Movatterモバイル変換


[0]ホーム

URL:


EP4145636B1 - Electromagnetic wave transmission structure - Google Patents

Electromagnetic wave transmission structure
Download PDF

Info

Publication number
EP4145636B1
EP4145636B1EP22152928.2AEP22152928AEP4145636B1EP 4145636 B1EP4145636 B1EP 4145636B1EP 22152928 AEP22152928 AEP 22152928AEP 4145636 B1EP4145636 B1EP 4145636B1
Authority
EP
European Patent Office
Prior art keywords
transmission line
electromagnetic wave
antennas
units
tunable dielectric
Prior art date
Legal status (The legal status is an assumption and is not a legal conclusion. Google has not performed a legal analysis and makes no representation as to the accuracy of the status listed.)
Active
Application number
EP22152928.2A
Other languages
German (de)
French (fr)
Other versions
EP4145636A1 (en
Inventor
Su-Wei Chang
Sheng-Fuh Chang
Chia-Chan Chang
Shih-Cheng Lin
Yuan-Chun Lin
Current Assignee (The listed assignees may be inaccurate. Google has not performed a legal analysis and makes no representation or warranty as to the accuracy of the list.)
TMY Technology Inc
Original Assignee
TMY Technology Inc
Priority date (The priority date is an assumption and is not a legal conclusion. Google has not performed a legal analysis and makes no representation as to the accuracy of the date listed.)
Filing date
Publication date
Priority claimed from TW110148503Aexternal-prioritypatent/TWI788156B/en
Application filed by TMY Technology IncfiledCriticalTMY Technology Inc
Publication of EP4145636A1publicationCriticalpatent/EP4145636A1/en
Application grantedgrantedCritical
Publication of EP4145636B1publicationCriticalpatent/EP4145636B1/en
Activelegal-statusCriticalCurrent
Anticipated expirationlegal-statusCritical

