Movatterモバイル変換


[0]ホーム

URL:


EP3617350A1 - Method for coating a metal part destined to be subjected to high contact pressures and metal part obtained therefrom - Google Patents

Method for coating a metal part destined to be subjected to high contact pressures and metal part obtained therefrom
Download PDF

Info

Publication number
EP3617350A1
EP3617350A1EP18382639.5AEP18382639AEP3617350A1EP 3617350 A1EP3617350 A1EP 3617350A1EP 18382639 AEP18382639 AEP 18382639AEP 3617350 A1EP3617350 A1EP 3617350A1
Authority
EP
European Patent Office
Prior art keywords
layer
range
metal part
comprised
copper
Prior art date
Legal status (The legal status is an assumption and is not a legal conclusion. Google has not performed a legal analysis and makes no representation as to the accuracy of the status listed.)
Pending
Application number
EP18382639.5A
Other languages
German (de)
French (fr)
Inventor
Huirong LE
Maozhou MENG
Current Assignee (The listed assignees may be inaccurate. Google has not performed a legal analysis and makes no representation or warranty as to the accuracy of the list.)
Tubacex Upstream Technologies SA
Original Assignee
Tubacex Upstream Technologies SA
Priority date (The priority date is an assumption and is not a legal conclusion. Google has not performed a legal analysis and makes no representation as to the accuracy of the date listed.)
Filing date
Publication date
Application filed by Tubacex Upstream Technologies SAfiledCriticalTubacex Upstream Technologies SA
Priority to EP18382639.5ApriorityCriticalpatent/EP3617350A1/en
Priority to PCT/EP2019/073222prioritypatent/WO2020043882A1/en
Publication of EP3617350A1publicationCriticalpatent/EP3617350A1/en
Pendinglegal-statusCriticalCurrent

Links

Images

Classifications

Definitions

Landscapes

Abstract

The invention relates to a method for coating a metal part (P) destined to be subjected to high contact pressures, an external layer of the metal part (P) forming a substrate (S) to be coated, which comprises the steps consisting in a) Applying a nickel strike treatment to the substrate (S), such that a first layer (1) of nickel is obtained; b) Applying a copper electrolytic plating to the first layer (1) of nickel, such that a second layer (2) of copper is obtained; c) Applying a tin plating to the second layer (2) of copper, such that a third layer (3) is obtained, the interface between the second layer (2) and the third layer (3) being bronze. The invention also relates to coated parts using said method, the coated parts being preferably a pin and/or a box of a threaded joint for oil and gas applications

