led to the antenna plate.
  • The isolated strip line functions as a ground for the antenna unit.
  • It is advantageous when in the antenna device according to the invention, the primary layer is a printed circuit board which is composed from layers of a dielectric substrate onto which electrically conductive structures are printed.
  • As such, the printed circuit board allows to integrate the multiple antenna units into one layered structure, which forms the primary layer, and such a structure can be manufactured at relatively low cost.
  • The antenna device according to the invention is advantageously configured to operate in a frequency range of 24 to 29 GHz. Such a relatively broad range of frequency further enhances the suitability of the antenna device for 5G applications.
  • According to a second aspect, the invention also relates to a RF transceiver of a wireless communications device comprising at least one antenna device according to the first aspect of the invention.
  • A further special embodiment of the invention relates to an electronic device comprising an RF transceiver according to the above definition.
  • In a third aspect, the invention relates to the use in a wireless communication system, preferably conform a 5G network standard, of an antenna device according to the first aspect of the invention, comprising the step of connecting a communication circuit to the antenna device.
  • The invention is developed for wireless communication protocols according to a 5G and 6G network standard, and wireless communication protocols that will be developed in the future. In accordance therewith, the invention is suitable for communications wherein millimeter or sub-millimeter waves are used. Furthermore, the invention may be used in remote sensing and space/satellite interaction.
  • Examples
  • The invention will be further illustrated by preferred embodiments of the antenna device according to the invention which are presented with reference to the attached figures, wherein:
    • Fig. 1 shows a cross-section of a part of the antenna device according to the invention which is composed from a primary layer and a resonator layer, wherein the resonator units are not yet provided with an excised section and/or a tapered outer circumference according to the invention;
    • Fig. 2 shows a perspective view of the basic dimensions of a single solid structure of a stud projecting from an underlying part of the resonator layer which stud is not yet provided with an excised section and/or a tapered outer circumference according to the invention;
    • Fig. 3 shows the single basic solid structure offig. 2, which is provided with a bore as a first type of an excised section;
    • Fig. 4 shows the single basic solid structure offig. 2, which is provided with two planar incisions as a second type of an excised section;
    • Fig. 5 shows the single basic solid structure offig. 2, which is provided with a combination of two types of excised sections, i.e. a bore and two planar incisions similar to resp.fig. 3 and 4;
    • Fig. 6 shows a tapered version of the single basic solid structure offig. 2;
    • Fig. 7 shows the tapered version offig. 6, which is additionally provided with a bore as a first type of an excised section.
  • Fig. 1 shows a cross-section of a part of anantenna device 1, which is constructed by adhering the bottom side of adielectric resonator body 2 onto the top side of a primary layer 3.
  • The primary layer 3 is a printed circuit board which is composed from layers of a dielectric substrate onto which electrically conductive structures are printed. Two adjacent andidentical antenna units 5 are shown which are connected to each other at the dotted line d.
  • Eachantenna unit 5 contains:
    • atop layer 20 that has an outer boundary that includes an electricallyconductive antenna plate 7 which is provided with a longitudinalrectangular slot 9.
    • Abottom layer 30 containing a feed connector for an electrical input signal, which feed connector is connected by an electrically conductive via 33 to therespective antenna plate 7 intop layer 20.
    • Anintermediate layer 32 containing a distributed impedance matching network printed on a dielectric layer and electrically connected to a conductive via 33.
    • A furtherintermediate layer 34 containing an electrically conductive strip line or ground plate which is electrically isolated from the antenna plate and the conductive vias by a dielectric layer.
    Theresonator base layer 2 has a thickness T of 0.55 mm, theresonator units 22 projecting therefrom in the form of studs, have a height H of about 3.5 mm and a width W of about 2.5 mm. It is noted that thestuds 22 as shown infig. 1 are not yet provided with an excised section and/or a tapered outer circumference according to the invention, which configurations are instead shown infigs. 3-6.
  • Fig. 2 shows perspective view of the basic dimensions of a single solid structure of astud 22 in the form of a pillar projecting from an underlying part of theresonator layer 2, having a height H and width W. It is noted that thestuds 22 as shown infig. 2 are not yet provided with an excised section and/or a tapered outer circumference according to the invention, which configurations are instead shown infigs. 3-6.
  • Fig. 3 shows a partially transparent view of the single basicsolid structure 22 offig. 2, which is provided with abore 40 as a first type of an excised section according to the invention. Thebore 40 is elongated and extends over its longitudinal axis into thesolid structure 22 over a depth d measured from the top end of thestructure 22. The depth d is about 80% of the height H of thesolid structure 22. Thebore 40 has a bore width wb which is depicted in exaggerated dimensions: the value of wb is in reality smaller and may vary between 0.1 mm and 0.5 mm. The contour of the bore perpendicular to its longitudinal axis has the shape of a circle that has a diameter equal to the value of wb. The contour defines the inner surface of thesolid structure 22 that delimits the bore.
