Movatterモバイル変換


[0]ホーム

URL:


EP3712626B1 - High-rate dft-based data manipulator and data manipulation method for high performance and robust signal processing - Google Patents

High-rate dft-based data manipulator and data manipulation method for high performance and robust signal processing
Download PDF

Info

Publication number
EP3712626B1
EP3712626B1EP19163779.2AEP19163779AEP3712626B1EP 3712626 B1EP3712626 B1EP 3712626B1EP 19163779 AEP19163779 AEP 19163779AEP 3712626 B1EP3712626 B1EP 3712626B1
Authority
EP
European Patent Office
Prior art keywords
domain
time
samples
frequency
signal
Prior art date
Legal status (The legal status is an assumption and is not a legal conclusion. Google has not performed a legal analysis and makes no representation as to the accuracy of the status listed.)
Active
Application number
EP19163779.2A
Other languages
German (de)
French (fr)
Other versions
EP3712626A1 (en
EP3712626C0 (en
Inventor
Johannes Rossouw Van Der Merwe
Alexander RÜGAMER
Fabio GARZIA
Current Assignee (The listed assignees may be inaccurate. Google has not performed a legal analysis and makes no representation or warranty as to the accuracy of the list.)
Fraunhofer Gesellschaft zur Foerderung der Angewandten Forschung eV
Original Assignee
Fraunhofer Gesellschaft zur Foerderung der Angewandten Forschung eV
Priority date (The priority date is an assumption and is not a legal conclusion. Google has not performed a legal analysis and makes no representation as to the accuracy of the date listed.)
Filing date
Publication date
Application filed by Fraunhofer Gesellschaft zur Foerderung der Angewandten Forschung eVfiledCriticalFraunhofer Gesellschaft zur Foerderung der Angewandten Forschung eV
Priority to EP19163779.2ApriorityCriticalpatent/EP3712626B1/en
Publication of EP3712626A1publicationCriticalpatent/EP3712626A1/en
Application grantedgrantedCritical
Publication of EP3712626C0publicationCriticalpatent/EP3712626C0/en
Publication of EP3712626B1publicationCriticalpatent/EP3712626B1/en
Activelegal-statusCriticalCurrent
Anticipated expirationlegal-statusCritical