Links

Images

Classifications

Definitions

Landscapes

Description

    BACKGROUND OF THE INVENTIONField of the Invention
  • The invention relates to an electromagnetic wave transmission structure, and in particular, to an electromagnetic wave transmission structure configured to guide an RF signal or a millimeter wave signal.
  • Description of Related Art
  • In the field of mobile communication, how to reduce the energy loss of electromagnetic waves in the transmission path has always been an important topic. The energy loss due to the electromagnetic waves encountering obstacles, such as concrete walls, trees, furniture, signboards, etc., will also become more significant as the frequency of the electromagnetic waves increase. Therefore, dead spots, dark areas, or areas with weak signals are readily generated in the application space. Although the issue may be relieved by adding base stations or boosters, the cost of construction, energy consumption, or subsequent hardware maintenance is considerable. Prior art documentUS 2020/266511 A1 discloses a liquid crystal phase shifter with periodic branch-like stubs combinable with an antenna, wherein the dimensions and pitch of the branch-like stubs are design parameters.
  • SUMMARY OF THE INVENTION
  • The invention provides an electromagnetic wave transmission structure suitable for improving the energy loss of an electromagnetic wave caused by the blocking of an obstacle, and the receiving and emitting directions of an electromagnetic wave at the receiving end and the emitting end thereof are adjustable.
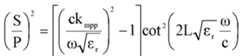
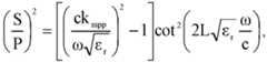
  • An electromagnetic wave transmission structure of the invention includes a substrate, at least one transmission line, a plurality of antennas, and a plurality of tunable dielectric units. The at least one transmission line is disposed on the substrate. The transmission line includes a first extending portion and a plurality of second extending portions. The first extending portion is extended in a first direction. The second extending portions are respectively extended from two opposite edges of the first extending portion, and an extending direction thereof is parallel to a second direction. The second extending portions are arranged at a pitch P along the first direction, wherein any two adjacent ones arranged along the first direction have a spacing S. Each of the second extending portions has a length L along the second direction. The plurality of antennas are disposed on the substrate and adjacent to the at least one transmission line. The plurality of tunable dielectric units are overlapped with a plurality of portions of the at least one transmission line located between the antennas. Each of the tunable dielectric units has a first electrode layer and a controllable dielectric layer overlapped with each other. The controllable dielectric layer is disposed between the first electrode layer and the at least one transmission line. The pitch P, the spacing S, and the length L of the transmission line satisfy the following relationship:SP2=ckssppωεr21cot22Lεrωc
    Figure imgb0001
    , wherein ksspp is a wavenumber of an electromagnetic wave signal transmitted via the at least one transmission line,εr is an effective dielectric constant of the controllable dielectric layer,ω is an angular frequency of the electromagnetic wave signal transmitted via the at least one transmission line, andc is a speed of light.
  • In an embodiment of the invention, the transmission line of the electromagnetic wave transmission structure has a transmitting section, a receiving section, and an emitting section. The transmitting section is connected between the receiving section and the emitting section. The plurality of tunable dielectric units include a plurality of first tunable dielectric units overlapped with one of the emitting section and the receiving section. A portion of the antennas adjacent to the one of the emitting section and the receiving section and the first tunable dielectric units are alternately arranged along an extending direction of the at least one transmission line.
  • In an embodiment of the invention, the plurality of tunable dielectric units of the electromagnetic wave transmission structure further include a plurality of second tunable dielectric units overlapped with the other of the emitting section and the receiving section. Another portion of the antennas adjacent to the other of the emitting section and the receiving section and the second tunable dielectric units are alternately arranged along the extending direction.
  • In an embodiment of the invention, the at least one transmission line of the electromagnetic wave transmission structure is a plurality of transmission lines extended in the first direction. The transmission lines are arranged along the second direction. The plurality of antennas are respectively adjacent to a plurality of the receiving section and a plurality of the emitting section of the transmission lines. The tunable dielectric units further include a plurality of third tunable dielectric units overlapped with a plurality of the transmitting section of the transmission lines. The third tunable dielectric units are arranged in a plurality of columns and a plurality of rows along the first direction and the second direction, respectively.
  • In an embodiment of the invention, the first electrode layer of each of the tunable dielectric units of the electromagnetic wave transmission structure has a bottom portion parallel to the substrate and a sidewall portion extended from the bottom portion in a bent manner. The sidewall portion surrounds the controllable dielectric layer. The first electrode layer and the at least one transmission line are suitable for generating an electric field configured to change an effective dielectric constant of the controllable dielectric layer.
  • In an embodiment of the invention, an insulating layer is provided between the two sidewall portions of any two adjacent ones of the first electrode layers of the plurality of third tunable dielectric units arranged along the first direction.
  • In an embodiment of the invention, the transmission line of the electromagnetic wave transmission structure has a transmitting section, a receiving section, and an emitting section. The transmitting section is connected between the receiving section and the emitting section. The at least one transmission line is a plurality of transmission lines extended in the first direction. The transmission lines are arranged along the second direction. The plurality of antennas are respectively adjacent to a plurality of the receiving section and a plurality of the emitting section of the transmission lines. At least a portion of the plurality of tunable dielectric units is overlapped with a plurality of the transmitting section of the transmission lines, and is arranged in a plurality of columns and a plurality of rows along the first direction and the second direction, respectively.
  • In an embodiment of the invention, the first electrode layer of each of the tunable dielectric units of the electromagnetic wave transmission structure has a bottom portion parallel to the substrate and a sidewall portion extended from the bottom portion in a bent manner. The sidewall portion surrounds the controllable dielectric layer. The first electrode layer and the at least one transmission line are suitable for generating an electric field configured to change an effective dielectric constant of the controllable dielectric layer.
  • In an embodiment of the invention, the at least one transmission line of the electromagnetic wave transmission structure is one transmission line. Each of the plurality of antennas is a same distance from the transmission line. The antennas are arranged along the extending direction of the transmission line and have a symmetry axis. A diameter of each of the antennas is decreased or increased away from the symmetry axis.
  • In an embodiment of the invention, the at least one transmission line of the electromagnetic wave transmission structure is one transmission line. A geometric center of each of the plurality of antennas is a same distance from the transmission line. The antennas are arranged along the extending direction of the transmission line and have a symmetry axis. A diameter of each of the antennas is decreased or increased away from the symmetry axis.
  • In an embodiment of the invention, the at least one transmission line of the electromagnetic wave transmission structure is one transmission line. Each of the plurality of antennas has a same diameter. The antennas are arranged along the extending direction of the transmission line and have a symmetry axis. A spacing of each of the antennas from the transmission line is increased away from the symmetry axis.
  • In an embodiment of the invention, each of the tunable dielectric units of the electromagnetic wave transmission structure further includes a second electrode layer disposed on a side surface of the substrate faced away from the at least one transmission line and overlapped with the controllable dielectric layer. The first electrode layer and the second electrode layer are suitable for generating an electric field configured to change an effective dielectric constant of the controllable dielectric layer.
  • In an embodiment of the invention, the controllable dielectric layer of the electromagnetic wave transmission structure is a liquid-crystal layer.
  • In an embodiment of the invention, the first electrode layer of the electromagnetic wave transmission structure includes a plurality of first strip electrodes and a plurality of second strip electrodes. The first strip electrodes and the second strip electrodes are alternately arranged along the first direction and parallel to the plurality of second extending portions. Any adjacent ones of the first strip electrodes and the second strip electrodes are suitable for generating an electric field configured to change an effective dielectric constant of the controllable dielectric layer.
  • Based on the above, in the electromagnetic wave transmission structure of an embodiment of the invention, a plurality of antennas are provided adjacent to the transmission line, and a plurality of tunable dielectric units are provided at a plurality of portions of the transmission line between the antennas. The phase of the electromagnetic wave signal may be changed by electronically modulating the effective dielectric constant of the controllable dielectric layer overlapped with the transmission line in the tunable dielectric units, thereby modulating the electromagnetic wave emitting and receiving directions of the antennas.
  • BRIEF DESCRIPTION OF THE DRAWINGS
  • The accompanying drawings are included to provide a further understanding of the invention, and are incorporated in and constitute a part of this specification. The drawings illustrate embodiments of the invention and, together with the description, serve to explain the principles of the invention.
    • FIG. 1 is a schematic top view of an electromagnetic wave transmission structure of the first embodiment of the invention.
    • FIG. 2A is an enlarged schematic view of a partial region of the electromagnetic wave transmission structure ofFIG. 1.
    • FIG. 2B is a schematic top view of another modified embodiment of the transmission line ofFIG. 2A.
    • FIG. 3A andFIG. 3B are schematic cross-sectional views of the tunable dielectric units ofFIG. 2A operated in different states.
    • FIG. 4A to FIG. 4C are schematic top views of some other modified embodiments of the electromagnetic wave transmission structure ofFIG. 1.
    • FIG. 5 is a schematic top view of an electromagnetic wave transmission structure of the second embodiment of the invention.
    • FIG. 6 is a schematic top view of an electromagnetic wave transmission structure of the third embodiment of the invention.
    • FIG. 7 is a schematic cross-sectional view of the electromagnetic wave transmission structure ofFIG. 6.
    • FIG. 8 is a schematic top view of an electromagnetic wave transmission structure of the fourth embodiment of the invention.
    • FIG. 9 is an enlarged schematic view of a partial region of the electromagnetic wave transmission structure ofFIG. 8.
    • FIG. 10 is a schematic cross-sectional view of the electromagnetic wave transmission structure ofFIG. 8.
    • FIG. 11 is a schematic cross-sectional view of the electromagnetic wave transmission structure ofFIG. 9.
    • FIG. 12 is a schematic top view of an electromagnetic wave transmission structure of the fifth embodiment of the invention.
    • FIG. 13A andFIG. 13B are schematic cross-sectional views of the tunable dielectric units ofFIG. 12 operated in different states.
    • FIG. 14 is a schematic top view of an electromagnetic wave transmission structure of the sixth embodiment of the invention.
    DESCRIPTION OF THE EMBODIMENTS