Description

    TECHNICAL FIELD
  • The present invention relates to coatings. In particular, to coatings that improve anti-galling and frictional properties of metal parts.
  • STATE OF THE ART
  • Threaded joints of oil and gas ducts are subjected to high contact pressures that cause the opposite contact surfaces to bond, i.e. to weld in the atomic level. Since the joined parts have to move relative to each other during make and breaks, this bond may lead to galling of the contact surfaces.
  • The production of galling can be minimized by reducing the stiction and coefficient of friction between the parts.
  • A solution to prevent galling is to coat the parts. Among the coating methods, electrolytic plating and electroless plating are known.
  • The electrolytic deposition techniques are based on the application of electric current. One of the advantages of these known techniques is the speed of deposition, which makes them particularly suitable when it comes to depositing relatively thick layers, such as, for example, of the order of 10 µm.
  • In contrast, in the electroless plating the coating is obtained without the application of current. This technique allows for obtaining very uniform coatings, especially when the coating to be deposited is relatively thin, say 1 µm. A major advantage of the uniformity is that it results in an improved performance of the joint.
  • An example of electroless coating is disclosed inUS 4,527,815 (Frick). This document discloses an electroless nickel coating, consisting, immersing the part to be coated in a hot bath containing an organic nickel compound.
  • US 4,758,025 (Frick) also discloses the use of electroless metal coatings, specifically copper or zinc coatings, but again no details are provided regarding the specific composition of the bath and the full method.
  • US2015159277 discloses an aqueous electroless nickel plating bath for forming electroless nickel coatings that includes nickel, a hypo phosphorous reducing agent, zinc, a bismuth stabilizer, and a complexing agent.
  • US 2004/0086656 (Kohl et al) relates to electroless copper plating and methods of use thereof, in fields away from oil and gas pipes like PCB manufacture, and mentions the use of an accelerator for accelerating copper deposition. Growth rates are a major parameter to be optimized, since it is very relevant for the manufacturing costs.
  • WO8201015A1 (Shipley company Inc.) discloses combinations of copper/ nickel electroless coating where copper amounts to up to 70%, nickel being excluded from being an important part of the coating due to its bad electrical conducting properties.
  • In any case, what is sought is to decrease the galling by reducing the coefficient of friction.
  • A secondary objective is to reduce the use of lubricating greases containing polluting metals.
  • DESCRIPTION OF THE INVENTION
  • For overcoming the low yields and long times for obtaining an anti-galling coating, the invention provides an efficient method for coating a metal part destined to be subjected to high contact pressures, an external surface of the metal part forming a substrate to be coated, which comprises the following steps:
    1. a) Applying a nickel strike treatment to the substrate, such that a first layer of nickel is obtained;
    2. b) Applying a copper electrolytic plating to the first layer of nickel, such that a second layer of copper is obtained;
    3. c) Applying a tin plating to the second layer of copper, such that a third layer is obtained, the interface between the second layer and the third layer being bronze.
  • The proposed method allows for reducing the stiction and coefficient of friction, and thus improving the anti-galling properties and corrosion resistance. Moreover, thanks to the stiction and coefficient of friction reduction, it is possible to use non-contaminant greases while keeping the performance of lead containing greases. In particular, the friction or anti-galling properties of the coating produced satisfies the standard requirements when an environmentally friendly lubricant is used.
  • The proposed method achieves its beneficial effects thanks to the combination of three clearly differentiated layers, as well as the created bronze interface.
  • The electrolytic plating has proved in the present case to be an efficient process to generate the thickness required for the second layer.
  • The method is especially efficient when is applied to carbon steel, stainless steel or nickel-based alloys, which are generally used for OCTG (Oil Country Tubular Goods) pipes in API5CT, API5CRA and API6A standards.
  • In an embodiment, the step a) of the method is carried out with an immersion in a solution containing hydrochloric acid (HCI) and nickel chloride hexahydrate (NiCl2 · 6H2O).
  • This is a common way to Nickel coating that has proven to combine in an efficient way with the present invention.
  • In a more specific embodiment, the hydrochloric acid concentration is in the range of 5% - 10% in weight and the nickel chloride hexahydrate is in the range of 150 - 300 g/L, the anode being nickel having at least a 99.5% purity.
  • This concentration allows to improve significantly the adhesion of the subsequent layer.
  • In an embodiment, the thickness of the first layer is comprised in the range of 0.1-1 µm. This thickness provides a good bonding between coating film and substrate material.
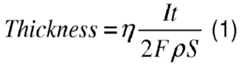
