Movatterモバイル変換


[0]ホーム

URL:


EP4039809A1 - Compositions and methods for inhibition of hao1 (hydroxyacid oxidase 1 (glycolate oxidase)) gene expression - Google Patents

Compositions and methods for inhibition of hao1 (hydroxyacid oxidase 1 (glycolate oxidase)) gene expression
Download PDF

Info

Publication number
EP4039809A1
EP4039809A1EP21212946.4AEP21212946AEP4039809A1EP 4039809 A1EP4039809 A1EP 4039809A1EP 21212946 AEP21212946 AEP 21212946AEP 4039809 A1EP4039809 A1EP 4039809A1
Authority
EP
European Patent Office
Prior art keywords
rnai agent
nucleotides
nucleotide
hao1
double stranded
Prior art date
Legal status (The legal status is an assumption and is not a legal conclusion. Google has not performed a legal analysis and makes no representation as to the accuracy of the status listed.)
Pending
Application number
EP21212946.4A
Other languages
German (de)
French (fr)
Inventor
William Querbes
Kevin Fitzgerald
Brian Bettencourt
Abigail LIEBOW
David V. Erbe
Current Assignee (The listed assignees may be inaccurate. Google has not performed a legal analysis and makes no representation or warranty as to the accuracy of the list.)
Alnylam Pharmaceuticals Inc
Original Assignee
Alnylam Pharmaceuticals Inc
Priority date (The priority date is an assumption and is not a legal conclusion. Google has not performed a legal analysis and makes no representation as to the accuracy of the date listed.)
Filing date
Publication date
Application filed by Alnylam Pharmaceuticals IncfiledCriticalAlnylam Pharmaceuticals Inc
Publication of EP4039809A1publicationCriticalpatent/EP4039809A1/en
Pendinglegal-statusCriticalCurrent

Links

Images

Classifications

Definitions

Landscapes

Abstract

The invention relates to RNAi agents, e.g. double-stranded RNAi agents, targeting the HAO1 gene, and methods of using such RNAi agents to inhibit expression of HAO1 and methods of treating subjects having, e.g., PH1. Described herein are double-stranded RNAi agents which inhibit the expression of a HAO1 gene in a cell, such as a cell within a subject, e.g., a mammal, such as a human having a HAO1 associated disorder, and uses of such double-stranded RNAi agents. In certain aspects of the invention, substantially all of the nucleotides of an iRNA of the invention are modified.

Description

    Cross Reference to Related Applications
  • This application claims the benefit ofU.S. Provisional Application No. 62/062,751, filed October 10, 2014, andU.S. Provisional Application No. 62/147,976, filed April 15, 2015, andU.S. Provisional Application No. 62/214,602, filed September 4, 2015, each of which is hereby incorporated in its entirety by reference.
  • Sequence Listing
  • The instant application contains a Sequence Listing which has been submitted electronically in ASCII format and is hereby incorporated by reference in its entirety. Said ASCII copy, created on October 8, 2015, is named 30864PCT_CRF_sequencelisting. txt and is 735,705 bytes in size.
  • Background of the Invention
  • Primary Hyperoxaluria Type 1 (PH1) is an autosomal recessive disorder of glyoxylate metabolism. Hepatic glyoxylate detoxification is impaired due to mutation of the AGXT gene, which encodes the liver peroxisomal alanine-glyoxylate aminotransferase (AGT) enzyme. AGT1 is the final enzyme in the metabolic breakdown of hydroxyproline. Loss of AGT function to convert the intermediate metabolite glyoxylate to glycine causes accumulation and reduction of glyoxylate to glycolate which is oxidized to oxalate by the enzyme glycolate oxidase (GO), also known as hydroxyacid oxidase (HAO1).
  • Regulation of glyoxylate, the key precursor of oxalate, occurs at multiple cellular sites including the mitochondria, peroxisome and the cytosol. Excess oxalate in PH1 patients is unable to be fully excreted by the kidneys leading to the formation and deposition of calcium oxalate crystals in the kidneys and urinary tract. Renal damage is caused by a combination of tubular toxicity from oxalate, nephrocalcinosis and renal obstruction by stones. Greater than 30% of patients advance to end stage renal disease (ESRD).
  • The HAO1 gene encodes theenzyme Hydroxyacid Oxidase 1, also known as Glycolate Oxidase ("GO"). The HAO1 protein is expressed primarily in the liver and is a 2-hydroxyacid oxidase most active on glycolate.
  • In a mouse model of PHI, where the AGT1 gene is deleted, urine oxalate levels are reduced when the HAO1 gene is deleted.
  • PH1, AGXT, and HAO1 are described in the following:Angel L. Pey, Armando Albert, and Eduardo Salido, "Protein Homeostasis Defects of Alanine-Glyoxylate Aminotransferase: New Therapeutic Strategies in Primary Hyperoxaluria Type I," BioMed Research International, vol. 2013, Article ID 687658, 15 pages, 2013. doi:10.1155/2013/687658;Cochat and Rumsby (2013) NEJM 369:7;Salido et al (2006) PNAS 103:18249;Baker et al (2004) American Journal of Physiology - Heart and Circulatory Physiology Published 1 October 2004Vol. 287no. 4, H1771-H1779DOI: 10.1152/ajpheart.00234.2004.
  • Summary of the Invention
  • The present invention provides compositions comprising RNAi agents,e.g., double-stranded iRNA agents, targeting HAO1. The present invention also provides methods using the compositions of the invention for inhibiting HAO1 expression and for treating HAO1 associated disorders,e.g., PH1.
  • Brief Description of the Drawings
    • Figure 1 shows the nucleotide sequence ofHomo sapiens HAO1 mRNA (SEQ ID NO:1).
    • Figure 2 shows the nucleotide sequence ofMus musculus HAO1 mRNA (SEQ ID NO:2).
    • Figure 3A is a graph with the results of in vitro screening of GO (HAO) GalNac-siRNA conjugates in primary cynomologous monkey hepatocytes.
    • Figure 3B is a graph with the dose response curve of a GO (HAO) GalNac-siRNA conjugate in primary cynomologous monkey hepatocytes.
    • Figure 4A is a graph with the results of in vivo evaluation of GO (HAO) GalNac-siRNA conjugates in C57B6 mice after a single dose.
    • Figure 4B is a graph with the results of in vivo evaluation of GO (HAO) GalNac-siRNA conjugates in C57B6 mice after a repeat dose.
    • Figure 5A is a graph showing urinary oxalate levels in AGXT knock out (KO) mice after treatment with GO (HAO) GalNac-siRNA conjugates.
    • Figure 5B is a graph showing urinary glycolate levels in AGXT KO mice after treatment with GO (HAO) GalNac-siRNA conjugates.
    • Figure 6A is a graph showing AGXT mRNA levels in a rat model ofPH1 72 hours after a single dose of an AGXT siRNA.
    • Figure 6B is a graph showing urinary oxalate levels in a rat model ofPH1 72 hours after treatment with a GO (HAO) GalNac-siRNA conjugate.
    • Figure 6C is a graph showing urinary oxalate levels in a rat model of PH1 followed for 49 days with continued weekly dosing ondays 14 and 21 of both AF-011-63102 and AD-62994 and 24 hour urine collections as shown.
    • Figure 6D is a graph showing duration of HAO1 knockdown in rats. Shown are mRNA levels either one week or four weeks after the last of 4 doses (corresponding todays 28 and 49 inFigure 6C) and expressed relative to levels seen in rats treated with PBS
    • Figure 7 shows the reverse complement of the nucleotide sequence ofHomo sapiens HAO1 mRNA (SEQ ID NO:3).
    • Figure 8 shows the reverse complement of the nucleotide sequence ofMus musculus HAO1 mRNA (SEQ ID NO:4).
    • Figure 9 shows the nucleotide sequence ofMacaca fascicularis HAO1 mRNA (SEQ ID NO:5).
    • Figure 10 shows the nucleotide sequence ofRattus norvegicus HAO1 mRNA (SEQ ID NO:6).
    • Figure 11 shows the reverse complement of the nucleotide sequence ofMacaca fascicularis HAO1 mRNA (SEQ ID NO:7).
    • Figure 12 shows the reverse complement of the nucleotide sequence ofRattus norvegicus HAO1 mRNA (SEQ ID NO:8).
    • Figure 13 shows in vivo screening of GO GalNAc conjugates.
    • Figure 14 is a graph showing an in vivo evaluation of GO-GalNAc conjugates in mice.
    • Figure 15 is a graph showing a dose-response evaluation of GO-GalNAc conjugates in mice.
    • Figure 16 is a graph showing a dose-response evaluation of GO-GalNAc conjugates in mice.
    • Figure 17 is a graph showing a dose response evaluation in mice.
    • Figure 18 is two graphs showing the relationship of mRNA knockdown to serum glycolate levels in mice.
    • Figure 19 is two graphs showing relationship of mRNA knockdown to serum glycolate levels in rats.
    • Figure 20 is a graph showing dose dependent inhibition of HAO1 mRNA by ALN-65585 in primary cyno hepatocytes.
    • Figure 21 is two graphs showing HAO1 mRNA and serum glycolate levels following single does treatment with ALN-GO1 in mice.
    • Figure 22 is a graph showing duration of HAO1 mRNA silencing following single dose treatment with ALN-GO1 in mice.
    • Figure 23 is a graph showing HAO1 mRNA and serum glycolate levels following single dose treatment with ALN-GO1 in rats.
    • Figure 24 is two graphs showing urinary oxalate and glycolate levels in a mouse model of primary hyperoxaluria type I after a single dose of ALN-GO1.
    • Figure 25A is a graph showing HAO1 mRNA levels in a rat model of primary hyperoxaluria type I after a single dose of ALN-GO1.
    • Figure 25B is a graph showing urinary oxalate levels in a rat model of primary hyperoxaluria type latter a single dose of ALN-GO1.
    • Figure 26 is two graphs showing HAO1 mRNA and urinary oxalate levels in a rat model of primary hyperoxaluria type I after repeat dosing of ALN-GO1.
    • Figure 27 is two graphs showing HAO1 mRNA and serum glycolate levels after repeat dosing in non-human primates.
    Detailed Description of the Invention
  • The present invention provides compositions comprising RNAi agents,e.g., double-stranded RNAi agents, targeting HAO1. The present invention also provides methods using the compositions of the invention for inhibiting HAO1 expression and for treating HAO1 associated disorders.
  • I. Definitions
  • In order that the present invention may be more readily understood, certain terms are first defined. In addition, it should be noted that whenever a value or range of values of a parameter are recited, it is intended that values and ranges intermediate to the recited values are also intended to be part of this invention.
  • The articles "a" and "an" are used herein to refer to one or to more than one (i.e., to at least one) of the grammatical object of the article. By way of example, "an element" means one element or more than one element,e.g., a plurality of elements.
  • The term "including" is used herein to mean, and is used interchangeably with, the phrase "including but not limited to".
  • The term "or" is used herein to mean, and is used interchangeably with, the term "and/or," unless context clearly indicates otherwise.
  • As used herein, "HAO1" refers to the gene encoding theenzyme hydroxyacid oxidase 1. Other gene names include GO, GOX, GOX1, and HAOX1. The protein is also known as glycolate oxidase and (S)-2-hydroxy-acid oxidase. The GenBank accession number of the human HAO1 mRNA is NM_017545.2 - cynomolgous monkey (Macaca fascicularis) HAO1 mRNA is XM 005568381.1; Mouse (Mas musculus) HAO1 mRNA is NM_010403.2; Rat (Rattus norvegicus) HAO1 mRNA is XM_006235096.1.
  • The term"HAO1," as used herein, also refers to naturally occurring DNA sequence variations of the HAO1 gene, such as a single nucleotide polymorphism (SNP) in the HAO1 gene. Exemplary SNPs may be found in the NCBI dbSNP Short Genetic Variations database available atwww.ncbi.nlm.nih.gov/projects/SNP.
  • As used herein, "target sequence" refers to a contiguous portion of the nucleotide sequence of an mRNA molecule formed during the transcription of a HAO1 gene, including mRNA that is a product of RNA processing of a primary transcription product.
  • As used herein, the term "strand comprising a sequence" refers to an oligonucleotide comprising a chain of nucleotides that is described by the sequence referred to using the standard nucleotide nomenclature.
  • "G," "C," "A" and "U" each generally stand for a nucleotide that contains guanine, cytosine, adenine, and uracil as a base, respectively. "T" and "dT" are used interchangeably herein and refer to a deoxyribonucleotide wherein the nucleobase is thymine, e.g., deoxyribothymine, 2'-deoxythymidine or thymidine. However, it will be understood that the term "ribonucleotide" or "nucleotide" or "deoxyribonucleotide" can also refer to a modified nucleotide, as further detailed below, or a surrogate replacement moiety. The skilled person is well aware that guanine, cytosine, adenine, and uracil may be replaced by other moieties without substantially altering the base pairing properties of an oligonucleotide comprising a nucleotide bearing such replacement moiety. For example, without limitation, a nucleotide comprising inosine as its base may base pair with nucleotides containing adenine, cytosine, or uracil. Hence, nucleotides containing uracil, guanine, or adenine may be replaced in the nucleotide sequences of the invention by a nucleotide containing, for example, inosine. Sequences comprising such replacement moieties are embodiments of the invention.
  • The terms "iRNA", "RNAi agent," "iRNA agent,", "RNA interference agent" as used interchangeably herein, refer to an agent that contains RNA as that term is defined herein, and which mediates the targeted cleavage of an RNA transcript via an RNA-induced silencing complex (RISC) pathway. iRNA directs the sequence-specific degradation of mRNA through a process as RNA interference (RNAi). The iRNA modulates,e.g., inhibits, the expression of HAO1 in a cell,e.g., a cell within a subject, such as a mammalian subject.
  • In one embodiment, an RNAi agent of the invention includes a single stranded RNA that interacts with a target RNA sequence,e.g., a HAO1 target mRNA sequence, to direct the cleavage of the target RNA. Without wishing to be bound by theory, it is believed that long double stranded RNA introduced into cells is broken down into siRNA by a Type III endonuclease known as Dicer (Sharp et al. (2001) Genes Dev. 15:485). Dicer, a ribonuclease-III-like enzyme, processes the dsRNA into 19-23 base pair short interfering RNAs with characteristic two base 3' overhangs (Bernstein, et al., (2001) Nature 409:363). The siRNAs are then incorporated into an RNA-induced silencing complex (RISC) where one or more helicases unwind the siRNA duplex, enabling the complementary antisense strand to guide target recognition (Nykanen, et al., (2001) Cell 107:309). Upon binding to the appropriate target mRNA, one or more endonucleases within the RISC cleave the target to induce silencing (Elbashir, et al., (2001) Genes Dev. 15:188). Thus, in one aspect the invention relates to a single stranded RNA (siRNA) generated within a cell and which promotes the formation of a RISC complex to effect silencing of the target gene,i.e., a HAO1 gene. Accordingly, the term "siRNA" is also used herein to refer to an RNAi as described above.
  • In another embodiment, the RNAi agent may be a single-stranded siRNA that is introduced into a cell or organism to inhibit a target mRNA. Single-stranded RNAi agents bind to theRISC endonuclease Argonaute 2, which then cleaves the target mRNA. The single-stranded siRNAs are generally 15-30 nucleotides and are chemically modified. The design and testing of single-stranded siRNAs are described inU.S. Patent No. 8,101,348 and inLima et al., (2012) Cell 150: 883-894, the entire contents of each of which are hereby incorporated herein by reference. Any of the antisense nucleotide sequences described herein may be used as a single-stranded siRNA as described herein or as chemically modified by the methods described inLima et al., (2012).
  • In yet another embodiment, the present invention provides single-stranded antisense oligonucleotide molecules targeting HAO1. A "single-stranded antisense oligonucleotide molecule" is complementary to a sequence within the target mRNA (i.e., HAO1). Single-stranded antisense oligonucleotide molecules can inhibit translation in a stoichiometric manner by base pairing to the mRNA and physically obstructing the translation machinery, seeDias, N. et al., (2002) Mol Cancer Ther 1:347-355. Alternatively, the single-stranded antisense oligonucleotide molecules inhibit a target mRNA by hydridizing to the target and cleaving the target through an RNaseH cleavage event. The single-stranded antisense oligonucleotide molecule may be about 10 to about 30 nucleotides in length and have a sequence that is complementary to a target sequence. For example, the single-stranded antisense oligonucleotide molecule may comprise a sequence that is at least about 10, 11, 12, 13, 14, 15, 16, 17, 18, 19, 20, or more contiguous nucleotides from any one of the antisense nucleotide sequences described herein,e.g., the sequences provided in any one of Tables 1 or 2, or bind any of the target sites described herein. The single-stranded antisense oligonucleotide molecules may comprise modified RNA, DNA, or a combination thereof.
  • In another embodiment, an "iRNA" for use in the compositions, uses, and methods of the invention is a double-stranded RNA and is referred to herein as a "double stranded RNAi agent," "double-stranded RNA (dsRNA) molecule," "dsRNA agent," or "dsRNA". The term "dsRNA", refers to a complex of ribonucleic acid molecules, having a duplex structure comprising two anti-parallel and substantially complementary nucleic acid strands, referred to as having "sense" and "antisense" orientations with respect to a target RNA,i.e., a HAO1 gene. In some embodiments of the invention, a double-stranded RNA (dsRNA) triggers the degradation of a target RNA,e.g., an mRNA. through a post-transcriptional gene-silencing mechanism referred to herein as RNA interference or RNAi.
  • In general, the majority of nucleotides of each strand of a dsRNA molecule are ribonucleotides, but as described in detail herein, each or both strands can also include one or more non-ribonucleotides,e.g., a deoxyribonucleotide and/or a modified nucleotide. In addition, as used in this specification, an "RNAi agent" may include ribonucleotides with chemical modifications; an RNAi agent may include substantial modifications at multiple nucleotides. Such modifications may include all types of modifications disclosed herein or known in the art. Any such modifications, as used in a siRNA type molecule, are encompassed by "RNAi agent" for the purposes of this specification and claims.
  • The two strands forming the duplex structure may be different portions of one larger RNA molecule, or they may be separate RNA molecules. Where the two strands are part of one larger molecule, and therefore are connected by an uninterrupted chain of nucleotides between the 3'-end of one strand and the 5'-end of the respective other strand forming the duplex structure, the connecting RNA chain is referred to as a "hairpin loop." Where the two strands are connected covalently by means other than an uninterrupted chain of nucleotides between the 3'-end of one strand and the 5'-end of the respective other strand forming the duplex structure, the connecting structure is referred to as a "linker." The RNA strands may have the same or a different number of nucleotides. The maximum number of base pairs is the number of nucleotides in the shortest strand of the dsRNA minus any overhangs that are present in the duplex. In addition to the duplex structure, an RNAi agent may comprise one or more nucleotide overhangs.
  • In one embodiment, an RNAi agent of the invention is a dsRNA of 24-30 nucleotides that interacts with a target RNA sequence, e.g., a HAO1 target mRNA sequence, to direct the cleavage of the target RNA. Without wishing to be bound by theory, long double stranded RNA introduced into cells is broken down into siRNA by a Type III endonuclease known as Dicer (Sharp et al. (2001) Genes Dev. 15:485). Dicer, a ribonuclease-III-like enzyme, processes the dsRNA into 19-23 base pair short interfering RNAs with characteristic two base 3' overhangs (Bernstein, et al., (2001) Nature 409:363). The siRNAs are then incorporated into an RNA-induced silencing complex (RISC) where one or more helicases unwind the siRNA duplex, enabling the complementary antisense strand to guide target recognition (Nykanen, et al., (2001) Cell 107:309). Upon binding to the appropriate target mRNA, one or more endonucleases within the RISC cleave the target to induce silencing (Elbashir, et al., (2001) Genes Dev. 15:188).
  • As used herein, a "nucleotide overhang" refers to the unpaired nucleotide or nucleotides that protrude from the duplex structure of an RNAi agent when a 3'-end of one strand of the RNAi agent extends beyond the 5'-end of the other strand, or vice versa. "Blunt" or "blunt end" means that there are no unpaired nucleotides at that end of the double stranded RNAi agent, i.e., no nucleotide overhang. A "blunt ended" RNAi agent is a dsRNA that is double-stranded over its entire length, i.e., no nucleotide overhang at either end of the molecule. The RNAi agents of the invention include RNAi agents with nucleotide overhangs at one end (i.e., agents with one overhang and one blunt end) or with nucleotide overhangs at both ends.
  • The term "antisense strand" refers to the strand of a double stranded RNAi agent which includes a region that is substantially complementary to a target sequence (e.g., a human HAO1 mRNA). As used herein, the term "region complementary to part of an mRNA encoding HAO1" refers to a region on the antisense strand that is substantially complementary to part of a HAO1 mRNA sequence. Where the region of complementarity is not fully complementary to the target sequence, the mismatches are most tolerated in the terminal regions and, if present, are generally in a terminal region or regions,e.g., within 6, 5, 4, 3, or 2 nucleotides of the 5' and/or 3' terminus.
  • The term "sense strand," as used herein, refers to the strand of a dsRNA that includes a region that is substantially complementary to a region of the antisense strand.
  • As used herein, the term "cleavage region" refers to a region that is located immediately adjacent to the cleavage site. The cleavage site is the site on the target at which cleavage occurs. In some embodiments, the cleavage region comprises three bases on either end of, and immediately adjacent to, the cleavage site. In some embodiments, the cleavage region comprises two bases on either end of, and immediately adjacent to, the cleavage site. In some embodiments, the cleavage site specifically occurs at the site bound bynucleotides 10 and 11 of the antisense strand, and the cleavage region comprisesnucleotides 11, 12 and 13.
  • As used herein, and unless otherwise indicated, the term "complementary," when used to describe a first nucleotide sequence in relation to a second nucleotide sequence, refers to the ability of an oligonucleotide or polynucleotide comprising the first nucleotide sequence to hybridize and form a duplex structure under certain conditions with an oligonucleotide or polynucleotide comprising the second nucleotide sequence, as will be understood by the skilled person. Such conditions can, for example, be stringent conditions, where stringent conditions may include: 400 mM NaCl, 40 mM PIPES pH 6.4, 1 mM EDTA, 50°C or 70°C for 12-16 hours followed by washing. Other conditions, such as physiologically relevant conditions as may be encountered inside an organism, can apply. For example, a complementary sequence is sufficient to allow the relevant function of the nucleic acid to proceed,e.g., RNAi. The skilled person will be able to determine the set of conditions most appropriate for a test of complementarity of two sequences in accordance with the ultimate application of the hybridized nucleotides.
  • Sequences can be "fully complementary" with respect to each when there is basepairing of the nucleotides of the first nucleotide sequence with the nucleotides of the second nucleotide sequence over the entire length of the first and second nucleotide sequences. However, where a first sequence is referred to as "substantially complementary" with respect to a second sequence herein, the two sequences can be fully complementary, or they may form one or more, but generally not more than 4, 3 or 2 mismatched base pairs upon hybridization, while retaining the ability to hybridize under the conditions most relevant to their ultimate application. However, where two oligonucleotides are designed to form, upon hybridization, one or more single stranded overhangs, such overhangs shall not be regarded as mismatches with regard to the determination of complementarity. For example, a dsRNA comprising oneoligonucleotide 21 nucleotides in length and anotheroligonucleotide 23 nucleotides in length, wherein the longer oligonucleotide comprises a sequence of 21 nucleotides that is fully complementary to the shorter oligonucleotide, may yet be referred to as "fully complementary" for the purposes described herein.
  • "Complementary" sequences, as used herein, may also include, or be formed entirely from, non-Watson-Crick base pairs and/or base pairs formed from non-natural and modified nucleotides, in as far as the above requirements with respect to their ability to hybridize are fulfilled. Such non-Watson-Crick base pairs includes, but not limited to, G:U Wobble or Hoogstein base pairing.
  • The terms "complementary," "fully complementary" and "substantially complementary" herein may be used with respect to the base matching between the sense strand and the antisense strand of a dsRNA, or between the antisense strand of a dsRNA and a target sequence, as will be understood from the context of their use.
  • As used herein, a polynucleotide that is "substantially complementary to at least part of" a messenger RNA (mRNA) refers to a polynucleotide that is substantially complementary to a contiguous portion of the mRNA of interest (e.g., an mRNA encoding HAO1) including a 5' UTR, an open reading frame (ORF), or a 3' UTR. For example, a polynucleotide is complementary to at least a part of a HAO1 mRNA if the sequence is substantially complementary to a non-interrupted portion of an mRNA encoding HAO1.
  • The term "inhibiting," as used herein, is used interchangeably with "reducing," "silencing," "downregulating," "suppressing" and other similar terms, and includes any level of inhibition.
  • The phrase "inhibiting expression of a HAO1," as used herein, includes inhibition of expression of any HAO1 gene (such as,e.g., a mouse HAO1 gene, a rat HAO1 gene, a monkey HAO1 gene, or a human HAO1 gene) as well as variants, (e.g., naturally occurring variants), or mutants of a HAO1 gene. Thus, the HAO1 gene may be a wild-type HAO1 gene, a mutant HAO1 gene, or a transgenic HAO1 gene in the context of a genetically manipulated cell, group of cells, or organism.
  • "Inhibiting expression of a HAO1 gene" includes any level of inhibition of a HAO1 gene,e.g., at least partial suppression of the expression of a HAO1 gene, such as an inhibition of at least about 5%, at least about 10%, at least about 15%, at least about 20%, at least about 25%, at least about 30%, at least about 35%,at least about 40%, at least about 45%, at least about 50%, at least about 55%, at least about 60%, at least about 65%, at least about 70%, at least about 75%, at least about 80%, at least about 85%, at least about 90%, at least about 91%, at least about 92%, at least about 93%, at least about 94%. at least about 95%, at least about 96%, at least about 97%, at least about 98%, or at least about 99%.
  • The expression of a HAO1 gene may be assessed based on the level of any variable associated with HAO1 gene expression,e.g., HAO1 mRNA level or HAO1 protein level, in, e.g., tissues and/or urinary oxalate levels. Inhibition may be assessed by a decrease in an absolute or relative level of one or more of these variables compared with a control level. The control level may be any type of control level that is utilized in the art,e.g., a pre-dose baseline level, or a level determined from a similar subject, cell, or sample that is untreated or treated with a control (such as, e.g., buffer only control or inactive agent control).
  • The phrase "contacting a cell with a double stranded RNAi agent," as used herein, includes contacting a cell by any possible means. Contacting a cell with a double stranded RNAi agent includes contacting a cellin vitro with the RNAi agent or contacting a cellin vivo with the RNAi agent. The contacting may be done directly or indirectly. Thus, for example, the RNAi agent may be put into physical contact with the cell by the individual performing the method, or alternatively, the RNAi agent may be put into a situation that will permit or cause it to subsequently come into contact with the cell.
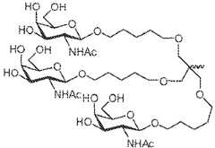
  • Contacting a cellin vitro may be done, for example, by incubating the cell with the RNAi agent. Contacting a cellin vivo may be done, for example, by injecting the RNAi agent into or near the tissue where the cell is located, or by injecting the RNAi agent into another area, the bloodstream or the subcutaneous space, such that the agent will subsequently reach the tissue where the cell to be contacted is located. For example, the RNAi agent may contain and/or be coupled to a ligand,e.g., a GalNAc3 ligand, that directs the RNAi agent to a site of interest, e.g., the liver. Combinations of in vitro andin vivo methods of contacting are also possible. In connection with the methods of the invention, a cell might also be contactedin vitro with an RNAi agent and subsequently transplanted into a subject.
  • As used herein, a "subject" includes a human or non-human animal, preferably a vertebrate, and more preferably a mammal. A subject may include a transgenic organism. Most preferably, the subject is a human, such as a human suffering from or predisposed to developing a HAO1 associated disorder.
  • A "patient" or "subject," as used herein, is intended to include either a human or non-human animal, preferably a mammal, e.g., human or a monkey. Most preferably, the subject or patient is a human.
  • A "HAO1 associated disorder", as used herein, is intended to include any disorder that can be treated or prevented, or the symptoms of which can be alleviated, by inhibiting the expression of HAO1. Examples include but are not limited to Primary Hyperoxaluria 1 (PH1).
  • "Therapeutically effective amount," as used herein, is intended to include the amount of an RNAi agent that, when administered to a patient for treating a HAO1 associated disease, is sufficient to effect treatment of the disease (e.g., by diminishing, ameliorating or maintaining the existing disease or one or more symptoms of disease). The "therapeutically effective amount" may vary depending on the RNAi agent, how the agent is administered, the disease and its severity and the history, age, weight, family history, genetic makeup, stage of pathological processes mediated by HAO1 expression, the types of preceding or concomitant treatments, if any, and other individual characteristics of the patient to be treated.
  • "Prophylactically effective amount," as used herein, is intended to include the amount of an RNAi agent that, when administered to a subject who does not yet experience or display symptoms of a HAO1-associated disease, but who may be predisposed to the disease, is sufficient to prevent or ameliorate the disease or one or more symptoms of the disease. Ameliorating the disease includes slowing the course of the disease or reducing the severity of later-developing disease. The "prophylactically effective amount" may vary depending on the RNAi agent, how the agent is administered, the degree of risk of disease, and the history, age, weight, family history, genetic makeup, the types of preceding or concomitant treatments, if any, and other individual characteristics of the patient to be treated.
  • A "therapeutically-effective amount" or "prophylacticaly effective amount" also includes an amount of an RNAi agent that produces some desired local or systemic effect at a reasonable benefit/risk ratio applicable to any treatment. RNAi gents employed in the methods of the present invention may be administered in a sufficient amount to produce a reasonable benefit/risk ratio applicable to such treatment.
  • The term "sample," as used herein, includes a collection of similar fluids, cells, or tissues isolated from a subject, as well as fluids, cells, or tissues present within a subject. Examples of biological fluids include blood, serum and serosal fluids, plasma, cerebrospinal fluid, ocular fluids, lymph, urine, saliva, and the like. Tissue samples may include samples from tissues, organs or localized regions. For example, samples may be derived from particular organs, parts of organs, or fluids or cells within those organs. In certain embodiments, samples may be derived from the liver (e.g., whole liver or certain segments of liver or certain types of cells in the liver, such as, e.g., hepatocytes). In some embodiments, a "sample derived from a subject" refers to blood or plasma drawn from the subject. In further embodiments, a "sample derived from a subject" refers to liver tissue (or subcomponents thereof) derived from the subject.
  • II. dsRNA iRNA agents of the Invention
  • Described herein are double-stranded RNAi agents which inhibit the expression of a HAO1 gene in a cell, such as a cell within a subject,e.g., a mammal, such as a human having a HAO1 associated disorder, and uses of such double-stranded RNAi agents.
  • Accordingly, the invention provides double-stranded RNAi agents with chemical modifications capable of inhibiting the expression of a target gene (i.e., a HAO1 gene)in vivo.
  • As described in more detail below, in certain aspects of the invention, substantially all of the nucleotides of an iRNA of the invention are modified. In other embodiments of the invention, all of the nucleotides of an iRNA of the invention are modified. iRNAs of the invention in which "substantially all of the nucleotides are modified" are largely but not wholly modified and can include not more than 5, 4, 3, 2, or 1 unmodified nucleotides.
  • The RNAi agent comprises a sense strand and an antisense strand. Each strand of the RNAi agent may range from 12-30 nucleotides in length. For example, each strand may be between 14-30 nucleotides in length, 17-30 nucleotides in length, 19-30 nucleotides in length, 25-30 nucleotides in length, 27-30 nucleotides in length, 17-23 nucleotides in length, 17-21 nucleotides in length, 17-19 nucleotides in length, 19-25 nucleotides in length, 19-23 nucleotides in length, 19-21 nucleotides in length, 21-25 nucleotides in length, or 21-23 nucleotides in length.
  • Each strand can be 12, 13, 14, 15, 16, 17, 18, 19, 20, 21, 22, 23, 24,25, 26, 27, 28, 29, or 30 nucleotides in length. Each strand of the RNAi agent can be the same length or can be different lengths.
  • The sense strand and antisense strand typically form a duplex double stranded RNA ("dsRNA"), also referred to herein as an "RNAi agent." The duplex region of an RNAi agent may be 12-30 nucleotide pairs in length. For example, the duplex region can be between 14-30 nucleotide pairs in length, 17-30 nucleotide pairs in length, 27-30 nucleotide pairs in length, 17 - 23 nucleotide pairs in length, 17-21 nucleotide pairs in length, 17-19 nucleotide pairs in length, 19-25 nucleotide pairs in length, 19-23 nucleotide pairs in length, 19- 21 nucleotide pairs in length, 21-25 nucleotide pairs in length, or 21-23 nucleotide pairs in length. In another example, the duplex region is selected from 15, 16, 17, 18, 19, 20, 21, 22, 23, 24, 25, 26, and 27 nucleotide pairs in length.
  • In one embodiment, the RNAi agent may contain one or more overhang regions and/or capping groups at the 3'-end, 5'-end, or both ends of one or both strands. The overhang can be 1-6 nucleotides in length, for instance 2-6 nucleotides in length, 1-5 nucleotides in length, 2-5 nucleotides in length, 1-4 nucleotides in length, 2-4 nucleotides in length, 1-3 nucleotides in length, 2-3 nucleotides in length, or 1-2 nucleotides in length. The overhangs can be the result of one strand being longer than the other, or the result of two strands of the same length being staggered. The overhang can form a mismatch with the target mRNA or it can be complementary to the gene sequences being targeted or can be another sequence. The first and second strands can also be joined,e.g., by additional bases to form a hairpin, or by other non-base linkers.
  • In one embodiment, the nucleotides in the overhang region of the RNAi agent can each independently be a modified or unmodified nucleotide including, but not limited to 2'-sugar modified, such as, 2-F, 2'-O-methyl, thymidine (T), 2'-O-methoxyethyl-5-methyluridine (Teo), 2'-O-methoxyethyladenosine (Aeo), 2'-O-methoxyethyl-5-methylcytidine (m5Ceo), and any combinations thereof. For example, TT can be an overhang sequence for either end on either strand. The overhang can form a mismatch with the target mRNA or it can be complementary to the gene sequences being targeted or can be another sequence.
  • The 5'- or 3'- overhangs at the sense strand, antisense strand or both strands of the RNAi agent may be phosphorylated. In some embodiments, the overhang region(s) contains two nucleotides having a phosphorothioate between the two nucleotides, where the two nucleotides can be the same or different. In one embodiment, the overhang is present at the 3'-end of the sense strand, antisense strand, or both strands. In one embodiment, this 3'-overhang is present in the antisense strand. In one embodiment, this 3'-overhang is present in the sense strand.
  • The RNAi agent may contain only a single overhang, which can strengthen the interference activity of the RNAi, without affecting its overall stability. For example, the single-stranded overhang may be located at the 3'-terminal end of the sense strand or, alternatively, at the 3'-terminal end of the antisense strand. The RNAi may also have a blunt end, located at the 5'-end of the antisense strand (or the 3'-end of the sense strand) orvice versa. Generally, the antisense strand of the RNAi has a nucleotide overhang at the 3'-end, and the 5'-end is blunt. While not wishing to be bound by theory, the asymmetric blunt end at the 5'-end of the antisense strand and 3'-end overhang of the antisense strand favor the guide strand loading into RISC process.
  • Synthesis and modifications
  • Any of the nucleic acids, e.g., RNAi, featured in the invention can be synthesized and/or modified by methods well established in the art, such as those described in "Current protocols in nucleic acid chemistry," Beaucage, S.L. et al. (Edrs.), John Wiley & Sons, Inc., New York, NY , USA, which is hereby incorporated herein by reference. Modifications include, for example, end modifications, e.g., 5'-end modifications (phosphorylation, conjugation, inverted linkages) or 3'-endmodifications (conjugation, DNA nucleotides, inverted linkages,etc.); base modifications,e.g., replacement with stabilizing bases, destabilizing bases, or bases that base pair with an expanded repertoire of partners, removal of bases (abasic nucleotides), or conjugated bases; sugar modifications (e.g., at the 2'-position or 4'-position) or replacement of the sugar; and/or backbone modifications, including modification or replacement of the phosphodiester linkages. Specific examples of iRNA compounds useful in the embodiments described herein include, but are not limited to RNAs containing modified backbones or no natural internucleoside linkages. RNAs having modified backbones include, among others, those that do not have a phosphorus atom in the backbone. For the purposes of this specification, and as sometimes referenced in the art, modified RNAs that do not have a phosphorus atom in their internucleoside backbone can also be considered to be oligonucleosides. In some embodiments, a modified iRNA will have a phosphorus atom in its internucleoside backbone.
  • Modified RNA backbones include, for example, phosphorothioates, chiral phosphorothioates, phosphorodithioates, phosphotriesters, aminoalkylphosphotriesters, methyl and other alkyl phosphonates including 3'-alkylene phosphonates and chiral phosphonates, phosphinates, phosphoramidates including 3'-amino phosphoramidate and aminoalkylphosphoramidates, thionophosphoramidates, thionoalkylphosphonates, thionoalkylphosphotriesters, and boranophosphates having normal 3'-5' linkages, 2'-5'-linked analogs of these, and those having inverted polarity wherein the adjacent pairs of nucleoside units are linked 3'-5' to 5'-3' or 2'-5' to 5'-2'. Various salts, mixed salts and free acid forms are also included.
  • Modified RNA backbones that do not include a phosphorus atom therein have backbones that are formed by short chain alkyl or cycloalkyl internucleoside linkages, mixed heteroatoms and alkyl or cycloalkyl internucleoside linkages, or one or more short chain heteroatomic or heterocyclic internucleoside linkages. These include those having morpholino linkages (formed in part from the sugar portion of a nucleoside); siloxane backbones; sulfide, sulfoxide and sulfone backbones; formacetyl and thioformacetyl backbones; methylene formacetyl and thioformacetyl backbones; alkene containing backbones; sulfamate backbones; methyleneimino and methylenehydrazino backbones; sulfonate and sulfonamide backbones; amide backbones; and others having mixed N, O, S and CH2 component parts.
  • Representative U.S. patents that teach the preparation of the above oligonucleosides include, but are not limited to,U.S. Patent Nos. 5,034,506;5,166,315;5,185,444;5,214,134;5,216,141;5,235,033;5,64,562;5,264,564;5,405,938;5,434,257;5,466,677;5,470,967;5,489,677;5,541,307;5,561,225;5,596,086;5,602,240;5,608,046;5,610,289;5,618,704;5,623,070;5,663,312;5,633,360;5,677,437; and,5,677,439, the entire contents of each of which are hereby incorporated herein by reference.
  • In other embodiments, suitable RNA mimetics are contemplated for use in iRNAs, in which both the sugar and the internucleoside linkage,i.e., the backbone, of the nucleotide units are replaced with novel groups. The base units are maintained for hybridization with an appropriate nucleic acid target compound. One such oligomeric compound, an RNA mimetic that has been shown to have excellent hybridization properties, is referred to as a peptide nucleic acid (PNA). In PNA compounds, the sugar backbone of an RNA is replaced with an amide containing backbone, in particular an aminoethylglycine backbone. The nucleobases are retained and are bound directly or indirectly to aza nitrogen atoms of the amide portion of the backbone. Representative U.S. patents that teach the preparation of PNA compounds include, but are not limited to,U.S. Patent Nos. 5,539,082;5,714,331; and5,719,262, the entire contents of each of which are hereby incorporated herein by reference. Additional PNA compounds suitable for use in the iRNAs of the invention are described in, for example, inNielsen et al., Science, 1991, 254, 1497-1500.
  • Some embodiments featured in the invention include RNAs with phosphorothioate backbones and oligonucleosides with heteroatom backbones, and in particular --CH2--NH-CH2-, --CH2--N(CH3)--O--CB2--[known as a methylene (methylimino) or MMI backbone],-CH2--O--N(CH3)--CH2--, --CH2--N(CH3)--N(CH3)--CH2-- and --N(CH3)--CH2--CH2-[wherein the native phosphodiester backbone is represented as --Q--P--O--CH2--] of the above-referencedU.S. Patent No. 5,489,677, and the amide backbones of the above-referencedU.S. Patent No. 5,602,240. In some embodiments, the RNAs featured herein have morpholino backbone structures of the above-referencedU.S. Patent No. 5,034,506.
  • Modified RNAs can also contain one or more substituted sugar moieties. The iRNAs,e.g., dsRNAs, featured herein can include one of the following at the 2'-position: OH; F; O-, S-, or N-alkyl; O-, S-, or N-alkenyl; O-, S- or N-alkynyl; or O-alkyl-O-alkyl, wherein the alkyl, alkenyl and alkynyl can be substituted or unsubstituted C1 to C10 alkyl or C2 to C10 alkenyl and alkynyl. Exemplary suitable modifications include O[(CH2)nO]mCH3, O(CH2).nOCH3, O(CH2)nNH2, O(CH2)nCH3, O(CH2)nONH2, and O(CH2)nON[(CH2)nCH3)]2, where n and m are from 1 to about 10. In other embodiments, dsRNAs include one of the following at the 2' position: C1 to C10 lower alkyl, substituted lower alkyl, alkaryl, aralkyl, O-alkaryl or O-aralkyl, SH, SCH3, OCN, Cl, Br, CN, CF3, OCF3, SOCH3, SO2CH3, ONO2, NO2, N3, NH2, heterocycloalkyl, heterocycloalkaryl, aminoalkylamino, polyalkylamino, substituted silyl, an RNA cleaving group, a reporter group, an intercalator, a group for improving the pharmacokinetic properties of an iRNA, or a group for improving the pharmacodynamic properties of an iRNA, and other substituents having similar properties. In some embodiments, the modification includes a 2'-methoxyethoxy (2'-O--CH2CH2OCH3, also known as 2'-O-(2-methoxyethyl) or 2'-MOE) (Martin et al., Helv. Chim. Acta, 1995, 78:486-504)i.e., an alkoxy-alkoxy group. Another exemplary modification is 2'-dimethylaminooxyethoxy,i.e., a O(CH2)2ON(CH3)2 group, also known as 2'-DMAOE, as described in examples herein below, and 2'-dimethylaminoeihoxyethoxy (also known in the art as 2'-O-dimethylaminoethoxyethyl or 2'-DMAEOE),i.e., 2'-O--CH2--O--CH2--N(CH2)2.
  • Other modifications include 2'-methoxy (2'-OCH3), 2'-aminopropoxy (2'-OCH2CH2CH2NH2) and 2'-fluoro (2'-F). Similar modifications can also be made at other positions on the RNA of an iRNA, particularly the 3' position of the sugar on the 3' terminal nucleotide or in 2'-5' linked dsRNAs and the 5' position of 5' terminal nucleotide. iRNAs can also have sugar mimetics such as cyclobutyl moieties in place of the pentofuranosyl sugar. Representative U.S. patents that teach the preparation of such modified sugar structures include, but are not limited to,U.S. Pat. Nos. 4,981,957;5,118,800;5,319,080;5,359,044;5,393,878;5,446,137:5,466,786;5,514,785;5,519,134;5,567,811;5,576,427;5,591,722;5,597,909;5,610,300; 5,627,053;5,639,873;5,646,265;5,658,873;5,670,633; and5,700,920, certain of which are commonly owned with the instant application,. The entire contents of each of the foregoing are hereby incorporated herein by reference.
  • An iRNA can also include nucleobase (often referred to in the art simply as "base") modifications or substitutions. As used herein, "unmodified" or "natural" nucleobases include the purine bases adenine (A) and guanine (G), and the pyrimidine bases thymine (T), cytosine (C) and uracil (U). Modified nucleobases include other synthetic and natural nucleobases such as deoxy-thymine (dT), 5-methylcytosine (5-me-C), 5-hydroxymethyl cytosine, xanthine, hypoxanthine, 2-aminoadenine, 6-methyl and other alkyl derivatives of adenine and guanine, 2-propyl and other alkyl derivatives of adenine and guanine, 2-thiouracil, 2-thiothymine and 2-thiocytosine, 5-halouracil and cytosine, 5-propynyl uracil and cytosine, 6-azo uracil, cytosine and thymine, 5-uracil (pseudouracil), 4-thiouracil, 8-halo, 8-amino, 8-thiol, 8-thioalkyl, 8-hydroxyl anal other 8-substituted adenines and guanines, 5-halo, particularly 5-bromo, 5-trifluoromethyl and other 5-substittited uracils and cytosines, 7-methylguanine and 7-methyladenine, 8-azaguanine and 8-azaadenine, 7-deazaguanine and 7-daazaadenine and 3-deazaguanine and 3-deazaadenine. Further nucleobases include those disclosed inU.S. Pat. No. 3,687,808, those disclosed inModified Nucleosides in Biochemistry, Biotechnology and Medicine, Herdewijn, P. ed. Wiley-VCH, 2008; those disclosed in The Concise Encyclopedia Of Polymer Science And Engineering, pages 858-859, Kroschwitz, J. L, ed. John Wiley & Sons, 1990, these disclosed byEnglisch et al., Angewandte Chemie, International Edition, 1991, 30, 613, and those disclosed bySanghvi, Y S., Chapter 15, dsRNA Research and Applications, pages 289-302, Crooke, S. T. and Lebleu, B., Ed., CRC Press, 1993. Certain of these nucleobases are particularly useful for increasing the binding affinity of the oligomeric compounds featured in the invention. These include 5-substituted pyrimidines, 6-azapyrimidines and N-2, N-6 and 0-6 substituted purines, including 2-aminopropyladenine, 5-propynyluracil and 5-propynylcytosine. 5-methylcytosine substitutions have been shown to increase nucleic acid duplex stability by 0.6-1.2°C (Sanghvi, Y. S., Crooke, S. T. and Lebleu, B., Eds., dsRNA Research and Applications, CRC Press, Boca Raton, 1993, pp. 276-278) and are exemplary base substitutions, even more particularly when combined with 2'-O-methoxyethyl sugar modifications.
  • Representative U.S. patents that teach the preparation of certain of the above noted modified nucleobases as well as other modified nucleobases include, but are not limited to, the above notedU.S. Patent Nos. 3,687,808,4,845,205;5,130,30;5,134,066; 5,175,273;5,367,066;5,432,272;5,457,187;5,459,255;5,484,908;5,502,177;5,525,711;5,552,540;5,587,469;5,594,121,5,596,091; 5,614,617; 5,681,941;5,750,692;6,015,886;6,147,200;6,166,197;6,222,025;6,235,887;6,380,368;6,528,640;6,639,062;6,617,438;7,045,610;7,427,672; and7,495,088, the entire contents of each of which are hereby incorporated herein by reference.
  • The RNA of an iRNA can also be modified to include one or more locked nucleic acids (LNA). A locked nucleic acid is a nucleotide having a modified ribose moiety in which the ribose moiety comprises an extra bridge connecting the 2' and 4' carbons. This structure effectively "locks" the ribose in the 3'-endo structural conformation. The addition of locked nucleic acids to siRNAs has been shown to increase siRNA stability in serum, and to reduce off-target effects (Elmen, J. et al, (2005) Nucleic Acids Research 33(1):439-447;Mook, OR. et al, (2007) Mol Canc Ther 6(3):833-843;Grunweller, A. et al., (2003) Nucleic Acids Research 31(12):3185-3193).
  • Representative U.S. Patents that teach the preparation of locked nucleic acid nucleotides include, but are not limited to, the following:U.S. Patent Nos. 6,268,490;6,670,461;6,794,499;6,998,484;7,053,207;7,084,125; and7,399,845, the entire contents of each of which are hereby incorporated herein by reference.
  • Potentially stabilizing modifications to the ends of RNA molecules can include N-(acetylaminocaproyl)-4-hydroxyprolinol (Hyp-C6-NHAc), N-(caproyl-4-hydroxyprolinol (Hyp-C6), N-(acetyl-4-hydroxyprolinol (Hyp-NHAc), thymidine-2'-0-deoxythymidine (ether), N-(aminocaproyl)-4-hydroxyprorinol (Hyp-C6-amino), 2-docosanoyl-uridine-3"-phosphate, inverted base dT(idT) and others. Disclosure of this modification can be found inPCT Publication No. WO 2011/005861.
  • Modified iRNAs Comprising Motifs of the Invention
  • In certain aspects of the invention, the double-stranded RNAi agents of the invention include agents with chemical modifications as disclosed, for example, inU.S. Provisional Application No. 61/561,710, filed on November 18, 2011, or inPCT/US2012/065691, filed on November 16, 2012, and published asWO2013075035 A1, the entire contents of each of which are incorporated herein by reference.
  • As shown herein and in Provisional Application No.61/561,710, a superior result may be obtained by introducing one or more motifs of three identical modifications on three consecutive nucleotides into a sense strand and/or antisense strand of a RNAi agent, particularly at or near the cleavage site. In some embodiments, the sense strand and antisense strand of the RNAi agent may otherwise be completely modified. The introduction of these motifs interrupts the modification pattern, if present, of the sense and/or antisense strand. The RNAi agent may be optionally conjugated with a GalNAc derivative ligand, for instance on the sense strand. The resulting RNAi agents present superior gene silencing activity.
  • More specifically, it has been surprisingly discovered that when the sense strand and antisense strand of the double-stranded RNAi agent are modified to have one or more motifs of three identical modifications on three consecutive nucleotides at or near the cleavage site of at least one strand of an RNAi agent, the gene silencing activity of the RNAi agent was superiorly enhanced.
  • In one embodiment, the RNAi agent is a double ended bluntmer of 19 nucleotides in length, wherein the sense strand contains at least one motif of three 2'-F modifications on three consecutive nucleotides atpositions 7, 8, 9 from the 5'end. The antisense strand contains at least one motif of three 2'-O-methyl modifications on three consecutive nucleotides atpositions 11, 12, 13 from the 5'end.
  • In another embodiment, the RNAi agent is a double ended bluntmer of 20 nucleotides in length, wherein the sense strand contains at least one motif of three 2'-F modifications on three consecutive nucleotides atpositions 8, 9, 10 from the 5'end. The antisense strand contains at least one motif of three 2'-O-methyl modifications on three consecutive nucleotides atpositions 11, 12, 13 from the 5'end.
  • In yet another embodiment, the RNAi agent is a double ended bluntmer of 21 nucleotides in length, wherein the sense strand contains at least one motif of three 2'-F modifications on three consecutive nucleotides atpositions 9, 10, 11 from the 5'end. The antisense strand contains at least one motif of three 2'-O-methyl modifications on three consecutive nucleotides atpositions 11, 12, 13 from the 5'end.
  • In one embodiment, the RNAi agent comprises a 21 nucleotide sense strand and a 23 nucleotide antisense strand, wherein the sense strand contains at least one motif of three 2'-F modifications on three consecutive nucleotides atpositions 9, 10, 11 from the 5'end; the antisense strand contains at least one motif of three 2'-O-methyl modifications on three consecutive nucleotides atpositions 11, 12, 13 from the 5'end, wherein one end of the RNAi agent is blunt, while the other end comprises a 2 nucleotide overhang. Preferably, the 2 nucleotide overhang is at the 3'-end of the antisense strand. When the 2 nucleotide overhang is at the 3'-end of the antisense strand, there may be two phosphorothioate internucleotide linkages between the terminal three nucleotides, wherein two of the three nucleotides are the overhang nucleotides, and the third nucleotide is a paired nucleotide next to the overhang nucleotide. In one embodiment, the RNAi agent additionally has two phosphorothioate internucleotide linkages between the terminal three nucleotides at both the 5'-end of the sense strand and at the 5'-end of the antisense strand. In one embodiment, every nucleotide in the sense strand and the antisense strand of the RNAi agent, including the nucleotides that are part of the motifs are modified nucleotides. In one embodiment each residue is independently modified with a 2'-O-methyl or 3'-fluoro,e.g., in an alternating motif. Optionally, the RNAi agent further comprises a ligand (preferably GalNAc3).
  • In one embodiment, the RNAi agent comprises sense and antisense strands, wherein the RNAi agent comprises a first strand having a length which is at least 25 and at most 29 nucleotides and a second strand having a length which is at most 30 nucleotides with at least one motif of three 2'-O-methyl modifications on three consecutive nucleotides atposition 11, 12, 13 from the 5' end; wherein the 3' end of the first strand and the 5' end of the second strand form a blunt end and the second strand is 1-4 nucleotides longer at its 3' end than the first strand, wherein the duplex region which is at least 25 nucleotides in length, and the second strand is sufficiently complementary to a target mRNA along at least 19 nucleotide of the second strand length to reduce target gene expression when the RNAi agent is introduced into a mammalian cell, and wherein dicer cleavage of the RNAi agent preferentially results in an siRNA comprising the 3' end of the second strand, thereby reducing expression of the target gene in the mammal. Optionally, the RNAi agent further comprises a ligand.
  • In one embodiment, the sense strand of the RNAi agent contains at least one motif of three identical modifications on three consecutive nucleotides, where one of the motifs occurs at the cleavage site in the sense strand.
  • In one embodiment, the antisense strand of the RNAi agent can also contain at least one motif of three identical modifications on three consecutive nucleotides, where one of the motifs occurs at or near the cleavage site in the antisense strand
  • For an RNAi agent having a duplex region of 17-23 nucleotides in length, the cleavage site of the antisense strand is typically around the 10, 11 and 12 positions from the 5'-end. Thus the motifs of three identical modifications may occur at the 9, 10, 11 positions; 10, 11, 12 positions; 11, 12, 13 positions; 12, 13, 14 positions; or 13, 14, 15 positions of the antisense strand, the count starting from the 1st nucleotide from the 5'-end of the antisense strand, or, the count starting from the 1st paired nucleotide within the duplex region from the 5'- end of the antisense strand. The cleavage site in the antisense strand may also change according to the length of the duplex region of the RNAi from the 5'-end.
  • The sense strand of the RNAi agent may contain at least one motif of three identical modifications on three consecutive nucleotides at the cleavage site of the strand; and the antisense strand may have at least one motif of three identical modifications on three consecutive nucleotides at or near the cleavage site of the strand. When the sense strand and the antisense strand form a dsRNA duplex, the sense strand and the antisense strand can be so aligned that one motif of the three nucleotides on the sense strand and one motif of the three nucleotides on the antisense strand have at least one nucleotide overlap,i.e., at least one of the three nucleotides of the motif in the sense strand forms a base pair with at least one of the three nucleotides of the motif in the antisense strand. Alternatively, at least two nucleotides may overlap, or all three nucleotides may overlap.
  • In one embodiment, the sense strand of the RNAi agent may contain more than one motif of three identical modifications on three consecutive nucleotides. The first motif may occur at or near the cleavage site of the strand and the other motifs may be a wing modification. The term "wing modification" herein refers to a motif occurring at another portion of the strand that is separated from the motif at or near the cleavage site of the same strand. The wing modification is either adjacent to the first motif or is separated by at least one or more nucleotides. When the motifs are immediately adjacent to each other than the chemistry of the motifs are distinct from each other and when the motifs are separated by one or more nucleotide than the chemistries can be the same or different. Two or more wing modifications may be present. For instance, when two wing modifications are present, each wing modification may occur at one end relative to the first motif which is at or near cleavage site or on either side of the lead motif.
  • Like the sense strand, the antisense strand of the RNAi agent may contain more than one motifs of three identical modifications on three consecutive nucleotides, with at least one of the motifs occurring at or near the cleavage site of the strand. This antisense strand may also contain one or more wing modifications in an alignment similar to the wing modifications that may be present on the sense strand.
  • In one embodiment, the wing modification on the sense strand or antisense strand of the RNAi agent typically does not include the first one or two terminal nucleotides at the 3'-end, 5'-end or both ends of the strand.
  • In another embodiment, the wing modification on the sense strand or antisense strand of the RNAi agent typically does not include the first one or two paired nucleotides within the duplex region at the 3'-end, 5'-end or both ends of the strand.
  • When the sense strand and the antisense strand of the RNAi agent each contain at least one wing modification, the wing modifications may fall on the same end of the duplex region, and have an overlap of one, two or three nucleotides.
  • When the sense strand and the antisense strand of the RNAi agent each contain at least two wing modifications, the sense strand and the antisense strand can be so aligned that two modifications each from one strand fall on one end of the duplex region, having an overlap of one, two or three nucleotides; two modifications each from one strand fall on the other end of the duplex region, having an overlap of one, two or three nucleotides; two modifications one strand fall on each side of the lead motif, having an overlap of one, two or three nucleotides in the duplex region.
  • In one embodiment, every nucleotide in the sense strand and antisense strand of the RNAi agent, including the nucleotides that are part of the motifs, may be modified. Each nucleotide may be modified with the same or different modification which can include one or more alteration of one or both of the non-linking phosphate oxygens and/or of one or more of the linking phosphate oxygens; alteration of a constituent of the ribose sugar,e.g., of the 2' hydroxyl on the ribose sugar; wholesale replacement of the phosphate moiety with "dephospho" linkers; modification or replacement of a naturally occurring base; and replacement or modification of the ribose-phosphate backbone.
  • As nucleic acids are polymers of subunits, many of the modifications occur at a position which is repeated within a nucleic acid,e.g., a modification of a base, or a phosphate moiety, or a non-linking O of a phosphate moiety. In some cases the modification will occur at all of the subject positions in the nucleic acid but in many cases it will not. By way of example, a modification may only occur at a 3' or 5' terminal position, may only occur in a terminal region, e.g., at a position on a terminal nucleotide or in the last 2, 3, 4, 5, or 10 nucleotides of a strand. A modification may occur in a double strand region, a single strand region, or in both. A modification may occur only in the double strand region of a RNA or may only occur in a single strand region of a RNA. For example, a phosphorothioate modification at a non-linking O position may only occur at one or both termini, may only occur in a terminal region, e.g., at a position on a terminal nucleotide or in the last 2, 3, 4, 5, or 10 nucleotides of a strand, or may occur in double strand and single strand regions, particularly at termini. The 5' end or ends can be phosphorylated.
  • It may be possible, e.g., to enhance stability, to include particular bases in overhangs, or to include modified nucleotides or nucleotide surrogates, in single strand overhangs, e.g., in a 5' or 3' overhang, or in both. For example, it can be desirable to include purine nucleotides in overhangs. In some embodiments all or some of the bases in a 3' or 5' overhang may be modified,e.g., with a modification described herein. Modifications can include,e.g., the use of modifications at the 2' position of the ribose sugar with modifications that are known in the art, e.g., the use of deoxyribonucleotides, , 2'-deoxy-2'-fluoro (2'-F) or 2'-O-methyl modified instead of the ribosugar of the nucleobase , and modifications in the phosphate group,e.g., phosphorothioate modifications. Overhangs need not be homologous with the target sequence.
  • In one embodiment, each residue of the sense strand and antisense strand is independently modified with LNA, HNA, CeNA, 2'-methoxyethyl, 2'- O-methyl, 2'-O-allyl, 2'-C- allyl, 2'-deoxy, 2'-hydroxyl, or 2'-fluoro. The strands can contain more than one modification. In one embodiment, each residue of the sense strand and antisense strand is independently modified with 2'- O-methyl or 2'-fluoro.
  • At least two different modifications are typically present on the sense strand and antisense strand. Those two modifications may be the 2'- O-methyl or 2'-fluoro modifications, or others.
  • In one embodiment, the Na and/or Nb comprise modifications of an alternating pattern. The term "alternating motif as used herein refers to a motif having one or more modifications, each modification occurring on alternating nucleotides of one strand. The alternating nucleotide may refer to one per every other nucleotide or one per every three nucleotides, or a similar pattern. For example, if A, B and C each represent one type of modification to the nucleotide, the alternating motif can be "ABABABABABAB...," "AABBAABBAABB...," AABAABAABAAB...," "AAABAAABAAAB...," "AAABBBAAABBB...," or "ABCABCABCABC...," etc.
  • The type of modifications contained in the alternating motif may be the same or different. For example, if A, B, C, D each represent one type of modification on the nucleotide, the alternating pattern,i.e., modifications on every other nucleotide, may be the same, but each of the sense strand or antisense strand can be selected from several possibilities of modifications within the alternating motif such as "ABABAB...", "ACACAC..." "BDBDBD..." or "CDCDCD...," etc.
  • In one embodiment, the RNAi agent of the invention comprises the modification pattern for the alternating motif on the sense strand relative to the modification pattern for the alternating motif on the antisense strand is shifted. The shift may be such that the modified group of nucleotides of the sense strand corresponds to a differently modified group of nucleotides of the antisense strand andvice versa. For example, the sense strand when paired with the antisense strand in the dsRNA duplex, the alternating motif in the sense strand may start with "ABABAB" from 5'-3' of the strand and the alternating motif in the antisense strand may start with "BABABA" from 5'-3'of the strand within the duplex region. As another example, the alternating motif in the sense strand may start with "AABBAABB" from 5'-3' of the strand and the alternating motif in the antisense strand may start with "BBAABBAA" from 5'-3' of the strand within the duplex region, so that there is a complete or partial shift of the modification patterns between the sense strand and the antisense strand.
  • In one embodiment, the RNAi agent comprises the pattern of the alternating motif of 2'-O-methyl modification and 2'-F modification on the sense strand initially has a shift relative to the pattern of the alternating motif of 2'-O-methyl modification and 2'-F modification on the antisense strand initially,i.e., the 2'-O-methyl modified nucleotide on the sense strand base pairs with a 2'-F modified nucleotide on the antisense strand and vice versa. The 1 position of the sense strand may start with the 2'-F modification, and the 1 position of the antisense strand may start with the 2'- O-methyl modification.
  • The introduction of one or more motifs of three identical modifications on three consecutive nucleotides to the sense strand and/or antisense strand interrupts the initial modification pattern present in the sense strand and/or antisense strand. This interruption of the modification pattern of the sense and/or antisense strand by introducing one or more motifs of three identical modifications on three consecutive nucleotides to the sense and/or antisense strand surprisingly enhances the gene silencing activity to the target gene.
  • In one embodiment, when the motif of three identical modifications on three consecutive nucleotides is introduced to any of the strands, the modification of the nucleotide next to the motif is a different modification than the modification of the motif. For example, the portion of the sequence containing the motif is "...NaYYYNb...," where "Y" represents the modification of the motif of three identical modifications on three consecutive nucleotide, and "Na" and "Nb" represent a modification to the nucleotide next to the motif "YYY" that is different than the modification of Y, and where Na and Nb can be the same or different modifications. Alternatively, Na and/or Nb may be present or absent when there is a wing modification present.
  • The RNAi agent may further comprise at least one phosphorothioate or methylphosphonate internucleotide linkage. The phosphorothioate or methylphosphonate internucleotide linkage modification may occur on any nucleotide of the sense strand or antisense strand or both strands in any position of the strand. For instance, the internucleotide linkage modification may occur on every nucleotide on the sense strand and/or antisense strand; each internucleotide linkage modification may occur in an alternating pattern on the sense strand and/or antisense strand; or the sense strand or antisense strand may contain both internucleotide linkage modifications in an alternating pattern. The alternating pattern of the internucleotide linkage modification on the sense strand may be the same or different from the antisense strand, and the alternating pattern of the internucleotide linkage modification on the sense strand may have a shift relative to the alternating pattern of the internucleotide linkage modification on the antisense strand.
  • In one embodiment, the RNAi comprises a phosphorothioate or methylphosphonate internucleotide linkage modification in the overhang region. For example, the overhang region may contain two nucleotides having a phosphorothioate or methylphosphonate internucleotide linkage between the two nucleotides. Internucleotide linkage modifications also may be made to link the overhang nucleotides with the terminal paired nucleotides within the duplex region. For example, at least 2, 3, 4, or all the overhang nucleotides may be linked through phosphorothioate or methylphosphonate internucleotide linkage, and optionally, there may be additional phosphorothioate or methylphosphonate internucleotide linkages linking the overhang nucleotide with a paired nucleotide that is next to the overhang nucleotide. For instance, there may be at least two phosphorothioate internucleotide linkages between the terminal three nucleotides, in which two of the three nucleotides are overhang nucleotides, and the third is a paired nucleotide next to the overhang nucleotide. These terminal three nucleotides may be at the 3'-end of the antisense strand, the 3'-end of the sense strand, the 5'-end of the antisense strand, and/or the 5'end of the antisense strand.
  • In one embodiment, the 2 nucleotide overhang is at the 3'-end of the antisense strand, and there are two phosphorothioate internucleotide linkages between the terminal three nucleotides, wherein two of the three nucleotides are the overhang nucleotides, and the third nucleotide is a paired nucleotide next to the overhang nucleotide. Optionally, the RNAi agent may additionally have two phosphorothioate internucleotide linkages between the terminal three nucleotides at both the 5'-end of the sense strand and at the 5'-end of the antisense strand.
  • In one embodiment, the RNAi agent comprises mismatch(es) with the target, within the duplex, or combinations thereof. The mismatch may occur in the overhang region or the duplex region. The base pair may be ranked on the basis of their propensity to promote dissociation or melting(e.g., on the free energy of association or dissociation of a particular pairing, the simplest approach is to examine the pairs on an individual pair basis, though next neighbor or similar analysis can also be used). In terms of promoting dissociation: A:U is preferred over G:C; G:U is preferred over G:C; and I:C is preferred over G:C (I=inosine). Mismatches, e.g., non-canonical or other than canonical pairings (as described elsewhere herein) are preferred over canonical (A:T, A:U, G:C) pairings; and pairings which include a universal base are preferred over canonical pairings.
  • In one embodiment, the RNAi agent comprises at least one of the first 1, 2, 3, 4, or 5 base pairs within the duplex regions from the 5'- end of the antisense strand independently selected from the group of: A:U, G:U, I:C, and mismatched pairs,e.g., non-canonical or other than canonical pairings or pairings which include a universal base, to promote the dissociation of the antisense strand at the 5'-end of the duplex.
  • In one embodiment, the nucleotide at the 1 position within the duplex region from the 5'-end in the antisense strand is selected from the group consisting of A, dA, dU, U, and dT. Alternatively, at least one of the first 1, 2 or 3 base pair within the duplex region from the 5'-end of the antisense strand is an AU base pair. For example, the first base pair within the duplex region from the 5'- end of the antisense strand is an AU base pair.
  • In one embodiment, the sense strand sequence may be represented by formula (I):

            5' np-Na-(X X X )i-Nb-Y Y Y -Nb-(Z Z Z )j-Na-nq 3'     (I)

    wherein:
    • i and j are each independently 0 or 1;
    • p and q are each independently 0-6;
    • each Na independently represents an oligonucleotide sequence comprising 0-25 modified nucleotides, each sequence comprising at least two differently modified nucleotides;
    • each Nb independently represents an oligonucleotide sequence comprising 0-10 modified nucleotides;
    • each np and nq independently represent an overhang nucleotide;
    • wherein Nb and Y do not have the same modification; and
    • XXX, YYY and ZZZ each independently represent one motif of three identical modifications on three consecutive nucleotides. Preferably YYY is all 2'-F modified nucleotides.
  • In one embodiment, the Na and/or Nb comprise modifications of alternating pattern.
  • In one embodiment, the YYY motif occurs at or near the cleavage site of the sense strand. For example, when the RNAi agent has a duplex region of 17-23 nucleotides in length, the YYY motif can occur at or the vicinity of the cleavage site (e.g.: can occur atpositions 6, 7, 8, 7, 8, 9, 8, 9, 10, 9, 10, 11, 10, 11,12 or 11, 12, 13) of - the sense strand, the count starting from the 1st nucleotide, from the 5'-end; or optionally, the count starting at the 1st paired nucleotide within the duplex region, from the 5'- end.
  • In one embodiment, i is 1 and j is 0, or i is 0 and j is 1, or both i and j are 1. The sense strand can therefore be represented by the following formulas:
    • 5' np-Na-YYY-Nb-ZZZ-Na-nq 3' (Ib);
    • 5' np-Na-XXX-Nb-YYY-Na-nq 3' (Ic); or
    • 5' np-Na-XXX-Nb-YYY-Nb-ZZZ-Na-nq 3' (Id).
  • When the sense strand is represented by formula (Ib), Nb represents an oligonucleotide sequence comprising 0-10, 0-7, 0-5, 0-4, 0-2 or 0 modified nucleotides. Each Na independently can represent an oligonucleotide sequence comprising 2-20, 2-15, or 2-10 modified nucleotides.
  • When the sense strand is represented as formula (Ic), Nb represents an oligonucleotide sequence comprising 0-10, 0-7, 0-10, 0-7, 0-5, 0-4, 0-2 or 0 modified nucleotides. Each Na can independently represent an oligonucleotide sequence comprising 2-20, 2-15, or 2-10 modified nucleotides.
  • When the sense strand is represented as formula (Id), each Nb independently represents an oligonucleotide sequence comprising 0-10, 0-7, 0-5, 0-4, 0-2 or 0 modified nucleotides. Preferably, Nb is 0, 1, 2, 3, 4, 5 or 6 Each Na can independently represent an oligonucleotide sequence comprising 2-20, 2-15, or 2-10 modified nucleotides.
  • Each of X, Y and Z may be the same or different from each other.
  • In other embodiments, i is 0 and j is 0, and the sense strand may be represented by the formula:

            5' np-Na-YYY-Na-nq 3'     (Ia).

  • When the sense strand is represented by formula (Ia), each Na independently can represent an oligonucleotide sequence comprising 2-20, 2-15, or 2-10 modified nucleotides.
  • In one embodiment, the antisense strand sequence of the RNAi may be represented by formula (II):

            5' nq'-Na'-(Z'Z'Z')k-Nb'Y'Y'Y'-Nb'-(X'X'X')l-N'a-np' 3'     (II)

    wherein:
    • k and 1 are each independently 0 or 1:
    • p' and q' are each independently 0-6;
    • each Na' independently represents an oligonucleotide sequence comprising 0-25 modified nucleotides, each sequence comprising at least two differently modified nucleotides;
    • each Nb' independently represents an oligonucleotide sequence comprising 0-10 modified nucleotides;
    • each np' and nq' independently represent an overhang nucleotide;
    • wherein Nb' and Y' do not have the same modification;
    • and
    • X'X'X', Y'Y'Y' and Z'Z'Z' each independently represent one motif of three identical modifications on three consecutive nucleotides.
  • In one embodiment, the Na' and/or Nb' comprise modifications of alternating pattern.
  • The Y'Y'Y' motif occurs at or near the cleavage site of the antisense strand. For example, when the RNAi agent has a duplex region of 17-23nucleotidein length, the Y'Y'Y' motif can occur atpositions 9, 10, 11;10, 11, 12; 11, 12, 13; 12, 13, 14 ; or 13, 14, 15 of the antisense strand, with the count starting from the 1st nucleotide, from the 5'-end; or optionally, the count starting at the 1st paired nucleotide within the duplex region, from the 5'- end. Preferably, the Y'Y'Y' motif occurs atpositions 11, 12, 13.
  • In one embodiment, Y'Y'Y' motif is all 2'-OMe modified nucleotides.
  • In one embodiment, k is 1 and 1 is 0, or k is 0 and 1 is 1, or both k and 1 are 1.
  • The antisense strand can therefore be represented by the following formulas:

            5' nq'-Na'-Z'Z'Z'-Nb'-Y'Y'Y'-Na'-np' 3'     (IIb);

            5' nq'-Na'-Y'Y'Y'-Nb'-X'X'X'-np' 3'     (IIc);

    or

            5' nq'-Na'- Z'Z'Z'-Nb'-Y'Y'Y'-Nb'-X'X'X'-Na'-np' 3'     (IId).

  • When the antisense strand is represented by formula (IIb), Nb' represents an oligonucleotide sequence comprising 0-10, 0-7, 0-10, 0-7, 0-5, 0-4, 0-2 or 0 modified nucleotides. Each Na' independently represents an oligonucleotide sequence comprising 2-20, 2-15, or 2-10 modified nucleotides.
  • When the antisense strand is represented as formula (IIc), Nb' represents an oligonucleotide sequence comprising 0-10, 0-7, 0-10, 0-7, 0-5, 0-4, 0-2 or 0 modified nucleotides. Each Na' independently represents an oligonucleotide sequence comprising 2-20, 2-15, or 2-10 modified nucleotides.
  • When the antisense strand is represented as formula (IId), each Nb' independently represents an oligonucleotide sequence comprising 0-10, 0-7, 0-10, 0-7, 0-5, 0-4, 0-2 or 0 modified nucleotides. Each Na' independently represents an oligonucleotide sequence comprising 2-20, 2-15, or 2-10 modified nucleotides. Preferably, Nb is 0, 1, 2, 3, 4, 5 or 6.
  • In other embodiments, k is 0 and 1 is 0 and the antisense strand may be represented by the formula:

            5' np'-Na'-Y'Y'Y'- Na'-nq' 3'     (Ia).