  • Fig. 4 shows in perspective the single basic solid structure offig. 2, which is provided with twoplanar incisions 42 and 44 as a second type of an excised section according to the invention. Theplanar incisions 42, 44 have a substantially constant incision width wi, the value of which may be between 0.1 mm and 0.3 mm. Theplanar incisions 42, 44 extend into thesolid structure 22 over a depth d which is about 80% of the height H of thesolid structure 22.
  • Fig. 5 shows in perspective the single basic solid structure offig. 2, which is provided with twoplanar incisions 42 and 44 similar to the ones infig. 4 having an incision width of about 0.3 mm, and abore 40 similar tofig. 3 having a bore width wb of about 0.5 mm.
  • Fig. 6 shows a tapered version of the single basicsolid structure 22 offig. 2, having a bottom width W and a height H, and a tapered width wt at the top end of thesolid structure 22. The tapering factor of thesolid structure 22 is expressed by the ratio wt/W and lies in the range of 0.5 and 0.9, preferably 0.6 to 0.8.
  • Fig. 7 shows a partially transparent view of the single basicsolid structure 22 offig. 6, which is additionally provided with abore 70 as a first type of an excised section according to the invention. Thebore 70 extends into thesolid structure 22 over a depth d measured from the top end of thestructure 22. The depth d is about 70% of the height H of thesolid structure 22. Thebore 40 has a bore width wb which is depicted in exaggerated dimensions: the value of wb is in reality smaller and may vary between 0.1 mm and 0.5 mm.
  • Results
  • Experimental results were obtained on the basis of a mathematical model of an antenna device according to the invention having a grid of 4x4 adjacent antenna units, and a coinciding grid of 4x4 adjacent resonator units.
  • In this model, two main properties of the antenna device were calculated for the specific configurations of the resonator units in the form of the solid structures as depicted in:
    • fig. 3 ('single bore structure')
    • fig. 4 ('double incised structure'),
    • fig. 5 ('double incised structure with single bore'),
    • fig. 6 ('tapered structure'), and
    • fig. 7 ('tapered structure with single bore'):
      The two main properties that were calculated are (i) the thermal resistance of the whole antenna device and (ii) the estimated air velocity that is achievable over the upper surface of the antenna device that is in direct contact with ambient air (i.e. the upper side of dielectric resonator body that is exposed to ambient air).
  • These two main properties largely determine the temperature reduction (iii) that is achievable for the antenna device, and hence a value of the temperature reduction could be estimated for the antenna device when in operation.
  • The results of the mathematical modelling are presented in the table below:
    Configuration of resonator unit in a 4x4 grid antenna device(i) Thermal resistance (K/W)(ii) Air Velocity (m/s)(iii) Achievable Temperature Reduction
    Single bore (fig. 3)49-531.7-2.117 to 20%
    Double incised (fig.4)55-651.3-1.715 to 20%
    Double incised + bore (fig.5)55-651.4-1.615 to 20%
    Tapered (fig. 6)38-481.4-2.220 to 25%
    Tapered + bore (fig. 7)42-54--20 to 25%
  • The above table shows that the invention is capable of achieving a significant temperature reduction of the antenna device during its operation, by virtue of an adequate heat exchange with surrounding air which is based on the calculated thermal resistance of the antenna device and the air velocity on the upper side of the antenna device.
  • In addition to the appended claims that follow hereafter in a separate section, the present invention is defined by the below clauses:
    1. 1. Antenna device which is suitable for wireless communications according to a 5G network standard, wherein the antenna device comprises:
      1. i) a primary layer having a top side and a bottom side, the primary layer comprising a multitude of adjacent antenna units wherein each antenna unit has a respective electrically conductive antenna plate which is present at the top side of the primary layer, and
      2. ii) a dielectric resonator body which comprises a resonator base layer having a top side and a bottom side, which top side is provided with a multitude of adjacent resonator units, wherein the resonator base layer and the resonator units are made of dielectric material,
      wherein the bottom side of the dielectric resonator body is provided on the top side of the primary layer, and wherein above the antenna plate of each antenna unit a corresponding resonator unit is present,
      • wherein the adjacent resonator units are spaced apart from each other, and each resonator unit has the form of a stud projecting from the resonator base layer,
      • characterized in that each stud is a solid structure which is provided with one or more excised sections, and/or has a tapered outer circumference.
    2. 2. Antenna device according toclause 1, wherein the one or more excised sections of the solid body of the stud is a bore with preferably one open end and one closed end.
    3. 3. Antenna device according toclause 2, wherein the bore is oriented in the projecting direction of the stud, and is preferably provided in a central zone of the stud.
    4. 4. Antenna device according toclause 2 or 3, wherein the bore is elongated and is defined by a longitudinal axis and a contour perpendicular to the longitudinal axis, wherein the contour defines an inner surface of the solid body that delimits the bore, wherein the contour is generally defined by an x and y coordinate which fulfils the following equations:
      Figure imgb0007
      Figure imgb0008
      wherein:
      Figure imgb0009
      • wherein the values for the parameters cx, cy, m1, m2, a1, a2, n1, n2 and b1 are selected from the group of real numbers of positive value, and ϕ is an angular coordinate that covers the range from -π to π;
      • which contour includes the shapes of an oval, an ellipse, a circle, or a variant thereof.
    5. 5. Antenna device according to one of the preceding clauses, wherein the one or more excised sections of the solid body of the stud is a planar incision which extends through at least one side of the outer circumference of the stud, preferably through a multitude of sides of the outer circumference of the stud.
    6. 6. Antenna device according to clause 4, wherein the planar incision is oriented in the projecting direction of the stud, and preferably extends through a central zone of the stud.
    7. 7. Antenna device according to one of the preceding clauses, wherein the tapered outer circumference of the solid body of the stud is such, that the tapering of the outer circumference is oriented in the projecting direction of the stud.
    8. 8. Antenna device according to one of the preceding clauses, wherein each stud, viewed in a cross-section perpendicular to its projecting direction, has a cross-sectional contour which is generally defined by an x and y coordinate which fulfils the following equations:
      Figure imgb0010
      Figure imgb0011
      wherein:
      Figure imgb0012
      • wherein the values for the parameters cx, cy, m1, m2, a1, a2, n1, n2 and b1 are selected from the group of real numbers of positive value, and ϕ is an angular coordinate that covers the range from -π to π;
      • which contour includes the shapes of an oval, an ellipse, a circle, or a variant thereof.
    9. 9. Antenna device according to one of the preceding clauses, wherein the cross-sectional contour of each stud is substantially of the same form along its projecting direction.
    10. 10. Antenna device according to one of the preceding clauses, wherein each stud has a height that is equal to or greater than its maximum width.
    11. 11. Antenna device according to any of the preceding clauses, wherein the height of each stud is in the range of 2 to 6 mm, preferably in the range of 2.7 to 4 mm, and the maximum width is in the range between 2.5 and 4.5 mm.
    12. 12. Antenna device according to any of the preceding clauses, wherein the thickness of the resonator base layer is lower than 1.00 mm, preferably in the range of 0.35 to 0.65 mm.
    13. 13. Antenna device any of the preceding clauses, wherein the bottom side of the resonator base layer is directly adhered onto the top side of the primary layer, thereby covering the top side area of the primary layer either completely, or for a major part.
    14. 14. Antenna device according to any of the preceding clauses, wherein the dielectric resonator body is made as a single piece, and is preferably made from a single dielectric material.
    15. 15. Antenna device according to one of the preceding clauses, wherein the dielectric resonator body has a relative permittivity in the range of 5 - 20, preferably in the range of 8- 14, more preferably 10,
    16. 16. Antenna device according to one of the preceding clauses, wherein the dielectric resonator body has a loss tangent preferably smaller than 0.0002 in the frequency band of operation.
    17. 17. Antenna device according to one of the preceding clauses, wherein the dielectric resonator body has a thermal conductivity of at least 10 W/(m.K), in particular at least 20 W/(m.K).
    18. 18. Antenna device according to one of the preceding clauses, wherein the dielectric resonator body is substantially made from alumina, or suitable dielectric material featuring high thermal conductivity in combination with reduced loss tangent characteristics.
    19. 19. Antenna device according to any of the preceding clauses, wherein the multitude of adjacent resonator units are provided in parallel arrays, thus forming a grid pattern, and/or wherein the multitude of adjacent antenna units are provided in parallel arrays, thus forming a grid pattern.
    20. 20. Antenna device according to any of the preceding clauses, wherein the antenna plate of each antenna unit is provided with an aperture or slot, preferably at a central position in the antenna plate.
    21. 21. Antenna device according to any of the preceding clauses, wherein each antenna unit has
      • a respective feed connector for an electrical input signal, which feed connector is present at the bottom side of the primary layer and is connected by electrically conductive vias to the respective antenna plate, and
      • a respective electrically conductive strip line which is present inside the primary layer and which is electrically isolated from the antenna plate and the conductive vias by a respective dielectric spacer structure.
    22. 22. Antenna device according to any of the preceding clauses, wherein the primary layer is a printed circuit board which is composed from layers of a dielectric substrate onto which electrically conductive structures are printed.
    23. 23. Antenna device according to any of the preceding clauses, wherein the antenna device is configured to operate in a frequency band between 24 and 29 GHz, or in any millimeter or sub-millimeter wave frequency range.
    24. 24. RF transceiver of a wireless communications device comprising at least one antenna device according to any of the preceding clauses 1-23.
    25. 25. Use in a wireless communication system of an antenna device according to any of the preceding clauses 1-23, comprising the step of connecting a communication circuit to the antenna device.