  • The nickel strike is processed at room temperature. The thickness is controlled by the following equation,Thickness=ηIt2F ρS
    Figure imgb0001
    where η is the nickel strike efficiency, n=40% (this value is various to the concentration of HCl: the higher HCl, the lower η); I is the electrical current; t is plating time; F is the Faraday constant, F=96485 C/mol; ρ is the density of nickel; S is the surface area of the substrate.
  • In an embodiment, the electrolytic plating is carried out in a solution containing copper sulphate pentahydrate (CuSO4 · 5H2O) and sulfuric acid (H2SO4).
  • In a more specific embodiment:
    • the CuSO4 · 5H2O has a concentration comprised in the range of 100 - 200 g/L;
    • the H2SO4 has a concentration comprised in the range of 20 - 100 g/L; and
    • the anode being an oxygen freephosphorous copper (OFC), with no less than99.5% pure copper metal.The phosphorous content is in range of 0.01%-0.08%.
  • An advantage is that the coating does not delaminate while allowing a high yield coating method.
  • Another advantage is that it allows to control the thickness of the deposited copper layer, ensuring an appropriate adhesion strength.
  • In an embodiment, the thickness of the second layer is comprised in the range of 6 - 12 µm, and is preferably 10 µm.
  • In an embodiment, the step c) comprises an electroless coating.
  • The advantage of electroless method is to deposit a uniform layer of coating, regardless of the surface profile of substrate and avoid the 'shielding' effect in electrolytic plating process.
  • A further advantage of the electroless method is that it allows to control the thickness of the coating of a rough surface.
  • In an embodiment, the electroless coating is applied with a solution containing stannous sulphate (SnSO4), thiourea (CH4N2S) and sulfuric acid (H2SO4).
  • In a more specific embodiment:
    • the SnSO4 has a concentration comprised in the range of 1 - 10 g/L;
    • the thiourea has a concentration comprised in the range of 20 - 100 g/L; and
    • the H2SO4 has a concentration comprised in the range of 10 - 50 g/L.
  • In an embodiment, the thickness of the third layer is comprised in the range of 0,4 -- 0,6 µm and is preferably 0,5 µm.
  • In an embodiment, the method comprises a further step d) consisting in baking the obtained coating at 150-200 °C.
  • The baking at 150-200 °C improves the coating quality by two reasons: a) releasing residual stress; b) strengthening the third layer itself and the bonding with the copper layer underneath.
  • In an embodiment, the metal part is a pin and/or a box of a threaded joint for oil and gas applications.
  • In another aspect, the present invention provides a metal part destined to be subjected to high contact pressures, the metal part having an external layer which forms a substrate, the substrate having a coating, wherein the coating comprises:
    • a first layer of nickel on the substrate;
    • a second layer of copper on the first layer;
    • a third layer of tin on the second layer;
    • the interface between the second layer and the third layer being bronze;
    wherein:
    • the thickness of the first layer is comprised in the range of 0.1-1 µm;
    • the thickness of the second layer is comprised in the range of 6 - 12 µm, and is preferably 10 µm; and
    • wherein the thickness of the third layer is comprised in the range of 0,4 and 0,6 µm and is preferably 0,5 µm.
  • Preferably, the metal part is a pin and/or a box of a threaded joint for oil and gas applications
  • BRIEF DESCRIPTION OF THE DRAWINGS
  • To complete the description and in order to provide for a better understanding of the invention, a set of drawings is provided. Said drawings form an integral part of the description and illustrate embodiments of the invention, which should not be interpreted as restricting the scope of the invention, but just as an example of how the invention can be carried out. The drawings comprise the following figures:
    • Figure 1 schematically shows the coating obtained when applying the method according to the present invention.
    • Figure 2 is a graph showing the evolution of the coefficient of friction as a function of the compression cycles, which has been obtained in a test bench and using API as a lubricating grease in a pin box contact.
    • Figure 3 is a graph showing the evolution of the coefficient of friction as a function of the compression cycles, which has been obtained in a test bench and using green dope as a lubricating grease in a pin box contact.
    DESCRIPTION OF A WAY OF CARRYING OUT THE INVENTION
  • The present invention relates to a method for coating a metal part P destined to be subjected to high contact pressures, in particular to pin and/or a box of a threaded joint for oil and gas applications.
  • The metal part P forms the substrate S to be coated.
  • Specifically, and with reference toFIG. 1, the method comprises the following steps:
    1. a) Applying a nickel strike treatment to the substrate S, such that a first layer 1 of nickel is obtained;
    2. b) Applying a copper electrolytic plating to the first layer 1 of nickel, such that asecond layer 2 of copper is obtained;
    3. c) Applying a tin plating to thesecond layer 2 of copper, such that athird layer 3 is obtained, theinterface 23 between thesecond layer 2 and thethird layer 3 being bronze.