  • "About", "similar", "essentially", or "substantially" used in the present specification include the value and the average value within an acceptable deviation range of a specific value confirmed by those having ordinary skill in the art, and the concerned measurement and a specific quantity (i.e., limitations of the measuring system) of measurement-related errors are taken into consideration. For example, "about" may represent within one or a plurality of standard deviations of the value, or, for instance, within ±30%, ±20%, ±15%, ±10%, or ±5%. Moreover, "about", "similar", "essentially", or "substantially" used in the present specification may include a more acceptable deviation range or standard deviation according to measurement properties, cutting properties, or other properties, and one standard deviation does not need to apply to all of the properties.
  • In the figures, for clarity, the thicknesses of, for instance, layers, films, panels, and regions are enlarged. It should be understood that, when a layer, film, region, or an element of a substrate is "on" another element or "connected to" another element, the element may be directly on the other element or connected to the other element, or an intermediate element may also be present. On the other hand, when an element is "directly on another element" or "directly connected to" another element, an intermediate element is not present. As used in the present specification, "connected to" may refer to a physical and/or electrical connection. Furthermore, "electrically connected" may mean that other elements are present between two elements.
  • Hereinafter, exemplary embodiments of the invention are described in detail, and examples of the exemplary embodiments are conveyed via the figures. Wherever possible, the same reference numerals are used in the figures and the descriptions to refer to the same or similar portions.
  • FIG. 1 is a schematic top view of an electromagnetic wave transmission structure of the first embodiment of the invention.FIG. 2A is an enlarged schematic view of a partial region of the electromagnetic wave transmission structure ofFIG. 1.FIG. 2B is a schematic top view of another modified embodiment of the transmission line ofFIG. 2A.FIG. 3A andFIG. 3B are schematic cross-sectional views of the tunable dielectric units ofFIG. 2A operated in different states.FIG. 4A to FIG. 4C are schematic top views of some other modified embodiments of the electromagnetic wave transmission structure ofFIG. 1.FIG. 3A andFIG. 3B correspond to the section line A-A' ofFIG. 2A.
  • Referring toFIG. 1 andFIG. 2, an electromagneticwave transmission structure 10 includes asubstrate 100 and atransmission line 120 and a plurality ofantennas 140 disposed on thesubstrate 100. Thesubstrate 100 is, for example, a glass substrate, a ceramic laminate, or a low dielectric loss substrate (e.g., a Rogers substrate), but the invention is not limited thereto. In the present embodiment, thetransmission line 120 includes a first extending portion 120P1 and a plurality of second extending portions 120P2. The second extending portions 120P2 are extended from two opposite edges e1 and e2 of the first extending portion 120P1, respectively.
  • For example, the first extending portion 120P1 and the second extending portion 120P2 may be extended in a direction X and a direction Y, respectively, and the direction X may be optionally perpendicular to the direction Y, but the invention is not limited thereto. In the present embodiment, the orthographic profile of the second extending portions 120P2 on thesubstrate 100 may be a rectangle. That is, the extending directions of the two edges of the second extending portions 120P2 arranged in the direction X and opposite to each other are parallel to each other and parallel to the direction Y, but the invention is not limited thereto. In other embodiments, the orthographic profile of the second extending portions 120P2-A of a transmission line 120A on thesubstrate 100 may also be a trapezoid (as shown in an electromagneticwave transmission structure 10A shown inFIG. 2B). More specifically, the extending directions of the two edges of the second extending portions 120P2-A arranged in the direction X and opposite to each other may also not be parallel to the direction Y, that is, not perpendicular to the two edges e1 and e2 of the first extending portion 120P1.
  • In the present embodiment, the electromagneticwave transmission structure 10 has a receiving area RA, a transmitting area TA, and an emitting area EA, and is suitable for being mounted on an obstacle (such as a concrete wall or a building pillar) that readily causes energy loss of an electromagnetic wave. For example, the obstacle (not shown) has a front surface facing the electromagnetic wave source and a back surface facing away from the electromagnetic wave source. The electromagneticwave transmission structure 10 may be disposed on the obstacle and detour from the front surface of the obstacle to the back surface of the obstacle. In particular, the receiving area RA and the emitting area EA of the electromagneticwave transmission structure 10 are respectively disposed on the front surface and the back surface of the obstacle, and the transmitting area TA may be extended on other planes connecting the front surface and the back surface of the obstacle.
  • Thetransmission line 120 may be divided into a receiving section 120rs extended in the receiving area RA, a transmitting section 120ts extended in the transmitting area TA, and an emitting section 120es extended in the emitting area EA, wherein the transmitting section 120ts is connected between the receiving section 120rs and the emitting section 120es. In the present embodiment, theantennas 140 are, for example, patch antennas. A portion of theantennas 140 may be disposed in the receiving area RA as receivingantennas 140R, and another portion of theantennas 140 may be disposed in the emitting area EA as emittingantennas 140E. For example, the electromagnetic wave transmitted toward the front surface of the obstacle may be fed into thetransmission line 120 via the receivingantennas 140R in the receiving area RA of the electromagneticwave transmission structure 10, and transmitted via the transmitting section 120ts of thetransmission line 120 to enter the emitting area EA located at the back surface of the obstacle. The electromagnetic wave signal transmitted to the emitting area EA may be coupled to and radiated via the emittingantennas 140E.
  • In other words, when there is an obstacle that consumes electromagnetic wave energy in the transmission space of the electromagnetic wave, the electromagneticwave transmission structure 10 of the present embodiment may be mounted on the obstacle to serve as a detour structure for the electromagnetic wave. The electromagnetic wave sent toward the obstacle would be guided by the proposedstructure 10 rather than directly passing through the obstacle. Therefore, the energy loss when the electromagnetic wave passes through the obstacle via this detour structure is much less compared with directly passing through the obstacle.
  • More specifically, the plurality of receivingantennas 140R located in the receiving area RA may be adjacent to a side of the receiving section 120rs of thetransmission line 120 and arranged to form a one-dimensional receiving antenna along the extending direction (e.g., the direction X) of the first extending portion 120P1 of thetransmission line 120. Similarly, the plurality of emittingantennas 140E located in the emitting area EA are adjacent to a side of the emitting section 120es of thetransmission line 120, and are arranged in a one-dimensional emitting antenna array along the extending direction of the first extending portion 120P1 of thetransmission line 120. Although the receivingantennas 140R and the emittingantennas 140E shown inFIG. 1 are located at the same side of thetransmission line 120, the invention is not limited thereto. In other embodiments, the receivingantennas 140R and the emittingantennas 140E may also be disposed at two opposite sides of thetransmission line 120 respectively, or the receivingantennas 140R (or the emittingantennas 140E) are adjacent to both the two opposite sides of thetransmission line 120.
  • In order to modify the receiving and emitting directions of an electromagnetic wave of the antenna array consisting of the plurality ofantennas 140, the electromagneticwave transmission structure 10 further includes a plurality of tunabledielectric units 160. It should be mentioned that the tunabledielectric units 160 are overlapped with thetransmission line 120 along the direction perpendicular to the substrate 100 (e.g., a direction Z). In the present embodiment, the tunabledielectric units 160 may be disposed in the emitting area EA and the receiving area RA, respectively. For example, the emitting area EA may be provided with a plurality of tunabledielectric units 161, and the receiving area RA may be provided with a plurality of tunabledielectric units 162.
  • The tunabledielectric units 161 are respectively overlapped with a plurality of portions (or sections) of the emitting section 120es of thetransmission line 120 located between the plurality of emittingantennas 140E along the direction Z. Similarly, the tunabledielectric units 162 are respectively overlapped with a plurality of portions (or sections) of the receiving section 120rs of thetransmission line 120 located between the plurality of receivingantennas 140R along the direction Z. In other words, the emittingantennas 140E adjacent to the emitting section 120es and the tunabledielectric units 161 are alternately arranged along the extending direction of the transmission line 120 (for example, the direction X), and the receivingantennas 140R adjacent to the receiving section 120rs and the tunabledielectric units 162 are alternately arranged along the extending direction of thetransmission line 120.
  • Please refer toFIG. 3A andFIG. 3B at the same time, in the present embodiment, the tunabledielectric units 160 have a first electrode layer EL1 and a controllable dielectric layer CDL overlapped in the direction Z, and the controllable dielectric layer CDL is disposed between the first electrode layer EL1 and thetransmission line 120. In particular, the controllable dielectric layer CDL is, for example, a liquid-crystal layer, and the electric field generated by the potential difference between the first electrode layer EL1 and thetransmission line 120 is suitable for driving a plurality of liquid-crystal molecules LCM of the liquid-crystal layer to rotate. For example, the first electrode layer EL1 may be disposed on another substrate SUB, and a spacer SP is sandwiched between the substrate SUB and thesubstrate 100 to form an accommodating space of the controllable dielectric layer CDL.
  • Further, the plurality of second extending portions 120P2 of thetransmission line 120 are arranged at two opposite sides of the first extending portion 120P1 along the direction X at a pitch P. Any two adjacent ones of the second extending portions 120P2 arranged along the direction X have a spacing S, and each of them has a length L along the direction Y. Specifically, the structural dimensions of thetransmission line 120 satisfy the following relationship:SP2=ckssppωεr21cot22Lεrωc,
    Figure imgb0002
    wherein ksspp is the wavenumber of an electromagnetic wave signal transmitted via thetransmission line 120,εr is the effective dielectric constant of the controllable dielectric layer CDL,ω is the angular frequency of the electromagnetic wave signal transmitted via the transmission line, andc is the speed of light.
  • Since the liquid-crystal material used as the controllable dielectric layer CDL in the present embodiment has dielectric anisotropy, that is, the liquid-crystal material respectively has different dielectric constants (for example: a dielectric constantε// and a dielectric constantε⊥) in the directions parallel and perpendicular to the long axis of the liquid-crystal molecules, the liquid-crystal material is electrically controllable. In other words, by applying an electric field to the liquid-crystal layer, the effective dielectric constant of the liquid-crystal layer in a specific direction may be changed, and the effective dielectric constant falls within the range between the dielectric constantε// and the dielectric constantε⊥.
  • For example, in the present embodiment, the controllable dielectric layer CDL may adopt the liquid-crystal material K15 (Merck KGaA) with the dielectric constantε// and the dielectric constantε⊥ of 2.9 and 2.72, respectively, and an alignment material layer with horizontal alignment capability (for example: a polyimide thin-film brushed with fluff) is adopted to align the liquid-crystal molecules LCM. In particular, the alignment material layer may be disposed at the interface of the liquid-crystal layer and the first electrode layer EL1 and/or at the interface of the liquid-crystal layer and thesubstrate 100. However, the invention is not limited thereto. In other embodiments, the selection of the liquid-crystal material and the alignment manner thereof may be adjusted according to different application requirements.