Claims (15)

  1. Antenna device which is suitable for wireless communications according to a 5G network standard, wherein the antenna device comprises:
    i) a primary layer having a top side and a bottom side, the primary layer comprising a multitude of adjacent antenna units wherein each antenna unit has a respective electrically conductive antenna plate which is present at the top side of the primary layer, and
    ii) a dielectric resonator body which comprises a resonator base layer having a top side and a bottom side, which top side is provided with a multitude of adjacent resonator units, wherein the resonator base layer and the resonator units are made of dielectric material,
    wherein the bottom side of the dielectric resonator body is provided on the top side of the primary layer, and wherein above the antenna plate of each antenna unit a corresponding resonator unit is present,
    wherein the adjacent resonator units are spaced apart from each other, and each resonator unit has the form of a stud projecting from the resonator base layer,
    characterized in that each stud is a solid structure which is provided with one or more excised sections, and/or has a tapered outer circumference.
  2. Antenna device according to claim 1, wherein the one or more excised sections of the solid body of the stud is a bore with preferably one open end and one closed end.
  3. Antenna device according to claim 2, wherein the bore is oriented in the projecting direction of the stud, and is preferably provided in a central zone of the stud.
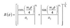
  4. Antenna device according to claim 2 or 3, wherein the bore is elongated and is defined by a longitudinal axis and a contour perpendicular to the longitudinal axis, wherein the contour defines an inner surface of the solid body that delimits the bore, wherein the contour is generally defined by an x and y coordinate which fulfils the following equations:
    Figure imgb0013
    Figure imgb0014
    wherein:
    Figure imgb0015
    wherein the values for the parameters cx, cy, m1, m2, a1, a2, n1, n2 and b1 are selected from the group of real numbers of positive value, and ϕ is an angular coordinate that covers the range from -π to π;
    which contour includes the shapes of an oval, an ellipse, a circle, or a variant thereof.
  5. Antenna device according to one of the preceding claims, wherein the one or more excised sections of the solid body of the stud is a planar incision which extends through at least one side of the outer circumference of the stud, preferably through a multitude of sides of the outer circumference of the stud.
  6. Antenna device according to claim 4, wherein the planar incision is oriented in the projecting direction of the stud, and preferably extends through a central zone of the stud.
  7. Antenna device according to one of the preceding claims, wherein the tapered outer circumference of the solid body of the stud is such, that the tapering of the outer circumference is oriented in the projecting direction of the stud.
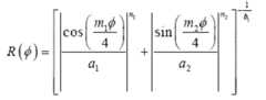
  8. Antenna device according to one of the preceding claims, wherein each stud, viewed in a cross-section perpendicular to its projecting direction, has a cross-sectional contour which is generally defined by an x and y coordinate which fulfils the following equations:
    Figure imgb0016
    Figure imgb0017
    wherein:
    Figure imgb0018
    wherein the values for the parameters cx, cy, m1, m2, a1, a2, n1, n2 and b1 are selected from the group of real numbers of positive value, and ϕ is an angular coordinate that covers the range from -π to π;
    which contour includes the shapes of an oval, an ellipse, a circle, or a variant thereof.
  9. Antenna device according to one of the preceding claims, wherein the cross-sectional contour of each stud is substantially of the same form along its projecting direction.
  10. Antenna device according to one of the preceding claims, wherein each stud has a height that is equal to or greater than its maximum width.
  11. Antenna device according to any of the preceding claims, wherein the height of each stud is in the range of 2 to 6 mm, preferably in the range of 2.7 to 4 mm, and the maximum width is in the range between 2.5 and 4.5 mm.
  12. Antenna device according to any of the preceding claims, wherein the thickness of the resonator base layer is lower than 1.00 mm, preferably in the range of 0.35 to 0.65 mm.
  13. Antenna device any of the preceding claims, wherein the bottom side of the resonator base layer is directly adhered onto the top side of the primary layer, thereby covering the top side area of the primary layer either completely, or for a major part.
  14. Antenna device according to any of the preceding claims, wherein the dielectric resonator body is made as a single piece, and is preferably made from a single dielectric material.
  15. Antenna device according to one of the preceding claims, wherein the dielectric resonator body has a relative permittivity in the range of 5 - 20, preferably in the range of 8- 14, more preferably 10.
EP22198716.7A2021-09-292022-09-29Antenna device suitable for wireless communications, rf transceiver containing an antenna device, use in a wireless communication system of an antenna devicePendingEP4160818A1 (en)