Links

Images

Classifications

Definitions

Landscapes

Description

  • The present invention relates to a high-rate Discrete Fourier Transform (DFT)-based data manipulator and to data manipulation method for high performance and robust signal processing.
  • High-rate DFT-Based Data Manipulator (HDDM) for high performance and robust signal processing
  • The electromagnetic spectrum is an open resource which can be used by anyone; hence unwanted signals can be transmitted if the adequate equipment is available. Interference signals, whether intentional or unintentional, can disrupt received electromagnetic signals. This can result in a system to lose operation. Moreover, propagation effects of the environment can severely alter the signal, causing the spectrum to deform.
  • There are a number of methods to suppress interferences. In most cases these methods attempt to remove the interference signal, whilst trying to recover as much as possible form the signal of interest. A common strategy is to find a signal-space where the interference is sparse. Such a strategy includes the use of time domain pulse blanking for short burst-like interferences; filtering for frequency selective interferences; or an array of antennas with beam- and/or null-steering for interference in the spatial domain. As an array of antennas is an expensive increase in system components and complexity, it is often not financially and spatially feasible for use for most applications, hence these solutions are omitted for the remainder of the document.
  • Many intentional interferers, referred to as jammers, try to overcome this limitation by creating signals which are dynamic. These signals move in the signal space and cannot be removed as easily. Examples of such signals are Frequency Modulated Continuous Wave (FMCW) signals, also referred to as "chirps". If block transformations of the signal space (i.e. in time or in frequency domain) are used, then the interference is smeared by the dynamic behavior of the interference, making it difficult to separate from the signal of interest. This is a limitation of methods such as Frequency Domain Adaptive Filtering (FDAF), since much of the signal of interest is also removed. Adaptive Systems attempt to estimate and predict the behavior of the interference and remove it accordingly; however, this is limited by the dynamics of the interference and the correcting ability of the algorithm. In FDAF, only a single block of data is used to calculate the Fast Fourier Transform (FFT). On the other hand, discrete Wavelet transform filter down-sample the signal, and therefore loses time accuracy after each stage, but gains frequency accuracy.
  • Transform-based methods (like FDAF, wavelet transforms or poly-phase filter banks), are limited by the time-frequency trade-off of the signals: a high resolution in the time domain leads to low frequency domain resolution and vice versa. Further, the inclusion of blanking methods, such as pulse blankers (PBs), creates discontinuities in the signal. These discontinuities create unwanted effects and distortions, which are amplified when done in other domains, and transformed back. These effects are often not accounted for in algorithms. Therefore, transform based algorithms can heavily distort a signals upon reconstruction and are limited by the transform size (time-frequency trade-off).
  • Further, adaptive algorithms have the possibility to become instable, resulting in complete disruption of the system. This is evident with the performance limitations of Adaptive Notch Filters (ANFs).
  • Other concepts of the prior art relate to a poly-phase filter bank which down-samples the signal, thereby reducing time accuracy. Further, the filter design should be done with good accuracy, as any overlap of filters or gaps between filters can heavily distort the complete system throughput. This additional filter design should be optimized, and a number of trade-offs exists which increases the design thereof.
  • Spectral deformation as caused by multipath and fading effects can influence the quality of the received signal. The filter transfer function can also lead to signal distortion, e.g. by group delay variations. In GNSS, these distortions can lead to false peak locks (especially with higher-order binary offset carrier modulated signals). Signal equalization and filtering may, e.g., be employed to address these issues.
  • ANF, Frequency Domain Adaptive Processing (FDAP), Kalman filter estimation and signal tracking try to estimate and predict the movement of the interferences. This adds additional complexity and uncertainty, and can lead to system to become unstable.
  • Running DFTs for spectral estimation apply concepts of computing a FFT for each time offset, and has been used for spectral estimation methods. However, the signal is not reconstructed by these concepts.
  • KR 2004 0048090 A discloses a peak value detecting method and apparatus for rejecting narrow-band interference to prevent degradation of performance caused by a narrow-band interference signal received in a receiving band. The provided concepts are only applicable to narrowband interferences, only the peak value is removed, and power is calculated over the FFT.
  • US 2002 051433 A discloses a receiver which addresses the need for improved interference suppression without the number of transmissions by the power control system being increased, and, to this end, provides a receiver for a CDMA communications system which employs interference subspace rejection to tune a substantially null response to interference components from selected signals of other user stations. It is only applicable for CDMA and uses the code subspace and power control.
  • US 2009 239472 A discloses an apparatus and a method for removing an interference in a multiple antenna system. The apparatus includes a channel estimator, a covariance matrix generator, a weight calculator, and a beam forming unit. The channel estimator estimates a channel for a service cell and an interference channel for an adjacent cell using sounding signals via a plurality of antennas.
  • US 2009 081980 A discloses an apparatus, systems, and methods for suppressing radio interference from a noise source. The apparatus includes a controller for commanding a noise source to dither its operating frequency, and a filter for receiving signals from the controller indicating the present operating frequency of the noise source and to filter radio signals having the same frequency as the present operating frequency while the operating frequency is dithered. FFT is not employed.
  • CN 1463104 A discloses interference elimination according to serial mode in the order determined by the likelihood ratio based on the output of combining maximum ratios. The user with the largest absolute value of likelihood ratio is detected first and the signal generator generates the interference signal of the user. With the said signal being removed from the output of the matched filter, the procedures of de-spread and combining maximum ratios are carried out again and the likelihood ratio is recalculated. The error code platform and the error code rate of the invention are low in small spread spectrum ratio N=4 and large ratio N=128 in CDMA system. The provided concepts are only applicable to CDMA, uses the code subspace and power control.
  • US 2006 195279 A discloses a method and a system for the detection and/or removal of sinusoidal interference signals in/from a noise signal transforms a measured signal composed of a limited number of sinusoidal interference signals and a white noise signal into a subspace containing its white noise components and a subspace containing its interference signal components. The provided concepts are limited to sinusoidal interferences. Uses an FET for estimation only, and not tor deconstruction and reconstruction of the signal. The filter bank does down sampling.
  • US 2003 140771 A discloses that when the inner product of signal eigenvalue vectors and azimuth vectors is transformed using an FFT and a MUSIC spectrum is calculated, the inner product of noise eigenvalue vectors and azimuth vectors is transformed using the FFT and a MUSIC spectrum is calculated. A DOA is then estimated based on the MUSIC spectrum obtained, thereby decreasing the quantity of calculations required for detecting a DOA of an incident wave using MUSIC algorithm. The disclosed method does not cancel interferences.
  • US 2002 094044 A discloses a filter settings generation operation which includes sampling a communication channel to produce a sampled signal. The sampled signal is spectrally characterized across a frequency band of interest to produce a spectral characterization of the sampled signal. This spectral characterization may not include a signal of interest. The spectral characterization is then modified to produce a modified spectral characterization. Filter settings are then generated based upon the modified spectral characterization. At first, the signal is characterized, then an applicable filter is created.
  • InUS 2013 208838 A, techniques are provided which may be implemented using methods and/or apparatuses in a device comprising a receiver to scan a spectral band of a received signal comprising a desired signal contribution to determine whether signal data associated with at least a sub-band of the spectral band further comprises at least one undesired signal contribution. In response to determining that the signal data comprises at least one undesired signal contribution, the mobile station may initiate at least one notch filter to affect the undesired signal contribution in subsequent signal data associated with the received signal. A notch filter is implemented.
  • CN 102147429 A discloses a broadband microwave power meter and an interference signal filtering method. The power meter comprises an A/D conversion module, an FFT (fast Fourier transform) module, a power spectrum estimation module, a power spectrum integration module, an interference detection module and a digital filter module. FFT is used to estimate the spectrum and to generate a filter.
  • US 2012 321024 A discloses a method of canceling sinusoidal interference from a received signal includes identifying a block of signal-free data containing sinusoidal interference. A model of the significant interference in the selected data block is constructed, scaled to subsequent data blocks and used to remove sinusoidal interference signals from the overall received signal. The method is only applicable to a single sinusoidal frequency.
  • US 2006 029142 A discloses an improved ingress cancellation filter comprising a Fast Fourier Transform circuit which replaces the analysis filter bank of the prior art to break the incoming signal down into sub bands, an ingress cancellation filter that weights each sub band based upon the probability that the sub band is corrupted by noise, and an inverse Fast Fourier Transform circuit to put the weighted sub bands back together into an output signal.
  • US 6,097,820 A discloses a noise suppressor that increases a signal to noise ratio of time domain audio data and a method of increasing such signal to noise ratio. The noise suppressor includes a frequency domain transformation circuitry that transforms a frame of the time domain audio data into a frequency domain, a noise background modeling circuitry, coupled to the domain transformation circuitry, that spectrally analyzes the frame to model an estimated noise background spectrum thereof, a frequency domain suppression filter, coupled to the noise background modeling circuitry, that filters at least some of the noise background spectrum from the frame and a time domain transformation circuitry, coupled to the frequency domain suppression filter, that transforms the frame back into a time domain, the transformed frame having an increased signal to noise ratio.
  • The object of the present invention is to provide improved concepts for high performance and robust signal processing. The object of the present invention is solved by an apparatus according toclaim 1, by a method according to claim 14 and by a computer program according to claim 15.
  • An apparatus for generating a reconstructed time-domain signal from an input time-domain signal is provided. The apparatus comprises a transformation unit, a manipulation unit, and a reconstruction unit. In a first clock cycle, the transformation unit is configured to transform a first plurality of time-domain samples of the input time-domain signal or derived from the input time-domain signal from a time domain to a frequency domain to obtain a first plurality of frequency-domain samples of a frequency-domain signal. In a second clock cycle, the transformation unit is configured to transform a second plurality of the time-domain samples of the input time-domain signal or derived from the input time-domain signal from the time domain to the frequency domain to obtain a second plurality of frequency-domain samples of the frequency-domain signal. The first plurality of time-domain samples and the second plurality of time-domain samples comprise one or more same time-domain samples of the input time-domain signal. The manipulation unit is configured to manipulate one or more frequency-domain samples of the first plurality of frequency-domain samples to obtain a first plurality of manipulated frequency samples, and wherein manipulation unit is configured to manipulate one or more frequency-domain samples of the second plurality of frequency-domain samples to obtain a second plurality of manipulated frequency samples. The reconstruction unit is configured to generate the reconstructed time-domain signal depending on the first plurality of manipulated frequency samples and depending on the second plurality of manipulated frequency samples.