  • In the present embodiment, when the liquid-crystal layer is in a state where no electric field is applied, the liquid-crystal molecules LCM thereof are arranged parallel to the substrate 100 (as shown inFIG. 3A). At this time, the effective dielectric constant of the controllable dielectric layer CDL to the electromagnetic wave signal transmitted on thetransmission line 120 is the larger dielectric constantε//, so that the equivalent electromagnetic wave wavelength is smaller and the wavenumber is larger. Therefore, the controllable dielectric layer CDL to which the electric field is not applied may generate more phase shifts in the X-axis direction than a state in which the electric field is applied, as described later.
  • When an electric field is applied to the liquid-crystal layer, that is, when there is a potential difference between the first electrode layer EL1 and thetransmission line 120, since the liquid-crystal material K15 has a larger dielectric constant in the direction of the long molecular axis, the long molecular axis thereof tends to align along the direction of the electric field. In the present embodiment, the direction of the electric field formed in the overlap region of the first electrode layer EL1 and thetransmission line 120 is substantially perpendicular to thesubstrate 100. When the electric field strength is large enough, the long axis direction of most of the liquid-crystal molecules located in the overlap region is also substantially perpendicular to the substrate 100 (as shown inFIG. 3B). At this time, the effective dielectric constant of the controllable dielectric layer CDL to the electromagnetic wave signal transmitted on thetransmission line 120 is the smaller dielectric constantε⊥. Therefore, when an electric field is applied to the liquid-crystal layer (i.e., the controllable dielectric layer CDL), less phase shift may be generated in the X-axis direction compared to the above state in which the electric field is not applied.
  • Therefore, by changing the arrangement direction of the liquid-crystal molecules LCM by the presence or absence of an applied electric field or an applied electric field of different magnitudes, the effective dielectric constant of the controllable dielectric layer CDL in the direction of the electric field of the electromagnetic wave signal may be changed, thereby changing the phase of the electromagnetic wave signal transmitted on thetransmission line 120.
  • In the present embodiment, the tunabledielectric units 160 are provided in the portion between the receiving section 120rs and the emitting section 120es of thetransmission line 120 between any twoadjacent antennas 140, and via the phase modulation capability of the tunabledielectric units 160, the electromagnetic wave receiving and emitting directions of the plurality ofantennas 140 of the one-dimensional antenna array arranged along one side of thetransmission line 120 may be changed, wherein the adjustment of the electromagnetic wave receiving and emitting directions is, for example, in the dimension of the XZ plane.
  • For example, the plurality of tunabledielectric units 161 located in the emitting area EA are suitable for adjusting the phase of the electromagnetic wave signal transmitted in the emitting section 120es of thetransmission line 120. Therefore, the electromagnetic wave signal coupled and radiated by the plurality of emittingantennas 140E from thetransmission line 120 has different phase combinations according to the different phase shifts imparted by each of the tunabledielectric units 161, thereby changing the transmission direction of the electromagnetic wave on the XZ plane. Moreover, when the electromagnetic wave is received by the receivingantennas 140R and fed into the receiving section 120rs of thetransmission line 120, the plurality of tunabledielectric units 162 located in the receiving area RA are suitable for adjusting the phase of the electromagnetic wave signal fed into thetransmission line 120 at different delay times, which is equivalent to adjusting the receiving field pattern of the receiving section 120rs on the XZ plane.
  • Further, the orthographic profile of theantennas 140 of the present embodiment on thesubstrate 100 is, for example, a circle, and the size (e.g., diameter) of each of theantennas 140 is substantially the same. In the present embodiment, a spacing s1 between each of theantennas 140 and theadjacent transmission line 120 is also substantially the same. Therefore, each of theantennas 140 has a similar degree of energy coupling with thetransmission line 120. For example, the energy difference of the electromagnetic wave fed into thetransmission line 120 via each of the receivingantennas 140R is not large, and the power radiated by the electromagnetic wave signal via each of the emittingantennas 140E is also similar. As a result, the beam width/half power beam width (HPBW) of the main lobe of the electromagnetic wave radiated by the emitting antenna array is narrower, and the radiated power difference between the side lobe and the main lobe is also smaller.
  • However, the invention is not limited thereto. In other modified embodiments, the plurality of antennas forming the antenna array may also have different sizes, and the distances between the antennas and the transmission line may also be different. Referring toFIG. 4A, in a modified embodiment, the plurality of antennas 140A (e.g., receivingantennas 140R-A and emittingantennas 140E-A) of an electromagneticwave transmission structure 10B may have different sizes. In detail, the plurality of receivingantennas 140R-A have a symmetry axis SA, and the diameter (or circular diameter) of each of the receivingantennas 140R-A is increased away from the symmetry axis SA. The plurality of emittingantennas 140E-A are also configured in the same manner.
  • For example, the antennas 140A located on the symmetry axis SA have the best reception/radiation efficiency for an electromagnetic wave of a specific frequency (that is, the resonance frequency of the central antenna is the carrier frequency of the pre-transceived signal), and the reception/radiation efficiency of the antennas 140A with different sizes deviated from the symmetry axis SA for the an electromagnetic wave of a specific frequency is decreased as the size (e.g., diameter) of the antennas become larger. Via such a configuration, the HPBW of the main lobe of the electromagnetic wave radiated by the emitting antenna array may be increased, and the radiated power of the side lobe may be suppressed.
  • To achieve a similar effect, in another modified embodiment shown inFIG. 4B, the size configuration of the plurality ofantennas 140B (e.g., receivingantennas 140R-B and emittingantennas 140E-B) of an electromagneticwave transmission structure 10C is similar to that of the plurality of antennas 140A ofFIG. 4A, but the spacings between theantennas 140B and theadjacent transmission line 120 may be different. It is particularly noted that distances d between a geometric center C of each of theantennas 140B and theadjacent transmission line 120 are all substantially the same.
  • Different from the embodiment ofFIG. 4B, in an electromagneticwave transmission structure 10D shown inFIG. 4C, the diameter of each of a plurality of receivingantennas 140R-C thereof is decreased away from the symmetry axis SA, and a plurality of emittingantennas 140E-C thereof are also configured in the same manner. In addition, the resonance frequency of the center antenna (the receivingantennas 140R-C and the emittingantennas 140E-C provided on the symmetry axis SA) is the carrier frequency of the pre-transmission signal. However, the invention is not limited thereto. In an embodiment, the configuration of the emitting antenna array and the receiving antenna array may also be optionally different.
  • In the following, other embodiments are provided to explain the invention in detail. The same components are labeled with the same reference numerals, and the description of the same technical content is omitted. For the omitted parts, please refer to the foregoing embodiments, which is not described again below.
  • FIG. 5 is a schematic top view of an electromagnetic wave transmission structure of the second embodiment of the invention. Referring toFIG. 5, the difference between an electromagneticwave transmission structure 10E of the present embodiment and the electromagneticwave transmission structure 10 ofFIG. 1 is that the configuration of the antenna array is different. In the present embodiment, the antenna array formed by a plurality ofantennas 140D of the electromagneticwave transmission structure 10E has the symmetry axis SA, and a spacing s2 between the plurality ofantennas 140D of the antenna array and thetransmission line 120 is increased away from the symmetry axis SA. In other words, theantennas 140D (e.g., receivingantennas 140R-D and emittingantennas 140E-D) located on symmetry axis SA have the smallest distance fromtransmission line 120 and thus have the greatest degree of energy coupling. Conversely, the distance between theantennas 140D located outside the antenna array and thetransmission line 120 is largest, and therefore the degree of energy coupling thereof is smallest.
  • Therefore, theantennas 140D located on the symmetry axis SA have the best reception/radiation efficiency for an electromagnetic wave of a specific frequency, and the reception/radiation efficiency of theantennas 140D with the same size deviated from the symmetry axis SA for the electromagnetic wave of the specific frequency is decreased as the spacing s2 between theantennas 140D and thetransmission line 120 is increased. For example, via such a configuration, the HPBW of the main lobe of the electromagnetic wave radiated by the emitting antenna array may be increased, and the radiated power of the side lobe may be suppressed.
  • FIG. 6 is a schematic top view of an electromagnetic wave transmission structure of the third embodiment of the invention.FIG. 7 is a schematic cross-sectional view of the electromagnetic wave transmission structure ofFIG. 6 along section line B-B'. For the sake of clarity,FIG. 6 omits the illustration of the substrate SUB, the controllable dielectric layer CDL, and the spacer SP inFIG. 7. Please refer toFIG. 6 andFIG. 7, compared with the electromagneticwave transmission structure 10 ofFIG. 3A, tunabledielectric units 160A of an electromagneticwave transmission structure 20 of the present embodiment further include a second electrode layer EL2 disposed on aside surface 100s of thesubstrate 100 faced away from thetransmission line 120 and overlapped with the controllable dielectric layer CDL along the direction Z.
  • It is particularly noted that, unlike the electromagneticwave transmission structure 10 of the above embodiments, the first electrode layer EL1 and the second electrode layer EL2 of the tunabledielectric units 160A of the present embodiment are suitable for generating an electric field configured to change the effective dielectric constant of the controllable dielectric layer CDL. That is, in the present embodiment, thetransmission line 120 is not used as an electrode for driving the controllable dielectric layer CDL.
  • Moreover, in the present embodiment, the second electrode layer EL2, like the first electrode layer EL1, is also a patterned electrode, but the invention is not limited thereto. In a preferred embodiment, the second electrode layer EL2 may also be a planar electrode corresponding to a plurality of first electrode layers EL1 of the plurality of tunabledielectric units 160A. That is, the second electrode layer EL2 may be a non-patterned electrode layer comprehensively covering thesurface 100s of thesubstrate 100.
  • FIG. 8 is a schematic top view of an electromagnetic wave transmission structure of the fourth embodiment of the invention.FIG. 9 is an enlarged schematic view of a partial region of the electromagnetic wave transmission structure ofFIG. 8.FIG. 10 is a schematic cross-sectional view of the electromagnetic wave transmission structure ofFIG. 8 along section line C-C'.FIG. 11 is a schematic cross-sectional view of the electromagnetic wave transmission structure ofFIG. 9 along section line D-D'.
  • Referring toFIG. 8 to FIG. 11, in the present embodiment, an electromagneticwave transmission structure 30 may include a plurality of transmission lines, such as atransmission line 121, atransmission line 122, atransmission line 123, and atransmission line 124. Since the configuration relationship and the corresponding technical effect of each of thetransmission line 120, theantennas 140, the tunable thedielectric units 161, and the tunabledielectric units 162 of the present embodiment are similar to the electromagneticwave transmission structure 10 inFIG. 1, for detailed descriptions, please refer to the relevant paragraphs of the above embodiments, which are not repeated herein.