  • When the antisense strand is represented as formula (IIa), each Na' independently represents an oligonucleotide sequence comprising 2-20, 2-15, or 2-10 modified nucleotides.
  • Each of X', Y' and Z' may be the same or different from each other.
  • Each nucleotide of the sense strand and antisense strand may be independently modified with LNA, HNA, CeNA, 2'-methoxyethyl, 2'-O-methyl, 2'-O-allyl, 2'-C- allyl, 2'-hydroxyl, or 2'-fluoro. For example, each nucleotide of the sense strand and antisense strand is independently modified with 2'-O-methyl or 2'-fluoro. Each X, Y, Z, X', Y' and Z', in particular, may represent a 2'-O-methyl modification or a 2'-fluoro modification.
  • In one embodiment, the sense strand of the RNAi agent may contain YYY motif occurring at 9, 10 and 11 positions of the strand when the duplex region is 21 nt, the count starting from the 1st nucleotide from the 5'-end, or optionally, the count starting at the 1st paired nucleotide within the duplex region, from the 5'- end; and Y represents 2'-F modification. The sense strand may additionally contain XXX motif or ZZZ motifs as wing modifications at the opposite end of the duplex region; and XXX and ZZZ each independently represents a 2'-OMe modification or 2'-F modification.
  • In one embodiment the antisense strand may contain Y'Y'Y' motif occurring atpositions 11, 12, 13 of the strand, the count starting from the 1st nucleotide from the 5'-end, or optionally, the count starting at the 1st paired nucleotide within the duplex region, from the 5'- end; and Y' represents 2'-O-methyl modification. The antisense strand may additionally contain X'X'X' motif or Z'Z'Z' motifs as wing modifications at the opposite end of the duplex region; and X'X'X' and Z'Z'Z' each independently represents a 2'-OMe modification or 2'-F modification.
  • The sense strand represented by any one of the above formulas (Ia), (Ib), (Ic), and (Id) forms a duplex with an antisense strand being represented by any one of formulas (IIa), (IIb), (IIc), and (IId), respectively.
  • Accordingly, the RNAi agents for use in the methods of the invention may comprise a sense strand and an antisense strand, each strand having 14 to 30 nucleotides, the RNAi duplex represented by formula (III):
    • sense:

              5' np-Na-(X X X)i-Nb-Y Y Y -Nb-(Z Z Z)j-Na-nq 3'

    • antisense:

              3' np'-Na'-(X'X'X')k-Nb'-Y'Y'Y'-Nb'-(Z'Z'Z')l-Na'-nq' 5'     (III)

      • wherein:
        • i, j, k, and 1 are each independently 0 or 1;
        • p, p', q, and q' are each independently 0-6;
        • each Na and Na independently represents an oligonucleotide sequence comprising 0-25 modified nucleotides, each sequence comprising at least two differently modified nucleotides;
        • each Nb and Nb independently represents an oligonucleotide sequence comprising 0-10 modified nucleotides;
      • wherein
        • each np', np, nq', and nq, each of which may or may not be present, independently represents an overhang nucleotide; and
        • XXX, YYY, ZZZ, X'X'X', Y'Y'Y', and Z'Z'Z' each independently represent one motif of three identical modifications on three consecutive nucleotides.
  • In one embodiment, i is 0 and j is 0; or i is 1 and j is 0; or i is 0 and j is 1; or both i and j are 0; or both i and j are 1. In another embodiment, k is 0 and 1 is 0; or k is 1 and 1 is 0; k is 0 and 1 is 1; or both k and 1 are 0; or both k and 1 are 1.
  • Exemplary combinations of the sense strand and antisense strand forming a RNAi duplex include the formulas below:

            5' np - Na -Y Y Y-Na-nq 3'

            3' np-Na-Y'Y'Y' -Nanq 5'     (IIIa)

            5' np -Na -Y Y Y -Nb -Z Z Z -Na-nq 3'

            3' np'-Na'-Y'Y'Y'-Nb'-Z'Z'Z'-Na'nq' 5'     (IIIb)

            5' np-Na- X X X -Nb -Y Y Y - Na-nq 3'

            3' np'-Na'-X'X'X'-Nb'-Y'Y'Y'-Na'-nq' 5'     (IIIc)

            5' np -Na -X X X -Nb-Y Y Y -Nb- Z Z Z -Na-nq 3'

            3'np'-Na'-X'X'X'-Nb'-Y'Y'Y'-Nb'-Z'Z'Z'-Na-nq' 5'     (IIId)