Applications Claiming Priority (1)

Application NumberPriority DateFiling DateTitle
NL2029267ANL2029267B1 (en)2021-09-292021-09-29Antenna device suitable for wireless communications, RF transceiver containing an antenna device, use in wireless communication system of an antenna device.

Publications (1)

Publication NumberPublication Date
EP4160818A1true EP4160818A1 (en)2023-04-05

Family

ID=79270231

Family Applications (1)

Application NumberTitlePriority DateFiling Date
EP22198716.7APendingEP4160818A1 (en)2021-09-292022-09-29Antenna device suitable for wireless communications, rf transceiver containing an antenna device, use in a wireless communication system of an antenna device

Country Status (2)

CountryLink
EP (1)EP4160818A1 (en)
NL (1)NL2029267B1 (en)

Citations (3)

* Cited by examiner, † Cited by third party
Publication numberPriority datePublication dateAssigneeTitle
EP1798812A1 (en)*2005-12-152007-06-20Stmicroelectronics SaEasy-manufacturing antenna with dielectric structure
WO2020117489A1 (en)*2018-12-042020-06-11Rogers CorporationDielectric electromagnetic structure and method of making the same
WO2021060974A1 (en)2019-09-262021-04-01The Antenna Company International N.V.Antenna device which is suitable for wireless communications according to a 5g network standard, rf transceiver containing an antenna device, and method for use in wireless communications according to a 5g network standard

Patent Citations (3)