  • Moreover, a method for generating a reconstructed time-domain signal from an input time-domain signal is provided. The method comprises:
    • Transforming, in a first clock cycle, a first plurality of time-domain samples of the input time-domain signal or derived from the input time-domain signal from a time domain to a frequency domain to obtain a first plurality of frequency-domain samples of a frequency-domain signal.
    • Transforming, in a second clock cycle, a second plurality of the time-domain samples of the input time-domain signal or derived from the input time-domain signal from the time domain to the frequency domain to obtain a second plurality of frequency-domain samples of the frequency-domain signal, wherein the first plurality of time-domain samples and the second plurality of time-domain samples comprise one or more same time-domain samples of the input time-domain signal.
    • Manipulating one or more frequency-domain samples of the first plurality of frequency-domain samples to obtain a first plurality of manipulated frequency samples, and manipulating one or more frequency-domain samples of the second plurality of frequency-domain samples to obtain a second plurality of manipulated frequency samples. And:
    • Generating the reconstructed time-domain signal depending on the first plurality of manipulated frequency samples and depending on the second plurality of manipulated frequency samples.
  • Furthermore, a computer program for implementing the above-described method when being executed on a computer or signal processor is provided.
  • In the following, embodiments of the present invention are described in more detail with reference to the figures, in which:
  • Fig. 1
    illustrates an apparatus for interference reduction in an input time-domain signal to obtain a reconstructed time-domain signal according to an embodiment.
    Fig. 2
    illustrates a High-rate DFT-Based data manipulator according to an embodiment.
    Fig. 3
    illustrates an example spectrum of a Discrete Fourier Transform of N=32 size using a Hamming window according to an embodiment.
    Fig. 4
    illustrates an example implementation of the High-rate DFT-Based data manipulator for interference management, for N = 8 and using pulse blankers according to an embodiment.
    Fig. 5
    illustrates the spectrum for the eight channels ofFig. 4 according to an embodiment.
    Fig. 6
    illustrates spectrogram examples for Pulse blanker based mitigation against a chirp interference according to an embodiment.
    Fig. 7
    illustrates a reconstruction of eight channels for a system using a Hamming window according to an embodiment.
  • Fig. 1 illustrates an apparatus for generating a reconstructed time-domain signal from an input time-domain signal according to an embodiment. The apparatus comprises atransformation unit 110, amanipulation unit 120, and areconstruction unit 130.
  • In a first clock cycle, thetransformation unit 110 is configured to transform a first plurality of time-domain samples of the input time-domain signal or derived from the input time-domain signal from a time domain to a frequency domain to obtain a first plurality of frequency-domain samples of a frequency-domain signal.
  • In a second clock cycle, thetransformation unit 110 is configured to transform a second plurality of the time-domain samples of the input time-domain signal or derived from the input time-domain signal from the time domain to the frequency domain to obtain a second plurality of frequency-domain samples of the frequency-domain signal. The first plurality of time-domain samples and the second plurality of time-domain samples comprise one or more same time-domain samples of the input time-domain signal.
  • Themanipulation unit 120 is configured to manipulate one or more frequency-domain samples of the first plurality of frequency-domain samples to obtain a first plurality of manipulated frequency samples, and wherein manipulation stage is configured to manipulate one or more frequency-domain samples of the second plurality of frequency-domain samples to obtain a second plurality of manipulated frequency samples.
  • Thereconstruction unit 130 is configured to generate the reconstructed time-domain signal depending on the first plurality of manipulated frequency samples and depending on the second plurality of manipulated frequency samples.
  • In an embodiment (seeFig. 2), thetransformation unit 110 may, e.g., comprise ashift register 210 and atransform module 230. Theshift register 210 may, e.g., comprise plurality of storage elements, wherein the transformation module may, e.g., be configured to store the first plurality of the time-domain samples within the plurality of storage elements of theshift register 210. In the first clock cycle, thetransform module 230 may, e.g., be configured to transform the first plurality of the time-domain samples from the time domain to the frequency domain to obtain the first plurality of the frequency-domain samples. After transforming the first plurality of time-domain samples by thetransform module 230, theshift register 210 may, e.g., be configured to shift each of the first plurality of time-domain samples in theshift register 210, so that one the first plurality of time-domain samples is moved out of theshift register 210, so that each other of the first plurality of time-domain samples is moved from its storage element to a neighbouring storage element, and so that another time-domain sample of the input time-domain signal or derived from the input time-domain signal, not comprised by the first plurality of time-domain samples, is stored in the storage element, wherein the time-domain samples being stored in the storage element after shifting form the second plurality of the time-domain samples. In the second clock cycle, thetransform module 230 may, e.g., be configured to transform the second plurality of the time-domain samples from the time domain to the frequency domain to obtain the second plurality of the frequency-domain samples of the frequency-domain signal.
  • According to an embodiment, thetransformation unit 110 may, e.g., comprise awindow module 220. Before transforming the first plurality of time-domain samples derived from the input time-domain signal, thewindow module 220 may, e.g., be configured to apply a windowing function on the first plurality of time-domain samples of the input time-domain signal to obtain the first plurality of time-domain samples derived from the input time-domain signal. Before transforming the second plurality of time-domain samples derived from the input time-domain signal, thewindow module 220 may, e.g., be configured to apply the windowing function on the second plurality of time-domain samples of the input time-domain signal to obtain the second plurality of time-domain samples derived from the input time-domain signal.
  • In an embodiment, the windowing module may, e.g., be configured to apply the windowing function on the first plurality of time-domain samples of the input time-domain signal, so that a Hamming Window is applied on the first plurality of time-domain samples of the input time-domain signal. The windowing module may, e.g., be configured to apply the windowing function on the second plurality of time-domain samples of the input time-domain signal, so that the Hamming Window is applied on the second plurality of time-domain samples of the input time-domain signal.
  • According to an embodiment, the windowing module may, e.g., be configured to apply the windowing function on the first plurality of time-domain samples of the input time-domain signal, so that a Hann Window is applied on the first plurality of time-domain samples of the input time-domain signal. The windowing module may, e.g., be configured to apply the windowing function on the second plurality of time-domain samples of the input time-domain signal, so that the Hann Window is applied on the second plurality of time-domain samples of the input time-domain signal.
  • In other embodiments, other kind of windows are applied on the first plurality of samples and on the second plurality of samples, for example, a Balckmann-Harris window, or a Chebychev window, or a Kaiser-Bessel window, etc.
  • In an embodiment" in the first clock cycle, thetransformation unit 110 may, e.g., be configured to transform the first plurality of time-domain samples of the input time-domain signal or derived from the input time-domain signal from the time domain to the frequency domain by conducting a Discrete Fourier Transform or by conducting a Fast Fourier Transform. In the second clock cycle, thetransformation unit 110 may, e.g., be configured to transform the second plurality of time-domain samples of the input time-domain signal or derived from the input time-domain signal from the time domain to the frequency domain by conducting the Discrete Fourier Transform or by conducting the Fast Fourier Transform.
  • According to an embodiment, themanipulation unit 120 may, e.g., be configured to remove the one or more frequency-domain samples of the first plurality of frequency-domain samples from the first plurality of frequency-domain samples to obtain the first plurality of manipulated frequency samples, and wherein manipulation stage is configured to remove the one or more frequency-domain samples of the second plurality of frequency-domain samples from the second plurality of frequency-domain samples to obtain the second plurality of manipulated frequency samples.
  • In an embodiment, themanipulation unit 120 may, e.g., be configured to manipulate the first plurality of frequency-domain samples by filtering the first plurality of frequency-domain samples to obtain the first plurality of manipulated frequency samples. Themanipulation unit 120 may, e.g., be configured to manipulate the second plurality of frequency-domain samples by filtering the second plurality of frequency-domain samples to obtain the first plurality of manipulated frequency samples.
  • According to an embodiment, themanipulation unit 120 may, e.g., be configured to manipulate the first plurality of frequency-domain samples by spectrum shaping the first plurality of frequency-domain samples to obtain the first plurality of manipulated frequency samples. Themanipulation unit 120 may, e.g., be configured to manipulate the second plurality of frequency-domain samples by spectrum shaping the second plurality of frequency-domain samples to obtain the first plurality of manipulated frequency samples.
  • In an embodiment, thereconstruction unit 130 may, e.g., comprise aninverse transform module 240 and acombination module 250. Theinverse transform module 240 may, e.g., be configured to transform the first plurality of manipulated frequency samples from the frequency domain to the time domain to obtain a first plurality of manipulated time samples. Moreover, theinverse transform module 240 may, e.g., be configured to transform second plurality of manipulated frequency samples from the frequency domain to the time domain to obtain a second plurality of manipulated time samples. Thecombination module 250 may, e.g., be configured to combine the first plurality of manipulated time samples and the second plurality of manipulated time samples to obtain a plurality of time-domain samples of the reconstructed time-domain signal.
  • According to an embodiment, theinverse transform module 240 may, e.g., be configured to transform the first plurality of manipulated frequency samples from the frequency domain to the time domain by conducting an Inverse Discrete Fourier Transform or by conducting an Inverse Fast Fourier Transform. Moreover, theinverse transform module 240 may, e.g., be configured to transform the second plurality of manipulated frequency samples from the frequency domain to the time domain by conducting the Inverse Discrete Fourier Transform or by conducting the Inverse Fast Fourier Transform.
  • In an embodiment, thecombination module 250 may, e.g., be configured to apply a triangular delay on the first plurality of manipulated time samples and to apply a triangular delay on the second plurality of manipulated time samples and to combine the first plurality of manipulated time samples and the second plurality of manipulated time samples to obtain the plurality of time-domain samples of the reconstructed time-domain signal.
  • According to an embodiment, thecombination module 250 may, e.g., be configured to scale the first plurality of manipulated time samples to obtain a first plurality of scaled time samples. Moreover, thecombination module 250 may, e.g., be configured to scale the second plurality of manipulated time samples to obtain a second plurality of scaled time samples. Furthermore, thecombination module 250 may, e.g., be configured to add the first plurality of scaled time samples and the second plurality of scaled time samples to obtain the plurality of time-domain samples of the reconstructed time-domain signal.
  • Embodiments are based on the finding that to retain operation, a receiver should mitigate interferences as well as possible.
  • In embodiments, the High-rate DFT-Based data manipulator (HDDM) applies continuous concepts which focus on adding redundancy to limit distortions.
  • Moreover, in embodiments, the HDDM has no limitation when it comes to windowing. The HDDM does not down-sample; hence better time accuracy is achievable.
  • Furthermore, according to embodiments the HDDM uses a single simple pulse blankers (PB), hence it is robust and requires no feedback loops are needed to constantly adjust the system. The HDDM reconstructs the signal using the triangular delay line. In embodiments, application may, e.g., be conducted block wise.