  • Step a is carried out with a bath in a solution containing hydrochloric acid HCl and nickel chloride hexahydrate NiCl2 · 6H2O, wherein the hydrochloric acid concentration is in range 5% - 10% in weight and the nickel chloride hexahydrate is in the in range 150 - 300 g/L, the anode being nickel having at least a 99.5% purity.
  • The first layer 1 is comprised in the range of 0.1-1 µm.
  • The electrolytic plating is carried out in a solution containing copper sulphate pentahydrate CuSO4 · 5H2O and sulfuric acid H2SO4, wherein:
    • the CuSO4 · 5H2O has a concentration comprised in the range of 100 - 200 g/L;
    • the H2SO4 has a concentration comprised in the range of 20 - 100 g/L; and
    • the anode being an oxygen freephosphorous copper OFC, with no less than99.5% pure copper metal.The phosphorous content is in range of 0.01%-0.08%.
  • The electronic current density on anode should be less than 5 A/cm2 without agitation, or 17 A/cm2 with agitation.
    NameFormula
    Copper sulphate pentahydrateCuSO4 · 5H2O200g/L
    Sulfuric acidH2SO450g/L
  • The coating thickness is calculated by the equation 1, however, the plating efficiency η=1.
  • Thesecond layer 2 is comprised in the range of 6 - 12 µm, and is preferably 10 µm.
  • Step c is an electroless coating applied with a solution containing stannous sulphate SnSO4, thiourea CH4N2S and sulfuric acid H2SO4, and wherein:
    • the SnSO4 has a concentration comprised in the range of 1 - 10 g/L;
    • the thiourea has a concentration comprised in the range of 20 - 100 g/L; and
    • the H2SO4 has a concentration comprised in the range of 10 - 50 g/L.
  • Step c) has to be applied such that the thickness of thethird layer 3 is comprised in the range of 0,4 and 0,6 µm and is preferably 0,5 µm.
  • The electroless process applies a very thin layer of tin on top of the copper layer. The electroless bronze solution contains stannous sulphate (SnSO4), thiourea (CH4N2S) and sulfuric acid (H2SO4). The thiourea reduces the electrode potential of copper, so that it reduces stannous ion, and then an ultrathin tin layer is formed on top of copper.
    NameFormulag/Lmol/L
    Stannous sulphateSnSO44.50.021
    ThioureaCH4N2S500.658
    Sulfuric acidH2SO4200.204
  • The SnSO4 and CH4N2S must be dissolved in H2SO4 and deionized water respectively first, and then mixed together.
  • The electroless bronze can be processed at room temperature. The deposition initiates automatically when the part to be coated is immersed into the electroless bronze solution. After a few minutes (about 2 minutes), the process is stopped automatically when all the surface of copper is covered by tin.
  • Although the coated parts P obtained can be used in dry-type joints, their preferred use will be with in wet joints, that is with the use of a lubricating grease interposed between the two parts (threaded pin and box for oil and gas applications) subjected to high mutual pressures.
  • In the present case, two types of greased, API and green dope, where tested.
  • These two differ in their effect on the environment. While API is harmful due to its heavy metal content, the green dope is respectful of the environment.
  • The use of the former, API, in a metal-to-metal friction results, in combination with known coatings, in a reduced coefficient of friction.
  • When the coating according to the present invention is used, a considerable reduction in the coefficient of friction is achieved, which becomes more evident as the cycles of use accumulate. We emphasize that the pin-box joints are subjected to high pressures during make and breaks that cause a relative movement between the parts P.
  • However, it has been found that the reduction in the coefficient of friction also occurs when using greases that do not contain heavy metals such as the green dope, reaching performances that make their performance comparable in a pin-box joint with known coatings in combination with the use of API, which is a contaminant to the environment.
  • Figure 2 represents the evolution of the coefficient of friction after applying several pressure cycles with the tests disclosed in"Characterisation of friction and lubrication regimes in premium tubular connections" from F. Stewart, H.R.Le, J.A.Williams, A.Leech, B.Bezensek, A.Roberts.
  • The objective of this test is to determine the behavior of the coating in the long term and what is obtained is the surprising result illustrated.
  • Specifically, it is observed that in the first cycles the behavior as far as friction is concerned is comparable.
  • However, it is appreciated that the difference is widened as cycles accumulate, with the order reduction being approximately 15%.
  • When comparing the results obtained with different greases, it is appreciated that it does not depend on these.FIG. 3 is the graph obtained with the use of green dope. The result is maintained in a reduction with the aforementioned percentage, i.e. 15%.
  • In this text, the term "comprises" and its derivations (such as "comprising", etc.) should not be understood in an excluding sense, that is, these terms should not be interpreted as excluding the possibility that what is described and defined may include further elements.
  • The invention is obviously not limited to the specific embodiments described herein, but also encompasses any variations that may be considered by any person skilled in the art within the general scope of the invention as defined in the claims.