* Cited by examiner, † Cited by third party
Publication numberPriority datePublication dateAssigneeTitle
EP1798812A1 (en)*2005-12-152007-06-20Stmicroelectronics SaEasy-manufacturing antenna with dielectric structure
WO2020117489A1 (en)*2018-12-042020-06-11Rogers CorporationDielectric electromagnetic structure and method of making the same
WO2021060974A1 (en)2019-09-262021-04-01The Antenna Company International N.V.Antenna device which is suitable for wireless communications according to a 5g network standard, rf transceiver containing an antenna device, and method for use in wireless communications according to a 5g network standard

Also Published As

Publication numberPublication date
NL2029267B1 (en)2023-04-04

Similar Documents

PublicationPublication DateTitle
KR101856084B1 (en)Dielectric cavity antenna
EP3096402B1 (en)Antenna device, wireless communication apparatus, and radar apparatus
KR101761920B1 (en)Dielectric waveguide antenna
JP6607869B2 (en) Waveguide and transmission line provided in gap between parallel conductive surfaces
US10498000B2 (en)Microwave or millimeter wave RF part realized by die-forming
KR100988909B1 (en) Microstrip Patch Antenna with High Gain and Wideband Characteristics
US6952190B2 (en)Low profile slot antenna using backside fed frequency selective surface
WO2016189573A1 (en)Wideband antenna radiating element and method for producing wideband antenna radiating element
KR20110026654A (en) Millimeter wave band patch antenna
WO2006097050A1 (en)Integrated mm-wave planar array antenna with low loss feeding network
CN101488604A (en)Composite fractal antenna comprising two fractals
KR101111668B1 (en)Microstrip patch antenna with high gain and wide band characteristics
CN115296014B (en) A millimeter-wave wide-angle scanning phased array radar antenna array based on PCB technology
CN109428153A (en)Antenna element, trailer-mounted radar and automobile
CN113328245A (en)Ultra-wideband expandable millimeter wave antenna unit and antenna array
US12160043B2 (en)Antenna device which is suitable for wireless communications according to a 5G network standard, RF transceiver containing an antenna device, and method for use in wireless communications according to a 5G network standard
US20200058999A1 (en)Method and arrangement for an elliptical dipole antenna
US11011814B2 (en)Coupling comprising a conductive wire embedded in a post-wall waveguide and extending into a hollow tube waveguide
KR101994761B1 (en)Dielectric cavity antenna
EP4160818A1 (en)Antenna device suitable for wireless communications, rf transceiver containing an antenna device, use in a wireless communication system of an antenna device
CN212380573U (en) Leaky-wave antenna based on double-layer substrate integration
KR102690950B1 (en)Antenna using multi-band
CN210668697U (en)Novel slot patch antenna based on ISGW
US12347948B2 (en)Antenna device suitable for wireless communications, and a RF transceiver containing such an antenna device
TW202218248A (en)Apparatus for waveguide transition and antenna array having the same

Legal Events

DateCodeTitleDescription
PUAIPublic reference made under article 153(3) epc to a published international application that has entered the european phase

Free format text:ORIGINAL CODE: 0009012

STAAInformation on the status of an ep patent application or granted ep patent

Free format text:STATUS: THE APPLICATION HAS BEEN PUBLISHED

AKDesignated contracting states

Kind code of ref document:A1

Designated state(s):AL AT BE BG CH CY CZ DE DK EE ES FI FR GB GR HR HU IE IS IT LI LT LU LV MC MK MT NL NO PL PT RO RS SE SI SK SM TR

STAAInformation on the status of an ep patent application or granted ep patent

Free format text:STATUS: REQUEST FOR EXAMINATION WAS MADE

17PRequest for examination filed

Effective date:20230831

RBVDesignated contracting states (corrected)

Designated state(s):AL AT BE BG CH CY CZ DE DK EE ES FI FR GB GR HR HU IE IS IT LI LT LU LV MC MK MT NL NO PL PT RO RS SE SI SK SM TR

STAAInformation on the status of an ep patent application or granted ep patent

Free format text:STATUS: EXAMINATION IS IN PROGRESS

17QFirst examination report despatched

Effective date:20241211


[8]ページ先頭

©2009-2025 Movatter.jp