  • When the RNAi agent is represented by formula (IIIa), each Na independently represents an oligonucleotide sequence comprising 2-20, 2-15, or 2-10 modified nucleotides.
  • When the RNAi agent is represented by formula (IIIb), each Nb independently represents an oligonucleotide sequence comprising 1-10, 1-7, 1-5 or 1-4 modified nucleotides. Each Na independently represents an oligonucleotide sequence comprising 2-20, 2-15, or 2-10 modified nucleotides.
  • When the RNAi agent is represented as formula (IIIc), each Nb, Nb' independently represents an oligonucleotide sequence comprising 0-10, 0-7, 0-10, 0-7, 0-5, 0-4, 0-2 or 0modified nucleotides. Each Na independently represents an oligonucleotide sequence comprising 2-20, 2-15, or 2-10 modified nucleotides.
  • When the RNAi agent is represented as formula (IIId), each Nb, Nb' independently represents an oligonucleotide sequence comprising 0-10, 0-7, 0-10, 0-7, 0-5, 0-4, 0-2 or 0modified nucleotides. Each Na, Na' independently represents an oligonucleotide sequence comprising 2-20, 2-15, or 2-10 modified nucleotides. Each of Na, Na', Nb and Nb' independently comprises modifications of alternating pattern.
  • Each of X, Y and Z in formulas (III), (IIIa), (IIIb), (IIIc), and (IIId) may be the same or different from each other.
  • When the RNAi agent is represented by formula (III), (IIIa), (IIIb), (IIIc), and (IIId), at least one of the Y nucleotides may form a base pair with one of the Y' nucleotides. Alternatively, at least two of the Y nucleotides form base pairs with the corresponding Y' nucleotides; or all three of the Y nucleotides all form base pairs with the corresponding Y' nucleotides.
  • When the RNAi agent is represented by formula (IIIb) or (IIId), at least one of the Z nucleotides may form a base pair with one of the Z' nucleotides. Alternatively, at least two of the Z nucleotides form base pairs with the corresponding Z' nucleotides; or all three of the Z nucleotides all form base pairs with the corresponding Z' nucleotides.
  • When the RNAi agent is represented as formula (IIIc) or (IIId), at least one of the X nucleotides may form a base pair with one of the X' nucleotides. Alternatively, at least two of the X nucleotides form base pairs with the corresponding X' nucleotides; or all three of the X nucleotides all form base pairs with the corresponding X' nucleotides.
  • In one embodiment, the modification on the Y nucleotide is different than the modification on the Y' nucleotide, the modification on the Z nucleotide is different than the modification on the Z' nucleotide, and/or the modification on the X nucleotide is different than the modification on the X' nucleotide.
  • In one embodiment, when the RNAi agent is represented by formula (IIId), the Na modifications are 2'-O-methyl or 2'-fluoro modifications. In another embodiment, when the RNAi agent is represented by formula (IIId), the Na modifications are 2'-O-methyl or 2'-fluoro modifications and np' >0 and at least one np' is linked to a neighboring nucleotide a via phosphorothioate linkage. In yet another embodiment, when the RNAi agent is represented by formula (IIId), the Na modifications are 2'-O-meihyl or 2'-fluoro modifications , np' >0 and at least one np' is linked to a neighboring nucleotide via phosphorothioate linkage, and the sense strand is conjugated to one or more GalNAc derivatives attached through a bivalent or trivalent branched linker. In another embodiment, when the RNAi agent is represented by formula (IIId), the Na modifications are 2'-O-methyl or 2'-fluoro modifications , np' >0 and at least one np' is linked to a neighboring nucleotide via phosphorothioate linkage, the sense strand comprises at least one phosphorothioate linkage, and the sense strand is conjugated to one or more GalNAc derivatives attached through a bivalent or trivalent branched linker.
  • In one embodiment, when the RNAi agent is represented by formula (IIIa), the Na modifications are 2'-O-methyl or 2'-fluoro modifications , np' >0 and at least one np' is linked to a neighboring nucleotide via phosphorothioate linkage, the sense strand comprises at least one phosphorothioate linkage, and the sense strand is conjugated to one or more GalNAc derivatives attached through a bivalent or trivalent branched linker.
  • In one embodiment, the RNAi agent is a multimer containing at least two duplexes represented by formula (III), (IIIa), (IIIb), (IIIc), and (IIId), wherein the duplexes are connected by a linker. The linker can be cleavable or non-cleavable. Optionally, the multimer further comprises a ligand. Each of the duplexes can target the same gene or two different genes; or each of the duplexes can target same gene at two different target sites.
  • In one embodiment, the RNAi agent is a multimer containing three, four, five, six or more duplexes represented by formula (III), (IIIa), (IIIb), (IIIc), and (IIId), wherein the duplexes are connected by a linker. The linker can be cleavable or non-cleavable. Optionally, the multimer further comprises a ligand. Each of the duplexes can target the same gene or two different genes; or each of the duplexes can target same gene at two different target sites.
  • In one embodiment, two RNAi agents represented by formula (III), (IIIa), (IIIb), (IIIc), and (IIId) are linked to each other at the 5' end, and one or both of the 3' ends and are optionally conjugated to a ligand. Each of the agents can target the same gene or two different genes; or each of the agents can target same gene at two different target sites.
  • Various publications describe multimeric RNAi agents that can be used in the methods of the invention. Such publications includeWO2007/091269,US Patent No. 7858769,WO2010/141511,WO2007/117686,WO2009/014887 andWO2011/031520 the entire contents of each of which are hereby incorporated herein by reference.
  • The RNAi agent that contains conjugations of one or more carbohydrate moieties to a RNAi agent can optimize one or more properties of the RNAi agent. In many cases, the carbohydrate moiety will be attached to a modified subunit of the RNAi agent. For example, the ribose sugar of one or more ribonucleotide subunits of a dsRNA agent can be replaced with another moiety,e.g., a non-carbohydrate (preferably cyclic) carrier to which is attached a carbohydrate ligand. A ribonucleotide subunit in which the ribose sugar of the subunit has been so replaced is referred to herein as a ribose replacement modification subunit (RRMS). A cyclic carrier may be a carbocyclic ring system, i.e., all ring atoms are carbon atoms, or a heterocyclic ring system,i.e., one or more ring atoms may be a heteroatom,e.g., nitrogen, oxygen, sulfur. The cyclic carrier may be a monocyclic ring system, or may contain two or more rings,e.g. fused rings. The cyclic carrier may be a fully saturated ring system, or it may contain one or more double bonds.
  • The ligand may be attached to the polynucleotide via a carrier. The carriers include (i) at least one "backbone attachment point," preferably two "backbone attachment points" and (ii) at least one "tethering attachment point." A "backbone attachment point" as used herein refers to a functional group,e.g. a hydroxyl group, or generally, a bond available for, and that is suitable for incorporation of the carrier into the backbone,e.g., the phosphate, or modified phosphate,e.g., sulfur containing, backbone, of a ribonucleic acid. A "tethering attachment point" (TAP) in some embodiments refers to a constituent ring atom of the cyclic carrier,e.g., a carbon atom or a heteroatom (distinct from an atom which provides a backbone attachment point), that connects a selected moiety. The moiety can be,e.g., a carbohydrate,e.g. monosaccharide, disaccharide, trisaccharide, tetrasaccharide, oligosaccharide and polysaccharide. Optionally, the selected moiety is connected by an intervening tether to the cyclic carrier. Thus, the cyclic carrier will often include a functional group,e.g., an amino group, or generally, provide a bond, that is suitable for incorporation or tethering of another chemical entity,e.g., a ligand to the constituent ring.
  • The RNAi agents may be conjugated to a ligandvia a carrier, wherein the carrier can be cyclic group or acyclic group; preferably, the cyclic group is selected from pyrrolidinyl, pyrazolinyl, pyrazolidinyl, imidazolinyl, imidazolidinyl, piperidinyl, piperazinyl, [1,3]dioxolane, oxazolidinyl, isoxazolidinyl, morpholinyl, thiazolidinyl, isothiazolidinyl, quinoxalinyl, pyridazinonyl, tetrahydrofuryl and decalin; preferably, the acyclic group is selected from serinol backbone or diethanolamine backbone.
  • In certain specific embodiments, the RNAi agent for use in the methods of the invention is an agent selected from the group of agents listed in any one of Tables 1 and 2. In one embodiment, when the agent is an agent listed in Table 1, the agent may lack a terminal dT.
  • The present invention further includes double-stranded RNAi agents comprising any one of the sequences listed in any one of Tables 1 or 2 which comprise a 5' phosphate or phosphate mimetic on the antisense strand (see,e.g.,PCT Publication No. WO 2011005860). Further, the present invention includes double-stranded RNAi agents comprising any one of the sequences listed in any one of Tables 1 or 2 which include a 2'fluoro group in place of a 2'-OMe group at the 5'end of the sense strand.
  • Additional motifs
  • In certain aspects, the double-stranded RNAi agents described herein comprises a sense strand and an antisense strand wherein said sense strand and an antisense strand comprise less than eleven, ten, nine, eight, seven, six, or five 2'-deoxyflouro.
  • In certain aspects, the double-stranded RNAi agents described herein comprises a sense strand and an antisense strand, wherein said sense strand and an antisense strand comprise less than ten, nine, eight, seven, six, five, four phosphorothioate internucleotide linkages.
  • In certain aspects, the double-stranded RNAi agents described herein comprises a sense strand and an antisense strand, wherein said sense strand and an antisense strand comprise less than ten 2'-deoxyflouro and less than six phosphorothioate internucleotide linkages.
  • In certain aspects, the double-stranded RNAi agents described herein comprises a sense strand and an antisense strand, wherein said sense strand and an antisense strand comprise less than eight 2'-deoxyflouro and less than six phosphorothioate internucleotide linkages.
  • In certain aspects, the double-stranded RNAi agents described herein comprises a sense strand and an antisense strand, wherein said sense strand and an antisense strand comprise less than nine 2'-deoxyflouro and less than six phosphorothioate internucleotide linkages.
  • Ligands
  • The double-stranded RNAi agents of the invention may optionally be conjugated to one or more ligands. The ligand can be attached to the sense strand, antisense strand or both strands, at the 3'-end, 5'-end or both ends. For instance, the ligand may be conjugated to the sense strand. In some embodiments, the ligand is conjugated to the 3'-end of the sense strand. In one embodiment, the ligand is a GalNAc ligand. In particularly some embodiments, the ligand is GalNAc3. The ligands are coupled, preferably covalently, either directly or indirectly via an intervening tether.
  • In some embodiments, a ligand alters the distribution, targeting or lifetime of the molecule into which it is incorporated. In some embodiments a ligand provides an enhanced affinity for a selected target,e.g., molecule, cell or cell type, compartment, receptore.g., a cellular or organ compartment, tissue, organ or region of the body, as,e.g., compared to a species absent such a ligand. Ligands providing enhanced affinity for a selected target are also termed targeting ligands.
  • Some ligands can have endosomolytic properties. The endosomolytic ligands promote the lysis of the endosome and/or transport of the composition of the invention, or its components, from the endosome to the cytoplasm of the cell. The endosomolytic ligand may be a polyanionic peptide or peptidomimetic which shows pH-dependent membrane activity and fusogenicity. In one embodiment, the endosomolytic ligand assumes its active conformation at endosomal pH. The "active" conformation is that conformation in which the endosomolytic ligand promotes lysis of the endosome and/or transport of the composition of the invention, or its components, from the endosome to the cytoplasm of the cell. Exemplary endosomolytic ligands include the GALA peptide (Subbarao et al., Biochemistry, 1987, 26: 2964-2972), the EALA peptide (Vogel et al., J. Am. Chem. Soc., 1996, 118: 1581-1586), and their derivatives (Turk et al., Biochem. Biophys. Acta, 2002, 1559: 56-68). In one embodiment, the endosomolytic component may contain a chemical group (e.g., an amino acid) which will undergo a change in charge or protonation in response to a change in pH. The endosomolytic component may be linear or branched.
  • Ligands can improve transport, hybridization, and specificity properties and may also improve nuclease resistance of the resultant natural or modified oligoribonucleotide, or a polymeric molecule comprising any combination of monomers described herein and/or natural or modified ribonucleotides.
  • Ligands in general can include therapeutic modifiers,e.g., for enhancing uptake; diagnostic compounds or reporter groupse.g., for monitoring distribution; cross-linking agents; and nuclease-resistance conferring moieties. General examples include lipids, steroids, vitamins, sugars, proteins, peptides, polyamines, and peptide mimics.
  • Ligands can include a naturally occurring substance, such as a protein (e.g., human serum albumin (HSA), low-density lipoprotein (LDL), high-density lipoprotein (HDL), or globulin); a carbohydrate (e.g., a dextran, pullulan, chitin, chitosan, inulin, cyclodextrin or hyaluronic acid); or a lipid. The ligand may also be a recombinant or synthetic molecule, such as a synthetic polymer,e.g., a synthetic polyamino acid, an oligonucleotide (e.g., an aptamer). Examples of polyamino acids include polyamino acid is a polylysine (PLL), poly L-aspartic acid, poly L-glutamic acid, styrene-maleic acid anhydride copolymer, poly(L-lactide-co-glycolied) copolymer, divinyl ether-maleic anhydride copolymer, N-(2-hydroxypropyl)methacrylamide copolymer (HMPA), polyethylene glycol (PEG), polyvinyl alcohol (PVA), polyurethane, poly(2-ethylacryllic acid), N-isopropylacrylamide polymers, or polyphosphazine. Example of polyamines include: polyethylenimine, polylysine (PLL), spermine, spermidine, polyamine, pseudopeptide-polyamine, peptidomimetic polyamine, dendrimer polyamine, arginine, amidine, protamine, cationic lipid, cationic porphyrin, quaternary salt of a polyamine, or an alpha helical peptide.
  • Ligands can also include targeting groups,e.g., a cell or tissue targeting agent,e.g., a lectin, glycoprotein, lipid or protein,e.g., an antibody, that binds to a specified cell type such as a kidney cell. A targeting group can be a thyrotropin, melanotropin, lectin, glycoprotein, surfactant protein A, Mucin carbohydrate, multivalent lactose, multivalent galactose, N-acetyl-galactosamine, N-acetyl-gulucosamine multivalent mannose, multivalent fucose, glycosylated polyaminoacids, multivalent galaciose, iransferrin, bisphosphonaie, polyglutamate, polyaspartate, a lipid, cholesterol, a steroid, bile acid, folate, vitamin B12, biotin, an RGD peptide, an RGD peptide mimetic or an aptamer.
  • Other examples of ligands include dyes, intercalating agents (e.g., acridines), crosslinkers (e.g., psoralene, mitomycin C), porphyrins (TPPC4, texaphyrin, Sapphyrin), polycyclic aromatic hydrocarbons (e.g., phenazine, dihydrophenazine), artificial endonucleases or a chelator (e.g., EDTA), lipophilic molecules,e.g., cholesterol, cholic acid, adamantane acetic acid, 1-pyrene butyric acid, dihydrotestosterone, 1,3-Bis-O(hexadecyl)glycerol, geranyloxyhexyl group, hexadecylglycerol, boraeol, menthol, 1,3-propanediol, heptadecyl group, palmitic acid, myristic acid,O3-(oleoyl)lithocholie acid, O3-(oleoyl)cholenic acid, dimethoxytrityl, or phenoxazine)and peptide conjugates (e.g., antennapedia peptide, Tat peptide), alkylating agents, phosphate, amino, mercapto, PEG(e.g., PEG-40K), MPEG, [MPEG]2, polyamino, alkyl, substituted alkyl, radiolabeled markers, enzymes, haptens (e.g., biotin), transport/absorption facilitators (e.g., aspirin, vitamin E, folic acid), synthetic ribonucleases (e.g., imidazole, bisimidazole, histamine, imidazole clusters, acridine-imidazole conjugates, Eu3+ complexes of tetraazamacrocycles), dinitropbenyl, HRP, or AP.
  • Ligands can be proteins,e.g., glycoproteins, or peptides,e.g., molecules having a specific affinity for a co-ligand, or antibodiese.g., an antibody, that binds to a specified cell type such as a cancer cell, endothelial cell, or bone cell. Ligands may also include hormones and hormone receptors. They can also include non-peptidic species, such as lipids, lectins, carbohydrates, vitamins, cofactors, multivalent lactose, multivalent galactose, N-acetylgalactosamine, N-acetyl-gulucosamine multivalent mannose, multivalent fucose, or aptamers. The ligand can be, for example, a lipopolysaccharide, an activator of p38 MAP kinase, or an activator of NF-κB.
  • The ligand can be a substance,e.g., a drug, which can increase the uptake of the iRNA agent into the cell, for example, by disrupting the cell's cytoskeleton,e.g., by disrupting the cell's microtubules, microfilaments, and/or intermediate filaments. The drug can be, for example, taxon, vincristine, vinblastine, cytochalasin, nocodazole, japlakinolide, latrunculin A, phalloidin, swinholide A, indanocine, or myoservin.
  • The ligand can increase the uptake of the oligonucleotide into the cell by, for example, activating an inflammatory response. Exemplary ligands that would have such an effect include tumor necrosis factor alpha (TNFalpha), interleukin-1 beta, or gamma interferon.
  • In one aspect, the ligand is a lipid or lipid-based molecule. Such a lipid or lipid-based molecule preferably binds a serum protein,e.g., human serum albumin (HSA). An HSA binding ligand allows for distribution of the conjugate to a target tissue,e.g., a non-kidney target tissue of the body. For example, the target tissue can be the liver, including parenchymal cells of the liver. Other molecules that can bind HSA can also be used as ligands. For example, naproxen or aspirin can be used. A lipid or lipid-based ligand can (a) increase resistance to degradation of the conjugate, (b) increase targeting or transport into a target cell or cell membrane, and/or (c) can be used to adjust binding to a serum protein,e.g., HSA.
  • A lipid based ligand can be used to modulate,e.g., control the binding of the conjugate to a target tissue. For example, a lipid or lipid-based ligand that binds to HSA more strongly will be less likely to be targeted to the kidney and therefore less likely to be cleared from the body. A lipid or lipid-based ligand that binds to HSA less strongly can be used to target the conjugate to the kidney.
  • In one embodiment, the lipid based ligand binds HSA. Preferably, it binds HSA with a sufficient affinity such that the conjugate will be preferably distributed to a non-kidney tissue. In one embodiment, the affinity is such that that the HSA-ligand binding can be reversed. In another embodiment, the lipid based ligand binds HSA weakly or not at all, such that the conjugate will be preferably distributed to the kidney. Other moieties that target to kidney cells can also be used in place of or in addition to the lipid based ligand.
  • In another aspect, the ligand is a moiety,e.g., a vitamin, which is taken up by a target cell,e.g., a proliferating cell. These are particularly useful for treating disorders characterized by unwanted cell proliferation,e.g., of the malignant or non-malignant type,e.g., cancer cells. Exemplary vitamins include vitamin A, E, and K. Other exemplary vitamins include B vitamins,e.g., folic acid, B12, riboflavin, biotin, pyridoxal or other vitamins or nutrients taken up by cancer cells. Also included are HAS, low density lipoprotein (LDL) and high-density lipoprotein (HDL).
  • In another aspect, the ligand is a cell-permeation agent, preferably a helical cell-permeation agent. Preferably, the agent is amphipathic. An exemplary agent is a peptide such as tat or antennopedia. If the agent is a peptide, it can be modified, including a peptidylmimetic, invertomers, non-peptide or pseudo-peptide linkages, and use of D-amino acids. The helical agent is preferably an alpha-helical agent, which preferably has a lipophilic and a lipophobic phase.
  • The ligand can be a peptide or peptidomimetic. A peptidomimetic (also referred to herein as an oligopeptidomimetic) is a molecule capable of folding into a defined three-dimensional structure similar to a natural peptide. The peptide or peptidomimetic moiety can be about 5-50 amino acids long,e.g., about 5, 10, 15, 20, 25, 30, 35, 40, 45, or 50 amino acids long. A peptide or peptidomimetic can be, for example, a cell permeation peptide, cationic peptide, amphipathic peptide, or hydrophobic peptide (e.g., consisting primarily of Tyr, Trp or Phe). The peptide moiety can be a dendrimer peptide, constrained peptide or crosslinked peptide. In another alternative, the peptide moiety can include a hydrophobic membrane translocation sequence (MTS). An exemplary hydrophobic MTS-containing peptide is RFGF having the amino acid sequence AAVALLPAVLLALLAP (SEQ ID NO: 9). An RFGF analogue (e.g., amino acid sequence AALLPVLLAAP (SEQ ID NO: 10)) containing a hydrophobic MTS can also be a targeting moiety. The peptide moiety can be a "delivery" peptide, which can carry large polar molecules including peptides, oligonucleotides, and protein across cell membranes. For example, sequences from the HIV Tat protein (GRKKRRQRRRPPQ) (SEQ ID NO: 11) and the Drosophila Antennapedia protein (RQIKIWFQNRRMKWKK) (SEQ ID NO: 12) have been found to be capable of functioning as delivery peptides. A peptide or peptidomimetic can be encoded by a random sequence of DNA, such as a peptide identified from a phage-display library, or one-bead-one-compound (OBOC) combinatorial library (Lam et al., Nature, 354:82-84, 1991). Preferably the peptide or peptidomimetic tethered to an iRNA agent via an incorporated monomer unit is a cell targeting peptide such as an arginine-glycine-aspartic acid (RGD)-peptide, or RGD mimic. A peptide moiety can range in length from about 5 amino acids to about 40 amino acids. The peptide moieties can have a structural modification, such as to increase stability or direct conformational properties. Any of the structural modifications described below can be utilized. An RGD peptide moiety can be used to target a tumor cell, such as an endothelial tumor cell or a breast cancer tumor cell (Zitzmann et al., Cancer Res., 62:5139-43, 2002). An RGD peptide can facilitate targeting of an iRNA agent to tumors of a variety of other tissues, including the lung, kidney, spleen, or liver (Aoki et al., Cancer Gene Therapy 8:783-787, 2001). Preferably, the RGD peptide will facilitate targeting of an iRNA agent to the kidney. The RGD peptide can be linear or cyclic, and can be modified,e.g., glycosylated or methylated to facilitate targeting to specific tissues. For example, a glycosylated RGD peptide can deliver an iRNA agent to a tumor cell expressing αvβ3 (Haubner et al., Jour. Nucl. Med., 42:326-336, 2001). Peptides that target markers enriched in proliferating cells can be used. For example, RGD containing peptides and peptidomimetics can target cancer cells, in particular cells that exhibit an integrin. Thus, one could use RGD peptides, cyclic peptides containing RGD, RGD peptides that include D-amino acids, as well as synthetic RGD mimics. In addition to RGD, one can use other moieties that target the integrin ligand. Generally, such ligands can be used to control proliferating cells and angiogenesis. Some conjugates of this type of ligand target PECAM-1, VEGF, or other cancer gene,e.g., a cancer gene described herein.
  • A "cell permeation peptide" is capable of permeating a cell,e.g., a microbial cell, such as a bacterial or fungal cell, or a mammalian cell, such as a human cell. A microbial cell-permeating peptide can be, for example, an α-helical linear peptide (e.g., LL-37 or Ceropin PI), a disulfide bond-containing peptide (e.g., α -defensin, β-defensin or bactenecin), or a peptide containing only one or two dominating amino acids (e.g., PR-39 or indolicidin). A cell permeation peptide can also include a nuclear localization signal (NLS). For example, a cell permeation peptide can be a bipartite amphipathic peptide, such as MPG, which is derived from the fusion peptide domain of HIV-1 gp41 and the NLS of SV40 large T antigen (Simeoni et al., Nucl. Acids Res. 31:2717-2724, 2003).
  • In one embodiment, a targeting peptide can be an amphipathic a-helical peptide. Exemplary amphipathic α-helical peptides include, but are not limited to, cecropins, lycotoxins, paradaxins, buforin, CPF, bombinin-like peptide (BLP), cathelicidins, ceratotoxins, S. clava peptides, hagfish intestinal antimicrobial peptides (HFIAPs), magainines, brevinins-2, dermaseptins, melittins, pleurocidin, H2A peptides, Xenopus peptides, esculentinis-1, and caerins. A number of factors will preferably be considered to maintain the integrity of helix stability. For example, a maximum number of helix stabilization residues will be utilized (e.g., leu, ala, or lys), and a minimum number helix destabilization residues will be utilized (e.g., proline, or cyclic monomeric units. The capping residue will be considered (for example Gly is an exemplary N-capping residue and/or C-terminal amidation can be used to provide an extra H-bond to stabilize the helix. Formation of salt bridges between residues with opposite charges, separated by i ± 3, or i ± 4 positions can provide stability. For example, cationic residues such as lysine, arginine, homo-arginine, ornithine or histidine can form salt bridges with the anionic residues glutamate or aspartate.
  • Peptide and peptidomimetic ligands include those having naturally occurring or modified peptides,e.g., D or L peptides; α, β, or γ peptides; N-methyl peptides; azapeptides; peptides having one or more amide,i.e., peptide, linkages replaced with one or more urea, thiourea, carbamate, or sulfonyl urea linkages; or cyclic peptides.
  • The targeting ligand can be any ligand that is capable of targeting a specific receptor. Examples are: folate, GalNAc, galactose, mannose, mannose-6P, clusters of sugars such as GalNAc cluster, mannose cluster, galactose cluster, or an aptamer. A cluster is a combination of two or more sugar units. The targeting ligands also include integrin receptor ligands, Chemokine receptor ligands, transferrin, biotin, serotonin receptor ligands, PSMA, endothelin, GCPII, somatostatin, LDL and HDL ligands. The ligands can also be based on nucleic acid,e.g., an aptamer. The aptamer can be unmodified or have any combination of modifications disclosed herein.
  • Endosomal release agents include imidazoles, poly or oligoimidazoles, PEIs, peptides, fusogenic peptides, polycaboxylates, polyacations, masked oligo or poly cations or anions, acetals, polyacetals, ketals/polyketyals, orthoesters, polymers with masked or unmasked cationic or anionic charges, dendrimers with masked or unmasked cationic or anionic charges.
  • PK modulator stands for pharmacokinetic modulator. PK modulators include lipophiles, bile acids, steroids, phospholipid analogues, peptides, protein binding agents, PEG, vitamins etc. Exemplary PK modulators include, but are not limited to, cholesterol, fatty acids, cholic acid, lithocholic acid, dialkylglycerides, diacylglyceride, phospholipids, sphingolipids, naproxen, ibuprofen, vitamin E, biotin etc. Oligonucleotides that comprise a number of phosphorothioate linkages are also known to bind to serum protein, thus short oligonucleotides,e.g., oligonucleotides of about 5 bases, 10 bases, 15 bases or 20 bases, comprising multiple phosphorothioate linkages in the backbone are also amenable to the present invention as ligands (e.g., as PK modulating ligands).
  • In addition, aptamers that bind serum components (e.g., serum proteins) are also amenable to the present invention as PK modulating ligands.
  • Other ligand conjugates amenable to the invention are described in U.S. Patent ApplicationsUSSN: 10/916,185, filed August 10, 2004;USSN: 10/946,873, filed September 21, 2004;USSN: 10/833,934, filed August 3, 2007;USSN: 11/115,989 filed April 27, 2005 andUSSN: 11/944,227 filed November 21, 2007, which are incorporated by reference in their entireties for all purposes.
  • When two or more ligands are present, the ligands can all have same properties, all have different properties or some ligands have the same properties while others have different properties. For example, a ligand can have targeting properties, have endosomolytic activity or have PK modulating properties. In one embodiment, all the ligands have different properties.
  • Ligands can be coupled to the oligonucleotides at various places, for example, 3'-end, 5'-end, and/or at an internal position. In some embodiments, the ligand is attached to the oligonucleotidesvia an intervening tether,e.g., a carrier described herein. The ligand or tethered ligand may be present on a monomer when the monomer is incorporated into the growing strand. In some embodiments, the ligand may be incorporated via coupling to a "precursor" monomer after the "precursor" monomer has been incorporated into the growing strand. For example, a monomer having,e.g., an amino-terminated tether (i.e., having no associated ligand),e.g., TAP-(CH2)nNH2 may be incorporated into a growing oligonucleotides strand. In a subsequent operation,i.e., after incorporation of the precursor monomer into the strand, a ligand having an electrophilic group,e.g., a pentafluorophenyl ester or aldehyde group, can subsequently be attached to the precursor monomer by coupling the electrophilic group of the ligand with the terminal nucleophilic group of the precursor monomer's tether.
  • In another example, a monomer having a chemical group suitable for taking part in Click Chemistry reaction may be incorporated,e.g., an azide or alkyne terminated tether/linker. In a subsequent operation,i.e., after incorporation of the precursor monomer into the strand, a ligand having complementary chemical group,e.g. an alkyne or azide can be attached to the precursor monomer by coupling the alkyne and the azide together.
  • In some embodiments, a ligand can be conjugated to nucleobases, sugar moieties, or internucleosidic linkages of nucleic acid molecules. Conjugation to purine nucleobases or derivatives thereof can occur at any position including, endocyclic and exocyclic atoms. In some embodiments, the 2-, 6-, 7-, or 8-positions of a purine nucleobase are attached to a conjugate moiety. Conjugation to pyrimidine nucleobases or derivatives thereof can also occur at any position. In some embodiments, the 2-, 5-, and 6-positions of a pyrimidine nucleobase can be substituted with a conjugate moiety. Conjugation to sugar moieties of nucleosides can occur at any carbon atom. Example carbon atoms of a sugar moiety that can be attached to a conjugate moiety include the 2', 3', and 5' carbon atoms. The 1' position can also be attached to a conjugate moiety, such as in an abasic residue. Internucleosidic linkages can also bear conjugate moieties. For phosphorus-containing linkages (e.g., phosphodiester, phosphorothioate, phosphorodithiotate, phosphoroamidate, and the like), the conjugate moiety can be attached directly to the phosphorus atom or to an O, N, or S atom bound to the phosphorus atom. For amine- or amide-containing internuclcosidic linkages (e.g., PNA), the conjugate moiety can be attached to the nitrogen atom of the amine or amide or to an adjacent carbon atom.
  • GalNAc ligands and linkers
  • In some embodiment, an siRNA targeting an HAO1 gene is conjugated to a carbohydratee.g. monosaccharide (such as GalNAc), disaccharide, trisaccharide, tetrasaccharide, polysaccharide. In some embodiments, the siRNA is conjugated to N-acetylgalactosamine (GalNAc) ligand. The enhances efficient delivery to hepatocytes following subcutaneous administration. Methods of conjugation of carbohydrates, e.g., N-acetylgalactosamine, to, e.g., an siRNA are well known to one of skill in the art. Examples can be found inUS8,106,022 andWO2014/025805.
  • In some embodiments, an siRNA targeting an HAO1 gene is conjugated to a ligand, e.g., to GalNac, via a linker. For example, the ligand can be one or more GalNAc (N-acetylglucosamine) derivatives attached through a bivalent or trivalent branched linker.
  • In one embodiment, the dsRNA of the invention is conjugated to a bivalent and trivalent branched linkers include the structures shown in any of formula (IV) - (VII):
    Figure imgb0001
    Figure imgb0002
    Figure imgb0003
    or
    Figure imgb0004
    wherein:
    • q2A, q2B, q3A, q3B, q4A, q4B, q5A, q5B and q5C represent independently for each occurrence 0-20 and wherein the repeating unit can be the same or different;
    • P2A, P2B, P3A, P3B, P4A, P4B, P5A, P5B, P5C, T2A, T2B, T3A, T3B, T4A, T4B, T4A, T5B, T5C are each independently for each occurrence absent, CO, NH, O, S, OC(O), NHC(O), CH2, CH2NH or CH2O;
    • Q2A, Q2B, Q3A, Q3B, Q4A, Q4B, Q5A, Q5B, Q5C are independently for each occurrence absent, alkylene, substituted alkylene wherein one or more methylenes can be interrupted or terminated by one or more of O, S, S(O), SO2, N(RN), C(R')=C(R"), C≡C or C(O);
    • R2A, R2B, R3A, R3B, R4A, R4B, R5A, R5B, R5C are each independently for each occurrence absent, NH, O, S, CH2, C(O)O, C(O)NH, NHCH(Ra)C(O), -C(O)-CH(Ra)-NH-,
      Figure imgb0005
      Figure imgb0006
      or heterocyclyl;
    • L2A, L2B, L3A, L3B, L4A, L4B, L5A, L5B and L5C represent the ligand;i.e. each independently for each occurrence a monosaccharide (such as GalNAc), disaccharide, trisaccharide, tetrasaccharide, oligosaccharide, or polysaccharide; and
    • Ra is H or amino acid side chain.
  • Trivalent conjugating GalNAc derivatives are particularly useful for use with RNAi agents for inhibiting the expression of a target gene, such as those of formula (VII):
    Figure imgb0007
    wherein L5A, L5B and L5C represent a monosaccharide, such as GalNAc derivative.
  • Examples of suitable bivalent and trivalent branched linker groups conjugating GalNAc derivatives include, but are not limited to, the following compounds:
    Figure imgb0008
    Figure imgb0009
    Figure imgb0010
    Figure imgb0011
    Figure imgb0012
    Figure imgb0013
    Figure imgb0014
    Figure imgb0015
    Figure imgb0016
    or
    Figure imgb0017
  • Additional ligands
  • In some embodiments the ligand is selected from one of the following:
    Figure imgb0018
    Figure imgb0019
    Figure imgb0020
    Figure imgb0021
    Figure imgb0022
    and
    Figure imgb0023
  • III.Delivery of an iRNA of the Invention
  • The delivery of an iRNA agent of the invention to a celle.g., a cell within a subject, such as a human subject (e.g., a subject in need thereof, such as a subject having a HAO1 associated disorder)can be achieved in a number of different ways. For example, delivery may be performed by contacting a cell with an iRNA of the invention eitherin vitro orin vivo. In vivo delivery may also be performed directly by administering a composition comprising an iRNA,e.g., a dsRNA, to a subject. Alternatively,in vivo delivery may be performed indirectly by administering one or more vectors that encode and direct the expression of the iRNA. These alternatives are discussed further below.
  • In general, any method of delivering a nucleic acid molecule (in vitro orin vivo) can be adapted for use with an iRNA of the invention (seee.g.,Akhtar S. and Julian RL. (1992) Trends Cell. Biol. 2(5):139-144 andWO94/02595, which are incorporated herein by reference in their entireties). Forin vivo delivery, factors to consider in order to deliver an iRNA molecule include, for example, biological stability of the delivered molecule, prevention of non-specific effects, and accumulation of the delivered molecule in the target tissue. The non-specific effects of an iRNA can be minimized by local administration, for example, by direct injection or implantation into a tissue or topically administering the preparation. Local administration to a treatment site maximizes local concentration of the agent, limits the exposure of the agent to systemic tissues that can otherwise be harmed by the agent or that can degrade the agent, and permits a lower total dose of the iRNA molecule to be administered. Several studies have shown successful knockdown of gene products when an iRNA is administered locally. For example, intraocular delivery of a VEGF dsRNA by intravitreal injection in cynomolgus monkeys (Tolentino, MJ., et al (2004) Retina 24:132-138) and subretinal injections in mice (Reich, SJ., et al (2003) Mol. Vis. 9:210-216) were both shown to prevent neovascularization in an experimental model of age-related macular degeneration. In addition, direct intratumoral injection of a dsRNA in mice reduces tumor volume (Pille, J., et al (2005) Mol. Ther.11:267-274) and can prolong survival of tumorbearing mice (Kim, WJ., et al (2006) Mol. Ther. 14:343-350;Li, S., et al (2007) Mo/. Ther. 15:515-523). RNA interference has also shown success with local delivery to the CNS by direct injection (Dorn, G., et al. (2004) Nucleic Acids 32:e49;Tan, PH., et al (2005) Gene Ther. 12:59-66;Makimura, H., et al (2002) BMC Neurosci. 3:18;Shishkina, GT., et al (2004) Neuroscience 129:521-528;Thakker, ER., et al (2004) Proc. Natl. Acad. Sci. U.S.A. 101:17270-17275;Akaneya,Y., et al (2005) J. Neurophysiol. 93:594-602) and to the lungs by intranasal administration (Howard, KA., et al (2006) Mol. Ther. 14:476-484;Zhang, X., et al (2004) J. Biol. Chem. 279:10677-10684;Bitko, V., et al (2005) Nat. Med. 11:50-55). For administering an iRNA systemically for the treatment of a disease, the RNA can be modified or alternatively delivered using a drug delivery system; both methods act to prevent the rapid degradation of the dsRNA by endo- and exo-nucleasesin vivo. Modification of the RNA or the pharmaceutical carrier can also permit targeting of the iRNA composition to the target tissue and avoid undesirable off-target effects. iRNA molecules can be modified by chemical conjugation to lipophilic groups such as cholesterol to enhance cellular uptake and prevent degradation. For example, an iRNA directed against ApoB conjugated to a lipophilic cholesterol moiety was injected systemically into mice and resulted in knockdown of apoB mRNA in both the liver and jejunum (Soutschek, J., et al (2004) Nature 432:173-178). Conjugation of an iRNA to an aptamer has been shown to inhibit tumor growth and mediate tumor regression in a mouse model of prostate cancer (McNamara, JO., et al (2006) Nat. Biotechnol. 24:1005-1015). In an alternative embodiment, the iRNA can be delivered using drug delivery systems such as a nanoparticle, a dendrimer, a polymer, liposomes, or a cationic delivery system. Positively charged cationic delivery systems facilitate binding of an iRNA molecule (negatively charged) and also enhance interactions at the negatively charged cell membrane to permit efficient uptake of an iRNA by the cell. Cationic lipids, dendrimers, or polymers can either be bound to an iRNA, or induced to form a vesicle or micelle (seee.g.,Kim SH., et al (2008) Journal of Controlled Release 129(2):107-116) that encases an iRNA. The formation of vesicles or micelles further prevents degradation of the iRNA when administered systemically. Methods for making and administering cationic- iRNA complexes are well within the abilities of one skilled in the art (seee.g.,Sorensen, DR., et al (2003) J. Mol. Biol 327:761-766;Verma, UN., et al (2003) Clin. Cancer Res. 9:1291-1300;Arnold, AS et al (2007) J. Hypertens. 25:197-205, which are incorporated herein by reference in their entirety). Some non-limiting examples of drug delivery systems useful for systemic delivery of iRNAs include DOTAP (Sorensen, DR.,et al (2003), supra; Verma, UN.,et al (2003),supra), Oligofectamine, "solid nucleic acid lipid particles" (Zimmermann, TS., et al (2006) Nature 441:111-114), cardiolipin (Chien, PY., et al (2005) Cancer Gene Ther. 12:321-328;Pal, A., et at (2005) Int J. Oncol. 26:1087-1091), polyethyleneimine (Bonnet ME., et al (2008) Pharm. Res.;Aigner, A. (2006) J. Biomed. Biotechnol. 71659), Arg-Gly-Asp (RGD) peptides (Liu, S. (2006) Mo/. Pharm. 3:472-487), and polyamidoamines (Tomalia, DA., et al (2007) Biochem. Soc. Trans. 35:61-67; Yoo, H., et al (1999) Pharm. Res. 16:1799-1804). In some embodiments, an iRNA forms a complex with cyclodextrin for systemic administration. Methods for administration and pharmaceutical compositions of iRNAs and cyclodextrins can be found inU.S. Patent No. 7,427,605, which is herein incorporated by reference in its entirety.
  • Vector encodediRNAs of the Invention
  • iRNA targeting the HAO1 gene can be expressed from transcription units inserted into DNA or RNA vectors (see,e.g., Couture, A, et al., TIG. (1996), 12:5-10;Skillern, A., et al., International PCT Publication No. WO 00/22113, Conrad, International PCT Publication No. WO 00/22114, andConrad, U.S. Pat. No. 6,054,299). Expression can be transient (on the order of hours to weeks) or sustained (weeks to months or longer), depending upon the specific construct used and the target tissue or cell type. These transgenes can be introduced as a linear construct, a circular plasmid, or a viral vector, which can be an integrating or nonintegrating vector. The transgene can also be constructed to permit it to be inherited as an extrachromosomal plasmid (Gassmann, et al., Proc. Natl. Acad. Sci. USA (1995) 92:1292).
  • The individual strand or strands of an iRNA can be transcribed from a promoter on an expression vector. Where two separate strands are to be expressed to generate, for example, a dsRNA, two separate expression vectors can be co-introduced (e.g., by transfection or infection) into a target cell. Alternatively each individual strand of a dsRNA can be transcribed by promoters both of which are located on the same expression plasmid. In one embodiment, a dsRNA is expressed as inverted repeat polynucleotides joined by a linker polynucleotide sequence such that the dsRNA has a stem and loop structure.
  • iRNA expression vectors are generally DNA plasmids or viral vectors. Expression vectors compatible with eukaryotic cells, preferably those compatible with vertebrate cells, can be used to produce recombinant constructs for the expression of an iRNA as described herein. Eukaryotic cell expression vectors are well known in the art and are available from a number of commercial sources. Typically, such vectors are provided containing convenient restriction sites for insertion of the desired nucleic acid segment. Delivery of iRNA expressing vectors can be systemic, such as by intravenous or intramuscular administration, by administration to target cells ex-planted from the patient followed by reintroduction into the patient, or by any other means that allows for introduction into a desired target cell.
  • iRNA expression plasmids can be transfected into target cells as a complex with cationic lipid carriers (e.g., Oligofectamine) or non-cationic lipid-based carriers (e.g., Transit-TKO). Multiple lipid transfections for iRNA-mediated knockdowns targeting different regions of a target RNA over a period of a week or more are also contemplated by the invention. Successful introduction of vectors into host cells can be monitored using various known methods. For example, transient transfection can be signaled with a reporter, such as a fluorescent marker, such as Green Fluorescent Protein (GFP). Stable transfection of cellsex vivo can be ensured using markers that provide the transfected cell with resistance to specific environmental factors (e.g., antibiotics and drugs), such as hygromycin B resistance.
  • Viral vector systems which can be utilized with the methods and compositions described herein include, but are not limited to, (a) adenovirus vectors; (b) retrovirus vectors, including but not limited to lentiviral vectors, moloney murine leukemia virus,etc.; (c) adeno- associated virus vectors; (d) herpes simplex virus vectors; (e)SV 40 vectors; (f) polyoma virus vectors; (g) papilloma virus vectors; (h) picornavirus vectors; (i) pox virus vectors such as an orthopox,e.g., vaccinia virus vectors or avipox,e.g. canary pox or fowl pox; and (j) a helper-dependent or gutless adenovirus. Replication-defective viruses can also be advantageous. Different vectors will or will not become incorporated into the cells' genome. The constructs can include viral sequences for transfection, if desired. Alternatively, the construct can be incorporated into vectors capable of episomal replication,e.g. EPV and EBV vectors. Constructs for the recombinant expression of an iRNA will generally require regulatory elements,e.g., promoters, enhancers,etc., to ensure the expression of the iRNA in target cells. Other aspects to consider for vectors and constructs are further described below.
  • Vectors useful for the delivery of an iRNA will include regulatory elements (promoter, enhancer,etc.) sufficient for expression of the iRNA in the desired target cell or tissue. The regulatory elements can be chosen to provide either constitutive or regulated/inducible expression.
  • Expression of the iRNA can be precisely regulated, for example, by using an inducible regulatory sequence that is sensitive to certain physiological regulators,e.g., circulating glucose levels, or hormones (Docherty et ah, 1994, FASEB J. 8:20-24). Such inducible expression systems, suitable for the control of dsRNA expression in cells or in mammals include, for example, regulation by ecdysone, by estrogen, progesterone, tetracycline, chemical inducers of dimerization, and isopropyl-beta-D1 - thiogalactopyranoside (IPTG). A person skilled in the art would be able to choose the appropriate regulatory/promoter sequence based on the intended use of the iRNA transgene.
  • Viral vectors that contain nucleic acid sequences encoding an iRNA can be used. For example, a retroviral vector can be used (seeMiller et al., Meth. Enzymol. 217:581-599 (1993)). These retroviral vectors contain the components necessary for the correct packaging of the viral genome and integration into the host cell DNA. The nucleic acid sequences encoding an iRNA are cloned into one or more vectors, which facilitate delivery of the nucleic acid into a patient. More detail about retroviral vectors can be found, for example, inBoesen et al., Biotherapy 6:291-302 (1994), which describes the use of a retroviral vector to deliver the mdr1 gene to hematopoietic stem cells in order to make the stem cells more resistant to chemotherapy. Other references illustrating the use of retroviral vectors in gene therapy are: Clowes et al., J. Clin. Invest. 93:644-651 (1994);Kiem et al., Blood 83:1467-1473 (1994);Salmons and Gunzberg, Human Gene Therapy 4:129-141 (1993); andGrossman and Wilson, Curr. Opin. in Genetics and Devel. 3:110-114 (1993). Lentiviral vectors contemplated for use include, for example, the HIV based vectors described inU.S. Patent Nos. 6,143,520;5,665,557; and5,981,276, which are herein incorporated by reference.
  • Adenoviruses are also contemplated for use in delivery of iRNAs of the invention. Adenoviruses are especially attractive vehicles,e.g., for delivering genes to respiratory epithelia. Adenoviruses naturally infect respiratory epithelia where they cause a mild disease. Other targets for adenovirus-based delivery systems are liver, the central nervous system, endothelial cells, and muscle. Adenoviruses have the advantage of being capable of infecting non-dividing cells.Kozarsky and Wilson, Current Opinion in Genetics and Development 3:499-503 (1993) present a review of adenovirus-based gene therapy. Bout et al., Human Gene Therapy 5:3-10 (1994) demonstrated the use of adenovirus vectors to transfer genes to the respiratory epithelia of rhesus monkeys. Other instances of the use of adenoviruses in gene therapy can be found inRosenfeld et al., Science 252:431-434 (1991);Rosenfeld et al., Cell 68:143-155 (1992); Mastrangeli et al., J Clin. Invest. 91:225-234 (1993);PCT Publication WO94/12649; andWang, et al., Gene Therapy 2:775-783 (1995). A suitable AV vector for expressing an iRNA featured in the invention, a method for constructing the recombinant AV vector, and a method for delivering the vector into target cells, are described inXia H et al. (2002), Nat. Biotech. 20: 1006-1010.
  • Adeno-associated virus (AAV) vectors may also be used to delivery an iRNA of the invention (Walsh et al., Proc. Soc. Exp. Biol. Med. 204:289-300 (1993);U.S. Pat. No. 5,436,146), In one embodiment, the iRNA can be expressed as two separate, complementary single-stranded RNA molecules from a recombinant AAV vector having, for example, either the U6 or H1 RNA promoters, or the cytomegalovirus (CMV) promoter. Suitable AAV vectors for expressing the dsRNA featured in the invention, methods for constructing the recombinant AV vector, and methods for delivering the vectors into target cells are described inSamulski R et al. (1987), J. Virol 61: 3096-3101;Fisher K J et al. (1996), J. Virol, 70: 520-532;Samulski R et al. (1989), J. Virol. 63: 3822-3826;U.S. Pat. No. 5,252,479;U.S. Pat. No. 5,139,941; International Patent Application No.WO 94/13788; and International Patent Application No.WO 93/24641, the entire disclosures of which are herein incorporated by reference.
  • Another viral vector suitable for delivery of an iRNA of the invention is a pox virus such as a vaccinia virus, for example an attenuated vaccinia such as Modified Virus Ankara (MVA) or NYVAC, an avipox such as fowl pox or canary pox.
  • The tropism of viral vectors can be modified by pseudotyping the vectors with envelope proteins or other surface antigens from other viruses, or by substituting different viral capsid proteins, as appropriate. For example, lentiviral vectors can be pseudotyped with surface proteins from vesicular stomatitis virus (VSV), rabies, Ebola, Mokola, and the like. AAV vectors can be made to target different cells by engineering the vectors to express different capsid protein serotypes; see,e.g.,Rabinowitz J E et al. (2002), J Virol 76:791-801, the entire disclosure of which is herein incorporated by reference.
  • The pharmaceutical preparation of a vector can include the vector in an acceptable diluent, or can include a slow release matrix in which the gene delivery vehicle is imbedded. Alternatively, where the complete gene delivery vector can be produced intact from recombinant cells,e.g., retroviral vectors, the pharmaceutical preparation can include one or more cells which produce the gene delivery system.
  • IV. Pharmaceutical Compositions of the Invention
  • The present invention also includes pharmaceutical compositions and formulations which include the iRNAs of the invention. In one embodiment, provided herein are pharmaceutical compositions containing an iRNA, as described herein, and a pharmaceutically acceptable carrier. The pharmaceutical compositions containing the iRNA are useful for treating a HAO1 associated disease or disorder. Such pharmaceutical compositions are formulated based on the mode of delivery.
  • The pharmaceutical compositions comprising RNAi agents of the invention may be, for example, solutions with or without a buffer, or compositions containing pharmaceutically acceptable carriers. Such compositions include, for example, aqueous or crystalline compositions, liposomal formulations, micellar formulations, emulsions, and gene therapy vectors.
  • In the methods of the invention, the RNAi agent may be administered in a solution. A free RNAi agent may be administered in an unbuffered solution, e.g., in saline or in water. Alternatively, the free siRNA may also be administered in a suitable buffer solution. The buffer solution may comprise acetate, citrate, prolamine, carbonate, or phosphate, or any combination thereof. In one embodiment, the buffer solution is phosphate buffered saline (PBS). The pH and osmolarity of the buffer solution containing the RNAi agent can be adjusted such that it is suitable for administering to a subject.
  • In some embodiments, the buffer solution further comprises an agent for controlling the osmolarity of the solution, such that the osmolarity is kept at a desired value, e.g., at the physiologic values of the human plasma. Solutes which can be added to the buffer solution to control the osmolarity include, but are not limited to, proteins, peptides, amino acids, non-metabolized polymers, vitamins, ions, sugars, metabolites, organic acids, lipids, or salts. In some embodiments, the agent for controlling the osmolarity of the solution is a salt. In certain embodiments, the agent for controlling the osmolarity of the solution is sodium chloride or potassium chloride.
  • The pharmaceutical compositions of the invention may be administered in dosages sufficient to inhibit expression of a HAO1 gene.
  • Dosages
  • In general, a suitable dose of an iRNA of the invention will be in the range of about 0.001 to about 200.0 milligrams per kilogram body weight of the recipient per day, generally in the range of about 0.1 to 10 or 1 to 50 mg per kilogram body weight per day. For example, the dsRNA can be administered at about 0.01 mg/kg, about 0.05 mg/kg, about 0.5 mg/kg, about 1 mg/kg, about 1.5 mg/kg, about 2 mg/kg, about 3 mg/kg, about 4 mg/kg, about 5 mg/kg, about 6 mg/kg, about 7 mg/kg, about 8 mg/kg, about 9 mg/kg about 10 mg/kg, about 20 mg/kg, about 30 mg/kg, about 40 mg/kg, or about 50 mg/kg per single dose.
  • In another embodiment, the RNAi agent, e.g., dsRNA, is administered at a dose of about 0.1 to about 50 mg/kg, about 0.25 to about 50 mg/kg, about 0.5 to about 50 mg/kg, about 0.75 to about 50 mg/kg, about 1 to about 50 mg/mg, about 1.5 to about 50 mg/kb, about 2 to about 50 mg/kg, about 2.5 to about 50 mg/kg, about 3 to about 50 mg/kg, about 3.5 to about 50 mg/kg, about 4 to about 50 mg/kg, about 4.5 to about 50 mg/kg, about 5 to about 50 mg/kg, about 7.5 to about 50 mg/kg, about 10 to about 50 mg/kg, about 15 to about 50 mg/kg, about 20 to about 50 mg/kg, about 20 to about 50 mg/kg, about 25 to about 50 mg/kg, about 25 to about 50 mg/kg, about 30 to about 50 mg/kg, about 35 to about 50 mg/kg, about 40to about 50 mg/kg, about 45 to about 50 mg/kg, about 0.1 to about 45 mg/kg, about 0.25 to about 45 mg/kg, about 0.5 to about 45 mg/kg, about 0.75 to about 45 mg/kg, about 1 to about 45 mg/mg, about 1.5 to about 45 mg/kb, about 2 to about 45 mg/kg, about 2.5 to about 45 mg/kg, about 3 to about 45 mg/kg, about 3.5 to about 45 mg/kg, about 4 to about 45 mg/kg, about 4.5 to about 45 mg/kg, about 5 to about 45 mg/kg, about 7.5 to about 45 mg/kg, about 10 to about 45 mg/kg, about 15 to about 45 mg/kg, about 20 to about 45 mg/kg, about 20 to about 45 mg/kg, about 25 to about 45 mg/kg, about 25 to about 45 mg/kg, about 30 to about 45 mg/kg, about 35 to about 45 mg/kg, about 40 to about 45 mg/kg, about 0.1 to about 40 mg/kg, about 0.25 to about 40 mg/kg, about 0.5 to about 40 mg/kg, about 0.75 to about 40 mg/kg, about 1 to about 40 mg/mg, about 1.5 to about 40 mg/kb, about 2 to about 40 mg/kg, about 2.5 to about 40 mg/kg, about 3 to about 40 mg/kg, about 3.5 to about 40 mg/kg, about 4 to about 40 mg/kg, about 4.5 to about 40 mg/kg, about 5 to about 40 mg/kg, about 7.5 to about 40 mg/kg, about 10 to about 40 mg/kg, about 15 to about 40 mg/kg, about 20 to about 40 mg/kg, about 20 to about 40 mg/kg, about 25 to about 40 mg/kg, about 25 to about 40 mg/kg, about 30 to about 40 mg/kg, about 35 to about 40 mg/kg, about 0.1 to about 30 mg/kg, about 0.25 to about 30 mg/kg, about 0.5 to about 30 mg/kg, about 0.75 to about 30 mg/kg, about 1 to about 30 mg/mg, about 1.5 to about 30 mg/kb, about 2 to about 30 mg/kg, about 2.5 to about 30 mg/kg, about 3 to about 30 mg/kg, about 3.5 to about 30 mg/kg, about 4 to about 30 mg/kg, about 4.5 to about 30 mg/kg, about 5 to about 30 mg/kg, about 7.5 to about 30 mg/kg, about 10 to about 30 mg/kg, about 15 to about 30 mg/kg, about 20 to about 30 mg/kg, about 20 to about 30 mg/kg, about 25 to about 30 mg/kg, about 0.1 to about 20 mg/kg, about 0.25 to about 20 mg/kg, about 0.5 to about 20 mg/kg, about 0.75 to about 20 mg/kg, about 1 to about 20 mg/mg, about 1.5 to about 20 mg/kb, about 2 to about 20 mg/kg, about 2.5 to about 20 mg/kg, about 3 to about 20 mg/kg, about 3.5 to about 20 mg/kg, about 4 to about 20 mg/kg, about 4.5 to about 20 mg/kg, about 5 to about 20 mg/kg, about 7.5 to about 20 mg/kg, about 10 to about 20 mg/kg, or about 15 to about 20 mg/kg. Values and ranges intermediate to the recited values are also intended to be part of this invention.
  • For example, the RNAi agent,e.g., dsRNA, may be administered at a dose of about 0.01, 0.02, 0.03, 0.04, 0.05, 0.06, 0.07, 0.08, 0.09. 0.1, 0.2, 0.3, 0.4, 0.5, 0.6, 0.7, 0.8, 0.9, 1.0, 1.1, 1.2, 1.3, 1.4, 1.5, 1.6, 1.7, 1.8, 1.9, 2.0, 2.1, 2.2, 2.3, 2.4, 2.5, 2.6, 2.7, 2.8, 2.9, 3.0, 3.1, 3.2, 3.3, 3.4, 3.5, 3.6, 3.7, 3.8, 3.9, 4.0, 4.1, 4.2, 4.3, 4.4, 4.5, 4.6, 4.7, 4.8, 4.9, 5.0, 5.1, 5.2, 5.3, 5.4, 5.5, 5.6, 5.7, 5.8, 5.9, 6.0, 6.1, 6.2, 6.3, 6.4, 6.5, 6.6, 6.7, 6.8, 6.9, 7.0, 7.1, 7.2, 7.3, 7.4, 7.5, 7.6, 7.7, 7.8, 7.9, 8.0, 8.1, 8.2, 8.3, 8.4, 8.5, 8.6, 8.7, 8.8, 8.9, 9.0, 9.1, 9.2, 9.3, 9.4, 9.5, 9.6, 9.7, 9.8, 9.9, 10, 10.5, 11, 11.5, 12, 12.5, 13, 13.5, 14, 14.5, 15, 15.5, 16, 16.5, 17, 17.5, 18, 18.5, 19, 19.5, 20, 20.5, 21, 21.5, 22, 22.5, 23, 23.5, 24, 24.5, 25, 25.5, 26, 26.5, 27, 27.5, 28, 28.5, 29, 29.5, 30, 31, 32, 33, 34, 34, 35, 36, 37, 38, 39, 40, 41, 42, 43, 44, 45, 46, 47, 48, 49, or about 50 mg/kg. Values and ranges intermediate to the recited values are also intended to be part of this invention.
  • In certain embodiments of the invention, for example, when a double-stranded RNAi agent includes modifications (e.g., one or more motifs of three identical modifications on three consecutive nucleotides, including one such motif at or near the cleavage site of the agent), six phosphorothioate linkages, and a ligand, such an agent is administered at a dose of about 0.01 to about 0.5 mg/kg, about 0.01 to about 0.4 mg/kg, about 0.01 to about 0.3 mg/kg, about 0.01 to about 0.2 mg/kg, about 0.01 to about 0.1 mg/kg, about 0.01 mg/kg to about 0.09 mg/kg, about 0.01 mg/kg to about 0.08 mg/kg, about 0.01 mg/kg to about 0.07 mg/kg, about 0.01 mg/kg to about 0.06 mg/kg, about 0.01 mg/kg to about 0.05 mg/kg, about 0.02 to about 0.5 mg/kg, about 0.02 to about 0.4 mg/kg, about 0.02 to about 0.3 mg/kg, about 0.02 to about 0.2 mg/kg, about 0.02 to about 0.1 mg/kg, about 0.02 mg/kg to about 0.09 mg/kg, about 0.02 mg/kg to about 0.08 mg/kg, about 0.02 mg/kg to about 0.07 mg/kg, about 0.02 mg/kg to about 0.06 mg/kg, about 0.02 mg/kg to about 0.05 mg/kg, about 0.03 to about 0.5 mg/kg, about 0.03 to about 0.4 mg/kg, about 0.03 to about 0.3 mg/kg, about 0.03 to about 0.2 mg/kg, about 0.03 to about 0.1 mg/kg, about 0.03 mg/kg to about 0.09 mg/kg, about 0.03 mg/kg to about 0.08 mg/kg, about 0.03 mg/kg to about 0.07 mg/kg, about 0.03 mg/kg to about 0.06 mg/kg, about 0.03 mg/kg to about 0.05 mg/kg, about 0.04 to about 0.5 mg/kg, about 0.04 to about 0.4 mg/kg, about 0.04 to about 0.3 mg/kg, about 0.04 to about 0.2 mg/kg, about 0.04 to about 0.1 mg/kg, about 0.04 mg/kg to about 0.09 mg/kg, about 0.04 mg/kg to about 0.08 mg/kg, about 0.04 mg/kg to about 0.07 mg/kg, about 0.04 mg/kg to about 0.06 mg/kg, about 0.05 to about 0.5 mg/kg, about 0.05 to about 0.4 mg/kg, about 0.05 to about 0.3 mg/kg, about 0.05 to about 0.2 mg/kg, about 0.05 to about 0. 1 mg/kg, about 0.05 mg/kg to about 0.09 mg/kg, about 0.05 mg/kg to about 0.08 mg/kg, or about 0.05 mg/kg to about 0.07 mg/kg. Values and ranges intermediate to the foregoing recited values are also intended to be part of this invention,e.g.,, the RNAi agent may be administered to the subject at a dose of about 0.015 mg/kg to about 0.45 mg/mg.
  • For example, the RNAi agent,e.g., RNAi agent in a pharmaceutical composition, may be administered at a dose of about 0.01 mg/kg, 0.0125 mg/kg, 0.015 mg/kg, 0.0175 mg/kg, 0.02 mg/kg, 0.0225 mg/kg, 0.025 mg/kg, 0.0275 mg/kg, 0.03 mg/kg, 0.0325 mg/kg, 0.035 mg/kg, 0.0375 mg/kg, 0.04 mg/kg, 0.0425 mg/kg, 0.045 mg/kg, 0.0475 mg/kg, 0.05 mg/kg, 0.0525 mg/kg, 0.055 mg/kg, 0.0575 mg/kg, 0.06 mg/kg, 0.0625 mg/kg, 0.065 mg/kg, 0.0675 mg/kg, 0.07 mg/kg, 0.0725 mg/kg, 0.075 mg/kg, 0.0775 mg/kg, 0.08 mg/kg, 0.0825 mg/kg, 0.085 mg/kg, 0.0875 mg/kg, 0.09 mg/kg, 0.0925 mg/kg, 0.095 mg/kg, 0.0975 mg/kg, 0.1 mg/kg, 0.125 mg/kg, 0.15 mg/kg, 0.175 mg/kg, 0.2 mg/kg, 0.225 mg/kg, 0.25 mg/kg, 0.275 mg/kg, 0.3 mg/kg, 0.325 mg/kg, 0.35 mg/kg, 0.375 mg/kg, 0.4 mg/kg, 0.425 mg/kg, 0.45 mg/kg, 0.475 mg/kg, or about 0.5 mg/kg. Values intermediate to the foregoing recited values are also intended to be part of this invention.
  • Treatment regimens
  • The pharmaceutical composition can be administered once daily, or the iRNA can be administered as two, three, or more sub-doses at appropriate intervals throughout the day or even using continuous infusion or delivery through a controlled release formulation. In that case, the iRNA contained in each sub-dose must be correspondingly smaller in order to achieve the total daily dosage. The dosage unit can also be compounded for delivery over several days,e.g., using a conventional sustained release formulation which provides sustained release of the iRNA over a several day period. Sustained release formulations are well known in the art and are particularly useful for delivery of agents at a particular site, such as could be used with the agents of the present invention. In this embodiment, the dosage unit contains a corresponding multiple of the daily dose.
  • In other embodiments, a single dose of the pharmaceutical compositions can be long lasting, such that subsequent doses are administered at not more than 3, 4, or 5 day intervals, or at not more than 1, 2, 3, or 4 week intervals. In some embodiments of the invention, a single dose of the pharmaceutical compositions of the invention is administered once per week. In other embodiments of the invention, a single dose of the pharmaceutical compositions of the invention is administered bi-monthly.
  • The skilled artisan will appreciate that certain factors can influence the dosage and timing required to effectively treat a subject, including but not limited to the severity of the disease or disorder, previous treatments, the general health and/or age of the subject, and other diseases present. Moreover, treatment of a subject with a therapeutically effective amount of a composition can include a single treatment or a series of treatments. Estimates of effective dosages andin vivo half-lives for the individual iRNAs encompassed by the invention can be made using conventional methodologies.
  • Estimates of effective dosages andin vivo half-lives for the individual iRNAs encompassed by the invention can also be made on the basis ofin vivo testing using an appropriate animal model. For example, advances in mouse genetics have generated a number of mouse models for the study of various human diseases, such as a disorder associated expression of HAO1. Such models can be used forin vivo testing of iRNA, as well as for determining a therapeutically effective dose. Suitable mouse models are known in the art and include, for example, the animal models described herein.
  • Administration methods
  • The pharmaceutical compositions of the present invention can be administered in a number of ways depending upon whether local or systemic treatment is desired and upon the area to be treated. Administration can be topical (e.g., by a transdermal patch), pulmonary,e.g., by inhalation or insufflation of powders or aerosols, including by nebulizer; intratracheal, intranasal, epidermal and transdermal, oral or parenteral. Parenteral administration includes intravenous, intraarterial, subcutaneous, intraperitoneal or intramuscular injection or infusion; subdermal, e.g.,via an implanted device; or intracranial,e.g., by intraparenchymal, intrathecal or intraventricular, administration
  • The iRNA can be delivered in a manner to target a particular tissue, such as the liver.
  • Formulations
  • Pharmaceutical compositions of the present invention include, but are not limited to, solutions, emulsions, and liposome-containing formulations. These compositions can be generated from a variety of components that include, but are not limited to, preformed liquids, self-emulsifying solids and self-emulsifying semisolids.
  • The pharmaceutical formulations of the present invention, which can conveniently be presented in unit dosage form, can be prepared according to conventional techniques well known in the pharmaceutical industry. Such techniques include the step of bringing into association the active ingredients with the pharmaceutical carrier(s) or excipient(s). In general, the formulations are prepared by uniformly and intimately bringing into association the active ingredients with liquid carriers or finely divided solid carriers or both, and then, if necessary, shaping the product.
  • The compositions of the present invention can be formulated into any of many possible dosage forms such as, but not limited to, tablets, capsules, gel capsules, liquid syrups, soft gels, suppositories, and enemas. The compositions of the present invention can also be formulated as suspensions in aqueous, non-aqueous or mixed media. Aqueous suspensions can further contain substances which increase the viscosity of the suspension including, for example, sodium carboxymethylcellulose, sorbitol and/or dextran. The suspension can also contain stabilizers.
  • The compositions of the present invention can be formulated for oral administration; parenteral, intraparenchymal (into the brain), intrathecal, intraventricular or intrahepatic administration, and/or topical administration.
  • Compositions and formulations for oral administration include powders or granules, microparticulates, nanoparticulates, suspensions or solutions in water or non-aqueous media, capsules, gel capsules, sachets, tablets or minitablets. Thickeners, flavoring agents, diluents, emulsifiers, dispersing aids or binders can be desirable. In some embodiments, oral formulations are those in which dsRNAs featured in the invention are administered in conjunction with one or more penetration enhancer surfactants and chelators. Suitable surfactants include fatty acids and/or esters or salts thereof, bile acids and/or salts thereof. Suitable bile acids/salts include chenodeoxycholic acid (CDCA) and ursodeoxychenodeoxycholic acid (UDCA), cholic acid, dehydrocholic acid, deoxycholic acid, glucholic acid, glycholic acid, glycodeoxycholic acid, taurocholic acid, taurodeoxycholic acid, sodium tauro-24,25-dihydro-fusidate and sodium glycodihydrofusidate. Suitable fatty acids include arachidonic acid, undecanoic acid, oleic acid, lauric acid, caprylic acid, capric acid, myristic acid, palmitic acid, stearic acid, linoleic acid, linolenic acid, dicaprate, tricaprate, monoolein, dilaurin, glyceryl 1-monocaprate, 1-dodecylazacycloheptan-2-one, an acylcarnitine, an acylcholine, or a monoglyceride, a diglyceride or a pharmaceutically acceptable salt thereof (e.g., sodium). In some embodiments, combinations of penetration enhancers are used, for example, fatty acids/salts in combination with bile acids/salts. One exemplary combination is the sodium salt of lauric acid, capric acid and UDCA. Further penetration enhancers include polyoxyethylene-9-lauryl ether, polyoxyethylene-20-cetyl ether. DsRNAs featured in the invention can be delivered orally, in granular form including sprayed dried particles, or complexed to form micro or nanoparticles. DsRNA complexing agents include poly-amino acids; polyimines; polyacrylates; polyalkylacrylates, polyoxethanes, polyalkylcyanoacrylates; cationized gelatins, albumins, starches, acrylates, polyethyleneglycols (PEG) and starches; polyalkylcyanoacrylates; DEAE-derivatized polyimines, pollulans, celluloses and starches. Suitable complexing agents include chitosan, N-trimethylchitosan, poly-L-lysine, polyhistidine, polyornithine, polyspermines, protamine, polyvinylpyridine, polythiodiethylaminomethylethylene P(TDAE), polyaminostyrene(e.g., p-amino), poly(niethylcyanoacrylate), poly(ethylcyanoacrylate), poly(butylcyanoacrylate), poly(isobutylcyanoacrylate), poly(isohexylcynaoacrylate), DEAE-methacrylate, DEAE-hexylacrylate, DEAE-acrylamide, DEAE-albumin and DEAE-dextran, polymethylacrylate, polyhexylacrylate, poly(D,L-lactic acid), poly(DL-lactic-co-glycolic acid (PLGA), alginate, and polyethyleneglycol (PEG). Oral formulations for dsRNAs and their preparation are described in detail inU.S. Patent 6,887,906,US Publn. No. 20030027780, andU.S. Patent No. 6,747,014, each of which is incorporated herein by reference.
  • Compositions and formulations for parenteral, intraparenchymal (into the brain), intrathecal, intraventricular or intrahepatic administration can include sterile aqueous solutions which can also contain buffers, diluents and other suitable additives such as, but not limited to, penetration enhancers, carrier compounds and other pharmaceutically acceptable carriers or excipients.
  • Pharmaceutical compositions and formulations for topical administration can include transdermal patches, ointments, lotions, creams, gels, drops, suppositories, sprays, liquids and powders. Conventional pharmaceutical carriers, aqueous, powder or oily bases, thickeners and the like can be necessary or desirable. Coated condoms, gloves and the like can also be useful. Suitable topical formulations include those in which the iRNAs featured in the invention are in admixture with a topical delivery agent such as lipids, liposomes, fatty acids, fatty acid esters, steroids, chelating agents and surfactants. Suitable lipids and liposomes include neutral (e.g., dioleoylphosphatidyl DOPE ethanolamine, dimyristoylphosphatidyl choline DMPC, distearolyphosphatidyl choline) negative (e.g., dimyristoylphosphatidyl glycerol DMPG) and cationic (e.g., dioleoyltetramethylaminopropyl DOTAP and dioleoylphosphatidyl ethanolamine DOTMA). iRNAs featured in the invention can be encapsulated within liposomes or can form complexes thereio, in particular to cationic liposomes. Alternatively, iRNAs can be complexed to lipids, in particular to cationic lipids. Suitable fatty acids and esters include but are not limited to arachidonic acid, oleic acid, eicosanoic acid, lauric acid, caprylic acid, capric acid, myristic acid, palmitic acid, stearic acid, linoleic acid, linolenic acid, dicaprate, tricaprate, monoolein, dilaurin, glyceryl 1-monocaprate, 1-dodecylazacycloheptan-2-one, an acylcamitine, an acylcholine, or a C1-20 alkyl ester (e.g., isopropylmyristate IPM), monoglyceride, diglyceride or pharmaceutically acceptable salt thereof). Topical formulations are described in detail inU.S. Patent No. 6,747,014, which is incorporated herein by reference.
  • iRNA Formulations Comprising Membranous Molecular Assemblies
  • An iRNA for use in the compositions and methods of the invention can be formulated for delivery in a membranous molecular assembly, e.g., a liposome or a micelle. As used herein, the term "liposome" refers to a vesicle composed of amphiphilic lipids arranged in at least one bilayer,e.g., one bilayer or a plurality of bilayers. Liposomes include unilamellar and multilamellar vesicles that have a membrane formed from a lipophilic material and an aqueous interior. The aqueous portion contains the iRNA composition. The lipophilic material isolates the aqueous interior from an aqueous exterior, which typically does not include the iRNA composition, although in some examples, it may. Liposomes are useful for the transfer and delivery of active ingredients to the site of action. Because the liposomal membrane is structurally similar to biological membranes, when liposomes are applied to a tissue, the liposomal bilayer fuses with bilayer of the cellular membranes. As the merging of the liposome and cell progresses, the internal aqueous contents that include the iRNA are delivered into the cell where the iRNA can specifically bind to a target RNA and can mediate RNAi. In some cases the liposomes are also specifically targeted,e.g., to direct the iRNA to particular cell types.
  • A liposome containing a RNAi agent can be prepared by a variety of methods. In one example, the lipid component of a liposome is dissolved in a detergent so that micelles are formed with the lipid component. For example, the lipid component can be an amphipathic cationic lipid or lipid conjugate. The detergent can have a high critical micelle concentration and may be nonionic. Exemplary detergents include cholate, CHAPS, octylglucoside, deoxycholate, and lauroyl sarcosine. The RNAi agent preparation is then added to the micelles that include the lipid component. The cationic groups on the lipid interact with the RNAi agent and condense around the RNAi agent to form a liposome. After condensation, the detergent is removed, e.g., by dialysis, to yield a liposomal preparation of RNAi agent.
  • If necessary a carrier compound that assists in condensation can be added during the condensation reaction, e.g., by controlled addition. For example, the carrier compound can be a polymer other than a nucleic acid (e.g., spermine or spermidine). pH can also adjusted to favor condensation.
  • Methods for producing stable polynucleotide delivery vehicles, which incorporate a polynucleotide/cationic lipid complex as structural components of the delivery vehicle, are further described in, e.g.,WO 96/37194, the entire contents of which are incorporated herein by reference. Liposome formation can also include one or more aspects of exemplary methods described in Felgner, P. L. et at., Proc. Natl. Acad. Sci., USA. 8:7413-7417, 1987;U.S. Pat. No. 4,897,355;U.S. Pat. No. 5,171,678;Bangham, et al. M. Mο/. Biol. 23:238, 1965;Olson, et al. Biochim. Biophys. Acta 557:9, 1979;Szoka, et al. Proc. Natl. Acad. Sci. 75: 4194, 1978;Mayhew, et al. Biochim. Biophys. Acta 775:169, 1984;Kim, et al. Biochim. Biophys. Acta 728:339, 1983; and Fukunaga, et al. Endocrinol 115:757, 1984. Commonly used techniques for preparing lipid aggregates of appropriate size for use as delivery vehicles include sonication and freeze-thaw plus extrusion (see,e.g.,Mayer, et al. Biochim. Biophys. Acta 858:161, 1986). Microfluidization can be used when consistently small (50 to 200 nm) and relatively uniform aggregates are desired (Mayhew, et al. Biochim. Biophys. Acta 775:169, 1984). These methods are readily adapted to packaging RNAi agent preparations into liposomes.
  • Liposomes fall into two broad classes. Cationic liposomes are positively charged liposomes which interact with the negatively charged nucleic acid molecules to form a stable complex. The positively charged nucleic acid/liposome complex binds to the negatively charged cell surface and is internalized in an endosome. Due to the acidic pH within the endosome, the liposomes are ruptured, releasing their contents into the cell cytoplasm (Wang et al., Biochem. Biophys. Res. Commun., 1987, 147, 980-985).
  • Liposomes which are pH-sensitive or negatively-charged, entrap nucleic acids rather than complex with it. Since both the nucleic acid and the lipid are similarly charged, repulsion rather than complex formation occurs. Nevertheless, some nucleic acid is entrapped within the aqueous interior of these liposomes. pH-sensitive liposomes have been used to deliver nucleic acids encoding the thymidine kinase gene to cell monolayers in culture. Expression of the exogenous gene was detected in the target cells (Zhou et al., Journal of Controlled Release, 1992, 19, 269-274).
  • One major type of liposomal composition includes phospholipids other than naturally-derived phosphatidylcholine. Neutral liposome compositions, for example, can be formed from dimyristoyl phosphatidylcholine (DMPC) or dipalmitoyl phosphatidylcholine (DPPC). Anionic liposome compositions generally are formed from dimyristoyl phosphatidylglycerol, while anionic fusogenic liposomes are formed primarily from dioleoyl phosphatidylethanolamine (DOPE). Another type of liposomal composition is formed from phosphatidylcholine (PC) such as, for example, soybean PC, and egg PC. Another type is formed from mixtures of phospholipid and/or phosphatidylcholine and/or cholesterol.
  • Examples of other methods to introduce liposomes into cellsin vitro andin vivo includeU.S. Pat. No. 5,283,185;U.S. Pat. No. 5,171,678;WO 94/00569;WO 93/24640;WO 91/16024; Felgner, J. Biol. Chem. 269:2550, 1994;Nabel, Proc. Nail. Acad. Sci. 90:11307, 1993;Nabel, Human Gene Ther. 3:649, 1992;Gershon, Biochem. 32:7143, 1993; andStrauss EMBO J. 11:417, 1992.
  • Non-ionic liposomal systems have also been examined to determine their utility in the delivery of drugs to the skin, in particular systems comprising non-ionic surfactant and cholesterol. Non-ionic liposomal formulations comprising Novasome I (glyceryl dilaurate/cholesterol/polyoxyethylene-10-stearyl ether) and Novasome II (glyceryl distearate/cholesterol/polyoxyethylene-10-stearyl ether) were used to deliver cyclosporin-A into the dermis of mouse skin. Results indicated that such non-ionic liposomal systems were effective in facilitating the deposition of cyclosporine A into different layers of the skin (Hu et at. S.T.P.Pharma. Sci., 1994, 4(6) 466).
  • Liposomes also include "sterically stabilized" liposomes, a term which, as used herein, refers to liposomes comprising one or more specialized lipids that, when incorporated into liposomes, result in enhanced circulation lifetimes relative to liposomes lacking such specialized lipids. Examples of sterically stabilized liposomes are those in which part of the vesicle-forming lipid portion of the liposome (A) comprises one or more glycolipids, such as monosialoganglioside GMl, or (B) is derivatized with one or more hydrophilic polymers, such as a polyethylene glycol (PEG) moiety. While not wishing to be bound by any particular theory, it is thought in the art that, at least for sterically stabilized liposomes containing gangliosides, sphingomyelin, or PEG-derivatized lipids, the enhanced circulation half-life of these sterically stabilized liposomes derives from a reduced uptake into cells of the reticuloendothelial system (RES) (Allen et al., FEBS Letters, 1987, 223, 42;Wu et al., Cancer Research, 1993, 53, 3765).
  • Various liposomes comprising one or more glycolipids are known in the art.Papahadjopoulos et al. (Ann. N.Y. Acad. Sci., 1987, 507, 64) reported the ability of monosialoganglioside GM1, galactocerebroside sulfate and phosphatidylinositol to improve blood half-lives of liposomes. These findings were expounded upon byGabizon et al. (Proc. Natl. Acad. Sci. U.S.A., 1988, 85, 6949).U.S. Pat. No. 4,837,028 andWO 88/04924, both to Allen et al., disclose liposomes comprising (1) sphingomyelin and (2) the ganglioside GM1 or a galactocerebroside sulfate ester.U.S. Pat. No. 5,543,152 (Webb et al.) discloses liposomes comprising sphingomyelin. Liposomes comprising 1,2-sn-dimyristoylphosphatidylcholine are disclosed inWO 97/13499 (Lim et al).
  • In one embodiment, cationic liposomes are used. Cationic liposomes possess the advantage of being able to fuse to the cell membrane. Non-cationic liposomes, although not able to fuse as efficiently with the plasma membrane, are taken up by macrophages in vivo and can be used to deliver RNAi agents to macrophages.
  • Further advantages of liposomes include: liposomes obtained from natural phospholipids are biocompatible and biodegradable; liposomes can incorporate a wide range of water and lipid soluble drugs; liposomes can protect encapsulated RNAi agents in their internal compartments from metabolism and degradation (Rosoff, in "Pharmaceutical Dosage Forms," Lieberman, Rieger and Banker (Eds.), 1988,). Important considerations in the preparation of liposome formulations are the lipid surface charge, vesicle size and the aqueous volume of the liposomes.
  • A positively charged synthetic cationic lipid, N-[1-(2,3-dioleyloxy)propyl]-N,N,N-trimethylammonium chloride (DOTMA) can be used to form small liposomes that interact spontaneously with nucleic acid to form lipid-nucleic acid complexes which are capable of fusing with the negatively charged lipids of the cell membranes of tissue culture cells, resulting in delivery of RNAi agent (see, e.g..Felgner, P. L. et al., Proc. Natl. Acad. Sci., USA 8:7413-7417, 1987 andU.S. Pat. No. 4,897,355 for a description of DOTMA and its use with DNA).
  • A DOTMA analogue, 1,2-bis(oleoyloxy)-3-(trimethylammonia)propane (DOTAP) can be used in combination with a phospholipid to form DNA-complexing vesicles. Lipofectin Bethesda Research Laboratories, Gaithersburg, Md.) is an effective agent for the delivery of highly anionic nucleic acids into living tissue culture cells that comprise positively charged DOTMA liposomes which interact spontaneously with negatively charged polynucleotides to form complexes. When enough positively charged liposomes are used, the net charge on the resulting complexes is also positive. Positively charged complexes prepared in this way spontaneously attach to negatively charged cell surfaces, fuse with the plasma membrane, and efficiently deliver functional nucleic acids into, for example, tissue culture cells. Another commercially available cationic lipid, 1,2-bis(oleoyloxy)-3,3-(trimethylammonia)propane ("DOTAP") (Boehringer Mannheim, Indianapolis, Indiana) differs from DOTMA in that the oleoyl moieties are linked by ester, rather than ether linkages.