  • According to embodiments, the High-rate DFT-Based data manipulator (HDDM) works similar as other frequency domain concepts. However, instead of focusing on minimal transformation required for information transfer (such as polyphaser filtering or wavelet based transforms), a Discrete Fourier Transform (DFT) over each time offset, may, e.g., be calculated. This results in an implicit oversampling of the DFT spectrum, and therefore signal redundancy is created. This added redundancy allows the advanced temporal processing, such as suppression interferences, filtering or spectral equalization. For example, adding a PB for each DFT channel with the added signal redundancy reduces maleficent effects, such as ringing or discrete phase distortions; this is in contrast to what is observed in the FDAF algorithm.
  • When reconstructing the signal, the redundancy allows a larger portion of the signal of interest to be extracted.
  • In the following, the transformation stage is considered.
  • The architecture of the HDDM is shown inFig. 2. In particular,Fig. 2 illustrates a block diagram of the FFT-PB according to an embodiment.
  • The HDDM stores each new data-point of the input signal in ashift register 210 running with the System's sampling clock. Each delay of theshift register 210 splits the signal into N separate channels, these channel will be referred to for the remainder of the processing. Thewhole shift register 210 is then multiplied with a windowing function, either explicitly with a desired window (Hamming window, Hann window, etc.), or implicitly (when no multiplication is done, resulting in a rectangular window). The windowing function shapes the filter for each frequency channel. The windowed signal is then used to calculate a DFT. This is done for each new data-point, i.e. a DFT is calculated on each clock cycle, hence each frequency channel has the same sample rate as the original signal; this is as opposed to the sample-rate reduction of factor N as what is used for block-wise processing. The window and the DFT form the transformation stage of the processing.
  • As an example, the equivalent spectrum of a DFT of size N = 32, for a signal sampled at a rate of 20 MHz is shown inFig. 3.
  • Fig. 3 illustrates an example spectrum of a DFT of N=32 size using a Hamming window according to an embodiment. In the embodiment ofFig. 3, a Hamming window is used and only the central 17 frequency channels are shown. (The outer channels are nulled for clarity of concept).
  • Now, the data manipulation stage is considered.
  • Each frequency channel is then passed through a data manipulator. In the case of interference mitigation this can be a simple PB to remove unwanted sections of the spectrum, or more complex functions such as limiting functions of non-linear compressing functions. The spectrum can also be altered, for example, nulling of a spectrum (e.g., full channel blanking), equalization (spectrum shaping) of the spectrum or filtering of the spectrum. An example implementation using PB for 5 channels to mitigate interferences, and direct nulling of 3 channels to shape the spectrum is shown inFig. 4.
  • Fig. 4 illustrates an example implementation of the HDDM for interference management, for N = 8 and using PBs according to an embodiment.
  • In this example the more efficient implementation of the DFT, known as the fast Fourier Transform (FFT) is used for N=8 (the FFT is mathematically the same as the DFT, it only requires fewer multiplications when implemented).
  • Fig. 5 illustrates the spectrum for the eight channels ofFig. 4 according to an embodiment. In particular,Fig. 5 illustrates an example spectrum for N=8, and a system with spectral shaping according to an embodiment. The each channel`s response is shown by a different color, and the combined spectrum is shown by the black dotted line.
  • Fig. 6 illustrates an example spectrogram of the output of an 8-Channel implementation, but at a different sample rate, against a chirp signal according to an embodiment. In particular,Fig. 6 illustrates an example spectrogram for PB based mitigation against a chirp interference according to an embodiment.
  • The input signal is shown left, and the output signal is shown right.
  • In the following, the reconstruction stage is considered.
  • After mitigation and shaping, the signal is then passed through an Inverse-DFT (IDFT) to take each channel back to the time domain. Now there are N-channels, which should be combined again. As each signal is a time delayed signal, a triangular delay matrix is required: the first value is delayed by N-stages, and the last one by 1. This triangular delay lines is the largest contribution of the method: to combine the results efficiently. The signals are then combined to a single value. This combination of the signals results in a reduction of the redundancy, created by theinitial shift register 210. These last stages form part of the inverse-transform, or the reconstruction of the signal.
  • As multiple similar signals are added together, the effect of windowing on the data is implicitly removed. This is shown inFig. 7 with the weights of an 8-channel FFT-PB, being added together.
  • Fig. 7 illustrates a reconstruction of eight channels for a system using a Hamming window according to an embodiment. InFig. 7, the input x[n] = 1, for all values and the use of a Hamming window.
  • The full System reacts similar to a filter band containing a number of non-down-sampling Finite Impulse Response (FIR) filters. Through the use of the FFT, the reconstruction has an approximate fiat spectrum; therefore the output signal is optimally undistorted. Further, the FF1 allows simple scaling of the system.
  • In the following, a mathematical description is provided.
  • Given an input signal x[n], the m-th channel will have the valuexrnm=xnm;m=0,1,,M1
    Figure imgb0001
  • For the windowing function w[m], the function can be expressed after windowing asxwnm=wmxrnm=wmxnm
    Figure imgb0002
  • After the first DFT, each channel will have the formXDFTnm=k=0M1xwnke2πikmM=k=0M1wkxnke2πikmM
    Figure imgb0003
  • The data manipulation changes each input, depending on the goal of the system. This should be seen as a function that translates each input.YDFTnm=DMXDFTnm=DMk=0M1wkxnke2πikmM
    Figure imgb0004
  • After the IFFT stage the m`th channel can be described as:ynm=1Ml=0M1YDFTnle2πilmM
    Figure imgb0005
  • Through substitution it can be expressed as:ynm=1Ml=0M1DMk=0M1wkxnke2πikmMe2πilmM
    Figure imgb0006
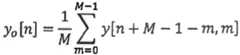
  • Finally using the triangular delay and adding the signals together with the appropriate scalingyon=1Mm=0M1yn+M1m,m
    Figure imgb0007
  • Through further substitution, the final simplified expression can be presentedyon=1M2m=0M1l=0M1DMk=0M1wkxn+M1mke2πikmMe2πilmM
    Figure imgb0008
  • Through the added redundancy (additional computational effort) of calculating the transformation for each sample offset, the reconstruction of the signal is smoothed out. In the case of removing an interference signal, the outputs are implicitly weighted; hence less distortion of the output is expected. This improves any mitigation method used. The ringing and phase discontinuity problems and limitation of FDAF algorithm therefore overcome through the proposed method. Further, FDAF has many issues when window-methods are used: these are overcome with the output being smoothed by the HDDM. Windowing can also be used to simply adapt the filter used.
  • As the HDDM separates the spectrum efficiently, no estimation or prediction is required for the data manipulation section; therefore it is less complex than adaptive methods and is guaranteed robust. This is in comparison the adaptive mitigation and equalization methods which use complex feedback loops.
  • The DFT is used as the method to separate the signals in frequency; no FIR filter design is required. The design and optimization of filters is time consuming, and should often be re-done for each new development. In the case of the HDDM direct frequency scaling can be used, hence complex design is circumvented.
  • The above concepts can be implemented highly parallelized; therefore, the implementation performance of ASIC and FPGA based systems can be exploited to achieve processing efficiency using parallelization.
  • Embodiments provide concepts that provide a very high time resolution (as high as the sampling rate is) while keeping the frequency resolution of a standard N-point DFT.
  • Some embodiments may, e.g., be realized by a high time resolution DFT (running DFT oversampled DFT). For example, no block wise processing is applied.
  • Some embodiments provide efficient concepts for reconstructing an oversampled signal that reduces PB effects such as ringing.
  • Potential applications may, e.g., be interference mitigation, especially for dynamic signals (both in time and frequency domain).
  • Some embodiments, may, e.g., provide a parallelized robust mitigation technique which does not required advanced filter design, tuning or adaption.
  • In some embodiments, shaping of the signal may, e.g., be conducted in addition to the interference.
  • Although some aspects have been described in the context of an apparatus, it is clear that these aspects also represent a description of the corresponding method, where a block or device corresponds to a method step or a feature of a method step. Analogously, aspects described in the context of a method step also represent a description of a corresponding block or item or feature of a corresponding apparatus. Some or all of the method steps may be executed by (or using) a hardware apparatus, like for example, a microprocessor, a programmable computer or an electronic circuit. In some embodiments, one or more of the most important method steps may be executed by such an apparatus.
  • Depending on certain implementation requirements, embodiments of the invention can be implemented in hardware or in software or at least partially in hardware or at least partially in software. The implementation can be performed using a digital storage medium, for example a floppy disk, a DVD, a Blu-Ray, a CD, a ROM, a PROM, an EPROM, an EEPROM or a FLASH memory, having electronically readable control signals stored thereon, which cooperate (or are capable of cooperating) with a programmable computer system such that the respective method is performed. Therefore, the digital storage medium may be computer readable.
  • Some embodiments according to the invention comprise a data carrier having electronically readable control signals, which are capable of cooperating with a programmable computer system, such that one of the methods described herein is performed.
  • Generally, embodiments of the present invention can be implemented as a computer program product with a program code, the program code being operative for performing one of the methods when the computer program product runs on a computer. The program code may for example be stored on a machine readable carrier.
  • Other embodiments comprise the computer program for performing one of the methods described herein, stored on a machine readable carrier.
  • In other words, an embodiment of the inventive method is, therefore, a computer program having a program code for performing one of the methods described herein, when the computer program runs on a computer.
  • A further embodiment of the inventive methods is, therefore, a data carrier (or a digital storage medium, or a computer-readable medium) comprising, recorded thereon, the computer program for performing one of the methods described herein. The data carrier, the digital storage medium or the recorded medium are typically tangible and/or non-transitory.
  • A further embodiment of the inventive method is, therefore, a data stream or a sequence of signals representing the computer program for performing one of the methods described herein. The data stream or the sequence of signals may for example be configured to be transferred via a data communication connection, for example via the Internet.
  • A further embodiment comprises a processing means, for example a computer, or a programmable logic device, configured to or adapted to perform one of the methods described herein.
  • A further embodiment comprises a computer having installed thereon the computer program for performing one of the methods described herein.
  • A further embodiment according to the invention comprises an apparatus or a system configured to transfer (for example, electronically or optically) a computer program for performing one of the methods described herein to a receiver. The receiver may, for example, be a computer, a mobile device, a memory device or the like. The apparatus or system may, for example, comprise a file server for transferring the computer program to the receiver.
  • In some embodiments, a programmable logic device (for example a field programmable gate array) may be used to perform some or all of the functionalities of the methods described herein. In some embodiments, a field programmable gate array may cooperate with a microprocessor in order to perform one of the methods described herein. Generally, the methods are preferably performed by any hardware apparatus.
  • The apparatus described herein may be implemented using a hardware apparatus, or using a computer, or using a combination of a hardware apparatus and a computer.
  • The methods described herein may be performed using a hardware apparatus, or using a computer, or using a combination of a hardware apparatus and a computer.
  • The above described embodiments are merely illustrative for the principles of the present invention. It is understood that modifications and variations of the arrangements and the details described herein will be apparent to others skilled in the art. It is the intent, therefore, to be limited only by the scope of the impending patent claims and not by the specific details presented by way of description and explanation of the embodiments herein.