Claims (15)

  1. Method for coating a metal part (P) destined to be subjected to high contact pressures, an external layer of the metal part (P) forming a substrate (S) to be coated, which comprises the following steps:
    a) Applying a nickel strike treatment to the substrate (S), such that a first layer (1) of nickel is obtained;
    b) Applying a copper electrolytic plating to the first layer (1) of nickel, such that a second layer (2) of copper is obtained;
    c) Applying a tin plating to the second layer (2) of copper, such that a third layer (3) is obtained, the interface between the second layer (2) and the third layer (3) being bronze.
  2. Method according to claim 1, wherein step a) is carried out in a bath with a solution containing hydrochloric acid (HCl) and nickel chloride hexahydrate (NiCl2 · 6H2O).
  3. Method according to claim 2, wherein the hydrochloric acid concentration is in the range of 5% -- 10% in weight and the nickel chloride hexahydrate is in the range of 150 - 300 g/L, the anode being nickel having at least a 99.5% purity.
  4. Method according to any of the preceding claims, wherein the thickness of the first layer (1) is comprised in the range of 0.1 -- 1 µm.
  5. Method according to any of the previous claims, wherein the electrolytic plating is carried out in a solution containing copper sulphate pentahydrate (CuSO4 · 5H2O) and sulfuric acid (H2SO4).
  6. Method according to claim 5, wherein:
    - the CuSO4 · 5H2O has a concentration comprised in the range of 100 - 200 g/L;
    - the H2SO4 has a concentration comprised in the range of 20 - 100 g/L; and
    - the anode being an oxygen free phosphorous copper (OFC), with no less than 99.5% pure copper metal, the phosphorous content thereof being in the range of 0.01%-0.08%.
  7. Method according to any of the preceding claims, wherein the thickness of the second layer (2) is comprised in the range of 6 - 24 µm, and is preferably 10 µm.
  8. Method according to any of the previous claims, wherein step c) is an electroless coating.
  9. Method according to claim 8, wherein the electroless coating is applied with a solution containing stannous sulphate (SnSO4), thiourea (CH4N2S) and sulfuric acid (H2SO4).
  10. Method according to claim 9, wherein:
    - the SnSO4 has a concentration comprised in the range of 1 - 10 g/L;
    - the thiourea has a concentration comprised in the range of 20 - 100 g/L; and
    - the H2SO4 has a concentration comprised in the range of 10 - 50 g/L.
  11. Method according to any of the previous claims, wherein the thickness of the third layer (3) is comprised in the range of 0,2 to 0,8 µm and is preferably 0,5 µm.
  12. Method according to any of the previous claims, which comprises a further step d) consisting in baking the obtained coating at 150 -- 200 °C.
  13. Method according to any of the previous claims wherein the metal part (P) is a pin and/or a box of a threaded joint for oil and gas applications.
  14. Metal part (P) destined to be subjected to high contact pressures, the metal part (P) having an external layer which forms a substrate (S), the substrate (S) having a coating,characterized in that the coating comprises:
    • a first layer (1) of nickel on the substrate (S);
    • a second layer (2) of copper on the first layer (1);
    • a third layer (3) of tin on the second layer (2);
    • the interface between the second layer (2) and the third layer (3) being bronze;
    wherein:
    - the thickness of the first layer (1) is comprised in the range of 0.1--1 µm;
    - the thickness of the second layer (2) is comprised in the range of 6 - 24 µm, and is preferably 10 µm; and
    - wherein the thickness of the third layer (3) is comprised in the range of 0,2 --0,8 µm and is preferably 0,5 µm.
  15. Metal part (P) according to claim 14, the metal part being a pin and/or a box of a threaded joint for oil and gas applications.
EP18382639.5A2018-08-312018-08-31Method for coating a metal part destined to be subjected to high contact pressures and metal part obtained therefromPendingEP3617350A1 (en)

Priority Applications (2)

Application NumberPriority DateFiling DateTitle
EP18382639.5AEP3617350A1 (en)2018-08-312018-08-31Method for coating a metal part destined to be subjected to high contact pressures and metal part obtained therefrom
PCT/EP2019/073222WO2020043882A1 (en)2018-08-312019-08-30Method for coating a metal part destined to be subjected to high contact pressures and metal part obtained therefrom

Applications Claiming Priority (1)

Application NumberPriority DateFiling DateTitle
EP18382639.5AEP3617350A1 (en)2018-08-312018-08-31Method for coating a metal part destined to be subjected to high contact pressures and metal part obtained therefrom

Publications (1)

Publication NumberPublication Date
EP3617350A1true EP3617350A1 (en)2020-03-04

Family

ID=63528688

Family Applications (1)

Application NumberTitlePriority DateFiling Date
EP18382639.5APendingEP3617350A1 (en)2018-08-312018-08-31Method for coating a metal part destined to be subjected to high contact pressures and metal part obtained therefrom

Country Status (2)

CountryLink
EP (1)EP3617350A1 (en)
WO (1)WO2020043882A1 (en)

Cited By (1)

* Cited by examiner, † Cited by third party
Publication numberPriority datePublication dateAssigneeTitle
CN113186522A (en)*2021-05-262021-07-30西南科技大学Tin salt sensitization activation method for titanium alloy surface chemical plating

Citations (10)