  • Other reported cationic lipid compounds include those that have been conjugated to a variety of moieties including, for example, carboxyspermine which has been conjugated to one of two types of lipids and includes compounds such as 5-carboxyspermylglycine dioctaoleoylamide ("DOGS") (Transfectam, Promega, Madison, Wisconsin) and dipalmitoylphosphatidylethanolamine 5-carboxyspermyl-amide ("DPPES") (see, e.g.,U.S. Pat. No. 5,171,678).
  • Another cationic lipid conjugate includes derivatization of the lipid with cholesterol ("DC-Chol") which has been formulated into liposomes in combination with DOPE (See,Gao, X. and Huang, L., Biochim. Biophys. Res. Commun. 179:280, 1991). Lipopolylysine, made by conjugating polylysine to DOPE, has been reported to be effective for transfection in the presence of serum (Zhou, X. et al,, Biochim. Biophys. Acta 1065:8, 1991). For certain cell lines, these liposomes containing conjugated cationic lipids, are said to exhibit lower toxicity and provide more efficient transfection than the DOTMA-containing compositions. Other commercially available cationic lipid products include DMRIE and DMRIE-HP (Vical, La Jolla, California) and Lipofectamine (DOSPA) (Life Technology, Inc., Gaithersburg, Maryland). Other cationic lipids suitable for the delivery of oligonucleotides are described inWO 98/39359 andWO 96/37194.
  • Liposomal formulations are particularly suited for topical administration, liposomes present several advantages over other formulations. Such advantages include reduced side effects related to high systemic absorption of the administered drug, increased accumulation of the administered drug at the desired target, and the ability to administer RNAi agent into the skin. In some implementations, liposomes are used for delivering RNAi agent to epidermal cells and also to enhance the penetration of RNAi agent into dermal tissues, e.g., into skin. For example, the liposomes can be applied topically. Topical delivery of drugs formulated as liposomes to the skin has been documented (see,e.g.,Weiner et al., Journal of Drug Targeting, 1992, vol. 2,405-410 anddu Plessis et al, Antiviral Research, 18, 1992, 259-265;Mannino, R. J. and Fould-Fogerite, S., Biotechniques 6:682-690, 1988:Itani, T. et al. Gene 56:267-276. 1987; Nicolau, C. et al. Meth. Enz. 149:157-176, 1987;Straubinger, R. M. and Papahadjopoulos, D. Meth. Enz. 101:512-527, 1983;Wang, C. Y. and Huang, L., Proc. Natl. Acad. Sci. USA 84:7851-7855, 1987).
  • Non-ionic liposomal systems have also been examined to determine their utility in the delivery of drugs to the skin, in particular systems comprising non-ionic surfactant and cholesterol. Non-ionic liposomal formulations comprising Novasome I (glyceryl dilaurate/cholesterol/polyoxyethylene-10-stearyl ether) and Novasome II (glyceryl distearate/ cholesterol/polyoxyethylene-10-stearyl ether) were used to deliver a drug into the dermis of mouse skin. Such formulations with RNAi agent are useful for treating a dermatological disorder.
  • Liposomes that include iRNA can be made highly deformable. Such deformability can enable the liposomes to penetrate through pore that are smaller than the average radius of the liposome. For example, transferosomes are a type of deformable liposomes. Transferosomes can be made by adding surface edge activators, usually surfactants, to a standard liposomal composition. Transferosomes that include RNAi agent can be delivered, for example, subcutaneously by infection in order to deliver RNAi agent to keratinocytes in the skin. In order to cross intact mammalian skin, lipid vesicles must pass through a series of fine pores, each with a diameter less than 50 nm, under the influence of a suitable transdermal gradient. In addition, due to the lipid properties, these transferosomes can be self-optimizing (adaptive to the shape of pores,e.g., in the skin), self-repairing, and can frequently reach their targets without fragmenting, and often self-loading.
  • Other formulations amenable to the present invention are described inUnited States provisional application serial Nos. 61/018,616, filed January 2, 2008;61/018,611, filed January 2, 2008;61/039,748, filed March 26, 2008;61/047,087, filed April 22, 2008 and61/051,528, filed May 8, 2008. PCT application noPCT/US2007/080331, filed October 3, 2007 also describes formulations that are amenable to the present invention.
  • Transferosomes are yet another type of liposomes, and are highly deformable lipid aggregates which are attractive candidates for drug delivery vehicles. Transferosomes can be described as lipid droplets which are so highly deformable that they are easily able to penetrate through pores which are smaller than the droplet. Transferosomes are adaptable to the environment in which they are used,e.g., they are self-optimizing (adaptive to the shape of pores in the skin), self-repairing, frequently reach their targets without fragmenting, and often self-loading. To make transferosomes it is possible to add surface edge-activators, usually surfactants, to a standard liposomal composition. Transferosomes have been used to deliver serum albumin to the skin. The transferosome-mediated delivery of serum albumin has been shown to be as effective as subcutaneous injection of a solution containing serum albumin.
  • Surfactants find wide application in formulations such as emulsions (including microemulsions) and liposomes. The most common way of classifying and ranking the properties of the many different types of surfactants, both natural and synthetic, is by the use of the hydrophile/lipophile balance (HLB). The nature of the hydrophilic group (also known as the "head") provides the most useful means for categorizing the different surfactants used in formulations (Rieger, in Pharmaceutical Dosage Forms, Marcel Dekker, Inc., New York, N.Y., 1988, p. 285).
  • If the surfactant molecule is not ionized, it is classified as a nonionic surfactant. Nonionic surfactants find wide application in pharmaceutical and cosmetic products and are usable over a wide range of pH values. In general their HLB values range from 2 to about 18 depending on their structure. Nonionic surfactants include nonionic esters such as ethylene glycol esters, propylene glycol esters, glyceryl esters, polyglyceryl esters, sorbitan esters, sucrose esters, and ethoxylated esters. Nonionic alkanolamides and ethers such as fatty alcohol ethoxylates, propoxylated alcohols, and ethoxylated/propoxylated block polymers are also included in this class. The polyoxyethylene surfactants are the most popular members of the nonionic surfactant class.
  • If the surfactant molecule carries a negative charge when it is dissolved or dispersed in water, the surfactant is classified as anionic. Anionic surfactants include carboxylates such as soaps, acyl lactylates, acyl amides of amino acids, esters of sulfuric acid such as alkyl sulfates and ethoxylated alkyl sulfates, sulfonates such as alkyl benzene sulfonates, acyl isethionates, acyl taurates and sulfosuccinates, and phosphates. The most important members of the anionic surfactant class are the alkyl sulfates and the soaps.
  • If the surfactant molecule carries a positive charge when it is dissolved or dispersed in water, the surfactant is classified as cationic. Cationic surfactants include quaternary ammonium salts and ethoxylated amines. The quaternary ammonium salts are the most used members of this class.
  • If the surfactant molecule has the ability to carry either a positive or negative charge, the surfactant is classified as amphoteric. Amphoteric surfactants include acrylic acid derivatives, substituted alkylamides, N-alkylbetaines and phosphatides.
  • The use of surfactants in drug products, formulations and in emulsions has been reviewed (Rieger, in Pharmaceutical Dosage Forms, Marcel Dekker, Inc., New York, N.Y., 1 988, p. 285).
  • The iRNA for use in the methods of the invention can also be provided as micellar formulations. "Micelles" are defined herein as a particular type of molecular assembly in which amphipathic molecules are arranged in a spherical structure such that all the hydrophobic portions of the molecules are directed inward, leaving the hydrophilic portions in contact with the surrounding aqueous phase. The converse arrangement exists if the environment is hydrophobic.
  • A mixed micellar formulation suitable for delivery through transdermal membranes may be prepared by mixing an aqueous solution of the siRNA composition, an alkali metal C8 to C22 alkyl sulphate, and a micelle forming compounds. Exemplary micelle forming compounds include lecithin, hyaluronic acid, pharmaceutically acceptable salts of hyaluronic acid, glycolic acid, lactic acid, chamomile extract, cucumber extract, oleic acid, linoleic acid, linolenic acid, monoolein, monooleates, monolaurates, borage oil, evening of primrose oil, menthol, trihydroxy oxo cholanyl glycine and pharmaceutically acceptable salts thereof, glycerin, polyglycerin, lysine, polylysine, triolein, polyoxyethylene ethers and analogues thereof, polidocanol alkyl ethers and analogues thereof, chenodeoxycholate, deoxycholate, and mixtures thereof. The micelle forming compounds may be added at the same time or after addition of the alkali metal alkyl sulphate. Mixed micelles will form with substantially any kind of mixing of the ingredients but vigorous mixing in order to provide smaller size micelles.
  • In one method a first micellar composition is prepared which contains the siRNA composition and at least the alkali metal alkyl sulphate. The first micellar composition is then mixed with at least three micelle forming compounds to form a mixed micellar composition. In another method, the micellar composition is prepared by mixing the siRNA composition, the alkali metal alkyl sulphate and at least one of the micelle forming compounds, followed by addition of the remaining micelle forming compounds, with vigorous mixing.
  • Phenol and/or m-cresol may be added to the mixed micellar composition to stabilize the formulation and protect against bacterial growth. Alternatively, phenol and/or m-cresol may be added with the micelle forming ingredients. An isotonic agent such as glycerin may also be added after formation of the mixed micellar composition.
  • For delivery of the micellar formulation as a spray, the formulation can be put into an aerosol dispenser and the dispenser is charged with a propellant. The propellant, which is under pressure, is in liquid form in the dispenser. The ratios of the ingredients are adjusted so that the aqueous and propellant phases become one,i.e., there is one phase. If there are two phases, it is necessary to shake the dispenser prior to dispensing a portion of the contents, e.g., through a metered valve. The dispensed dose of pharmaceutical agent is propelled from the metered valve in a fine spray.
  • Propellants may include hydrogen-containing chlorofluorocarbons, hydrogen-containing fluorocarbons, dimethyl ether and diethyl ether. In certain embodiments, HFA 134a (1,1,1,2 tetrafluoroethane) may be used.
  • The specific concentrations of the essential ingredients can be determined by relatively straightforward experimentation. For absorption through the oral cavities, it is often desirable to increase,e.g., at least double or triple, the dosage for through injection or administration through the gastrointestinal tract.
  • Lipid particles
  • The iRNAs, e.g., dsRNAs of in the invention may be fully encapsulated in a lipid formulation,e.g., a LNP, or other nucleic acid-lipid particle.
  • As used herein, the term "LNP" refers to a stable nucleic acid-lipid particle. LNPs contain a cationic lipid, a non-cationic lipid, and a lipid that prevents aggregation of the particle(e.g., a PEG-lipid conjugate). LNPs are extremely useful for systemic applications, as they exhibit extended circulation lifetimes following intravenous (i.v.) injection and accumulate at distal sites (e.g., sites physically separated from the administration site). LNPs include "pSPLP," which include an encapsulated condensing agent-nucleic acid complex as set forth inPCT Publication No. WO 00/03683. The particles of the present invention typically have a mean diameter of about 50 nm to about 150 nm, more typically about 60 nm to about 130 nm, more typically about 70 nm to about 110 nm, most typically about 70 nm to about 90 nm, and are substantially nontoxic. In addition, the nucleic acids when present in the nucleic acid- lipid particles of the present invention are resistant in aqueous solution to degradation with a nuclease. Nucleic acid-lip id particles and their method of preparation are disclosed in,e.g.,U.S. Patent Nos. 5,976,567;5,981,501;6,534,484;6,586,410;6,815,432;U.S. Publication No. 2010/0324120 andPCT Publication No. WO 96/40964.
  • In one embodiment, the lipid to drug ratio (mass/mass ratio) (e.g., lipid to dsRNA ratio) will be in the range of from about 1:1 to about 50:1, from about 1:1 to about 25:1, from about 3:1 to about 15:1, from about 4:1 to about 10:1, from about 5:1 to about 9:1, or about 6:1 to about 9:1. Ranges intermediate to the above recited ranges are also contemplated to be part of the invention.
  • The cationic lipid can be, for example, N,N-dioleyl-N,N-dimethylammonium chloride (DODAC), N,N-distearyl-N,N-dimethylammonium bromide (DDAB), N-(I-(2,3-dioleoyloxy)propyl)-N,N,N-trimethylammonium chloride (DOTAP), N-(I -(2,3-dioleyloxy)propyl)-N,N,N-trimethylammomum chloride (DOTMA), N,N-dimethyl-2,3-dioleyloxy)propylamine (DODMA), 1,2-DiLmoleyloxy-N,N-dimethylaminopropane (DLinDMA), 1,2-Dilinolenyloxy-N,N-dimethylaminopropane (DLenDMA), 1,2-Dilinoleylcarbamoyloxy-3-dimethylammopropane (DLin-C-DAP), 1,2-Dilinoleyoxy-3-(dimethylamino)acetoxypropaiie (DLin-DAC), 1,2-Dilinoleyoxy-3-morpholinopropane (DLin-MA), 1,2-Dilinoleoyl-3-dimethylaminopropane (DLinDAP), 1,2-Dilinoleylthio-3-dimethylaminopropane (DLin-S-DMA), 1-Linoleoyl-2-linoleyloxy-3-dimethylaminopropane (DLin-2-DMAP), 1,2-Dilinoleyloxy-3-trimethylaminopropane chloride salt (DLin-TMA.Cl), 1,2-Dilinoleoyl-3-trimethylaminopropane chloride salt (DLin-TAP.Cl), 1,2-Dilinoleyloxy-3-(N-methylpiperazino)propane (DLin-MPZ), or 3-(N,N'-Dilinoleylamino)-1,2-propanediol (DLinAP), 3-(N,N-Dioleylamino)-1,2-propancdio (DOAP), 1,2-Dilinoleyloxo-3-'2-N,N-dimethylamino)ethoxypropane (DLin-EG-DMA), 1,2-Dilinolenyloxy-N,N-dimethylaminopropane (DLinDMA), 2,2-Dilinoleyl-4-dimethylaminomethyl-[1,3]-dioxolane (DLin-K-DMA) or analogs thereof, (3aR,5s,6aS)-N,N-dimethyl-2,2-di((9Z,12Z)-octadeca-9,12-dienyl)tetrahydro-3aH-cyclopenta[d][1,3]dioxol-5-amine (ALN100), (6Z,9Z,28Z,31Z)-heptatriaconta-6,9,28,31 -tetraen-19-yl 4-(dimethylamino)butanoate (MC3), 1,1'-(2-(4-(2-((2-(bis(2-hydroxydodecyl)amino)ethyl)(2-hydroxydodecyl)amino)ethyl)piperazin-1-yl)ethylazanediyl)didodecan-2-ol (Tech G1), or a mixture thereof. The cationic lipid can comprise from about 20 mol % to about 50 mol % or about 40 mol % of the total lipid present in the particle.
  • In another embodiment, thecompound 2,2-Dilinoleyl-4-dimethylaminoethyl-[1,3]-dioxolane can be used to prepare lipid-siRNA nanoparticles. Synthesis of 2,2-Dilinoleyl-4-dimethylaminoethyl-[1,3]-dioxolane is described in International application no.PCT/US2009/061897, published asWO/2010/048536, which is herein incorporated by reference.
  • In one embodiment, the lipid-siRNA particle includes 40% 2, 2-Dilinoleyl-4-dimethylaminoethyl-[1,3]-dioxolane: 10% DSPC: 40% Cholesterol: 10% PEG-C-DOMG (mole percent) with a particle size of 63.0 ± 20 nm and a 0.027 siRNA/Lipid Ratio.
  • The ionizable/non-cationic lipid can be an anionic lipid or a neutral lipid including, but not limited to, distearoylphosphatidylcholine (DSPC), dioleoylphosphatidylchoJine (DOPC), dipalmitoylphosphatidylcholine (DPPC), dioleoylphosphatidylglycerol (DOPG), dipalmitoylphosphatidylglycerol (DPPG), dioleoyl-phosphatidylethanolamine (DOPE), palmitoyloleoylphosphatidylcholine (POPC), palmitoyloleoylphosphatidyiethanolamine (POPE), dioleoyl- phosphatidylethanolamine 4-(N-maleimidomethyl)-cyclohexane-1-carboxylate (DOPE-mal), dipalmitoyl phosphatidyl ethanolamine (DPPE), dimyristoylphosphoethanolamine (DMPE), distearoyl-phosphatidyl-ethanolamine (DSPE), 16-O-monomethyl PE, 16-O-dimethyl PE, 18-1 -trans PE, 1 -stearoyl-2-oleoyl-phosphatidyethanolamine (SOPE), cholesterol, or a mixture thereof. The non-cationic lipid can be from about 5 mol % to about 90 mol %, about 10 mol %, or about 58 mol % if cholesterol is included, of the total lipid present in the particle.
  • The conjugated lipid that inhibits aggregation of particles can be, for example, a polyethyleneglycol (PEG)-lipid including, without limitation, a PEG-diacylglycerol (DAG), a PEG-dialkyloxypropyl (DAA), a PEG-phospholipid, a PEG-ceramide (Cer), or a mixture thereof. The PEG-DAA conjugate can be, for example, a PEG-dilauryloxypropyl (Ci2), a PEG-dimyristyloxypropyl (Ci4), a PEG-dipalmityloxypropyl (Ci6), or a PEG-distearyloxypropyl (C]8). The conjugated lipid that prevents aggregation of particles can be from 0 mol % to about 20 mol %, or about 2 mol % of the total lipid present in the particle.
  • In some embodiments, the nucleic acid-lipid particle further includes cholesterol at,e.g., about 10 mol % to about 60 mol % or about 48 mol % of the total lipid present in the particle.
  • In one embodiment, the lipidoid ND98·4HCl (MW 1487) (seeU.S. Patent Application No. 12/056,230, filed 3/26/2008, which is incorporated herein by reference), Cholesterol (Sigma-Aldrich), and PEG-Ceramide C16 (Avanti Polar Lipids) can be used to prepare lipid-dsRNA nanoparticles (i.e., LNP01 particles). Stock solutions of each in ethanol can be prepared as follows: ND98, 133 mg/ml; Cholesterol, 25 mg/ml, PEG-Ceramide C16, 100 mg/ml, The ND98, Cholesterol, and PEG-Ceramide C16 stock solutions can then be combined in a,e.g., 42:48:10 molar ratio. The combined lipid solution can be mixed with aqueous dsRNA (e.g., in sodium acetate pH 5) such that the final ethanol concentration is about 35-45% and the final sodium acetate concentration is about 100-300 mM. Lipid-dsRNA nanoparticles typically form spontaneously upon mixing. Depending on the desired particle size distribution, the resultant nanoparticle mixture can be extruded through a polycarbonate membrane(e.g., 100 nm cut-off) using, for example, a thermobarrel extruder, such as Lipex Extruder (Northern Lipids, Inc). In some cases, the extrusion step can be omitted. Ethanol removal and simultaneous buffer exchange can be accomplished by, for example, dialysis or tangential flow filtration. Buffer can be exchanged with, for example, phosphate buffered saline (PBS) at aboutpH 7, e.g., about pH 6.9, about pH 7.0, about pH 7.1, about pH 7.2, about pH 7.3, or about pH 7.4. LNP01 formulations are described, e.g., in International Application Publication No.WO 2008/042973, which is hereby incorporated by reference.
  • Additional exemplary lipid-dsRNA formulations are described in Table A.Table A. Exemplary lipid dsRNA formulations
    lonizable/Cationic Lipidcationic lipid/non-cationic-lipid/cholesterol/PEG-lipid conjugate Lipid: siRNA ratio
    LNP_DLinDMA1,2-Dilinolenyloxy-N,N-dimethylaminopropane (DLinDMA)DLinDMA/DPPC/Cholesterol/PEG-cDMA (57.1/7.1/34.4/1.4) lipid:siRNA~7:1
    2-XTC2,2-Dilinoleyl-4-dimethiylaminoethyl-[1,3]-dioxolane (XTC)XTC/DPPC/ Cholesterol/PEG-cDMA 57.1/7.1/34.4/1.4 lipid:siRNA~7:1
    LNP052,2-Dilinoleyl-4-dimethylaminoethyl-[1,3]-dioxolane (XTC)XTC/DSPC/Cho1estero1/PEG-DMG 57.5/7.5/31.5/3.5 lipid:siRNA~6:1
    LNP062,2-Dilinoleyl-4-dimethiylaminoethyl-[1,3]-dioxolane (XTC)XTC/DSPC/Cholesterol/PEG-DMG 57.5/7.5/31.5/3.5 lipid:siRNA ~ 11:1
    LNP072,2-Dilinoleyl-4-dimethylaminoethyl-[1,3]-dioxolane (XTC)XTC/DSPC/Cholesterol/PEG- DMG 60/7.5/31/1.5, lipid:siRNA ~ 6:1
    LNP082,2-Dilinoleyl-4-dimethiylaminoethyl-[1,3]-dioxolane (XTC)XTC/DSPC/Cholesterol/PEG-DMG 60/7.5/31/1.5, lipid: siRNA - 11:1
    LNP092,2-Dilinoleyl-4-dimethylaminoethyl-[1,3]-dioxolane (XTC)XTC/DSPC/Cholesterol/PEG- DMG 50/10/38.5/1.5 Lipid:siRNA 10:1
    LNP10(3aR,5s,6aS)-N,N-dimethyl-2,2-di((9Z,]2Z)-octadeca-9,12-dienyl)tetrahydro-3aH-cyclopenta[d][1,3]dioxol-5-amine(ALN100)ALN100/DSPC/cholesterol/PEG-DMG 50/10/38.5/1.5 Lipid:siRNA 10:1
    LNP11(6Z,9Z,28Z,31Z)-heptatriaconta-6,9,28,31-tetraen-19-yl 4-(dimethylamino)butanoate (MC3)MC-3/DSPC/Cholesterol/PHG-DMG 50/10/38.5/1.5 Lipid: siRNA 10:1
    LNP121,1'-(2-(4-(2-((2-(bis(2-hydroxydodecyl)amino)ethyl)(2-hydroxydoclecyl)amino)ethyl)piperazin-1-yl)ethylazanediyl)didoclecan-2-ol(C12-200>Tech G1/DSPC/Cholesterol/PEG-DMG 50/10/38.5/1.5 Lipid:siRNA 10:1
    LNP13XTCXTC/DSPC/Chol/PEG-DMG 50/10/38.5/1.5 Lipid:siRNA: 33:1
    LNP14MC3MC3/DSPC/Chol/PEC-DMG 40/15/40/5 Lipid:siRNA: 11:1
    LNP15MC3MC3/DSPC/Chol/PEG- DSG/GalNAc-PEG-DSG 50/10/35/4.5/0.5 Lipid:siRNA: 11:1
    LNP16MC3MC3/DSPC/Chol/PEG-DMG 50/10/38.5/1.5 Lipid:siRNA: 7:1
    LNP17MC3MC3/DSPC/Chol/PEG-DSG 50/10/38.5/1.5 Lipid:siRNA: 10:1
    LNP18MC3MC3/DSPC/Chol/PEG-DMG 50/10/38.5/1.5 Lipid: siRNA: 12:1
    LNP19MC3MC3/DSPC/Chol/PEG-DMG 50/10/35/5 Lipid:siRNA: 8:1
    LNP20MC3MC3/DSPC/Chol/PEG-DPG 50/10/38.5/1.5 Lipid:siRNA: 10:1
    LNP21C12-200C12-200/DSPC/Chol/PEG-DSG 50/10/38.5/1,5 Lipid:siRNA: 7:1
    LNP22XTCXTC/DSPC/Chol/PEG-DSG 50/10/38.5/1.5 Lipid:siRNA: 10:1
  • Abbreviations in Table A include the following: DSPC: distearoylphosphatidylcholine; DPPC: dipalmitoylphosphatidylcholine; PEG-DMG: PEG-didimyristoyl glycerol (C14-PEG, or PEG-C14) (PEG with avg mol wt of 2000); PEG-DSG: PEG-distyryl glycerol (C18-PEG, or PEG.-C18) (PEG with avg mol wt of 2000); PEG-cDMA: PEG-carbamoyl-1,2-dimyristyloxypropylamine (PEG with avg mol wt of 2000).
  • DLinDMA (1,2-Dilinolenyloxy-N,N-dimethylaminopropane) comprising formulations are described in International Publication No.WO2009/127060, filed April 15, 2009, which is hereby incorporated by reference.
  • XTC comprising formulations are described,e.g., inU.S. Provisional Serial No. 61/148,366, filed January 29, 2009;U.S. Provisional Serial No. 61/156,851, filed March 2, 2009; U.S. Provisional Serial No. filed June 10, 2009;U.S. Provisional Serial No. 61/228,373, filed July 24, 2009;U.S. Provisional Serial No. 61/239,686, filed September 3, 2009, and International Application No.PCT/US2010/022614, filed January 29, 2010, which are hereby incorporated by reference.
  • MC3 comprising formulations are described,e.g., inU.S. Publication No. 2010/0324120, filed June 10, 2010, the entire contents of which are hereby incorporated by reference.
  • ALNY-100 comprising formulations are described,e.g., International patent application numberPCT/US09/63933, filed on November 10, 2009, which is hereby incorporated by reference.
  • C12-200 comprising formulations are described inU.S. Provisional Serial No. 61/175,770, filed May 5, 2009 and International Application No.PCT/US10/33777, filed May 5, 2010, which are hereby incorporated by reference.
  • Additional Formulationsi.Emulsions
  • The compositions of the present invention can be prepared and formulated as emulsions. Emulsions are typically heterogeneous systems of one liquid dispersed in another in the form of droplets usually exceeding 0.1µm in diameter (seee.g.,Ansel's Pharmaceutical Dosage Forms and Drug Delivery Systems, Allen, LV., Popovich NG., and Ansel HC., 2004, Lippincott Williams & Wilkins (8th ed.), New York, NY;Idson, in Pharmaceutical Dosage Forms, Lieberman, Rieger and Banker (Eds.), 1988, Marcel Dekker, Inc., New York, N.Y.,;Rosoff, in Pharmaceutical Dosage Forms, Lieberman, Rieger and Banker (Eds.), 1988, Marcel Dekker, Inc., New York, N.Y.,;Block in Pharmaceutical Dosage Forms, Lieberman, Rieger and Banker (Eds.), 1988, Marcel Dekker, Inc., New York, N.Y.,;Higuchi et al., in Remington's Pharmaceutical Sciences, Mack Publishing Co., Easton, Pa., 1985, p. 301). Emulsions are often biphasic systems comprising two immiscible liquid phases intimately mixed and dispersed with each other. In general, emulsions can be of either the water-in-oil (w/o) or the oil-in-water (o/w) variety. When an aqueous phase is finely divided into and dispersed as minute droplets into a bulk oily phase, the resulting composition is called a water-in-oil (w/o) emulsion. Alternatively, when an oily phase is finely divided into and dispersed as minute droplets into a bulk aqueous phase, the resulting composition is called an oil-in-water (o/w) emulsion. Emulsions can contain additional components in addition to the dispersed phases, and the active drug which can be present as a solution in either the aqueous phase, oily phase or itself as a separate phase. Pharmaceutical excipients such as emulsifiers, stabilizers, dyes, and antioxidants can also be present in emulsions as needed. Pharmaceutical emulsions can also be multiple emulsions that are comprised of more than two phases such as, for example, in the case of oil-in-water-in-oil (o/w/o) and water-in-oil-in-water (w/o/w) emulsions. Such complex formulations often provide certain advantages that simple binary emulsions do not. Multiple emulsions in which individual oil droplets of an o/w emulsion enclose small water droplets constitute a w/o/w emulsion. Likewise a system of oil droplets enclosed in globules of water stabilized in an oily continuous phase provides an o/w/o emulsion.
  • Emulsions are characterized by little or no thermodynamic stability. Often, the dispersed or discontinuous phase of the emulsion is well dispersed into the external or continuous phase and maintained in this form through the means of emulsifiers or the viscosity of the formulation. Either of the phases of the emulsion can be a semisolid or a solid, as is the case of emulsion-style ointment bases and creams. Other means of stabilizing emulsions entail the use of emulsifiers that can be incorporated into either phase of the emulsion. Emulsifiers can broadly be classified into four categories: synthetic surfactants, naturally occurring emulsifiers, absorption bases, and finely dispersed solids (see e.g.,Ansel's Pharmaceutical Dosage Forms and Drug Delivery Systems, Allen, LV., Popovich NG., and Ansel HC., 2004, Lippincott Williams & Wilkins (8th ed.), New York, NY; Idson, in Pharmaceutical Dosage Forms, Lieberman, Rieger and Banker (Eds.), 1988, Marcel Dekker, Inc., New York, N.Y.,).
  • Synthetic surfactants, also known as surface active agents, have found wide applicability in the formulation of emulsions and have been reviewed in the literature (seee.g., Ansel's Pharmaceutical Dosage Forms and Drug Delivery Systems, Allen, LV., Popovich NG., and Ansel HC., 2004, Lippincott Williams & Wilkins (8th ed.), New York, NY;Rieger, in Pharmaceutical Dosage Forms, Lieberman, Rieger and Banker (Eds.), 1988, Marcel Dekker, Inc., New York, N.Y.,;Idson, in Pharmaceutical Dosage Forms, Lieberman, Rieger and Banker (Eds.), Marcel Dekker, Inc., New York, N.Y., 1988,). Surfactants are typically amphiphilic and comprise a hydrophilic and a hydrophobic portion. The ratio of the hydrophilic to the hydrophobic nature of the surfactant has been termed the hydrophile/lipophile balance (HLB) and is a valuable tool in categorizing and selecting surfactants in the preparation of formulations. Surfactants can be classified into different classes based on the nature of the hydrophilic group: nonionic, anionic, cationic and amphoteric (seee.g., Ansel's Pharmaceutical Dosage Forms and Drug Delivery Systems, Allen, LV., Popovich NG., and Ansel HC., 2004, Lippincott Williams & Wilkins (8th ed.), New York, NY Rieger, in Pharmaceutical Dosage Forms, Lieberman, Rieger and Banker (Eds.), 1988, Marcel Dekker, Inc., New York, N.Y.,).
  • Naturally occurring emulsifiers used in emulsion formulations include lanolin, beeswax, phosphatides, lecithin and acacia. Absorption bases possess hydrophilic properties such that they can soak up water to form w/o emulsions yet retain their semisolid consistencies, such as anhydrous lanolin and hydrophilic petrolatum. Finely divided solids have also been used as good emulsifiers especially in combination with surfactants and in viscous preparations. These include polar inorganic solids, such as heavy metal hydroxides, nonswelling clays such as bentonite, attapulgite, hectorite, kaolin, montmorillonite, colloidal aluminum silicate and colloidal magnesium aluminum silicate, pigments and nonpolar solids such as carbon or glyceryl tristearate.
  • A large variety of non-emulsifying materials are also included in emulsion formulations and contribute to the properties of emulsions. These include fats, oils, waxes, fatty acids, fatty alcohols, fatty esters, humectants, hydrophilic colloids, preservatives and antioxidants (Block, in Pharmaceutical Dosage Forms, Lieberman, Rieger and Banker (Eds.), 1988, Marcel Dekker, Inc., New York, N.Y.,;Idson, in Pharmaceutical Dosage Forms, Lieberman, Rieger and Banker (Eds.), 1988, Marcel Dekker, Inc., New York, N.Y.,).
  • Hydrophilic colloids or hydrocolloids include naturally occurring gums and synthetic polymers such as polysaccharides (for example, acacia, agar, alginic acid, carrageenan, guar gum, karaya gum, and tragacanth), cellulose derivatives (for example, carboxymethylcellulose and carboxypropylcellulose), and synthetic polymers (for example, carbomers, cellulose ethers, and carboxyvinyl polymers). These disperse or swell in water to form colloidal solutions that stabilize emulsions by forming strong interfacial films around the dispersed-phase droplets and by increasing the viscosity of the external phase.
  • Since emulsions often contain a number of ingredients such as carbohydrates, proteins, sterols and phosphatides that can readily support the growth of microbes, these formulations often incorporate preservatives. Commonly used preservatives included in emulsion formulations include methyl paraben, propyl paraben, quaternary ammonium salts, benzalkonium chloride, esters of p-hydroxybenzoic acid, and boric acid. Antioxidants are also commonly added to emulsion formulations to prevent deterioration of the formulation. Antioxidants used can be free radical scavengers such as tocopherols, alkyl gallates, butylated hydroxyanisole, butylated hydroxytoluene, or reducing agents such as ascorbic acid and sodium metabisulfite, and antioxidant synergists such as citric acid, tartaric acid, and lecithin.
  • The application of emulsion formulations via dermatological, oral and parenteral routes and methods for their manufacture have been reviewed in the literature (seee.g.,Ansel's Pharmaceutical Dosage Forms and Drug Delivery Systems, Allen, LV., Popovich NG., and Ansel HC., 2004, Lippincott Williams & Wilkins (8th ed.), New York, NY;Idson, in Pharmaceutical Dosage Forms, Lieberman, Rieger and Banker (Eds.), 1988, Marcel Dekker, Inc., New York, N.Y.,). Emulsion formulations for oral delivery have been very widely used because of ease of formulation, as well as efficacy from an absorption and bioavailability standpoint (seee.g.,Ansel's Pharmaceutical Dosage Forms and Drug Delivery Systems, Allen, LV., Popovich NG., and Ansel HC., 2004, Lippincott Williams & Wilkins (8th ed.), New York, NY;Rosoff, in Pharmaceutical Dosage Forms, Lieberman, Rieger and Banker (Eds.), 1988, Marcel Dekker, Inc., New York, N.Y.,;Idson, in Pharmaceutical Dosage Forms, Lieberman, Rieger and Banker (Eds.), 1988, Marcel Dekker, Inc., New York, N.Y.,). Mineral-oil base laxatives, oil-soluble vitamins and high fat nutritive preparations are among the materials that have commonly been administered orally as o/w emulsions.
  • ii. Microemulsions
  • In one embodiment of the present invention, the compositions of iRNAs and nucleic acids are formulated as microemulsions. A microemulsion can be defined as a system of water, oil and amphiphile which is a single optically isotropic and thermodynamically stable liquid solution (seee.g.,Ansel's Pharmaceutical Dosage Forms and Drug Delivery Systems, Allen, LV., Popovich NG., and Ansel HC., 2004, Lippincott Williams & Wilkins (8th ed.), New York, NY; Rosoff, in Pharmaceutical Dosage Forms, Lieberman, Rieger and Banker (Eds.), 1988, Marcel Dekker, Inc., New York, N.Y.,). Typically microemulsions are systems that are prepared by first dispersing an oil in an aqueous surfactant solution and then adding a sufficient amount of a fourth component, generally an intermediate chain-length alcohol to form a transparent system. Therefore, microemulsions have also been described as thermodynamically stable, isotropically clear dispersions of two immiscible liquids that are stabilized by interfacial films of surface-active molecules (Leung and Shah, in: Controlled Release of Drugs: Polymers and Aggregate Systems, Rosoff, M., Ed., 1989, VCH Publishers, New York, pages 185-215). Microemulsions commonly are prepared via a combination of three to five components that include oil, water, surfactant, cosurfactant and electrolyte. Whether the microemulsion is of the water-in-oil (w/o) or an oil-in-water (o/w) type is dependent on the properties of the oil and surfactant used and on the structure and geometric packing of the polar heads and hydrocarbon tails of the surfactant molecules (Schott, in Remington's Pharmaceutical Sciences, Mack Publishing Co., Easton, Pa., 1985, p. 271).
  • The phenomenological approach utilizing phase diagrams has been extensively studied and has yielded a comprehensive knowledge, to one skilled in the art, of how to formulate microemulsions (seee.g.,Ansel's Pharmaceutical Dosage Forms and Drug Delivery Systems, Allen, LV., Popovich NG., and Ansel HC., 2004, Lippincott Williams & Wilkins (8th ed.), New York, NY;Rosoff, in Pharmaceutical Dosage Forms, Lieberman, Rieger and Banker (Eds.), 1988, Marcel Dekker, Inc., New York, N.Y.,;Block, in Pharmaceutical Dosage Forms, Lieberman, Rieger and Banker (Eds.), 1988, Marcel Dekker, Inc., New York, N.Y.,). Compared to conventional emulsions, microemulsions offer the advantage of solubilizing water-insoluble drugs in a formulation of thermodynamically stable droplets that are formed spontaneously.
  • Surfactants used in the preparation of microemulsions include, but are not limited to, ionic surfactants, non-ionic surfactants, Brij 96, polyoxyethylene oleyl ethers, polyglycerol fatty acid esters, tetraglycerol monolaurate (ML310), tetraglycerol monooleate (MO310), hexaglycerol monooleate (PO310), hexaglycerol pentaoleate (PO500), decaglycerol monocaprate (MCA750), decaglycerol monooleate (MO750), decaglycerol sequioleate (SO750), decaglycerol decaoleate (DAO750), alone or in combination with cosurfactants. The cosurfactant, usually a short-chain alcohol such as ethanol, 1-propanol, and 1-butanol, serves to increase the interfacial fluidity by penetrating into the surfactant film and consequently creating a disordered film because of the void space generated among surfactant molecules. Microemulsions can, however, be prepared without the use of cosurfactants and alcohol-free self-emulsifying microemulsion systems are known in the art. The aqueous phase can typically be, but is not limited to, water, an aqueous solution of the drug, glycerol, PEG300, PEG400, polyglycerols, propylene glycols, and derivatives of ethylene glycol. The oil phase can include, but is not limited to, materials such asCaptex 300, Captex 355, Capmul MCM, fatty acid esters, medium chain (C8-C12) mono, di, and tri-glycerides, polyoxyethylated glyceryl fatty acid esters, fatty alcohols, polyglycolized glycerides, saturated polyglycolized C8-C10 glycerides, vegetable oils and silicone oil.
  • Microemulsions are particularly of interest from the standpoint of drug solubilization and the enhanced absorption of drugs. Lipid based microemulsions (both o/w and w/o) have been proposed to enhance the oral bioavailability of drugs, including peptides (seee.g.,U.S. Patent Nos. 6,191,105;7,063,860;7,070,802;7,157,099; Constantinides et al., Pharmaceutical Research, 1994, 11, 1385-1390;Ritschel, Meth. Find. Exp. Clin. Pharmacol., 1993, 13, 205). Microemulsions afford advantages of improved drug solubilization, protection of drug from enzymatic hydrolysis, possible enhancement of drug absorption due to surfactant-induced alterations in membrane fluidity and permeability, ease of preparation, ease of oral administration over solid dosage forms, improved clinical potency, and decreased toxicity (seee.g.,U.S. Patent Nos. 6,191,105;7,063,860;7,070,802;7,157,099;Constantinides et al., Pharmaceutical Research, 1994, 11, 1385;Ho et al., J. Pharm. Sci., 1996, 85, 138-143). Often microemulsions can form spontaneously when their components are brought together at ambient temperature. This can be particularly advantageous when formulating thermolabile drugs, peptides or iRNAs. Microemulsions have also been effective in the transdermal delivery of active components in both cosmetic and pharmaceutical applications. It is expected that the microemulsion compositions and formulations of the present invention will facilitate the increased systemic absorption of iRNAs and nucleic acids from the gastrointestinal tract, as well as improve the local cellular uptake of iRNAs and nucleic acids.
  • Microemulsions of the present invention can also contain additional components and additives such as sorbitan monostearate (Grill 3), Labrasol, and penetration enhancers to improve the properties of the formulation and to enhance the absorption of the iRNAs and nucleic acids of the present invention. Penetration enhancers used in the microemulsions of the present invention can be classified as belonging to one of five broad catelories-surfactants, fatty acids, bile salts, chelating agents, and non-chelating non-surfactants (Lee et al., Critical Reviews in Therapeutic Drug Carrier Systems, 1991, p. 92). Each of these classes has been discussed above.
  • iii. Microparticles
  • An RNAi agent of the invention may be incorporated into a particle,e.g., a microparticle. Microparticles can be produced by spray-drying, but may also be produced by other methods including lyophilization, evaporation, fluid bed drying, vacuum drying, or a combination of these techniques.
  • iv. Penetration Enhancers
  • In one embodiment, the present invention employs various penetration enhancers to effect the efficient delivery of nucleic acids, particularly iRNAs, to the skin of animals. Most drugs are present in solution in both ionized and nonionized forms. However, usually only lipid soluble or lipophilic drugs readily cross cell membranes. It has been discovered that even non-lipophilic drugs can cross cell membranes if the membrane to be crossed is treated with a penetration enhancer. In addition to aiding the diffusion of non-lipophilic drugs across cell membranes, penetration enhancers also enhance the permeability of lipophilic drugs.
  • Penetration enhancers can be classified as belonging to one of five broad categories,i.e., surfactants, fatty acids, bile salts, chelating agents, and non-chelating non-surfactants (seee.g.,Malmsten, M. Surfactants and polymers in drug delivery, Informa Health Care, New York, NY, 2002; Lee et al., Critical Reviews in Therapeutic Drug Carrier Systems, 1991, p.92). Each of the above mentioned classes of penetration enhancers are described below in greater detail.
  • Surfactants (or "surface-active agents") are chemical entities which, when dissolved in an aqueous solution, reduce the surface tension of the solution or the interfacial tension between the aqueous solution and another liquid, with the result that absorption of iRNAs through the mucosa is enhanced. In addition to bile salts and fatty acids, these penetration enhancers include, for example, sodium lauryl sulfate, polyoxyethylene-9-lauryl ether and polyoxyethylene-20-cetyl ether) (seee.g.,Malmsten, M. Surfactants and polymers in drug delivery, Informa Health Care, New York, NY, 2002;Lee et al., Critical Reviews in Therapeutic Drug Carrier Systems, 1991, p.92); and perfluorochemical emulsions, such as FC-43.Takahashi et al., J. Pharm. Pharmacol., 1988, 40, 252).
  • Various fatty acids and their derivatives which act as penetration enhancers include, for example, oleic acid, lauric acid, capric acid (n-decanoic acid), myristic acid, palmitic acid, stearic acid, linoleic acid, linolenic acid, dicaprate, tricaprate, monoolein (1-monooleoyl-rac-glycerol), dilaurin, caprylic acid, arachidonic acid, glycerol 1-monocaprate, 1-dodecylazacycloheptan-2-one, acylcarnitines, acylcholines, C1-20 alkyl esters thereof (e.g., methyl, isopropyl and t-butyl), and mono- and di-glycerides thereof (i.e., oleate, laurate, caprate, myristate, palmitate, stearate, linoleate,etc.) (seee.g.,Touitou, E., et al. Enhancement in Drug Delivery, CRC Press, Danvers, MA, 2006;Lee et al., Critical Reviews in Therapeutic Drug Carrier Systems, 1991, p.92; Muranishi, Critical Reviews in Therapeutic Drug Carrier Systems, 1990, 7, 1-33; El Hariri et al., J. Pharm. Pharmacol., 1992, 44, 651-654).
  • The physiological role of bile includes the facilitation of dispersion and absorption of lipids and fat-soluble vitamins (seee.g.,Malmsten, M. Surfactants and polymers in drug delivery, Informa Health Care, New York, NY, 2002;Brunton, Chapter 38 in: Goodman & Gilman's The Pharmacological Basis of Therapeutics, 9th Ed., Hardman et al. Eds., McGraw-Hill, New York, 1996, pp. 934-935). Various natural bile salts, and their synthetic derivatives, act as penetration enhancers. Thus the term "bile salts" includes any of the naturally occurring components of bile as well as any of their synthetic derivatives. Suitable bile salts include, for example, cholic acid (or its pharmaceutically acceptable sodium salt, sodium cholate), dehydrocholic acid (sodium dehydrocholate), deoxycholic acid (sodium deoxycholate), glucholic acid (sodium glucholate), glycholic acid (sodium glycocholate), glycodeoxycholic acid (sodium glycodeoxycholate), taurocholic acid (sodium taurocholate), taurodeoxycholic acid (sodium taurodeoxycholate), chenodeoxycholic acid (sodium chenodeoxycholate), ursodeoxycholic acid (UDCA), sodium tauro-24,25-dihydro-fusidate (STDHF), sodium glycodihydrofusidate and polyoxyethylene-9-lauryl ether (POE) (seee.g.,Malmsten, M. Surfactants and polymers in drug delivery, Informa Health Care, New York, NY, 2002; Lee et al., Critical Reviews in Therapeutic Drug Carrier Systems, 1991, page 92;Swinyard,;Muranishi, Critical Reviews in Therapeutic Drug Carrier Systems, 1990, 7, 1-33;Yamamoto et al., J. Pharm. Exp. Ther., 1992, 263, 25; Yamashita et al., J. Pharm. Sci., 1990, 79, 579-583).
  • Chelating agents, as used in connection with the present invention, can be defined as compounds that remove metallic ions from solution by forming complexes therewith, with the result that absorption of iRNAs through the mucosa is enhanced. With regards to their use as penetration enhancers in the present invention, chelating agents have the added advantage of also serving as DNase inhibitors, as most characterized DNA nucleases require a divalent metal ion for catalysis and are thus inhibited by chelating agents (Jarrett, J. Chromatogr., 1993, 618, 315-339). Suitable chelating agents include but are not limited to disodium ethylenediaminetetraacetate (EDTA), citric acid, salicylates (e.g., sodium salicylate, 5-methoxysalicylate and homovanilate), N-acyl derivatives of collagen, laureth-9 and N-amino acyl derivatives of beta-diketones (enamines)(seee.g., Katdare, A. et al., Excipient development for pharmaceutical, biotechnology, and drug delivery, CRC Press, Danvers, MA, 2006;Lee et al., Critical Reviews in Therapeutic Drug Carrier Systems, 1991, page 92;Muranishi, Critical Reviews in Therapeutic Drug Carrier Systems, 1990, 7, 1-33;Buur et a/., J. Control Rel., 1990, 14, 43-51).
  • As used herein, non-chelating non-surfactant penetration enhancing compounds can be defined as compounds that demonstrate insignificant activity as chelating agents or as surfactants but that nonetheless enhance absorption of iRNAs through the alimentary mucosa (seee.g.,Muranishi, Critical Reviews in Therapeutic Drug Carrier Systems, 1990, 7, 1-33). This class of penetration enhancers includes, for example, unsaturated cyclic ureas, 1-alkyl- and 1-alkenylazacyclo-alkanone derivatives (Lee et al., Critical Reviews in Therapeutic Drug Carrier Systems, 1991, page 92); and non-steroidal anti-inflammatory agents such as diclofenac sodium, indomethacin and phenylbutazone (Yamashita et al., J. Pharm. Pharmacol., 1987, 39, 621-626).
  • Agents that enhance uptake of iRNAs at the cellular level can also be added to the pharmaceutical and other compositions of the present invention. For example, cationic lipids, such as lipofectin (Junichi et al, U.S. Pat. No. 5,705,188), cationic glycerol derivatives, and polycationic molecules, such as polylysine (Lollo et al., PCT Application WO 97/30731), are also known to enhance the cellular uptake of dsRNAs. Examples of commercially available transfection reagents include, for example Lipofectamine (Invitrogen; Carlsbad, CA), Lipofectamine 2000 (Invitrogen; Carlsbad, CA), 293fectin (Invitrogen; Carlsbad, CA), Cellfectin (Invitrogen; Carlsbad, CA), DMRIE-C (Invitrogen; Carlsbad, CA), FreeStyle MAX (Invitrogen; Carlsbad, CA), Lipofectamine 2000 CD (Invitrogen; Carlsbad, CA), Lipofectamine (Invitrogen; Carlsbad, CA), RNAiMAX (Invitrogen; Carlsbad, CA), Oligofectamine (Invitrogen; Carlsbad, CA), Optifect (Invitrogen; Carlsbad, CA), X-tremeGENE Q2 Transfection Reagent (Roche; Grenzacherstrasse, Switzerland), DOTAP Liposomal Transfection Reagent (Grenzacherstrasse, Switzerland), DOSPER Liposomal Transfection Reagent (Grenzacherstrasse, Switzerland), or Fugene (Grenzacherstrasse, Switzerland), Transfectam® Reagent (Promega; Madison, WI), TransFast Transfection Reagent (Promega; Madison, WI), Tfx-20 Reagent (Promega; Madison, WI), Tfx-50 Reagent (Promega; Madison, WI), DreamFect (OZ Biosciences; Marseille, France), EcoTransfect (OZ Biosciences; Marseille, France), TransPassa D1 Transfection Reagent (New England Biolabs; Ipswich, MA, USA), LyoVec/LipoGen (Invitrogen; San Diego, CA, USA), PerFectin Transfection Reagent (Genlantis; San Diego, CA, USA), NeuroPORTER Transfection Reagent (Genlantis; San Diego, CA, USA), GenePORTER Transfection reagent (Genlantis; San Diego, CA, USA), GenePORTER 2 Transfection reagent (Genlantis; San Diego, CA, USA), Cytofectin Transfection Reagent (Genlantis; San Diego, CA, USA), BaculoPORTER Transfection Reagent (Genlantis; San Diego, CA, USA), TroganPQRTER transfection Reagent (Genlantis; San Diego, CA, USA ), RiboFect (Bioline; Taunton, MA, USA), PlasFect (Bioline; Taunton, MA, USA), UniFECTOR (B-Bridge International; Mountain View, CA, USA), SureFECTOR (B-Bridge International; Mountain View, CA, USA), or HiFect (B-Bridge International, Mountain View, CA, USA), among others.
  • Other agents can be utilized to enhance the penetration of the administered nucleic acids, including glycols such as ethylene glycol and propylene glycol, pyrrols such as 2-pyrrol, azones, and terpenes such as limonene and menthone.
  • v. Carriers
  • Certain compositions of the present invention also incorporate carrier compounds in the formulation. As used herein, "carrier compound" or "carrier" can refer to a nucleic acid, or analog thereof, which is inert (i.e., does not possess biological activityper se) but is recognized as a nucleic acid byin vivo processes that reduce the bioavailability of a nucleic acid having biological activity by, for example, degrading the biologically active nucleic acid or promoting its removal from circulation. The coadministration of a nucleic acid and a carrier compound, typically with an excess of the latter substance, can result in a substantial reduction of the amount of nucleic acid recovered in the liver, kidney or other extracirculatory reservoirs, presumably due to competition between the carrier compound and the nucleic acid for a common receptor. For example, the recovery of a partially phosphorothioate dsRNA in hepatic tissue can be reduced when it is coadministered with polyinosinic acid, dextran sulfate, polycytidic acid or 4-acetamido-4'isothiocyano-stilbene-2,2'-disulfonic acid (Miyao et al., DsRNA Res. Dev., 1995, 5, 115-121;Takakura et al., DsRNA & Nucl. Acid Drug Dev., 1996, 6, 177-183.
  • vi. Excipients
  • In contrast to a carrier compound, a "pharmaceutical carrier" or "excipient" is a pharmaceutically acceptable solvent, suspending agent or any other pharmacologically inert vehicle for delivering one or more nucleic acids to an animal. The excipient can be liquid or solid and is selected, with the planned manner of administration in mind, so as to provide for the desired bulk, consistency,etc., when combined with a nucleic acid and the other components of a given pharmaceutical composition. Typical pharmaceutical carriers include, but are not limited to, binding agents (e.g., pregelatinized maize starch, polyvinylpyrrolidone or hydroxypropyl methylcellulose,etc.); fillers (e.g., lactose and other sugars, microcrystalline cellulose, pectin, gelatin, calcium sulfate, ethyl cellulose, polyacrylates or calcium hydrogen phosphate,etc.); lubricants (e.g., magnesium stearate, talc, silica, colloidal silicon dioxide, stearic acid, metallic stearates, hydrogenated vegetable oils, corn starch, polyethylene glycols, sodium benzoate, sodium acetate,etc.); disintegrants (e.g., starch, sodium starch glycolate,etc.); and wetting agents (e.g., sodium lauryl sulphate,etc).
  • Pharmaceutically acceptable organic or inorganic excipients suitable for non-parenteral administration which do not deleteriously react with nucleic acids can also be used to formulate the compositions of the present invention. Suitable pharmaceutically acceptable carriers include, but are not limited to, water, salt solutions, alcohols, polyethylene glycols, gelatin, lactose, amylose, magnesium stearate, talc, silicic acid, viscous paraffin, hydroxymethylcellulose, polyvinylpyrrolidone and the like.
  • Formulations for topical administration of nucleic acids can include sterile and non-sterile aqueous solutions, non-aqueous solutions in common solvents such as alcohols, or solutions of the nucleic acids in liquid or solid oil bases. The solutions can also contain buffers, diluents and other suitable additives. Pharmaceutically acceptable organic or inorganic excipients suitable for non-parenteral administration which do not deleteriously react with nucleic acids can be used.
  • Suitable pharmaceutically acceptable excipients include, but are not limited to, water, salt solutions, alcohol, polyethylene glycols, gelatin, lactose, amylose, magnesium stearate, talc, silicic acid, viscous paraffin, hydroxymethylcellulose, polyvinylpyrrolidone and the like.
  • vii. Other Components
  • The compositions of the present invention can additionally contain other adjunct components conventionally found in pharmaceutical compositions, at their art-established usage levels. Thus, for example, the compositions can contain additional, compatible, pharmaceutically-active materials such as, for example, antipruritics, astringents, local anesthetics or anti-inflammatory agents, or can contain additional materials useful in physically formulating various dosage forms of the compositions of the present invention, such as dyes, flavoring agents, preservatives, antioxidants, opacifiers, thickening agents and stabilizers. However, such materials, when added, should not unduly interfere with the biological activities of the components of the compositions of the present invention. The formulations can be sterilized and, if desired, mixed with auxiliary agents, e.g., lubricants, preservatives, stabilizers, wetting agents, emulsifiers, salts for influencing osmotic pressure, buffers, colorings, flavorings and/or aromatic substances and the like which do not deleteriously interact with the nucleic acid(s) of the formulation.
  • Aqueous suspensions can contain substances which increase the viscosity of the suspension including, for example, sodium carboxymethylcellulose, sorbitol and/or dextran. The suspension can also contain stabilizers.
  • In some embodiments, pharmaceutical compositions featured in the invention include (a) one or more iRNA compounds and (b) one or more agents which function by a non-RNAi mechanism and which are useful in treating, e.g., PH1.
  • Testing of compositions
  • Toxicity and therapeutic efficacy of such compounds can be determined by standard pharmaceutical procedures in cell cultures or experimental animals,e.g., for determining the LD50 (the dose lethal to 50% of the population) and the ED50 (the dose therapeutically effective in 50% of the population). The dose ratio between toxic and therapeutic effects is the therapeutic index and it can be expressed as the ratio LD50/ED50. Compounds that exhibit high therapeutic indices are preferred.
  • The data obtained from cell culture assays and animal studies can be used in formulating a range of dosage for use in humans. The dosage of compositions featured herein in the invention lies generally within a range of circulating concentrations that include the ED50 with little or no toxicity. The dosage can vary within this range depending upon the dosage form employed and the route of administration utilized. For any compound used in the methods featured in the invention, the therapeutically effective dose can be estimated initially from cell culture assays. A dose can be formulated in animal models to achieve a circulating plasma concentration range of the compound or, when appropriate, of the polypeptide product of a target sequence (e.g., achieving a decreased concentration of the polypeptide) that includes the IC50 (i.e., the concentration of the test compound which achieves a half-maximal inhibition of symptoms) as determined in cell culture. Such information can be used to more accurately determine useful doses in humans. Levels in plasma can be measured, for example, by high performance liquid chromatography.
  • In addition to their administration, as discussed above, the iRNAs featured in the invention can be administered in combination with other known agents effective in treatment of pathological processes that are mediated by iron overload and that can be treated by inhibiting HAO1 expression. In any event, the administering physician can adjust the amount and timing of iRNA administration on the basis of results observed using standard measures of efficacy known in the art or described herein.
  • V. Methods For Inhibiting HAO1 Expression
  • The present invention provides methods of inhibiting expression of HAO1 (hydroxyacid oxidase 1) in a cell. The methods include contacting a cell with an RNAi agent,e.g., a double stranded RNAi agent, in an amount effective to inhibit expression of the HAO1 in the cell, thereby inhibiting expression of the HAO1 in the cell.
  • Contacting of a cell with a double stranded RNAi agent may be donein vitro orin vivo. Contacting a cellin vivo with the RNAi agent includes contacting a cell or group of cells within a subject,e.g., a human subject, with the RNAi agent. Combinations ofin vitro andin vivo methods of contacting are also possible. Contacting may be direct or indirect, as discussed above. Furthermore, contacting a cell may be accomplished via a targeting ligand, including any ligand described herein or known in the art. In some embodiments, the targeting ligand is a carbohydrate moiety,e.g., a GalNAc3 ligand, or any other ligand that directs the RNAi agent to a site of interest,e.g., the liver of a subject.
  • The term "inhibiting," as used herein, is used interchangeably with "reducing," "silencing," "downregulating" and other similar terms, and includes any level of inhibition.
  • The phrase "inhibiting expression of a HAO1" is intended to refer to inhibition of expression of any HAO1 gene (such as,e.g., a mouse HAO1 gene, a rat HAO1 gene, a monkey HAO1 gene, or a human HAO1 gene) as well as variants or mutants of a HAO1 gene. Thus, the HAO1 gene may be a wild-type HAO1 gene, a mutant HAO1 gene, or a transgenic HAO1 gene in the context of a genetically manipulated cell, group of cells, or organism.
  • "Inhibiting expression of a HAO1 gene" includes any level of inhibition of a HAO1 gene,e.g., at least partial suppression of the expression of a HAO1 gene. The expression of the HAO1 gene may be assessed based on the level, or the change in the level, of any variable associated with HAO1 gene expression,e.g., HAO1 mRNA level, HAO1 protein level. This level may be assessed in an individual cell or in a group of cells, including, for example, a sample derived from a subject.
  • Inhibition may be assessed by a decrease in an absolute or relative level of one or more variables that are associated with HAO1 expression compared with a control level. The control level may be any type of control level that is utilized in the art,e.g., a pre-dose baseline level, or a level determined from a similar subject, cell, or sample that is untreated or treated with a control (such as,e.g., buffer only control or inactive agent control).
  • In some embodiments of the methods of the invention, expression of a HAO1 gene is inhibited by at least about 5%, at least about 10%, at least about 15%, at least about 20%, at least about 25%, at least about 30%, at least about 35%, at least about 40%, at least about 45%, at least about 50%, at least about 55%, at least about 60%, at least about 65%, at least about 70%, at least about 75%, at least about 80%, at least about 85%, at least about 90%, at least about 91%, at least about 92%, at least about 93%, at least about 94%. at least about 95%, at least about 96%, at least about 97%, at least about 98%, or at least about 99%.
  • Inhibition of the expression of a HAO1 gene may be manifested by a reduction of the amount of mRNA expressed by a first cell or group of cells (such cells may be present, for example, in a sample derived from a subject) in which a HAO1 gene is transcribed and which has or have been treated(e.g., by contacting the cell or cells with an RNAi agent of the invention, or by administering an RNAi agent of the invention to a subject in which the cells are or were present) such that the expression of a HAO1 gene is inhibited, as compared to a second cell or group of cells substantially identical to the first cell or group of cells but which has not or have not been so treated (control cell(s)). In some embodiments, the inhibition is assessed by expressing the level of mRNA in treated cells as a percentage of the level of mRNA in control cells, using the following formula:mRNAincontrolcellsmRNAintreatedcellsmRNAincontrolcells100%
    Figure imgb0024
  • Alternatively, inhibition of the expression of a HAO1 gene may be assessed in terms of a reduction of a parameter that is functionally linked to HAO1 gene expression,e.g., HAO1 protein expression. HAO1 gene silencing may be determined in any cell expressing HAO1, either constitutively or by genomic engineering, and by any assay known in the art. The liver is the major site of HAO1 expression. Other significant sites of expression include the kidneys and the uterus.
  • Inhibition of the expression of a HAO1 protein may be manifested by a reduction in the level of the HAO1 protein that is expressed by a cell or group of cells (e.g., the level of protein expressed in a sample derived from a subject). As explained above for the assessment of mRNA suppression, the inhibition of protein expression levels in a treated cell or group of cells may similarly be expressed as a percentage of the level of protein in a control cell or group of cells.
  • A control cell or group of cells that may be used to assess the inhibition of the expression of a HAO1 gene includes a cell or group of cells that has not yet been contacted with an RNAi agent of the invention. For example, the control cell or group of cells may be derived from an individual subject (e.g., a human or animal subject) prior to treatment of the subject with an RNAi agent.
  • The level of HAO1 mRNA that is expressed by a cell or group of cells may be determined using any method known in the art for assessing mRNA expression. In one embodiment, the level of expression of HAO1 in a sample is determined by detecting a transcribed polynucleotide, or portion thereof,e.g., mRNA of the HAO1 gene. RNA may be extracted from cells using RNA extraction techniques including, for example, using acid phenol/guanidine isothiocyanate extraction (RNAzol B; Biogenesis), RNeasy RNA preparation kits (Qiagen) or PAXgene (PreAnalytix, Switzerland). Typical assay formats utilizing ribonucleic acid hybridization include nuclear run-on assays, RT-PCR, RNase protection assays (Melton et al., Nuc. Acids Res. 12:7035), Northern blotting,in situ hybridization, and microarray analysis.
  • In one embodiment, the level of expression of HAO1 is determined using a nucleic acid probe. The term "probe", as used herein, refers to any molecule that is capable of selectively binding to a specific HAO1. Probes can be synthesized by one of skill in the art, or derived from appropriate biological preparations. Probes may be specifically designed to be labeled. Examples of molecules that can be utilized as probes include, but are not limited to, RNA, DNA, proteins, antibodies, and organic molecules.
  • Isolated mRNA can be used in hybridization or amplification assays that include, but are not limited to, Southern or Northern analyses, polymerase chain reaction (PCR) analyses and probe arrays. One method for the determination of mRNA levels involves contacting the isolated mRNA with a nucleic acid molecule (probe) that can hybridize to HAO1 mRNA. In one embodiment, the mRNA is immobilized on a solid surface and contacted with a probe, for example by running the isolated mRNA on an agarose gel and transferring the mRNA from the gel to a membrane, such as nitrocellulose. In an alternative embodiment, the probe(s) are immobilized on a solid surface and the mRNA is contacted with the probe(s), for example, in an Affymetrix gene chip array. A skilled artisan can readily adapt known mRNA detection methods for use in determining the level of HAO1 mRNA.
  • An alternative method for determining the level of expression of HAO1 in a sample involves the process of nucleic acid amplification and/or reverse transcriptase (to prepare cDNA) of for example mRNA in the sample,e.g., by RT-PCR (the experimental embodiment set forth inMullis, 1987, U.S. Pat. No. 4,683,202), ligase chain reaction (Barany (1991) Proc. Natl. Acad. Sci. USA 88:189-193), self-sustained sequence replication (Guatelli et al. (1990) Proc. Natl. Acad. Sci. USA 87:1874-1878), transcriptional amplification system (Kwoh et al. (1989) Proc. Natl. Acad. Sci. USA 86:1173-1177), Q-Beta Replicase (Lizardi et al. (1988) Bio/Technology 6:1197), rolling circle replication (Lizardi et al., U.S. Pat. No. 5,854,033) or any other nucleic acid amplification method, followed by the detection of the amplified molecules using techniques well known to those of skill in the art. These detection schemes are especially useful for the detection of nucleic acid molecules if such molecules are present in very low numbers. In particular aspects of the invention, the level of expression of HAO1 is determined by quantitative fluorogenic RT-PCR (i.e., the TaqMan System).
  • The expression levels of HAO1 mRNA may be monitored using a membrane blot (such as used in hybridization analysis such as Northern, Southern, dot, and the like), or microwells, sample tubes, gels, beads or fibers (or any solid support comprising bound nucleic acids). SeeU.S. Pat. Nos. 5,770,722,5,874,219, 5,744,305,5,677,195 and5,445,934, which are incorporated herein by reference. The determination of HAO1 expression level may also comprise using nucleic acid probes in solution.
  • In some embodiments, the level of mRNA expression is assessed using branched DNA (bDNA) assays or real time PCR (qPCR). The use of these methods is described and exemplified in the Examples presented herein.
  • The level of HAO1 protein expression may be determined using any method known in the art for the measurement of protein levels. Such methods include, for example, electrophoresis, capillary electrophoresis, high performance liquid chromatography (HPLC), thin layer chromatography (TLC), hyperdiffusion chromatography, fluid or gel precipitin reactions, absorption spectroscopy, a colorimetric assays, spectrophotometric assays, flow cytometry, immunodiffusion (single or double), immunoelectrophoresis, Western blotting, radioimmunoassay (RIA), enzyme-linked immunosorbent assays (ELISAs), immunofluorescent assays, electrochemiluminescence assays, and the like.
  • The term "sample" as used herein refers to a collection of similar fluids, cells, or tissues isolated from a subject, as well as fluids, cells, or tissues present within a subject. Examples of biological fluids include blood, serum and serosal fluids, plasma, lymph, urine, cerebrospinal fluid, saliva, ocular fluids, and the like. Tissue samples may include samples from tissues, organs or localized regions. For example, samples may be derived from particular organs, parts of organs, or fluids or cells within those organs. In certain embodiments, samples may be derived from the liver (e.g., whole liver or certain segments of liver or certain types of cells in the liver, such as,e.g., hepatocytes). In some embodiments, a "sample derived from a subject" refers to blood or plasma drawn from the subject. In further embodiments, a "sample derived from a subject" refers to liver tissue derived from the subject.
  • In some embodiments of the methods of the invention, the RNAi agent is administered to a subject such that the RNAi agent is delivered to a specific site within the subject. The inhibition of expression of HAO1 may be assessed using measurements of the level or change in the level of HAO1 mRNA or HAO1 protein in a sample derived from fluid or tissue from the specific site within the subject. In some embodiments, the site is the liver. The site may also be a subsection or subgroup of cells from any one of the aforementioned sites. The site may also include cells that express a particular type of receptor.
  • VI. Methods for Treating or Preventing a HAO1 Associated Disorder
  • The present invention also provides methods for treating or preventing diseases and conditions that can be modulated by HAO1 gene expression. For example, the compositions described herein can be used to treat any disorder associated with PH1.
  • Efficacy of treatment or prevention of disease can be assessed, for example by measuring disease progression, disease remission, symptom severity, reduction in pain, quality of life, dose of a medication required to sustain a treatment effect, level of a disease marker or any other measurable parameter appropriate for a given disease being treated or targeted for prevention. It is well within the ability of one skilled in the art to monitor efficacy of treatment or prevention by measuring any one of such parameters, or any combination of parameters.
  • A treatment or preventive effect is evident when there is a statistically significant improvement in one or more parameters of disease status, or by a failure to worsen or to develop symptoms where they would otherwise be anticipated. As an example, a favorable change of at least 10% in a measurable parameter of disease, and preferably at least 20%, 30%, 40%, 50% or more can be indicative of effective treatment. Efficacy for a given iRNA drug or formulation of that drug can also be judged using an experimental animal model for the given disease as known in the art. When using an experimental animal model, efficacy of treatment is evidenced when a statistically significant reduction in a marker or symptom is observed.
  • Alternatively, the efficacy can be measured by a reduction in the severity of disease as determined by one skilled in the art of diagnosis based on a clinically accepted disease severity grading scale.
  • In some embodiments of the methods of the invention, HAO1 expression is decreased for an extended duration,e.g., at least one week, two weeks, three weeks, or four weeks or longer. For example, in certain instances, expression of the HAO1 gene is suppressed by at least about 5%, 10%, 15%, 20%, 25%, 30%, 35%, 40%, 45%, 50%, 55%, 60%, 65%, 70%, 75% 80%, 85% 90%, 95%, 98%, or 100% by administration of an iRNA agent described herein. In some embodiments, the HAO1 gene is suppressed by at least about 60%, 70%, or 80%) by administration of the iRNA agent. In some embodiments, the HAO1 gene is suppressed by at least about 85%, 90%, or 95% by administration of the double-stranded oligonucleotide. In another embodiment, the HAO1 gene remains suppressed for 7 days, 10 days, 20 days, 30 days, or more following administration.
  • Administration
  • The RNAi agents of the invention may be administered to a subject using any mode of administration known in the art, including, but not limited to subcutaneous, intravenous, intramuscular, intraocular, intrabronchial, intrapleural, intraperitoneal, intraarterial, lymphatic, cerebrospinal, and any combinations thereof. In some embodiments, the agents are administered subcutaneously.
  • In some embodiments, the administration is via a depot injection. A depot injection may release the RNAi agent in a consistent way over a prolonged time period. Thus, a depot injection may reduce the frequency of dosing needed to obtain a desired effect,e.g., a desired inhibition of HAO1, or a therapeutic or prophylactic effect. A depot injection may also provide more consistent serum concentrations. Depot injections may include subcutaneous injections or intramuscular injections. In some embodiments, the depot injection is a subcutaneous injection.
  • In some embodiments, the administration is via a pump. The pump may be an external pump or a surgically implanted pump. In certain embodiments, the pump is a subcutaneously implanted osmotic pump. In other embodiments, the pump is an infusion pump. An infusion pump may be used for intravenous, subcutaneous, arterial, or epidural infusions. In some embodiments, the infusion pump is a subcutaneous infusion pump. In other embodiments, the pump is a surgically implanted pump that delivers the RNAi agent to the liver.
  • Other modes of administration include epidural, intracerebral, intracerebroventricular, nasal administration, intraarterial, intracardiac, intraosseous infusion, intrathecal, and intravitreal, and pulmonary. The mode of administration may be chosen based upon whether local or systemic treatment is desired and based upon the area to be treated. The route and site of administration may be chosen to enhance targeting.
  • The method includes administering an iRNA agent,e.g., a dose sufficient to depress levels of HAO1 mRNA for at least 5, more preferably 7, 10, 14, 21, 25, 30 or 40 days; and optionally, administering a second single dose of dsRNA, wherein the second single dose is administered at least 5, more preferably 7, 10, 14, 21, 25, 30 or 40 days after the first single dose is administered, thereby inhibiting the expression of the HAO1 gene in a subject.
  • In one embodiment, doses of iRNA agent of the invention are administered not more than once every four weeks, not more than once every three weeks, not more than once every two weeks, or not more than once every week. In another embodiment, the administrations can be maintained for one, two, three, or six months, or one year or longer. In another embodiment, doses of iRNA agent of the invention are administered once a week for three weeks.
  • In general, the iRNA agent does not activate the immune system,e.g., it does not increase cytokine levels, such as TNF-alpha or IFN-alpha levels. For example, when measured by an assay, such as an in vitro PBMC assay, such as described herein, the increase in levels of TNF -alpha or IFN-alpha, is less than 30%, 20%, or 10% of control cells treated with a control dsRNA, such as a dsRNA that does not target HAO1.
  • For example, a subject can be administered a therapeutic amount of an iRNA agent, such as 0.3 mg/kg, 0.5 mg/kg, 1.0 mg/kg, 1.5 mg/kg, 2.0 mg/kg, 2.5 mg/kg, or 3 mg/kg of dsRNA. The iRNA. agent can be administered by intravenous infusion over a period of time, such as over a 5 minute, 10 minute, 15 minute, 20 minute, or 25 minute period. The administration is repeated, for example, on a regular basis, such as biweekly (i.e., every two weeks) for one month, two months, three months, four months or longer. After an initial treatment regimen, the treatments can be administered on a less frequent basis. For example, after administration biweekly for three months, administration can be repeated once per month, for six months or a year or longer. Administration of the iRNA agent can reduce HAO1 levels,e.g., in a cell, tissue, blood, urine or other compartment of the patient by at least 10%, at least 15%, at least 20%, at least 25%, at least 30%, at least 40%, at least 50%, at least 60%, at least 70%, at least 80 % or at least 90% or more.
  • Before administration of a full dose of the iRNA agent, patients can be administered a smaller dose, such as a dose resulting in less than 5% infusion reaction, and monitored for adverse effects, such as an allergic reaction, or for elevated lipid levels or blood pressure. In another example, the patient can be monitored for unwanted immunostimulatory effects, such as increased cytokine (e.g., TNF-alpha or INF-alpha) levels.
  • A patient in need of a HAO1 RNAi agent may be identified by taking a family history. A healthcare provider, such as a doctor, nurse, or family member, can take a family history before prescribing or administering a HAO1 dsRNA. A DNA test may also be performed on the patient to identify a mutation in the AGT1 gene, before a HAO1 RNAi agent is administered to the patient. Diagnosis of PH1 can be confirmed by any test well-known to one of skill in the art.
  • A treatment or preventive effect is evident when there is a statistically significant improvement in one or more parameters of disease status, or by a failure to worsen or to develop symptoms where they would otherwise be anticipated. As an example, a favorable change of at least 10% in a measurable parameter of disease, and preferably at least 20%, 30%, 40%, 50% or more can be indicative of effective treatment. Efficacy for a given iRNA agent of the invention or formulation of that iRNA agent can also be judged using an experimental animal model for the given disease as known in the art. When using an experimental animal model, efficacy of treatment is evidenced when a statistically significant reduction in a marker or symptom is observed.
  • The dose of an RNAi agent that is administered to a subject may be tailored to balance the risks and benefits of a particular dose, for example, to achieve a desired level of HAO1 gene suppression (as assessed,e.g., based on HAO1 mRNA suppression, HAO1 protein expression, or a reduction in oxalate levels) or a desired therapeutic or prophylactic effect, while at the same time avoiding undesirable side effects.
  • In some embodiments, the RNAi agent is administered in two or more doses. If desired to facilitate repeated or frequent infusions, implantation of a delivery device,e.g., a pump, semi-permanent stent (e.g., intravenous, intraperitoneal, intracisternal or intracapsular), or reservoir may be advisable. In some embodiments, the number or amount of subsequent doses is dependent on the achievement of a desired effect,e.g., the suppression of a HAO1 gene, or the achievement of a therapeutic or prophylactic effect,e.g., reducing iron overload. In some embodiments, the RNAi agent is administered according to a schedule. For example, the RNAi agent may be administered once per week, twice per week, three times per week, four times per week, or five times per week. In some embodiments, the schedule involves regularly spaced administrations,e.g., hourly, every four hours, every six hours, every eight hours, every twelve hours, daily, every 2 days, every 3 days, every 4 days, every 5 days, weekly, biweekly, or monthly. In other embodiments, the schedule involves closely spaced administrations followed by a longer period of time during which the agent is not administered. For example, the schedule may involve an initial set of doses that are administered in a relatively short period of time (e.g., about every 6 hours, about every 12 hours, about every 24 hours, about every 48 hours, or about every 72 hours) followed by a longer time period (e.g., about 1 week, about 2 weeks, about 3 weeks, about 4 weeks, about 5 weeks, about 6 weeks, about 7 weeks, or about 8 weeks) during which the RNAi agent is not administered. In one embodiment, the RNAi agent is initially administered hourly and is later administered at a longer interval (e.g., daily, weekly, biweekly, or monthly). In another embodiment, the RNAi agent is initially administered daily and is later administered at a longer interval (e.g., weekly, biweekly, or monthly). In certain embodiments, the longer interval increases over time or is determined based on the achievement of a desired effect. In a specific embodiment, the RNAi agent is administered once daily during a first week, followed by weekly dosing starting on the eighth day of administration. In another specific embodiment, the RNAi agent is administered every other day during a first week followed by weekly dosing starting on the eighth day of administration.
  • In some embodiments, the RNAi agent is administered in a dosing regimen that includes a "loading phase" of closely spaced administrations that may be followed by a "maintenance phase", in which the RNAi agent is administered at longer spaced intervals. In one embodiment, the loading phase comprises five daily administrations of the RNAi agent during the first week. In another embodiment, the maintenance phase comprises one or two weekly administrations of the RNAi agent. In a further embodiment, the maintenance phase lasts for 5 weeks.
  • Any of these schedules may optionally be repeated for one or more iterations. The number of iterations may depend on the achievement of a desired effect,e.g., the suppression of a HAO1 gene, and/or the achievement of a therapeutic or prophylactic effect,e.g., reducing oxalate levels or reducing a symptom of PHI .
  • In another aspect, the invention features, a method of instructing an end user,e.g., a caregiver or a subject, on how to administer an iRNA agent described herein. The method includes, optionally, providing the end user with one or more doses of the iRNA agent, and instructing the end user to administer the iRNA agent on a regimen described herein, thereby instructing the end user.
  • VII. Kits
  • The present invention also provides kits for using any of the iRNA agents and/or performing any of the methods of the invention. Such kits include one or more RNAi agent(s) and instructions for use,e.g., instructions for inhibiting expression of a HAO1 in a cell by contacting the cell with the RNAi agent(s) in an amount effective to inhibit expression of the HAO1. The kits may optionally further comprise means for contacting the cell with the RNAi agent (e.g., an injection device), or means for measuring the inhibition of HAO1 (e.g., means for measuring the inhibition of HAO1 mRNA or protein). Such means for measuring the inhibition of HAO1 may comprise a means for obtaining a sample from a subject, such as,e.g., a plasma sample. The kits of the invention may optionally further comprise means for administering the RNAi agent(s) to a subject or means for determining the therapeutically effective or prophylactically effective amount.
  • VII. Diagnostic markers for PH1 and related conditions
  • Also described herein are markers and methods for the diagnosis of disease conditions caused by oxalate overproduction, particularly PH1 and related conditions, as well as with agents for the treatment of said conditions.
  • According to another aspect, the invention relates to a method for the treatment of a PH1 condition in a subject (stone forming diseases, especially PHI). The diagnostic method comprises the steps of: (a) knocking down the HAO1 expression in a subject (b) obtaining a biological serum from said subject; and (b) determining the level of glycolate in said serum. It should be appreciated that elevated level of glycolate in serum, in comparison with negative control, indicates the inhibition of the glycolate oxidase enzyme to prevent oxalate production that is caused the PHI conditions.
  • In one embodiment, described herein is a kit for the diagnosis of PH1 condition, said kit including the following: (a) an agent for determining the presence of an analyte of interest in serum, wherein said analyte of interest is one of glycolate; and (b) calibration means. For example, said analyte of interest is glycolate, said agent is an siRNA targeting HAO1.
  • Unless otherwise defined, all technical and scientific terms used herein have the same meaning as commonly understood by one of ordinary skill in the art to which this invention belongs. Although methods and materials similar or equivalent to those described herein can be used in the practice or testing of the iRNAs and methods featured in the invention, suitable methods and materials are described below. All publications, patent applications, patents, and other references mentioned herein are incorporated by reference in their entirety. In case of conflict, the present specification, including definitions, will control. In addition, the materials, methods, and examples are illustrative only and not intended to be limiting.
  • EXAMPLESMaterials and Methods
  • The following materials and methods were used in the Examples. As used herein, "HAO" and "GO" are used interchangeably.
  • siRNA synthesis
  • Single-stranded RNAs were produced by solid phase synthesis on a scale of 1 µmole using an Expedite 8909 synthesizer (Applied Biosystems, Applera Deutschland GmbH, Darm-stadt, Germany) and controlled pore glass (CPG, 500Å, Proligo Biochemie GmbH, Hamburg, Germany) as solid support. RNA and RNA containing 2'-O-methyl nucleotides were generated by solid phase synthesis employing the corresponding phosphoramidites and 2'-O-methyl phos-phoramidites, respectively (Proligo Biochemie GmbH, Hamburg, Germany). These building blocks were incorporated at selected sites within the sequence of the oligoribonucleotide chain using standard nucleoside phosphoramidite chemistry such as described in Current protocols in nucleic acid chemistry, Beaucage, S.L. et al. (Edrs.), John Wiley & Sons, Inc., New York, NY, USA. Phosphorothioate linkages were introduced by replacement of the iodine oxidizer solution with a solution of the Beaucage reagent (Chruachem Ltd, Glasgow, UK) in acetonitrile (1%). Further ancillary reagents were obtained from Mallinckrodt Baker (Griesheim, Germany).