  • In the present embodiment, the plurality ofantennas 140 adjacent to the plurality oftransmission lines 120 may be arranged in a plurality of columns and a plurality of rows along the direction X and the direction Y, respectively. For example, the plurality of receivingantennas 140R located in the receiving area RA may be arranged to form one two-dimensional receiving antenna array, and the plurality of emittingantennas 140E located in the emitting area EA may be arranged to form one two-dimensional emitting antenna array. However, the invention is not limited thereto. In another embodiment not shown, the plurality ofantennas 140 located in the receiving area RA or the emitting area EA may also be arranged in a honeycomb-shaped two-dimensional antenna array. For example, any two adjacent ones of the plurality of one-dimensional antenna arrays arranged along the direction X of theantennas 140 may be disposed in a staggered manner in the direction Y.
  • It should be noted that, in addition to tunabledielectric units 160B provided in the receiving area RA and the emitting area EA, an electromagneticwave transmission structure 30 of the present embodiment is also provided with a plurality of tunabledielectric units 163 in the transmitting area TA. The tunabledielectric units 163 are overlapped with a plurality of the transmitting section 120ts of the plurality oftransmission lines 120 along the direction Z, and are arranged in a plurality of columns and a plurality of rows along the direction X and the direction Y, respectively. That is, the tunabledielectric units 163 may be arranged in an array in the transmitting area TA of the electromagneticwave transmission structure 30. Since the detailed composition of the tunabledielectric units 163 is similar to that of the tunabledielectric units 161 and the tunabledielectric units 162, detailed descriptions are omitted.
  • In the present embodiment, the plurality of tunabledielectric units 163 located in the transmitting area TA and overlapped with thesame transmission line 120 are disposed adjacent to each other. More specifically, there is no gap between the tunabledielectric units 163 arranged along the transmitting sections 120ts. Therefore, when the electromagnetic wave signal is transmitted on thetransmission line 120, the energy attenuation caused by the discontinuity of the surrounding dielectric layer may be avoided. Moreover, when the plurality of tunabledielectric units 163 on thesame transmission line 120 are driven, the effective dielectric constant of each of the controllable dielectric layers CDL thereof (as shown inFIG. 11) may be gradually changed from the direction of the receiving section 120rs to the emitting section 120es, such as: ramp up, ramp down, ramp down then ramp up, or ramp up then ramp down. In other words, the difference in dielectric constant between any two adjacent ones of the plurality of controllable dielectric layers CDL of the tunabledielectric units 163 is not too large, so as to avoid significant energy loss when the electromagnetic wave signal passes through.
  • For example, different voltages may be applied to a first electrode layer EL1-A of each of the tunabledielectric units 163 on thesame transmission line 120, so that the rotation degrees of the plurality of liquid-crystal molecules in the liquid-crystal layer serving as the controllable dielectric layer CDL are different, and the effective dielectric constant in the direction of the electric field of the electromagnetic wave signal generates an approximate continuous change. In particular, the effective dielectric constant is, for example, between the dielectric constantε⊥ and the dielectric constantε// of the liquid-crystal layer according to different applied voltages. It should be mentioned that, the approximate continuous change of the effective dielectric constant here means that the difference between the effective dielectric constants generated by any two adjacent tunabledielectric units 163 is very small, and the difference may depend on the number of the tunabledielectric units 163 on thesame transmission line 120. That is to say, if there are more tunabledielectric units 163 on thesame transmission line 120, the change of the effective dielectric constant on thetransmission line 120 is closer to the continuous change.
  • It should be mentioned that, by disposing the tunabledielectric units 163 ondifferent transmission lines 120, the phase difference between the electromagnetic wave signals transmitted on thedifferent transmission lines 120 may be adjusted, so that the two-dimensional antenna array of the present embodiment has the capability of modulating the electromagnetic wave receiving and emitting directions on the XZ plane and the YZ plane at the same time.
  • For example, the tunabledielectric units 163 are suitable for adjusting the phases of a plurality of electromagnetic wave signals transmitted in a plurality of transmitting sections 120ts of thetransmission lines 120, so that the electromagnetic wave signals are respectively transmitted to the emitting area EA with different delay times and radiated via a plurality of corresponding emittingantennas 140E. At this time, if the plurality of tunabledielectric units 161 in the emitting area EA are not enabled, the emitting direction of the electromagnetic wave may be modified on the YZ plane. Conversely, if the tunabledielectric units 161 are simultaneously enabled, the emitting direction of the electromagnetic wave may be modified on the YZ plane and the XZ plane at the same time.
  • Please refer toFIG. 10 andFIG. 11 at the same time, in the present embodiment, the first electrode layer EL1-A of the tunabledielectric units 160B has a bottom portion EL1bp parallel to thesubstrate 100 and a sidewall portion EL1sp extended from the bottom portion EL1bp in a bent manner, wherein a sidewall portion EL1sp surrounds the controllable dielectric layer CDL. More specifically, the controllable dielectric layer CDL of each of the tunabledielectric units 160B of the present embodiment is covered by the first electrode layer EL1-A. Therefore, it may be ensured that the driving of the controllable dielectric layer CDL of each of the tunabledielectric units 160B is not affected by the electrode of another tunabledielectric unit 160B.
  • However, the invention is not limited thereto. In another modified embodiment, each of the plurality of first electrode layers of the plurality of tunable dielectric units may have at least one notch, and the accommodating space configured to fill the liquid-crystal layer (i.e., the controllable dielectric layer CDL) between thesubstrate 100 and each of the plurality of first electrode layers of the plurality of tunable dielectric units may be communicated via the at least one notch. In other words, in the modified embodiment, the first electrode layers of the tunable dielectric units may be disposed in one continuously distributed liquid-crystal layer.
  • Further, in the present embodiment, the electromagneticwave transmission structure 30 may further include an insulating layer INS1 and an insulating layer INS2. The insulating layer INS1 is provided between the first electrode layer EL1-A and thetransmission line 120 so that the first electrode layer EL1-A and thetransmission line 120 are electrically separated from each other. The insulating layer INS2 is provided between any two adjacent first electrode layers EL1-A so that any two adjacent first electrode layers EL1-A are electrically separated from each other. Moreover, since the distance between the two adjacent first electrode layers EL1-A respectively on twotransmission lines 120 is farther in the present embodiment, the insulating layer INS2 may not be provided between two adjacent first electrode layers EL1-A arranged along the direction Y, but the invention is not limited thereto. In other embodiments, the insulating layer INS2 may also be disposed around the first electrode layer of each of the tunable dielectric units to insulate the adjacent first electrode layer of another tunable dielectric unit arranged in a different direction.
  • FIG. 12 is a schematic top view of an electromagnetic wave transmission structure of the fifth embodiment of the invention.FIG. 13A andFIG. 13B are schematic cross-sectional views of the tunable dielectric units ofFIG. 12 operated in different states.FIG. 13A andFIG. 13B correspond to section line E-E' ofFIG. 12. For the sake of clarity,FIG. 12 omits the illustration of the substrate SUB, the controllable dielectric layer CDL, and the spacer SP inFIG. 13A andFIG. 13B. Referring toFIG. 12 to FIG. 13B, the difference between an electromagneticwave transmission structure 10F of the present embodiment and the electromagneticwave transmission structure 10 ofFIG. 3A is that the configuration of the first electrode layer of the tunable dielectric units and the driving method of the liquid-crystal layer are different.
  • Specifically, in the present embodiment, a first electrode layer EL1-B of tunabledielectric units 160C includes a plurality of first strip electrodes SE1 and a plurality of second strip electrodes SE2. The first strip electrodes SE1 and the second strip electrodes SE2 are alternately arranged along the extending direction (e.g., the direction X) of the first extending portion 120P1 of thetransmission line 120, and are parallel to the second extending portions 120P2. In the present embodiment, thetransmission line 120 is not used as an electrode configured to drive the controllable dielectric layer CDL. Instead, the effective dielectric constant of the controllable dielectric layer CDL is changed by the electric field generated between any adjacent ones of the first strip electrodes SE1 and the second strip electrodes SE2.
  • For example, in the present embodiment, when the plurality of liquid-crystal molecules LCM of the liquid-crystal layer of the controllable dielectric layer CDL are not applied with an electric field, the arrangement direction (i.e., the alignment direction) thereof is substantially parallel to the extending direction of the second extending portions 120P2 (as shown inFIG. 13A). When the first electrode layer EL1-B is enabled, a lateral electric field substantially parallel to thesubstrate 100 is formed between the first strip electrodes SE1 and the second strip electrodes SE2. Since the liquid-crystal material adopted in the present embodiment is a positive liquid-crystal material (that is, the dielectric constantε// of the liquid-crystal molecules LCM in the long axis direction is greater than the dielectric constantε⊥ in the short axis direction), the long axis of the liquid-crystal molecules LCM tends to align along the direction of this transverse electric field (as shown inFIG. 13B). More specifically, the liquid-crystal layer of the present embodiment is operated in an in-plane switching (IPS) mode.
  • Different from the tunabledielectric units 160 ofFIG. 3A andFIG. 3B, when the tunabledielectric units 160C of the present embodiment are not enabled, the effective dielectric constant of the controllable dielectric layer CDL in the direction of the electric field of the electromagnetic wave signal is the smaller dielectric constant ε⊥, and therefore less phase shift is generated. Conversely, when the tunabledielectric units 160C are enabled, the effective dielectric constant of the controllable dielectric layer CDL in the direction of the electric field of the electromagnetic wave signal is the larger dielectric constant ε//, and therefore more phase shift is generated.
  • FIG. 14 is a schematic top view of an electromagnetic wave transmission structure of the sixth embodiment of the invention. Referring toFIG. 14, different from the electromagneticwave transmission structure 10 ofFIG. 1, a plurality of tunabledielectric units 160D of an electromagneticwave transmission structure 10G of the present embodiment, for example: a plurality of tunabledielectric units 161D located in the emitting area EA or/and a plurality of tunabledielectric units 162D located in the receiving area RA, are arranged adjacent to each other. For example, for thetunable dielectric units 160D between twoadjacent antennas 140, the boundaries of the two opposite sides in the arrangement direction of the twoantennas 140 may be respectively aligned with the geometric center C of each of the twoantennas 140.
  • That is, there is no gap between the plurality of tunabledielectric units 160D located in the receiving area RA or the emitting area EA. Therefore, when the electromagnetic wave signal is transmitted on the receiving section 120rs or the emitting section 120es of thetransmission line 120, energy attenuation due to the discontinuity of the surrounding dielectric layer may be avoided.
  • Based on the above, in the electromagnetic wave transmission structure of an embodiment of the invention, a plurality of antennas are provided adjacent to the transmission line, and a plurality of tunable dielectric units are provided at a plurality of portions of the transmission line between the antennas. The phase of the electromagnetic wave signal may be changed by electronically modulating the effective dielectric constant of the controllable dielectric layer overlapped with the transmission line in the tunable dielectric units, thereby modulating the electromagnetic wave emitting and receiving directions of the antennas.