* Cited by examiner, † Cited by third party
Publication numberPriority datePublication dateAssigneeTitle
WO1982001015A1 (en)1980-09-151982-04-01Shipley CoElectroless alloy plating
US4527815A (en)1982-10-211985-07-09Mobil Oil CorporationUse of electroless nickel coating to prevent galling of threaded tubular joints
US4758025A (en)1985-06-181988-07-19Mobil Oil CorporationUse of electroless metal coating to prevent galling of threaded tubular joints
US4816070A (en)*1985-08-291989-03-28Techo Instruments Investments Ltd.Use of immersion tin and alloys as a bonding medium for multilayer circuits
WO2003060198A1 (en)*2001-12-242003-07-24Hunting Oilfield Services (Uk) LtdA tubular member having an anti-galling coating
US20040086656A1 (en)2001-11-062004-05-06Kohl Paul A.Electroless copper plating solutions and methods of use thereof
EP2128506A1 (en)*2007-03-022009-12-02SUMITOMO METAL INDUSTRIES, Ltd.Screw joint for steel pipe
WO2013073712A1 (en)*2011-11-182013-05-23Nippon Steel & Sumitomo Metal CorporationTubular threaded joint having improved high torque performance
US20140174936A1 (en)*2011-04-192014-06-26Rohm And Haas Electronic Materials LlcPlating of copper on semiconductors
US20150159277A1 (en)2012-07-172015-06-11Coventya, Inc.Electroless nickel coatings and compositions and methods for forming the coatings

Patent Citations (10)

* Cited by examiner, † Cited by third party
Publication numberPriority datePublication dateAssigneeTitle
WO1982001015A1 (en)1980-09-151982-04-01Shipley CoElectroless alloy plating
US4527815A (en)1982-10-211985-07-09Mobil Oil CorporationUse of electroless nickel coating to prevent galling of threaded tubular joints
US4758025A (en)1985-06-181988-07-19Mobil Oil CorporationUse of electroless metal coating to prevent galling of threaded tubular joints
US4816070A (en)*1985-08-291989-03-28Techo Instruments Investments Ltd.Use of immersion tin and alloys as a bonding medium for multilayer circuits
US20040086656A1 (en)2001-11-062004-05-06Kohl Paul A.Electroless copper plating solutions and methods of use thereof
WO2003060198A1 (en)*2001-12-242003-07-24Hunting Oilfield Services (Uk) LtdA tubular member having an anti-galling coating
EP2128506A1 (en)*2007-03-022009-12-02SUMITOMO METAL INDUSTRIES, Ltd.Screw joint for steel pipe
US20140174936A1 (en)*2011-04-192014-06-26Rohm And Haas Electronic Materials LlcPlating of copper on semiconductors
WO2013073712A1 (en)*2011-11-182013-05-23Nippon Steel & Sumitomo Metal CorporationTubular threaded joint having improved high torque performance
US20150159277A1 (en)2012-07-172015-06-11Coventya, Inc.Electroless nickel coatings and compositions and methods for forming the coatings

Cited By (2)

* Cited by examiner, † Cited by third party
Publication numberPriority datePublication dateAssigneeTitle
CN113186522A (en)*2021-05-262021-07-30西南科技大学Tin salt sensitization activation method for titanium alloy surface chemical plating
CN113186522B (en)*2021-05-262022-01-28西南科技大学 A kind of tin salt sensitization activation method for electroless plating on titanium alloy surface