Claims (15)

  1. An apparatus for generating a reconstructed time-domain signal from an input time-domain signal, wherein the apparatus comprises:
    a transformation unit (110), a manipulation unit (120), and a reconstruction unit (130),
    wherein, in a first clock cycle, the transformation unit (110) is configured to transform a first plurality of time-domain samples of the input time-domain signal or derived from the input time-domain signal from a time domain to a frequency domain to obtain a first plurality of frequency-domain samples of a frequency-domain signal,
    wherein, in a second clock cycle, the transformation unit (110) is configured to transform a second plurality of the time-domain samples of the input time-domain signal or derived from the input time-domain signal from the time domain to the frequency domain to obtain a second plurality of frequency-domain samples of the frequency-domain signal, wherein the first plurality of time-domain samples and the second plurality of time-domain samples comprise one or more same time-domain samples of the input time-domain signal,
    wherein the manipulation unit (120) is configured to manipulate one or more frequency-domain samples of the first plurality of frequency-domain samples to obtain a first plurality of manipulated frequency samples, and wherein the manipulation unit (120) is configured to manipulate one or more frequency-domain samples of the second plurality of frequency-domain samples to obtain a second plurality of manipulated frequency samples, and
    wherein the reconstruction unit (130) is configured to generate the reconstructed time-domain signal depending on the first plurality of manipulated frequency samples and depending on the second plurality of manipulated frequency samples.
  2. An apparatus according to claim 1,
    wherein the transformation unit (110) comprises a shift register (210) and a transform module (230),
    wherein the shift register (210) comprises a plurality of storage elements, wherein the transformation module is configured to store the first plurality of the time-domain samples within the plurality of storage elements of the shift register (210),
    wherein, in the first clock cycle, the transform module (230) is configured to transform the first plurality of the time-domain samples from the time domain to the frequency domain to obtain the first plurality of the frequency-domain samples,
    wherein, after transforming the first plurality of time-domain samples by the transform module (230), the shift register (210) is configured to shift each of the first plurality of time-domain samples in the shift register (210), so that one the first plurality of time-domain samples is moved out of the shift register (210), so that each other of the first plurality of time-domain samples is moved from its storage element to a neighbouring storage element, and so that another time-domain sample of the input time-domain signal or derived from the input time-domain signal, not comprised by the first plurality of time-domain samples, is stored in the storage element, wherein the time-domain samples being stored in the storage element after shifting form the second plurality of the time-domain samples, and
    wherein, in the second clock cycle, the transform module (230) is configured to transform the second plurality of the time-domain samples from the time domain to the frequency domain to obtain the second plurality of the frequency-domain samples of the frequency-domain signal.
  3. An apparatus according to claim 1 or 2,
    wherein the transformation unit (110) comprises a window module (220),
    wherein before transforming the first plurality of time-domain samples derived from the input time-domain signal, the window module (220) is configured to apply a windowing function on the first plurality of time-domain samples of the input time-domain signal to obtain the first plurality of time-domain samples derived from the input time-domain signal,
    wherein before transforming the second plurality of time-domain samples derived from the input time-domain signal, the window module (220) is configured to apply the windowing function on the second plurality of time-domain samples of the input time-domain signal to obtain the second plurality of time-domain samples derived from the input time-domain signal.
  4. An apparatus according to one of the preceding claims,
    wherein, in the first clock cycle, the transformation unit (110) is configured to transform the first plurality of time-domain samples of the input time-domain signal or derived from the input time-domain signal from the time domain to the frequency domain by conducting a Discrete Fourier Transform, and
    wherein, in the second clock cycle, the transformation unit (110) is configured to transform the second plurality of time-domain samples of the input time-domain signal or derived from the input time-domain signal from the time domain to the frequency domain by conducting the Discrete Fourier Transform.
  5. An apparatus according to one of claims 1 to 3,
    wherein, in the first clock cycle, the transformation unit (110) is configured to transform the first plurality of time-domain samples of the input time-domain signal or derived from the input time-domain signal from the time domain to the frequency domain by conducting a Fast Fourier Transform, and
    wherein, in the second clock cycle, the transformation unit (110) is configured to transform the second plurality of time-domain samples of the input time-domain signal or derived from the input time-domain signal from the time domain to the frequency domain by conducting the Fast Fourier Transform.
  6. An apparatus according to one of the preceding claims,
    wherein the manipulation unit (120) is configured to remove the one or more frequency-domain samples of the first plurality of frequency-domain samples from the first plurality of frequency-domain samples to obtain the first plurality of manipulated frequency samples, and wherein manipulation unit (120) is configured to remove the one or more frequency-domain samples of the second plurality of frequency-domain samples from the second plurality of frequency-domain samples to obtain the second plurality of manipulated frequency samples.
  7. An apparatus according to one of the preceding claims,
    wherein the manipulation unit (120) is configured to manipulate the first plurality of frequency-domain samples by filtering the first plurality of frequency-domain samples to obtain the first plurality of manipulated frequency samples, and
    wherein the manipulation unit (120) is configured to manipulate the second plurality of frequency-domain samples by filtering the second plurality of frequency-domain samples to obtain the first plurality of manipulated frequency samples.
  8. An apparatus according to one of the preceding claims,
    wherein the manipulation unit (120) is configured to manipulate the first plurality of frequency-domain samples by spectrum shaping the first plurality of frequency-domain samples to obtain the first plurality of manipulated frequency samples, and
    wherein the manipulation unit (120) is configured to manipulate the second plurality of frequency-domain samples by spectrum shaping the second plurality of frequency-domain samples to obtain the first plurality of manipulated frequency samples.
  9. An apparatus according to one of the preceding claims,
    wherein the reconstruction unit (130) comprises an inverse transform module (240) and a combination module (250),
    wherein the inverse transform module (240) is configured to transform the first plurality of manipulated frequency samples from the frequency domain to the time domain to obtain a first plurality of manipulated time samples,
    wherein the inverse transform module (240) is configured to transform second plurality of manipulated frequency samples from the frequency domain to the time domain to obtain a second plurality of manipulated time samples, and
    wherein the combination module (250) is configured to combine the first plurality of manipulated time samples and the second plurality of manipulated time samples to obtain a plurality of time-domain samples of the reconstructed time-domain signal.
  10. An apparatus according to claim 9,
    wherein the inverse transform module (240) is configured to transform the first plurality of manipulated frequency samples from the frequency domain to the time domain by conducting an Inverse Discrete Fourier Transform, and
    wherein the inverse transform module (240) is configured to transform the second plurality of manipulated frequency samples from the frequency domain to the time domain by conducting the Inverse Discrete Fourier Transform.
  11. An apparatus according to claim 9,
    wherein the inverse transform module (240) is configured to transform the first plurality of manipulated frequency samples from the frequency domain to the time domain by conducting an Inverse Fast Fourier Transform, and
    wherein the inverse transform module (240) is configured to transform the second plurality of manipulated frequency samples from the frequency domain to the time domain by conducting the Inverse Fast Fourier Transform.
  12. An apparatus according to one of claims 9 to 11,
    • wherein the combination module (250) is configured to apply a triangular delay on the first plurality of manipulated time samples and to apply a triangular delay on the second plurality of manipulated time samples and to combine the first plurality of manipulated time samples and the second plurality of manipulated time samples to obtain the plurality of time-domain samples of the reconstructed time-domain signal.
  13. An apparatus according to one of claims 9 to 12,
    wherein the combination module (250) is configured to scale the first plurality of manipulated time samples to obtain a first plurality of scaled time samples,
    wherein the combination module (250) is configured to scale the second plurality of manipulated time samples to obtain a second plurality of scaled time samples, and
    wherein the combination module (250) is configured to add the first plurality of scaled time samples and the second plurality of scaled time samples to obtain the plurality of time-domain samples of the reconstructed time-domain signal.
  14. A method for generating a reconstructed time-domain signal from an input time-domain signal, wherein the method comprises:
    transforming, in a first clock cycle, a first plurality of time-domain samples of the input time-domain signal or derived from the input time-domain signal from a time domain to a frequency domain to obtain a first plurality of frequency-domain samples of a frequency-domain signal,
    transforming, in a second clock cycle, a second plurality of the time-domain samples of the input time-domain signal or derived from the input time-domain signal from the time domain to the frequency domain to obtain a second plurality of frequency-domain samples of the frequency-domain signal, wherein the first plurality of time-domain samples and the second plurality of time-domain samples comprise one or more same time-domain samples of the input time-domain signal,
    manipulating one or more frequency-domain samples of the first plurality of frequency-domain samples to obtain a first plurality of manipulated frequency samples, and manipulating one or more frequency-domain samples of the second plurality of frequency-domain samples to obtain a second plurality of manipulated frequency samples, and
    generating the reconstructed time-domain signal depending on the first plurality of manipulated frequency samples and depending on the second plurality of manipulated frequency samples.
  15. A computer program for implementing the method of claim 14 when being executed on a computer or signal processor.
EP19163779.2A2019-03-192019-03-19High-rate dft-based data manipulator and data manipulation method for high performance and robust signal processingActiveEP3712626B1 (en)