Claims (14)

  1. An electromagnetic wave transmission structure (10, 10A, 10B, 10C, 10D, 10E, 10F, 10G, 20, 30), comprising:
    a substrate (100, SUB);
    at least one transmission line (120, 120A, 121, 122, 123, 124) disposed on the substrate (100, SUB), wherein each of the at least one transmission line (120, 120A, 121, 122, 123, 124) comprises:
    a first extending portion (120P1) extended in a first direction; and
    a plurality of second extending portions (120P2, 120P2-A) respectively extended from two opposite edges (e1, e2) of the first extending portion (120P1), wherein an extending direction of the second extending portions is parallel to a second direction, the second extending portions (120P2, 120P2-A) are arranged at a pitch P along the first direction, any two adjacent ones of the second extending portions (120P2, 120P2-A) arranged along the first direction have a spacing S, and each of the second extending portions (120P2, 120P2-A) has a length L along the second direction;
    a plurality of antennas (140, 140A, 140B, 140D) disposed on the substrate (100, SUB) and adjacent to the at least one transmission line (120, 120A, 121, 122, 123, 124); and
    a plurality of tunable dielectric units (160, 160A, 160B, 160C, 160D, 161, 162, 163) overlapped at a plurality of portions of the at least one transmission line (120, 120A, 121, 122, 123, 124) located between the antennas (140, 140A, 140B, 140D), wherein each of the tunable dielectric units (160, 160A, 160B, 160C, 160D, 161, 162, 163) has a first electrode layer (EL1, EL1-A, EL1-B) and a controllable dielectric layer (CDL) overlapped with each other, the controllable dielectric layer (CDL) is disposed between the first electrode layer (EL1, EL1-A, EL1-B) and the at least one transmission line (120, 120A, 121, 122, 123, 124), and the pitch P, the spacing S, and the length L satisfy the following relationship:SP2=ckssppωεr21cot22Lεrωc,
    Figure imgb0003
    wherein ksspp is a wavenumber of an electromagnetic wave signal transmitted via the at least one transmission line (120, 120A, 121, 122, 123, 124), εr is an effective dielectric constant of the controllable dielectric layer (CDL),ω is an angular frequency of the electromagnetic wave signal transmitted via the at least one transmission line (120, 120A, 121, 122, 123, 124), and c is a speed of light.
  2. The electromagnetic wave transmission structure (10, 10A, 10B, 10C, 10D, 10E, 10F, 10G, 20, 30) of claim 1, wherein each of the at least one transmission line (120, 120A, 121, 122, 123, 124) has a transmitting section (120ts), a receiving section (120rs), and an emitting section (120es), the transmitting section (120ts) is connected between the receiving section (120rs) and the emitting section (120es), the tunable dielectric units (160, 160A, 160B, 160C, 160D, 161, 162, 163) comprise a plurality of first tunable dielectric units overlapped with one of the emitting section (120es) and the receiving section (120rs), and the antennas (140, 140A, 140B, 140D) and the first tunable dielectric units adjacent to the one of the emitting section (120es) and the receiving section (120rs) are alternately arranged along an extending direction of the at least one transmission line (120, 120A, 121, 122, 123, 124).
  3. The electromagnetic wave transmission structure (10, 10A, 10B, 10C, 10D, 10E, 10F, 10G, 20, 30) of claim 2, wherein the tunable dielectric units (160, 160A, 160B, 160C, 160D, 161, 162, 163) further comprise a plurality of second tunable dielectric units overlapped with another of the emitting section (120es) and the receiving section (120rs), and another portion of the antennas (140, 140A, 140B, 140D) and the second tunable dielectric units adjacent to the other of the emitting section (120es) and the receiving section (120rs) are alternately arranged along the extending direction.
  4. The electromagnetic wave transmission structure (10, 10A, 10B, 10C, 10D, 10E, 10F, 10G, 20, 30) of claim 3, wherein the at least one transmission line (120, 120A, 121, 122, 123, 124) is a plurality of transmission lines (120, 120A, 121, 122, 123, 124) extended in the first direction, the transmission lines (120, 120A, 121, 122, 123, 124) are arranged along the second direction, the antennas (140, 140A, 140B, 140D) are respectively adjacent to a plurality of the receiving section (120rs) and a plurality of the emitting section (120es) of the transmission lines (120, 120A, 121, 122, 123, 124), the tunable dielectric units (160, 160A, 160B, 160C, 160D, 161, 162, 163) further comprise a plurality of third tunable dielectric units overlapped with a plurality of the transmitting section (120ts) of the transmission lines (120, 120A, 121, 122, 123, 124), and the third tunable dielectric units are arranged in a plurality of columns and a plurality of rows along the first direction and the second direction, respectively.
  5. The electromagnetic wave transmission structure (10, 10A, 10B, 10C, 10D, 10E, 10F, 10G, 20, 30) of claim 4, wherein the first electrode layer (EL1, EL1-A, EL1-B) of each of the tunable dielectric units (160, 160A, 160B, 160C, 160D, 161, 162, 163) has a bottom portion (EL1bp) parallel to the substrate (100, SUB) and a sidewall portion (EL 1 sp) extended from the bottom portion (EL1bp) in a bent manner, the sidewall portion (EL1sp) surrounds the controllable dielectric layer (CDL), and the first electrode layer (EL1, EL1-A, EL1-B) and the at least one transmission line (120, 120A, 121, 122, 123, 124) are suitable for generating an electric field configured to change an effective dielectric constant of the controllable dielectric layer (CDL).
  6. The electromagnetic wave transmission structure (10, 10A, 10B, 10C, 10D, 10E, 10F, 10G, 20, 30) of claim 5, wherein an insulating layer (INS1, INS2) is provided between the two sidewall portions (EL 1 sp) of any two adjacent ones of the first electrode layers (EL1, EL1-A, EL1-B) of the third tunable dielectric units arranged along the first direction.
  7. The electromagnetic wave transmission structure (10, 10A, 10B, 10C, 10D, 10E, 10F, 10G, 20, 30) of claim 1, wherein each of the at least one transmission line (120, 120A, 121, 122, 123, 124) has a transmitting section (120ts), a receiving section (120rs), and an emitting section (120es), the transmitting section (120ts) is connected between the receiving section (120rs) and the emitting section (120es), the at least one transmission line (120, 120A, 121, 122, 123, 124) is a plurality of transmission lines (120, 120A, 121, 122, 123, 124) extended in the first direction, the transmission lines (120, 120A, 121, 122, 123, 124) are arranged along the second direction, the antennas (140, 140A, 140B, 140D) are respectively adjacent to a plurality of the receiving section (120rs) and a plurality of the emitting section (120es) of the transmission lines (120, 120A, 121, 122, 123, 124), and at least a portion of the tunable dielectric units (160, 160A, 160B, 160C, 160D, 161, 162, 163) is overlapped with a plurality of the transmitting section (120ts) of the transmission lines (120, 120A, 121, 122, 123, 124) and arranged in a plurality of columns and a plurality of rows along the first direction and the second direction, respectively.
  8. The electromagnetic wave transmission structure (10, 10A, 10B, 10C, 10D, 10E, 10F, 10G, 20, 30) of claim 1, wherein the first electrode layer (EL1, EL1-A, EL1-B) of each of the tunable dielectric units (160, 160A, 160B, 160C, 160D, 161, 162, 163) has a bottom portion (EL1bp) parallel to the substrate (100, SUB) and a sidewall portion (EL 1 sp) extended from the bottom portion (EL1bp) in a bent manner, the sidewall portion (EL1sp) surrounds the controllable dielectric layer (CDL), and the first electrode layer (EL1, EL1-A, EL1-B) and the at least one transmission line (120, 120A, 121, 122, 123, 124) are suitable for generating an electric field configured to change an effective dielectric constant of the controllable dielectric layer (CDL).
  9. The electromagnetic wave transmission structure (10, 10A, 10B, 10C, 10D, 10E, 10F, 10G, 20, 30) of claim 1, wherein the at least one transmission line (120, 120A, 121, 122, 123, 124) is one transmission line (120, 120A, 121, 122, 123, 124), a distance (d) between each of the antennas (140, 140A, 140B, 140D) and the transmission line (120, 120A, 121, 122, 123, 124) is the same, the antennas (140, 140A, 140B, 140D) are arranged along an extending direction of the transmission line (120, 120A, 121, 122, 123, 124) and have a symmetry axis (SA), and a diameter of each of the antennas (140, 140A, 140B, 140D) is decreased or increased away from the symmetry axis (SA).
  10. The electromagnetic wave transmission structure (10, 10A, 10B, 10C, 10D, 10E, 10F, 10G, 20, 30) of claim 1, wherein the at least one transmission line (120, 120A, 121, 122, 123, 124) is one transmission line (120, 120A, 121, 122, 123, 124), a geometric center (C) of each of the antennas (140, 140A, 140B, 140D) is a same distance (d) from the transmission line (120, 120A, 121, 122, 123, 124), the antennas (140, 140A, 140B, 140D) are arranged along an extending direction of the transmission line (120, 120A, 121, 122, 123, 124) and have a symmetry axis (SA), and a diameter of each of the antennas (140, 140A, 140B, 140D) is decreased or increased away from the symmetry axis (SA).
  11. The electromagnetic wave transmission structure (10, 10A, 10B, 10C, 10D, 10E, 10F, 10G, 20, 30) of claim 1, wherein the at least one transmission line (120, 120A, 121, 122, 123, 124) is one transmission line (120, 120A, 121, 122, 123, 124), each of the antennas (140, 140A, 140B, 140D) has a same diameter, the antennas (140, 140A, 140B, 140D) are arranged along an extending direction of the transmission line (120, 120A, 121, 122, 123, 124) and have a symmetry axis (SA), and a spacing (s1, s2) between each of the antennas (140, 140A, 140B, 140D) and the transmission line (120, 120A, 121, 122, 123, 124) is increased away from the symmetry axis (SA).
  12. The electromagnetic wave transmission structure (10, 10A, 10B, 10C, 10D, 10E, 10F, 10G, 20, 30) of claim 1, wherein each of the tunable dielectric units (160, 160A, 160B, 160C, 160D, 161, 162, 163) further comprises:
    a second electrode layer (EL2) disposed on a side surface (100s) of the substrate (100, SUB) faced away from the at least one transmission line (120, 120A, 121, 122, 123, 124) and overlapped with the controllable dielectric layer (CDL), wherein the first electrode layer (EL1, EL1-A, EL1-B) and the second electrode layer (EL2) are suitable for generating an electric field configured to change an effective dielectric constant of the controllable dielectric layer (CDL).
  13. The electromagnetic wave transmission structure (10, 10A, 10B, 10C, 10D, 10E, 10F, 10G, 20, 30) of claim 1, wherein the controllable dielectric layer (CDL) is a liquid-crystal layer.
  14. The electromagnetic wave transmission structure (10, 10A, 10B, 10C, 10D, 10E, 10F, 10G, 20, 30) of claim 1, wherein the first electrode layer (EL1, EL1-A, EL1-B) comprises a plurality of first strip electrodes (SE1) and a plurality of second strip electrodes (SE2), the first strip electrodes (SE1) and the second strip electrodes (SE2) are alternately arranged along the first direction and parallel to the second extending portions (120P2, 120P2-A), and any adjacent ones of the first strip electrodes (SE1) and the second strip electrodes (SE2) are suitable for generating an electric field configured to change an effective dielectric constant of the controllable dielectric layer (CDL).
EP22152928.2A2021-09-072022-01-24Electromagnetic wave transmission structureActiveEP4145636B1 (en)