  • Deprotection and purification of the crude oligoribonucleotides by anion exchange HPLC were carried out according to established procedures. Yields and concentrations were determined by UV absorption of a solution of the respective RNA at a wavelength of 260 nm using a spectral photometer (DU 640B, Beckman Coulter GmbH, Unterschleiβheim, Germany).
  • Double stranded RNA was generated by mixing an equimolar solution of complementary strands in annealing buffer (20 mM sodium phosphate, pH 6.8; 100 mM sodium chloride), heated in a water bath at 85 - 90°C for 3 minutes and cooled to room temperature over a period of 3 - 4 hours. The annealed RNA solution was stored at -20 °C until use.
  • In some instances, a duplex (dsRNA) was synthesized more than once. Different batches are labeled with different extensions. For example, AD-62933.1 and AD-62933.2 are different batches of the same duplex.
  • Cell culture and transfections
  • Primary Cynomolgus monkey hepatocytes (PCH) and primary mouse hepatocytes (PMH) were used. PCHs (Celsis # M003055, lot CBT) or PMH (freshly isolated) were transfected by adding 14.8µl of Opti-MEM plus 0.2µl of Lipofectamine RNAiMax per well (Invitrogen, Carlsbad CA. cat # 13778-150) to 5µl of siRNA duplexes per well into a 96-well plate and incubated at room temperature for 15 minutes. 80µlof InVitroGRO CP Rat media (In Vitro Technologies) containing ~2 × 104 PCH or PMH cells were then added to the siRNA mixture. Cells were incubated for 24 hours prior to RNA purification. Single dose experiments were performed at 10 or 20nM and 0.1 or 0.2nM final duplex concentration and dose response experiments were done over a range of doses from 10nM to 36fM final duplex concentration over 8, 6-fold dilutions.
  • Total RNA isolation
  • Total RNAwas isolated using DYNABEADS mRNA Isolation Kit (Invitrogen, part #: 610-12). Cells were harvested and lysed in 150µl of Lysis/Binding Buffer then mixed for 5 minute at 850rpm using an Eppendorf Thermomixer (the mixing speed was the same throughout the process). Ten microliters of magnetic beads and 80µl Lysis/Binding Buffer mixture were added to a round bottom plate and mixed for 1 minute. Magnetic beads were captured using magnetic stand and the supernatant was removed without disturbing the beads. After removing supernatant, the lysed cells were added to the remaining beads and mixed for 5 minutes. After removing supernatant, magnetic beads were washed 2 times with 150µl Wash Buffer A and mixed for 1 minute. Beads were capture again and supernatant removed. Beads were then washed with 150µl Wash Buffer B, captured and supernatant was removed. Beads were next washed with 150µl Elution Buffer, captured and supernatant removed. Beads were allowed to dry for 2 minutes. After drying, 50µl of Elution Buffer was added and mixed for 5 minutes at 70°C. Beads were captured on magnet for 5 minutes. 40µl of supernatant was removed and added to another 96 well plate.
  • cDNA synthesis
  • Synthesis of cDNA was performed using the ABI High capacity cDNA reverse transcription kit (Applied Biosystems, Foster City, CA, Cat #4368813).
  • A master mix of 2µl 10X Buffer, 0.8µl 25X dNTPs, 2µl Random primers, 1µl Reverse Transcriptase, 1µl RNase inhibitor and 3.2µl of H2O per reaction were added into 10µl total RNA. cDNA was generated using a Bio-Rad C-1000 or S-1000 thermal cycler (Hercules, CA) through the following steps: 25°C 10 min, 37°C 120 min, 85°C 5 sec, 4°C hold.
  • Real time PCR
  • 2µl of cDNA were added to a master mix containing 0.5µl of mouse GAPDH (cat # 4352339E Life Technologies) or custom designed Cynomolgus monkey GAPDH TaqMan Probes: (F- GCATCCTGGGCTACACTGA, (SEQ ID NO: 13) R-TGGGTGTCGCTGTTGAAGTC (SEQ ID NO: 14), Probe- CCAGGTGGTCTCCTCC (SEQ ID NO: 15)), 0.5µl human or mouse HAO1 (HS00213909 M1- which is cross reactive with Cynomolgus monkey HOA1, Mm 00439249_ml for mouse assays, life technologies) and 5µl Lightcycler 480 probe master mix (Roche Cat # 04887301001) per well in a 384 well 50 plates (Roche cat # (4887301001). Real time PCR was done in a LightCycler480 Real Time PCR system (Roche) using the ΔΔCt(RQ) assay. Each duplex was tested in two independent transfections and each transfection was assayed in duplicate, unless otherwise noted in the summary tables.
  • To calculate relative fold change, real time data were analyzed using the ΔΔCt method and normalized to assays performed with cells transfected with 10nM AD-1955, or mock transfected cells. IC50s were calculated using a 4 parameter fit model using XLFit and normalized to cells transfected with AD-1955 or naive ceils.
  • The sense and antisense sequences of AD-1955 are: SENSE: 5'-cuuAcGcuGAGuAcuucGAdTsdT-3' (SEQ ID NO: 16); and ANTISENSE: 5'-UCGAAGuACUcAGCGuAAGdTsdT-3' (SEQ ID NO: 17).Table B: Abbreviations of nucleotide monomers used in nucleic acid sequence representation.
    AbbreviationNucleotide(s)
    AAdenosine-3'-phosphate
    Abbeta-L-adenosine-3'-phosphate
    Af2'-fluoroadenosine-3'-phosphatc
    Afs2'-fluoroadenosine-3'-phosphorothioate
    Asadenosine-3'-phosphorothioate
    Ccytidine-3'-phosphate
    Cbbeta-L-cytidine-3'-phosphate
    Cf2'-fluorocytidine-3'-phosphate
    Cfs2'-fluorocytidine-3'-phosphorothioate
    Cscytidine-3'-phosphorothioate
    AbbreviationNuelcotide(s)
    Gguanosine-3'-phosphate
    Gbbeta-L-guanosine-3'-phosphate
    Gbsbeta-L-guanosine-3'-phosphorothioate
    Gf2'-fluoroguanosine-3'-phosphate
    Gfs2'-fluoroguanosine-3'-phosphorothioate
    Gsguanosine-3'-phosphorothioate
    T5'-methyluridine-3'-phosphate
    Tf2'-fluoro-5-methyluridine-3'-phosphate
    Tfs2'-fluoro-5-methyluridine-3'-phosphorothioate
    Ts5-methyluridine-3'-phosphorothioate
    UUridine-3'-phosphate
    Uf2'-fluorouridine-3-phosphate
    Ufs2'-fluorouridine-3'-phosphorothioate
    Usuridine-3'-phosphorothioate
    Nany nucleotide (G, A, C, T or U)
    a2'-O-methyladenosine-3'-phosphate
    as2'-O-methyladenosine-3'-phosphorothioate
    c2'-O-methylcytidine-3'-phosphate
    cs2'-O-methylcytidne-3'-phosphorothioate
    g2'-O-methylguanosine-3'-phosphate
    gs2'-O-methylguanosine-3'-phosphorothioate
    t2'-O-methyl-5-methyluridme-3'-phosphate
    ts2'-O-methyl-5-methyluridine-3'-phosphorothioate
    u2'-O-methyluridine-3'-phosphate
    us2'-O-mythyluridie-3'-phosphorothioate
    dT2'-deoxythymidine
    dTs2'-deoxythymidine-3'-phosphorothioate
    dU2'-deoxyuridine
    sphosphorothioate linkage
    L96N-[tris(GalNAc-alkyl)-amidodecanoyl)]-4-hydroxyprolinol Hyp-(GalNAc-alkyl)3
    (Aeo)2'-O-methoxyethyladenosine-3'-phosphate
    (Aeos)2'-O-methoxyethyladenosine-3'-phosphorothioate
    (Geo)2'-O-methoxyethylguanosine-3'-phosphate
    (Geos)2'-O-metboxyethylguanosine-3'phosphorothioate
    (Teo)2'-O-methoxyethyl-5-methyluridine-3'-phosphate
    (Teos)2'-O-methoxyethyl-5-miethyluridine-3'-phosphorothioate
    (m5Ceo)2'-O-methoxyethyl-5-metylcytidine-3'-phoshat,
    (m5Ceos)2'-O-methoxyethyl-5-methylcytidine-3'-phosphorothioate
    (A3m)3'-O-methyladenosine-2'-phosphate
    (A3mx)3'-O-methyl-xylofuranosyladenosine-2'-phosphate
    (G3m)3'-O-methylguanosine-2'-phosphate
    (G3mx)3'-O-methyl-xylofuranosylguanosine-2'-phosphate
    (C3rn)3'-O-methylcytidine-2'-phosphate
    (C3mx)3'-O-methyl-xylofuranosylcytidine-2'-phosphate
    (U3m)3'-O-methyluridine-2'-phosphate
    (U3mx)3'-O-methylxylouridine-2'-phosphate
    AbbreviationNucleotide(s)
    (Chd)2'-O'-bexadecyl-cytidme-3'-phosphate
    (pshe)Hydroxyethylphosphoiothioate
    (Uhd)2'-O-hexadecyl-uridine-3'-phosphate
    (Tgn)Thymidine-glycol nucleic acid (GNA) S-Isomer
    (Cgn)Cytidine-glycol nucleic acid (GNA)
    (Chd)2'-O-hexadecyl-cytidine-3'-phosphate
    (Ggn)2'-O-hexadecyl-cytidine-3'-phosphate
    (Agn)Adenosine-glycol nucleic acid (GNA)
    P5'-phosphate
    (m5Cam)2'-O-(N-methylacetamide)-5-methyicytidine-3'-phosphate
    (m5Cams)2'-O-(N-methylacetamide)-5-methylcytidine-3'-phosphorothioate
    (Tam)2'-O-(N-methylacetamide)thymidine-3'-phosphate
    (Tams)2'-O-(N-methylacetamide)thymidine-3'-phosphorothioate
    (Aam)2'-O-(N-methylacetamide)adenosine-3'-phosphate
    (Aams)2'-O-(N-methylacetamide)adenosine-3'-phosphorothioate
    (Gam)2'-O-(N-methylacetamide)guanosine-3'-phosphate
    (Gams)2'-O-(N-methylacetamide)guanosine-3'-phosphorothioate
    Y34abasic 2'-O-Methyl
    Y442-hydroxymethyl-tetrahydrofurane-5-phosphate
  • Example 1. Design, Specificity and Efficacy Prediction of siRNA
  • siRNA design was carried out to identify siRNAs targeting human, cynomolgus monkey, mouse, and rat HAO1 transcripts annotated in the NCBI Gene database (http://www.ncbi.nim.nib.gov/gene/).
  • Design used the following transcripts from the NCBI RefSeq collection: human (Homo sapiens) HAO1 mRNA is NM_017545.2; cynomolgus monkey (Macaca fascicularis) HAO1 mRNA is XM_005568381.1; Mouse (Mus musculus) HAO1 mRNA is NM_010403.2; Rat (Rattus norvegicus) HAO1 mRNA is XM_006235096.1.
  • Due to high primate/rodent sequence divergence, siRNA duplexes were designed in several separate batches, including but not limited to batches containing duplexes matching human and cyno transcripts only; human, cyno, mouse, and rat transcripts only; and mouse and rat transcripts only. All siRNA duplexes were designed that shared 100% identity with the listed human transcript and other species transcripts considered in each design batch (above).
  • The specificity of all possible 19mers was predicted from each sequence. Candidate 19mers that lacked repeats longer than 7 nucleotides were then selected. These 1069 candidate human/cyno, 184 human/cyno/mouse/rat, and 579 mouse/rat siRNAs were used in comprehensive searches against the appropriate transcriptomes (defined as the set of NM_ and XM_records within the human, cyno, mouse, or rat NCBI Refseq sets) using an exhaustive "brute-force" algorithm implemented in the python script 'BruteForce.py'. The script next parsed the transcript-oligo alignments to generate a score based on the position and number of mismatches between the siRNA and any potential 'off-target' transcript. The off-target score is weighted to emphasize differences in the 'seed' region of siRNAs, in positions 2-9 from the 5' end of the molecule. Each oligo-transcript pair from the brute-force search was given a mismatch score by summing the individual mismatch scores; mismatches in the position 2-9 were counted as 2.8, mismatches in the cleavage site positions 10-11 were counted as 1.2, and mismatches in region 12-19 counted as 1.0. An additional off-target prediction was carried out by comparing the frequency of heptamers and octomers derived from 3 distinct, seed-derived hexamers of each oligo. The hexamers from positions 2-7 relative to the 5' start were used to create 2 heptamers and one octomer. Heptamer1 was created by adding a 3' A to the hexamer; heptamer2 was created by adding a 5' A to the hexamer; the octomer was created by adding an A to both 5' and 3' ends of the hexamer. The frequency of octomers and heptamers in the human, cyno, mouse, or rat 3'UTRome (defined as the subsequence of the transcriptome from NCBI's Refseq database where the end of the coding region, the 'CDS', is clearly defined) was pre-calculated. The octomer frequency was normalized to the heptamer frequency using the median value from the range of octomer frequencies. A 'mirSeedScore' was then calculated by calculating the sum of ( (3 X normalized octomer count ) + ( 2 X heptamer2 count) + (1 X heptamer1 count)).
  • Both siRNA strands were assigned to a category of specificity according to the calculated scores: a score above 3 qualified as highly specific, equal to 3 as specific and between 2.2 and 2.8 qualified as moderately specific. The siRNAs were sorted by the specificity of the antisense strand. Duplexes from the human/cyno and mouse/rat sets whose antisense oligos lacked GC at the first position, lacked G at bothpositions 13 and 14, and had 3 or more Us or As in the seed region (characteristics of duplexes with high predicted efficacy) were then selected. Similarly, duplexes from the human/cyno/mouse and human/cyno/mouse/rat sets that had had 3 or more Us or As in the seed region were selected.
  • Candidate GalNAc-conjugated duplexes, 21 and 23 nucleotides long on the sense and antisense strands respectively, were designed by extendingantisense 19mers 4 additional nucleotides in the 3' direction (preserving perfect complementarity with the target transcript). The sense strand was specified as the reverse complement of the first 21 nucleotides of the antisense 23mer. Duplexes were selected that maintained perfect matches to all selected species transcripts across all 23 nucleotides.
  • Antisense strands that contained C or G at the first 5' position were modified to have a U at the first 5' position, unless doing so would introduce a run of 4 or more contiguous Us (5' → 3'), in which case they were modified to have an A at the first 5' position. Sense strands to be paired into duplexes with these "UA swapped" antisense strands were correspondingly modified to preserve complementarity. Examples described below include AD-62989 and AD-62993.
  • A total of 31 sense and 31 antisense derived human/cyno, 19 sense and 19 antisense derived human/cyno/mouse/rat, and 48 sense and 48 antisense derived mouse/rat 21/23mer oligos were synthesized and formed into GalNAc-conjugated duplexes.
  • The sequences of the sense and antisense strands of the modified duplexes are shown in Table 1, and the sequences of the sense and antisense strands of the unmodified duplexes are shown in Table 2.Table 1a. HAO1 modified sequences
    Duplex NameSense strand sequenceSEQ ID NO:Antisense strand sequenceSEQ ID NO:Species
    AD-62933GfsasAfuGfuGfaAfAfGfuCfaUfcGfaCfaAfL9618usUfsgUfcGfaUfgAfcuuUfcAfcAfuUfcsusg89Hs/Mm
    AD-62939UfsusUfuCfaAfuGfGfGfuGfuCftUfaGfgAfL9619usCfstUfaGfgAfcAfcctAfuUfgAfaAfasgsu90Hs/Mm
    AD-62944GfsasAfaGfuCfaUfCfGfaCfaAfgAfeAfuUfL9620asAfsuGfuCfuUfgUfcgaUfgAfcUfuUfcsase91Hs/Mm
    AD-62949UfscsAfuCfgAfcAfAfGfaCfaUfuGfgUfgAfL9621usCfsaCfcAfaUfgUfcuuGfuCfgAfuGfascsu92Hs/Mm
    AD-62954UfsusUfcAfaUfgGfGfUfgUfcCfuAfgGfaAfL9622usUfscCfuAfgGfaCfaccCfaUfuGfaAfasasg93Hs/Mm
    AD-62959AfsasUfgGfgUfgUfCfCfuAfgGfaAfcCfuUfL9623asAfsgGfuUfcCfuAfggaCfaCfcCfaUfusgsa94Hs/Mm
    AD-62964GfsasCfaGfuGfcAfCfAfaUfaUfuUfuCfcAfL9624usGfsgAfaAfaUfaUfuguGfcAfcUfgUfesasg95Hs/Mm
    AD-62969AfscsUfuUfuCfaAfUfGfgGfuGfuCfcUfaAfL9625usUfsaGfgAfcAfcCfcauUfgAfaAfaGfuscsa96Hs/Mm
    AD-62934AfsasGfuCfaUfcGfAfCfaAfgAfcAfuUfgAfL9626usCfsaAfuGfuCfuUfgucGfaUfgAfcUfususc97Hs/Mm
    AD-62940AfsusCfgAfcAfaGfAfCfaUfuGfgUfgAfgAfL9627usCfsuCfaCfcAfaUfgucUfuGfuCfgAfusgsa98Hs/Mm
    AD-62945GfsgsGfaGfaAfaGfGfUfgUfuCfaAfgAfuAfL9628usAfsuCfuUfgAfaCfaccUfuUfcUfcCfcscsc99Hs/Mm
    AD-62950CfsusUfuUfcAfaUfGfGfgUfgUfcCfuAfgAfL9629usCfsuAfgGfaCfaCfccaUfuGfaAfaAfgsusc100Hs/Mm
    AD-62955UfscsAfaUfgGfgUfGfUfcCfuAfgGfaAfcAfL9630usGfsuUfcCfuAfgGfacaCfcCfaUfuGfasasa101Hs/Mm
    AD-62960UfsusGfaCfuUfuUfCfAfaUfgGfgUfgUfcAfL9631usGfsaCfaCfcCfaUfugaAfaAfgUfcAfasasa102Hs/Mm
    AD-62965AfsasAfgUfcAfuCfGfAfcAfaGfaCfaUfuAfL9632usAfsaUfgUfcUfuGfucgAfuGfaCfuUfuscsa103Hs/Mm
    AD-62970CfsasGfgGfgGfaGfAfAfaGfgUfgUfuCfaAfL9633usUfsgAfaCfaCfcUfuucUfcCfcCfcUfgsgsa104Hs/Mm
    AD-62935CfsasUfuGfgUfgAfGfGfaAfaAfaUfcCfuUfL9634asAfsgGfaUfuUfuUfccuCfaCfcAfaUfgsusc105Hs/Mm
    AD-62941AfscsAfuUfgGfuGfAfGfgAfsAfaAfuCfcUfL9635asGfsgAfuUfuUfuCfcucAfcCfaAfuGfuscsu106Hs/Mm
    AD-62946AfsgsGfgGfgAfgAfAfAfgGfuGfuUfcAfaAfL9636usUfsuGfaAfcAfcCfuuuCfuCfcCfcCfusgsg107Hs/Mm
    AD-62951AfsusGfgUfgGfuAfAfUfuUfgUfgAfuUfuUfL9637asAfsaAfuCfaCfaAfauuAfcCfaCfcAfuscsc108Hs
    AD-62956GfsasCfuUfgCfaUfCfCfuGfgAfaAfuAfuAfL9638usAfsuAfuUfuCfcAfggaUfgCfaAfgUfcscsa109Hs
    AD-62961GfsgsAfaGfgGfaAfGfGfuAfgAfaGfuCfuUfL9639asAfsgAfcUfuCfuAftxuUfcCfcUfuCfcsasc110Hs
    AD-62966UfsgsUfcUfuCfuGfUfUfuAfgAfuUfuCfcUfL9640asGfsgAfaAfuCfuAfaacAfgAfaGfaCfasgsg111Hs
    AD-62971CfsusUfuGfgCfuGfUfUfuCfcAfaGfaUfcUfL9641asGfsaUfcUfuGfgAfsacAfgCfcAfaAfgsgsa112Hs
    AD-62936AfsasUfgUfgUfuUfGfGfgCfaAfcGfuCfaUfL9642asUfsgAfcGfuUfgCfccaAfsCfsCfsUfususu113Hs
    AD-62942UfsgsUfgAfcUfgUfGfGfaCfaCfcCfcUfuAfL9643usAfsaGfgGfgUfgUfccaCfaGfuCfaCfasasa114Hs
    AD-62947GfsasUfgGfgGfuGfCfCfaGfcUfaCfuAfuUfL9644asAfsuAfgUfaGfclJ fggcAfcCfcCfaUfcscsa115Hs
    AD-62952GfsasAfaAfuGfuGfUfUfuGfgGfcAfaCfgUfL9645asCfsgUfuGfcCfcAfaacAfcAfuUfuUfcsasa116Hs
    AD-62957GfsgsCfuGfuUfuCfCfAfaGfaUfcUfgAfcAfL9646usGfsuCfaGfaUfcUfuggAfaAfcAfgCfcsasa117Hs
    AD-62962UfscsCfaAfcAfaAfAfUfaGfcCfaCfcCfcUfL9647asGfsgGfgUfgGfcUfauuUfuGfuUfgGfasasa118Hs
    AD-62967GfsusCfuUfcUfgUfUfUfaGfaUfuUfcCfuUfL9648asAfsgGfaAfaUfcUfaaaCfaGfaAfgAfcsasg119Hs
    AD-62972UfsgsGfaAfgGfgAfAfGfgUfaGfaAfgUfcUfL9649asGfsaCfuUfcUfaCfcuuCfcCfuUfcCfascsa120Hs
    AD-62937UfscsCfuUfuGfgCfUfGfuUfuCfcAfaGfaUfL9650asUfsdJfuGfgAfsAfcagCfcAfaAfgGfasusu121Hs
    AD-62943CfsasUfcUfcUfcAfGfCfuGfgGfaUfgAfuAfL9651usAfsuCfaUfcCfcAfgcuGfaGfaGfaUfgsgsg122Hs
    AD-62948GfsgsGfgUfgCfcAfGfCfuAfcUfaUfuGfaUfL9652aslJfscAfaUfaGfuAfgcuGfgCfaCfcCfcsasu123Hs
    AD-62953AfsusGfuGfuUfuGfGfGfcAfaCfgUfcAfuAfL9653usAfsuGfaCfgUfuGfcccAfaAftAfcAfususu124Hs
    AD-62958CfsusGfuUfuAfgAfUfUfuCfcUfuAfaGfaAfL9654usUfscUfuAfaGfgAfaauCfuAfaAfcAfgsasa125Hs
    AD-62963AfsgsAfaAfgAfaAfUfGfgAfcUfuGfcAfuAfL9655usAfsuGfcAfaGfuCfcauUfuCfuUfuCfusasg126Hs
    AD-62968GfscsAfuCfcUfgGfAfAfaUfaUfaUfuAfaAfL9656usUfsuAfaUfaUfaUfuucCfaGfgAfuGfcsasa127Hs
    AD-62973CfscsUfglJfcAfgAfCfCfalJfgGfgAfaCfuAfL9657usAfsgUfuCfeCfaUfgguCfuGfsCfaGfgscsu128Hs
    AD-62938AfsasAfcAfuGfgUfGfUfgGfaUfgGfgAfuAfL9658usAfsuCfcCfaUfcCfacaCfcAfuGfuUfusasa129Hs
    AD-62974CfsusCfaGfgAfuGfAfAfaAfaUfuUfuGfaAfL9659usUfscAfaAfaUfuUfuucAfuCfcUfgAfgsusu130Hs
    AD-62978CfsasGfcAfuGfuAfUfUfaCfuUfgAfcAfaAfL9660usUfsuGfuCfaAfgUfaauAfcAfuGfcUfgsass131Hs
    AD-62982UfsasUfgAfaCfaAfCfAfuGfcUfaAfaUfcAfL19661usGfsaLJfuUfaGfeAfuguUfgUfuCfaUfasasu132Hs
    AD-62986AfsusAfuAfuCfcAfAfAfuGfuUfuUfaGfgAfL9662usCfscUfaAfaAfcAfuuuGfgAfuAfuAfususc133Hs
    AD-62990CfsesAfgAfuGfgAfAfGfcUfgUfaUfcCfaAfL9663usUfsgGfaUfaCfaGfcuuCfcAfuCfuGfgsasa134Hs
    AD-62994GfsasCfuUfuCfaUfCfCfuGfgAfaAfuAfuAfL9664usAfsuAfuUfuCfcAfggaUfgAfaAfgUfcscsa135Hs
    AD-62998CfscsCfcGfgCfuAfAfUfuUfgUfaUfcAfaUfL9665asUfsuGfaUfaCfaAfauuAfgCfcGfgGfgsgsa136Hs
    AD-63002UfsusAfaAfcAfuGfGfCfuUfgAfaUfgGfgAfL9666usCfscCfaUfuCfaAfgccAfuGfuUfuAfascsa137Hs
    AD-62975AfsasUfgUfgUfuUfAfGfaCfaAfcGfuCfaUfL9667asUfsgAfcGfuUfgUftuaAfaCfaCfaUfususu138Mm
    AD-62979AfscsUfaAfaGfgAfAfGfaAfuUfcCfgGfuUfL9668asAfscCfgGfaAfuUfcuuCfcUfuUfaGfusasu139Mm
    AD-62983UfsasUfaUfcCfaAfAfUfgUfuUfuAfgGfaUfL9669asUfscCfuAfaAfsCfsuuUfgGfaUfaUfasusu140Mm
    AD-62987GfsusGfcGfgAfaAfGfGfcAfcUfgAfuGfuUfL9570asAfscAfuCfaGfuGfccuUfuCfcGfcAfcsasc141Mm
    AD-62991UfsasAfaAfcAfgUfGfGfuUfcUfuAfaAfuUfL9671asAfsuUfuAfaGfaAfccaCfuGfuUfuUfasasa142Mm
    AD-62995AfsusGfaAfaAfaUfUfUfuGfaAfaCfeAfgUfL9672asCfsuGfgUfuUfcAfaaaUfuUfuUfcAfuscsc143Mm
    AD-62999AfsasCfaAfaAfuAfGfCfaAfuCfcCfuUfuUfL9673asAfsaAfgGfgAfuUfgcuAfuUfuUfgUfusgsg144Mm
    AD-63003CfsusGfaAfaCfaGfAfUfcUfgUfcGfaCfuUfL9674asAfsgUfcGfaCfaGfaucUfgUfuUfcAfgscsa145Mm
    AD-62976UfsusGfuUfgCfaAfAfGfgGfcAfuUfuUfgAfL9675usCfsaAfaAfuGfcCfcuuUfgCfaAfcAfasusu146Mm
    AD-62980CfsusCfaUfuGfuUfUfAfuUfaAfcCfuGfuAfL9676usAfscAfgGfuUfaAfuaaAfcAfaUfgAfgsasu147Mm
    AD-62984CfsasAfcAfaAfaUfAfGfcAfaUfcCfcUfuUfL9677asAfsaGfgGfaUfuGfcuaUfuUfuGfuUfgsgsa148Mm
    AD-62992CfsasUfuGfuUfuAfUfUfaAfcCfuGfuAfuUfL9678ssAfsuAfcAfgGfuUfaauAfaAfcAfaUfgsasg149Mm
    AD-62996UfsasUfcAfgCfuGfGfGfaAfgAfuAfuCfaAfL9679usUfsgAfuAfuCfuUfcccAfgCfuGfaUfasgsa150Mm
    AD-63000UfsgsUfcCfuAfgGfAfAfcCfuUfuUfaGfaAfL9680usUfscUfaAfaAfgGfuucCfuAfgGfaCfascsc151Mm
    AD-63004UfscsCfaAfcAfaAfAfUfaGfcAfaUfcCfcUfL9681asGfsgGfaUfuGfcUfsuuUfuGfuUfgGfssasa152Mm
    AD-62977GfsgsUfgUfgCfgGfAfAfoGfgCfaCfuGfaUfL9682asUfscAfgUfgCfcUfUucCfgCfaCfaCfcscsc153Mm
    AD-62981UfsusGfsAfaCfcAfGfUfaCfuUfuAfuCfaUfL9683asUfsgAfuAfaAfgUfacuGfgUfuUfcAfasasa154Mm
    AD-62985UfsasCfuUfcCfaAfAfGfuCfuAfuAfuAfuAfL9684usAfsuAfuAfuAfgAfcuuUfgGfaAfgUfascsu155Mm
    AD-62989UfscsCfuAfgGfaAfCfCfuUfuUfaGfaAfaUfL9685asUfsuUfcUfaAfaAfgguUfcCfuAfgGfascsa156Mm
    AD-62993CfsusCfcUfgAfgGfAfAfaAfuUfuUfgGfaAfL9686usUfscCfaAfaAfuUfuucCfuCfaGfgAfgsasa157Mm
    AD-62997GfscsUcCfgGfaAfUfGfuUfgCfuGfaAfsUfL9687asUfsuUfcAfgCfaAfcauUfcCfgGfaGfcsasu158Mm
    AD-63001GfsusGfuUfuGfuGfGfGfgAfgAfcCfaAfuAfL9688usAfsuUfgGfuCfuCfcccAfcAfaAfcAfcsasg159Mm
    Table 1b: Additional HAO1 modified sequences.
    Duplex NameSense strand sequenceSEQ ID NO:Antisense strand sequenceSEQ ID NO:Species
    AD-62933.2GfsasAfuGfuGfaAfAfGfuCfaUfcGfaCfaAfL9618usUfsgUfcGfaUfgAfcuuUfcAfcAfuUfcsusg89Hs/Mm
    AD-62939.2UfsusUfuCfaAfuGfGfGfuGfuCfcUfaGfgAfL9619usCfscUfsGfgAfcAfcccAfuUfgAfaAfasgsu90Hs/Mm
    AD-62944.2GfsasAfaGfuCfaUfCfGfaCfaAfgAfcAfuUfL9620asAfsuGfuCfuUfgUfcgaUfgAfcUfuUfcsasc91Hs/Mm
    AD-62949.2UfscsAfuCfgAfcAfAfGfaCfaUfuGfgUfgAfL9621usCfsaCfcAfaUfgUfcuuGfuCfgAfuGfascsu92Hs/Mm
    AD-62954.2UfsusUfcAfaUfgGfGfUfgUfcCfuAfgGFaAfL9622usUfscCfuAfgGfaCfaccCfaUfuGfaAfasasg93Hs/Mm
    AD-62959.2AfsasUfgGfgUfgUfCfCfuAfgGfaAfcCfuUfL9623asAfsgGfuUfcCfuAfggaCfaCfeCfaUfusgsa94Hs/Mm
    AD-62964.2GfsasCfaGfuGfcAfCfAfaUfaUfuUfuCfcAfL9624usGfsgAFaAfaUfaUFuguGfcAfcUfgUFcsasg95Hs/Mm
    AD-62969.2AfscsUfuUFuCfaAfUFGfgGfuGfuCfcUfaAfL9625usUfsaGfgAfeAfeCfcauUfgAfaAfaGfuscsa96Hs/Mm
    AD-62934.2AfsasGfuCfaUfcGfAfCfaAfgAfcAfuUfgAfL9626usCfsaAfuGfuCfuUfgucGfaUfgAfcUfususc97Hs/Mm
    AD-62940.2AfsusCfgAfcAfaGfAfCfaUfuGfgUfgAfgAfL9627usCfsuCfaCfcAfaUfgucUfuGfuCfgAfusgsa98Hs/Mm
    AD-62945.2GfsgsGfaGfaAfaGfGfUfgUfuCfaAfgAfuAfL9628usAfsuCfuUfgAfaCfaccUfuUfcUfcCfcscsc99Ms/Mm
    AD-62950.2CfsusUfuUfcAfaUfGfGfgUfgUfcfuAfgAfL9629usCfsuAfgGfaCfaCfccaUfuGFaAfaAfgsusc100Hs/Mm
    AD-62955.2UfscsAfaUfgGfgUfGfUfeCfuAfgGfaAfcAfL9630usGFsuUfcCFuAfgGfacsCfcCFaUfuGFasasa101Hs/Mm
    AD-62960.2UfsusGfaCfuUfuUfCfAfaUfgGfgUfgUftAfL9631usGfsaCfaCfcCfaUfugaAfaAfgUfcAfasasa102Hs/Mm
    AD-62965.2AfsasAfgUfcAfuCfGfAfcAfaGfaCfaUfuAfL9632usAfsaUfgUfdJfuGfucgAfuGfaCfuUfuscsa103Hs/Mm
    AD-62970.2CfsasGfgGfg6feGfAfAfaGfgUfgUfuCfaAfL9633usUfsgAfaCffaCfcUfuucUfcCfcCfcUfgsgsa104Hs/Mm
    AD-62935.2CfsasUfuGfgUfgAfGfGfaAfaAfaUfcCfuUfL9634asAfsgGFaUfuUfuUfccuCfaCfcAfsUfgsusc105Hs/Mm
    AD-62941.2AfscsAfuUfgGfuGfAfGfgAfaAfaAfuCfcUfL9635asGfsgAfuUfuUfuCfcucAfcCfsAfuGfuscsu106Hs/Mm
    AD-62946.2AfsgsGfgGfgAfgAfAfAfgGfuGfuUfcAfaAfL9636usUfsuGfaAfcAfcCfuuuCfuCfcCfcCfusgsg107Ms/Mm
    AD-62951.2AfsusGfgUfgGfuAfAfUfuUfgUfgAfuUfuUfL9637ssAfsaAfuCfaCfaAfauuAfcCfaCfcAfuscsc108Hs
    AD-629562GfsasCfuUfgCfaUfCfCfuGfgAfaAfuAfuAfL9638usAFsuAFuUfuCfcAfggaUfgCfaAFgUfcscsa109Hs
    AD-62961.2GfsgsAFaGfgGfaAFGfGfuAfgAfaGFuCfuUfL9639asAfsgAfcUfuCFuAfccuUfcCFcUfuCfcsasc110Hs
    AD-62966.2UfsgsUfcUfuCfuGfUfUfuAfgAfuUfuCfcUfL9640asGfsgAfaAfuCfuAFaacAfgAfaGfaCfasgsg111Hs
    AD-62971.2CfsusUfuGfgCfuGfUfUfuCfcAfaGfaUfcUfL9641ssGfssUfcUfuGfgAfaacAfgCfcAfsAfgsgsa112Hs
    AD-62936.2AfsasUfgUfgUfuUfGfGfgCfaAfcGfuCfaUfL9642asUfsgAfcGfuUfgCfccaAfaCfaCfaUfususu113Hs
    AD-62942.2UfsgsUfgAfcUfgUfGfGfaCfaCfcCfcUfuAfL9643usAfsaGFgGfgUfgUfccaCfaGfuCFaCFasasa114Hs
    AD-62947.2GfsasUfgGfgGfuGfCfCfaGfcUfaCfuAfuUfL9644asAfsuAfgUfaGfcUfggcAfcCfcCfaUfcscsa115Hs
    AD-62952.2GfsasAfaAfuGfuGfUfUfuGfgGfcAfaCfgUfL9645asCfsgUfuGfcCfcAfaacAfcAfuUfuUfcsasa116Hs
    AD-62957.2GfsgsCfuGfuUfuCfCfAfaGfaUfcUfgAfcAfL9646usGfsuCFaGfaUfcUFuggAFaAfcAFgCfcsasa117Hs
    AD-62962.2UfscsCfaAfcAfaAfAfUfaGfcCfaCfcCfcUfL9647asGfsgGfgUFgGfcUfauuUfuGfuUfgGfasasa118Hs
    AD-62967.2GfsusCfuUftUfgUfUfUfaGfaUfuUfcCfuUfL9648asAfsgGfaAfaUfcUfaaaCfaGfaAfgAfcsasg119Hs
    AD-62972.2UfsgsGfaAfgGfgAfAfGfgUfaGfsAfgUfcUfL9649asGfsaCfuUfcUfaCfcuuCfcCfuUfcCfascsa120Hs
    AD-62937.2UfscsCfuUfuGfgCfUfGfuUfuCfcAfaGfaUfL9650asUfscUfuGfgAfaAfcagCfcAfaAfgGfasusu121Hs
    AD-62943.2CfsasUfcUfcUfcAfGfCfuGfgGfaUfgAfuAfL9651usAfsuCfaUFcCFcAfgcuGfaGfaGfaUFgsgsg122Hs
    AD-62948.2GfsgsGfgUfgCfcAfGfCfuAfcUfaUfuGfaUfL9652asUfscAfaUfaGfuAfgcuGfgCfaCfcCfcsasu123Hs
    AD-62953.2AfsusGfuGfuUfuGfGfGfcAfaCfgUfcAfuAfL9653usAfsuGfaCfgUfuGfcccAfaAfcAfcAfususu124Hs
    AD-62958.2CfsusGfuUfuAfgAfUfUfuCfcUfuAfaGfaAfL9654usUfscUfuAfaGfgAfaauCfuAfaAfcAfgsasa125Hs
    AD-62963.2AfsgsAfaAfgAfaAfUfGfgAfcUtuGfcAfuAfL9655usAfsuGfcAfaGfuCfcauUfuCfuUfuCfusasg126Hs
    AD-62968.2GfscsAfuCfcUfgGfAfAfsUfaUfaUfuAfaAfL9656usUfsuAfaUfaUfaUfuucCfaGfgAfuGfcsass127Hs
    AD-62973.2CfstsUfgUfcAfgAfCfCfaUfgGfgAfaCfuAfL9657usAfsgUfuCfcCfaUfgguCfuGfaCfaGfgscsu128Hs
    AD-62938.2AfsasAfcAfuGfgUfGfUfgGfaUfgGfgAfuAfL9658usAfsuCfcCfaUfcCfacaCfcAfuGfuUfusasa129Hs
    AD-62974.2CfsusCfaGfgAfuGfAfAfaAfaUfuUfuGfaAfL9659usUfscAfaAfaUfuUFuucAfuCfcUfgAfgsusu130Hs
    AD-62978.2CfsasGfcAfuGfuAfUfUfaCfuUfgAfcAfaAfL9660usUfsuGfuCfaAfgUfaauAfcAfuGfcUfgsasa131Hs
    AD-62982.2UfsasUfgAfaCfaAfCfAfuGfcUfaAfaUfcAfL9661usGfsELifuUfsGfcAfuguUfgUfuCfaUfasasu132Hs
    AD-62986.2AfsusAfuAfuCfcAfAfAfuGfuUfuUfaGfgAfL9662usCfscUfaAfaAfcAfuuuGfgAfuAfuAfususc133Hs
    AD-62990.2CfscsAfgAfuGfgAfAfGfcUfgUfa!JfcCfsAfL9663usUfsgGfaUfsCfsGfcuuCfcAfuCfuGfgsasa134Hs
    AD-62994.2GfsasCfuUfuCfaUfCfCfuGfgAfaAfuAfuAfL9664usAfsuAfuUfuCfcl\fggaUfgAfaAfgUfcscsa135Hs
    AD-62998.2CfscsCfcGfgCfuAfAfUfuUfgUfaUfcAfaUfL9665asUfsuGfaUfaCfaAfauuAfgCfcGfgGfgsgsa136Hs
    AD-63002.2UfsusAfaAfcAfuGfGfCfuUfgAfaUfgGfgAfL9666usCfscCfaUfuCfaAfgccAfuGfuUfuAfascsa137Hs
    AD-62975.2AfsssUfgUfgUfuUfAfGfaCfaAfcGfuCfaUfL9667ssUfsgAfcGfuUfgUfcusAfaCfaCfaUfususu138Mm
    AD-629792AfscsUfaAfaGfgAfAfGfaAfuUfcCfgGfuUfL9668asAfscCfgGfaAfuUfcuuCfcUfuUfaGfusasu139Mm
    AD-62983.2UfsasUfsUfcCfaAfAfUfgUfuUfuAfgGfaUfL9669asUfscCfuAfaAfaCfauuUfgGfaUfaUfasusu140Mm
    AD-62987.2GfsusGfcGfgAfaAfGfGfcAfcUfgAfuGfuUfL9670asAfscAfuCfaGfuGfccuUfuCfcGfcAfcsasc141Mm
    AD-62991.2UfsasAfaAfcAfgUfGfGfuUfcUfuAfaAfuUfL9671ssAfsuUfuAfaGfsAfccsCfuGfuUfuUfasasa142Mm
    AD-62995.2AfsusGfaAfaAfaUfUfUfuGfaAfaCfcAfgUfL9672asCfsuGfgUfuUfcAfaaaUfuUfuUfcAfuscsc143Mm
    AD-62999.2AfsasCfaAfaAfuAfGfCfaAfuCfcCfuUfuUfL9673asAfsaAfgGTgAfuUfgcuAfuUfuUfgUfusgsg144Mm
    AD-63003.2CfsusGfaAfaCfaGfAfUfcUfgUfcGfaCfuUfL9674asAfsgUfcGfaCfaGfaucUfgUfuUfcAfgscsa145Mm
    AD-62976.2UfsusGfuUfgCfaAfAfGfgGfcAfuUfuUfgAfL9675usCfsaAfaAfuGfcCfcuuUfgCfaAfcAfasusu146Mm
    AD-62980.2CfsusCfaUfuGfuUfUfAfuUfaAfcCfuGfuAfL9676usAfscAfgGfuUfaAfuasAfcAfaUfgAfgsasu147Mm
    AD-62984.2CfsasAfcAfaAfaUfAfGfcAfaUfcCfcUfuUfL9677asAfsaGfgGfaUfuGfcuaUfuUfuGfuUfgsgsa148Mm
    AD-62992.2CfsasUfuGfuUfuAfUfUfaAfcCfuGfuAfuUfL9678asAfsuAfcAfgGfuUfaauAfaAfcAfaUfgsasg149Mm
    AD-62996.2UfsasUfcAfgCfuGfGfGfaAfgAfuAfuCfaAfL9679usUfsgAfuAfuCfuUfcccAfgCfuGfaUfasgsa150Mm
    AD-63000.2UfsgsUfcCfuAfgGfAfAfcCfuUfuUfaGfsAfL9680usUfscUfaAfsAfgGfuucCfuAfgGfaCfascsc151Mm
    AD-63004.2UfscsCfaAtcAtaAfAfUfaGfcAfaUfcCfcUfL9681asGfsgGfalJfuGfcUfauuUfuGFuUfgGFasasa152Mm
    AD-62977.2GfsgsUfgUfgCfgGfAfAfaGfgCfaCfuGfaUfL9682asUfscAfgUfgCfcUfuucCfgCfaCfaCfcscsc153Mm
    AD-62981.2UfsusGfaAfaCfcAfGfUfaCfuUfuAfuCfaUfL9683asUfsgAfuAfaAfgUfacuGfgUfuUfcAfasasa154Mm
    AD-62985.2UfsasCfuUfcCfaAfAfGfuCfuAfuAfuAfuAfL9684usAfsuAfuAfuAfgAfeuuUfgGfaAfgUfascsu155Mm
    AD-62989.2UfscsCfuAfgGfaAfCfCfuUfuUfaGfaAfaUfL9685asUfsuUfcUfaAfaAfggulJTcCfuAfgGfascsa156Mm
    AD-62993.2CfsusCfcUfgAfgGfAfAfaAfuUfuUfgGfaAfL9686usUfscCfaAfaAfuUfuucCfuCfaGfgAfgsasa157Mm
    AD-62997.2GfscsUfcCfgGfaAfUfGfuUfgCfuGfaAfaUfL9687asUfsuUfcAfgCfaAfcauUfcCfgGfaGfcsasu158Mm
    AD-63001.2GfsusGfuUfuGfuGfGfGfgAfgAfcCfsAfuAfL9688usAfsuUfgGfuCfuCfcccAfcAfaAfcAfcsasg159Mm
    AD-62933.1GfsasAfuGfuGfaAfAfGfuCfaUfcGfaCfaAfL96160usUfsgUfcGfaUfgAfcuuUfcAfcAfuUfcsusg277
    AD-65630.1Y44gsasAfuGfuGfaAfAfGfuCfaUfcGfaCfaAfL96161PusUfsgUfcGfaUfgAfcuuUfcAfcAfuUfcsusg278
    AD-65.636.1gsasauguGfaAfAfGfucauCfgacaaL96162usUfsgUfcGfaUfgAfcuuUfcAfcAfuUfcsusg279
    AD-65642.1gsasauguGfaAfAfGfucaucgscaaL96163usUfsgUfcGfaUfgAfcuulifcAfcAfuUfcsusg280
    AD-65647.1gsar5auguGfaaAfGfucaucgacaaL96164usUfsgUfcGfaUfg.AfcuuUfcAfcAfuUfcsusg281
    AD-65652.1gsasauguGfaaaGfucaucGfacaaL96165usUfsgUfcGfaUfgAfcuuUfcAfcAfuUfcsusg282
    AD-656571gsasaugugaaaGfucaucGfac5aL96166usUfsgUfcGfaUfgAfcuuUfcAfcAfuUfcsusg283
    AD-65662.1gsasauguGfaaaGfucaucgacaaL96167usUtsglJtcGfaUfgAfcuulJtcAtcAtuUfcsusg284
    AD-65625.1AfsusGfuGfaAfAfGfuCfaUfcGfaCfaAfL96168usUfsgUfcGfaUfgAicuuUfcAfcAfususc285
    AD-65631.1asusguGfaAfAfGfucaucgacaaL96169usUfsgucGfaugscuuUfcAfcaususe286
    AD-65.637.1GfsasAfuGfuGfaAfAfGfuCfaUfcGf3CfaAfL96170usUfsgucGfaUfgAfcuuUfcAfcauucsusg287
    AD-65643.1GfsasAfuGfuGfaAfAfGfuCfaUfcGfaCfaAfL96171usUfsgucGfaUfGfacuuUfcAfcaucsusg288
    AD-65648.1GFsasAfuGfuGfaAfAfGfuCfaUFcGfaClafL96172usUfsgucGfaugacuuUfcAfeauucsusg289
    AD-65653.1GfsasAfuGfuGfaAfAfGfuCfaUfcGfaCfaAfL96173usUfsgucGfaugacuuUfcacauucsusg290
    AD-65658.1GFsasAfuGfuGfaAfAfGfuCfaUfcGfaCfaAfL96174usUfsgucgaugacuuUfcacsuucsusg291
    AD-65663.1gsasauguGfaAfAfGfucaucgacaaL96175usUfsgucGfaUfgAfcuuUfcAcauucsusg292
    AD-65626.1gsasauguGfaAfAfGfucaucgacaaL96176usUfsgucGfaUfGfacuuUfcAfcsuucsusg293
    AD-65638.1gsasauguGfaaAfGfucaucgacaaL96177usUfsgucGfaUfgAfcuuUfcAfcauucsusg294
    AD-65644.1gsasauguGfaaAfGfucaucgacaaL96178usUfsgucGfaUfGfacuuUfcAfcauucsusg295
    AD-65S49.1gsasauguGfaaAfGfucaucgacaaL96179usUfsgucGfaugacuuUfcAfcauucsusg296
    AD-65654.1gsasaugugaaagucau(Cgn)gacaaL96180usUtsgUtcGfaUfgAfcuuUtcAtcAtuUfcsusg297
    AD-65659.1gsasaugdTgaaagucau(Cgn)gacaaL96181usUfsgUfcGFaUfgAfcuuUfcAfcAfuUfcsusg29S
    AD-65627.1gsasaudGugaaadGucau(Cgn)gacaaL96182usUfsgUfcGfaUfgAfcuuUfcAfcAfuUfcsusg299
    AD-65633.1gsasaugdTgaaadGucau(Cgn)gacaaL96183usUfsgUfcGfaUfgAfcuuUfcAfcAfuUfcsusg300
    AD-65639.1gsasaugudGaaadGucau(Cgn)gacaaL96184usUfsgUfcGfaUfgAfcuuUfcAfcAfuUfcsusg301
    AD-65645.1gsasaugugaaadGucaucdGacaa196185usUfsgUfcGfaUfgAfcuuUfcAfcAfuUfcsusg302
    AD-65650.1gsasaugugaaadGucaucdTacaaL96186usUfsgUfcGfaUfgAfcuuUfcAfcAfuUfcsusg303
    AD-65SM.1gsasaugugaaadGucaucY34acaaL96187usUfsgUfcGfaUfgAfcuuUfcAfcAfuUfcsusg304
    D-65660.1gsasaugugaaadGucadTcdTacaaL96188usUtsgUtcGfaUfgAfcuuUtcAtcAtuUfcsusg305
    AD-65665.1gsasaugugsaadGucaucdGadCssL96189usUfsgUfcGFaUfgAfcuuUfcAfcAfuUfcsusg306
    AD-65628.1gsa5augugaaadGucaucclTadCaaL96190usUfsgUfcGfaUfgAfcuuUfcAfcAfuUfcsusg307
    AD-65634.1gsasaugugaaacGucaucY34adCaaL96191usUfsgUfcGfaUfgAfcuuUfcAfcAfuUfcsusg308
    AD-65646.1GfsasAfuGfuGfaAfAfGfuCfaUfcGfaCfaAfL96192usdTsgucgaugdAcuudTcacauucsusg309
    AD-65656.1GFsasAfuGfuGfaAfAFGfuCfaUFcGfaoCfaoAfL96193usUsgucgaugacuudTcacauucsusg310
    AD-65661.1GfsasAfuGfuGfaAfAfGfuCfsUfcGfaCfaAfL96194usdTsgucdGaugscuudTcacauucsusg311
    AD -65666.1GfsasAfuGfuGfaAfAfGfuCfaUfcGfECAfL96195usUsgucdGaugacuudTcacauucsusg312
    AD-65629.1GfsasAfuGfuGfaAfAfGfuCfaUfcGfsCfsAfL96196usdTsgucgaugacuudTcdAcauucsusg313
    AD-656351GfsasAfuGfuGfAfaAfGFuCfaUfcGfaCfaAfL96197usdTsgucdGsugacuudTcdAcauucsusg314
    AD-65641.1gsssaugugaaadGucau(Cgn)gacaaL96198usdTsgucgaugdAcuudTcacauucsusg315
    AD-62994.1GfsasCfuUfuCfaUfCfCfuGfgAfaAfuAfuAfL96199usAfsuAfuUfuCfcAfggaUfgAfaAfgUfcscsa316
    AD-65595.1gsascuuuCfaUfCfCfuggaAfauauaL96200usAfsuAfuUfuCfcAfggaUfgAfaAfgUfcscsa317
    AD-65600.1g.<,sscuuuCfaUfCFC;uggaaaL!SUi,L!'6201usAfsuAfuUFuCfcAfggaUfgAfaAfgUFcscsa318
    AD-65610.1gsascuuuCfaucCfuggaaAfuauaL96202usAfsuAfuUfuCfcAfggsUfgAfaAfgUfcscsa319
    AD-65615.1gsascuuucaucCfuggaaAfuauaL96203usAfsuAfuUfuCfcAfggaUfgAfaAfgUfcscsa320
    AD-65.620.1gsascuuuCfaucCfuggaaauauaL96204usAfsuAfuUfuCfcAfggaUfgAfsAfgUfcscsa321
    AD-65584.1CfsusUfuCfaUfCfCfuGfgAfaAfuAfuAfL96205usAfsuAfuUfuCfcAfggaUfgAfsAfgsusc322
    AD-65590.1csusuuCfaUfCfCfuggaaauauaL96206usAfsuauUfuccaggaUfgAfaagsusc323
    AD-65596.1GfsasCfuUfuCfaUFCfCfuGfgAfaAfuAfuAFL96207usAfsuauUfuCfcAfggaUfgAfaagucscss324
    AD-65601.1GfsasCfuUfuCfaUfCfCfuGfgAfaAfuAfuAfL96208usAfsuauUfuCfCfaggaUfgAfaagucscsa325
    AD-65.606.1GfsasCfuUfuCfaUfCfCfuGfgAfaAfuAfuAfL96209usAfsuauUfuccaggaUfgAfaagucscsa326
    AD-65611.1GfsasCfuUuCfaUfCfCfuGfgAfaAfuAfuAfL96210usAfsuouUfuccaggoUfgaoogucicsa327
    AD-65616.1GfsasCfuUfuCFaUfCfCfuGfgAfaAfuAfuAfL96211usAFsuauuuccaggaUfgaaagucscsa328
    AD-65621.1gsascuuuCfaUfCfCfuggaaauauaL96212usAfsuauUfuCfcAfggaUfgAfaagucscsa329
    AD-65585.1gsascuuuCfaUfCfCfuggaaauauaL96213usAfsuauUfuCfCfaggaUfgAfaagucscsa330
    AD-65591.1gsascuuuCfaUfCFCuggaaauauaL96214usAfsuauUfuccaggaUfgAfaagucscsa331
    AD-65597.1gasacuuuCfauCfCfuggaaauauaL96215usAfsuauUfuCfcAfggaUfgAfaagucscsa332
    AD-65602.1gsascuuuCfauCfCfuggaaauauaL96216usAfsuauLifuCfCfaggaUfgAfaagucscsa333
    AD-65607.1gsascuuuCfauCfCfuggaaauauaL96217usAfsuauUfuccaggaUfgAfaagucscsa334
    AD-65S12.1gsascuuucauccuggaa(Agn)uauaL96218usAfsuAfuUfuCfcAfggaUfgAfaAfgUfcscsa335
    AD-65622.1gsascuuucaucdCuggaa(Agn)uauaL96219usAfsuAfuUfuCfcAfggaUfgAfaAfgUfcscsa336
    AD-65586.1gsascudTucaucdCuggaa(Agn)uauaL96220usAfsuAfuUfuCfcAfggaUfgAfaAfgUfcscsa337
    AD-65592.1gsascudTucaucdCuggaa(Agn)uauaL96221usAfsuAfuUfuCfcAfggaUfgAfaAfgUfcscsa338
    AD -65598.1gsascuuudCaucdCuggaa(Agn)uauaL96222usAfsuAfuUfuCfcAfggaUfgAfaAfgUfcscsa339
    AD-65603.1gsascuuucaucdCuggaacAuauaL96223usAfsuAfuUfuCfcAfggaUfgAfaAfgUfcscsa340
    AD-65608.1gsascuuucaucdCuggaadTuauaL96224usAfsuAfuUfuCfcAfggaUfgAfaAfgUfcscsa341
    AD-65613.1gsascuuucaucdCuggaaY34uauaL96225usAfsuAfuUfuCfcAfggaUfgAfaAfgUfcscsa342
    AD-65618.1gsascuuucaucdCuggdAadTuauaL96226usAfsuAfuUfuCfcAfggaUfgAfaAfgUfcscsa343
    AD -65623.1gsascuuucaucdCuggdAadTuauaL96227usAfsuAfuUfuCfcAfggaUfgAfaAfgUfcscsa344
    AD-65587.1gsascuuucaucdCuggaa(Agn)udAuaL96228usAfsuAfuUfuCfcAfggaUfgAfaAfgUfcscsa345
    AD-65593.1gsascuuucaucdCuggaa(Agn)udAuaL96229usAfsuAfuUfuCfcAfggaUfgAfaAfgUfcscsa346
    AD-65599.1GfsasCfuUfuCfaUfCfCfuGfgAfaAfuAfuAfL96230usdAsuauuuccdAggadTgaaagucscsa347
    AD-65604.1GfsasCfuUfuCfaUfCfCfuGfgAfaAfuAfuAfL96231usdAsuauuuccaggadTgaaagucscsa348
    AD-65609.1GfsasCfuUfuCfaUfCfCfuGfgAfaAfuAfuAfL96232usdAsuauuuccaggadTgaaagucscsa349
    AD-65614.1GfsasCfuUfuCfaUfCfCfuGfgAfaAfuAfuAfL96233usdAsuaudTuccaggodTgaagucscsa350
    AD-65619.1GfsasCfuUfuCfaUfCfCfuGfgAfaAfuAfuAfL96234usAsuaudTuccaggadTgaaagucscsa351
    AD -65624.1GfsasCfuUfuCfaUfCfCfuGfgAfaAfuAfuAfL96235uscAsuauuuccaggadTgdAaagucscsa352
    AD-65588.1GfsasCfuUfuCfaUfCfCfuGfgAfaAfuAfuAfL96236usdAsuaucTuccaggadTgcAaagucscsa353
    AD-65594.1gsascuuucaucdCuggaa(Agn)uauaL96237usdAsuauuuccdAggadTgaaagucscsa354
    AD-68309.1asgsaagGfuGfUfUfcaagaugucaL96238usGfsacaUfcUfUfgaacAfcCfuuucuscsc355
    AD-68303.1csasuccuGfgAfAfAfuauauuaacuL96239asGFsuuaAfuAfUfauuuCfcAfggaugsasa356
    AD-65626.5gsasauguGfaAfAfGfucaucgacaaL96240usUfsgucGfaUfGfacuuUfcAfcauucsusg357
    AD-68295.1asgsugcaCfaAfUfAfuuuucccauaL96241usAfsuggGfaAfAfauauUfgUfgcacusgsu358
    AD-68273.1gsasaaguCfaUfCfGfacaagacauuL96242asAfsuguCfuUfGfucgaUfgAfcuuucsasc359
    AD-68297.1asasugugAfaAfGfUfcaucgacaaaL96243usUfsuguCfgAfUfgacuUfuCfacauuscsu360
    AD-68287.1csusggaaAfuAfUfAfuuaacuguuaL96244usAfsacaGfuUfAfauauAfuUfuccagsgsa361
    AD-68300.1asusuuucCfcAfUfCfuguauuauuuL96245asAfsauaAfuAfCfagauGfgGfaaaausasu362
    AD-68306.1usgsucguUfcUfUfUfuccaacaaaaL96246usUfsuugUfuGfGfaaaaGfaAfcgacascsc363
    AD-68292.1asusccugGfaAfAfUfauauuaacuaL96247usAfsguuAfaUfAfuauuUfcCfaggausgsa364
    AD -68298.1gscsauuuUfgAfGfAfggugaugauaL96248usAfsucaUfcAfCfcucuCfaAfaaugcscsc365
    AD-68277.1csasggggGfaGfAfAfagguguucaaL96249usUfsgaaCfaCfCfuuucUfcCfcccugsgsa366
    AD-68289.1gsgsaaauAfuAfUfUfaacuguuaaaL96250usUfsuaaCfaGfUfuaauAfuAfuuuccsasg367
    AD-68272.1csasuuggUfgAfGfGfaaaaauccuuL96251asAfsggaUfuUfUfuccuCfaCfcaaugsusc368
    AD-68282.1gsgsgagaAfaGfGfUfguucaagauaL96252usAfsucuUfgAfAfcaccUfuUfcucccscsc369
    AD -68285.1gsgscauuUfuGfAfGfaggugaugauL96253asUfscauCfaCfCfucucAfaAfaugccscsu370
    AD-68290.1usascaaaGfgGfUfGfucguucuuuuL96254asAfsaagAfaCfGfacacCfcUfuuguasusu371
    AD-68296.1usgsggauCfuUfGfGfugucgaaucaL96255usGfsauuCfgAfCfaccaAfgAfucccasusu372
    AD-68288.1csusgacaGfuGfCfAfcaauauuuuaL96256usAfsaaaUfaUfUfgugcAfcUfgucagsasu373
    AD-68299.1csasgugcAfcAfAfUfauuuucccauL96257asUrsgggAfaAfAfuauuGfuGfcacugsusc374
    AD-68275.1ascsuuuuCfaAfUfGfgguguccuaaL96258usUfsaggAfcAfCfccauUfgAfaaaguscsa375
    AD-68274.1ascssuugGfuGfAfGfgaaaaauccuL96259asGfsgauUfuUfUfccucAfcCfaauguscsu376
    AD-68294.1ususgcuuUfuGfAfCruuuucaaugaL96260usCfauuGfaAfAfagucAfaAfagcaasusg377
    AD -68302.1csasuuuuGfaGfAGfgugaugaugaL96261usCfsaucAfuCfAfccucUfcAfaaaugscsc378
    AD-68279.1ususgacuUfuUfCfAfaugggugucaL96262usGfsacaCfcCfAfuugaAfaAfgucaasasa379
    AD-68304.1csgsacuuCfuGfUfUfuuaggacagaL96263usCfsuguCfcUfAfaaacAfgAfagucgsasc380
    AD-68286.1csuscugaGfuGfGfGfugccagaauaL96264usAfsuucUfgGfCfacccAfcUfcagagscsc381
    AD-68291.1gsgsgugcCfaGfAfAfugugaaaguaL96265usAfscuuUfcAfCfauucUfgGfcacccsasc382
    AD-68283.1uscsaaugGfgUfGfUfccuaggascaL96266usGfsuucCfuAfGfgacaCfcCfauugasasa383
    AD -68280.1asasagucAfuCfGfAfcaagacauuaL96267usAfsaugUfcUfUfgucgAfuGfacuuuscsa384
    AD-68293.1asusuuugAfgAfGfGfugaugaugcaL96268usGfscauCfaUfCfaccuCfuCfaaaausgsc385
    AD-68276.1asuscgacAfaGfAfCfauuggugagaL96269usCfsucaCfcAfAfugucUfuGfucgausgsa386
    AD-68308.1gsgsugccAfgAfAfUfgugaaagucaL96270usGfsacuUfuCfAfcauuCfuGfgcaccscsa387
    AD-68278.1gsascaguGfcAfCfAfauauuuuccaL96271usGfsgaaAfaUfAfuuguGfcAfcugucsssg388
    AD -68307.1ascsaaagAfgAfCfAfcugugcagaaL96272usUfscugCfaCfAfguguCfuCfuuuguscsa389
    AD-68284.1ususuucaAfuGfGfGfuguccuaggaL96273usCfscuaGfgAfCfacccAfuUfgaaaasgsu390
    AD-68301.1cscsguuuCfcAfAfGfaucugacaguL96274asCfsuguCfaGfAfucuuGfgAfaacggscsc391
    AD-68281.1asgsggggAfgAfAfAfgguguucaaaL96275usUfsugaAfcAfCfcuuuCfuCfccccusgsg392
    AD-68305.1asgsucauCfgAfCfAfagacauugguL96276asCfscaaUfgUfCfuuguCfgAfugacususu393
    Table 2a. HAO1 unmodified sequences (human and human/mouse)
    Duplex NameSEQ ID NO:Sense strand sequenceSEQ ID NO:Antisense strand sequencePosition in NM_017545.2
    AD-62933394GAAUGUGAAAGUCAUCGACAA443UUGUCGAUGACUUUCACAUUCUG1072-1094
    AD-62939395UUUUCAAUGGGUGUCCUAGGA444UCCUAGGACACCCAUUGAAAAGU1302-1324
    AD-62944396GAAAGUCAUCGACAAGACAUU445AAUGUCUUGUCGAUGACUUUCAC1078-1100
    AD-62949397UCAUCGACAAGACAUUGGUGA446UCACCAAUGUCUUGUCGAUGACU1083-1105
    AD-62954398UUUCAAUGGGUGUCCUAGGAA447UUCCUAGGACACCCAUUGAAAAG1303-1325
    AD-62959399AAUGGGUGUCCUAGGAACCUU448AAGGUUCCUAGGACACCCAUUGA1307-1329
    AD-62964400GACAGUGCACAAUAUUUUCCA449UGGAAAAUAUUGUGCACUGUCAG1134-1156_C21A
    AD-62969401ACUUUUCAAUGGGUGUCCUAA450UUAGGACACCCAUUGAAAAGUCA1300-1322_G21A
    AD -62934402AAGUCAUCGACAAGACAUUGA451UCAAUGUCUUGUCGAUGACUUUC1080-1102_G21A
    AD -62940403AUCGACAAGACAUUGGUGAGA452UCUCACCAAUGUCUUGUCGAUGA1085-1107_G21A
    AD-62945404GGGAGAAAGGUGUUCAAGAUA453UAUCUUGAACACCUUUCUCCCCC996-1018_G21A
    AD-62950405CUUUUCAAUGGGUGUCCUAGA454UCUAGGACACCCAUUGAAAAGUC1301-1323_G21A
    AD-62955406UCAAUGGGUGUCCUAGGAACA455UGUUCCUAGGACACCCAUUGAAA1305-1327_C21A
    AD-62960407UUGACUUUUCAAUGGGUGUCA456UGACACCCAUUGAAAAGUCAAAA1297-1319_C21A
    AD-62965408AAAGUCAUCGACAAGACAUUA457UAAUGUCUUGUCGAUGACUUUCA1079-1101_G21A
    AD-62970409CAGGGGGAGAAAGGUGUUCAA458UUGAACACCUUUCUCCCCCUGGA992-1014
    AD-62935410CAUUGGUGAGGAAAAAUCCUU459AAGGAUUUUUCCUCACCAAUGUC1095-1117
    AD-62941411ACAUUGGUGAGGAAAAAUCCU460AGGAUUUUUCCUCACCAAUGUCU1094-1116
    AD -62946412AGGGGGAGAAAGGUGUUCAAA461UUUGAACACCUUUCUCCCCCUGG993-1015_G21A
    AD-62974413CUCAGGAUGAAAAAUUUUGAA462UUCAAAAUUUUUCAUCCUGAGUU563-585
    AD-62978414CAGCAUGUAUUACUUGACAAA463UUUGUCAAGUAAUACAUGCUGAA1173-1195
    AD-62982415UAUGAACAACAUGCUAAAUCA464UGAUUUAGCAUGUUGUUCAUAAU53-75
    AD-62986416AUAUAUCCAAAUGUUUUAGGA465UCCUAAAACAUUUGGAUAUAUUC1679-1701
    AD-62990417CCAGAUGGAAGCUGUAUCCAA466UUGGAUACAGCUUCCAUCUGGAA156-178
    AD-62994418GACUUUCAUCCUGGAAAUAUA467UAUAUUUCCAGGAUGAAAGUCCA1341-1363
    AD-62998419CCCCGGCUAAUUUGUAUCAAU468AUUGAUACAAAUUAGCCGGGGGA29-51
    AD-63002420UUAAACAUGGCUUGAAUGGGA469UCCCAUUCAAGCCAUGUUUAACA765-787
    AD -62975421AAUGUGUUUAGACAACGUCAU470AUGACGUUGUCUAAACACAUUUU1388-1410
    AD-62979422ACUAAAGGAAGAAUUCCGGUU471AACCGGAAUUCUUCCUUUAGUAU1027-1049
    AD-62983423UAUAUCCAAAUGUUUUAGGAU472AUCCUAAAACAUUUGGAUAUAUU1680-1702
    AD-62987424GUGCGGAAAGGCACUGAUGUU473AACAUCAGUGCCUUUCCGCACAC902-924
    AD-62991425UAAAACAGUGGUUCUUAAAUU474AAUUUAAGAACCACUGUUUUAAA1521-1543
    AD-62995426AUGAAAAAUUUUGAAACCAGU475ACUGGUUUCAAAAUUUUUCAUCC569-591
    AD-62999427AACAAAAUAGCAAUCCCUUUU476AAAAGGGAUUGCUAUUUUGUUGG1264-1286
    AD-63003428CUGAAACAGAUClJGUCGACUU477AAGUCGACAGAUCUGUUUCAGCA195-217
    AD-62976429UUGUUGCAAAGGGCAUUUUGA478UCAAAAUGCCCUUUGCAACAAUU720-742
    AD -62980430CUCAUUGUUUAUUAACCUGUA479UACAGGUUAAUAAACAAUGAGAU1483-1505
    AD-62984431CAACAAAAUAGCAAUCCCUUU480AAAGGGAUUGCUAUUUUGUUGGA1263-1285
    AD-62992432CAUUGUUUAUUAACCUGUAUU481AAUACAGGUUAAUAAACAAUGAG1485-1507
    AD-62996433UAUCAGCUGGGAAGAUAUCAA482UUGAUAUCUUCCCAGCUGAUAGA670-692
    AD-63000434UGUCCUAGGAACCUUUUAGAA483UUCUAAAAGGUUCCUAGGACACC1313-1335
    AD-63004435UCCAACAAAAUAGCAAUCCCU484AGGGAUUGCUAUUUUGUUGGAAA1261-1283
    AD-62977436GGUGUGCGGAAAGGCACUGAU485AUCAGUGCCUUUCCGCACACCCC899-921
    AD-62981437UUGAAACCAGUACUUUAUCAU486AUGAUAAAGUACUGGUUUCAAAA579-601
    AD-62985438UACUUCCAAAGUCUAUADAUA487UAUAUAUAGACUUUGGAAGUACU75-97_G21A
    AD -62989439UCCUAGGAACCUUUUAGAAAU488AUUUCUAAAAGGUUCCUAGGACA1315-1337__G21U
    AD-62993440CUCCUGAGGAAAAUUU UGGAA489UUCCAAAAUUUUCCUCAGG AGAA603-625-G21A
    AD-62997441GCUCCGGAAUGUUGCUGAAAU490AUUUCAGCAACAUUCCGGAGCAU181-203_C21U
    AD-63001442GUGUUUGUGGGGAGACCAAUA491UAUUGGUCUCCCCACAAACACAG953-975_C21A
    Table 2b. HAO1 unmodified sequences (mouse)
    Duplex NameSEQ ID NO:Sense strand sequenceSEQ ID NO:Antisense strand sequencePosition in NM_010403.2
    AD-62951492AUGGUGGUAAUUUGUGAUUUU514AAAAUCACAAAUUACCACCAUCC1642-1664
    AD-62956493GACUUGCAUCCUGGAAAUAUA515UAUAUUUCCAGGAUGCAAGUCCA1338-1360
    AD-62961494GGAAGGGAAGGUAGAAGUCUU516AAGACUUCUACCUUCCCUUCCAC864-886
    AD-62966495UGUCUUCUGUUUAGAUUUCCU517AGGAAAUCUAAACAGAAGACAGG1506-1528
    AD-62971496CUUUGGCUGUUUCCAAGAUCU518AGAUCUUGGAAACAGCCAAAGGA1109-1131
    AD-62936497AAUGUGUUUGGGCAACGUCAU519AUGACGUUGCCCAAACACAUUUU1385-1407
    AD-62942498UGUGACUGUGGACACCCCUUA520UAAGGGGUGUCCACAGUCACAAA486-508
    AD-62947499GAUGGGGUGCCAGCUACUAUU521AAUAGUAGCUGGCACCCCAUCCA814-836
    AD-62952500GAAAAUGUGUUUGGGCAACGU522ACGUUGCCCAAACACAUUUUCAA1382-1404
    AD-62957501GGCUGUUUCCAAGAUCUGACA523UGUCAGAUCUUGGAAACAGCCAA1113-1135
    AD-62962502UCCAACAAAAUAGCCACCCCU524AGGGGUGGCUAUUUUGUUGGAAA1258-1280
    AD-62967503GUCUUCUGUUUAGAUUUCCUU525AAGGAAAUCUAAACAGAAGACAG1507-1529
    AD-62972504UGGAAGGGAAGGUAGAAGUCU526AGACUUCUACCUUCCCUUCCACA863-885
    AD-62937505UCCUUUGGCUGUUUCCAAGAU527AUCUUGGAAACAGCCAAAGGAU U1107-1129
    AD-62943506CAUCUCUCAGCUGGGAUGAUA528UAUCAUCCCAGCUGAGAGAUGGG662-684
    AD-62948507GGGGUGCCAGCUACUAUUGAU529AUCAAUAGUAGCUGGCACCCCAU817-839
    AD-62953508AUGUGUUUGGGCAACGUCAUA530UAUGACGUUGCCCAAACACAUUU1386-1408_C21A
    AD-62958509CUGUUUAGAUUUCCUUAAGAA531UUCUUAAGGAAAUCUAAACAGAA1512-1534_C21A
    AD-62963510AGAAAGAAAUGGACUUGCAUA532UAUGCAAGUCCAUUUCUUUCUAG1327-1349_C21A
    AD-62968511GCAUCCUGGAAAUAUAUUAAA533UUUAAUAUAUUUCCAGGAUGCAA1343-1365_C21A
    AD-62973512CCUGUCAGACCAUGGGAACUA534UAGUUCCCAUGGUCUGACAGGCU308-330_G21A
    AD-62938513AAACAUGGUGUGGAUGGGAUA535UAUCCCAUCCACACCAUGUUUAA763-785_C21A
    Table 2c: Additional HAO1 unmodified sequences
    Duplex NameSEQ ID NO:Sense strand sequenceSEQ ID NO:Antisense strand sequencePosition in NM_017545.2
    AD-62933.2394GAAUGUGAAAGUCAUCGACAA443UUGUCGAUGACUUUCACAUUCUG1072-1094
    AD-62939.2395UUUUCAAUGGGUGUCCUAGGA444UCCUAGGACACCCAUUGAAAAGU1302-1324
    AD-62944.2396GAAAGUCAUCGACAAGACAUU445AAUGUCUUGUCGAUGACUUUCAC1078-1100
    AD-62949.2397UCAUCGACAAGACAUUGGUGA446UCACCAAUGUCUUGUCGAUGACU1083-1105
    AD-62954.2398UUUCAAUGGGUGUCCUAGGAA447UUCCUAGGACACCCAUUGAAAAG1303-1325
    AD-62959.2399AAUGGGUGUCCUAGGAACCUU448AAGGUUCCUAGGACACCCAUUGA1307-1329
    AD-62964.2400GACAGUGCACAAUAUUUUCCA449UGGAAAAUAUUGUGCACUGUCAG1134-1156_C21A
    AD-62969.2401ACUUUUCAAUGGGUGUCCUAA450UUAGGACACCCAUUGAAAAGUCA1300-1322_G21A
    AD-62934.2402AAGUCAUCGACAAGACAUUGA451UCAAUGUCUUGUCGAUGACUUUC1080-1102_G21A
    AD-62940.2403AUCGACAAGACAUUGGUGAGA452UCUCACCAAUGUCUUGUCGAUGA1085-1107_G21A
    AD-S2945.2404GGGAGAAAGGUGUUCAAGAUA453UAUCUUGAACACCUUUCUCCCCC996-1018_G21A
    AD-62950.2405CUUUUCAAUGGGUGUCCUAGA454UCUAGGACACCCAUUGAAAAGUC1301-1323_G21A
    AD-62955.2406UCAAUGGGUGUCCUAGGAACA455UGUUCCUAGGACACCCAUUGAAA1305-1327 C21A
    AD-62960.2407UUGACUUUUCAAUGGGUGUCA456UGACACCCAUUGAAAAGUCAAAA1297-1319_C21A
    AD-62965.2408AAAGUCAUCGACAAGACAUUA457UAAUGUCUUGUCGAUGACUUUCA1079-1101_G21A
    AD-62970.2409CAGGGGGAGAAAGGUGUUCAA458UUGAACACCUUUCUCCCCCUGGA992-1014
    AD-62935.2410CAUUGGUGAGGAAAAAUCCUU459AAGGAUUUUUCCUCACCAAUGUC1095-1117
    AD-62941.2411ACAUUGGUGAGGAAAAAUCCU460AGGAUUUUUCCUCACCAAUGUCU1094-1116
    AD-62946.2412AGGGGGAGAAAGGUGUUCAAA461UUUGAACACCUUUCUCCCCCUGG993-1015_G21A
    AD-62974.2413CUCAGGAUGAAAAAUUUUGAA462UUCAAAAUUUUUCAUCCUGAGUU563-585
    AD-62978.2414CAGCAUGUAUUACUUGACAAA463UUUGUCAAGUAAUACAUGCUGAA1173-1195
    AD-62982.2415UAUGAACAACAUGCUAAAUCA464UGAUUUAGCAUGUUGUUCAUAAU53-75
    AD-62986.2416AUAUAUCCAAAUGUUUUAGGA465UCCUAAAACAUUUGGAUAUAUUC1679-1701
    AD-62990.2417CCAGAUGGAAGCUGUAUCCAA466UUGGAUACAGCUUCCAUCUGGAA156-178
    AD-62994.2418GACUUUCAUCCUGGAAAUAUA467UAUAUUUCCAGGAUGAAAGUCCA1341-1363
    AD-62998.2419CCCCGGCUAAUUUGUAUCAAU468AUUGAUACAAAUUAGCCGGGGGA29-51
    AD-3002.2420UUAAACAUGGCUUGAAUGGGA469UCCCAUUCAAGCCAUGUUUAACA765-787
    AD-62975.2421AAUGUGUUUAGACAACGUCAU470AUGACGUUGUCUAAACACAUUUU1388-1410
    AD-62979.2422ACUAAAGGAAGAAUUCCGGUU471AACCGGAAUUCUUCCUUUAGUAU1027-1049
    AD-62983.2423UAUAUCCAAAUGUUUUAGGAU472AUCCUAAAACAUUUGGAUAUAUU1680-1702
    AD-62987.2424GUGCGGAAAGGCACUGAUGUU473AACAUCAGUGCCUUUCCGCACAC902-924
    AD-62991.2425UAAAACAGUGGUUCUUAAAUU474AAUUUAAGAACCACUGUUUUAAA1521-1543
    AD-62995.2426AUGAAAAAUUUUGAAACCAGU475ACUGGUUUCAAAAUUUUUCAUCC569-591
    AD-62999.2427AACAAAAUAGCAAUCCCUUUU476AAAAGGGAUUGCUAUUUUGUUGG1264-1286
    AD-63003.2428CUGAAACAGAUCUGUCGACUU477AAGUCGACAGAUCUGUUUCAGCA195-217
    AD-62976.2429UUGUUGCAAAGGGCAUUUUGA478UCAAAAUGCCCUUUGCAACAAUU720-742
    AD-62980.2430CUCAUUGUUUAUUAACCUGUA479UACAGGUUAAUAAACAAUGAGAU1483-1505
    AD-62984.2431CAACAAAAUAGCAAUCCCUUU480AAAGGGAUUGCUAUUUUGUUGGA1263-1285
    AD-62992.2432CAUUGUUUAUUAACCUGUAUU481AAUACAGGUUAAUAAACAAUGAG1485-1507
    AD-62996.2433UAUCAGCUGGGAAGAUAUCAA482UUGAUAUCUUCCCAGCUGAUAGA670-692
    AD-63000.2434UGUCCUAGGAACCUUUUAGAA483UUCUAAAAGGUUCCUAGGACACC1313-1335
    AD-63004.2435UCCAACAAAAUAGCAAUCCCU484AGGGAUUGCUAUUUUGUUGGAAA1261-1283
    AD-62977.2436GGUGUGCGGAAAGGCACUGAU485AUCAGUGCCUUUCCGCACACCCC899-921
    AD-62981.2437UUGAAACCAGUACUUUAUCAU486AUGAUAAAGUACUGGUUUCAAAA579-601
    AD-62985.2438UACUUCCAAAGUCUAUAUAUA487UAUAUAUAGACUUUGGAAGUACU75-97_G21A
    AD-62989.2439UCCUAGGAACCUUUUAGAAAU488AUUUCUAAAAGGUUCCUAGGACA1315-1337_G21U
    AD-62993.2440CUCCUGAGGAAAAUUUUGGAA489UUCCAAAAUUUUCCUCAGGAGAA603-625_G21A
    AD-62997.2441GCUCCGGAAUGUUGCUGAAAU490AUUUCAGCAACAUUCCGGAGCAU181-203_C21U
    AD-63001.2442GUGUUUGUGGGGAGACCAAUA491UAUUGGUCUCCCCACAAACACAG953-975_C21A
    AD-62951.2492AUGGUGGUAAUUUGUGAUUUU514AAAAUCACAAAUUACCACCAUCC1642-1664
    AD-62956.2493GACUUGCAUCCUGGAAAUAUA515UAUAUUUCCAGGAUGCAAGUCCA1338-1560
    AD-52961.2494GGAAGGGAAGGUAGAAGUCUU516AAGACUUCUACCUUCCCUUCCAC864-886
    AD-62566.2495UGUCUUCUGUUUAGAUUUCCU517AGGAAAUCUAAACAGAAGACAGG1506-1528
    AD-62971.2496CUUUGGCUGUUUCCAAGAUCU518AGAUCUUGGAAACAGCCAAAGGA1109-1131
    AD-62936.2497AAUGUGUUUGGGCAACGUCAU519AUGACGUUGCCCAAACACAUUUU1385-1407
    AD-62942.2498UGUGACUGUGGACACCCCUUA520UAAGGGGUGUCCACAGUCACAAA486-508
    AD-62947.2499GAUGGGGUGCCAGCUACUAUU521AAUAGUAGCUGGCACCCCAUCCA814-836
    AD-62952.2500GAAAAUGUGUUUGGGCAACGU522ACGUUGCCCAAACACAUUUUCAA1382-1404
    AD-62957.2501GGCUGUUUCCAAGAUCUGACA523UGUCAGAUCUUGGAAACAGCCAA1113-1135
    AD-62962.2502UCCAACAAAAUAGCCACCCCU524AGGGGUGGCUAUUUUGUUGGAAA1258-1280
    AD-62967.2503GUCUUCUGUUUAGAUUUCCUU525AAGGAAAUCUAAACAGAAGACAG1507-1529
    AD-62972.2504UGGAAGGGAAGGUAGAAGUCU526AGACUUCUACCUUCCCUUCCACA863-885
    AD-62937.2505UCCUUUGGCUGUUUCCAAGAU527AUCUUGGAAACAGCCAAAGGAUU1107-1129
    AD-62943.2506CAUCUCUCAGCUGGGAUGAUA528UAUCAUCCCAGCUGAGAGAUGGG662-684
    AD-62948.2507GGGGDGCCAGCUACUAUUGAU529AUCAAUAGUAGCUGGCACCCCAU817-839
    AD-62953.2508AUGUGUUUGGGCAACGUCAUA530UAUGACGUUGCCCAAACACAUUU1386.1408_C21A
    AD-62958.2509CUGUUUAGAUUUCCUUAAGAA531UUCUUAAGGAAAUCUAAACAGAA15.12-1534_C21A
    AD-62963.2510AGAAAGAAAUGGACUUGCAUA532UAUGCAAGUCCAUUUCUUUCUAG1327-1349_C21A
    AD-62968.2511GCAUCCUGGAAAUAUAUUAAA533UUUAAUAUAUUUCCAGGAUGCAA1343-1365_C21A
    AD-62973.2512CCUGUCAGACCAUGGGAACUA534UAGUUCCCAUGGUCUGACAGGCU308-330_G21A
    AD-62938.2513AAACAUGGUGUGGAUGGGAUA535UAUCCCAUCCACACCAUGUUUAA763-785_C21A
    AD-62933.1536GAAUGUGAAAGUCAUCGACAA653UUGUCGAUGACUUUCACAUUCUG1072-1094
    AD-65630.1537GAAUGUGAAAGUCAUCGACAA654UUGUCGAUGACUUUCACAUUCUG1072-1094
    AD-65636.1538GAAUGUGAAAGUCAUCGACAA655UUGUCGAUGACUUUCACAUUCUG1072-1094
    AD-65642.1539GAAUGUGAAAGUCAUCGACAA656UUGUCGAUGACUUUCACAUUCUG1072-1094
    AD-65647.1540GAAUGUGAAAGUCAUCGACAA657UUGUCGAUGACUUUCACAUUCUG1072-1094
    AD-65652.1541GAAUGUGAAAGUCAUCGACAA658UUGUCGAUGACUUUCACAUUCUG1072-1094
    AD-65657.1542GAAUGUGAAAGUCAUCGACAA659UUGUCGAUGACUUUCACAUUCUG1072-1094
    AD-65662.1543GAAUGUGAAAGUCAUCGACAA660UUGUCGAUGACUUUCACAUUCUG1072-1094
    AD-65625.1544AUGUGAAAGUCAUCGACAA661UUGUCGAUGACUUUCACAUUC1072-1094
    AD-65631.1545AUGUGAAAGUCAUCGACAA662UUGUCGAUGACUUUCACAUUC1072-1094
    AD-65637.1546GAAUGUGAAAGUCAUCGACAA663UUGUCGAUGACUUUCACAUUCUG1072-1094
    AD-65643.1547GAAUGUGAAAGUCAUCGACAA664UUGUCGAUGACUUUCACAUUCUG1072-1094
    AD-65648.1548GAAUGUGAAAGUCAUCGACAA665UUGUCGAUGACUUUCACAUUCUG1072-1094
    AD-65653.1549GAAUGUGAAAGUCAUCGACAA666UUGUCGAUGACUUUCACAUUCUG1072-1094
    AD-65658.1550GAAUGUGAAAGUCAUCGACAA667UUGUCGAUGACUUUCACAUUCUG1072-1094
    AD-65663.1551GAAUGUGAAAGUCAUCGACAA668UUGUCGAUGACUUUCACAUUCUG1072-1094
    AD-65626.1552GAAUGUGAAAG UCAUCGACAA669UUGUCGAUGACUUUCACAUUCUG1072-1094
    AD-65638.1553GAAUGUGAAAGUCAUCGACAA670UUGUCGAUGACUUUCACAUUCUG1072-1094
    AD-65644.1554GAAUGUGAAAGUCAUCGACAA671UUGUCGAUGACUUUCACAUUCUG1072-1094
    AD-65649.1555GAAUGUGAAAGUCAUCGACAA672UUGUCGAUGACUUUCACAUUCUG1072-1094
    AD-65654.1556GAAUGUGAAAG UCAUCGACAA673UUGUCGAUGACUUUCACAUUCUG1072-1094
    AD-65659.1557GAAUGTGAAAGUCAUCGACAA674UUGUCGAUGACUUUCACAUUCUG1072-1094
    AD-65627.1558GAAUGUGAAAGUCAUCGACAA675UUGUCGAUGACUUUCACAUUCUG1072-1094
    AD-65633.1559GAAUGTGAAAGUCAUCGACAA676UUGUCGAUGACUUUCACAUUCUG1072-1094
    AD-65639.1560GAAUGUGAAAGUCAUCGACAA677UUGUCGAUGACUUUCACAUUCUG1072-1094
    AD-65645.1561GAAUGUGAAAGUCAUCGACAA678UUGUCGAUGACUUUCACAUUCUG1072-1094
    AD-65650.1562GAAUGUGAAAGUCAUCTACAA679UUGUCGAUGACUUUCACAUUCUG1072-1094
    AD-65655.1563GAAUGUGAAAGUCAUCACAA680UUGUCGAUGACUUUCACAUUCUG1072-1094
    AD-65660.1564GAAUGUGAAAGUCATCTACAA681UUGUCGAUGACUUUCACAUUCUG1072-1094
    AD-65665.1565GAAUGUGAAAGUCAUCGACAA682UUGUCGAUGACUUUCACAUUCUG1072-1094
    AD-65628.1566GAAUGUGAAAGUCAUCTACAA683UUGUCGAUGACUUUCACAUUCUG1072-1094
    AD-65634.1567GAAUGUGAAAGUCAUCACAA684UUGUCGAUGACUUUCACAUUCUG1072-1094
    AD-65646.1568GAAUGUGAAAGUCAUCGACAA685UTGUCGAUGACUUTCACAUUCUG1072-1094
    AD-65656.1569GAAUGUGAAAG UCAUCGACAA686UUGUCGAUGACUUTCACAUUCUG1072-1094
    AD-65661.1570GAAUGUGAAAG UCAUCGACAA687UTGUCGAUGACUUTCACADUCUG1072-1094
    AD-65666.1571GAAUGUGAAAGUCAUCGACAA688UUGUCGAUGACUUTCACAUUCUG1072-1094
    AD-65629.1572GAAUGUGAAAGUCAUCGACAA689UTGUCGAUGACUUTCACAUUCUG1072-1094
    AD-65635.1573GAAUGUGAAAGUCAUCGACAA690UTGUCGAUGACUUTCACAUUCUG1072-1094
    AD-65641.1574GAAUGUGAAAGUCAUCGACAA691UTGUCGAUGACUUTCACAUUCUG1072-1094
    AD-62994.1575GACUUUCAUCCUGGAAAUAUA692UAUAUUUCCAGGAUGAAAGUCCA1341-1363
    AD-65595.1576GACUUUCAUCCUGGAAAUAUA693UAUAUUUCCAGGAUGAAAGUCCA1341-1363
    AD-65600.1577GACUUUCAUCCUGGAAAUAUA694UAUAUUUCCAGGAUGAAAGUCCA1341-1363
    AD-65610.1578GACUUUCAUCCUGGAAAUAUA695UAUAUUUCCAGGAUGAAAGUCCA1341-1363
    AD-65615.1579GACUUUCAUCCUGGAAAUAUA696UAUAUUUCCAGGAUGAAAGUCCA1341-1363
    AD-65620.1580GACUUUCAUCCUGGAAAUAUA697UAUAUUUCCAGGAUGAAAGUCCA1341-1363
    AD-65584.1581CUUUCAUCCUGGAAAUAUA698UAUAUUUCCAGGAUGAAAGUC1341-1361
    AD-65590.1582CUUUCAUCCUGGAAAUAUA699UAUAUUUCCAGGAUGAAAGUC1341-1361
    AD-65596.1583GACUUUCAUCCUGGAAAUAUA700UAUAUUUCCAGGAUGAAAGUCCA1341-1363
    AD-65601.1584GACUUUCAUCCUGGAAAUAUA701UAUAUUUCCAGGAUGAAAGUCCA1341-1363
    AD-65606.1585GACUUUCAUCCUGGAAAUAUA702UAUAUUUCCAGGAUGAAAGUCCA1341-1363
    AD-65611.1586GACUUUCAUCCUGGAAAUAUA703UAUAUUUCCAGGAUGAAAGUCCA1341-1363
    AD-65616.1587GACUUUCAUCCUGGAAAUAUA704UAUAUUUCCAGGAUGAAAGUCCA1341-1363
    AD-65621.1588GACUUUCAUCCUGGAAAUAUA705UAUAUUUCCAGGAUGAAAGUCCA1341-1363
    AD-65585.1589GACUUUCAUCCUGGAAAUAUA706UAUAUUUCCAGGAUGAAAGUCCA1341-1363
    AD-65591.1590GACUUUCAUCCUGGAAAUAUA707UAUAUUUCCAGGAUGAAAGUCCA1341-1363
    AD-65597.1591GACUUUCAUCCUGGAAAUAUA708UAUAUUUCCAGGAUGAAAGUCCA1341-1363
    AD-65602.1592GACUUUCAUCCUGGAAAUAUA709UAUAUUUCCAGGAUGAAAGUCCA1341-1363
    AD-65607.1593GACUUUCAUCCUGGAAAUAUA710UAUAUUUCCAGGAUGAAAGUCCA1341-1363
    AD-65612.1594GACUUUCAUCCUGGAAAUAUA711UAUAUUUCCAGGAUGAAAGUCCA1341-1363
    AD-65622.1595GACUUUCAUCCUGGAAAUAUA712UAUAUUUCCAGGAUGAAAGUCCA1341-1363
    AD-65586.1596GACUTUCAUCCUGGAAAUAUA713UAUAUUUCCAGGAUGAAAGUCCA1341-1363
    AD-65592.1597GACUUTCAUCCUGGAAAUAUA714UAUAUUUCCAGGAUGAAAGUCCA1341-1363
    AD-65598.1598GACUUUCAUCCUGGAAAUAUA715UAUAUUUCCAGGAUGAAAGUCCA1341-1363
    AD-65603.1599GACUUUCAUCCUGGAAAUAUA716UAUAUUUCCAGGAUGAAAGUCCA1341-1363
    AD-65608.1600GACUUUCAUCCUGGAATUAUA717UAUAUUUCCAGGAUGAAAGUCCA1341-1363
    AD-65613.1601GACUUUCAUCCUGGAAUAUA718UAUAUUUCCAGGAUGAAAGUCCA1341-1363
    AD-65618.1602GACUUUCAUCCUGGAATUAUA719UAUAUUUCCAGGAUGAAAGUCCA1341-1363
    AD-65623.1603GACUUUCAUCCUGGAATUAUA720UAUAUUUCCAGGAUGAAAGUCCA1341-1363
    AD-65587.1604GACUUUCAUCCUGGAAAUAUA721UAUAUUUCCAGGAUGAAAGUCCA1341-1363
    AD-65593.1605GACUUTCAUCCUGGAAAUAUA722UAUAUUUCCAGGAUGAAAGUCCA1341-1363
    AD-65599.1606GACUUUCAUCCUGGAAAUAUA723UAUAUUUCCAGGATGAAAGUCCA1341-1363
    AD-65604.1607GACUUUCAUCCUGGAAAUAUA724UAUAUUUCCAGGATGAAAGUCCA1341-1363
    AD-65609.1608GACUUUCAUCCUGGAAAUAUA725UAUAUUUCCAGGATGAAAGUCCA1341-1363
    AD-65614.1609GACUUUCAUCCUGGAAAUAUA726UAUAUTUCCAGGATGAAAGUCCA1341-1363
    AD-65619.1610GACUUUCAUCCUGGAAAUAUA727UAUAUTUCCAGGATGAAAGUCCA1341-1363
    AD-65624.1611GACUUUCAUCCUGGAAAUAUA728UAUAUUUCCAGGATGAAAGUCCA1341-1363
    AD-65588.1612GACUUUCAUCCUGGAAAUAUA729UAUAUTUCCAGGATGAAAGUCCA1341-1363
    AD-65594.1613GACUUUCAUCCUGGAAAUAUA730UAUAUUUCCAGGATGAAAGUCCA1341-1363
    AD-68309.1614AGAAAGGUGUUCAAGAUGUCA731UGACAUCUUGAACACCUUUCUCC1001-1022_C21A
    AD-68303.1615CAUCCUGGAAAUAUAUUAACU732AGUUAAUAUAUUUCCAGGAUGAA1349-1370
    AD-65626.5616GAAUGUGAAAGUCAUCGACAA733UUGUCGAUGACUUUCACAUUCUG1072-1094
    AD-68295.1617AGUGCACAAUAUUUUCCCAUA734UAUGGGAAAAUAUUGUGCACUGU1139-1160_C21A
    AD-68273.1618GAAAGUCAUCGACAAGACAUU735AAUGUCUUGUCGAUGACUUUCAC1080-1100
    AD-68297.1619AAUGUGAAAGUCAUCGACAAA736UUUGUCGAUGACUUUCACAUUCU1075-1096_G21A
    AD-68287.1620CUGGAAAUAUAUUAACUGUUA737UAACAGUUAAUAUAUUUCCAGGA1353-1374
    AD-68300.1621AUUUUCCCAUCUGUAUUAUUU738AAAUAAUACAGAUGGGAAAAUAU1149-1170
    AD-68306.1622UGUCGUUCUUUUCCAACAAAA739UUUUGUUGGAAAAGAACGACACC1252-1273
    AD-68292.1623AUCCUGGAAAUAUAUUAACUA740UAGUUAAUAUAUDUCCAGGAUGA1350-1371_G21A
    AD-68298.1624GCAUUUUGAGAGGUGAUGAUA741UAUCAUCACCUCUCAAAAUGCCC734-755_G21A
    AD-68277.1625CAGGGGGAGAAAGGUGUUCAA742UUGAACACCUUUCUCCCCCUGGA994-1014
    AD-68289.1626GGAAAUAUAUUAACUGUUAAA743UUUAACAGUUAAUAUAUUUCCAG1355-1376
    AD-68272.1627CAUUGGUGAGGAAAAAUCCUU744AAGGAUUUUUCCUCACCAAUGUC1097-1117
    AD-68282.1628GGGAGAAAGGUGUUCAAGAUA745UAUCUUGAACACCUUUCUCCCCC998-1018_G21A
    AD-68285.1629GGCAUUUUGAGAGGUGAUGAU746AUCAUCACCUCUCAAAAUGCCCU733-754
    AD-68290.1630UACAAAGGGUGUCGUUCUUUU747AAAAGAACGACACCCUUUGUAUU1243-1264
    AD-68296.1631UGGGAUCUUGGUGUCGAAUCA748UGAUUCGACACCAAGAUCCCAUU783-804
    AD-68288.1632CUGACAGUGCACAAUAUUUUA749UAAAAUAUUGUGCACUGUCAGAU1134-1155_C21A
    AD-68299.1633CAGUGCACAAUAUUUUCCCAU750AUGGGAAAAUAUUGUGCACUGUC1138-1159
    AD-68275.1634ACUUUUCAAUGGGUGUCCUAA751UUAGGACACCCAUUGAAAAGUCA1302-1322_G21A
    AD-68274.1635ACAUUGGUGAGGAAAAAUCCU752AGGAUUUUUCCUCACCAAUGUCU1096-1116
    AD-68294.1636UUGCUUUUGACUUUUCAAUGA753UCAUUGAAAAGUCAAAAGCAAUG1293-1314_G21A
    AD-68302.1637CAUUUUGAGAGGUGAUGAUGA754UCAUCAUCACCUCUCAAAAUGCC735-756_C21A
    AD-68279.1638UUGACUUUUCAAUGGGUGUCA755UGACACCCAUUGAAAAGUCAAAA1299-1319_C21A
    AD-68304.1639CGACUUCUGUUUUAGGACAGA756UCUGUCCUAAAACAGAAGUCGAC212-233
    AD-68286.1640CUCUGAGUGGGUGCCAGAAUA757UAUUCUGGCACCCACUCAGAGCC1058-1079_G21A
    AD-68291.1641GGGUGCCAGAAUGUGAAAGUA758UACUUUCACAUUCUGGCACCCAC1066-1087_C21A
    AD-68283.1642UCAAUGGGUGUCCUAGGAACA759UGUUCCUAGGACACCCAUUGAAA1307-1327_C21A
    AD-68280.1643AAAGUCAUCGACAAGACAUUA760UAAUGUCUUGUCGAUGACUUUCA1081-1101_G21A
    AD-68293.1644AUUUUGAGAGGUGAUGAUGCA761UGCAUCAUCACCUCUCAAAAUGC736-757_C21A
    AD-68276.1645AUCGACAAGACAUUGGUGAGA762UCUCACCAAUGUCUUGUCGAUGA1087-1101_G21A
    AD-68308.1646GGUGCCAGAAUGUGAAAGUCA763UGACUUUCACAUUCUGGCACCCA1067-1088
    AD-68278.1647GACAGUGCACAAUAUUUUCCA764UGGAAAAUAUUGUGCACUGUCAG1136-1156_C21A
    AD-68307.1648ACAAAGAGACACUGUGCAGAA765UUCUGCACAGUGUCUCUUUGUCA1191-1212_G21A
    AD-68284.1649UUUUCAAUGGGUGUCCUAGGA766UCCUAGGACACCCAUUGAAAAGU1304-1324
    AD-68301.1650CCGUUUCCAAGAUCUGACAGU767ACUGUCAGAUCUUGGAAACGGCC1121-1142
    AD-68281.1651AGGGGGAGAAAGGUGUUCAAA768UUUGAACACCUUUCUCCCCCUGG995-1015_G21A
    AD-68305.1652AGUCAUCGACAAGACAUUGGU769ACCAAUGUCUUGUCGAUGACUUU1083-1104
  • Example 2.In vitro single dose screen in primary monkey hepatocytes.
  • The modified and conjugated HAO1 siRNA duplexes were evaluated for efficacy by transfection assays in primary monkey hepatocytes. HAO1 siRNAs were transfected at two doses, 10nM and 0.1nM. The results of these assays are shown in Table 3 and the data are expressed as a fraction of the message remaining in cells transfected with siRNAs targeting HAO1, relative to cells transfected with a negative control siRNA, AD-1955 ± the standard deviation (SD).
  • The results are also shown inFigure 3A. Figure 3B illustrates a dose response with one of the most active conjugates (#31) (AD-62933) from the primary two dose screen; the IC50 was ~19pM.Table 3a. HAO1 single dose screen in monkey hepatocytes.
    DUPLEX IDSpecies10nM PCH0.1nM PCHSD 10nM PCHSD 0.1nM PCH
    AD-62974Hs5.329.81.8711.11
    AD-62975Hs7.631.30.341.99
    AD-62976Hs4.735.50.3413.90
    AD-62977Hs29.266.98.3243.88
    AD-62978Hs3.88.90.154.29
    AD-62979Hs27.580.71.3519.58
    AD-62980Hs7.432.21.261.42
    AD-62981Hs18.749.93.4612.83
    AD-62982Hs2.28.50.107.71
    AD-62983Hs19.441.011.196.60
    AD-62984Hs6.713.31.052.60
    AD-62985Hs2.38.30.242.68
    AD-62986Hs39.057.23.8216.31
    AD-62987Hs11.517.814.6215.39
    AD-62989Hs10.634.22.232.68
    AD-62990Hs12.018.49.115.23
    AD-62991Hs7. 214.21.302.96
    AD-62992Hs3.916.01.151.80
    AD-62993Hs22.358.49.916.28
    AD-62994Hs3.210.81.211.69
    AD-62995Hs5.517.64.583.25
    AD-62996Hs3.420.72.163.73
    AD-62997Hs4.524.20.673.32
    AD-62998Hs4.314.70.490.29
    AD-62999Hs11.415.51.232.50
    AD-63000Hs45.590.613.4143.49
    AD-63001Hs13.331.00.202.13
    AD-63002Hs6.622.00.265.75
    AD-63003Hs36.85.147.090.60
    AD-63004Hs12.735.41.559.42
    AD-62933Hs/Mm5.813.40.710.13
    AD-62934Hs/Mm52.235.96.645.08
    AD-62935Hs/Mm7.722.71.534.97
    AD-62939Hs/Mm25.149.09.482.88
    AD-62940Hs/Mm11.950.44.1213.91
    AD-62941Hs/Mm9.630.37.283.11
    AD-62944Hs/Mm8.018.51.405.63
    AD-62945Hs/Mm22.936.517.1613.81
    AD-62946Hs/Mm19.329.515.291.74
    AD-62949Hs/Mm34.184.218.1118.42
    AD-62950Hs/Mm12.736.25.696.54
    AD-62954Hs/Mm46.053.237.5710.61
    AD-62955Hs/Mm24.636.00.9716.36
    AD-62959Hs/Mm32.337.412.4912.08
    AD-62960Hs/Mm18.137.52.123.12
    AD-62964Hs/Mm16.252.45.5922.40
    AD-62965Hs/Mm18.534.53.7722.38
    AD-62969Hs/Mm11.734.00.1712.55
    AD-62970Hs/Mm13.621.21.135.85
    AD-62936Mm91.355.616.030.27
    AD-62937Mm45.877.722.7747.01
    AD-62938Mm78.355.18.812.70
    AD-62942Mm18.821.77.348.00
    AD-62943Mm6.731.00.797.22
    AD-62947Mm27.982.014.012.01
    AD-62948Mm21.952.56.5621.01
    AD-62951Mm40.177.48.763.03
    AD-62952Mm33.769.917.761.71
    AD-62953Mm79.965.196.6122.79
    AD-62956Mm7.616.41.0112.39
    AD-62957Mm6.721.30.993.02
    AD-62958Mm38.954.421.6629.39
    AD-62961Mm35.366.00.3524.65
    AD-62962Mm70.763.721.1726.36
    AD-62963Mm35.166.535.499.42
    AD-62966Mm69.0100.317.073.44
    AD-62967Mm90.7116.722.0147.77
    AD-62968Mm46.372.228.3767.08
    AD-62971Mm17.946.31.2323.41
    AD-62972Mm75.6122.924.7518.00
    AD-62973Mm102.873.922.4914.39
    Table 3b. Additional HAO1 single dose screen in primary monkey hepatocytes.
    DUPLEX IDSpecies10nM PCH0.1nM PCHSD 10nM PCHSD 0.1nM PCH
    AD-62974.2Hs5.329.81.8711.11
    AD-62975.2Hs7.631.30.341.99
    AD-62976.2Hs4.735.50.3413.90
    AD-62977.2Hs29.266.98.3243.88
    AD-62978.2Hs3.88.90.154.29
    AD-62979.2Hs27.580.71.3519.58
    AD-62980.2Hs7.432.21.261.42
    AD-62981.2Hs18.749.93.4612.83
    AD-62982.2Hs2.28.50.107.71
    AD-62983.2Hs19.441.011.196.60
    AD-62984.2Hs6.713.31.052.60
    AD-62985.2Hs2.38.30.242.68
    AD-62986.2Hs39.057.23.8216.31
    AD-62987.2Hs11.517.814.6215.39
    AD-62989.2Hs10.634.22.232.68
    AD-62990.2Hs12.018.49.115.23
    AD-62991.2Hs7.214.21.302.96
    AD-62992.2Hs3.916.01.151.80
    AD-62993.2Hs22.358.49.916.28
    AD-62994.2Hs3.210.81.211.69
    AD-62995.2Hs5.517.64.583.25
    AD-62996.2Hs3.420.72.163.73
    AD-62997.2Hs4.524.20.673.32
    AD-62998.2Hs4.314.70.490.29
    AD-62999.2Hs11.415.51.232.50
    AD-63000.2Hs45.590.613.4143.49
    AD-63001.2Hs13.331.00.202.13
    AD-63002.2Hs6.622.00.265.75
    AD-63003.2Hs36.85.147.090.60
    AD-63004.2Hs12.735.41.559.42
    AD-62933.2Hs/Mm5.813.40.710.13
    AD-62934.2Hs/Mm52.235.96.645.08
    AD-62935.2Hs/Mm7.722.71.534.97
    AD-62939.2Hs/Mm25.149.09.482.88
    AD-62940.2Hs/Mm11.950.44.1213.91
    AD-62941.2Hs/Mm9.630.37.283.11
    AD-62944.2Hs/Mm8.018.51.405.63
    AD-62945.2Hs/Mm22.936.517.1613.81
    AD-62946.2Hs/Mm19.329.515.291.74
    AD-62949.2Hs/Mm34.184.218.1118.42
    AD-62950.2Hs/Mm12.736.25.696.54
    AD-62954.2Hs/Mm46.053.237.5710.61
    AD-62955.2Hs/Mm24.636.00.9716.36
    AD-62959.2Hs/Mm32.337.412.4912.08
    AD-62960.2Hs/Mm18.137.52.123.12
    AD-62964.2Hs/Mm16.252.45.5922.40
    AD-62965.2Hs/Mm18.534.53.7722.38
    AD-62969.2Hs/Mm11.734.00.1712.55
    AD-62970.2Hs/Mm13.621.21.135.85
    AD-62936.2Mm91.355.616.030.27
    AD-62937.2Mm45.877.722.7747.01
    AD-62938.2Mm78.355.18.812.70
    AD-62942.2Mm18.821.77.348.00
    AD-62943.2Mm6.731.00.797.22
    AD-62947.2Mm27.982.014.012.01
    AD-62948.2Mm21.952.56.5621.01
    AD-62951.2Mm40.177.48.763.03
    AD-62952.2Mm33.769.917.761.71
    AD-62953.2Mm79.965.196.6122.79
    AD-62956.2Mm7.616.41.0112.39
    AD-62957.2Mm6.721.30.993.02
    AD-62958.2Mm38.954.421.6629.39
    AD-62961.2Mm35.366.00.3524.65
    AD-62962.2Mm70.763.721.1726.36
    AD-62963.2Mm35.166.535.499.42
    AD-62966.2Mm69.0100.317.073.44
    AD-62967.2Mm90.7116.722.0147.77
    AD-62968.2Mm46.372.228.3767.08
    AD-62971.2Mm17.946.31.2323.41
    AD-62972.2Mm75.6122.924.7518.00
    AD-62973.2Mm102.873.922.4914.39
  • Example 3.In vitro Single Dose Screen in Primary Mouse Hepatocytes.
  • The modified and conjugated HAO1 siRNA duplexes were evaluated for efficacy by transfection assays in primary mouse hepatocytes. HAO1 siRNAs were transfected at two doses, 20 nM and 0.2 nM. The results of these assays are shown in Table 4 and the data are expressed as a fraction of the message remaining in cells transfected with siRNAs targeting BAO1, relative to cells transfected with a negative control siRNA, AD-1955 ± the standard deviation (SD).Table 4a. HAO1 Single Dose Screen in Primary Mouse Hepatocytes.
    DUPLEX IDSpecies20nM PMH0.2nM PMHSD 20nM PMHSD 0.2nM PMH
    AD-62974Hs1.511.50.38.5
    AD-62975Hs6.224.51.919.4
    AD-62976Hs8.360.03.97.9
    AD-62977Hs69.1106.944.818.3
    AD-62978Hs30.046.326.027.3
    AD-62979Hs50.759.545.643.4
    AD-62980Hs65.489.568.929.3
    AD-62981Hs65.883.331.923.7
    AD-62982Hs86.667.092.165.5
    AD-62983Hs81.5103.661.368.0
    AD-62984Hs13.551.81.237.7
    AD-62985Hs53.837.738.126.3
    AD-62986Hs138.5153.4140.7119.6
    AD-62987Hs39.099.644.9110.7
    AD-62989Hs17.12.223.11.6
    AD-62990Hs4.346.34.646.4
    AD-62991Hs125.2102.6111.992.9
    AD-62992Hs64.765.667.855.8
    AD-62993Hs83.879.063.022.2
    AD-62994Hs1.95.41.50.2
    AD-62995Hs2.917.41.813.8
    AD-62996Hs49.361.443.649.9
    AD-62997Hs60.283.419.145.7
    AD-62998Hs73.586.771.569.4
    AD-62999Hs38.750.029.522.7
    AD-63000Hs27.356.626.141.4
    AD-63001Hs56.683.852.913.5
    AD-63002Hs81.674.267.470.5
    AD-63003Hs46.447.742.421.4
    AD-63004Hs28.664.517.044.5
    AD-62933Hs/Mm1.14.60.54.0
    AD-62934Hs/Mm7.643.40.632.6
    AD-62935Hs/Mm1.37.00.33.4
    AD-62939Hs/Mm6.121.42.214.5
    AD-62940Hs/Mm6.016.91.43.8
    AD-62941Hs/Mm5.68.53.96.3
    AD-62944Hs/Mm3.34.32.94.5
    AD-62945Hs/Mm6.47.01.07.2
    AD-62946Hs/Mm18.321.419.221.1
    AD-62949Hs/Mm11.443.78.938.3
    AD-62950Hs/Mm9.921.94.720.8
    AD-62954Hs/Mm9.465.50.264.3
    AD-62955Hs/Mm5.821.85.55.8
    AD-62959Hs/Mm4.29.61.85.3
    AD-62960Hs/Mm5.410.13.82.5
    AD-62964Hs/Mm3.721.20.912.7
    AD-62965Hs/Mm8.020.85.323.5
    AD-62969Hs/Mm6.44.73.85.1
    AD-62970Hs/Mm19.65.214.66.1
    AD-62936Mm7.017.50.19.9
    AD-62937M m4.016.90.810.2
    AD-62938Mm4.049.10.742.4
    AD-62942Mm3.44.91.25.3
    AD-62943Mm3.814.92.210.6
    AD-62947Mm10.96.49.61.6
    AD-62948Mm6.718.76.915.8
    AD-62951Mm8.111.88.614.5
    AD-62952Mm9.423.210.129.2
    AD-62953Mm11.310.313.712.1
    AD-62956Mm2.23.91.81.6
    AD-62957Mm3.222.53.120.0
    AD-62958Mm7.516.05.813.2
    AD-62961Mm4.36.92.85.6
    AD-62962Mm17.142.414.249.5
    AD-62963Mm2.310.80.68.3
    AD-62966Mm5.711.65.85.6
    AD-62967Mm3.821.72.023.0
    AD-62968Mm3.59.40.39.0
    AD-62971Mm4.63.15.02.7
    AD-62972Mm13.822.717.024.9
    AD-62973Mm19.351.919.721.9
    Table 4b. Additional HAO1 Single Dose Screen in Primary Mouse Hepatocytes.
    DUPLEX IDSpeciessenseOligoName20nM PMH0.2nM PMHSD 20nM PMHSD 0.2nM PMH
    AD-62974.2HsA-126176.11.511.50.38.5
    AD-62975.2HsA-126192.16.224.51.919.4
    AD-62976.2HsA-126208.18.360.03.97.9
    AD-62977.2HsA-126224.169.1106.944.818.3
    AD-62978.2HsA-126178.130.046.326.027.3
    AD-62979.2HsA-126194.150.759.545.643.4
    AD-62980.3HsA-126210.165.489.568.929.3
    AD-62981.2HsA-126226.165.883.331.923.7
    AD-62982.2HsA-126180.186.667.092.165.5
    AD-62983.2HsA-126196.181.5103.661.368.0
    AD-62984.2HsA-126212.113.551.81.237.7
    AD-62985.2HsA-126228.153.837.738.126.3
    AD-62986.2HsA-126182.1138.5153.4140.7119.6
    AD-62987.2HsA-126198.139.099.644.9110.7
    AD-62989.2HsA-126230.117.12.223.11.6
    AD-62990.2HsA-126184.14.346.34.646.4
    AD-62991.2HsA-126200.1125.2102.6111.992.9
    AD-62992.2HsA-126216.164.765.667.855.8
    AD-62993.2HsA-126232.183.879.063.022.2
    AD-62994.3HsA-126186.11.95.41.50.2
    AD-62995.2HsA-126202.12.917.41.813.8
    AD-62996.2HsA-126218.149.361.443.649.9
    AD-62997.2HsA-126234.160.283.419.145.7
    AD-62998.2HsA-126188.173.586.771.569.4
    AD-62999.3HsA-126204.138.750.029.522.7
    AD-63000.2HsA-126220.127.356.626.141.4
    AD-63001.2HsA-126236.156.683.852.913.5
    AD-63002.2HsA-126190.181.674.267.470.5
    AD-63003.2HsA-126206.146.447.742.421.4
    AD-63004.2HsA-126222.128.664.517.044.5
    AD-62933.2Hs/MmA-126094.11.14.60.54.0
    AD-62934.2Hs/MmA-126110.17.643.40.632.6
    AD-62935.3Hs/MmA-126126.11.37.00.33.4
    AD-62939.2Hs/MmA-126096.16.121.42.214.5
    AD-62940.2Hs/MmA-126112.16.016.91.43.8
    AD-62941.2Hs/MmA-126128.15.68.53.96.3
    AD-62944.2Hs/MmA-126098.13.34.32.94.5
    AD-62945.2Hs/MmA-126114.16.47.01.07.2
    AD-62946.2Hs/MmA-126130.118.321.419.221.1
    AD-62949.2Hs/MmA-126100.111.443.78.938.3
    AD-62950.2Hs/MmA-126116.19.921.94.720.8
    AD-62954.2Hs/MmA-126102.19.465.50.264.3
    AD-62955.2Hs/MmA-126118.15.821.85.55.8
    AD-62959.2Hs/MmA-126104.14.29.61.85.3
    AD-62960.2Hs/MmA-126120.15.410.13.82.5
    AD-62954.2Hs/MmA-126106.13.721.20.912.7
    AD-62965.2Hs/MmA-126122.18.020.85.323.5
    AD-62969.2Hs/MmA-126108.16.44.73.85.1
    AD-62970.3Hs/MmA-12.6124.119.65.214.66.1
    AD-62936.2MmA-126142.17.017.50.19.9
    AD-62937.2MmA-126158.14.016.90.810.2
    AD-62938.2MmA-126174.14.049.10.742.4
    AD-62.942.2MmA-126144.13.44.91.25.3
    AD-62943.2MmA-126160.13.814.92.210.6
    AD-62947.2MmA-126146.110.96.49.61.6
    AD-62948.2MmA-126162.16.718.76.915.8
    AD-62951.2MmA-126132.18.111.88.614.5
    AD-62.952.2MmA-126148.19.423.210.129.2
    AD-62953.2MmA-126164.111.310.313.712.1
    AD-62956.2MmA-126134.12.23.91.81.6
    AD-62957.2MmA-126150.13.222.53.120.0
    AD-62958.2MmA-126166.17.516.05.813.2
    AD-62961.2MmA-126136.14.36.92.85.6
    AD-62962.2MmA-126152.117.142.414.249.5
    AD-62963.2MmA-126168.12. 310.80.68.3
    AD-62966.2MmA-126138.15.711.65.85.6
    AD-62967.2MmA-126154.13.821.72.023.0
    AD-62968.2MmA-126170.13.59.40.39.0
    AD-62971.2MmA-126140.14.63.15.02.7
    AD-62972.2MmA-126156.113.822.717.024.9
    AD-62.973.2MmA-126172.119.351.919.721.9
  • Example 4. Dose Response Screen in Primary Monkey Hepatocytes.
  • The IC50s of modified and conjugated HAO1 siRNA duplexes were determined in primary monkey hepatocytes. HAO1 siRNAs were transfected over a range of doses from 10nM to 36fM final duplex concentration over 8, 6-fold dilutions. The results of these assays are shown in Table 5.Table 5a. HAO1 Dose Response Screen in Primary Mouse Hepatocytes.
    DUPLEX IDSpeciesIC50 PCH (nM)
    AD-62984Hs0.017
    AD-62994Hs0.029
    AD-62989Hs0.175
    AD-62974Hs0.288
    AD-62975Hs0.399
    AD-62933Hs/Mm0.019
    AD-62944Hs/Mm0.027
    AD-62935Hs/Mm0.137
    AD-62965Hs/Mm0.155
    AD-62941Hs/Mm0.245
    AD-62940Hs/Mm0.927
    Table 5b. Additional HAO1 Dose Response Screen in Primary Mouse Hepatocytes.
    DUPLEX IDSpeciesIC50 PCH (nM)
    AD-62984.2Hs0.017
    AD-62994.2Hs0.029
    AD-62989.2Hs0.175
    AD-62974.2Hs0.288
    AD-62975.2Hs0.399
    AD-62933.2Hs/Mm0.019
    AD-62944.2Hs/Mm0.027
    AD-62935.2Hs/Mm0.137
    AD-62965.2Hs/Mm0.155
    AD-62941.2Hs/Mm0.245
    AD-62940.2Hs/Mm0.927
  • Example 5. Dose Response Screen in Primary Mouse Hepatocytes.
  • The IC50s of modified and conjugated HAO1 siRNA duplexes were determined in primary mouse hepatocytes. HAO1 siRNAs were transfected over a range of doses from 10nM to 36fM final duplex concentration over 8, 6-fold dilutions. The results of these assays are shown in Table 6.Table 6a. HAO1 Dose Response Screen in Primary Mouse Hepatocytes.
    DUPLEX IDSpeciesIC50 PMH (nM)
    AD-62989Hs0.003
    AD-62994Hs0.006
    AD-62975Hs0.059
    AD-62974Hs0.122
    AD-62984Hs0.264
    AD-62944Hs/Mm0.002
    AD-62935Hs/Mm0.007
    AD-62965Hs/Mm0.008
    AD-62933Hs/Mm0.008
    AD-62941Hs/Mm0.087
    AD-62940Hs/Mm0.090
    Table 6b. Additional HAO1 Dose Response Screen in Primary Mouse Hepatocytes.
    DUPLEX IDSpeciesIC50 PMH (nM)
    AD-62989.2Hs0.003
    AD-62994.2Hs0.006
    AD-62975.2Hs0.059
    AD-62974.2Hs0.122
    AD-62984.2Hs0.264
    AD-62944.2Hs/Mm0.002
    AD-62935.2Hs/Mm0.007
    AD-62965.2Hs/Mm0.008
    AD-62933.2Hs/Mm0.008
    AD-62941.2Hs/Mm0.087
    AD-62940.2Hs/Mm0.090
    Table 7. Additional HAO1 Single Dose Screen in Primary Cyno and Mouse Hepatocytes
    Duplex ID10nM PCH0.1nM PCHSD 10nM PCHSD 0.1nM PCH10nM PMH0.1nM PMH' SD 10nM PMHSD 0.1nM PMH
    AD-62933.126.122.817.06.09.026.36.07.6
    AD-65584.112.928.05.16.03.812.30.77.3
    AD-65585.19.821.04.11.06.811.64.55.7
    AD-65586.124.324.210.92.716.719.05.11.8
    AD-65587.124.731.710.221.913.627.15.710.3
    AD-65588.139.233.035.65.627.133.511.08.3
    AD-65590.15.615.40.46.64.28.71.10.5
    AD-65591.113.920.45.04.97.618.40.12.9
    AD-65592.115.624.37.43.710.124.53.11.0
    AD-65593.130.837.54.48.738.441.35.210.4
    AD-65594.118.021.85.62.624.725.30.57.6
    AD-65595.119.931.90.111.39.112.25.05.7
    AD-65596.112.319.20.61.610019.91.01.9
    AD-65597.110.234.82.810.122.832.06.25.7
    AD-65598.114.421.23.28.610.822.023.18.8
    AD-65599.115.028.32.521.318.025.41.78.3
    AD-65600.111.813.75.60.36.414.55.76.8
    AD-65601.115.420.50.51.65.517.20.33.9
    AD-65602.112.923.30.812.011.025.42.62.6
    AD-65603.133.841.02.26.837.458.63.010.5
    AD-65604.110.418.71.32.312.924.50.99.2
    AD-65606.114.312.30.23.14.814.02.04.2
    AD-65607.19.218.52.13.614.432.81.91.6
    AD-65608.136.631.17.911.627.529.88.54.6
    AD-65609.114.219.85.10.814.623.65.31.5
    AD-65610.159.159.615.013.335.070.910.00.1
    AD-65611.112.914.25.41.84.517.30.62.2
    AD-65612.119.320.51.59.016.223.33.81.7
    AD-65613.120.019.35.70.711.023.91.05.4
    AD-65614.112.427.12.20.514.216.73.811.9
    AD-65615.153.160.31.47.748.280.99.939.4
    AD-65616.121.712.517.85.55.313.30.57.2
    AD-65618.119.467.63.435.916.721.64.24.8
    AD-65619.117.027.20.512.412.526.33.22.3
    AD-65620.158.070.521.82.837.954.80.412.7
    AD-65621.11 2.317.54.62.33.811.31.30.3
    AD-65622.117.720.46.10.910.813.96.33.1
    AD-65623.144.432.97.9NA37.720.628.50.9
    AD-65624.113.023. 35.09.89.27.92.80.4
    AD-65625.19.813.30.61.510.019.24.61.6
    AD-65626.17.715.01.14.98.614.73.62.4
    AD-65627.118.824.87.81.819.718.58.112.0
    AD-65628.127.331.74.93.929.743.46.419.6
    AD-65629.112.820.81.08.118.923.23.213.9
    AD-65630.17.214.00.35.36.18.51.32.1
    AD-65631.16.717.20.75.712.023.14.00.9
    AD-65633.113.828.63.45.417.026.21.23.9
    AD-65634.112.223.66.61.221.635.21.48.2
    AD-65635.111.727.75.74.718.538.42.56.5
    AD-65636.113.129.40.612.921.335.63.113.1
    AD-65637.116.022.85.19.68.318.50.60.4
    AD-65638.111.515.94.32.120.831.83.53.2
    AD-65639.114.628.37.45.518.635.20.20.3
    AD-65641.132.349.33.48.929.134.04.88.8
    AD-65642.110.423.00.14.710.121.31.06.5
    AD-65643.112.613.70.32.55.320.61.86.8
    AD-65644.18.113.50.10.316.424.13.44.2
    AD-65645.169.588.76.326.681.875.513.65.8
    AD-65646.18.947.00.915.626.537.73.74.7
    AD-65647.111.014.02.90.316.623.72.60.7
    AD-65648.17.325.43.32.95.913.92.10.9
    AD-65649.111.623.01.93.420.729.82.13.6
    AD-65650.127.940.613.114.027.630.69.76.8
    AD-65652.173.472.25.21.847.659.77.521.4
    AD-65653.19.632.42.74.75.924.30.06.7
    AD-65654.141.645.510.411.722.835.72.93.1
    AD-65655.119.218.30.14.817.818.83.83.9
    AD-65656.110.816.14.73.16.213.81.61.8
    AD-65657.1107.8114.58.76.736.351.21.614.1
    AD-65658.19.613.50.71.34.811.70.23.3
    AD-65659.117.539.81.11.413.024.63.53.3
    AD-65660.121.533.15.41.614.629.00.54.1
    AD-65661.113.940.12.212.813.227.36.87.1
    AD-65662.1111.2242.229.9179.642. 547.94.61.6
    AD-65663.111.528.23.8NA5.57.61.40.1
    AD-65665.1104.8141.713.026.939.444.213.15.3
    AD-65666.114.428.16.91.83.812.70.34.8
    Table 8. Additional Single Dose Screen in Primary Cyno Hepatocytes.
    Duplex10nM PCH10nM PCH SD0.1nM PCH0.1nM {CH SD
    AD-65626.57.10.723.53.7
    AD-68272.110.11.939.510.3
    AD-68273.16.82.229.710.1
    AD-68274.115.74.749.412.1
    AD-68275.115.52.747.410.4
    AD-68276.122.38.183.021.7
    AD-68277.114.21.125.27.9
    AD-68278.118.63.297.525.4
    AD-68279.114.73.862.519.6
    AD-68280.124.92.654.78.1
    AD-68281.138.318.670.78.8
    AD-68282.111.33.135.93.6
    AD-68283.114.43.679.926.5
    AD-68284.125.14.782.38.2
    AD-68285.110.41.339.310.3
    AD-68286.114.74.571.918.3
    AD-68287.18.02.328.43.5
    AD-68288.114.83.531.76.3
    AD-68289.111.82.530.83.5
    AD-68290.111.54.940.38.4
    AD-68291.115.86.369.96.6
    AD-68292.19.83.037.320.7
    AD-68293.120.26.185.220.8
    AD-68294.112.95.068.721.6
    AD-68295.17.51.422.63.9
    AD-68296.18.51.151.37.0
    AD-68297.18.22.427.44.0
    AD-68298.110.12.835.610.4
    AD-68299.111.82.447.716.2
    AD-68300.17.21.733.84.6
    AD-68301.134.214.378.325.8
    AD-68302.115.65.857.110.0
    AD-68303.17.02.023.94.5
    AD-68304.114.82.464.212.1
    AD-68305.125.33.8106.523.8
    AD-68306.112.42.019.81.8
    AD-68307.122.28.993.122.6
    AD-68308.122.24.079.67.8
    AD-68309.18.02.719.93.7
  • Example 6. In vivo evaluation of GO-GaINac conjugates in C57B6 mice
  • GO-GaINAc conjugates were dosed subcutaneously in C57B6 mice at 10, 5, 2.5, or 1.25 mg/kg and mRNA knockdown in liver was evaluated after 72 hours post dose using qPCR. The single dose ED50s were approximately 1.25 and 2.5 mg/kg for compound A (AD-62994) and compound B (AD-62933) respectively. In repeat dose studies conjugates were dosed subcutaneously weekly (QW) for 4 weeks and liver GO mRNA levels were evaluated at 72 hours post the 4th dose. The repeat dose ED50s were ~0.3mg/kg for both compounds. The results are shown inFigure 4.
  • Example 7. In vivo evaluation of GO knockdown and impact on oxalate levels in AGXT KO mice.
  • A GO siRNA (AD-40257) in a lipid nanoparticle (LNP) was dosed intravenously in AGXT KO mice (Salido et al (2006) PNAS 103:18249) at 1 mg/kg. Urinary oxalate or glycolate levels were measured on day 15 using ion chromatography/mass spectroscopy. The results are shown inFigure 5. Data is expressed relative to pre dose values and was normalized to creatinine (Cr) to control for urine diluteness. N=4 mice per group and error bars represent standard deviation.
  • Example 8. In vivo evaluation of GO-GaINae conjugates in a rat AGXT knockdown model.
  • To generate a rat PHI model, an AGXT siRNA (AD-63102) in an LNP (AF-011-63102) was dosed at 1 mg/kg intravenously to female Sprague Dawley rats onday 1 andday 7 to maintain knockdown of AGXT in rat liver and 1% Ethylene Glycol was added to the drinking water to further stimulate oxalate production. Onday 0 andday 7 some rats were also dosed with a GO GaINAc-siRNA (AD-62994) conjugate or PBS control. The results are shown inFigure 6.Figure 6A shows quantitation of liverAGXT mRNA levels 72 hours after a single 1mg/kg dose of AGXT siRNA in an LNP. InFigure 6B, levels of urinary oxalate were quantified from 24 hour urines collected from day -1 to 0,day 3 to 4,day 5 to 6, andday 7 to 8. Data was normalized to creatinine to control for the diluteness of the urine. N=3 for AGXT groups and N=2 for PBS control group. InFigure 6C, these same rats (as infigure 6B) were followed out to 49 days with continued weekly dosing ondays 14 and 21 of both AF-011-63102 and AD-62994 and 24 hour urine collections as shown. Ethylene glycol remained in the drinking water untilday 28. InFigure 6D, duration of HAO1 knockdown in rats is shown by measuring mRNA levels either one week or four weeks after the last of 4 doses (corresponding todays 28 and 49 inFigure 6C) and expressed relative to levels seen in rats treated with PBS. Error bars represent standard deviation throughout.
    dupiexNametargetsenseWksName
    AD-40257.1HAO1NM_017545.2_1306-1324_s
    AD-40257.2HAO1NM _017545.2_1306-1324_s
    AD-63102.1AGXTNM_016702.3_1109-1127_s
    AD-63102.2AGXTNM_016702.3_1109-1127_s
    AD-63102.3AGXTNM _016702.3_1109-1127_s
    duplexNameModified sense strand sequenceUnmodified sense strand sequenceSEQ ID NO:
    AD-40257.1uucAAuGGGuGuccuAGGAdTsdTUUCAAUGGGUGUCCUAGGA770& 771
    AD-40257.2uucAAuGGGuGuccuAGGAdTsdTUUCAAUGGGUGUCCUAGGA770& 771
    AD-63102.1AcAAcuGGAGGGAcAucGudTsdTACAACUGGAGGGACAUCGU772& 773
    AD-63102.2AcAAcuGGAGGGAcAucGudTsdTACAACUGGAGGGACAUCGU772& 773
    AD-63102.3AcAAcuGGAGGGAcAucGudTsdTACAACUGGAGGGACAUCGU772& 773
    duplexNameModified antisense strand sequenceUnmodified antisense strand sequenceSEQ ID NO:
    AD-40257.1UCCuAGGAcACCcAUUGAAdTsdTUCCUAGGACACCCAUUGAA774& 775
    AD-40257.2UCCuAGGAcACCcAUUGAAdTsdTUCCUAGGACACCCAUUGAA774& 775
    AD-63102.1ACGAUGUCCCUCcAGUUGUdTsdTACGAUGUCCCUCCAGUUGU776& 777
    AD-63102.2ACGAUGUCCCUCcAGUUGUdTsdTACGAUGUCCCUCCAGUUGU776 & 777
    AD-63102.3ACGAUGUCCCUCcAGUUGUdTsdTACGAUGUCCCUCCAGUUGU776& 777
  • Example 9: In vivo evaluation of GO-GaINac conjugates
  • Female C57BL/6 Mice, aged 6-8 weeks, were administered a single subcutaneous dose of the GO siRNA-GalNac conjugates in Table 7. The mice were sacrifices after 72 hours and the liver was assayed for HAO mRNA by bDNA analysis. The results are shown inFigure 13.Table 7: GO (HAO) siRNA-GalNac conjugates.
    duplexNameModified sense strand sequenceSEQ ID NO:
    AD-62989.2UfscsCfuAfgGfaAfCfCfuUfuUfaGfaAfaUfL96778
    AD-62994.2GfsasCfuUfuCfaUfCfCfuGfgAfaAfuAfuAfL96779
    AD-62933.2GfsasAfuGfuGfaAfAfGfuCfaUfcGfaCfaAfL96780
    AD-62935.2CfsasUfuGfgUfgAfGfGfaAfaAfaUfcCfuUfL96781
    AD-62940.2AfsusCfgAfcAfaGfAfCfaUfuGfgUfgAfgAfL96782
    AD-62941.2AfscsAfuUfgGfuGfAfGfgAfaAfaAfuCfcUfL96783
    AD-62944.2GfsasAfaGfuCfaUfCfGfaCfaAfgAfcAfuUfL96784
    AD-62965.2AfsasArgUfcAfuCfGfAfcAfaGfaCfaUfuAfL96785
    duplexNameModified antisense strandSEQ ID NO:
    AD-62989.2asUfsuUfcUfaAfaAfgguUfcCfuAfgGfascsa786
    AD-62994.2usAfsuAfuUfuCfcAfggaUfgAfaAfgUfcscsa787
    AD-62933.2usUfsgUfcGfaUfgAfcuuUfcAfcAfuUfcsusg788
    AD-62935.2asAfsgGfaUfuUfuUfccuCfaCfcAfaUfgsusc789
    AD-62940.2usCfsuCfaCfcAfaUfgucUfuGfuCfgAfusgsa790
    AD-62941.2asGfsgAfuUfuUfuCfcucAfcCfaAfuGfuscsu791
    AD-62944.2asAfsuGfuCfuUfgUfcgaUfgAfcUfuUfcsasc792
    AD-62965.2usAfsaUfgUfcUfuGfucgAfuGfaCfuUfuscsa793
    duplexNameCrossreactivityGuinea Pig?MM to mouseMM to GP
    AD-62989.2Hsyespos8
    AD-62994.2Hsnopos16pos2, 12, 16
    AD-62933.2Hs/Mmyes
    AD-62935.2Hs/Mmyes
    AD-62940.2Hs/Mmyes
    AD-62941.2Hs/Mmyes
    AD-62944.2Hs/Mmyes
    AD-62965.2Hs/Mmyes
  • Example 10: In vivo evaluation of GO-GalNAc conjugates in mice
  • Female C57 BL/6 mice were administered a single subcutaneous 3 mg/Kg dose of the a number of GO siRNA-GalNAc conjugates described herein or PBS control. Mice were sacrificed after 72 hours and HAO1 mRNA knockdown in liver was evaluated using qPCR. The results are shown inFigure 14, expressed relative to the PBS control.
  • Example 11: Dose-response evaluation of GO-GalNAc conjugates in mice
  • Female C57 BL/6 mice were administered a single subcutaneous dose of either 1 or 3 mg/Kg of one of the GO siRNA-GalNAc conjugates compound A (AD-62994), compound B (AD-62933), compound C (AD-65644), compound D (AD-65626), compound E (AD-65590), compound F (AD-65585) or PBS control. Ten days later mice were sacrificed and HAO1 mRNA knockdown in liver was evaluated using qPCR. In repeat dose studies, compounds C, D, F or PBS control were dosed subcutaneously weekly (QW) for 4 weeks and liver HAO1 mRNA levels were evaluated 10 days after the last dose. The results of single-dose are shown inFigure 15 and repeat-dose experiments are shown inFigure 16, expressed relative to the PBS control. These data showed improved potency for compounds AD-65644 and AD-65626 relative to AD-62933 and for compounds AD-65590 and AD-65585 relative to AD-62994.
  • Example 12: Dose-response evaluation of compound D in mice