Priority Applications (1)

Application NumberPriority DateFiling DateTitle
EP19163779.2AEP3712626B1 (en)2019-03-192019-03-19High-rate dft-based data manipulator and data manipulation method for high performance and robust signal processing

Applications Claiming Priority (1)

Application NumberPriority DateFiling DateTitle
EP19163779.2AEP3712626B1 (en)2019-03-192019-03-19High-rate dft-based data manipulator and data manipulation method for high performance and robust signal processing

Publications (3)

Publication NumberPublication Date
EP3712626A1 EP3712626A1 (en)2020-09-23
EP3712626C0 EP3712626C0 (en)2023-09-13
EP3712626B1true EP3712626B1 (en)2023-09-13

Family

ID=65903975

Family Applications (1)

Application NumberTitlePriority DateFiling Date
EP19163779.2AActiveEP3712626B1 (en)2019-03-192019-03-19High-rate dft-based data manipulator and data manipulation method for high performance and robust signal processing

Country Status (1)

CountryLink
EP (1)EP3712626B1 (en)

Families Citing this family (1)

* Cited by examiner, † Cited by third party
Publication numberPriority datePublication dateAssigneeTitle
CN117892065B (en)*2024-03-142024-05-31江西飞尚科技有限公司Vibrating wire sensor signal correction method, system, computer and storage medium