Applications Claiming Priority (3)

Application NumberPriority DateFiling DateTitle
US202163241503P2021-09-072021-09-07
US202163254537P2021-10-122021-10-12
TW110148503ATWI788156B (en)2021-09-072021-12-23Electromagnetic wave transmission structure

Publications (2)

Publication NumberPublication Date
EP4145636A1 EP4145636A1 (en)2023-03-08
EP4145636B1true EP4145636B1 (en)2024-03-06

Family

ID=80001436

Family Applications (1)

Application NumberTitlePriority DateFiling Date
EP22152928.2AActiveEP4145636B1 (en)2021-09-072022-01-24Electromagnetic wave transmission structure

Country Status (3)

CountryLink
EP (1)EP4145636B1 (en)
JP (1)JP7371184B2 (en)
CN (1)CN115775961B (en)

Families Citing this family (1)

* Cited by examiner, † Cited by third party
Publication numberPriority datePublication dateAssigneeTitle
EP4513681A1 (en)*2023-08-242025-02-26TMY Technology Inc.Antenna unit, antenna array, and operating method of antenna array

Family Cites Families (11)

* Cited by examiner, † Cited by third party
Publication numberPriority datePublication dateAssigneeTitle
GB0110298D0 (en)*2001-04-262001-06-20Plasma Antennas LtdApparatus for providing a controllable signal delay along a transmission line
DE10351506A1 (en)*2003-11-052005-06-02Robert Bosch Gmbh Device and method for phase shifting
US7466269B2 (en)*2006-05-242008-12-16Wavebender, Inc.Variable dielectric constant-based antenna and array
US8547280B2 (en)*2010-07-142013-10-01Raytheon CompanySystems and methods for exciting long slot radiators of an RF antenna
CN105552544A (en)*2016-01-222016-05-04东南大学End-fire type artificial surface plasmon antenna
CN208655852U (en)*2018-05-212019-03-26京东方科技集团股份有限公司 A phase shifter, antenna and communication equipment
US10862182B2 (en)*2018-08-062020-12-08Alcan Systems GmbhRF phase shifter comprising a differential transmission line having overlapping sections with tunable dielectric material for phase shifting signals
CN110824735B (en)*2018-08-102025-04-22京东方科技集团股份有限公司 Liquid crystal phase shifter and liquid crystal antenna
CN110085989A (en)*2019-05-052019-08-02南京邮电大学A kind of Yagi spark gap leaky-wave antenna based on artificial surface phasmon
EP3745526A1 (en)*2019-05-282020-12-02ALCAN Systems GmbHRadio frequency phase shift device
CN110197939B (en)*2019-06-032024-04-19北京华镁钛科技有限公司Metamaterial adjustable capacitor structure

Also Published As

Publication numberPublication date
EP4145636A1 (en)2023-03-08
JP7371184B2 (en)2023-10-30
CN115775961B (en)2025-07-18
JP2023038918A (en)2023-03-17
CN115775961A (en)2023-03-10

Similar Documents

PublicationPublication DateTitle
EP3736911B1 (en)Phased-array antenna, display panel, and display device
EP3656020B1 (en)Variable dielectric constant antenna having split ground electrode
US11196134B2 (en)Phase shifter including a dielectric layer having liquid crystal molecules configured to be rotated so as to cause phase shift
KR102368374B1 (en) Liquid crystal phase shifter, operating method thereof, liquid crystal antenna, and communication device
EP2020051B1 (en)Variable dielectric constant-based antenna and array
US11837802B2 (en)Liquid crystal antenna unit and liquid crystal phased array antenna
EP4016733B1 (en)Feed structure, microwave radio-frequency device and antenna
RU2590937C2 (en)Surface scattering antennae
CN101454941B (en) Antennas and Arrays Based on Variable Permittivity
CN111682317A (en) A liquid crystal-based two-dimensional beam scanning holographic leaky-wave antenna
US20210013622A1 (en)Directional coupler feed for flat panel antennas
US20210367336A1 (en)Feeding structure, microwave radio frequency device and antenna
US11018439B2 (en)Scanned antenna and liquid crystal device
JP2007295044A (en) Phased array antenna
TW202118136A (en)Ground plane heater
US20240235020A1 (en)Antenna, manufacturing method, driving method, and antenna system
US20240243484A1 (en)Reflect array
EP4145636B1 (en)Electromagnetic wave transmission structure
KR102804368B1 (en) Non-circular center-fed antenna and method for using same
WO2023140243A1 (en)Reflectarray
US20250015508A1 (en)Reflect array
US20250007165A1 (en)Antenna and formation method thereof, and antenna group
US12034222B2 (en)Electromagnetic wave transmission structure
TWI788156B (en)Electromagnetic wave transmission structure
US20250004322A1 (en)Reflecting device having liquid crystal material

Legal Events

DateCodeTitleDescription
PUAIPublic reference made under article 153(3) epc to a published international application that has entered the european phase

Free format text:ORIGINAL CODE: 0009012

STAAInformation on the status of an ep patent application or granted ep patent

Free format text:STATUS: REQUEST FOR EXAMINATION WAS MADE

17PRequest for examination filed

Effective date:20220124

AKDesignated contracting states

Kind code of ref document:A1

Designated state(s):AL AT BE BG CH CY CZ DE DK EE ES FI FR GB GR HR HU IE IS IT LI LT LU LV MC MK MT NL NO PL PT RO RS SE SI SK SM TR

GRAPDespatch of communication of intention to grant a patent

Free format text:ORIGINAL CODE: EPIDOSNIGR1

STAAInformation on the status of an ep patent application or granted ep patent

Free format text:STATUS: GRANT OF PATENT IS INTENDED

INTGIntention to grant announced

Effective date:20231011

GRASGrant fee paid

Free format text:ORIGINAL CODE: EPIDOSNIGR3

GRAA(expected) grant

Free format text:ORIGINAL CODE: 0009210

STAAInformation on the status of an ep patent application or granted ep patent

Free format text:STATUS: THE PATENT HAS BEEN GRANTED

AKDesignated contracting states

Kind code of ref document:B1

Designated state(s):AL AT BE BG CH CY CZ DE DK EE ES FI FR GB GR HR HU IE IS IT LI LT LU LV MC MK MT NL NO PL PT RO RS SE SI SK SM TR

REGReference to a national code

Ref country code:CH

Ref legal event code:EP

REGReference to a national code

Ref country code:IE

Ref legal event code:FG4D

REGReference to a national code

Ref country code:DE

Ref legal event code:R096

Ref document number:602022002181

Country of ref document:DE

REGReference to a national code

Ref country code:NL

Ref legal event code:FP

REGReference to a national code

Ref country code:LT

Ref legal event code:MG9D

PG25Lapsed in a contracting state [announced via postgrant information from national office to epo]

Ref country code:LT

Free format text:LAPSE BECAUSE OF FAILURE TO SUBMIT A TRANSLATION OF THE DESCRIPTION OR TO PAY THE FEE WITHIN THE PRESCRIBED TIME-LIMIT

Effective date:20240306

PG25Lapsed in a contracting state [announced via postgrant information from national office to epo]

Ref country code:GR

Free format text:LAPSE BECAUSE OF FAILURE TO SUBMIT A TRANSLATION OF THE DESCRIPTION OR TO PAY THE FEE WITHIN THE PRESCRIBED TIME-LIMIT

Effective date:20240607

PG25Lapsed in a contracting state [announced via postgrant information from national office to epo]

Ref country code:HR

Free format text:LAPSE BECAUSE OF FAILURE TO SUBMIT A TRANSLATION OF THE DESCRIPTION OR TO PAY THE FEE WITHIN THE PRESCRIBED TIME-LIMIT

Effective date:20240306

Ref country code:RS

Free format text:LAPSE BECAUSE OF FAILURE TO SUBMIT A TRANSLATION OF THE DESCRIPTION OR TO PAY THE FEE WITHIN THE PRESCRIBED TIME-LIMIT

Effective date:20240606

PG25Lapsed in a contracting state [announced via postgrant information from national office to epo]

Ref country code:ES

Free format text:LAPSE BECAUSE OF FAILURE TO SUBMIT A TRANSLATION OF THE DESCRIPTION OR TO PAY THE FEE WITHIN THE PRESCRIBED TIME-LIMIT

Effective date:20240306

PG25Lapsed in a contracting state [announced via postgrant information from national office to epo]

Ref country code:RS

Free format text:LAPSE BECAUSE OF FAILURE TO SUBMIT A TRANSLATION OF THE DESCRIPTION OR TO PAY THE FEE WITHIN THE PRESCRIBED TIME-LIMIT

Effective date:20240606

Ref country code:NO

Free format text:LAPSE BECAUSE OF FAILURE TO SUBMIT A TRANSLATION OF THE DESCRIPTION OR TO PAY THE FEE WITHIN THE PRESCRIBED TIME-LIMIT

Effective date:20240606

Ref country code:LT

Free format text:LAPSE BECAUSE OF FAILURE TO SUBMIT A TRANSLATION OF THE DESCRIPTION OR TO PAY THE FEE WITHIN THE PRESCRIBED TIME-LIMIT

Effective date:20240306

Ref country code:HR

Free format text:LAPSE BECAUSE OF FAILURE TO SUBMIT A TRANSLATION OF THE DESCRIPTION OR TO PAY THE FEE WITHIN THE PRESCRIBED TIME-LIMIT

Effective date:20240306

Ref country code:GR

Free format text:LAPSE BECAUSE OF FAILURE TO SUBMIT A TRANSLATION OF THE DESCRIPTION OR TO PAY THE FEE WITHIN THE PRESCRIBED TIME-LIMIT