Also Published As

Publication numberPublication date
WO2020043882A1 (en)2020-03-05

Similar Documents

PublicationPublication DateTitle
KR101649847B1 (en)Electronic component metal material and manufacturing method thereof, and connector terminal, connector and electronic component using said electronic component metal material
KR101705562B1 (en)Metal material for electronic components, method for producing same, connector terminal using same, connector and electronic component
JP5427945B2 (en) METAL MATERIAL FOR ELECTRONIC COMPONENT AND ITS MANUFACTURING METHOD, CONNECTOR TERMINAL USING THE SAME, CONNECTOR AND ELECTRONIC COMPONENT
KR101649846B1 (en)Electronic component metal material and manufacturing method thereof, and connector terminal, connector and electronic component using said electronic component metal material
WO2009123144A1 (en)Tinned copper alloy bar with excellent abrasion resistance, insertion properties, and heat resistance
CN104619883A (en)Surface-treated plated material and method for producing same, and electronic component
JP5980746B2 (en) METAL MATERIAL FOR ELECTRONIC COMPONENT AND ITS MANUFACTURING METHOD, CONNECTOR TERMINAL USING THE SAME, CONNECTOR AND ELECTRONIC COMPONENT
JP5275504B1 (en) METAL MATERIAL FOR ELECTRONIC COMPONENT AND ITS MANUFACTURING METHOD, CONNECTOR TERMINAL USING THE SAME, CONNECTOR AND ELECTRONIC COMPONENT
JP2015045058A (en) METAL MATERIAL FOR ELECTRONIC COMPONENT AND ITS MANUFACTURING METHOD, CONNECTOR TERMINAL USING THE SAME, CONNECTOR AND ELECTRONIC COMPONENT
EP3617350A1 (en)Method for coating a metal part destined to be subjected to high contact pressures and metal part obtained therefrom
JP4964795B2 (en) Copper alloy tin plating strip with excellent wear resistance
JP2015046268A (en) METAL MATERIAL FOR ELECTRONIC COMPONENT AND ITS MANUFACTURING METHOD, CONNECTOR TERMINAL USING THE SAME, CONNECTOR AND ELECTRONIC COMPONENT
JP2005154819A (en)Fitting type connection terminal
JP2015045050A (en) METAL MATERIAL FOR ELECTRONIC COMPONENT AND ITS MANUFACTURING METHOD, CONNECTOR TERMINAL USING THE SAME, CONNECTOR AND ELECTRONIC COMPONENT
JP6012564B2 (en) METAL MATERIAL FOR ELECTRONIC COMPONENT AND ITS MANUFACTURING METHOD, CONNECTOR TERMINAL USING THE SAME, CONNECTOR AND ELECTRONIC COMPONENT
JP2015045042A (en)Metallic material for electronic component and manufacturing method of the same, and connector terminal, connector, and electronic component using the same
JP2015045047A (en)Metallic material for electronic component and manufacturing method of the same, and connector terminal, connector, and electronic component using the same
JP2015045053A (en)Metallic material for electronic component, method for producing the same, and connector terminal, connector and electronic component using the same
JP2015045044A (en)Metallic material for electronic component, method for producing the same,and connector terminal, connector and electronic component using the same
JP5442385B2 (en) Conductive member and manufacturing method thereof
JP2015045051A (en)Metallic material for electronic component, method for producing the same, and connector terminal, connector and electronic component using the same
JP2011208175A (en)Method for producing plated article, and plated article
JP2015045057A (en)Electronic-component metallic material and method for producing the same, and connector terminal, connector and electronic component using the same
JP2015045043A (en) METAL MATERIAL FOR ELECTRONIC COMPONENT AND ITS MANUFACTURING METHOD, CONNECTOR TERMINAL USING THE SAME, CONNECTOR AND ELECTRONIC COMPONENT
JP2015045054A (en) METAL MATERIAL FOR ELECTRONIC COMPONENT AND ITS MANUFACTURING METHOD, CONNECTOR TERMINAL USING THE SAME, CONNECTOR AND ELECTRONIC COMPONENT

Legal Events

DateCodeTitleDescription
PUAIPublic reference made under article 153(3) epc to a published international application that has entered the european phase

Free format text:ORIGINAL CODE: 0009012

STAAInformation on the status of an ep patent application or granted ep patent

Free format text:STATUS: THE APPLICATION HAS BEEN PUBLISHED

AKDesignated contracting states

Kind code of ref document:A1

Designated state(s):AL AT BE BG CH CY CZ DE DK EE ES FI FR GB GR HR HU IE IS IT LI LT LU LV MC MK MT NL NO PL PT RO RS SE SI SK SM TR

AXRequest for extension of the european patent

Extension state:BA ME

STAAInformation on the status of an ep patent application or granted ep patent

Free format text:STATUS: REQUEST FOR EXAMINATION WAS MADE

17PRequest for examination filed

Effective date:20200904

RBVDesignated contracting states (corrected)

Designated state(s):AL AT BE BG CH CY CZ DE DK EE ES FI FR GB GR HR HU IE IS IT LI LT LU LV MC MK MT NL NO PL PT RO RS SE SI SK SM TR

STAAInformation on the status of an ep patent application or granted ep patent

Free format text:STATUS: EXAMINATION IS IN PROGRESS

17QFirst examination report despatched

Effective date:20220216


[8]ページ先頭

©2009-2025 Movatter.jp