Family Cites Families (16)

* Cited by examiner, † Cited by third party
Publication numberPriority datePublication dateAssigneeTitle
US5410750A (en)*1992-02-241995-04-25Raytheon CompanyInterference suppressor for a radio receiver
US6097820A (en)*1996-12-232000-08-01Lucent Technologies Inc.System and method for suppressing noise in digitally represented voice signals
US6975666B2 (en)1999-12-232005-12-13Institut National De La Recherche ScientifiqueInterference suppression in CDMA systems
JP2001305202A (en)2000-04-242001-10-31Toyota Central Res & Dev Lab Inc MUSIC spectrum calculation method, apparatus and medium
US6798854B2 (en)2001-01-162004-09-28Broadcom CorporationSystem and method for canceling interference in a communication system
KR100526539B1 (en)2002-12-022005-11-08삼성전자주식회사Method and apparatus for detecting peak in narrow-band interference canceling system
CN1463104A (en)2003-06-182003-12-24清华大学Method for eliminating serial interference utilized in synchronous sode division multiple access (CDMA) system basd on reliability
US20070202829A1 (en)*2004-04-292007-08-30Koninklijke Philips Electronics, N.V.Receiver for Narrowband Interference Cancellation
US7573947B2 (en)2004-07-152009-08-11Terayon Communication Systems, Inc.Simplified narrowband excision
DE102005008734B4 (en)2005-01-142010-04-01Rohde & Schwarz Gmbh & Co. Kg Method and system for detecting and / or eliminating sinusoidal noise in a noise signal
US20090081980A1 (en)2007-09-242009-03-26Gm Global Technology Operations, Inc.Apparatus, systems, and methods for suppressing radio interference from a noise source via active filtering
KR101401598B1 (en)2008-03-212014-06-02삼성전자주식회사Apparatus and method for interference cancellation in multiple antenna system
CN102147429B (en)2011-02-282013-04-24中国科学院国家天文台Broadband microwave power meter and interference signal filtering method
US9020080B2 (en)2011-06-162015-04-28Lockheed Martin CorporationMethod and system to adaptively cancel sinusoidal interference from a signal processing system
US9008249B2 (en)2012-02-102015-04-14Qualcomm IncorporatedDetection and filtering of an undesired narrowband signal contribution in a wireless signal receiver
US10263727B2 (en)*2016-07-062019-04-16Booz Allen Hamilton Inc.System and method for mitigating narrowband interference

Also Published As

Publication numberPublication date
EP3712626A1 (en)2020-09-23
EP3712626C0 (en)2023-09-13

Similar Documents

PublicationPublication DateTitle
EP2245861B1 (en)Enhanced blind source separation algorithm for highly correlated mixtures
US9804999B2 (en)Signal/noise separation using FrFT rotational parameter obtained in relation to Wigner Distribution
MalanowskiDetection and parameter estimation of manoeuvring targets with passive bistatic radar
US11212015B2 (en)Interference suppression using machine learning
CN105634543B (en)A kind of anti-narrowband interference method and system
Mosavi et al.Jamming mitigation in global positioning system receivers using wavelet packet coefficients thresholding
Wu et al.Elimination of cross‐terms in the Wigner–Ville distribution of multi‐component LFM signals
CN101604985B (en)Method and device for eliminating time-domain narrowband interference of direct sequence spread spectrum communication system
CN111246037A (en)Echo cancellation method, device, terminal equipment and medium
CN101729461A (en)System and method for eliminating single-frequency interference and multi-frequency interference
US9985805B1 (en)Adaptive filter with recursive processing
Ali Khan et al.Sparsity-aware adaptive directional time–frequency distribution for source localization
Fu et al.Parallel processing algorithm for multipath clutter cancellation in passive radar
Cucho-Padin et al.Radio frequency interference detection and mitigation using compressive statistical sensing
CN119224705A (en) A method for suppressing inter-satellite interference based on low-rank recovery of sub-band spectrum
US7492814B1 (en)Method of removing noise and interference from signal using peak picking
EP3712626B1 (en)High-rate dft-based data manipulator and data manipulation method for high performance and robust signal processing
Zhao et al.Block NLMS cancellation algorithm and its real-time implementation for passive radar
Zhao et al.Joint delay–Doppler estimation for passive bistatic radar with direct‐path interference using MCMC method
Kulkarni et al.Periodicity-aware signal denoising using Capon-optimized Ramanujan filter banks and pruned Ramanujan dictionaries
CN102598126A (en)Information processing device, auxiliary device therefor, information processing system, control method therefor, and control program
CN111934650A (en)Spatial domain adaptive filtering processing method, device and equipment
US11611839B2 (en)Optimization of convolution reverberation
CN114487595B (en) Single-frequency pulse signal detection method
van der Byl et al.Recursive sliding discrete Fourier transform with oversampled data

Legal Events

DateCodeTitleDescription
PUAIPublic reference made under article 153(3) epc to a published international application that has entered the european phase

Free format text:ORIGINAL CODE: 0009012

STAAInformation on the status of an ep patent application or granted ep patent

Free format text:STATUS: THE APPLICATION HAS BEEN PUBLISHED

AKDesignated contracting states

Kind code of ref document:A1

Designated state(s):AL AT BE BG CH CY CZ DE DK EE ES FI FR GB GR HR HU IE IS IT LI LT LU LV MC MK MT NL NO PL PT RO RS SE SI SK SM TR

AXRequest for extension of the european patent

Extension state:BA ME

STAAInformation on the status of an ep patent application or granted ep patent

Free format text:STATUS: REQUEST FOR EXAMINATION WAS MADE

17PRequest for examination filed

Effective date:20210323

RBVDesignated contracting states (corrected)

Designated state(s):AL AT BE BG CH CY CZ DE DK EE ES FI FR GB GR HR HU IE IS IT LI LT LU LV MC MK MT NL NO PL PT RO RS SE SI SK SM TR

RAP3Party data changed (applicant data changed or rights of an application transferred)

Owner name:FRAUNHOFER-GESELLSCHAFT ZUR FOERDERUNG DER ANGEWANDTEN FORSCHUNG E.V.

RIC1Information provided on ipc code assigned before grant

Ipc:H04L 27/26 20060101ALI20230214BHEP

Ipc:H04L 1/00 20060101ALI20230214BHEP

Ipc:G01R 23/20 20060101AFI20230214BHEP

GRAPDespatch of communication of intention to grant a patent

Free format text:ORIGINAL CODE: EPIDOSNIGR1

STAAInformation on the status of an ep patent application or granted ep patent

Free format text:STATUS: GRANT OF PATENT IS INTENDED

INTGIntention to grant announced

Effective date:20230324

GRASGrant fee paid

Free format text:ORIGINAL CODE: EPIDOSNIGR3

GRAA(expected) grant

Free format text:ORIGINAL CODE: 0009210

STAAInformation on the status of an ep patent application or granted ep patent

Free format text:STATUS: THE PATENT HAS BEEN GRANTED

AKDesignated contracting states

Kind code of ref document:B1

Designated state(s):AL AT BE BG CH CY CZ DE DK EE ES FI FR GB GR HR HU IE IS IT LI LT LU LV MC MK MT NL NO PL PT RO RS SE SI SK SM TR