Effective date:20240607

Ref country code:FI

Free format text:LAPSE BECAUSE OF FAILURE TO SUBMIT A TRANSLATION OF THE DESCRIPTION OR TO PAY THE FEE WITHIN THE PRESCRIBED TIME-LIMIT

Effective date:20240306

Ref country code:ES

Free format text:LAPSE BECAUSE OF FAILURE TO SUBMIT A TRANSLATION OF THE DESCRIPTION OR TO PAY THE FEE WITHIN THE PRESCRIBED TIME-LIMIT

Effective date:20240306

Ref country code:BG

Free format text:LAPSE BECAUSE OF FAILURE TO SUBMIT A TRANSLATION OF THE DESCRIPTION OR TO PAY THE FEE WITHIN THE PRESCRIBED TIME-LIMIT

Effective date:20240306

PG25Lapsed in a contracting state [announced via postgrant information from national office to epo]

Ref country code:SE

Free format text:LAPSE BECAUSE OF FAILURE TO SUBMIT A TRANSLATION OF THE DESCRIPTION OR TO PAY THE FEE WITHIN THE PRESCRIBED TIME-LIMIT

Effective date:20240306

Ref country code:LV

Free format text:LAPSE BECAUSE OF FAILURE TO SUBMIT A TRANSLATION OF THE DESCRIPTION OR TO PAY THE FEE WITHIN THE PRESCRIBED TIME-LIMIT

Effective date:20240306

PG25Lapsed in a contracting state [announced via postgrant information from national office to epo]

Ref country code:IS

Free format text:LAPSE BECAUSE OF FAILURE TO SUBMIT A TRANSLATION OF THE DESCRIPTION OR TO PAY THE FEE WITHIN THE PRESCRIBED TIME-LIMIT

Effective date:20240706

PG25Lapsed in a contracting state [announced via postgrant information from national office to epo]

Ref country code:PT

Free format text:LAPSE BECAUSE OF FAILURE TO SUBMIT A TRANSLATION OF THE DESCRIPTION OR TO PAY THE FEE WITHIN THE PRESCRIBED TIME-LIMIT

Effective date:20240708

Ref country code:SM

Free format text:LAPSE BECAUSE OF FAILURE TO SUBMIT A TRANSLATION OF THE DESCRIPTION OR TO PAY THE FEE WITHIN THE PRESCRIBED TIME-LIMIT

Effective date:20240306

PG25Lapsed in a contracting state [announced via postgrant information from national office to epo]

Ref country code:CZ

Free format text:LAPSE BECAUSE OF FAILURE TO SUBMIT A TRANSLATION OF THE DESCRIPTION OR TO PAY THE FEE WITHIN THE PRESCRIBED TIME-LIMIT

Effective date:20240306

Ref country code:EE

Free format text:LAPSE BECAUSE OF FAILURE TO SUBMIT A TRANSLATION OF THE DESCRIPTION OR TO PAY THE FEE WITHIN THE PRESCRIBED TIME-LIMIT

Effective date:20240306

PG25Lapsed in a contracting state [announced via postgrant information from national office to epo]

Ref country code:PL

Free format text:LAPSE BECAUSE OF FAILURE TO SUBMIT A TRANSLATION OF THE DESCRIPTION OR TO PAY THE FEE WITHIN THE PRESCRIBED TIME-LIMIT

Effective date:20240306

PG25Lapsed in a contracting state [announced via postgrant information from national office to epo]

Ref country code:SK

Free format text:LAPSE BECAUSE OF FAILURE TO SUBMIT A TRANSLATION OF THE DESCRIPTION OR TO PAY THE FEE WITHIN THE PRESCRIBED TIME-LIMIT

Effective date:20240306

PG25Lapsed in a contracting state [announced via postgrant information from national office to epo]

Ref country code:SM

Free format text:LAPSE BECAUSE OF FAILURE TO SUBMIT A TRANSLATION OF THE DESCRIPTION OR TO PAY THE FEE WITHIN THE PRESCRIBED TIME-LIMIT

Effective date:20240306

Ref country code:SK

Free format text:LAPSE BECAUSE OF FAILURE TO SUBMIT A TRANSLATION OF THE DESCRIPTION OR TO PAY THE FEE WITHIN THE PRESCRIBED TIME-LIMIT

Effective date:20240306

Ref country code:RO

Free format text:LAPSE BECAUSE OF FAILURE TO SUBMIT A TRANSLATION OF THE DESCRIPTION OR TO PAY THE FEE WITHIN THE PRESCRIBED TIME-LIMIT

Effective date:20240306

Ref country code:PT

Free format text:LAPSE BECAUSE OF FAILURE TO SUBMIT A TRANSLATION OF THE DESCRIPTION OR TO PAY THE FEE WITHIN THE PRESCRIBED TIME-LIMIT

Effective date:20240708

Ref country code:PL

Free format text:LAPSE BECAUSE OF FAILURE TO SUBMIT A TRANSLATION OF THE DESCRIPTION OR TO PAY THE FEE WITHIN THE PRESCRIBED TIME-LIMIT

Effective date:20240306

Ref country code:IS

Free format text:LAPSE BECAUSE OF FAILURE TO SUBMIT A TRANSLATION OF THE DESCRIPTION OR TO PAY THE FEE WITHIN THE PRESCRIBED TIME-LIMIT

Effective date:20240706

Ref country code:EE

Free format text:LAPSE BECAUSE OF FAILURE TO SUBMIT A TRANSLATION OF THE DESCRIPTION OR TO PAY THE FEE WITHIN THE PRESCRIBED TIME-LIMIT

Effective date:20240306

Ref country code:CZ

Free format text:LAPSE BECAUSE OF FAILURE TO SUBMIT A TRANSLATION OF THE DESCRIPTION OR TO PAY THE FEE WITHIN THE PRESCRIBED TIME-LIMIT

Effective date:20240306

PG25Lapsed in a contracting state [announced via postgrant information from national office to epo]

Ref country code:IT

Free format text:LAPSE BECAUSE OF FAILURE TO SUBMIT A TRANSLATION OF THE DESCRIPTION OR TO PAY THE FEE WITHIN THE PRESCRIBED TIME-LIMIT

Effective date:20240306

REGReference to a national code

Ref country code:DE

Ref legal event code:R097

Ref document number:602022002181

Country of ref document:DE

PG25Lapsed in a contracting state [announced via postgrant information from national office to epo]

Ref country code:IT

Free format text:LAPSE BECAUSE OF FAILURE TO SUBMIT A TRANSLATION OF THE DESCRIPTION OR TO PAY THE FEE WITHIN THE PRESCRIBED TIME-LIMIT

Effective date:20240306

PLBENo opposition filed within time limit

Free format text:ORIGINAL CODE: 0009261

STAAInformation on the status of an ep patent application or granted ep patent

Free format text:STATUS: NO OPPOSITION FILED WITHIN TIME LIMIT

PG25Lapsed in a contracting state [announced via postgrant information from national office to epo]

Ref country code:DK

Free format text:LAPSE BECAUSE OF FAILURE TO SUBMIT A TRANSLATION OF THE DESCRIPTION OR TO PAY THE FEE WITHIN THE PRESCRIBED TIME-LIMIT

Effective date:20240306

PG25Lapsed in a contracting state [announced via postgrant information from national office to epo]

Ref country code:DK

Free format text:LAPSE BECAUSE OF FAILURE TO SUBMIT A TRANSLATION OF THE DESCRIPTION OR TO PAY THE FEE WITHIN THE PRESCRIBED TIME-LIMIT

Effective date:20240306

26NNo opposition filed

Effective date:20241209

PGFPAnnual fee paid to national office [announced via postgrant information from national office to epo]

Ref country code:NL

Payment date:20250110

Year of fee payment:4

REGReference to a national code

Ref country code:AT

Ref legal event code:UEP

Ref document number:1664461

Country of ref document:AT

Kind code of ref document:T

Effective date:20240306

PGFPAnnual fee paid to national office [announced via postgrant information from national office to epo]

Ref country code:DE

Payment date:20250128

Year of fee payment:4

PGFPAnnual fee paid to national office [announced via postgrant information from national office to epo]

Ref country code:IE

Payment date:20250102

Year of fee payment:4

PG25Lapsed in a contracting state [announced via postgrant information from national office to epo]

Ref country code:SI

Free format text:LAPSE BECAUSE OF FAILURE TO SUBMIT A TRANSLATION OF THE DESCRIPTION OR TO PAY THE FEE WITHIN THE PRESCRIBED TIME-LIMIT

Effective date:20240306

PGFPAnnual fee paid to national office [announced via postgrant information from national office to epo]

Ref country code:AT

Payment date:20250417

Year of fee payment:4

Ref country code:CH

Payment date:20250201

Year of fee payment:4

PG25Lapsed in a contracting state [announced via postgrant information from national office to epo]

Ref country code:MC

Free format text:LAPSE BECAUSE OF FAILURE TO SUBMIT A TRANSLATION OF THE DESCRIPTION OR TO PAY THE FEE WITHIN THE PRESCRIBED TIME-LIMIT

Effective date:20240306

Ref country code:LU

Free format text:LAPSE BECAUSE OF NON-PAYMENT OF DUE FEES

Effective date:20250124


[8]ページ先頭

©2009-2025 Movatter.jp