  • Female C57 BL/6 mice were administered a single subcutaneous dose of 0.1, 0.3, 1, 3, or 10 mg/Kg of AD-65626 or PBS control. Ten days later mice were sacrificed and HAO1 mRNA knockdown in liver was evaluated using qPCR with results expressed relative to the PBS control as shown inFigure 17. These results demonstrate a greater than 3-fold improvement in potency compared to compound AD-62933.
  • Example 13: Relationship of MRNA knockdown to serum glycolate levels in mice
  • Female C57 BL/6 mice were administered a single subcutaneous dose of 0.1, 0.3, 1, 3, or 10 mg/Kg of AD-65585 or PBS control. Ten days later mice were sacrificed and HAO1 mRNA knockdown in liver was evaluated using qPCR, with results expressed relative to the PBS control. Glycolate levels in serum samples from these same mice were quantified using ion chromatography coupled to mass spectrometry as previously described (Knight et al., Anal. Biochem. 2012 February 1; 421(1): 121-124). The results for these experiments are shown inFigure 18.
  • These results demonstrate that AD-65585 is as potent as AD-65626, both having a single-dose ED50 of ~0.3 mg/kg in WT mice. Additionally, HAO1 mRNA silencing results in dose-responsive serum glycolate increases of up to 4-fold (approximately 200uM) at the highest two doses.
  • Example 14: Relationship of mRNA knockdown to serum glycolate levels in rats
  • Male Sprague Dawley rats were administered a single subcutaneous dose of 1, 3, or 10 mg/Kg of AD-65626 or PBS control. Fourteen days later rats were sacrificed and HAO1 mRNA knockdown in liver was evaluated using qPCR, with results expressed relative to the PBS control. Glycolate levels in serum samples from these same rats collected both prior to dosing and atday 14 were quantified using ion chromatography coupled to mass spectrometry, again as described (Knight et al., Anal. Biochem. 2012 February 1; 421(1): 121-124). The results for these experiments are shown inFigure 19.
  • As observed in wild-type mice, these results demonstrate that HAO1 mRNA silencing in Sprague Dawley rats results in dose-responsive serum glycolate increases of up to 12-fold (approximately 140 µM) at the highest dose.
  • Example 15: Pharmacology studies with ALN-65585 HAO1 inhibition in hepatocytes.
  • Primary cyno hepatocytes were transfected with RNAimax (Invitrogen) with serially diluted AD-65585 (ALN-65585, "ALN-GO1") or a non-targeting mRNA Luciferase control (AD1955) at 10 nM. Relative levels of HAO1 mRNA were determined by normalizing to GAPDH mRNA levels as quantified by real-time RT-PCR. The data was plotted to calculate the IC50 value of 10 pM. The results are shownFigure 20.
  • In vitro transfection of AD-65585 demonstrates an ED50 of approximately 10pM in primary cynomolgus hepatocytes.
  • Single Dose Pharmacology in Mouse
  • ALN-GO1 pharmacology was evaluated in mice by quantifying liver HAO1 mRNA and serum glycolate levels (Figure 21). A single SC dose of ALN-GO1 resulted in a dose dependent suppression of HAO1 mRNA with a dose of 10 mg/kg resulting in ED90 silencing. The ED50 dose for GO1 silencing in the mouse was estimated to be 0.3 mg/kg. Serum glycolate levels increased in a dose-responsive manner with a maximum level approximately 4-fold above baseline levels. The results are shown inFigure 21, illustrating levels of liver HAO1 mRNA andserum glycolate 10 days after a single subcutaneous dose of ALN-65585 in C57BL/6 mice. Bars represent the mean of 3 or 4 animals and error bars depict the standard deviation.
  • Single Dose Duration in Mouse
  • GO1 silencing was durable and reversible post a single SC dose (Figure 22). A single SC dose of ALN-GO1 in mice at 3mg/kg resulted in ≥70% mRNA silencing for approximately 6 weeks, after which mRNA levels recovered to baseline levels through 12 weeks post-dose. The results are shown infigure 22: Levels of liver HAO1 mRNA at multiple time points following a single subcutaneous dose of ALN-65585 in C57BL/6 mice. Each data point represents the mean of 3 animals and error bars depict the standard deviation.
  • Single Dose Pharmacology in Rat
  • ALN-GO1 pharmacology was also evaluated in rats by quantifying liver HAO1 mRNA levels (Figure 23). A single SC administration of ALN-GO1 to male Sprague Dawley rats resulted in a dose dependent suppression of HAO1 mRNA with a dose of ≥3mg/kg resulting in ED90 silencing. The results are shown infigure 23: Levels ofliver HAO1 mRNA 10 days after a single subcutaneous dose of ALN-65585 in Sprague Dawley rats. Bars represent the mean of 3 animals and error bars depict the standard deviation. The ED50 dose for GO1 silencing in the rat was estimated to be 0.3 mg/kg.
  • Single Dose Pharmacology in AGXT KO Mouse
  • The impact of ALN-GO1 on oxalate levels was evaluated in an AGXT KO mouse model of PH1. The results are shown inFigure 24: 24hr urinary oxalate (top) and glycolate (bottom) excretion of Agxt KO mice after a single subcutaneous dose of ALN-65585. Different letters means significant difference between the 3 dose groups at each specific week (n=3 per dose). Urinary excretions over time did not change significantly in the PBS control animal (n=1).
  • Urinary oxalate levels showed dose-dependent reductions after a single dose of ALN-GO1 with a maximum of approximately 50% oxalate lowering at the 3mg/kg dose that lasted for ≥3 weeks before recovery to pre-dose levels. Urinary glycolate levels showed dose-dependent increases after a single dose of ALN-GO1 with a maximum of approximately 5-fold increases at the 3mg/kg dose that lasted for ≥4 weeks.
  • Single Dose Pharmacology in PH1 Induced Rat Model
  • ALN-GO1 was evaluated in a second PH1 rodent model where liver AGXT was inhibited in rats using siRNA and oxalate levels were stimulated with ethylene glycol (Figure 25A andFigure 25B). Liver HAO1 mRNA and 24-hour urinary oxalate were quantified to determine the degree of HAO1 lowering required for maximal oxalate reduction. The results are shown inFigure 25A andFigure 25B: Levels of liver HAO1 mRNA a rat induced model ofPH1 14 days after a single subcutaneous dose of ALN-65585 and weekly dosing of AF-011-AGXT siRNA (2 doses, of 1mg/kg). 24hr urinary oxalate normalized to urinary creatinine. Bars represent the mean of 3 animals and error bars depict the standard deviation. mRNA and oxalate lowering correlation plot represents individual animals from multiple experiments.
  • A single dose of ALN-GO1 in this model demonstrated dose-responsive mRNA and urinary oxalate lowering with approximately 85% maximum mRNA reduction and approximately 90% maximum urinary oxalate reduction observed at the highest dose of ALN-GO1 (Figure 25A andFigure 25B). In this induced rat model of PHI, mRNA and urinary oxalate reductions resulted in a 1:1 correlation.
  • Multi-Dose Pharmacology in PH1 Induced Rat Model
  • Potency of ALN-GO1 was evaluated in studies in normal rats with inhibited AGXT activity and ethylene glycol (an induced model of PH1) by quantifying liver HAO1 mRNA and 24-hour urinary oxalate. The results are shown inFigure 26: Levels of liver HAO1 mRNA a rat induced model ofPH1 28 days after repeat subcutaneous dosing of ALN-65585 and repeat IV dosing of AF-011-AGXT siRNA (4 doses, of 1mg/kg). 24hr urinary oxalate normalized to urinary creatinine. Bars represent the mean of 2 or 3 animals and error bars depict the standard deviation.
  • Treatment with ALN-GO1 resulted in sustained urinary oxalate reductions in all treatment groups for approximately 3 weeks. Onday 28 after repeat dosing of ALN-GO1 (and four doses of AF-011-AGXT) all groups showed >95%mRNA reduction >85% urinary oxalate lowering.
  • Multi-Dose Pharmacology in NHP
  • ALN-GO1 pharmacology was evaluated in cynomolgus monkeys (non-human primate (NHP)) by quantifying HAO1 mRNA in liver biopsy, and serum glycolate levels. The following table shows the NHP Pharmacology study outline detailing dose level and dose regimen.
    Group #Test ArticleDose level (mg/kg)Dose frequency
    1PBSNaQM × 6
    2AD-655850.25QM × 8
    3AD-655851QM × 8
    4AD-655851QM × 6
    5AD-655852QM × 6
    6AD-655854QM × 6
    7AD-655852 -> 1QM × 4 -> QM × 5
  • The results are shown inFigure 27. NHP serum glycolate levels for all groups out to day 85, data represents group averages of 3 animals per group, lines represent standard deviation. Liver biopsy HAO1 mRNA onDay 29, lines represent group averages, symbols represent individual animal mRNA levels relative to PBS control onDay 29.
  • After the first month of dosing (day 29), dose-responsive mRNA silencing was observed in all groups, with up to 99% mRNA silencing ingroups 6 and 7 dosed with 4mg/kg monthly or 2mg/kg weekly. Maximum elevated serum glycolate levels of approximately 70µM were maintained for at least 3 weeks ingroup 6 dosed with 4mg/kg monthly. Intermediate serum glycolate
  • Example 16: Additional siRNA sequences.
  • Additional siRNA design was carried out to identify siRNAs targeting HAO1 NM_017545.2.
    Unmodified sequenceSEQ ID NO:Modified sequenceSEQ ID NO:strandLength
    Figure imgb0025
    794
    Figure imgb0026
    1890sense21
    Figure imgb0027
    795
    Figure imgb0028
    1891antis23
    Figure imgb0029
    796
    Figure imgb0030
    1892sense21
    Figure imgb0031
    797
    Figure imgb0032
    1893antis23
    Figure imgb0033
    798
    Figure imgb0034
    1894sense21
    Figure imgb0035
    799
    Figure imgb0036
    1895antis23
    Figure imgb0037
    800
    Figure imgb0038
    1896sense21
    Figure imgb0039
    801
    Figure imgb0040
    1897antis23
    Figure imgb0041
    802
    Figure imgb0042
    1898sense21
    Figure imgb0043
    803
    Figure imgb0044
    1899antis23
    Figure imgb0045
    804
    Figure imgb0046
    1900sense21
    Figure imgb0047
    805
    Figure imgb0048
    1901antis23
    Figure imgb0049
    806
    Figure imgb0050
    1902sense21
    Figure imgb0051
    807
    Figure imgb0052
    1903antis23
    Figure imgb0053
    808
    Figure imgb0054
    1904sense21
    Figure imgb0055
    809
    Figure imgb0056
    1905antis23
    Figure imgb0057
    810
    Figure imgb0058
    1906sense21
    Figure imgb0059
    811
    Figure imgb0060
    1907antis23
    Figure imgb0061
    812
    Figure imgb0062
    1908sense21
    Figure imgb0063
    813
    Figure imgb0064
    1909antis23
    Figure imgb0065
    814
    Figure imgb0066
    1910sense21
    Figure imgb0067
    815
    Figure imgb0068
    1911antis23
    Figure imgb0069
    816
    Figure imgb0070
    1912sense21
    Figure imgb0071
    817
    Figure imgb0072
    1913antis23
    Figure imgb0073
    818
    Figure imgb0074
    1914sense21
    Figure imgb0075
    819
    Figure imgb0076
    1915antis23
    Figure imgb0077
    820
    Figure imgb0078
    1916sense21
    Figure imgb0079
    821
    Figure imgb0080
    1917antis23
    Figure imgb0081
    822
    Figure imgb0082
    1918sense21
    Figure imgb0083
    823
    Figure imgb0084
    1919antis23
    Figure imgb0085
    824
    Figure imgb0086
    1920sense21
    Figure imgb0087
    825
    Figure imgb0088
    1921antis23
    Figure imgb0089
    826
    Figure imgb0090
    1922sense21
    Figure imgb0091
    827
    Figure imgb0092
    1923antis23
    Figure imgb0093
    828
    Figure imgb0094
    1924sense21
    Figure imgb0095
    829
    Figure imgb0096
    1925antis23
    Figure imgb0097
    830
    Figure imgb0098
    1926sense21
    Figure imgb0099
    831
    Figure imgb0100
    1927antis23
    Figure imgb0101
    832
    Figure imgb0102
    1928sense21
    Figure imgb0103
    833
    Figure imgb0104
    1929antis23
    Figure imgb0105
    834
    Figure imgb0106
    1930sense21
    Figure imgb0107
    835
    Figure imgb0108
    1931antis23
    Figure imgb0109
    836
    Figure imgb0110
    1932sense21
    Figure imgb0111
    837
    Figure imgb0112
    1933antis23
    Figure imgb0113
    838
    Figure imgb0114
    1934sense21
    Figure imgb0115
    839
    Figure imgb0116
    1935antis23
    Figure imgb0117
    840
    Figure imgb0118
    1936sense21
    Figure imgb0119
    841
    Figure imgb0120
    1937antis23
    Figure imgb0121
    842
    Figure imgb0122
    1938sense21
    Figure imgb0123
    843
    Figure imgb0124
    1939antis23
    Figure imgb0125
    844
    Figure imgb0126
    1940sense21
    Figure imgb0127
    845
    Figure imgb0128
    1941antis23
    Figure imgb0129
    846
    Figure imgb0130
    1942sense21
    Figure imgb0131
    847
    Figure imgb0132
    1943antis23
    Figure imgb0133
    848
    Figure imgb0134
    1944sense21
    Figure imgb0135
    849
    Figure imgb0136
    1945antis23
    Figure imgb0137
    850
    Figure imgb0138
    1946sense21
    Figure imgb0139
    851
    Figure imgb0140
    1947antis23
    Figure imgb0141
    852
    Figure imgb0142
    1948sense21
    Figure imgb0143
    853
    Figure imgb0144
    1949antis23
    Figure imgb0145
    854
    Figure imgb0146
    1950sense21
    Figure imgb0147
    855
    Figure imgb0148
    1951antis23
    Figure imgb0149
    856
    Figure imgb0150
    1952sense21
    Figure imgb0151
    857
    Figure imgb0152
    1953antis23
    Figure imgb0153
    858
    Figure imgb0154
    1954sense21
    Figure imgb0155
    859
    Figure imgb0156
    1955antis23
    Figure imgb0157
    860
    Figure imgb0158
    1956sense21
    Figure imgb0159
    861
    Figure imgb0160
    1957antis23
    Figure imgb0161
    862
    Figure imgb0162
    1958sense21
    Figure imgb0163
    863
    Figure imgb0164
    1959antis23
    Figure imgb0165
    864
    Figure imgb0166
    1960sense21
    Figure imgb0167
    865
    Figure imgb0168
    1961antis23
    Figure imgb0169
    866
    Figure imgb0170
    1962sense21
    Figure imgb0171
    867
    Figure imgb0172
    1963antis23
    Figure imgb0173
    868
    Figure imgb0174
    1964sense21
    Figure imgb0175
    869
    Figure imgb0176
    1965antis23
    Figure imgb0177
    870
    Figure imgb0178
    1966sense21
    Figure imgb0179
    871
    Figure imgb0180
    1967antis23
    Figure imgb0181
    872
    Figure imgb0182
    1968sense21
    Figure imgb0183
    873
    Figure imgb0184
    1969antis23
    Figure imgb0185
    874
    Figure imgb0186
    1970sense21
    Figure imgb0187
    875
    Figure imgb0188
    1971antis23
    Figure imgb0189
    876
    Figure imgb0190
    1972sense21
    Figure imgb0191
    877
    Figure imgb0192
    1973antis23
    Figure imgb0193
    878
    Figure imgb0194
    1974sense21
    Figure imgb0195
    879
    Figure imgb0196
    1975antis23
    Figure imgb0197
    880
    Figure imgb0198
    1976sense21
    Figure imgb0199
    881
    Figure imgb0200
    1977antis23
    Figure imgb0201
    882
    Figure imgb0202
    1978sense21
    Figure imgb0203
    883
    Figure imgb0204
    1979antis23
    Figure imgb0205
    884
    Figure imgb0206
    1980sense21
    Figure imgb0207
    885
    Figure imgb0208
    1981antis23
    Figure imgb0209
    886
    Figure imgb0210
    1982sense21
    Figure imgb0211
    887
    Figure imgb0212
    1983antis23
    Figure imgb0213
    888
    Figure imgb0214
    1984sense21
    Figure imgb0215
    889
    Figure imgb0216
    1985antis23
    Figure imgb0217
    890
    Figure imgb0218
    1986sense21
    Figure imgb0219
    891
    Figure imgb0220
    1987antis23
    Figure imgb0221
    892
    Figure imgb0222
    1988sense21
    Figure imgb0223
    893
    Figure imgb0224
    1989antis23
    Figure imgb0225
    894
    Figure imgb0226
    1990sense21
    Figure imgb0227
    895
    Figure imgb0228
    1991antis23
    Figure imgb0229
    896
    Figure imgb0230
    1992sense21
    Figure imgb0231
    897
    Figure imgb0232
    1993antis23
    Figure imgb0233
    898
    Figure imgb0234
    1994sense21
    Figure imgb0235
    899
    Figure imgb0236
    1995antis23
    Figure imgb0237
    900
    Figure imgb0238
    1996sense21
    Figure imgb0239
    901
    Figure imgb0240
    1997antis23
    Figure imgb0241
    902
    Figure imgb0242
    1998sense21
    Figure imgb0243
    903
    Figure imgb0244
    1999antis23
    Figure imgb0245
    904
    Figure imgb0246
    2000sense21
    Figure imgb0247
    905
    Figure imgb0248
    2001antis23
    Figure imgb0249
    906
    Figure imgb0250
    2002sense21
    Figure imgb0251
    907
    Figure imgb0252
    2003antis23
    Figure imgb0253
    908
    Figure imgb0254
    2004sense21
    Figure imgb0255
    909
    Figure imgb0256
    2005antis23
    Figure imgb0257
    910
    Figure imgb0258
    2006sense21
    Figure imgb0259
    911
    Figure imgb0260
    2007antis23
    Figure imgb0261
    912
    Figure imgb0262
    2008sense21
    Figure imgb0263
    913
    Figure imgb0264
    2009antis23
    Figure imgb0265
    914
    Figure imgb0266
    2010sense21
    Figure imgb0267
    915
    Figure imgb0268
    2011antis23
    Figure imgb0269
    916
    Figure imgb0270
    2012sense21
    Figure imgb0271
    917
    Figure imgb0272
    2013antis23
    Figure imgb0273
    918
    Figure imgb0274
    2014sense21
    Figure imgb0275
    919
    Figure imgb0276
    2015antis23
    Figure imgb0277
    920
    Figure imgb0278
    2016sense21
    Figure imgb0279
    921
    Figure imgb0280
    2017antis23
    Figure imgb0281
    922
    Figure imgb0282
    2018sense21
    Figure imgb0283
    923
    Figure imgb0284
    2019antis23
    Figure imgb0285
    924
    Figure imgb0286
    2020sense21
    Figure imgb0287
    925
    Figure imgb0288
    2021antis23
    Figure imgb0289
    926
    Figure imgb0290
    2022sense21
    Figure imgb0291
    927
    Figure imgb0292
    2023antis23
    Figure imgb0293
    928
    Figure imgb0294
    2024sense21
    Figure imgb0295
    929
    Figure imgb0296
    2025antis23
    Figure imgb0297
    930
    Figure imgb0298
    2026sense21
    Figure imgb0299
    931
    Figure imgb0300
    2027antis23
    Figure imgb0301
    932
    Figure imgb0302
    2028sense21
    Figure imgb0303
    933
    Figure imgb0304
    2029antis23
    Figure imgb0305
    934
    Figure imgb0306
    2030sense21
    Figure imgb0307
    935
    Figure imgb0308
    2031antis23
    Figure imgb0309
    936
    Figure imgb0310
    2032sense21
    Figure imgb0311
    937
    Figure imgb0312
    2033antis23
    Figure imgb0313
    938
    Figure imgb0314
    2034sense21
    Figure imgb0315
    939
    Figure imgb0316
    2035antis23
    Figure imgb0317
    940
    Figure imgb0318
    2036sense21
    Figure imgb0319
    941
    Figure imgb0320
    2037antis23
    Figure imgb0321
    942
    Figure imgb0322
    2038sense21
    Figure imgb0323
    943
    Figure imgb0324
    2039antis23
    Figure imgb0325
    944
    Figure imgb0326
    2040sense21
    Figure imgb0327
    945
    Figure imgb0328
    2041antis23
    Figure imgb0329
    946
    Figure imgb0330
    2042sense21
    Figure imgb0331
    947
    Figure imgb0332
    2043antis23
    Figure imgb0333
    948
    Figure imgb0334
    2044sense21
    Figure imgb0335
    949
    Figure imgb0336
    2045antis23
    Figure imgb0337
    950
    Figure imgb0338
    2046sense21
    Figure imgb0339
    951
    Figure imgb0340
    2047antis23
    Figure imgb0341
    952
    Figure imgb0342
    2048sense21
    Figure imgb0343
    953
    Figure imgb0344
    2049antis23
    Figure imgb0345
    954
    Figure imgb0346
    2050sense21
    Figure imgb0347
    955
    Figure imgb0348
    2051antis23
    Figure imgb0349
    956
    Figure imgb0350
    2052sense21
    Figure imgb0351
    957
    Figure imgb0352
    2053antis23
    Figure imgb0353
    958
    Figure imgb0354
    2054sense21
    Figure imgb0355
    959
    Figure imgb0356
    2055antis23
    Figure imgb0357
    960
    Figure imgb0358
    2056sense21
    Figure imgb0359
    961
    Figure imgb0360
    2057antis23
    Figure imgb0361
    962
    Figure imgb0362
    2058sense21
    Figure imgb0363
    963
    Figure imgb0364
    2059antis23
    Figure imgb0365
    964
    Figure imgb0366
    2060sense21
    Figure imgb0367
    965
    Figure imgb0368
    2061antis23
    Figure imgb0369
    966
    Figure imgb0370
    2062sense21
    Figure imgb0371
    967
    Figure imgb0372
    2063antis23
    Figure imgb0373
    968
    Figure imgb0374
    2064sense21
    Figure imgb0375
    969
    Figure imgb0376
    2065antis23
    Figure imgb0377
    970
    Figure imgb0378
    2066sense21
    Figure imgb0379
    971
    Figure imgb0380
    2067antis23
    Figure imgb0381
    972
    Figure imgb0382
    2068sense21
    Figure imgb0383
    973
    Figure imgb0384
    2069antis23
    Figure imgb0385
    974
    Figure imgb0386
    2070sense21
    Figure imgb0387
    975
    Figure imgb0388
    2071antis23
    Figure imgb0389
    976
    Figure imgb0390
    2072sense21
    Figure imgb0391
    977
    Figure imgb0392
    2073antis23
    Figure imgb0393
    978
    Figure imgb0394
    2074sense21
    Figure imgb0395
    979
    Figure imgb0396
    2075antis23
    Figure imgb0397
    980
    Figure imgb0398
    2076sense21
    Figure imgb0399
    981
    Figure imgb0400
    2077antis23
    Figure imgb0401
    982
    Figure imgb0402
    2078sense21
    Figure imgb0403
    983
    Figure imgb0404
    2079antis23
    Figure imgb0405
    984
    Figure imgb0406
    2080sense21
    Figure imgb0407
    985
    Figure imgb0408
    2081antis23
    Figure imgb0409
    986
    Figure imgb0410
    2082sense21
    Figure imgb0411
    987
    Figure imgb0412
    2083antis23
    Figure imgb0413
    988
    Figure imgb0414
    2084sense21
    Figure imgb0415
    989
    Figure imgb0416
    2085antis23
    Figure imgb0417
    990
    Figure imgb0418
    2086sense21
    Figure imgb0419
    991
    Figure imgb0420
    2087antis23
    Figure imgb0421
    992
    Figure imgb0422
    2088sense21
    Figure imgb0423
    993
    Figure imgb0424
    2089antis23
    Figure imgb0425
    994
    Figure imgb0426
    2090sense21
    Figure imgb0427
    995
    Figure imgb0428
    2091antis23
    Figure imgb0429
    996
    Figure imgb0430
    2092sense21
    Figure imgb0431
    997
    Figure imgb0432
    2093antis23
    Figure imgb0433
    998
    Figure imgb0434
    2094sense21
    Figure imgb0435
    999
    Figure imgb0436
    2095antis23
    Figure imgb0437
    1000
    Figure imgb0438
    2096sense21
    Figure imgb0439
    1001
    Figure imgb0440
    2097antis23
    Figure imgb0441
    1002
    Figure imgb0442
    2098sense21
    Figure imgb0443
    1003
    Figure imgb0444
    2099antis23
    Figure imgb0445
    1004
    Figure imgb0446
    2100sense21
    Figure imgb0447
    1005
    Figure imgb0448
    2101antis23
    Figure imgb0449
    1006
    Figure imgb0450
    2102sense21
    Figure imgb0451
    1007
    Figure imgb0452
    2103antis23
    Figure imgb0453
    1008
    Figure imgb0454
    2104sense21
    Figure imgb0455
    1009
    Figure imgb0456
    2105antis23
    Figure imgb0457
    1010
    Figure imgb0458
    2106sense21
    Figure imgb0459
    1011
    Figure imgb0460
    2107antis23
    Figure imgb0461
    1012
    Figure imgb0462
    2108sense21
    Figure imgb0463
    1013
    Figure imgb0464
    2109antis23
    Figure imgb0465
    1014
    Figure imgb0466
    2110sense21
    Figure imgb0467
    1015
    Figure imgb0468
    2111antis23
    Figure imgb0469
    1016
    Figure imgb0470
    2112sense21
    Figure imgb0471
    1017
    Figure imgb0472
    2113antis23
    Figure imgb0473
    1018
    Figure imgb0474
    2114sense21
    Figure imgb0475
    1019
    Figure imgb0476
    2115antis23
    Figure imgb0477
    1020
    Figure imgb0478
    2116sense21
    Figure imgb0479
    1021
    Figure imgb0480
    2117antis23
    Figure imgb0481
    1022
    Figure imgb0482
    2118sense21
    Figure imgb0483
    1023
    Figure imgb0484
    2119antis23
    Figure imgb0485
    1024
    Figure imgb0486
    2120sense21
    Figure imgb0487
    1025
    Figure imgb0488
    2121antis23
    Figure imgb0489
    1026
    Figure imgb0490
    2122sense21
    Figure imgb0491
    1027
    Figure imgb0492
    2123antis23
    Figure imgb0493
    1028
    Figure imgb0494
    2124sense21
    Figure imgb0495
    1029
    Figure imgb0496
    2125antis23
    Figure imgb0497
    1030
    Figure imgb0498
    2126sense21
    Figure imgb0499
    1031
    Figure imgb0500
    2127antis23
    Figure imgb0501
    1032
    Figure imgb0502
    2128sense21
    Figure imgb0503
    1033
    Figure imgb0504
    2129antis23
    Figure imgb0505
    1034
    Figure imgb0506
    2130sense21
    Figure imgb0507
    1035
    Figure imgb0508
    2131antis23
    Figure imgb0509
    1036
    Figure imgb0510
    2132sense21
    Figure imgb0511
    1037
    Figure imgb0512
    2133antis23
    Figure imgb0513
    1038
    Figure imgb0514
    2134sense21
    Figure imgb0515
    1039
    Figure imgb0516
    2135antis23
    Figure imgb0517
    1040
    Figure imgb0518
    2136sense21
    Figure imgb0519
    1041
    Figure imgb0520
    2137antis23
    Figure imgb0521
    1042
    Figure imgb0522
    2138sense21
    Figure imgb0523
    1043
    Figure imgb0524
    2139antis23
    Figure imgb0525
    1044
    Figure imgb0526
    2140sense21
    Figure imgb0527
    1045
    Figure imgb0528
    2141antis23
    Figure imgb0529
    1046
    Figure imgb0530
    2142sense21
    Figure imgb0531
    1047
    Figure imgb0532
    2143antis23
    Figure imgb0533
    1048
    Figure imgb0534
    2144sense21
    Figure imgb0535
    1049
    Figure imgb0536
    2145antis23
    Figure imgb0537
    1050
    Figure imgb0538
    2146sense21
    Figure imgb0539
    1051
    Figure imgb0540
    2147antis23
    Figure imgb0541
    1052
    Figure imgb0542
    2148sense21
    Figure imgb0543
    1053
    Figure imgb0544
    2149antis23
    Figure imgb0545
    1054
    Figure imgb0546
    2150sense21
    Figure imgb0547
    1055
    Figure imgb0548
    2151antis23
    Figure imgb0549
    1056
    Figure imgb0550
    2152sense21
    Figure imgb0551
    1057
    Figure imgb0552
    2153antis23
    Figure imgb0553
    1058
    Figure imgb0554
    2154sense21
    Figure imgb0555
    1059
    Figure imgb0556
    2155antis23
    Figure imgb0557
    1060
    Figure imgb0558
    2156sense21
    Figure imgb0559
    1061
    Figure imgb0560
    2157antis23
    Figure imgb0561
    1062
    Figure imgb0562
    2158sense21
    Figure imgb0563
    1063
    Figure imgb0564
    2159antis23
    Figure imgb0565
    1064
    Figure imgb0566
    2160sense21
    Figure imgb0567
    1065
    Figure imgb0568
    2161antis23
    Figure imgb0569
    1066
    Figure imgb0570
    2162sense21
    Figure imgb0571
    1067
    Figure imgb0572
    2163antis23
    Figure imgb0573
    1068
    Figure imgb0574
    2164sense21
    Figure imgb0575
    1069
    Figure imgb0576
    2165antis23
    Figure imgb0577
    1070
    Figure imgb0578
    2166sense21
    Figure imgb0579
    1071
    Figure imgb0580
    2167antis23
    Figure imgb0581
    1072
    Figure imgb0582
    2168sense21
    Figure imgb0583
    1073
    Figure imgb0584
    2169antis23
    Figure imgb0585
    1074
    Figure imgb0586
    2170sense21
    Figure imgb0587
    1075
    Figure imgb0588
    2171antis23
    Figure imgb0589
    1076
    Figure imgb0590
    2172sense21
    Figure imgb0591
    1077
    Figure imgb0592
    2173antis23
    Figure imgb0593
    1078
    Figure imgb0594
    2174sense21
    Figure imgb0595
    1079
    Figure imgb0596
    2175antis23
    Figure imgb0597
    1080
    Figure imgb0598
    2176sense21
    Figure imgb0599
    1081
    Figure imgb0600
    2177antis23
    Figure imgb0601
    1082
    Figure imgb0602
    2178sense21
    Figure imgb0603
    1083
    Figure imgb0604
    2179antis23
    Figure imgb0605
    1084
    Figure imgb0606
    2180sense21
    Figure imgb0607
    1085
    Figure imgb0608
    2181antis23
    Figure imgb0609
    1086
    Figure imgb0610
    2182sense21
    Figure imgb0611
    1087
    Figure imgb0612
    2183antis23
    Figure imgb0613
    1088
    Figure imgb0614
    2184sense21
    Figure imgb0615
    1089
    Figure imgb0616
    2185antis23
    Figure imgb0617
    1090
    Figure imgb0618
    2186sense21
    Figure imgb0619
    1091
    Figure imgb0620
    2187antis23
    Figure imgb0621
    1092
    Figure imgb0622
    2188sense21
    Figure imgb0623
    1093
    Figure imgb0624
    2189antis23
    Figure imgb0625
    1094
    Figure imgb0626
    2190sense21
    Figure imgb0627
    1095
    Figure imgb0628
    2191antis23
    Figure imgb0629
    1096
    Figure imgb0630
    2192sense21
    Figure imgb0631
    1097
    Figure imgb0632
    2193antis23
    Figure imgb0633
    1098
    Figure imgb0634
    2194sense21
    Figure imgb0635
    1099
    Figure imgb0636
    2195antis23
    Figure imgb0637
    1100
    Figure imgb0638
    2196sense21
    Figure imgb0639
    1101
    Figure imgb0640
    2197antis23
    Figure imgb0641
    1102
    Figure imgb0642
    2198sense21
    Figure imgb0643
    1103
    Figure imgb0644
    2199antis23
    Figure imgb0645
    1104
    Figure imgb0646
    2200sense21
    Figure imgb0647
    1105
    Figure imgb0648
    2201antis23
    Figure imgb0649
    1106
    Figure imgb0650
    2202sense21
    Figure imgb0651
    1107
    Figure imgb0652
    2203antis23
    Figure imgb0653
    1108
    Figure imgb0654
    2204sense21
    Figure imgb0655
    1109
    Figure imgb0656
    2205antis23
    Figure imgb0657
    1110
    Figure imgb0658
    2206sense21
    Figure imgb0659
    1111
    Figure imgb0660
    2207antis23
    Figure imgb0661
    1112
    Figure imgb0662
    2208sense21
    Figure imgb0663
    1113
    Figure imgb0664
    2209antis23
    Figure imgb0665
    1114
    Figure imgb0666
    2210sense21
    Figure imgb0667
    1115
    Figure imgb0668
    2211antis23
    Figure imgb0669
    1116
    Figure imgb0670
    2212sense21
    Figure imgb0671
    1117
    Figure imgb0672
    2213antis23
    Figure imgb0673
    1118
    Figure imgb0674
    2214sense21
    Figure imgb0675
    1119
    Figure imgb0676
    2215antis23
    Figure imgb0677
    1120
    Figure imgb0678
    2216sense21
    Figure imgb0679
    1121
    Figure imgb0680
    2217antis23
    Figure imgb0681
    1122
    Figure imgb0682
    2218sense21
    Figure imgb0683
    1123
    Figure imgb0684
    2219antis23
    Figure imgb0685
    1124
    Figure imgb0686
    2220sense21
    Figure imgb0687
    1125
    Figure imgb0688
    2221antis23
    Figure imgb0689
    1126
    Figure imgb0690
    2222sense21
    Figure imgb0691
    1127
    Figure imgb0692
    2223antis23
    Figure imgb0693
    1128
    Figure imgb0694
    2224sense21
    Figure imgb0695
    1129
    Figure imgb0696
    2225antis23
    Figure imgb0697
    1130
    Figure imgb0698
    2226sense21
    Figure imgb0699
    1131
    Figure imgb0700
    2227antis23
    Figure imgb0701
    1132
    Figure imgb0702
    2228sense21
    Figure imgb0703
    1133
    Figure imgb0704
    2229antis23
    Figure imgb0705
    1134
    Figure imgb0706
    2230sense21
    Figure imgb0707
    1135
    Figure imgb0708
    2231antis23
    Figure imgb0709
    1136
    Figure imgb0710
    2232sense21
    Figure imgb0711
    1137
    Figure imgb0712
    2233antis23
    Figure imgb0713
    1138
    Figure imgb0714
    2234sense21
    Figure imgb0715
    1139
    Figure imgb0716
    2235antis23
    Figure imgb0717
    1140
    Figure imgb0718
    2236sense21
    Figure imgb0719
    1141
    Figure imgb0720
    2237antis23
    Figure imgb0721
    1142
    Figure imgb0722
    2238sense21
    Figure imgb0723
    1143
    Figure imgb0724
    2239antis23
    Figure imgb0725
    1144
    Figure imgb0726
    2240sense21
    Figure imgb0727
    1145
    Figure imgb0728
    2241antis23
    Figure imgb0729
    1146
    Figure imgb0730
    2242sense21
    Figure imgb0731
    1147
    Figure imgb0732
    2243antis23
    Figure imgb0733
    1148
    Figure imgb0734
    2244sense21
    Figure imgb0735
    1149
    Figure imgb0736
    2245antis23
    Figure imgb0737
    1150
    Figure imgb0738
    2246sense21
    Figure imgb0739
    1151
    Figure imgb0740
    2247antis23
    Figure imgb0741
    1152
    Figure imgb0742
    2248sense21
    Figure imgb0743
    1153
    Figure imgb0744
    2249antis23
    Figure imgb0745
    1154
    Figure imgb0746
    2250sense21
    Figure imgb0747
    1155
    Figure imgb0748
    2251antis23
    Figure imgb0749
    1156
    Figure imgb0750
    2252sense21
    Figure imgb0751
    1157
    Figure imgb0752
    2253antis23
    Figure imgb0753
    1158
    Figure imgb0754
    2254sense21
    Figure imgb0755
    1159
    Figure imgb0756
    2255antis23
    Figure imgb0757
    1160
    Figure imgb0758
    2256sense21
    Figure imgb0759
    1161
    Figure imgb0760
    2257antis23
    Figure imgb0761
    1162
    Figure imgb0762
    2258sense21
    Figure imgb0763
    1163
    Figure imgb0764
    2259antis23
    Figure imgb0765
    1164
    Figure imgb0766
    2260sense21
    Figure imgb0767
    1165
    Figure imgb0768
    2261antis23
    Figure imgb0769
    1166
    Figure imgb0770
    2262sense21
    Figure imgb0771
    1167
    Figure imgb0772
    2263antis23
    Figure imgb0773
    1168
    Figure imgb0774
    2264sense21
    Figure imgb0775
    1169
    Figure imgb0776
    2265antis23
    Figure imgb0777
    1170
    Figure imgb0778
    2266sense21
    Figure imgb0779
    1171
    Figure imgb0780
    2267antis23
    Figure imgb0781
    1172
    Figure imgb0782
    2268sense21
    Figure imgb0783
    1173
    Figure imgb0784
    2269antis23
    Figure imgb0785
    1174
    Figure imgb0786
    2270sense21
    Figure imgb0787
    1175
    Figure imgb0788
    2271antis23
    Figure imgb0789
    1176
    Figure imgb0790
    2272sense21
    Figure imgb0791
    1177
    Figure imgb0792
    2273antis23
    Figure imgb0793
    1178
    Figure imgb0794
    2274sense21
    Figure imgb0795
    1179
    Figure imgb0796
    2275antis23
    Figure imgb0797
    1180
    Figure imgb0798
    2276sense21
    Figure imgb0799
    1181
    Figure imgb0800
    2277antis23
    Figure imgb0801
    1182
    Figure imgb0802
    2278sense21
    Figure imgb0803
    1183
    Figure imgb0804
    2279antis23
    Figure imgb0805
    1184
    Figure imgb0806
    2280sense21
    Figure imgb0807
    1185
    Figure imgb0808
    2281antis23
    Figure imgb0809
    1186
    Figure imgb0810
    2282sense21
    Figure imgb0811
    1187
    Figure imgb0812
    2283antis23
    Figure imgb0813
    1188
    Figure imgb0814
    2284sense21
    Figure imgb0815
    1189
    Figure imgb0816
    2285antis23
    Figure imgb0817
    1190
    Figure imgb0818
    2286sense21
    Figure imgb0819
    1191
    Figure imgb0820
    2287antis23
    Figure imgb0821
    1192
    Figure imgb0822
    2288sense21
    Figure imgb0823
    1193
    Figure imgb0824
    2289antis23
    Figure imgb0825
    1194
    Figure imgb0826
    2290sense21
    Figure imgb0827
    1195
    Figure imgb0828
    2291antis23
    Figure imgb0829
    1196
    Figure imgb0830
    2292sense21
    Figure imgb0831
    1197
    Figure imgb0832
    2293antis23
    Figure imgb0833
    1198
    Figure imgb0834
    2294sense21
    Figure imgb0835
    1199
    Figure imgb0836
    2295antis23
    Figure imgb0837
    1200
    Figure imgb0838
    2296sense21
    Figure imgb0839
    1201
    Figure imgb0840
    2297antis23
    Figure imgb0841
    1202
    Figure imgb0842
    2298sense21
    Figure imgb0843
    1203
    Figure imgb0844
    2299antis23
    Figure imgb0845
    1204
    Figure imgb0846
    2300sense21
    Figure imgb0847
    1205
    Figure imgb0848
    2301antis23
    Figure imgb0849
    1206
    Figure imgb0850
    2302sense21
    Figure imgb0851
    1207
    Figure imgb0852
    2303antis23
    Figure imgb0853
    1208
    Figure imgb0854
    2304sense21
    Figure imgb0855
    1209
    Figure imgb0856
    2305antis23
    Figure imgb0857
    1210
    Figure imgb0858
    2306sense21
    Figure imgb0859
    1211
    Figure imgb0860
    2307antis23
    Figure imgb0861
    1212
    Figure imgb0862
    2308sense21
    Figure imgb0863
    1213
    Figure imgb0864
    2309antis23
    Figure imgb0865
    1214
    Figure imgb0866
    2310sense21
    Figure imgb0867
    1215
    Figure imgb0868
    2311antis23
    Figure imgb0869
    1216
    Figure imgb0870
    2312sense21
    Figure imgb0871
    1217
    Figure imgb0872
    2313antis23
    Figure imgb0873
    1218
    Figure imgb0874
    2314sense21
    Figure imgb0875
    1219
    Figure imgb0876
    2315antis23
    Figure imgb0877
    1220
    Figure imgb0878
    2316sense21
    Figure imgb0879
    1221
    Figure imgb0880
    2317antis23
    Figure imgb0881
    1222
    Figure imgb0882
    2318sense21
    Figure imgb0883
    1223
    Figure imgb0884
    2319antis23
    Figure imgb0885
    1224
    Figure imgb0886
    2320sense21
    Figure imgb0887
    1225
    Figure imgb0888
    2321antis23
    Figure imgb0889
    1226
    Figure imgb0890
    2322sense21
    Figure imgb0891
    1227
    Figure imgb0892
    2323antis23
    Figure imgb0893
    1228
    Figure imgb0894
    2324sense21
    Figure imgb0895
    1229
    Figure imgb0896
    2325antis23
    Figure imgb0897
    1230
    Figure imgb0898
    2326sense21
    Figure imgb0899
    1231
    Figure imgb0900
    2327antis23
    Figure imgb0901
    1232
    Figure imgb0902
    2328sense21
    Figure imgb0903
    1233
    Figure imgb0904
    2329antis23
    Figure imgb0905
    1234
    Figure imgb0906
    2330sense21
    Figure imgb0907
    1235
    Figure imgb0908
    2331antis23
    Figure imgb0909
    1236
    Figure imgb0910
    2332sense21
    Figure imgb0911
    1237
    Figure imgb0912
    2333antis23
    Figure imgb0913
    1238
    Figure imgb0914
    2334sense21
    Figure imgb0915
    1239
    Figure imgb0916
    2335antis23
    Figure imgb0917
    1240
    Figure imgb0918
    2336sense21
    Figure imgb0919
    1241
    Figure imgb0920
    2337antis23
    Figure imgb0921
    1242
    Figure imgb0922
    2338sense21
    Figure imgb0923
    1243
    Figure imgb0924
    2339antis23
    Figure imgb0925
    1244
    Figure imgb0926
    2340sense21
    Figure imgb0927
    1245
    Figure imgb0928
    2341antis23
    Figure imgb0929
    1246
    Figure imgb0930
    2342sense21
    Figure imgb0931
    1247
    Figure imgb0932
    2343antis23
    Figure imgb0933
    1248
    Figure imgb0934
    2344sense21
    Figure imgb0935
    1249
    Figure imgb0936
    2345antis23
    Figure imgb0937
    1250
    Figure imgb0938
    2346sense21
    Figure imgb0939
    1251
    Figure imgb0940
    2347antis23
    Figure imgb0941
    1252
    Figure imgb0942
    2348sense21
    Figure imgb0943
    1253
    Figure imgb0944
    2349antis23
    Figure imgb0945
    1254
    Figure imgb0946
    2350sense21
    Figure imgb0947
    1255
    Figure imgb0948
    2351antis23
    Figure imgb0949
    1256
    Figure imgb0950
    2352sense21
    Figure imgb0951
    1257
    Figure imgb0952
    2353antis23
    Figure imgb0953
    1258
    Figure imgb0954
    2354sense21
    Figure imgb0955
    1259
    Figure imgb0956
    2355antis23
    Figure imgb0957
    1260
    Figure imgb0958
    2356sense21
    Figure imgb0959
    1261
    Figure imgb0960
    2357antis23
    Figure imgb0961
    1262
    Figure imgb0962
    2358sense21
    Figure imgb0963
    1263
    Figure imgb0964
    2359antis23
    Figure imgb0965
    1264
    Figure imgb0966
    2360sense21
    Figure imgb0967
    1265
    Figure imgb0968
    2361antis23
    Figure imgb0969
    1266
    Figure imgb0970
    2362sense21
    Figure imgb0971
    1267
    Figure imgb0972
    2363antis23
    Figure imgb0973
    1268
    Figure imgb0974
    2364sense21
    Figure imgb0975
    1269
    Figure imgb0976
    2365antis23
    Figure imgb0977
    1270
    Figure imgb0978
    2366sense21
    Figure imgb0979
    1271
    Figure imgb0980
    2367antis23
    Figure imgb0981
    1272
    Figure imgb0982
    2368sense21
    Figure imgb0983
    1273
    Figure imgb0984
    2369antis23
    Figure imgb0985
    1274
    Figure imgb0986
    2370sense21
    Figure imgb0987
    1275
    Figure imgb0988
    2371antis23
    Figure imgb0989
    1276
    Figure imgb0990
    2372sense21
    Figure imgb0991
    1277
    Figure imgb0992
    2373antis23
    Figure imgb0993
    1278
    Figure imgb0994
    2374sense21
    Figure imgb0995
    1279
    Figure imgb0996
    2375antis23
    Figure imgb0997
    1280
    Figure imgb0998
    2376sense21
    Figure imgb0999
    1281
    Figure imgb1000
    2377antis23
    Figure imgb1001
    1282
    Figure imgb1002
    2378sense21
    Figure imgb1003
    1283
    Figure imgb1004
    2379antis23
    Figure imgb1005
    1284
    Figure imgb1006
    2380sense21
    Figure imgb1007
    1285
    Figure imgb1008
    2381antis23
    Figure imgb1009
    1286
    Figure imgb1010
    2382sense21
    Figure imgb1011
    1287
    Figure imgb1012
    2383antis23
    Figure imgb1013
    1288
    Figure imgb1014
    2384sense21
    Figure imgb1015
    1289
    Figure imgb1016
    2385antis23
    Figure imgb1017
    1290
    Figure imgb1018
    2386sense21
    Figure imgb1019
    1291
    Figure imgb1020
    2387antis23
    Figure imgb1021
    1292
    Figure imgb1022
    2388sense21
    Figure imgb1023
    1293
    Figure imgb1024
    2389antis23
    Figure imgb1025
    1294
    Figure imgb1026
    2390sense21
    Figure imgb1027
    1295
    Figure imgb1028
    2391antis23
    Figure imgb1029
    1296
    Figure imgb1030
    2392sense21
    Figure imgb1031
    1297
    Figure imgb1032
    2393antis23
    Figure imgb1033
    1298
    Figure imgb1034
    2394sense21
    Figure imgb1035
    1299
    Figure imgb1036
    2395antis23
    Figure imgb1037
    1300
    Figure imgb1038
    2396sense21
    Figure imgb1039
    1301
    Figure imgb1040
    2397antis23
    Figure imgb1041
    1302
    Figure imgb1042
    2398sense21
    Figure imgb1043
    1303
    Figure imgb1044
    2399antis23
    Figure imgb1045
    1304
    Figure imgb1046
    2400sense21
    Figure imgb1047
    1305
    Figure imgb1048
    2401antis23
    Figure imgb1049
    1306
    Figure imgb1050
    2402sense21
    Figure imgb1051
    1307
    Figure imgb1052
    2403antis23
    Figure imgb1053
    1308
    Figure imgb1054
    2404sense21
    Figure imgb1055
    1309
    Figure imgb1056
    2405antis23
    Figure imgb1057
    1310
    Figure imgb1058
    2406sense21
    Figure imgb1059
    1311
    Figure imgb1060
    2407antis23
    Figure imgb1061
    1312
    Figure imgb1062
    2408sense21
    Figure imgb1063
    1313
    Figure imgb1064
    2409antis23
    Figure imgb1065
    1314
    Figure imgb1066
    2410sense21
    Figure imgb1067
    1315
    Figure imgb1068
    2411antis23
    Figure imgb1069
    1316
    Figure imgb1070
    2412sense21
    Figure imgb1071
    1317
    Figure imgb1072
    2413antis23
    Figure imgb1073
    1318
    Figure imgb1074
    2414sense21
    Figure imgb1075
    1319
    Figure imgb1076
    2415antis23
    Figure imgb1077
    1320
    Figure imgb1078
    2416sense21
    Figure imgb1079
    1321
    Figure imgb1080
    2417antis23
    Figure imgb1081
    1322
    Figure imgb1082
    2418sense21
    Figure imgb1083
    1323
    Figure imgb1084
    2419antis23
    Figure imgb1085
    1324
    Figure imgb1086
    2420sense21
    Figure imgb1087
    1325
    Figure imgb1088
    2421antis23
    Figure imgb1089
    1326
    Figure imgb1090
    2422sense21
    Figure imgb1091
    1327
    Figure imgb1092
    2423antis23
    Figure imgb1093
    1328
    Figure imgb1094
    2424sense21
    Figure imgb1095
    1329
    Figure imgb1096
    2425antis23
    Figure imgb1097
    1330
    Figure imgb1098
    2426sense21
    Figure imgb1099
    1331
    Figure imgb1100
    2427antis23
    Figure imgb1101
    1332
    Figure imgb1102
    2428sense21
    Figure imgb1103
    1333
    Figure imgb1104
    2429antis23
    Figure imgb1105
    1334
    Figure imgb1106
    2430sense21
    Figure imgb1107
    1335
    Figure imgb1108
    2431antis23
    Figure imgb1109
    1336
    Figure imgb1110
    2432sense21
    Figure imgb1111
    1337
    Figure imgb1112
    2433antis23
    Figure imgb1113
    1338
    Figure imgb1114
    2434sense21
    Figure imgb1115
    1339
    Figure imgb1116
    2435antis23
    Figure imgb1117
    1340
    Figure imgb1118
    2436sense21
    Figure imgb1119
    1341
    Figure imgb1120
    2437antis23
    Figure imgb1121
    1342
    Figure imgb1122
    2438sense21
    Figure imgb1123
    1343
    Figure imgb1124
    2439antis23
    Figure imgb1125
    1344
    Figure imgb1126
    2440sense21
    Figure imgb1127
    1345
    Figure imgb1128
    2441antis23
    Figure imgb1129
    1346
    Figure imgb1130
    2442sense21
    Figure imgb1131
    1347
    Figure imgb1132
    2443antis23
    Figure imgb1133
    1348
    Figure imgb1134
    2444sense21
    Figure imgb1135
    1349
    Figure imgb1136
    2445antis23
    Figure imgb1137
    1350
    Figure imgb1138
    2446sense21
    Figure imgb1139
    1351
    Figure imgb1140
    2447antis23
    Figure imgb1141
    1352
    Figure imgb1142
    2448sense21
    Figure imgb1143
    1353
    Figure imgb1144
    2449antis23
    Figure imgb1145
    1354
    Figure imgb1146
    2450sense21
    Figure imgb1147
    1355
    Figure imgb1148
    2451antis23
    Figure imgb1149
    1356
    Figure imgb1150
    2452sense21
    Figure imgb1151
    1357
    Figure imgb1152
    2453antis23
    Figure imgb1153
    1358
    Figure imgb1154
    2454sense21
    Figure imgb1155
    1359
    Figure imgb1156
    2455antis23
    Figure imgb1157
    1360
    Figure imgb1158
    2456sense21
    Figure imgb1159
    1361
    Figure imgb1160
    2457antis23
    Figure imgb1161
    1362
    Figure imgb1162
    2458sense21
    Figure imgb1163
    1363
    Figure imgb1164
    2459antis23
    Figure imgb1165
    1364
    Figure imgb1166
    2460sense21
    Figure imgb1167
    1365
    Figure imgb1168
    2461antis23
    Figure imgb1169
    1366
    Figure imgb1170
    2462sense21
    Figure imgb1171
    1367
    Figure imgb1172
    2463antis23
    Figure imgb1173
    1368
    Figure imgb1174
    2464sense21
    Figure imgb1175
    1369
    Figure imgb1176
    2465antis23
    Figure imgb1177
    1370
    Figure imgb1178
    2466sense21
    Figure imgb1179
    1371
    Figure imgb1180
    2467antis23
    Figure imgb1181
    1372
    Figure imgb1182
    2468sense21
    Figure imgb1183
    1373
    Figure imgb1184
    2469antis23
    Figure imgb1185
    1374
    Figure imgb1186
    2470sense21
    Figure imgb1187
    1375
    Figure imgb1188
    2471antis23
    Figure imgb1189
    1376
    Figure imgb1190
    2472sense21
    Figure imgb1191
    1377
    Figure imgb1192
    2473antis23
    Figure imgb1193
    1378
    Figure imgb1194
    2474sense21
    Figure imgb1195
    1379
    Figure imgb1196
    2475antis23
    Figure imgb1197
    1380
    Figure imgb1198
    2476sense21
    Figure imgb1199
    1381
    Figure imgb1200
    2477antis23
    Figure imgb1201
    1382
    Figure imgb1202
    2478sense21
    Figure imgb1203
    1383
    Figure imgb1204
    2479antis23
    Figure imgb1205
    1384
    Figure imgb1206
    2480sense21
    Figure imgb1207
    1385
    Figure imgb1208
    2481antis23
    Figure imgb1209
    1386
    Figure imgb1210
    2482sense21
    Figure imgb1211
    1387
    Figure imgb1212
    2483antis23
    Figure imgb1213
    1388
    Figure imgb1214
    2484sense21
    Figure imgb1215
    1389
    Figure imgb1216
    2485antis23
    Figure imgb1217
    1390
    Figure imgb1218
    2486sense21
    Figure imgb1219
    1391
    Figure imgb1220
    2487antis23
    Figure imgb1221
    1392
    Figure imgb1222
    2488sense21
    Figure imgb1223
    1393
    Figure imgb1224
    2489antis23
    Figure imgb1225
    1394
    Figure imgb1226
    2490sense21
    Figure imgb1227
    1395
    Figure imgb1228
    2491antis23
    Figure imgb1229
    1396
    Figure imgb1230
    2492sense21
    Figure imgb1231
    1397
    Figure imgb1232
    2493antis23
    Figure imgb1233
    1398
    Figure imgb1234
    2494sense21
    Figure imgb1235
    1399
    Figure imgb1236
    2495antis23
    Figure imgb1237
    1400
    Figure imgb1238
    2496sense21
    Figure imgb1239
    1401
    Figure imgb1240
    2497antis23
    Figure imgb1241
    1402
    Figure imgb1242
    2498sense21
    Figure imgb1243
    1403
    Figure imgb1244
    2499antis23
    Figure imgb1245
    1404
    Figure imgb1246
    2500sense21
    Figure imgb1247
    1405
    Figure imgb1248
    2501antis23
    Figure imgb1249
    1406
    Figure imgb1250
    2502sense21
    Figure imgb1251
    1407
    Figure imgb1252
    2503antis23
    Figure imgb1253
    1408
    Figure imgb1254
    2504sense21
    Figure imgb1255
    1409
    Figure imgb1256
    2505antis23
    Figure imgb1257
    1410
    Figure imgb1258
    2506sense21
    Figure imgb1259
    1411
    Figure imgb1260
    2507antis23
    Figure imgb1261
    1412
    Figure imgb1262
    2508sense21
    Figure imgb1263
    1413
    Figure imgb1264
    2509antis23
    Figure imgb1265
    1414
    Figure imgb1266
    2510sense21
    Figure imgb1267
    1415
    Figure imgb1268
    2511antis23
    Figure imgb1269
    1416
    Figure imgb1270
    2512sense21
    Figure imgb1271
    1417
    Figure imgb1272
    2513antis23
    Figure imgb1273
    1418
    Figure imgb1274
    2514sense21
    Figure imgb1275
    1419
    Figure imgb1276
    2515antis23
    Figure imgb1277
    1420
    Figure imgb1278
    2516sense21
    Figure imgb1279
    1421
    Figure imgb1280
    2517antis23
    Figure imgb1281
    1422
    Figure imgb1282
    2518sense21
    Figure imgb1283
    1423
    Figure imgb1284
    2519antis23
    Figure imgb1285
    1424
    Figure imgb1286
    2520sense21
    Figure imgb1287
    1425
    Figure imgb1288
    2521antis23
    Figure imgb1289
    1426
    Figure imgb1290
    2522sense21
    Figure imgb1291
    1427
    Figure imgb1292
    2523antis23
    Figure imgb1293
    1428
    Figure imgb1294
    2524sense21
    Figure imgb1295
    1429
    Figure imgb1296
    2525antis23
    Figure imgb1297
    1430
    Figure imgb1298
    2526sense21
    Figure imgb1299
    1431
    Figure imgb1300
    2527antis23
    Figure imgb1301
    1432
    Figure imgb1302
    2528sense21
    Figure imgb1303
    1433
    Figure imgb1304
    2529antis23
    Figure imgb1305
    1434
    Figure imgb1306
    2530sense21
    Figure imgb1307
    1435
    Figure imgb1308
    2531antis23
    Figure imgb1309
    1436
    Figure imgb1310
    2532sense21
    Figure imgb1311
    1437
    Figure imgb1312
    2533antis23
    Figure imgb1313
    1438
    Figure imgb1314
    2534sense21
    Figure imgb1315
    1439
    Figure imgb1316
    2535antis23
    Figure imgb1317
    1440
    Figure imgb1318
    2536sense21
    Figure imgb1319
    1441
    Figure imgb1320
    2537antis23
    Figure imgb1321
    1442
    Figure imgb1322
    2538sense21
    Figure imgb1323
    1443
    Figure imgb1324
    2539antis23
    Figure imgb1325
    1444
    Figure imgb1326
    2540sense21
    Figure imgb1327
    1445
    Figure imgb1328
    2541antis23
    Figure imgb1329
    1446
    Figure imgb1330
    2542sense21
    Figure imgb1331
    1447
    Figure imgb1332
    2543antis23
    Figure imgb1333
    1448
    Figure imgb1334
    2544sense21
    Figure imgb1335
    1449
    Figure imgb1336
    2545antis23
    Figure imgb1337
    1450
    Figure imgb1338
    2546sense21
    Figure imgb1339
    1451
    Figure imgb1340
    2547antis23
    Figure imgb1341
    1452
    Figure imgb1342
    2548sense21
    Figure imgb1343
    1453
    Figure imgb1344
    2549antis23
    Figure imgb1345
    1454
    Figure imgb1346
    2550sense21
    Figure imgb1347
    1455
    Figure imgb1348
    2551antis23
    Figure imgb1349
    1456
    Figure imgb1350
    2552sense21
    Figure imgb1351
    1457
    Figure imgb1352
    2553antis23
    Figure imgb1353
    1458
    Figure imgb1354
    2554sense21
    Figure imgb1355
    1459
    Figure imgb1356
    2555antis23
    Figure imgb1357
    1460
    Figure imgb1358
    2556sense21
    Figure imgb1359
    1461
    Figure imgb1360
    2557antis23
    Figure imgb1361
    1462
    Figure imgb1362
    2558sense21
    Figure imgb1363
    1463
    Figure imgb1364
    2559antis23
    Figure imgb1365
    1464
    Figure imgb1366
    2560sense21
    Figure imgb1367
    1465
    Figure imgb1368
    2561antis23
    Figure imgb1369
    1466
    Figure imgb1370
    2562sense21
    Figure imgb1371
    1467
    Figure imgb1372
    2563antis23
    Figure imgb1373
    1468
    Figure imgb1374
    2564sense21
    Figure imgb1375
    1469
    Figure imgb1376
    2565antis23
    Figure imgb1377
    1470
    Figure imgb1378
    2566sense21
    Figure imgb1379
    1471
    Figure imgb1380
    2567antis23
    Figure imgb1381
    1472
    Figure imgb1382
    2568sense21
    Figure imgb1383
    1473
    Figure imgb1384
    2569antis23
    Figure imgb1385
    1474
    Figure imgb1386
    2570sense21
    Figure imgb1387
    1475
    Figure imgb1388
    2571antis23
    Figure imgb1389
    1476
    Figure imgb1390
    2572sense21
    Figure imgb1391
    1477
    Figure imgb1392
    2573antis23
    Figure imgb1393
    1478
    Figure imgb1394
    2574sense21
    Figure imgb1395
    1479
    Figure imgb1396
    2575antis23
    Figure imgb1397
    1480
    Figure imgb1398
    2576sense21
    Figure imgb1399
    1481
    Figure imgb1400
    2577antis23
    Figure imgb1401
    1482
    Figure imgb1402
    2578sense21
    Figure imgb1403
    1483
    Figure imgb1404
    2579antis23
    Figure imgb1405
    1484
    Figure imgb1406
    2580sense21
    Figure imgb1407
    1485
    Figure imgb1408
    2581antis23
    Figure imgb1409
    1486
    Figure imgb1410
    2582sense21
    Figure imgb1411
    1487
    Figure imgb1412
    2583antis23
    Figure imgb1413
    1488
    Figure imgb1414
    2584sense21
    Figure imgb1415
    1489
    Figure imgb1416
    2585antis23
    Figure imgb1417
    1490
    Figure imgb1418
    2586sense21
    Figure imgb1419
    1491
    Figure imgb1420
    2587antis23
    Figure imgb1421
    1492
    Figure imgb1422
    2588sense21
    Figure imgb1423
    1493
    Figure imgb1424
    2589antis23
    Figure imgb1425
    1494
    Figure imgb1426
    2590sense21
    Figure imgb1427
    1495
    Figure imgb1428
    2591antis23
    Figure imgb1429
    1496
    Figure imgb1430
    2592sense21
    Figure imgb1431
    1497
    Figure imgb1432
    2593antis23
    Figure imgb1433
    1498
    Figure imgb1434
    2594sense21
    Figure imgb1435
    1499
    Figure imgb1436
    2595antis23
    Figure imgb1437
    1500
    Figure imgb1438
    2596sense21
    Figure imgb1439
    1501
    Figure imgb1440
    2597antis23
    Figure imgb1441
    1502
    Figure imgb1442
    2598sense21
    Figure imgb1443
    1503
    Figure imgb1444
    2599antis23
    Figure imgb1445
    1504
    Figure imgb1446
    2600sense21
    Figure imgb1447
    1505
    Figure imgb1448
    2601antis23
    Figure imgb1449
    1506
    Figure imgb1450
    2602sense21
    Figure imgb1451
    1507
    Figure imgb1452
    2603antis23
    Figure imgb1453
    1508
    Figure imgb1454
    2604sense21
    Figure imgb1455
    1509
    Figure imgb1456
    2605antis23
    Figure imgb1457
    1510
    Figure imgb1458
    2606sense21
    Figure imgb1459
    1511
    Figure imgb1460
    2607antis23
    Figure imgb1461
    1512
    Figure imgb1462
    2608sense21
    Figure imgb1463
    1513
    Figure imgb1464
    2609antis23
    Figure imgb1465
    1514
    Figure imgb1466
    2610sense21
    Figure imgb1467
    1515
    Figure imgb1468
    2611antis23
    Figure imgb1469
    1516
    Figure imgb1470
    2612sense21
    Figure imgb1471
    1517
    Figure imgb1472
    2613antis23
    Figure imgb1473
    1518
    Figure imgb1474
    2614sense21
    Figure imgb1475
    1519
    Figure imgb1476
    2615antis23
    Figure imgb1477
    1520
    Figure imgb1478
    2616sense21
    Figure imgb1479
    1521
    Figure imgb1480
    2617antis23
    Figure imgb1481
    1522
    Figure imgb1482
    2618sense21
    Figure imgb1483
    1523
    Figure imgb1484
    2619antis23
    Figure imgb1485
    1524
    Figure imgb1486
    2620sense21
    Figure imgb1487
    1525
    Figure imgb1488
    2621antis23
    Figure imgb1489
    1526
    Figure imgb1490
    2622sense21
    Figure imgb1491
    1527
    Figure imgb1492
    2623antis23
    Figure imgb1493
    1528
    Figure imgb1494
    2624sense21
    Figure imgb1495
    1529
    Figure imgb1496
    2625antis23
    Figure imgb1497
    1530
    Figure imgb1498
    2626sense21
    Figure imgb1499
    1531
    Figure imgb1500
    2627antis23
    Figure imgb1501
    1532
    Figure imgb1502
    2628sense21
    Figure imgb1503
    1533
    Figure imgb1504
    2629antis23
    Figure imgb1505
    1534
    Figure imgb1506
    2630sense21
    Figure imgb1507
    1535
    Figure imgb1508
    2631antis23
    Figure imgb1509
    1536
    Figure imgb1510
    2632sense21
    Figure imgb1511
    1537
    Figure imgb1512
    2633antis23
    Figure imgb1513
    1538
    Figure imgb1514
    2634sense21
    Figure imgb1515
    1539
    Figure imgb1516
    2635antis23
    Figure imgb1517
    1540
    Figure imgb1518
    2636sense21
    Figure imgb1519
    1541
    Figure imgb1520
    2637antis23
    Figure imgb1521
    1542
    Figure imgb1522
    2638sense21
    Figure imgb1523
    1543
    Figure imgb1524
    2639antis23
    Figure imgb1525
    1544
    Figure imgb1526
    2640sense21
    Figure imgb1527
    1545
    Figure imgb1528
    2641antis23
    Figure imgb1529
    1546
    Figure imgb1530
    2642sense21
    Figure imgb1531
    1547
    Figure imgb1532
    2643antis23
    Figure imgb1533
    1548
    Figure imgb1534
    2644sense21
    Figure imgb1535
    1549
    Figure imgb1536
    2645antis23
    Figure imgb1537
    1550
    Figure imgb1538
    2646sense21
    Figure imgb1539
    1551
    Figure imgb1540
    2647antis23
    Figure imgb1541
    1552
    Figure imgb1542
    2648sense21
    Figure imgb1543
    1553
    Figure imgb1544
    2649antis23
    Figure imgb1545
    1554
    Figure imgb1546
    2650sense21
    Figure imgb1547
    1555
    Figure imgb1548
    2651antis23
    Figure imgb1549
    1556
    Figure imgb1550
    2652sense21
    Figure imgb1551
    1557
    Figure imgb1552
    2653antis23
    Figure imgb1553
    1558
    Figure imgb1554
    2654sense21
    Figure imgb1555
    1559
    Figure imgb1556
    2655antis23
    Figure imgb1557
    1560
    Figure imgb1558
    2656sense21
    Figure imgb1559
    1561
    Figure imgb1560
    2657antis23
    Figure imgb1561
    1562
    Figure imgb1562
    2658sense21
    Figure imgb1563
    1563
    Figure imgb1564
    2659antis23
    Figure imgb1565
    1564
    Figure imgb1566
    2660sense21
    Figure imgb1567
    1565
    Figure imgb1568
    2661antis23
    Figure imgb1569
    1566
    Figure imgb1570
    2662sense21
    Figure imgb1571
    1567
    Figure imgb1572
    2663antis23
    Figure imgb1573
    1568
    Figure imgb1574
    2664sense21
    Figure imgb1575
    1569
    Figure imgb1576
    2665antis23
    Figure imgb1577
    1570
    Figure imgb1578
    2666sense21
    Figure imgb1579
    1571
    Figure imgb1580
    2667antis23
    Figure imgb1581
    1572
    Figure imgb1582
    2668sense21
    Figure imgb1583
    1573
    Figure imgb1584
    2669antis23
    Figure imgb1585
    1574
    Figure imgb1586
    2670sense21
    Figure imgb1587
    1575
    Figure imgb1588
    2671antis23
    Figure imgb1589
    1576
    Figure imgb1590
    2672sense21
    Figure imgb1591
    1577
    Figure imgb1592
    2673antis23
    Figure imgb1593
    1578
    Figure imgb1594
    2674sense21
    Figure imgb1595
    1579
    Figure imgb1596
    2675antis23
    Figure imgb1597
    1580
    Figure imgb1598
    2676sense21
    Figure imgb1599
    1581
    Figure imgb1600
    2677antis23
    Figure imgb1601
    1582
    Figure imgb1602
    2678sense21
    Figure imgb1603
    1583
    Figure imgb1604
    2679antis23
    Figure imgb1605
    1584
    Figure imgb1606
    2680sense21
    Figure imgb1607
    1585
    Figure imgb1608
    2681antis23
    Figure imgb1609
    1586
    Figure imgb1610
    2682sense21
    Figure imgb1611
    1587
    Figure imgb1612
    2683antis23
    Figure imgb1613
    1588
    Figure imgb1614
    2684sense21
    Figure imgb1615
    1589
    Figure imgb1616
    2685antis23
    Figure imgb1617
    1590
    Figure imgb1618
    2686sense21
    Figure imgb1619
    1591
    Figure imgb1620
    2687antis23
    Figure imgb1621
    1592
    Figure imgb1622
    2688sense21
    Figure imgb1623
    1593
    Figure imgb1624
    2689antis23
    Figure imgb1625
    1594
    Figure imgb1626
    2690sense21
    Figure imgb1627
    1595
    Figure imgb1628
    2691antis23
    Figure imgb1629
    1596
    Figure imgb1630
    2692sense21
    Figure imgb1631
    1597
    Figure imgb1632
    2693antis23
    Figure imgb1633
    1598
    Figure imgb1634
    2694sense21
    Figure imgb1635
    1599
    Figure imgb1636
    2695antis23
    Figure imgb1637
    1600
    Figure imgb1638
    2696sense21
    Figure imgb1639
    1601
    Figure imgb1640
    2697antis23
    Figure imgb1641
    1602
    Figure imgb1642
    2698sense21
    Figure imgb1643
    1603
    Figure imgb1644
    2699antis23
    Figure imgb1645
    1604
    Figure imgb1646
    2700sense21
    Figure imgb1647
    1605
    Figure imgb1648
    2701antis23
    Figure imgb1649
    1606
    Figure imgb1650
    2702sense21
    Figure imgb1651
    1607
    Figure imgb1652
    2703antis23
    Figure imgb1653
    1608
    Figure imgb1654
    2704sense21
    Figure imgb1655
    1609
    Figure imgb1656
    2705antis23
    Figure imgb1657
    1610
    Figure imgb1658
    2706sense21
    Figure imgb1659
    1611
    Figure imgb1660
    2707antis23
    Figure imgb1661
    1612
    Figure imgb1662
    2708sense21
    Figure imgb1663
    1613
    Figure imgb1664
    2709antis23
    Figure imgb1665
    1614
    Figure imgb1666
    2710sense21
    Figure imgb1667
    1615
    Figure imgb1668
    2711antis23
    Figure imgb1669
    1616
    Figure imgb1670
    2712sense21
    Figure imgb1671
    1617
    Figure imgb1672
    2713antis23
    Figure imgb1673
    1618
    Figure imgb1674
    2714sense21
    Figure imgb1675
    1619
    Figure imgb1676
    2715antis23
    Figure imgb1677
    1620
    Figure imgb1678
    2716sense21
    Figure imgb1679
    1621
    Figure imgb1680
    2717antis23
    Figure imgb1681
    1622
    Figure imgb1682
    2718sense21
    Figure imgb1683
    1623
    Figure imgb1684
    2719antis23
    Figure imgb1685
    1624
    Figure imgb1686
    2720sense21
    Figure imgb1687
    1625
    Figure imgb1688
    2721antis23
    Figure imgb1689
    1626
    Figure imgb1690
    2722sense21
    Figure imgb1691
    1627
    Figure imgb1692
    2723antis23
    Figure imgb1693
    1628
    Figure imgb1694
    2724sense21
    Figure imgb1695
    1629
    Figure imgb1696
    2725antis23
    Figure imgb1697
    1630
    Figure imgb1698
    2726sense21
    Figure imgb1699
    1631
    Figure imgb1700
    2727antis23
    Figure imgb1701
    1632
    Figure imgb1702
    2728sense21
    Figure imgb1703
    1633
    Figure imgb1704
    2729antis23
    Figure imgb1705
    1634
    Figure imgb1706
    2730sense21
    Figure imgb1707
    1635
    Figure imgb1708
    2731antis23
    Figure imgb1709
    1636
    Figure imgb1710
    2732sense21
    Figure imgb1711
    1637
    Figure imgb1712
    2733antis23
    Figure imgb1713
    1638
    Figure imgb1714
    2734sense21
    Figure imgb1715
    1639
    Figure imgb1716
    2735antis23
    Figure imgb1717
    1640
    Figure imgb1718
    2736sense21
    Figure imgb1719
    1641
    Figure imgb1720
    2737antis23
    Figure imgb1721
    1642
    Figure imgb1722
    2738sense21
    Figure imgb1723
    1643
    Figure imgb1724
    2739antis23
    Figure imgb1725
    1644
    Figure imgb1726
    2740sense21
    Figure imgb1727
    1645
    Figure imgb1728
    2741antis23
    Figure imgb1729
    1646
    Figure imgb1730
    2742sense21
    Figure imgb1731
    1647
    Figure imgb1732
    2743antis23
    Figure imgb1733
    1648
    Figure imgb1734
    2744sense21
    Figure imgb1735
    1649
    Figure imgb1736
    2745antis23
    Figure imgb1737
    1650
    Figure imgb1738
    2746sense21
    Figure imgb1739
    1651
    Figure imgb1740
    2747antis23
    Figure imgb1741
    1652
    Figure imgb1742
    2748sense21
    Figure imgb1743
    1653
    Figure imgb1744
    2749antis23
    Figure imgb1745
    1654
    Figure imgb1746
    2750sense21
    Figure imgb1747
    1655
    Figure imgb1748
    2751antis23
    Figure imgb1749
    1656
    Figure imgb1750
    2752sense21
    Figure imgb1751
    1657
    Figure imgb1752
    2753antis23
    Figure imgb1753
    1658
    Figure imgb1754
    2754sense21
    Figure imgb1755
    1659
    Figure imgb1756
    2755antis23
    Figure imgb1757
    1660
    Figure imgb1758
    2756sense21
    Figure imgb1759
    1661
    Figure imgb1760
    2757antis23
    Figure imgb1761
    1662
    Figure imgb1762
    2758sense21
    Figure imgb1763
    1663
    Figure imgb1764
    2759antis23
    Figure imgb1765
    1664
    Figure imgb1766
    2760sense21
    Figure imgb1767
    1665
    Figure imgb1768
    2761antis23
    Figure imgb1769
    1666
    Figure imgb1770
    2762sense21
    Figure imgb1771
    1667
    Figure imgb1772
    2763antis23
    Figure imgb1773
    1668
    Figure imgb1774
    2764sense21
    Figure imgb1775
    1669
    Figure imgb1776
    2765antis23
    Figure imgb1777
    1670
    Figure imgb1778
    2766sense21
    Figure imgb1779
    1671
    Figure imgb1780
    2767antis23
    Figure imgb1781
    1672
    Figure imgb1782
    2768sense21
    Figure imgb1783
    1673
    Figure imgb1784
    2769antis23
    Figure imgb1785
    1674
    Figure imgb1786
    2770sense21
    Figure imgb1787
    1675
    Figure imgb1788
    2771antis23
    Figure imgb1789
    1676
    Figure imgb1790
    2772sense21
    Figure imgb1791
    1677
    Figure imgb1792
    2773antis23
    Figure imgb1793
    1678
    Figure imgb1794
    2774sense21
    Figure imgb1795
    1679
    Figure imgb1796
    2775antis23
    Figure imgb1797
    1680
    Figure imgb1798
    2776sense21
    Figure imgb1799
    1681
    Figure imgb1800
    2777antis23
    Figure imgb1801
    1682
    Figure imgb1802
    2778sense21
    Figure imgb1803
    1683
    Figure imgb1804
    2779antis23
    Figure imgb1805
    1684
    Figure imgb1806
    2780sense21
    Figure imgb1807
    1685
    Figure imgb1808
    2781antis23
    Figure imgb1809
    1686
    Figure imgb1810
    2782sense21
    Figure imgb1811
    1687
    Figure imgb1812
    2783antis23
    Figure imgb1813
    1688
    Figure imgb1814
    2784sense21
    Figure imgb1815
    1689
    Figure imgb1816
    2785antis23
    Figure imgb1817
    1690
    Figure imgb1818
    2786sense21
    Figure imgb1819
    1691
    Figure imgb1820
    2787antis23
    Figure imgb1821
    1692
    Figure imgb1822
    2788sense21
    Figure imgb1823
    1693
    Figure imgb1824
    2789antis23
    Figure imgb1825
    1694
    Figure imgb1826
    2790sense21
    Figure imgb1827
    1695
    Figure imgb1828
    2791antis23
    Figure imgb1829
    1696
    Figure imgb1830
    2792sense21
    Figure imgb1831
    1697
    Figure imgb1832
    2793antis23
    Figure imgb1833
    1698
    Figure imgb1834
    2794sense21
    Figure imgb1835
    1699
    Figure imgb1836
    2795antis23
    Figure imgb1837
    1700
    Figure imgb1838
    2796sense21
    Figure imgb1839
    1701
    Figure imgb1840
    2797antis23
    Figure imgb1841
    1702
    Figure imgb1842
    2798sense21
    Figure imgb1843
    1703
    Figure imgb1844
    2799antis23
    Figure imgb1845
    1704
    Figure imgb1846
    2800sense21
    Figure imgb1847
    1705
    Figure imgb1848
    2801antis23
    Figure imgb1849
    1706
    Figure imgb1850
    2802sense21
    Figure imgb1851
    1707
    Figure imgb1852
    2803antis23
    Figure imgb1853
    1708
    Figure imgb1854
    2804sense21
    Figure imgb1855
    1709
    Figure imgb1856
    2805antis23
    Figure imgb1857
    1710
    Figure imgb1858
    2806sense21
    Figure imgb1859
    1711
    Figure imgb1860
    2807antis23
    Figure imgb1861
    1712
    Figure imgb1862
    2808sense21
    Figure imgb1863
    1713
    Figure imgb1864
    2809antis23
    Figure imgb1865
    1714
    Figure imgb1866
    2810sense21
    Figure imgb1867
    1715
    Figure imgb1868
    2811antis23
    Figure imgb1869
    1716
    Figure imgb1870
    2812sense21
    Figure imgb1871
    1717
    Figure imgb1872
    2813antis23
    Figure imgb1873
    1718
    Figure imgb1874
    2814sense21
    Figure imgb1875
    1719
    Figure imgb1876
    2815antis23
    Figure imgb1877
    1720
    Figure imgb1878
    2816sense21
    Figure imgb1879
    1721
    Figure imgb1880
    2817antis23
    Figure imgb1881
    1722
    Figure imgb1882
    2818sense21
    Figure imgb1883
    1723
    Figure imgb1884
    2819antis23
    Figure imgb1885
    1724
    Figure imgb1886
    2820sense21
    Figure imgb1887
    1725
    Figure imgb1888
    2821antis23
    Figure imgb1889
    1726
    Figure imgb1890
    2822sense21
    Figure imgb1891
    1727
    Figure imgb1892
    2823antis23
    Figure imgb1893
    1728
    Figure imgb1894
    2824sense21
    Figure imgb1895
    1729
    Figure imgb1896
    2825antis23
    Figure imgb1897
    1730
    Figure imgb1898
    2826sense21
    Figure imgb1899
    1731
    Figure imgb1900
    2827antis23
    Figure imgb1901
    1732
    Figure imgb1902
    2828sense21
    Figure imgb1903
    1733
    Figure imgb1904
    2829antis23
    Figure imgb1905
    1734
    Figure imgb1906
    2830sense21
    Figure imgb1907
    1735
    Figure imgb1908
    2831antis23
    Figure imgb1909
    1736
    Figure imgb1910
    2832sense21
    Figure imgb1911
    1737
    Figure imgb1912
    2833antis23
    Figure imgb1913
    1738
    Figure imgb1914
    2834sense21
    Figure imgb1915
    1739
    Figure imgb1916
    2835antis23
    Figure imgb1917
    1740
    Figure imgb1918
    2836sense21
    Figure imgb1919
    1741
    Figure imgb1920
    2837antis23
    Figure imgb1921
    1742
    Figure imgb1922
    2838sense21
    Figure imgb1923
    1743
    Figure imgb1924
    2839antis23
    Figure imgb1925
    1744
    Figure imgb1926
    2840sense21
    Figure imgb1927
    1745
    Figure imgb1928
    2841antis23
    Figure imgb1929
    1746
    Figure imgb1930
    2842sense21
    Figure imgb1931
    1747
    Figure imgb1932
    2843antis23
    Figure imgb1933
    1748
    Figure imgb1934
    2844sense21
    Figure imgb1935
    1749
    Figure imgb1936
    2845antis23
    Figure imgb1937
    1750
    Figure imgb1938
    2846sense21
    Figure imgb1939
    1751
    Figure imgb1940
    2847antis23
    Figure imgb1941
    1752
    Figure imgb1942
    2848sense21
    Figure imgb1943
    1753
    Figure imgb1944
    2849antis23
    Figure imgb1945
    1754
    Figure imgb1946
    2850sense21
    Figure imgb1947
    1755
    Figure imgb1948
    2851antis23
    Figure imgb1949
    1756
    Figure imgb1950
    2852sense21
    Figure imgb1951
    1757
    Figure imgb1952
    2853antis23
    Figure imgb1953
    1758
    Figure imgb1954
    2854sense21
    Figure imgb1955
    1759
    Figure imgb1956
    2855antis23
    Figure imgb1957
    1760
    Figure imgb1958
    2856sense21
    Figure imgb1959
    1761
    Figure imgb1960
    2857antis23
    Figure imgb1961
    1762
    Figure imgb1962
    2858sense21
    Figure imgb1963
    1763
    Figure imgb1964
    2859antis23
    Figure imgb1965
    1764
    Figure imgb1966
    2860sense21
    Figure imgb1967
    1765
    Figure imgb1968
    2861antis23
    Figure imgb1969
    1766
    Figure imgb1970
    2862sense21
    Figure imgb1971
    1767
    Figure imgb1972
    2863antis23
    Figure imgb1973
    1768
    Figure imgb1974
    2864sense21
    Figure imgb1975
    1769
    Figure imgb1976
    2865antis23
    Figure imgb1977
    1770
    Figure imgb1978
    2866sense21
    Figure imgb1979
    1771
    Figure imgb1980
    2867antis23
    Figure imgb1981
    1772
    Figure imgb1982
    2868sense21
    Figure imgb1983
    1773
    Figure imgb1984
    2869antis23
    Figure imgb1985
    1774
    Figure imgb1986
    2870sense21
    Figure imgb1987
    1775
    Figure imgb1988
    2871antis23
    Figure imgb1989
    1776
    Figure imgb1990
    2872sense21
    Figure imgb1991
    1777
    Figure imgb1992
    2873antis23
    Figure imgb1993
    1778
    Figure imgb1994
    2874sense21
    Figure imgb1995
    1779
    Figure imgb1996
    2875antis23
    Figure imgb1997
    1780
    Figure imgb1998
    2876sense21
    Figure imgb1999
    1781
    Figure imgb2000
    2877antis23
    Figure imgb2001
    1782
    Figure imgb2002
    2878sense21
    Figure imgb2003
    1783
    Figure imgb2004
    2879antis23
    Figure imgb2005
    1784
    Figure imgb2006
    2880sense21
    Figure imgb2007
    1785
    Figure imgb2008
    2881antis23
    Figure imgb2009
    1786
    Figure imgb2010
    2882sense21
    Figure imgb2011
    1787
    Figure imgb2012
    2883antis23
    Figure imgb2013
    1788
    Figure imgb2014
    2884sense21
    Figure imgb2015
    1789
    Figure imgb2016
    2885antis23
    Figure imgb2017
    1790
    Figure imgb2018
    2886sense21
    Figure imgb2019
    1791
    Figure imgb2020
    2887antis23
    Figure imgb2021
    1792
    Figure imgb2022
    2888sense21
    Figure imgb2023
    1793
    Figure imgb2024
    2889antis23
    Figure imgb2025
    1794
    Figure imgb2026
    2890sense21
    Figure imgb2027
    1795
    Figure imgb2028
    2891antis23
    Figure imgb2029
    1796
    Figure imgb2030
    2892sense21
    Figure imgb2031
    1797
    Figure imgb2032
    2893antis23
    Figure imgb2033
    1798
    Figure imgb2034
    2894sense21
    Figure imgb2035
    1799
    Figure imgb2036
    2895antis23
    Figure imgb2037
    1800
    Figure imgb2038
    2896sense21
    Figure imgb2039
    1801
    Figure imgb2040
    2897antis23
    Figure imgb2041
    1802
    Figure imgb2042
    2898sense21
    Figure imgb2043
    1803
    Figure imgb2044
    2899antis23
    Figure imgb2045
    1804
    Figure imgb2046
    2900sense21
    Figure imgb2047
    1805
    Figure imgb2048
    2901antis23
    Figure imgb2049
    1806
    Figure imgb2050
    2902sense21
    Figure imgb2051
    1807
    Figure imgb2052
    2903antis23
    Figure imgb2053
    1808
    Figure imgb2054
    2904sense21
    Figure imgb2055
    1809
    Figure imgb2056
    2905antis23
    Figure imgb2057
    1810
    Figure imgb2058
    2906sense21
    Figure imgb2059
    1811
    Figure imgb2060
    2907antis23
    Figure imgb2061
    1812
    Figure imgb2062
    2908sense21
    Figure imgb2063
    1813
    Figure imgb2064
    2909antis23
    Figure imgb2065
    1814
    Figure imgb2066
    2910sense21
    Figure imgb2067
    1815
    Figure imgb2068
    2911antis23
    Figure imgb2069
    1816
    Figure imgb2070
    2912sense21
    Figure imgb2071
    1817
    Figure imgb2072
    2913antis23
    Figure imgb2073
    1818
    Figure imgb2074
    2914sense21
    Figure imgb2075
    1819
    Figure imgb2076
    2915antis23
    Figure imgb2077
    1820
    Figure imgb2078
    2916sense21
    Figure imgb2079
    1821
    Figure imgb2080
    2917antis23
    Figure imgb2081
    1822
    Figure imgb2082
    2918sense21
    Figure imgb2083
    1823
    Figure imgb2084
    2919antis23
    Figure imgb2085
    1824
    Figure imgb2086
    2920sense21
    Figure imgb2087
    1825
    Figure imgb2088
    2921antis23
    Figure imgb2089
    1826
    Figure imgb2090
    2922sense21
    Figure imgb2091
    1827
    Figure imgb2092
    2923antis23
    Figure imgb2093
    1828
    Figure imgb2094
    2924sense21
    Figure imgb2095
    1829
    Figure imgb2096
    2925antis23
    Figure imgb2097
    1830
    Figure imgb2098
    2926sense21
    Figure imgb2099
    1831
    Figure imgb2100
    2927antis23
    Figure imgb2101
    1832
    Figure imgb2102
    2928sense21
    Figure imgb2103
    1833
    Figure imgb2104
    2929antis23
    Figure imgb2105
    1834
    Figure imgb2106
    2930sense21
    Figure imgb2107
    1835
    Figure imgb2108
    2931antis23
    Figure imgb2109
    1836
    Figure imgb2110
    2932sense21
    Figure imgb2111
    1837
    Figure imgb2112
    2933antis23
    Figure imgb2113
    1838
    Figure imgb2114
    2934sense21
    Figure imgb2115
    1839
    Figure imgb2116
    2935antis23
    Figure imgb2117
    1840
    Figure imgb2118
    2936sense21
    Figure imgb2119
    1841
    Figure imgb2120
    2937antis23
    Figure imgb2121
    1842
    Figure imgb2122
    2938sense21
    Figure imgb2123
    1843
    Figure imgb2124
    2939antis23
    Figure imgb2125
    1844
    Figure imgb2126
    2940sense21
    Figure imgb2127
    1845
    Figure imgb2128
    2941antis23
    Figure imgb2129
    1846
    Figure imgb2130
    2942sense21
    Figure imgb2131
    1847
    Figure imgb2132
    2943antis23
    Figure imgb2133
    1848
    Figure imgb2134
    2944sense21
    Figure imgb2135
    1849
    Figure imgb2136
    2945antis23
    Figure imgb2137
    1850
    Figure imgb2138
    2946sense21
    Figure imgb2139
    1851
    Figure imgb2140
    2947antis23
    Figure imgb2141
    1852
    Figure imgb2142
    2948sense21
    Figure imgb2143
    1853
    Figure imgb2144
    2949antis23
    Figure imgb2145
    1854
    Figure imgb2146
    2950sense21
    Figure imgb2147
    1855
    Figure imgb2148
    2951antis23
    Figure imgb2149
    1856
    Figure imgb2150
    2952sense21
    Figure imgb2151
    1857
    Figure imgb2152
    2953antis23
    Figure imgb2153
    1858
    Figure imgb2154
    2954sense21
    Figure imgb2155
    1859
    Figure imgb2156
    2955antis23
    Figure imgb2157
    1860
    Figure imgb2158
    2956sense21
    Figure imgb2159
    1861
    Figure imgb2160
    2957antis23
    Figure imgb2161
    1862
    Figure imgb2162
    2958sense21
    Figure imgb2163
    1863
    Figure imgb2164
    2959antis23
    Figure imgb2165
    1864
    Figure imgb2166
    2960sense21
    Figure imgb2167
    1865
    Figure imgb2168
    2961antis23
    Figure imgb2169
    1866
    Figure imgb2170
    2962sense21
    Figure imgb2171
    1867
    Figure imgb2172
    2963antis23
    Figure imgb2173
    1868
    Figure imgb2174
    2964sense21
    Figure imgb2175
    1869
    Figure imgb2176
    2965antis23
    Figure imgb2177
    1870
    Figure imgb2178
    2966sense21
    Figure imgb2179
    1871
    Figure imgb2180
    2967antis23
    Figure imgb2181
    1872
    Figure imgb2182
    2968sense21
    Figure imgb2183
    1873
    Figure imgb2184
    2969antis23
    Figure imgb2185
    1874
    Figure imgb2186
    2970sense21
    Figure imgb2187
    1875
    Figure imgb2188
    2971antis23
    Figure imgb2189
    1876
    Figure imgb2190
    2972sense21
    Figure imgb2191
    1877
    Figure imgb2192
    2973antis23
    Figure imgb2193
    1878
    Figure imgb2194
    2974sense21
    Figure imgb2195
    1879
    Figure imgb2196
    2975antis23
    Figure imgb2197
    1880
    Figure imgb2198
    2976sense21
    Figure imgb2199
    1881
    Figure imgb2200
    2977antis23
    Figure imgb2201
    1882
    Figure imgb2202
    2978sense21
    Figure imgb2203
    1883
    Figure imgb2204
    2979antis23
    Figure imgb2205
    1884
    Figure imgb2206
    2980sense21
    Figure imgb2207
    1885
    Figure imgb2208
    2981antis23
    Figure imgb2209
    1886
    Figure imgb2210
    2982sense21
    Figure imgb2211
    1887
    Figure imgb2212
    2983antis23
    Figure imgb2213
    1888
    Figure imgb2214
    2984sense21
    Figure imgb2215
    1889
    Figure imgb2216
    2985antis23
  • The present invention furthermore comprises the following items:
    1. A double stranded RNAi agent capable of inhibiting expression of HAO1 in a cell, wherein said double stranded RNAi agent comprises a sense strand and an antisense strand forming a double-stranded region, wherein said sense strand comprises at least 15 contiguous nucleotides differing by no more than 3 nucleotides from any one of the nucleotide sequences of SEQ ID NO:1 SEQ ID NO:2, SEQ ID NO:5, or SEQ ID NO:6 and said antisense strand comprises at least 15 contiguous nucleotides differing by no more than 3 nucleotides from any one of the nucleotide sequences of SEQ ID NO:3 SEQ ID NO:4, SEQ ID NO:7, or SEQ ID NO:8;
    • wherein substantially all of the nucleotides of said sense strand and substantially all of the nucleotides of said antisense strand are modified nucleotides, and
    • wherein said sense strand is conjugated to a ligand attached at the 3'-terminus.
    2. The double stranded RNAi agent ofitem 1, wherein all of the nucleotides of said sense strand and all of the nucleotides of said antisense strand are modified nucleotides.
    3. The double stranded RNAi agent ofitem 1, wherein said sense strand and said antisense strand comprise a region of complementarity which comprises at least 15 contiguous nucleotides differing by no more than 3 nucleotides from any one of the antisense sequences listed in Table 2.
    4. The double stranded RNAi agent of any one of items 1-3, wherein at least one of said modified nucleotides is selected from the group consisting of a 3'-terminal deoxy-thymine (dT) nucleotide, a 2'-O-methyl modified nucleotide, a 2'-fluoro modified nucleotide, a 2'-deoxy-modified nucleotide, a locked nucleotide, an abasic nucleotide, a 2'-amino-modified nucleotide, a 2'-alkyl-modified nucleotide, a morpholino nucleotide, a phosphoramidate, a non-natural base comprising nucleotide, a nucleotide comprising a 5'-phosphorothioate group, a nucleotide comprising a 5' phosphate or 5' phosphate mimic, and a terminal nucleotide linked to a cholesteryl derivative or a dodecanoic acid bisdecylamide group.
    5. The double stranded RNAi agent of anyitem 1, wherein at least one strand comprises a 3' overhang of at least 1 nucleotide.
    6. The double stranded RNAi agent ofitem 1, wherein at least one strand comprises a 3' overhang of at least 2 nucleotides.
    7. A double stranded RNAi agent capable of inhibiting expression of HAO1 (hydroxyacid oxidase 1) in a cell, wherein said double stranded RNAi agent comprises a sense strand complementary to an antisense strand, wherein said antisense strand comprises a region complementary to part of an mRNA encoding HAO1, wherein each strand is about 14 to about 30 nucleotides in length, wherein said double stranded RNAi agent is represented by formula (III):
    • sense:

              5'np -Na -(X X X)i-Nb -Y Y Y -Nb -(Z Z Z)j -Na - nq 3'

    • antisense:

              3' np'-Na'-(X'XX')k-Nb'-Y'Y'Y'-Nb'-(Z'Z'Z')1-Na'-nq' 5'     (III)

    wherein:
    • i, j, k, and 1 are each independently 0 or 1;
    • p, p', q, and q' are each independently 0-6;
    • each Na and Na' independently represents an oligonucleotide sequence comprising 0-25 nucleotides which are either modified or unmodified or combinations thereof, each sequence comprising at least two differently modified nucleotides;
    • each Nb and Nb' independently represents an oligonucleotide sequence comprising 0-10 nucleotides which are either modified or unmodified or combinations thereof;
    • each np, np', nq, and nq', each of which may or may not be present, independently represents an overhang nucleotide;
    • XXX, YYY, ZZZ, X'X'X', Y'Y'Y', and Z'Z'Z' each independently represent one motif of three identical modifications on three consecutive nucleotides;
    • modifications on Nb differ from the modification on Y and modifications on Nb' differ from the modification on Y'; and
    • wherein the sense strand is conjugated to at least one ligand.
    8. The double stranded RNAi agent ofitem 7, wherein i is 0; j is 0; i is 1; j is 1; both i and j are 0; or both i and j are 1.
    9. The double stranded RNAi agent ofitem 7, wherein k is 0;1 is 0; k is 1;1 is 1; both k and 1 are 0; or both k and 1 are 1.
    10. The double stranded RNAi agent ofitem 7, wherein XXX is complementary to X'X'X', YYY is complementary to Y'Y'Y', and ZZZ is complementary to Z'Z'Z'.
    11. The double stranded RNAi agent ofitem 7, wherein the YYY motif occurs at or near the cleavage site of the sense strand.
    12. The double stranded RNAi agent ofitem 7, wherein the Y'Y'Y' motif occurs at the 11, 12 and 13 positions of the antisense strand from the 5'-end.
    13. The double stranded RNAi agent ofitem 12, wherein the Y' is 2'-O-methyl.
    14. The double stranded RNAi agent ofitem 7, wherein formula (III) is represented by formula (IIIa):
    • sense:

              5'np -Na -Y Y Y -Na - nq 3'

    • antisense:

              3' np'-Na'- Y'Y'Y'- Na'- nq' 5'     (IIIa),

    15. The double stranded RNAi agent ofitem 7, wherein formula (III) is represented by formula (IIIb):
    • sense:

              5'np -Na -Y Y Y -Nb -Z Z Z -Na - nq 3'

    • antisense:

              3' np'-Na'- Y'Y'Y'-Nb'-Z'Z'Z'- Na'- nq' 5'     (IIIb)

    wherein each Nb and Nb' independently represents an oligonucleotide sequence comprising 1-5 modified nucleotides.
    16. The double stranded RNAi agent ofitem 7, wherein formula (III) is represented by formula (IIIc):
    • sense:

              5'np -Na -XXX -Nb -YYY -Na - nq 3'

    • antisense:

              3' np'-Na'- X'X'X'-Nb'- Y'Y'Y'- Na'- nq' 5'     (IIIc)

    wherein each Nb and Nb' independently represents an oligonucleotide sequence comprising 1-5 modified nucleotides.
    17. The double stranded RNAi agent ofitem 7, wherein formula (III) is represented by formula (IIId):
    • sense:

              5' np -Na -X X X- Nb -Y Y Y -Nb -Z Z Z -Na - nq 3'

    • antisense:

              3' np'-Na'- X'X'X'- Nb'-Y'Y'Y'-Nb'-Z'Z'Z'- Na'- nq' 5'     (IIId)

    wherein each Nb and Nb' independently represents an oligonucleotide sequence comprising 1-5 modified nucleotides and each Na and Na' independently represents an oligonucleotide sequence comprising 2-10 modified nucleotides.
    18. The double stranded RNAi agent ofitem 7, wherein the double-stranded region is 15-30 nucleotide pairs in length.
    19. The double stranded RNAi agent of item 18, wherein the double-stranded region is 17-23 nucleotide pairs in length.
    20. The double stranded RNAi agent of item 18. wherein the double-stranded region is 17-25 nucleotide pairs in length.
    21. The double stranded RNAi agent of item 18, wherein the double-stranded region is 23-27 nucleotide pairs in length.
    22. The double stranded RNAi agent of item 18, wherein the double-stranded region is 19-21 nucleotide pairs in length.
    23. The double stranded RNAi agent of item 18, wherein the double-stranded region is 21-23 nucleotide pairs in length.
    24. The double stranded RNAi agent ofitem 7, wherein each strand has 15-30 nucleotides.
    25. The double stranded RNAi agent ofitem 1 or 7, wherein each strand has 19-30 nucleotides.
    26. The double stranded RNAi agent ofitem 7, wherein the modifications on the nucleotides are selected from the group consisting of LNA, HNA, CeNA, 2'-methoxyethyl, 2'-O-alkyl, 2'-O-allyl, 2'-C- allyl, 2'-fluoro, 2'-deoxy, 2'-hydroxyl, and combinations thereof.
    27. The double stranded RNAi agent of item 26, wherein the modifications on the nucleotides are 2'-O-methyl or 2'-fluoro modifications.
    28. The double stranded RNAi agent ofitem 1 or 7, wherein the ligand is one or more GalNAc derivatives attached through a bivalent or trivalent branched linker.
    29. The double stranded RNAi agent ofitem 1 or 7, wherein the ligand is
    Figure imgb2217
    30. The double stranded RNAi agent ofitem 1 or 7, wherein the ligand is attached to the 3' end of the sense strand.
    31. The double stranded RNAi agent ofitem 30, wherein the RNAi agent is conjugated to the ligand as shown in the following schematic
    Figure imgb2218
    wherein X is O or S.
    32. The double stranded RNAi agent ofitem 1 or 7, wherein said agent further comprises at least one phosphorothioate or methylphosphonate internucleotide linkage.
    33. The double stranded RNAi agent of item 32, wherein the phosphorothioate or methylphosphonate intemucleotide linkage is at the 3'-terminus of one strand.
    34. The double stranded RNAi agent ofitem 33, wherein said strand is the antisense strand.
    35. The double stranded RNAi agent ofitem 33, wherein said strand is the sense strand.
    36. The double stranded RNAi agent of item 32, wherein the phosphorothioate or methylphosphonate internucleotide linkage is at the 5'-terminus of one strand.
    37. The double stranded RNAi agent ofitem 36, wherein said strand is the antisense strand.
    38. The double stranded RNAi agent ofitem 36, wherein said strand is the sense strand.
    39. The double stranded RNAi agent of item 32, wherein the phosphorothioate or methylphosphonate internucleotide linkage is at the both the 5'- and 3'-terminus of one strand.
    40. The double stranded RNAi agent ofitem 39, wherein said strand is the antisense strand.
    41. The double stranded RNAi agent of item 32, wherein said RNAi agent comprises 6-8 phosphorothioate internucleotide linkages.
    42. The double stranded RNAi ofitem 41, wherein the antisense strand comprises two phosphorothioate internucleotide linkages at the 5'-terminus and two phosphorothioate internucleotide linkages at the 3'-terminus, and the sense strand comprises at least two phosphorothioate internucleotide linkages at either the 5'-terminus or the 3'-terminus.
    43. The double stranded RNAi agent ofitem 1 or 7, wherein the base pair at the 1 position of the 5'-end of the antisense strand of the duplex is an AU base pair.
    44. The double stranded RNAi agent ofitem 7, wherein the Y nucleotides contain a 2'-fluoro modification.
    45. The double stranded RNAi agent ofitem 7, wherein the Y' nucleotides contain a 2'-O-methyl modification.
    46. The double stranded RNAi agent ofitem 7, wherein p'>0.
    47. The double stranded RNAi agent ofitem 7, wherein p'=2.
    48. The double stranded RNAi agent of item 47, wherein q'=0, p=0, q=0, and p' overhang nucleotides are complementary to the target mRNA.
    49. The double stranded RNAi agent of item 47, wherein q'=0, p=0, q=0, and p' overhang nucleotides are non-complementary to the target mRNA.
    50. The double stranded RNAi agent ofitem 41, wherein the sense strand has a total of 21 nucleotides and the antisense strand has a total of 23 nucleotides.
    51. The double stranded RNAi agent of any one of items 46-50, wherein at least one np' is linked to a neighboring nucleotide via a phosphorothioate linkage.
    52. The double stranded RNAi agent of item 51, wherein all np' are linked to neighboring nucleotides via phosphorothioate linkages.
    53. The double stranded RNAi agent ofitem 1 or 7, wherein said RNAi agent is selected from the group of RNAi agents listed in any one of Tables 1 or 2.
    54. The double stranded RNAi agent ofitem 1, wherein the RNAi agent is selected from the group consisting of AD-62994 and AD-62933.
    55. The double stranded RNAi agent ofitem 7, wherein said RNAi agent is AD-62994 and AD-62933
    56. A double stranded RNAi agent capable of inhibiting expression of HAO1 in a cell,
    • wherein said double stranded RNAi agent comprises a sense strand and an antisense strand forming a double stranded region,
    • wherein said sense strand comprises at least 15 contiguous nucleotides differing by no more than 3 nucleotides from any one of the nucleotide sequences of from any one of the nucleotide sequences of SEQ ID NO:1 SEQ ID NO:2, SEQ ID NO:5, or SEQ ID NO:6 and said antisense strand comprises at least 15 contiguous nucleotides differing by no more than 3 nucleotides from any one of the nucleotide sequences of SEQ ID NO:3 SEQ ID NO:4, SEQ ID NO:7, or SEQ ID NO:8,
    • wherein substantially all of the nucleotides of said sense strand comprise a modification selected from the group consisting of a 2'-O-methyl modification and a 2'-fluoro modification,
    • wherein said sense strand comprises two phosphorothioate internucleotide linkages at the 5'-terminus,
    • wherein substantially all of the nucleotides of said antisense strand comprise a modification selected from the group consisting of a 2'-O-methyl modification and a 2'-fluoro modification,
    • wherein said antisense strand comprises two phosphorothioate internucleotide linkages at the 5'-terminus and two phosphorothioate intemucleotide linkages at the 3'-terminus, and
    • wherein said sense strand is conjugated to one or more GalNAc derivatives attached through a branched bivalent or trivalent linker at the 3'-terminus.
    57. The double stranded RNAi agent ofitem 56, wherein all of the nucleotides of said sense strand and all of the nucleotides of said antisense strand comprise a modification.
    58. A double stranded RNAi agent capable of inhibiting expression of HAO1(hydroxyacid oxidase 1) in a cell, wherein said double stranded RNAi agent comprises a sense strand complementary to an antisense strand, wherein said antisense strand comprises a region complementary to part of an mRNA encoding HAO1, wherein each strand is about 14 to about 30 nucleotides in length, wherein said double stranded RNAi agent is represented by formula (III):
    sense:5' np -Na -(X X X)i-Nb -Y Y Y -Nb -(Z Z Z)j -Na - nq 3'
    antisense:3' np'-Na'-(X'X'X')k-Nb'-Y'Y'Y'-Nb'-(Z'Z'Z')l-Na'- nq' 5'
    wherein:
    • i, j, k, and 1 are each independently 0 or 1;
    • p, p', q, and q' are each independently 0-6;
    • each Na and Na' independently represents an oligonucleotide sequence comprising 0-25 nucleotides which are either modified or unmodified or combinations thereof, each sequence comprising at least two differently modified nucleotides;
    • each Nb and Nb' independently represents an oligonucleotide sequence comprising 0-10 nucleotides which are either modified or unmodified or combinations thereof;
    • each np, np', nq, and nq', each of which may or may not be present independently represents an overhang nucleotide;
    • XXX, YYY, ZZZ, X'X'X', Y'Y'Y', and Z'Z'Z' each independently represent one motif of three identical modifications on three consecutive nucleotides, and wherein the modifications are 2'-O-methyl or 2'-fluoro modifications;
    • modifications on Nb differ from the modification on Y and modifications on Nb' differ from the modification on Y'; and
    • wherein the sense strand is conjugated to at least one ligand.
    59. A double stranded RNAi agent capable of inhibiting the expression of HAO1 (hydroxyacid oxidase 1) in a cell, wherein said double stranded RNAi agent comprises a sense strand complementary to an antisense strand, wherein said antisense strand comprises a region complementary to part of an mRNA encoding HAO1, wherein each strand is about 14 to about 30 nucleotides in length, wherein said double stranded RNAi agent is represented by formula (III):
    sense:5'np -Na -(X X X)i-Nb -Y Y Y -Nb -(Z Z Z)j -Na - nq 3'
    antisense:3' np'-Na'-(X'X'X')k-Nb'-YY'Y'-Nb'-(Z'Z'Z')1-Na'- nq' 5'
    wherein:
    • i, j, k, and l are each independently 0 or 1;
    • each np, nq, and nq', each of which may or may not be present, independently represents an overhang nucleotide;
    • p, q, and q' are each independently 0-6;
    • np' >0 and at least one np' is linked to a neighboring nucleotide via a phosphorothioate linkage;
    • each Na and Na' independently represents an oligonucleotide sequence comprising 0-25 nucleotides which are either modified or unmodified or combinations thereof, each sequence comprising at least two differently modified nucleotides;
    • each Nb and Nb' independently represents an oligonucleotide sequence comprising 0-10 nucleotides which are either modified or unmodified or combinations thereof;
      XXX, YYY, ZZZ, X'X'X', Y'Y'Y', and Z'Z'Z' each independently represent one motif of three identical modifications on three consecutive nucleotides, and wherein the modifications are 2'-O-methyl or 2'-fluoro modifications;
    • modifications on Nb differ from the modification on Y and modifications on Nb' differ from the modification on Y'; and
    • wherein the sense strand is conjugated to at least one ligand.
    60. A double stranded RNAi agent capable of inhibiting the expression of HAO1 (hydroxyacid oxidase 1) in a cell, wherein said double stranded RNAi agent comprises a sense strand complementary to an antisense strand, wherein said antisense strand comprises a region complementary to part of an mRNA encoding HAO1, wherein each strand is about 14 to about 30 nucleotides in length, wherein said double stranded RNAi agent is represented by formula (III):
    sense:5' np -Na -(X X X)i-Nb -Y Y Y -Nb -(Z Z Z)j -Na - nq 3'
    antisense:3' np'-Na'-(X'X'X')k-Nb'-Y'Y'Y'-Nb'-(Z'Z'Z')l-Na'- nq' 5'
    wherein:
    • i, j, k, and 1 are each independently 0 or 1;
    • each np, nq, and nq', each of which may or may not be present, independently represents an overhang nucleotide;
    • p, q, and q' are each independently 0-6;
    • np' >0 and at least one np' is linked to a neighboring nucleotide via a phosphorothioate linkage;
    • each Na and Na' independently represents an oligonucleotide sequence comprising 0-25 nucleotides which are either modified or unmodified or combinations thereof, each sequence comprising at least two differently modified nucleotides;
    • each Nb and Nb' independently represents an oligonucleotide sequence comprising 0-10 nucleotides which are either modified or unmodified or combinations thereof;
    • XXX, YYY, ZZZ, X'X'X', Y'Y'Y', and Z'Z'Z' each independently represent one motif of three identical modifications on three consecutive nucleotides, and wherein the modifications are 2'-O-methyl or 2'-fluoro modifications;
    • modifications on Nb differ from the modification on Y and modifications on Nb' differ from the modification on Y'; and
    • wherein the sense strand is conjugated to at least one ligand, wherein the ligand is one or more GalNAc derivatives attached through a bivalent or trivalent branched linker.
    61. A double stranded RNAi agent capable of inhibiting the expression of HAO1 (hydroxyacid oxidase 1) in a cell, wherein said double stranded RNAi agent comprises a sense strand complementary to an antisense strand, wherein said antisense strand comprises a region complementary to part of an mRNA encoding HAO1, wherein each strand is about 14 to about 30 nucleotides in length, wherein said double stranded RNAi agent is represented by formula (III):
    sense:5'np -Na -(X X X)i-Nb -Y Y Y -Nb -(Z Z Z)j -Na - nq 3'
    antisense:3' np'-Na'-(X'X'X')k-Nb'-Y'Y'Y'-Nb'-(Z'Z'Z')1-Na'- nq' 5'
    wherein:
    • i, j, k, and 1 are each independently 0 or 1;
    • each np, nq, and nq', each of which may or may not be present, independently represents an overhang nucleotide;
    • p, q, and q' are each independently 0-6;
    • np' >0 and at least one np' is linked to a neighboring nucleotide via a phosphorothioate linkage;
    • each Na and Na' independently represents an oligonucleotide sequence comprising 0-25 nucleotides which are either modified or unmodified or combinations thereof, each sequence comprising at least two differently modified nucleotides;
    • each Nb and Nb' independently represents an oligonucleotide sequence comprising 0-10 nucleotides which are either modified or unmodified or combinations thereof;
    • XXX, YYY, ZZZ, X'X'X', Y'Y'Y', and Z'Z'Z' each independently represent one motif of three identical modifications on three consecutive nucleotides, and wherein the modifications are 2'-O-methyl or 2'-fluoro modifications;
    • modifications on Nb differ from the modification on Y and modifications on Nb' differ from the modification on Y';
    • wherein the sense strand comprises at least one phosphorothioate linkage; and
    • wherein the sense strand is conjugated to at least one ligand, wherein the ligand is one or more GalNAc derivatives attached through a bivalent or trivalent branched linker.
    62. A double stranded RNAi agent capable of inhibiting the expression of HAO1 (hydroxyacid oxidase 1) in a cell, wherein said double stranded RNAi agent comprises a sense strand complementary to an antisense strand, wherein said antisense strand comprises a region complementary to part of an mRNA encoding HAO1, wherein each strand is about 14 to about 30 nucleotides in length, wherein said double stranded RNAi agent is represented by formula (III):
    sense:5' np -Na -Y Y Y - Na - nq 3'
    antisense:3' np'-Na'- Y'Y'Y'- Na'- nq' 5'(IIIa)
    wherein:
    • each np, nq, and nq', each of which may or may not be present, independently represents an overhang nucleotide;
    • p, q, and q' are each independently 0-6;
    • np' >0 and at least one np' is linked to a neighboring nucleotide via a phosphorothioate linkage;
    • each Na and Na' independently represents an oligonucleotide sequence comprising 0-25 nucleotides which are either modified or unmodified or combinations thereof, each sequence comprising at least two differently modified nucleotides;
    • YYY and Y'Y'Y' each independently represent one motif of three identical modifications on three consecutive nucleotides, and wherein the modifications are 2'-0-methyl or 2'-fluoro modifications;
    • wherein the sense strand comprises at least one phosphorothioate linkage; and
    • wherein the sense strand is conjugated to at least one ligand, wherein the ligand is one or more GalNAc derivatives attached through a bivalent or trivalent branched linker.
    63. An RNAi agent selected from the group of RNAi agents listed in Table 1 or 2.
    64. The RNAi agent ofitem 52, wherein the RNAi agent is selected from the group consisting of AD-62994 and AD-62933.
    65. A composition comprising a modified antisense polynucleotide agent capable of inhibiting expression of HAO1in a cell, wherein said agent comprises a sequence complementary to a sense sequence selected from the group of the sequences listed in any one of Tables 1 or 2, wherein the polynucleotide is about 14 to about 30 nucleotides in length.
    66. A vector containing the double stranded RNAi agent of any one ofitems 1, 7, 56, and 58-64.
    67. A cell containing the double stranded RNAi agent of any one ofitems 1, 7, 56, and 58-64 .
    68. A pharmaceutical composition comprising the double stranded RNAi agent of any one ofitems 1, 7, 56, and 58-64, or the modified antisense polynucleotide agent of claim 65, or the vector of claim 66 .
    69. The pharmaceutical composition ofitem 68, wherein RNAi agent is administered in an unbuffered solution.
    70. The pharmaceutical composition of item 69, wherein said unbuffered solution is saline or water.
    71. The pharmaceutical composition ofitem 68, wherein said siRNA is administered with a buffer solution.
    72. The pharmaceutical composition of item 71, wherein said buffer solution comprises acetate, citrate, prolamine, carbonate, or phosphate or any combination thereof.
    73. The pharmaceutical composition ofitem 72, wherein said buffer solution is phosphate buffered saline (PBS).
    74. A method of inhibiting HAO1 expression in a cell, the method comprising:
    1. (a) contacting the cell with the double stranded RNAi agent of any one ofitems 1, 7, 56, and 58-64 , or the modified antisense polynucleotide agent of item 65, or the vector of item 66, or a pharmaceutical composition of any one of items 68-73; and
    2. (b) maintaining the cell produced in step (a) for a time sufficient to obtain degradation of the mRNA transcript of a HAO1 gene, thereby inhibiting expression of the HAO1 gene in the cell.
    75. The method of item 74, wherein said cell is within a subject.
    76. The method of item 75, wherein the subject is a human.
    77. The method of any one of items 74-76, wherein the HAO1 expression is inhibited by at least about 30%, about 40%, about 50%, about 60%, about 70%, about 80%, about 90%, about 95%, about 98% or about 100%.
    78. A method of treating a subject having a HAO1 associated disorder, comprising administering to the subject a therapeutically effective amount of the double stranded RNAi agent of any one ofitems 1, 7, 56, and 58-64 , or the modified antisense polynucleotide agent of item 65, or the vector of item 66, or a pharmaceutical composition of any one of items 68-73 , thereby treating said subject.
    79. A method of treating a subject having a HAO1-associated disorder, comprising subcutaneously administering to the subject a therapeutically effective amount of a double stranded RNAi agent,
    • wherein said double stranded RNAi agent comprises a sense strand and an antisense strand forming a double stranded region,
    • wherein said sense strand comprises at least 15 contiguous nucleotides differing by no more than 3 nucleotides from any one of the nucleotide sequences of from any one of the nucleotide sequences of SEQ ID NO:1 SEQ ID NO:2, SEQ ID NO:5, or SEQ ID NO:6 and said antisense strand comprises at least 15 contiguous nucleotides differing by no more than 3 nucleotides from any one of the nucleotide sequences of SEQ ID NO:3 SEQ ID NO:4, SEQ ID NO:7, or SEQ ID NO:8,
    • wherein substantially all of the nucleotides of said antisense strand comprise a modification selected from the group consisting of a 2'-O-methyl modification and a 2'-fluoromodification,
    • wherein said antisense strand comprises two phosphorothioate internucleotide linkages at the 5'-terminus and two phosphorothioate internucleotide linkages at the 3'-terminus,
    • wherein substantially all of the nucleotides of said sense strand comprise a modification selected from the group consisting of a 2'-O-methyl modification and a 2'-fluoromodification,
    • wherein said sense strand comprises two phosphorothioate internucleotide linkages at the 5'-terminus and,
    • wherein said sense strand is conjugated to one or more GalNAc derivatives attached through a branched bivalent or trivalent linker at the 3'-terminus, thereby treating the subject.
    80. The method of item of item 79, wherein all of the nucleotides of said sense strand and all of the nucleotides of said antisense strand comprise a modification.
    81. The method ofitem 78 or 79, wherein the subject is a human.
    82. The method of item 81, wherein the human has PH1.
    83. The method ofitem 78 or 79, wherein the double stranded RNAi agent is administered at a dose of about 0.01 mg/kg to about 10 mg/kg or about 1 mg/kg to about 10 mg/kg.
    84. The method of item 83, wherein the double stranded RNAi agent is administered at a dose of about 0.1 mg/kg, about 1.0 mg/kg, or about 3.0 mg/kg.
    85. The method of item 83, wherein the double stranded RNAi agent is administered at a dose of about 1 mg/kg to about 10 mg/kg.
    86. The method of item 83, wherein the double stranded RNAi agent is administered subcutaneously.
    87. The method of item 83, wherein the double stranded RNAi agent is administered intravenously.
    88. The method of item 83, wherein said RNAi agent is administered in two or more doses.
    89. The method of item 88, wherein said RNAi agent is administered at intervals selected from the group consisting of once every about 12 hours, once every about 24 hours, once every about 48 hours, once every about 72 hours, and once every about 96 hours.
    90. The method of item 88, wherein said RNAi agent is administered once a week for up to 2 weeks, up to 3 weeks, up to 4 weeks, up to 5 weeks, or longer.

Claims (18)

  1. A double stranded RNAi agent capable of inhibiting expression of HAO1 in a cell,
    wherein said double stranded RNAi agent comprises a sense strand and an antisense strand forming a double-stranded region, wherein said sense strand comprises nucleotides differing by no more than 3 nucleotides from any one of the nucleotide sequences of GAAUGUGAAAGUCAUCGACAA (SEQ ID NO:394), GAAAGUCAUCGACAAGACAUU (SEQ ID NO:396), or GACUUUCAUCCUGGAAAUAUA (SEQ ID NO:589), and said antisense strand comprises nucleotides differing by no more than 3 nucleotides from any one of the nucleotide sequences of UUGUCGAUGACUUUCACAUUCUG (SEQ ID NO:443), AAUGUCUUGUCGAUGACUUUCAC (SEQ ID NO:445)or UAUAUUUCCAGGAUGAAAGUCCA (SEQ ID NO:706); and
    wherein substantially all of the nucleotides of said sense strand and substantially all of the nucleotides of said antisense strand are modified nucleotides, and
    wherein said sense strand is conjugated to a ligand attached at the 3'-terminus.
  2. The double stranded RNAi agent of claim 1, wherein at least one of said modified nucleotides is selected from the group consisting of a 3'-terminal deoxy-thymine (dT) nucleotide, a 2'-O-methyl modified nucleotide, a 2'-fluoro modified nucleotide, a 2'-deoxy-modified nucleotide, a locked nucleotide, an abasic nucleotide, a 2'-amino-modified nucleotide, a 2'-alkyl-modified nucleotide, a morpholino nucleotide, a phosphoramidate, a non-natural base comprising nucleotide, a nucleotide comprising a 5'-phosphorothioate group, a nucleotide comprising a 5' phosphate or 5' phosphate mimic, and a terminal nucleotide linked to a cholesteryl derivative or a dodecanoic acid bisdecylamide group.
  3. The double stranded RNAi agent of claim 1, wherein each modified nucleotide is a 2'-O-methyl modified nucleotide or a 2'-fluoro modified nucleotide.
  4. The double stranded RNAi agent of claim 1, wherein at least one of said modified nucleotides is a nucleotide comprising a 5'-phosphorothioate group.
  5. The double stranded RNAi agent of claim 1, wherein at least one strand comprises a 3' overhang of at least 1 nucleotide or at least 2 nucleotides.
  6. The double stranded RNAi agent of claim 1, wherein the ligand is
    Figure imgb2219
  7. The double stranded RNAi agent of claim 1, wherein the ligand is attached to the 3' end of the sense strand.
  8. The double stranded RNAi agent of claim 7, wherein the RNAi agent is conjugated to the ligand as shown in the following schematic
    Figure imgb2220
    wherein X is O or S.
  9. The double stranded RNAi agent of claim 1, wherein said agent further comprises at least one phosphorothioate or methylphosphonate internucleotide linkage.
  10. The double stranded RNAi agent of claim 10, wherein the phosphorothioate or methylphosphonate internucleotide linkage is at the 3'-terminus of one strand.
  11. The double stranded RNAi agent of claim 10, wherein said RNAi agent comprises 6-8 phosphorothioate internucleotide linkages.
  12. The double stranded RNAi of claim 12, wherein the antisense strand comprises two phosphorothioate internucleotide linkages at the 5'-terminus and two phosphorothioate internucleotide linkages at the 3'-terminus, and the sense strand comprises at least two phosphorothioate internucleotide linkages at either the 5'-terminus or the 3'-terminus.
  13. The double stranded RNAi agent of claim 1, wherein the base pair at the 1 position of the 5'-end of the antisense strand of the duplex is an AU base pair.
  14. The double stranded RNAi agent of claim 1, wherein the RNAi agent is selected from the group consisting of AD-62994, AD-62933, AD-65585, and AD-62944.
  15. The double stranded RNAi agent of claim 1,
    wherein substantially all of the nucleotides of said sense strand comprise a modification selected from the group consisting of a 2'-O-methyl modification and a 2'-fluoro modification,
    wherein said sense strand comprises two phosphorothioate internucleotide linkages at the 5'-terminus,
    wherein substantially all of the nucleotides of said antisense strand comprise a modification selected from the group consisting of a 2'-O-methyl modification and a 2'-fluoro modification,
    wherein said antisense strand comprises two phosphorothioate internucleotide linkages at the 5'-terminus and two phosphorothioate internucleotide linkages at the 3'-terminus, and
    wherein said sense strand is conjugated to one or more GalNAc derivatives attached through a branched bivalent or trivalent linker at the 3'-terminus.
  16. The double stranded RNAi agent of claim 15, wherein all of the nucleotides of said sense strand and all of the nucleotides of said antisense strand comprise a modification.
  17. The double stranded RNAi agent of any one of claims 1 to 16 for use intreating a subject having a HAO1-associated disorder, wherein the double stranded RNAi agent is to be subcutaneously administered to the subject..
  18. The double stranded RNAi agent for use of claim 17, wherein the subject is a human.
EP21212946.4A2014-10-102015-10-09Compositions and methods for inhibition of hao1 (hydroxyacid oxidase 1 (glycolate oxidase)) gene expressionPendingEP4039809A1 (en)

Applications Claiming Priority (5)

Application NumberPriority DateFiling DateTitle
US201462062751P2014-10-102014-10-10
US201562147976P2015-04-152015-04-15
US201562214602P2015-09-042015-09-04
PCT/US2015/054881WO2016057893A1 (en)2014-10-102015-10-09Compositions and methods for inhibition of hao1 (hydroxyacid oxidase 1 (glycolate oxidase)) gene expression
EP15848512.8AEP3204015B1 (en)2014-10-102015-10-09Compositions and methods for inhibition of hao1 (hydroxyacid oxidase 1 (glycolate oxidase)) gene expression

Related Parent Applications (1)

Application NumberTitlePriority DateFiling Date
EP15848512.8ADivisionEP3204015B1 (en)2014-10-102015-10-09Compositions and methods for inhibition of hao1 (hydroxyacid oxidase 1 (glycolate oxidase)) gene expression

Publications (1)

Publication NumberPublication Date
EP4039809A1true EP4039809A1 (en)2022-08-10

Family

ID=55653836

Family Applications (2)

Application NumberTitlePriority DateFiling Date
EP21212946.4APendingEP4039809A1 (en)2014-10-102015-10-09Compositions and methods for inhibition of hao1 (hydroxyacid oxidase 1 (glycolate oxidase)) gene expression
EP15848512.8AActiveEP3204015B1 (en)2014-10-102015-10-09Compositions and methods for inhibition of hao1 (hydroxyacid oxidase 1 (glycolate oxidase)) gene expression

Family Applications After (1)

Application NumberTitlePriority DateFiling Date
EP15848512.8AActiveEP3204015B1 (en)2014-10-102015-10-09Compositions and methods for inhibition of hao1 (hydroxyacid oxidase 1 (glycolate oxidase)) gene expression

Country Status (41)

CountryLink
US (4)US10478500B2 (en)
EP (2)EP4039809A1 (en)
JP (3)JP6836988B2 (en)
KR (2)KR102558604B1 (en)
CN (2)CN113599389B (en)
AU (3)AU2015330726B9 (en)
BR (1)BR112017006469A2 (en)
CA (2)CA2963843C (en)
CO (1)CO2017004728A2 (en)
CR (1)CR20170190A (en)
CY (2)CY1125364T1 (en)
DK (1)DK3204015T3 (en)
DO (1)DOP2017000094A (en)
EA (1)EA037115B1 (en)
EC (1)ECSP17028310A (en)
ES (1)ES2905889T3 (en)
FI (1)FIC20220011I1 (en)
HR (1)HRP20211971T1 (en)
HU (2)HUE057327T2 (en)
IL (3)IL293229B2 (en)
JO (2)JOP20200115A1 (en)
LT (2)LT3204015T (en)
LU (1)LUC00252I2 (en)
MX (2)MX382225B (en)
MY (1)MY192926A (en)
NO (1)NO2022009I1 (en)
NZ (1)NZ730404A (en)
PE (1)PE20171763A1 (en)
PH (1)PH12017500669A1 (en)
PL (1)PL3204015T3 (en)
PT (1)PT3204015T (en)
RS (1)RS62854B1 (en)
SG (2)SG11201702836PA (en)
SI (1)SI3204015T1 (en)
SM (1)SMT202200026T1 (en)
TN (1)TN2017000125A1 (en)
TW (4)TW202342749A (en)
UA (1)UA126266C2 (en)
UY (1)UY36357A (en)
WO (1)WO2016057893A1 (en)
ZA (1)ZA201702071B (en)

Families Citing this family (23)

* Cited by examiner, † Cited by third party
Publication numberPriority datePublication dateAssigneeTitle
TWI695066B (en)2011-06-302020-06-01美商艾羅海德製藥公司Compositions and methods for inhibiting gene expression of hepatitis b virus
HUE055470T2 (en)*2013-12-272021-11-29Dicerna Pharmaceuticals Inc Methods and Compositions for Specific Inhibition of Glycolate Oxidase (HAO1) by Double Strand RNA
JOP20200115A1 (en)2014-10-102017-06-16Alnylam Pharmaceuticals IncCompositions And Methods For Inhibition Of HAO1 (Hydroxyacid Oxidase 1 (Glycolate Oxidase)) Gene Expression
EP3310918B1 (en)2015-06-182020-08-05Alnylam Pharmaceuticals, Inc.Polynucleotide agents targeting hydroxyacid oxidase (glycolate oxidase, hao1) and methods of use thereof
EP3332007A4 (en)2015-08-072019-07-17Arrowhead Pharmaceuticals, Inc. RNA INTERFERENCE THERAPY FOR HEPATITIS B VIRUS INFECTION
JOP20170161A1 (en)2016-08-042019-01-30Arrowhead Pharmaceuticals IncRNAi Agents for Hepatitis B Virus Infection
AU2017368050A1 (en)2016-11-292019-06-20Puretech Lyt, Inc.Exosomes for delivery of therapeutic agents
ES2639863B1 (en)2017-03-102018-09-20Universidad De Granada COMPOUNDS FOR THE TREATMENT OF DISEASES CAUSED BY THE ACCUMULATION OF OXALATE
SG11201909433XA (en)2017-04-112019-11-28Arbutus Biopharma CorpTargeted compositions
WO2019014530A1 (en)2017-07-132019-01-17Alnylam Pharmaceuticals Inc.Lactate dehydrogenase a (ldha) irna compositions and methods of use thereof
JP7337044B2 (en)*2017-07-132023-09-01アルナイラム ファーマシューティカルズ, インコーポレイテッド Method for inhibiting HAO1 (hydroxy acid oxidase 1 (glycolic acid oxidase)) gene expression
TWI851574B (en)*2018-05-142024-08-11美商阿尼拉製藥公司ANGIOTENSINOGEN (AGT) iRNA COMPOSITIONS AND METHODS OF USE THEREOF
WO2020132227A2 (en)*2018-12-192020-06-25Alnylam Pharmaceuticals, Inc.AMYLOID PRECURSOR PROTEIN (APP) RNAi AGENT COMPOSITIONS AND METHODS OF USE THEREOF
WO2020132659A1 (en)*2018-12-212020-06-25Precision Biosciences, Inc.Genetic modification of the hydroxyacid oxidase 1 gene for treatment of primary hyperoxaluria
CN120381447A (en)2019-11-012025-07-29紫丁香疗法有限公司 Heterocyclic carboxylate compounds as glycolate oxidase inhibitors
CA3166370A1 (en)*2019-11-272021-06-03Dtx Pharma, Inc.Compounds and methods for the treatment of duchenne muscular dystrophy
EP4121534A1 (en)*2020-03-182023-01-25Alnylam Pharmaceuticals, Inc.Compositions and methods for treating subjects having a heterozygous alanine-glyoxylate aminotransferase gene (agxt) variant
EP4232581A1 (en)2020-10-212023-08-30Alnylam Pharmaceuticals, Inc.Methods and compositions for treating primary hyperoxaluria
IL302733B2 (en)2020-11-122025-05-01Prec Biosciences IncEngineered meganucleases having specificity for recognition sequences in the dystrophin gene
WO2022119873A1 (en)2020-12-012022-06-09Alnylam Pharmaceuticals, Inc.Methods and compositions for inhibition of hao1 (hydroxyacid oxidase 1 (glycolate oxidase)) gene expression
EP4314293A1 (en)*2021-04-012024-02-07Alnylam Pharmaceuticals, Inc.Proline dehydrogenase 2 (prodh2) irna compositions and methods of use thereof
CN117642505A (en)2021-06-042024-03-01神经微核糖核酸治疗有限公司 Antisense oligonucleotides targeting adenosine kinase
EP4373934A1 (en)2021-07-192024-05-29Alnylam Pharmaceuticals, Inc.Methods and compositions for treating subjects having or at risk of developing a non-primary hyperoxaluria disease or disorder

Citations (186)