REGReference to a national code

Ref country code:CH

Ref legal event code:EP

REGReference to a national code

Ref country code:DE

Ref legal event code:R096

Ref document number:602019037202

Country of ref document:DE

REGReference to a national code

Ref country code:IE

Ref legal event code:FG4D

U01Request for unitary effect filed

Effective date:20231012

U07Unitary effect registered

Designated state(s):AT BE BG DE DK EE FI FR IT LT LU LV MT NL PT SE SI

Effective date:20231023

PG25Lapsed in a contracting state [announced via postgrant information from national office to epo]

Ref country code:GR

Free format text:LAPSE BECAUSE OF FAILURE TO SUBMIT A TRANSLATION OF THE DESCRIPTION OR TO PAY THE FEE WITHIN THE PRESCRIBED TIME-LIMIT

Effective date:20231214

PG25Lapsed in a contracting state [announced via postgrant information from national office to epo]

Ref country code:RS

Free format text:LAPSE BECAUSE OF FAILURE TO SUBMIT A TRANSLATION OF THE DESCRIPTION OR TO PAY THE FEE WITHIN THE PRESCRIBED TIME-LIMIT

Effective date:20230913

Ref country code:NO

Free format text:LAPSE BECAUSE OF FAILURE TO SUBMIT A TRANSLATION OF THE DESCRIPTION OR TO PAY THE FEE WITHIN THE PRESCRIBED TIME-LIMIT

Effective date:20231213

Ref country code:HR

Free format text:LAPSE BECAUSE OF FAILURE TO SUBMIT A TRANSLATION OF THE DESCRIPTION OR TO PAY THE FEE WITHIN THE PRESCRIBED TIME-LIMIT

Effective date:20230913

Ref country code:GR

Free format text:LAPSE BECAUSE OF FAILURE TO SUBMIT A TRANSLATION OF THE DESCRIPTION OR TO PAY THE FEE WITHIN THE PRESCRIBED TIME-LIMIT

Effective date:20231214

PG25Lapsed in a contracting state [announced via postgrant information from national office to epo]

Ref country code:IS

Free format text:LAPSE BECAUSE OF FAILURE TO SUBMIT A TRANSLATION OF THE DESCRIPTION OR TO PAY THE FEE WITHIN THE PRESCRIBED TIME-LIMIT

Effective date:20240113

U20Renewal fee for the european patent with unitary effect paid

Year of fee payment:6

Effective date:20240315

PG25Lapsed in a contracting state [announced via postgrant information from national office to epo]

Ref country code:ES

Free format text:LAPSE BECAUSE OF FAILURE TO SUBMIT A TRANSLATION OF THE DESCRIPTION OR TO PAY THE FEE WITHIN THE PRESCRIBED TIME-LIMIT

Effective date:20230913

PG25Lapsed in a contracting state [announced via postgrant information from national office to epo]

Ref country code:SM

Free format text:LAPSE BECAUSE OF FAILURE TO SUBMIT A TRANSLATION OF THE DESCRIPTION OR TO PAY THE FEE WITHIN THE PRESCRIBED TIME-LIMIT

Effective date:20230913

Ref country code:RO

Free format text:LAPSE BECAUSE OF FAILURE TO SUBMIT A TRANSLATION OF THE DESCRIPTION OR TO PAY THE FEE WITHIN THE PRESCRIBED TIME-LIMIT

Effective date:20230913

Ref country code:IS

Free format text:LAPSE BECAUSE OF FAILURE TO SUBMIT A TRANSLATION OF THE DESCRIPTION OR TO PAY THE FEE WITHIN THE PRESCRIBED TIME-LIMIT

Effective date:20240113

Ref country code:ES

Free format text:LAPSE BECAUSE OF FAILURE TO SUBMIT A TRANSLATION OF THE DESCRIPTION OR TO PAY THE FEE WITHIN THE PRESCRIBED TIME-LIMIT

Effective date:20230913

Ref country code:CZ

Free format text:LAPSE BECAUSE OF FAILURE TO SUBMIT A TRANSLATION OF THE DESCRIPTION OR TO PAY THE FEE WITHIN THE PRESCRIBED TIME-LIMIT

Effective date:20230913

Ref country code:SK

Free format text:LAPSE BECAUSE OF FAILURE TO SUBMIT A TRANSLATION OF THE DESCRIPTION OR TO PAY THE FEE WITHIN THE PRESCRIBED TIME-LIMIT

Effective date:20230913

PG25Lapsed in a contracting state [announced via postgrant information from national office to epo]

Ref country code:PL

Free format text:LAPSE BECAUSE OF FAILURE TO SUBMIT A TRANSLATION OF THE DESCRIPTION OR TO PAY THE FEE WITHIN THE PRESCRIBED TIME-LIMIT

Effective date:20230913

REGReference to a national code

Ref country code:DE

Ref legal event code:R097

Ref document number:602019037202

Country of ref document:DE

PLBENo opposition filed within time limit

Free format text:ORIGINAL CODE: 0009261

STAAInformation on the status of an ep patent application or granted ep patent

Free format text:STATUS: NO OPPOSITION FILED WITHIN TIME LIMIT

26NNo opposition filed

Effective date:20240614

REGReference to a national code

Ref country code:CH

Ref legal event code:PL

PG25Lapsed in a contracting state [announced via postgrant information from national office to epo]

Ref country code:MC

Free format text:LAPSE BECAUSE OF FAILURE TO SUBMIT A TRANSLATION OF THE DESCRIPTION OR TO PAY THE FEE WITHIN THE PRESCRIBED TIME-LIMIT

Effective date:20230913

GBPCGb: european patent ceased through non-payment of renewal fee

Effective date:20240319

PG25Lapsed in a contracting state [announced via postgrant information from national office to epo]

Ref country code:MC

Free format text:LAPSE BECAUSE OF FAILURE TO SUBMIT A TRANSLATION OF THE DESCRIPTION OR TO PAY THE FEE WITHIN THE PRESCRIBED TIME-LIMIT

Effective date:20230913

PG25Lapsed in a contracting state [announced via postgrant information from national office to epo]

Ref country code:GB

Free format text:LAPSE BECAUSE OF NON-PAYMENT OF DUE FEES

Effective date:20240319

PG25Lapsed in a contracting state [announced via postgrant information from national office to epo]

Ref country code:IE

Free format text:LAPSE BECAUSE OF NON-PAYMENT OF DUE FEES

Effective date:20240319

PG25Lapsed in a contracting state [announced via postgrant information from national office to epo]

Ref country code:IE

Free format text:LAPSE BECAUSE OF NON-PAYMENT OF DUE FEES

Effective date:20240319

Ref country code:GB

Free format text:LAPSE BECAUSE OF NON-PAYMENT OF DUE FEES

Effective date:20240319

Ref country code:CH

Free format text:LAPSE BECAUSE OF NON-PAYMENT OF DUE FEES

Effective date:20240331

U20Renewal fee for the european patent with unitary effect paid

Year of fee payment:7

Effective date:20250325

PG25Lapsed in a contracting state [announced via postgrant information from national office to epo]

Ref country code:CY

Free format text:LAPSE BECAUSE OF FAILURE TO SUBMIT A TRANSLATION OF THE DESCRIPTION OR TO PAY THE FEE WITHIN THE PRESCRIBED TIME-LIMIT; INVALID AB INITIO

Effective date:20190319

PG25Lapsed in a contracting state [announced via postgrant information from national office to epo]

Ref country code:HU

Free format text:LAPSE BECAUSE OF FAILURE TO SUBMIT A TRANSLATION OF THE DESCRIPTION OR TO PAY THE FEE WITHIN THE PRESCRIBED TIME-LIMIT; INVALID AB INITIO

Effective date:20190319


[8]ページ先頭

©2009-2025 Movatter.jp