* Cited by examiner, † Cited by third party
Publication numberPriority datePublication dateAssigneeTitle
US3687808A (en)1969-08-141972-08-29Univ Leland Stanford JuniorSynthetic polynucleotides
US4469863A (en)1980-11-121984-09-04Ts O Paul O PNonionic nucleic acid alkyl and aryl phosphonates and processes for manufacture and use thereof
US4476301A (en)1982-04-291984-10-09Centre National De La Recherche ScientifiqueOligonucleotides, a process for preparing the same and their application as mediators of the action of interferon
US4683202A (en)1985-03-281987-07-28Cetus CorporationProcess for amplifying nucleic acid sequences
WO1988004924A1 (en)1986-12-241988-07-14Liposome Technology, Inc.Liposomes with enhanced circulation time
US4837028A (en)1986-12-241989-06-06Liposome Technology, Inc.Liposomes with enhanced circulation time
US4845205A (en)1985-01-081989-07-04Institut Pasteur2,N6 -disubstituted and 2,N6 -trisubstituted adenosine-3'-phosphoramidites
US4897355A (en)1985-01-071990-01-30Syntex (U.S.A.) Inc.N[ω,(ω-1)-dialkyloxy]- and N-[ω,(ω-1)-dialkenyloxy]-alk-1-yl-N,N,N-tetrasubstituted ammonium lipids and uses therefor
US4981957A (en)1984-07-191991-01-01Centre National De La Recherche ScientifiqueOligonucleotides with modified phosphate and modified carbohydrate moieties at the respective chain termini
US5023243A (en)1981-10-231991-06-11Molecular Biosystems, Inc.Oligonucleotide therapeutic agent and method of making same
US5034506A (en)1985-03-151991-07-23Anti-Gene Development GroupUncharged morpholino-based polymers having achiral intersubunit linkages
WO1991016024A1 (en)1990-04-191991-10-31Vical, Inc.Cationic lipids for intracellular delivery of biologically active molecules
US5118800A (en)1983-12-201992-06-02California Institute Of TechnologyOligonucleotides possessing a primary amino group in the terminal nucleotide
US5134066A (en)1989-08-291992-07-28Monsanto CompanyImproved probes using nucleosides containing 3-dezauracil analogs
US5139941A (en)1985-10-311992-08-18University Of Florida Research Foundation, Inc.AAV transduction vectors
US5166315A (en)1989-12-201992-11-24Anti-Gene Development GroupSequence-specific binding polymers for duplex nucleic acids
US5171678A (en)1989-04-171992-12-15Centre National De La Recherche ScientifiqueLipopolyamines, their preparation and their use
US5175273A (en)1988-07-011992-12-29Genentech, Inc.Nucleic acid intercalating agents
US5177195A (en)1991-01-081993-01-05Imperial Chemical Industries PlcDisazo dyes
US5185444A (en)1985-03-151993-02-09Anti-Gene Deveopment GroupUncharged morpolino-based polymers having phosphorous containing chiral intersubunit linkages
US5188897A (en)1987-10-221993-02-23Temple University Of The Commonwealth System Of Higher EducationEncapsulated 2',5'-phosphorothioate oligoadenylates
US5214134A (en)1990-09-121993-05-25Sterling Winthrop Inc.Process of linking nucleosides with a siloxane bridge
US5216141A (en)1988-06-061993-06-01Benner Steven AOligonucleotide analogs containing sulfur linkages
US5235033A (en)1985-03-151993-08-10Anti-Gene Development GroupAlpha-morpholino ribonucleoside derivatives and polymers thereof
US5252479A (en)1991-11-081993-10-12Research Corporation Technologies, Inc.Safe vector for gene therapy
US5264423A (en)1987-03-251993-11-23The United States Of America As Represented By The Department Of Health And Human ServicesInhibitors for replication of retroviruses and for the expression of oncogene products
US5264564A (en)1989-10-241993-11-23Gilead SciencesOligonucleotide analogs with novel linkages
WO1993024641A2 (en)1992-06-021993-12-09The United States Of America, As Represented By The Secretary, Department Of Health & Human ServicesAdeno-associated virus with inverted terminal repeat sequences as promoter
WO1993024640A2 (en)1992-06-041993-12-09The Regents Of The University Of CaliforniaMethods and compositions for in vivo gene therapy
US5276019A (en)1987-03-251994-01-04The United States Of America As Represented By The Department Of Health And Human ServicesInhibitors for replication of retroviruses and for the expression of oncogene products
WO1994000569A1 (en)1992-06-181994-01-06Genpharm International, Inc.Methods for producing transgenic non-human animals harboring a yeast artificial chromosome
US5278302A (en)1988-05-261994-01-11University Patents, Inc.Polynucleotide phosphorodithioates
US5283185A (en)1991-08-281994-02-01University Of Tennessee Research CorporationMethod for delivering nucleic acids into cells
WO1994002595A1 (en)1992-07-171994-02-03Ribozyme Pharmaceuticals, Inc.Method and reagent for treatment of animal diseases
US5319080A (en)1991-10-171994-06-07Ciba-Geigy CorporationBicyclic nucleosides, oligonucleotides, process for their preparation and intermediates
WO1994012649A2 (en)1992-12-031994-06-09Genzyme CorporationGene therapy for cystic fibrosis
US5321131A (en)1990-03-081994-06-14Hybridon, Inc.Site-specific functionalization of oligodeoxynucleotides for non-radioactive labelling
WO1994013788A1 (en)1992-12-041994-06-23University Of PittsburghRecombinant viral vector system
US5359044A (en)1991-12-131994-10-25Isis PharmaceuticalsCyclobutyl oligonucleotide surrogates
US5367066A (en)1984-10-161994-11-22Chiron CorporationOligonucleotides with selectably cleavable and/or abasic sites
US5399676A (en)1989-10-231995-03-21Gilead SciencesOligonucleotides with inverted polarity
US5405939A (en)1987-10-221995-04-11Temple University Of The Commonwealth System Of Higher Education2',5'-phosphorothioate oligoadenylates and their covalent conjugates with polylysine
US5405938A (en)1989-12-201995-04-11Anti-Gene Development GroupSequence-specific binding polymers for duplex nucleic acids
US5432272A (en)1990-10-091995-07-11Benner; Steven A.Method for incorporating into a DNA or RNA oligonucleotide using nucleotides bearing heterocyclic bases
US5434257A (en)1992-06-011995-07-18Gilead Sciences, Inc.Binding compentent oligomers containing unsaturated 3',5' and 2',5' linkages
US5436146A (en)1989-09-071995-07-25The Trustees Of Princeton UniversityHelper-free stocks of recombinant adeno-associated virus vectors
US5446137A (en)1993-12-091995-08-29Syntex (U.S.A.) Inc.Oligonucleotides containing 4'-substituted nucleotides
US5445934A (en)1989-06-071995-08-29Affymax Technologies N.V.Array of oligonucleotides on a solid substrate
US5455233A (en)1989-11-301995-10-03University Of North CarolinaOligoribonucleoside and oligodeoxyribonucleoside boranophosphates
US5457187A (en)1993-12-081995-10-10Board Of Regents University Of NebraskaOligonucleotides containing 5-fluorouracil
US5459255A (en)1990-01-111995-10-17Isis Pharmaceuticals, Inc.N-2 substituted purines
US5466677A (en)1993-03-061995-11-14Ciba-Geigy CorporationDinucleoside phosphinates and their pharmaceutical compositions
US5466786A (en)1989-10-241995-11-14Gilead Sciences2'modified nucleoside and nucleotide compounds
US5470967A (en)1990-04-101995-11-28The Dupont Merck Pharmaceutical CompanyOligonucleotide analogs with sulfamate linkages
US5476925A (en)1993-02-011995-12-19Northwestern UniversityOligodeoxyribonucleotides including 3'-aminonucleoside-phosphoramidate linkages and terminal 3'-amino groups
US5484908A (en)1991-11-261996-01-16Gilead Sciences, Inc.Oligonucleotides containing 5-propynyl pyrimidines
US5489677A (en)1990-07-271996-02-06Isis Pharmaceuticals, Inc.Oligonucleoside linkages containing adjacent oxygen and nitrogen atoms
US5502177A (en)1993-09-171996-03-26Gilead Sciences, Inc.Pyrimidine derivatives for labeled binding partners
US5514785A (en)1990-05-111996-05-07Becton Dickinson And CompanySolid supports for nucleic acid hybridization assays
US5519126A (en)1988-03-251996-05-21University Of Virginia Alumni Patents FoundationOligonucleotide N-alkylphosphoramidates
US5519134A (en)1994-01-111996-05-21Isis Pharmaceuticals, Inc.Pyrrolidine-containing monomers and oligomers
US5525711A (en)1994-05-181996-06-11The United States Of America As Represented By The Secretary Of The Department Of Health And Human ServicesPteridine nucleotide analogs as fluorescent DNA probes
US5539082A (en)1993-04-261996-07-23Nielsen; Peter E.Peptide nucleic acids
US5541307A (en)1990-07-271996-07-30Isis Pharmaceuticals, Inc.Backbone modified oligonucleotide analogs and solid phase synthesis thereof
US5541316A (en)1992-02-111996-07-30Henkel Kommanditgesellschaft Auf AktienProcess for the production of polysaccharide-based polycarboxylates
US5543152A (en)1994-06-201996-08-06Inex Pharmaceuticals CorporationSphingosomes for enhanced drug delivery
US5550111A (en)1984-07-111996-08-27Temple University-Of The Commonwealth System Of Higher EducationDual action 2',5'-oligoadenylate antiviral derivatives and uses thereof
US5552540A (en)1987-06-241996-09-03Howard Florey Institute Of Experimental Physiology And MedicineNucleoside derivatives
US5561225A (en)1990-09-191996-10-01Southern Research InstitutePolynucleotide analogs containing sulfonate and sulfonamide internucleoside linkages
US5567811A (en)1990-05-031996-10-22Amersham International PlcPhosphoramidite derivatives, their preparation and the use thereof in the incorporation of reporter groups on synthetic oligonucleotides
US5571799A (en)1991-08-121996-11-05Basco, Ltd.(2'-5') oligoadenylate analogues useful as inhibitors of host-v5.-graft response
US5576427A (en)1993-03-301996-11-19Sterling Winthrop, Inc.Acyclic nucleoside analogs and oligonucleotide sequences containing them
WO1996037194A1 (en)1995-05-261996-11-28Somatix Therapy CorporationDelivery vehicles comprising stable lipid/nucleic acid complexes
WO1996040964A2 (en)1995-06-071996-12-19Inex Pharmaceuticals CorporationLipid-nucleic acid particles prepared via a hydrophobic lipid-nucleic acid complex intermediate and use for gene transfer
US5587361A (en)1991-10-151996-12-24Isis Pharmaceuticals, Inc.Oligonucleotides having phosphorothioate linkages of high chiral purity
US5591722A (en)1989-09-151997-01-07Southern Research Institute2'-deoxy-4'-thioribonucleosides and their antiviral activity
US5594121A (en)1991-11-071997-01-14Gilead Sciences, Inc.Enhanced triple-helix and double-helix formation with oligomers containing modified purines
US5596091A (en)1994-03-181997-01-21The Regents Of The University Of CaliforniaAntisense oligonucleotides comprising 5-aminoalkyl pyrimidine nucleotides
US5596086A (en)1990-09-201997-01-21Gilead Sciences, Inc.Modified internucleoside linkages having one nitrogen and two carbon atoms
US5597909A (en)1994-08-251997-01-28Chiron CorporationPolynucleotide reagents containing modified deoxyribose moieties, and associated methods of synthesis and use
US5602240A (en)1990-07-271997-02-11Ciba Geigy Ag.Backbone modified oligonucleotide analogs
US5608046A (en)1990-07-271997-03-04Isis Pharmaceuticals, Inc.Conjugated 4'-desmethyl nucleoside analog compounds
US5610289A (en)1990-07-271997-03-11Isis Pharmaceuticals, Inc.Backbone modified oligonucleotide analogues
US5610300A (en)1992-07-011997-03-11Ciba-Geigy CorporationCarbocyclic nucleosides containing bicyclic rings, oligonucleotides therefrom, process for their preparation, their use and intermediates
US5614617A (en)1990-07-271997-03-25Isis Pharmaceuticals, Inc.Nuclease resistant, pyrimidine modified oligonucleotides that detect and modulate gene expression
US5618704A (en)1990-07-271997-04-08Isis Pharmacueticals, Inc.Backbone-modified oligonucleotide analogs and preparation thereof through radical coupling
WO1997013499A1 (en)1995-10-111997-04-17The University Of British ColumbiaLiposomal formulations of mitoxantrone
US5623070A (en)1990-07-271997-04-22Isis Pharmaceuticals, Inc.Heteroatomic oligonucleoside linkages
US5623008A (en)1994-12-281997-04-22Toyoda Gosei Co., Ltd.Rubber composition for glass-run
US5625050A (en)1994-03-311997-04-29Amgen Inc.Modified oligonucleotides and intermediates useful in nucleic acid therapeutics
US5627053A (en)1994-03-291997-05-06Ribozyme Pharmaceuticals, Inc.2'deoxy-2'-alkylnucleotide containing nucleic acid
US5633360A (en)1992-04-141997-05-27Gilead Sciences, Inc.Oligonucleotide analogs capable of passive cell membrane permeation
US5639873A (en)1992-02-051997-06-17Centre National De La Recherche Scientifique (Cnrs)Oligothionucleotides
US5646265A (en)1990-01-111997-07-08Isis Pharmceuticals, Inc.Process for the preparation of 2'-O-alkyl purine phosphoramidites
US5658873A (en)1993-04-101997-08-19Degussa AktiengesellschaftCoated sodium percarbonate particles, a process for their production and detergent, cleaning and bleaching compositions containing them
WO1997030731A2 (en)1996-02-211997-08-28The Immune Response CorporationMethod of preparing polynucleotide-carrier complexes for delivery to cells
US5663312A (en)1993-03-311997-09-02SanofiOligonucleotide dimers with amide linkages replacing phosphodiester linkages
US5665557A (en)1994-11-141997-09-09Systemix, Inc.Method of purifying a population of cells enriched for hematopoietic stem cells populations of cells obtained thereby and methods of use thereof
US5670633A (en)1990-01-111997-09-23Isis Pharmaceuticals, Inc.Sugar modified oligonucleotides that detect and modulate gene expression
US5677439A (en)1990-08-031997-10-14SanofiOligonucleotide analogues containing phosphate diester linkage substitutes, compositions thereof, and precursor dinucleotide analogues
US5677195A (en)1991-11-221997-10-14Affymax Technologies N.V.Combinatorial strategies for polymer synthesis
US5677437A (en)1990-07-271997-10-14Isis Pharmaceuticals, Inc.Heteroatomic oligonucleoside linkages
US5681941A (en)1990-01-111997-10-28Isis Pharmaceuticals, Inc.Substituted purines and oligonucleotide cross-linking
US5705188A (en)1993-02-191998-01-06Nippon Shinyaku Company, Ltd.Drug composition containing nucleic acid copolymer
US5714331A (en)1991-05-241998-02-03Buchardt, Deceased; OlePeptide nucleic acids having enhanced binding affinity, sequence specificity and solubility
US5719262A (en)1993-11-221998-02-17Buchardt, Deceased; OlePeptide nucleic acids having amino acid side chains
US5744305A (en)1989-06-071998-04-28Affymetrix, Inc.Arrays of materials attached to a substrate
US5750692A (en)1990-01-111998-05-12Isis Pharmaceuticals, Inc.Synthesis of 3-deazapurines
US5770722A (en)1994-10-241998-06-23Affymetrix, Inc.Surface-bound, unimolecular, double-stranded DNA
WO1998039359A1 (en)1997-03-061998-09-11Genta IncorporatedDimeric cationic lipids on dicystine basis
US5854033A (en)1995-11-211998-12-29Yale UniversityRolling circle replication reporter systems
US5874219A (en)1995-06-071999-02-23Affymetrix, Inc.Methods for concurrently processing multiple biological chip assays
US5981276A (en)1990-06-201999-11-09Dana-Farber Cancer InstituteVectors containing HIV packaging sequences, packaging defective HIV vectors, and uses thereof
US5981501A (en)1995-06-071999-11-09Inex Pharmaceuticals Corp.Methods for encapsulating plasmids in lipid bilayers
US6015886A (en)1993-05-242000-01-18Chemgenes CorporationOligonucleotide phosphate esters
WO2000003683A2 (en)1998-07-202000-01-27Inex Pharmaceuticals CorporationLiposomal encapsulated nucleic acid-complexes
US6028188A (en)1993-11-162000-02-22Genta IncorporatedSynthetic oligomers having chirally pure phosphonate internucleosidyl linkages mixed with non-phosphonate internucleosidyl linkages
WO2000022114A1 (en)1998-10-092000-04-20Ingene, Inc.PRODUCTION OF ssDNA $i(IN VIVO)
WO2000022113A1 (en)1998-10-092000-04-20Ingene, Inc.ENZYMATIC SYNTHESIS OF ssDNA
US6054299A (en)1994-04-292000-04-25Conrad; Charles A.Stem-loop cloning vector and method
US6124445A (en)1994-11-232000-09-26Isis Pharmaceuticals, Inc.Phosphotriester oligonucleotides, amidities and method of preparation
US6143520A (en)1995-10-162000-11-07Dana-Farber Cancer Institute, Inc.Expression vectors and methods of use
US6147200A (en)1999-08-192000-11-14Isis Pharmaceuticals, Inc.2'-O-acetamido modified monomers and oligomers
US6160109A (en)1995-10-202000-12-12Isis Pharmaceuticals, Inc.Preparation of phosphorothioate and boranophosphate oligomers
US6166197A (en)1995-03-062000-12-26Isis Pharmaceuticals, Inc.Oligomeric compounds having pyrimidine nucleotide (S) with 2'and 5 substitutions
US6169170B1 (en)1994-03-182001-01-02Lynx Therapeutics, Inc.Oligonucleotide N3′→N5′Phosphoramidate Duplexes
US6172209B1 (en)1997-02-142001-01-09Isis Pharmaceuticals Inc.Aminooxy-modified oligonucleotides and methods for making same
US6191105B1 (en)1993-05-102001-02-20Protein Delivery, Inc.Hydrophilic and lipophilic balanced microemulsion formulations of free-form and/or conjugation-stabilized therapeutic agents such as insulin
US6222025B1 (en)1995-03-062001-04-24Isis Pharmaceuticals, Inc.Process for the synthesis of 2′-O-substituted pyrimidines and oligomeric compounds therefrom
US6235887B1 (en)1991-11-262001-05-22Isis Pharmaceuticals, Inc.Enhanced triple-helix and double-helix formation directed by oligonucleotides containing modified pyrimidines
US6239265B1 (en)1990-01-112001-05-29Isis Pharmaceuticals, Inc.Oligonucleotides having chiral phosphorus linkages
US6268490B1 (en)1997-03-072001-07-31Takeshi ImanishiBicyclonucleoside and oligonucleotide analogues
US6277603B1 (en)1991-12-242001-08-21Isis Pharmaceuticals, Inc.PNA-DNA-PNA chimeric macromolecules
US6326199B1 (en)1991-12-242001-12-04Isis Pharmaceuticals, Inc.Gapped 2′ modified oligonucleotides
US6346614B1 (en)1992-07-232002-02-12Hybridon, Inc.Hybrid oligonucleotide phosphorothioates
US6444423B1 (en)1996-06-072002-09-03Molecular Dynamics, Inc.Nucleosides comprising polydentate ligands
US20030027780A1 (en)1999-02-232003-02-06Hardee Gregory E.Multiparticulate formulation
US6528640B1 (en)1997-11-052003-03-04Ribozyme Pharmaceuticals, IncorporatedSynthetic ribonucleic acids with RNAse activity
US6531590B1 (en)1998-04-242003-03-11Isis Pharmaceuticals, Inc.Processes for the synthesis of oligonucleotide compounds
US6534639B1 (en)1999-07-072003-03-18Isis Pharmaceuticals, Inc.Guanidinium functionalized oligonucleotides and method/synthesis
US6586410B1 (en)1995-06-072003-07-01Inex Pharmaceuticals CorporationLipid-nucleic acid particles prepared via a hydrophobic lipid-nucleic acid complex intermediate and use for gene transfer
US6608035B1 (en)1994-10-252003-08-19Hybridon, Inc.Method of down-regulating gene expression
US6617438B1 (en)1997-11-052003-09-09Sirna Therapeutics, Inc.Oligoribonucleotides with enzymatic activity
US6639062B2 (en)1997-02-142003-10-28Isis Pharmaceuticals, Inc.Aminooxy-modified nucleosidic compounds and oligomeric compounds prepared therefrom
US6670461B1 (en)1997-09-122003-12-30Exiqon A/SOligonucleotide analogues
US6747014B2 (en)1997-07-012004-06-08Isis Pharmaceuticals, Inc.Compositions and methods for non-parenteral delivery of oligonucleotides
US6858715B2 (en)1999-02-042005-02-22Isis Pharmaceuticals, Inc.Process for the synthesis of oligomeric compounds
US6867294B1 (en)1998-07-142005-03-15Isis Pharmaceuticals, Inc.Gapped oligomers having site specific chiral phosphorothioate internucleoside linkages
US6878805B2 (en)2002-08-162005-04-12Isis Pharmaceuticals, Inc.Peptide-conjugated oligomeric compounds
US6998484B2 (en)2000-10-042006-02-14Santaris Pharma A/SSynthesis of purine locked nucleic acid analogues
US7015315B1 (en)1991-12-242006-03-21Isis Pharmaceuticals, Inc.Gapped oligonucleotides
US7045610B2 (en)1998-04-032006-05-16Epoch Biosciences, Inc.Modified oligonucleotides for mismatch discrimination
US7053207B2 (en)1999-05-042006-05-30Exiqon A/SL-ribo-LNA analogues
US7063860B2 (en)2001-08-132006-06-20University Of PittsburghApplication of lipid vehicles and use for drug delivery
US7070802B1 (en)1996-01-222006-07-04Pliva, Inc.Pharmaceutical compositions for lipophilic drugs
US7084125B2 (en)1999-03-182006-08-01Exiqon A/SXylo-LNA analogues
US7157099B2 (en)2000-05-262007-01-02Italfarmaco S.P.A.Sustained release pharmaceutical compositions for the parenteral administration of hydrophilic compounds
WO2007091269A2 (en)2006-02-082007-08-16Quark Pharmaceuticals, Inc.NOVEL TANDEM siRNAS
US7273933B1 (en)1998-02-262007-09-25Isis Pharmaceuticals, Inc.Methods for synthesis of oligonucleotides
WO2007117686A2 (en)2006-04-072007-10-18Idera Pharmaceuticals, Inc.Stabilized immune modulatory rna (simra) compounds for tlr7 and tlr8
US7321029B2 (en)2000-01-212008-01-22Geron Corporation2′-arabino-fluorooligonucleotide N3′→P5′ phosphoramidates: their synthesis and use
WO2008042973A2 (en)2006-10-032008-04-10Alnylam Pharmaceuticals, Inc.Lipid containing formulations
US7399845B2 (en)2006-01-272008-07-15Isis Pharmaceuticals, Inc.6-modified bicyclic nucleic acid analogs
US7427672B2 (en)2003-08-282008-09-23Takeshi ImanishiArtificial nucleic acids of n-o bond crosslinkage type
US7427605B2 (en)2005-03-312008-09-23Calando Pharmaceuticals, Inc.Inhibitors of ribonucleotide reductase subunit 2 and uses thereof
WO2009014887A2 (en)2007-07-092009-01-29Idera Pharmaceuticals, Inc.Stabilized immune modulatory rna (simra) compounds
US7495088B1 (en)1989-12-042009-02-24Enzo Life Sciences, Inc.Modified nucleotide compounds
WO2009127060A1 (en)2008-04-152009-10-22Protiva Biotherapeutics, Inc.Novel lipid formulations for nucleic acid delivery
WO2010048536A2 (en)2008-10-232010-04-29Alnylam Pharmaceuticals, Inc.Processes for preparing lipids
WO2010141511A2 (en)2009-06-012010-12-09Halo-Bio Rnai Therapeutics, Inc.Polynucleotides for multivalent rna interference, compositions and methods of use thereof
US20100324120A1 (en)2009-06-102010-12-23Jianxin ChenLipid formulation
US7858769B2 (en)2004-02-102010-12-28Sirna Therapeutics, Inc.RNA interference mediated inhibition of gene expression using multifunctional short interfering nucleic acid (multifunctional siNA)
WO2011005860A2 (en)2009-07-072011-01-13Alnylam Pharmaceuticals, Inc.5' phosphate mimics
WO2011005861A1 (en)2009-07-072011-01-13Alnylam Pharmaceuticals, Inc.Oligonucleotide end caps
WO2011031520A1 (en)2009-08-272011-03-17Idera Pharmaceuticals, Inc.Composition for inhibiting gene expression and uses thereof
US8101348B2 (en)2002-07-102012-01-24Max-Planck-Gesellschaft Zur Foerderung Der Wissenschaften E.V.RNA-interference by single-stranded RNA molecules
US8106022B2 (en)2007-12-042012-01-31Alnylam Pharmaceuticals, Inc.Carbohydrate conjugates as delivery agents for oligonucleotides
WO2012023960A2 (en)*2010-08-172012-02-23Transalgae (Israel) LtdTransgenically mitigating the establishment and spread of transgenic algae in natural ecosystems by suppressing the activity of a carbon concentrating mechanism
WO2013075035A1 (en)2011-11-182013-05-23Alnylam PharmaceuticalsRnai agents, compositions and methods of use thereof for treating transthyretin (ttr) associated diseases
WO2014025805A1 (en)2012-08-062014-02-13Alnylam Pharmaceuticals, Inc.Carbohydrate conjugated rna agents and process for their preparation
WO2014160129A2 (en)*2013-03-142014-10-02Alnylam Pharmaceuticals, Inc.Complement component c5 irna compositions and methods of use thereof
WO2015100436A1 (en)*2013-12-272015-07-02Dicerna Pharmaceuticals, Inc.Methods and compositions for the specific inhibition of glycolate oxidase (hao1) by double-stranded rna
US10833934B2 (en)2015-06-302020-11-10British Telecommunications Public Limited CompanyEnergy management in a network
US10916185B1 (en)2019-09-302021-02-09Xiamen Tianma Micro-Electronics Co., Ltd.Array substrate, display panel, display device and array-substrate manufacturing method
US10946873B2 (en)2019-04-302021-03-16GM Global Technology Operations LLCDistracted driving elimination system
US11598905B2 (en)2020-03-192023-03-07Korea Institute Of Science And TechnologyInverted nanocone structure for optical device and method of producing the same

Family Cites Families (37)

* Cited by examiner, † Cited by third party
Publication numberPriority datePublication dateAssigneeTitle
US513030A (en)1894-01-16Machine for waxing or coating paper
US564562A (en)1896-07-21Joseph p
WO2002081628A2 (en)2001-04-052002-10-17Ribozyme Pharmaceuticals, IncorporatedModulation of gene expression associated with inflammation proliferation and neurite outgrowth, using nucleic acid based technologies
CA2429814C (en)2000-12-012014-02-18Thomas TuschlRna interference mediating small rna molecules
US20050176025A1 (en)2001-05-182005-08-11Sirna Therapeutics, Inc.RNA interference mediated inhibition of B-cell CLL/Lymphoma-2 (BCL-2) gene expression using short interfering nucleic acid (siNA)
US20030170891A1 (en)2001-06-062003-09-11Mcswiggen James A.RNA interference mediated inhibition of epidermal growth factor receptor gene expression using short interfering nucleic acid (siNA)
WO2003051388A2 (en)*2001-12-182003-06-26Mondobiotech Laboratories AnstaltPharmaceutical composition of interferon gamma or pirfenidone with molecular diagnostics for the improved treatment of interstitial lung diseases
US7923547B2 (en)*2002-09-052011-04-12Sirna Therapeutics, Inc.RNA interference mediated inhibition of gene expression using chemically modified short interfering nucleic acid (siNA)
WO2004032865A2 (en)*2002-10-092004-04-22Central Iowa Health SystemAntitumor vaccination using allogeneic tumor cells expressing alpha (1,3)-galactosyltransferase
US9879266B2 (en)2002-11-142018-01-30Thermo Fisher Scientific Inc.Methods and compositions for selecting siRNA of improved functionality
EP2305812A3 (en)2002-11-142012-06-06Dharmacon, Inc.Fuctional and hyperfunctional sirna
WO2004090108A2 (en)2003-04-032004-10-21Alnylam PharmaceuticalsIrna conjugates
AU2004220556B2 (en)2003-03-072009-05-07Alnylam Pharmaceuticals, Inc.Therapeutic compositions
ES2905724T3 (en)2003-06-132022-04-11Alnylam Europe Ag Double-stranded ribonucleic acid with high efficacy in an organism
CA2559955C (en)*2004-03-152016-02-16City Of HopeMethods and compositions for the specific inhibition of gene expression by double-stranded rna
US7642348B2 (en)*2004-10-042010-01-05Rosetta Genomics LtdProstate cancer-related nucleic acids
KR101362681B1 (en)2006-03-312014-02-13알닐람 파마슈티칼스 인코포레이티드Compositions and methods for inhibiting expression of Eg5 gene
CA2651839C (en)*2006-05-112016-02-09Alnylam Pharmaceuticals, Inc.Compositions and methods for inhibiting expression of the pcsk9 gene
US8598333B2 (en)2006-05-262013-12-03Alnylam Pharmaceuticals, Inc.SiRNA silencing of genes expressed in cancer
US20110130442A1 (en)*2008-06-042011-06-02Kyowa Hakko Kirin Co., Ltd.Nucleic acid capable of controlling degranulation of mast cell
EP2169071A1 (en)*2008-09-292010-03-31Max-Planck-Gesellschaft zur Förderung der Wissenschaften e.V.Rodent cancer model for human FGFR4 Arg388 polymorphism
US9051567B2 (en)2009-06-152015-06-09Tekmira Pharmaceuticals CorporationMethods for increasing efficacy of lipid formulated siRNA
PT2539451E (en)*2010-02-242016-03-28Arrowhead Res CorpCompositions for targeted delivery of sirna
EP2553160B1 (en)*2010-03-262015-04-22Danisco US Inc.Treatment of keratinous fibers with an enzyme having perhydrolase activity
US8945847B2 (en)*2010-05-242015-02-03Yissum Research Development Company Of The Hebrew University Of Jerusalem Ltd.Methods and kits for ascertaining biosafety of an agent
KR102232287B1 (en)*2011-06-212021-03-29알닐람 파마슈티칼스 인코포레이티드Angiopoietin-like 3(angptl3) irna compostions and methods of use thereof
US9228188B2 (en)*2011-06-212016-01-05Alnylam Pharmaceuticals, Inc.Compositions and method for inhibiting hepcidin antimicrobial peptide (HAMP) or HAMP-related gene expression
EP2780454A2 (en)2011-11-182014-09-24Alnylam Pharmaceuticals, Inc.Modified rnai agents
US20130142861A1 (en)*2011-12-052013-06-06National Yang Ming UniversityCompositions And Method For Detecting And Treating Abnormal Liver Homeostasis And Hepatocarcinogenesis
HK1206636A1 (en)*2012-04-022016-01-15Modernatx, Inc.Modified polynucleotides for the production of oncology-related proteins and peptides
US9133461B2 (en)*2012-04-102015-09-15Alnylam Pharmaceuticals, Inc.Compositions and methods for inhibiting expression of the ALAS1 gene
US9127274B2 (en)*2012-04-262015-09-08Alnylam Pharmaceuticals, Inc.Serpinc1 iRNA compositions and methods of use thereof
MX367076B (en)*2012-12-052019-08-05Alnylam Pharmaceuticals IncPCSK9 iRNA COMPOSITIONS AND METHODS OF USE THEREOF.
JP6440679B2 (en)*2013-03-142018-12-19ダイセルナ ファーマシューティカルズ, インコーポレイテッドDicerna Pharmaceuticals, Inc. Method for formulating anionic drugs
JOP20200115A1 (en)2014-10-102017-06-16Alnylam Pharmaceuticals IncCompositions And Methods For Inhibition Of HAO1 (Hydroxyacid Oxidase 1 (Glycolate Oxidase)) Gene Expression
EP3310918B1 (en)*2015-06-182020-08-05Alnylam Pharmaceuticals, Inc.Polynucleotide agents targeting hydroxyacid oxidase (glycolate oxidase, hao1) and methods of use thereof
JP7337044B2 (en)2017-07-132023-09-01アルナイラム ファーマシューティカルズ, インコーポレイテッド Method for inhibiting HAO1 (hydroxy acid oxidase 1 (glycolic acid oxidase)) gene expression

Patent Citations (205)

* Cited by examiner, † Cited by third party
Publication numberPriority datePublication dateAssigneeTitle
US3687808A (en)1969-08-141972-08-29Univ Leland Stanford JuniorSynthetic polynucleotides
US4469863A (en)1980-11-121984-09-04Ts O Paul O PNonionic nucleic acid alkyl and aryl phosphonates and processes for manufacture and use thereof
US5023243A (en)1981-10-231991-06-11Molecular Biosystems, Inc.Oligonucleotide therapeutic agent and method of making same
US4476301A (en)1982-04-291984-10-09Centre National De La Recherche ScientifiqueOligonucleotides, a process for preparing the same and their application as mediators of the action of interferon
US5118800A (en)1983-12-201992-06-02California Institute Of TechnologyOligonucleotides possessing a primary amino group in the terminal nucleotide
US5550111A (en)1984-07-111996-08-27Temple University-Of The Commonwealth System Of Higher EducationDual action 2',5'-oligoadenylate antiviral derivatives and uses thereof
US4981957A (en)1984-07-191991-01-01Centre National De La Recherche ScientifiqueOligonucleotides with modified phosphate and modified carbohydrate moieties at the respective chain termini
US5367066A (en)1984-10-161994-11-22Chiron CorporationOligonucleotides with selectably cleavable and/or abasic sites
US4897355A (en)1985-01-071990-01-30Syntex (U.S.A.) Inc.N[ω,(ω-1)-dialkyloxy]- and N-[ω,(ω-1)-dialkenyloxy]-alk-1-yl-N,N,N-tetrasubstituted ammonium lipids and uses therefor
US4845205A (en)1985-01-081989-07-04Institut Pasteur2,N6 -disubstituted and 2,N6 -trisubstituted adenosine-3'-phosphoramidites
US5185444A (en)1985-03-151993-02-09Anti-Gene Deveopment GroupUncharged morpolino-based polymers having phosphorous containing chiral intersubunit linkages
US5235033A (en)1985-03-151993-08-10Anti-Gene Development GroupAlpha-morpholino ribonucleoside derivatives and polymers thereof
US5034506A (en)1985-03-151991-07-23Anti-Gene Development GroupUncharged morpholino-based polymers having achiral intersubunit linkages
US4683202A (en)1985-03-281987-07-28Cetus CorporationProcess for amplifying nucleic acid sequences
US4683202B1 (en)1985-03-281990-11-27Cetus Corp
US5139941A (en)1985-10-311992-08-18University Of Florida Research Foundation, Inc.AAV transduction vectors
WO1988004924A1 (en)1986-12-241988-07-14Liposome Technology, Inc.Liposomes with enhanced circulation time
US4837028A (en)1986-12-241989-06-06Liposome Technology, Inc.Liposomes with enhanced circulation time
US5286717A (en)1987-03-251994-02-15The United States Of America As Represented By The Department Of Health And Human ServicesInhibitors for replication of retroviruses and for the expression of oncogene products
US5276019A (en)1987-03-251994-01-04The United States Of America As Represented By The Department Of Health And Human ServicesInhibitors for replication of retroviruses and for the expression of oncogene products
US5264423A (en)1987-03-251993-11-23The United States Of America As Represented By The Department Of Health And Human ServicesInhibitors for replication of retroviruses and for the expression of oncogene products
US5552540A (en)1987-06-241996-09-03Howard Florey Institute Of Experimental Physiology And MedicineNucleoside derivatives
US5405939A (en)1987-10-221995-04-11Temple University Of The Commonwealth System Of Higher Education2',5'-phosphorothioate oligoadenylates and their covalent conjugates with polylysine
US5188897A (en)1987-10-221993-02-23Temple University Of The Commonwealth System Of Higher EducationEncapsulated 2',5'-phosphorothioate oligoadenylates
US5519126A (en)1988-03-251996-05-21University Of Virginia Alumni Patents FoundationOligonucleotide N-alkylphosphoramidates
US5278302A (en)1988-05-261994-01-11University Patents, Inc.Polynucleotide phosphorodithioates
US5453496A (en)1988-05-261995-09-26University Patents, Inc.Polynucleotide phosphorodithioate
US5216141A (en)1988-06-061993-06-01Benner Steven AOligonucleotide analogs containing sulfur linkages
US5175273A (en)1988-07-011992-12-29Genentech, Inc.Nucleic acid intercalating agents
US5171678A (en)1989-04-171992-12-15Centre National De La Recherche ScientifiqueLipopolyamines, their preparation and their use
US5744305A (en)1989-06-071998-04-28Affymetrix, Inc.Arrays of materials attached to a substrate
US5445934A (en)1989-06-071995-08-29Affymax Technologies N.V.Array of oligonucleotides on a solid substrate
US5134066A (en)1989-08-291992-07-28Monsanto CompanyImproved probes using nucleosides containing 3-dezauracil analogs
US5436146A (en)1989-09-071995-07-25The Trustees Of Princeton UniversityHelper-free stocks of recombinant adeno-associated virus vectors
US5591722A (en)1989-09-151997-01-07Southern Research Institute2'-deoxy-4'-thioribonucleosides and their antiviral activity
US5399676A (en)1989-10-231995-03-21Gilead SciencesOligonucleotides with inverted polarity
US5466786B1 (en)1989-10-241998-04-07Gilead Sciences2' Modified nucleoside and nucleotide compounds
US5466786A (en)1989-10-241995-11-14Gilead Sciences2'modified nucleoside and nucleotide compounds
US5264564A (en)1989-10-241993-11-23Gilead SciencesOligonucleotide analogs with novel linkages
US5455233A (en)1989-11-301995-10-03University Of North CarolinaOligoribonucleoside and oligodeoxyribonucleoside boranophosphates
US7495088B1 (en)1989-12-042009-02-24Enzo Life Sciences, Inc.Modified nucleotide compounds
US5405938A (en)1989-12-201995-04-11Anti-Gene Development GroupSequence-specific binding polymers for duplex nucleic acids
US5166315A (en)1989-12-201992-11-24Anti-Gene Development GroupSequence-specific binding polymers for duplex nucleic acids
US5587469A (en)1990-01-111996-12-24Isis Pharmaceuticals, Inc.Oligonucleotides containing N-2 substituted purines
US5750692A (en)1990-01-111998-05-12Isis Pharmaceuticals, Inc.Synthesis of 3-deazapurines
US6239265B1 (en)1990-01-112001-05-29Isis Pharmaceuticals, Inc.Oligonucleotides having chiral phosphorus linkages
US5459255A (en)1990-01-111995-10-17Isis Pharmaceuticals, Inc.N-2 substituted purines
US5670633A (en)1990-01-111997-09-23Isis Pharmaceuticals, Inc.Sugar modified oligonucleotides that detect and modulate gene expression
US5681941A (en)1990-01-111997-10-28Isis Pharmaceuticals, Inc.Substituted purines and oligonucleotide cross-linking
US5646265A (en)1990-01-111997-07-08Isis Pharmceuticals, Inc.Process for the preparation of 2'-O-alkyl purine phosphoramidites
US5321131A (en)1990-03-081994-06-14Hybridon, Inc.Site-specific functionalization of oligodeoxynucleotides for non-radioactive labelling
US5536821A (en)1990-03-081996-07-16Worcester Foundation For Biomedical ResearchAminoalkylphosphorothioamidate oligonucleotide deratives
US5563253A (en)1990-03-081996-10-08Worcester Foundation For Biomedical ResearchLinear aminoalkylphosphoramidate oligonucleotide derivatives
US5470967A (en)1990-04-101995-11-28The Dupont Merck Pharmaceutical CompanyOligonucleotide analogs with sulfamate linkages
WO1991016024A1 (en)1990-04-191991-10-31Vical, Inc.Cationic lipids for intracellular delivery of biologically active molecules
US5567811A (en)1990-05-031996-10-22Amersham International PlcPhosphoramidite derivatives, their preparation and the use thereof in the incorporation of reporter groups on synthetic oligonucleotides
US5514785A (en)1990-05-111996-05-07Becton Dickinson And CompanySolid supports for nucleic acid hybridization assays
US5981276A (en)1990-06-201999-11-09Dana-Farber Cancer InstituteVectors containing HIV packaging sequences, packaging defective HIV vectors, and uses thereof
US5541307A (en)1990-07-271996-07-30Isis Pharmaceuticals, Inc.Backbone modified oligonucleotide analogs and solid phase synthesis thereof
US5677437A (en)1990-07-271997-10-14Isis Pharmaceuticals, Inc.Heteroatomic oligonucleoside linkages
US5489677A (en)1990-07-271996-02-06Isis Pharmaceuticals, Inc.Oligonucleoside linkages containing adjacent oxygen and nitrogen atoms
US5610289A (en)1990-07-271997-03-11Isis Pharmaceuticals, Inc.Backbone modified oligonucleotide analogues
US5618704A (en)1990-07-271997-04-08Isis Pharmacueticals, Inc.Backbone-modified oligonucleotide analogs and preparation thereof through radical coupling
US5608046A (en)1990-07-271997-03-04Isis Pharmaceuticals, Inc.Conjugated 4'-desmethyl nucleoside analog compounds
US5602240A (en)1990-07-271997-02-11Ciba Geigy Ag.Backbone modified oligonucleotide analogs
US5614617A (en)1990-07-271997-03-25Isis Pharmaceuticals, Inc.Nuclease resistant, pyrimidine modified oligonucleotides that detect and modulate gene expression
US5623070A (en)1990-07-271997-04-22Isis Pharmaceuticals, Inc.Heteroatomic oligonucleoside linkages
US5677439A (en)1990-08-031997-10-14SanofiOligonucleotide analogues containing phosphate diester linkage substitutes, compositions thereof, and precursor dinucleotide analogues
US5214134A (en)1990-09-121993-05-25Sterling Winthrop Inc.Process of linking nucleosides with a siloxane bridge
US5561225A (en)1990-09-191996-10-01Southern Research InstitutePolynucleotide analogs containing sulfonate and sulfonamide internucleoside linkages
US5596086A (en)1990-09-201997-01-21Gilead Sciences, Inc.Modified internucleoside linkages having one nitrogen and two carbon atoms
US5432272A (en)1990-10-091995-07-11Benner; Steven A.Method for incorporating into a DNA or RNA oligonucleotide using nucleotides bearing heterocyclic bases
US5177195A (en)1991-01-081993-01-05Imperial Chemical Industries PlcDisazo dyes
US5714331A (en)1991-05-241998-02-03Buchardt, Deceased; OlePeptide nucleic acids having enhanced binding affinity, sequence specificity and solubility
US5571799A (en)1991-08-121996-11-05Basco, Ltd.(2'-5') oligoadenylate analogues useful as inhibitors of host-v5.-graft response
US5283185A (en)1991-08-281994-02-01University Of Tennessee Research CorporationMethod for delivering nucleic acids into cells
US5587361A (en)1991-10-151996-12-24Isis Pharmaceuticals, Inc.Oligonucleotides having phosphorothioate linkages of high chiral purity
US5393878A (en)1991-10-171995-02-28Ciba-Geigy CorporationBicyclic nucleosides, oligonucleotides, process for their preparation and intermediates
US5319080A (en)1991-10-171994-06-07Ciba-Geigy CorporationBicyclic nucleosides, oligonucleotides, process for their preparation and intermediates
US5594121A (en)1991-11-071997-01-14Gilead Sciences, Inc.Enhanced triple-helix and double-helix formation with oligomers containing modified purines
US5252479A (en)1991-11-081993-10-12Research Corporation Technologies, Inc.Safe vector for gene therapy
US5677195A (en)1991-11-221997-10-14Affymax Technologies N.V.Combinatorial strategies for polymer synthesis
US5484908A (en)1991-11-261996-01-16Gilead Sciences, Inc.Oligonucleotides containing 5-propynyl pyrimidines
US6235887B1 (en)1991-11-262001-05-22Isis Pharmaceuticals, Inc.Enhanced triple-helix and double-helix formation directed by oligonucleotides containing modified pyrimidines
US6380368B1 (en)1991-11-262002-04-30Isis Pharmaceuticals, Inc.Enhanced triple-helix and double-helix formation with oligomers containing modified pyrimidines
US5359044A (en)1991-12-131994-10-25Isis PharmaceuticalsCyclobutyl oligonucleotide surrogates
US7015315B1 (en)1991-12-242006-03-21Isis Pharmaceuticals, Inc.Gapped oligonucleotides
US6326199B1 (en)1991-12-242001-12-04Isis Pharmaceuticals, Inc.Gapped 2′ modified oligonucleotides
US6277603B1 (en)1991-12-242001-08-21Isis Pharmaceuticals, Inc.PNA-DNA-PNA chimeric macromolecules
US5639873A (en)1992-02-051997-06-17Centre National De La Recherche Scientifique (Cnrs)Oligothionucleotides
US5541316A (en)1992-02-111996-07-30Henkel Kommanditgesellschaft Auf AktienProcess for the production of polysaccharide-based polycarboxylates
US5633360A (en)1992-04-141997-05-27Gilead Sciences, Inc.Oligonucleotide analogs capable of passive cell membrane permeation
US5434257A (en)1992-06-011995-07-18Gilead Sciences, Inc.Binding compentent oligomers containing unsaturated 3',5' and 2',5' linkages
WO1993024641A2 (en)1992-06-021993-12-09The United States Of America, As Represented By The Secretary, Department Of Health & Human ServicesAdeno-associated virus with inverted terminal repeat sequences as promoter
WO1993024640A2 (en)1992-06-041993-12-09The Regents Of The University Of CaliforniaMethods and compositions for in vivo gene therapy
WO1994000569A1 (en)1992-06-181994-01-06Genpharm International, Inc.Methods for producing transgenic non-human animals harboring a yeast artificial chromosome
US5610300A (en)1992-07-011997-03-11Ciba-Geigy CorporationCarbocyclic nucleosides containing bicyclic rings, oligonucleotides therefrom, process for their preparation, their use and intermediates
US5700920A (en)1992-07-011997-12-23Novartis CorporationCarbocyclic nucleosides containing bicyclic rings, oligonucleotides therefrom, process for their preparation, their use and intermediates
WO1994002595A1 (en)1992-07-171994-02-03Ribozyme Pharmaceuticals, Inc.Method and reagent for treatment of animal diseases
US6683167B2 (en)1992-07-232004-01-27University Of Massachusetts WorcesterHybrid oligonucleotide phosphorothioates
US6346614B1 (en)1992-07-232002-02-12Hybridon, Inc.Hybrid oligonucleotide phosphorothioates
WO1994012649A2 (en)1992-12-031994-06-09Genzyme CorporationGene therapy for cystic fibrosis
WO1994013788A1 (en)1992-12-041994-06-23University Of PittsburghRecombinant viral vector system
US5476925A (en)1993-02-011995-12-19Northwestern UniversityOligodeoxyribonucleotides including 3'-aminonucleoside-phosphoramidate linkages and terminal 3'-amino groups
US5705188A (en)1993-02-191998-01-06Nippon Shinyaku Company, Ltd.Drug composition containing nucleic acid copolymer
US5466677A (en)1993-03-061995-11-14Ciba-Geigy CorporationDinucleoside phosphinates and their pharmaceutical compositions
US5576427A (en)1993-03-301996-11-19Sterling Winthrop, Inc.Acyclic nucleoside analogs and oligonucleotide sequences containing them
US5663312A (en)1993-03-311997-09-02SanofiOligonucleotide dimers with amide linkages replacing phosphodiester linkages
US5658873A (en)1993-04-101997-08-19Degussa AktiengesellschaftCoated sodium percarbonate particles, a process for their production and detergent, cleaning and bleaching compositions containing them
US5539082A (en)1993-04-261996-07-23Nielsen; Peter E.Peptide nucleic acids
US6191105B1 (en)1993-05-102001-02-20Protein Delivery, Inc.Hydrophilic and lipophilic balanced microemulsion formulations of free-form and/or conjugation-stabilized therapeutic agents such as insulin
US6015886A (en)1993-05-242000-01-18Chemgenes CorporationOligonucleotide phosphate esters
US5502177A (en)1993-09-171996-03-26Gilead Sciences, Inc.Pyrimidine derivatives for labeled binding partners
US6028188A (en)1993-11-162000-02-22Genta IncorporatedSynthetic oligomers having chirally pure phosphonate internucleosidyl linkages mixed with non-phosphonate internucleosidyl linkages
US5719262A (en)1993-11-221998-02-17Buchardt, Deceased; OlePeptide nucleic acids having amino acid side chains
US5457187A (en)1993-12-081995-10-10Board Of Regents University Of NebraskaOligonucleotides containing 5-fluorouracil
US5446137B1 (en)1993-12-091998-10-06Behringwerke AgOligonucleotides containing 4'-substituted nucleotides
US5446137A (en)1993-12-091995-08-29Syntex (U.S.A.) Inc.Oligonucleotides containing 4'-substituted nucleotides
US5519134A (en)1994-01-111996-05-21Isis Pharmaceuticals, Inc.Pyrrolidine-containing monomers and oligomers
US6169170B1 (en)1994-03-182001-01-02Lynx Therapeutics, Inc.Oligonucleotide N3′→N5′Phosphoramidate Duplexes
US5596091A (en)1994-03-181997-01-21The Regents Of The University Of CaliforniaAntisense oligonucleotides comprising 5-aminoalkyl pyrimidine nucleotides
US5627053A (en)1994-03-291997-05-06Ribozyme Pharmaceuticals, Inc.2'deoxy-2'-alkylnucleotide containing nucleic acid
US5625050A (en)1994-03-311997-04-29Amgen Inc.Modified oligonucleotides and intermediates useful in nucleic acid therapeutics
US6054299A (en)1994-04-292000-04-25Conrad; Charles A.Stem-loop cloning vector and method
US5525711A (en)1994-05-181996-06-11The United States Of America As Represented By The Secretary Of The Department Of Health And Human ServicesPteridine nucleotide analogs as fluorescent DNA probes
US5543152A (en)1994-06-201996-08-06Inex Pharmaceuticals CorporationSphingosomes for enhanced drug delivery
US5597909A (en)1994-08-251997-01-28Chiron CorporationPolynucleotide reagents containing modified deoxyribose moieties, and associated methods of synthesis and use
US5770722A (en)1994-10-241998-06-23Affymetrix, Inc.Surface-bound, unimolecular, double-stranded DNA
US6608035B1 (en)1994-10-252003-08-19Hybridon, Inc.Method of down-regulating gene expression
US5665557A (en)1994-11-141997-09-09Systemix, Inc.Method of purifying a population of cells enriched for hematopoietic stem cells populations of cells obtained thereby and methods of use thereof
US6124445A (en)1994-11-232000-09-26Isis Pharmaceuticals, Inc.Phosphotriester oligonucleotides, amidities and method of preparation
US5623008A (en)1994-12-281997-04-22Toyoda Gosei Co., Ltd.Rubber composition for glass-run
US6222025B1 (en)1995-03-062001-04-24Isis Pharmaceuticals, Inc.Process for the synthesis of 2′-O-substituted pyrimidines and oligomeric compounds therefrom
US6166197A (en)1995-03-062000-12-26Isis Pharmaceuticals, Inc.Oligomeric compounds having pyrimidine nucleotide (S) with 2'and 5 substitutions
WO1996037194A1 (en)1995-05-261996-11-28Somatix Therapy CorporationDelivery vehicles comprising stable lipid/nucleic acid complexes
US5976567A (en)1995-06-071999-11-02Inex Pharmaceuticals Corp.Lipid-nucleic acid particles prepared via a hydrophobic lipid-nucleic acid complex intermediate and use for gene transfer
US6586410B1 (en)1995-06-072003-07-01Inex Pharmaceuticals CorporationLipid-nucleic acid particles prepared via a hydrophobic lipid-nucleic acid complex intermediate and use for gene transfer
US6815432B2 (en)1995-06-072004-11-09Inex Pharmaceuticals Corp.Methods for encapsulating plasmids in lipid bilayers
US5874219A (en)1995-06-071999-02-23Affymetrix, Inc.Methods for concurrently processing multiple biological chip assays
US5981501A (en)1995-06-071999-11-09Inex Pharmaceuticals Corp.Methods for encapsulating plasmids in lipid bilayers
US6534484B1 (en)1995-06-072003-03-18Inex Pharmaceuticals Corp.Methods for encapsulating plasmids in lipid bilayers
WO1996040964A2 (en)1995-06-071996-12-19Inex Pharmaceuticals CorporationLipid-nucleic acid particles prepared via a hydrophobic lipid-nucleic acid complex intermediate and use for gene transfer
WO1997013499A1 (en)1995-10-111997-04-17The University Of British ColumbiaLiposomal formulations of mitoxantrone
US6143520A (en)1995-10-162000-11-07Dana-Farber Cancer Institute, Inc.Expression vectors and methods of use
US6160109A (en)1995-10-202000-12-12Isis Pharmaceuticals, Inc.Preparation of phosphorothioate and boranophosphate oligomers
US5854033A (en)1995-11-211998-12-29Yale UniversityRolling circle replication reporter systems
US7070802B1 (en)1996-01-222006-07-04Pliva, Inc.Pharmaceutical compositions for lipophilic drugs
WO1997030731A2 (en)1996-02-211997-08-28The Immune Response CorporationMethod of preparing polynucleotide-carrier complexes for delivery to cells
US6444423B1 (en)1996-06-072002-09-03Molecular Dynamics, Inc.Nucleosides comprising polydentate ligands
US6639062B2 (en)1997-02-142003-10-28Isis Pharmaceuticals, Inc.Aminooxy-modified nucleosidic compounds and oligomeric compounds prepared therefrom
US6172209B1 (en)1997-02-142001-01-09Isis Pharmaceuticals Inc.Aminooxy-modified oligonucleotides and methods for making same
WO1998039359A1 (en)1997-03-061998-09-11Genta IncorporatedDimeric cationic lipids on dicystine basis
US6268490B1 (en)1997-03-072001-07-31Takeshi ImanishiBicyclonucleoside and oligonucleotide analogues
US6887906B1 (en)1997-07-012005-05-03Isispharmaceuticals, Inc.Compositions and methods for the delivery of oligonucleotides via the alimentary canal
US6747014B2 (en)1997-07-012004-06-08Isis Pharmaceuticals, Inc.Compositions and methods for non-parenteral delivery of oligonucleotides
US6670461B1 (en)1997-09-122003-12-30Exiqon A/SOligonucleotide analogues
US6794499B2 (en)1997-09-122004-09-21Exiqon A/SOligonucleotide analogues
US6528640B1 (en)1997-11-052003-03-04Ribozyme Pharmaceuticals, IncorporatedSynthetic ribonucleic acids with RNAse activity
US6617438B1 (en)1997-11-052003-09-09Sirna Therapeutics, Inc.Oligoribonucleotides with enzymatic activity
US7273933B1 (en)1998-02-262007-09-25Isis Pharmaceuticals, Inc.Methods for synthesis of oligonucleotides
US7045610B2 (en)1998-04-032006-05-16Epoch Biosciences, Inc.Modified oligonucleotides for mismatch discrimination
US6531590B1 (en)1998-04-242003-03-11Isis Pharmaceuticals, Inc.Processes for the synthesis of oligonucleotide compounds
US6867294B1 (en)1998-07-142005-03-15Isis Pharmaceuticals, Inc.Gapped oligomers having site specific chiral phosphorothioate internucleoside linkages
USRE39464E1 (en)1998-07-142007-01-09Isis Pharmaceuticals Inc.Oligonucleolotides having site specific chiral phosphorothioate internucleoside linkages
WO2000003683A2 (en)1998-07-202000-01-27Inex Pharmaceuticals CorporationLiposomal encapsulated nucleic acid-complexes
WO2000022114A1 (en)1998-10-092000-04-20Ingene, Inc.PRODUCTION OF ssDNA $i(IN VIVO)
WO2000022113A1 (en)1998-10-092000-04-20Ingene, Inc.ENZYMATIC SYNTHESIS OF ssDNA
US6858715B2 (en)1999-02-042005-02-22Isis Pharmaceuticals, Inc.Process for the synthesis of oligomeric compounds
US7041816B2 (en)1999-02-042006-05-09Isis Pharmaceuticals, Inc.Process for the synthesis of oligomeric compounds
US20030027780A1 (en)1999-02-232003-02-06Hardee Gregory E.Multiparticulate formulation
US7084125B2 (en)1999-03-182006-08-01Exiqon A/SXylo-LNA analogues
US7053207B2 (en)1999-05-042006-05-30Exiqon A/SL-ribo-LNA analogues
US6534639B1 (en)1999-07-072003-03-18Isis Pharmaceuticals, Inc.Guanidinium functionalized oligonucleotides and method/synthesis
US6147200A (en)1999-08-192000-11-14Isis Pharmaceuticals, Inc.2'-O-acetamido modified monomers and oligomers
US7321029B2 (en)2000-01-212008-01-22Geron Corporation2′-arabino-fluorooligonucleotide N3′→P5′ phosphoramidates: their synthesis and use
US7157099B2 (en)2000-05-262007-01-02Italfarmaco S.P.A.Sustained release pharmaceutical compositions for the parenteral administration of hydrophilic compounds
US6998484B2 (en)2000-10-042006-02-14Santaris Pharma A/SSynthesis of purine locked nucleic acid analogues
US7063860B2 (en)2001-08-132006-06-20University Of PittsburghApplication of lipid vehicles and use for drug delivery
US8101348B2 (en)2002-07-102012-01-24Max-Planck-Gesellschaft Zur Foerderung Der Wissenschaften E.V.RNA-interference by single-stranded RNA molecules
US6878805B2 (en)2002-08-162005-04-12Isis Pharmaceuticals, Inc.Peptide-conjugated oligomeric compounds
US7427672B2 (en)2003-08-282008-09-23Takeshi ImanishiArtificial nucleic acids of n-o bond crosslinkage type
US7858769B2 (en)2004-02-102010-12-28Sirna Therapeutics, Inc.RNA interference mediated inhibition of gene expression using multifunctional short interfering nucleic acid (multifunctional siNA)
US7427605B2 (en)2005-03-312008-09-23Calando Pharmaceuticals, Inc.Inhibitors of ribonucleotide reductase subunit 2 and uses thereof
US7399845B2 (en)2006-01-272008-07-15Isis Pharmaceuticals, Inc.6-modified bicyclic nucleic acid analogs
WO2007091269A2 (en)2006-02-082007-08-16Quark Pharmaceuticals, Inc.NOVEL TANDEM siRNAS
WO2007117686A2 (en)2006-04-072007-10-18Idera Pharmaceuticals, Inc.Stabilized immune modulatory rna (simra) compounds for tlr7 and tlr8
WO2008042973A2 (en)2006-10-032008-04-10Alnylam Pharmaceuticals, Inc.Lipid containing formulations
WO2009014887A2 (en)2007-07-092009-01-29Idera Pharmaceuticals, Inc.Stabilized immune modulatory rna (simra) compounds
US8106022B2 (en)2007-12-042012-01-31Alnylam Pharmaceuticals, Inc.Carbohydrate conjugates as delivery agents for oligonucleotides
WO2009127060A1 (en)2008-04-152009-10-22Protiva Biotherapeutics, Inc.Novel lipid formulations for nucleic acid delivery
WO2010048536A2 (en)2008-10-232010-04-29Alnylam Pharmaceuticals, Inc.Processes for preparing lipids
WO2010141511A2 (en)2009-06-012010-12-09Halo-Bio Rnai Therapeutics, Inc.Polynucleotides for multivalent rna interference, compositions and methods of use thereof
US20100324120A1 (en)2009-06-102010-12-23Jianxin ChenLipid formulation
WO2011005860A2 (en)2009-07-072011-01-13Alnylam Pharmaceuticals, Inc.5' phosphate mimics
WO2011005861A1 (en)2009-07-072011-01-13Alnylam Pharmaceuticals, Inc.Oligonucleotide end caps
WO2011031520A1 (en)2009-08-272011-03-17Idera Pharmaceuticals, Inc.Composition for inhibiting gene expression and uses thereof
WO2012023960A2 (en)*2010-08-172012-02-23Transalgae (Israel) LtdTransgenically mitigating the establishment and spread of transgenic algae in natural ecosystems by suppressing the activity of a carbon concentrating mechanism
WO2013075035A1 (en)2011-11-182013-05-23Alnylam PharmaceuticalsRnai agents, compositions and methods of use thereof for treating transthyretin (ttr) associated diseases
WO2014025805A1 (en)2012-08-062014-02-13Alnylam Pharmaceuticals, Inc.Carbohydrate conjugated rna agents and process for their preparation
WO2014160129A2 (en)*2013-03-142014-10-02Alnylam Pharmaceuticals, Inc.Complement component c5 irna compositions and methods of use thereof
WO2015100436A1 (en)*2013-12-272015-07-02Dicerna Pharmaceuticals, Inc.Methods and compositions for the specific inhibition of glycolate oxidase (hao1) by double-stranded rna
US10833934B2 (en)2015-06-302020-11-10British Telecommunications Public Limited CompanyEnergy management in a network
US10946873B2 (en)2019-04-302021-03-16GM Global Technology Operations LLCDistracted driving elimination system
US10916185B1 (en)2019-09-302021-02-09Xiamen Tianma Micro-Electronics Co., Ltd.Array substrate, display panel, display device and array-substrate manufacturing method
US11598905B2 (en)2020-03-192023-03-07Korea Institute Of Science And TechnologyInverted nanocone structure for optical device and method of producing the same

Non-Patent Citations (129)

* Cited by examiner, † Cited by third party
Title
AIGNER, A., J. BIOMED. BIOTECHNOL., 2006, pages 71659
AKANEYA,Y. ET AL., J. NEUROPHYSIOL., vol. 93, 2005, pages 594 - 602
AKHTAR S.JULIAN RL, TRENDS CELL. BIOL., vol. 2, no. 5, 1992, pages 139 - 144
ALLEN, FEBS LETTERS, vol. 223, 1987, pages 42
ALLEN, LV., POPOVICH NG., AND ANSEL HC.: "Ansel's Pharmaceutical Dosage Forms and Drug Delivery Systems", 2004, LIPPINCOTT WILLIAMS AND WILKINS
ANGEL L. PEYARMANDO ALBERTEDUARDO SALIDO: "Protein Homeostasis Defects of Alanine-Glyoxylate Aminotransferase: New Therapeutic Strategies in Primary Hyperoxaluria Type I", BIOMED RESEARCH INTERNATIONAL, vol. 2013, no. 15, pages 2013
AOKI ET AL., CANCER GENE THERAPY, vol. 8, 2001, pages 783 - 787
ARNOLD, AS ET AL., J. HYPERTENS., vol. 25, 2007, pages 197 - 205
BAKER ET AL., AMERICAN JOURNAL OF PHYSIOLOGY - HEART AND CIRCULATORY PHYSIOLOGY, vol. 287, no. 4, 1 October 2004 (2004-10-01), pages H1771 - H1779
BANGHAM ET AL., M. MOL. BIOL., vol. 23, 1965, pages 238
BARANY, PROC. NATL. ACAD. SCI. USA, vol. 88, 1991, pages 189 - 193
BERNSTEIN ET AL., NATURE, vol. 409, 2001, pages 363
BITKO, V. ET AL., NAT. MED., vol. 11, 2005, pages 50 - 55
BOESEN ET AL., BIOTHERAPY, vol. 6, 1994, pages 291 - 302
BONNET ME. ET AL., PHARM. RES., 16 August 2008 (2008-08-16)
BOUT ET AL., HUMAN GENE THERAPY, vol. 5, 1994, pages 3 - 10
BUUR ET AL., J. CONTROL REI., vol. 14, 1990, pages 43 - 51
CHIEN, PY. ET AL., CANCER GENE THER., vol. 12, 2005, pages 321 - 328
CLOWES, J. CLIN. INVEST., vol. 93, 1994, pages 644 - 651
COCHATRUMSBY, NEJM, vol. 369, 2013, pages 7
CONSTANTINIDES, PHARMACEUTICAL RESEARCH, vol. 11, 1994, pages 1385
COUTURE, A ET AL., TIG, vol. 12, 1996, pages 5 - 10
DIAS, N. ET AL., MOL CANCER THER, vol. 1, 2002, pages 347 - 355
DOCHERTY ET AL., FASEB J., vol. 8, 1994, pages 20 - 24
DORN, G. ET AL., NUCLEIC ACIDS, vol. 32, 2004, pages e49
EDUARDO SALIDO ET AL: "Primary hyperoxalurias: Disorders of glyoxylate detoxification", BIOCHIMICA ET BIOPHYSICA ACTA. MOLECULAR BASIS OF DISEASE, vol. 1822, no. 9, 6 March 2012 (2012-03-06), pages 1453 - 1464, XP028432536, ISSN: 0925-4439, DOI: 10.1016/J.BBADIS.2012.03.004*
EL HARIRI, J. PHARM, PHARRNACOL., vol. 44, 1992, pages 651 - 654
ELBASHIR ET AL., GENES DEV, vol. 15, 2001, pages 188
ELBASHIR, GENES DEV., vol. 15, 2001, pages 188
ELMEN, J. ET AL., NUCLEIC ACIDS RESEARCH, vol. 33, no. 1, 2005, pages 439 - 447
ENGLISCH ET AL., ANGEWANDTE CHEMIE, vol. 30, 1991, pages 613
FEIGNER, J. BIOL. CHEM., vol. 269, 1994, pages 2550
FEIGNER, P. L. ET AL., FROC. NATL. ACAD. SCI., vol. 4, no. 8, 1987, pages 7413 - 7417
FEIGNER, P. L. ET AL., PROC. NATL. ACAD. SCI., USA, vol. 8, 1987, pages 7413 - 7417
FISHER K J ET AL., J. VIROL, vol. 70, 1996, pages 520 - 532
FUKUNAGA ET AL., ENDOCRINOL, vol. 115, 1984, pages 757
GABIZON, NAIL. ACAD. SCI. U.S.A., vol. 85, 1988, pages 6949
GAO, X.HUANG, L., BIOCHIM. BIOPHYS. RES. COMMUN., vol. 179, 1991, pages 280
GASSMANN ET AL., PROC. NAIL. ACAD. SCI. USA, vol. 92, 1995, pages 1292
GERSHON, BIOCHEM, vol. 32, 1993, pages 7143
GROSSMANWILSON, CURR. OPIN. IN GENETICS AND DEVEL., vol. 3, 1993, pages 110 - 114
GRUNWELLER, A. ET AL., NUCLEIC ACIDS RESEARCH, vol. 31, no. 12, 2003, pages 3185 - 3193
GUATELLI ET AL., PROC. NATL. ACAD. SCI. USA, vol. 87, 1990, pages 1874 - 1878
HAUBNER ET AL., JOUR. NUCL. MED., vol. 42, 2001, pages 326 - 336
HO, J. PHARM. SCI., vol. 85, 1996, pages 138 - 143
HOWARD, KA. ET AL., MOL. THER., vol. 14, 2006, pages 476 - 484
HU, S.T.P.PHARMA. SCI., vol. 4, no. 6, 1994, pages 466
ITANI, T. ET AL., GENE, vol. 56, 1987, pages 267 - 276
JARRETT, J., C7HROMATOGR., vol. 618, 1993, pages 315 - 339
KATDARE, A. ET AL.: "Excipient development for pharmaceutical, biotechnology, and drug delivery", 2006, CRC PRESS
KIEM ET AL., BLOOD, vol. 83, 1994, pages 1467 - 1473
KIM ET AL., BIOCHIM. BIOPHYS. ACTA, vol. 728, 1983, pages 339
KIM SH. ET AL., JOURNAL OF CONTROLLED RELEASE, vol. 129, no. 2, 2008, pages 107 - 116
KNIGHT ET AL., ANAL. BIOCHEM., vol. 421, no. 1, 1 February 2012 (2012-02-01), pages 121 - 124
KOZARSKYWILSON, CURRENT OPINION IN GENETICS AND DEVELOPMENT, vol. 3, 1993, pages 499 - 503
KWOH ET AL., PROC. NATL. ACAD. SCI. USA, vol. 86, 1989, pages 1173 - 1177
LAM, NATURE, vol. 354, 1991, pages 82 - 84
LEE ET AL., CRITICAL REVIEWS IN THERAPEUTIC DRUG CARRIER SYSTEMS, 1991, pages 92
LEE, CRITICAL REVIEWS IN THERAPEUTIC DRAG CARRIER SYSTEMS, 1991, pages 92
LI, S. ET AL., MOL. THER., vol. 15, 2007, pages 515 - 523
LIMA ET AL., CELL, vol. 150, 2012, pages 883 - 894
LIU, S., MOL. PHARM., vol. 3, 2006, pages 472 - 487
LIZARDI ET AL., BIO/TECHNOLOGY, vol. 6, 1988, pages 1197
MAKIMURA, H. ET AL., BMC NEUROSCI, vol. 3, 2002, pages 18
MALMSTEN, M., SURFACTANTS AND POLYMERS IN DRUG DELIVERY, IN FORM A HEALTH CARE, 2002
MALMSTEN, M.: "Surfactants and polymers in drug delivery", 2002, INFORMA HEALTH CARE
MANNINO, R. J.FOULD-FOGERITE, S., BIOTECHNIQUES, vol. 6, 1988, pages 682 - 690
MARTIN ET AL., HELV. CHIM. ACTA, vol. 78, 1995, pages 486 - 504
MASTRANGELI ET AL., J CLIN. INVEST., vol. 91, 1993, pages 225 - 234
MAYER ET AL., BIOCHIM. BIOPHYS. ACTA, vol. 858, 1986, pages 161
MAYHEW ET AL., BIOCHIM. BIOPHYS. ACTA, vol. 775, 1984, pages 169
MAYHEW ET AL., BIOCHIMO BIOPHYS. ACTA, vol. 775, 1984, pages 169
MCNAMARA, JO. ET AL., NAT. BIOTECHNOL., vol. 24, 2006, pages 1005 - 1015
MILLER ET AL., METH. ENZYMOL., vol. 217, 1993, pages 581 - 599
MIYAO, DSRNA RES. DEV., vol. 5, 1995, pages 115 - 121
MOOK, OR ET AL., MOL CANE THER, vol. 6, no. 3, 2007, pages 833 - 843
MURANISHI, CRITICAL REVIEWS IN THERAPEUTIC DRAG CARRIER SYSTEMS, vol. 7, 1990, pages 858 - 859
MURANISHI, CRITICAL REVIEWS IN THERAPEUTIC DRUG CARRIER SYSTEMS, vol. 7, 1990, pages 1 - 33
NABEL, HUMAN GENE THER., vol. 3, 1992, pages 649
NABEL, PROC. NAIL. ACAD. SCI., vol. 90, 1993, pages 11307
NICOLAU, C ET AL., METH. ENZ., vol. 149, 1987, pages 157 - 176
NYKANEN ET AL., CELL, vol. 107, 2001, pages 309
OLSON ET AL., BIOCHIM. BIOPHYS. ACTA, vol. 557, 1979, pages 9
PAL, A., INT J. ONCOL., vol. 26, 2005, pages 1087 - 1091
PAPAHADJOPOULOS ET AL., ANN. N.Y. ACAD. SCI., vol. 507, 1987, pages 64
PAPAHADJOPOULOS, D., METH. ENZ., vol. 101, 1983, pages 512 - 527
PILLE, J. ET AL., MOL. THER., vol. 11, 2005, pages 267 - 274
PLESSIS ET AL., ANTIVIRAL RESEARCH, vol. 18, 1992, pages 259 - 265
RABINOWITZ J E ET AL., J VIROL, vol. 76, 2002, pages 791 - 801
REICH, SJ. ET AL., MOL. VIS., vol. 9, 2003, pages 210 - 216
RITSCHEL, METH. FIND. EXP. CLIN.
ROSENFELD ET AL., CELL, vol. 68, 1992, pages 143 - 155
ROSENFELD ET AL., SCIENCE, vol. 252, 1991, pages 1497 - 1500
SALIDO ET AL., PNAS, vol. 103, 2006, pages 18249
SALMONSGUNZBERG, HUMAN GENE THERAPY, vol. 4, 1993, pages 129 - 141
SAMULSKI R ET AL., J. VIROL., vol. 61, 1987, pages 3096 - 3101
SAMULSKI R ET AL., J. VIROL., vol. 63, 1989, pages 3822 - 3826
SHISHKINA, GT. ET AL., NEUROSCIENCE, vol. 129, 2004, pages 521 - 528
SIMEONI ET AL., NUCL. ACIDS RES., vol. 31, 2003, pages 2717 - 2724
SORENSEN, DR. ET AL., J. MOL. BIOL, vol. 327, 2003, pages 761 - 766
SOUTSCHEK, J. ET AL., NATURE, vol. 432, 2004, pages 173 - 178
STRAUSS, EMBOJ, vol. 11, 1992, pages 417
SUBBARAO, BIOCHEMISTRY, vol. 26, 1987, pages 2964 - 2972
SZOKA ET AL., PROC. NATL. ACAD. SCI, vol. 75, 1978, pages 4194
TAKAHASHI ET AL., . PHARM. PHARMACOL, vol. 40, 1988, pages 252
TAKAKURA ET AL., DSRNA & NUCL. ACID DRUG DEV., vol. 6, 1996, pages 177 - 183
TAN, PH. ET AL., GENE THER., vol. 12, 2005, pages 59 - 66
THAKKER, ER. ET AL., PROC NATL. ACAD. SCI. U.S.A., vol. 101, 2004, pages 17270 - 17275
TOLENTINO, MJ. ET AL., RETINA, vol. 24, 2004, pages 132 - 138
TOMALIA, DA. ET AL., BIOCHEM. SOC. TRANS., vol. 35, 2007, pages 61 - 67
TURK ET AL., BIOCHEM. BIOPHYS. ACTA, vol. 1559, 2002, pages 56 - 68
VERMA, UN. ET AL., CLIN. CANCER RES., vol. 9, 2003, pages 1291 - 1300
VOGEL ET AL., J AM. CHEM. SOC., vol. 118, 1996, pages 1581 - 1586
WALSH ET AL., PROC. SOC. EXP. BIOL. MED., vol. 204, 1993, pages 289 - 300
WANG ET AL., BIOCHEM. BIOPHYS. RES. COMMUN., vol. 147, 1987, pages 980 - 985
WANG ET AL., GENE THERAPY, vol. 2, 1995, pages 775 - 783
WANG, C. Y.HUANG, L., PROC. NATL ACAD, SCI. US, vol. 84, 1987
WEINER ET AL., JOURNAL OF DRUG TARGETING, vol. 2, 1992, pages 405 - 410
WU ET AL., CANCER RESEARCH, vol. 53, 1993, pages 3765
XIA H, NAT. BIOTECH., vol. 20, 2002, pages 1006 - 1010
YAMAMOTO, J. PHARM. EXP. THER., vol. 63, 1992, pages 25
YAMASHITA ET AL., J. PHARM. PHANNACOL., vol. 39, 1987, pages 621 - 626
YAMASHITA ET AL., J. PHARM. SCI., vol. 79, 1990, pages 579 - 583
YOO, H. ET AL., PHARM. RES., vol. 16, 1999, pages 1799 - 1804
ZHANG, X., J. BIOL. CHEM., vol. 279, 2004, pages 10677 - 10684
ZHOU ET AL., JOURNAL OF CONTROLLED RELEASE, vol. 19, 1992, pages 269 - 274
ZHOU, X. ET AL., BIOCHIM. BIOPHYS. ACTA, vol. 1065, no. 8, pages 1991
ZIMMERMANN, TS. ET AL., NATURE, vol. 441, 2006, pages 111 - 114
ZITZMANN, CANCER RES., vol. 62, 2002, pages 5139 - 43

Also Published As

Publication numberPublication date
CA2963843C (en)2023-03-21
LUC00252I2 (en)2025-03-04
TN2017000125A1 (en)2018-10-19
US11446380B2 (en)2022-09-20
US20250064936A1 (en)2025-02-27
IL310466A (en)2024-03-01
HUE057327T2 (en)2022-05-28
CO2017004728A2 (en)2017-09-29
AU2015330726B9 (en)2021-09-16
AU2021269372B2 (en)2024-07-11
CN108064154B (en)2021-08-27
ZA201702071B (en)2019-06-26
TW201619382A (en)2016-06-01
SG10201913756QA (en)2020-03-30
SI3204015T1 (en)2022-04-29
UY36357A (en)2016-11-30
CR20170190A (en)2017-07-26
DK3204015T3 (en)2022-01-17
MY192926A (en)2022-09-15
EP3204015B1 (en)2021-12-08
AU2015330726A1 (en)2017-05-11
NZ730404A (en)2023-09-29
PT3204015T (en)2022-02-09
KR102558604B1 (en)2023-07-26
JP2017532038A (en)2017-11-02
IL293229A (en)2022-07-01
CY2022008I1 (en)2023-01-05
AU2024227044A1 (en)2024-12-19
LTPA2022004I1 (en)2022-04-25
UA126266C2 (en)2022-09-14
KR20170083042A (en)2017-07-17
CA2963843A1 (en)2016-04-14
MX382225B (en)2025-03-13
KR20230113654A (en)2023-07-31
ES2905889T3 (en)2022-04-12
IL293229B2 (en)2024-07-01
FIC20220011I1 (en)2022-04-06
PH12017500669A1 (en)2017-10-09
CN113599389A (en)2021-11-05
JOP20200115A1 (en)2017-06-16
MX2021005224A (en)2021-06-18
RS62854B1 (en)2022-02-28
AU2015330726B2 (en)2021-09-02
PL3204015T3 (en)2022-02-21
EA037115B1 (en)2021-02-08
SG11201702836PA (en)2017-05-30
CY1125364T1 (en)2023-01-05
EA201790789A1 (en)2017-08-31
CN108064154A (en)2018-05-22
CN113599389B (en)2024-12-27
PE20171763A1 (en)2017-12-21
IL251276A0 (en)2017-05-29
US10478500B2 (en)2019-11-19
AU2021269372A1 (en)2021-12-16
JO3558B1 (en)2020-07-05
EP3204015A4 (en)2018-06-20
JP7404212B2 (en)2023-12-25
NO2022009I1 (en)2022-04-05
US20200316201A1 (en)2020-10-08
JP2024037855A (en)2024-03-19
HUS2200011I1 (en)2022-04-28
TW202503057A (en)2025-01-16
US20230121944A1 (en)2023-04-20
DOP2017000094A (en)2017-07-15
TW202223090A (en)2022-06-16
HRP20211971T1 (en)2022-03-18
TWI755351B (en)2022-02-21
EP3204015A1 (en)2017-08-16
WO2016057893A9 (en)2016-05-19
LT3204015T (en)2022-01-10
CA3187050A1 (en)2016-04-14
CY2022008I2 (en)2023-01-05
WO2016057893A1 (en)2016-04-14
TWI864340B (en)2024-12-01
US20170304446A1 (en)2017-10-26
BR112017006469A2 (en)2017-12-12
IL251276B (en)2022-07-01
IL293229B1 (en)2024-03-01
JP2021019609A (en)2021-02-18
JP6836988B2 (en)2021-03-03
TW202342749A (en)2023-11-01
ECSP17028310A (en)2018-03-31
SMT202200026T1 (en)2022-03-21
MX2017004634A (en)2017-09-19

Similar Documents

PublicationPublication DateTitle
US20230121944A1 (en)Compositions and methods for inhibition of hao1 (hydroxyacid oxidase 1 (glycolate oxidase)) gene expression
EP2999785B1 (en)Serpina1 irna compositions and methods of use thereof
US20220403394A1 (en)Methods for inhibition of hao1 (hydroxyacid oxidase 1 (glycolate oxidase)) gene expression
EP3587578A1 (en)Tmprss6 irna compositions and methods of use thereof
US20230407312A1 (en)Methods and compositions for inhibition of hao1 (hydroxyacid oxidase 1 (glycolate oxidase)) gene expression
US20230392155A1 (en)Methods and compositions for treating primary hyperoxaluria
HK40077733A (en)Compositions and methods for inhibition of hao1 (hydroxyacid oxidase 1 (glycolate oxidase)) gene expression
HK40052901A (en)Tmprss6 irna compositions and methods of use thereof
HK1241287B (en)Compositions and methods for inhibition of hao1 (hydroxyacid oxidase 1 (glycolate oxidase)) gene expression

Legal Events

DateCodeTitleDescription
PUAIPublic reference made under article 153(3) epc to a published international application that has entered the european phase

Free format text:ORIGINAL CODE: 0009012

STAAInformation on the status of an ep patent application or granted ep patent

Free format text:STATUS: REQUEST FOR EXAMINATION WAS MADE

17PRequest for examination filed

Effective date:20220107

ACDivisional application: reference to earlier application

Ref document number:3204015

Country of ref document:EP

Kind code of ref document:P

AKDesignated contracting states

Kind code of ref document:A1

Designated state(s):AL AT BE BG CH CY CZ DE DK EE ES FI FR GB GR HR HU IE IS IT LI LT LU LV MC MK MT NL NO PL PT RO RS SE SI SK SM TR

REGReference to a national code

Ref country code:HK

Ref legal event code:DE

Ref document number:40077733

Country of ref document:HK

P01Opt-out of the competence of the unified patent court (upc) registered

Effective date:20230512


[8]ページ先頭

©2009-2025 Movatter.jp