









Le domaine technique de l'invention est celui des amplificateurs hautes fréquences. La présente invention concerne un circuit d'adaptation pour un amplificateur bas bruit. L'invention concerne également un amplificateur bas bruit comprenant un tel circuit d'adaptation et en particulier un amplificateur bas bruit à jonction Josephson.The technical field of the invention is that of high frequency amplifiers. The present invention relates to an adaptation circuit for a low noise amplifier. The invention also relates to a low-noise amplifier comprising such a matching circuit and in particular a low-noise Josephson junction amplifier.
Dans le cadre de la recherche fondamentale ou de la radioastronomie, il est souvent nécessaire d'avoir recours à des amplificateurs dit très faible bruit, c'est-à-dire des amplificateurs dont le bruit est aussi proche que possible de la limite théorique imposée par la mécanique quantique, et ce, pour des fréquences allant du MHz au THz. Il est possible de distinguer deux types d'amplificateurs : les amplificateurs préservant la phase et les amplificateurs sensibles à la phase. Les amplificateurs sensibles à la phase ne sont pas soumis à la limitation théorique mais ils sont difficiles à utiliser car la phase du signal à amplifier doit parfaitement correspondre à la quadrature amplifiée. Les amplificateurs préservant la phase sont soumis à la limite quantique mais n'imposent en revanche aucune condition quant à la phase du signal à amplifier.In the context of basic research or radio astronomy, it is often necessary to use so-called very low-noise amplifiers, ie amplifiers whose noise is as close as possible to the theoretical limit imposed. by quantum mechanics for frequencies from MHz to THz. Two types of amplifiers can be distinguished: phase-preserving amplifiers and phase-sensitive amplifiers. Phase-sensitive amplifiers are not subject to theoretical limitation but they are difficult to use because the phase of the signal to be amplified must perfectly correspond to the amplified quadrature. Phase-preserving amplifiers are subject to the quantum limit but do not impose any condition on the phase of the signal to be amplified.
Dans le domaine de l'amplification haute fréquence et très haute fréquence il est connu d'utiliser une amplification par réflexion. Cette dernière est obtenue par exemple à l'aide d'une ligne de transmission d'impédance Z0 terminée par une impédance ZL(f) où f est la fréquence du signal. Le coefficient de réflexion en tension d'une telle structure est donnée par
Dans le domaine de l'amplification, il est aussi connu d'utiliser des transistors semiconducteurs travaillant à des températures cryogéniques. Les transistors sont polarisés en tension ce qui rend l'utilisation de ce type d'amplificateurs très facile à mettre en oeuvre. En revanche leur niveau de bruit, même à température cryogénique, reste encore élevé : de l'ordre de 10 photons dans le meilleur des cas, soit 20 fois la limite quantique. Pour limiter le bruit au maximum, il a été proposé d'utiliser un amplificateur paramétrique dans lequel l'impédance négative est obtenue par exemple par l'intermédiaire de quatre jonctions Josephson. Le circuit de l'amplificateur possède un premier mode à la fréquence signal fs et un deuxième mode à la fréquence idler fi. Les paramètres du circuit sont modifiés à l'aide de la pompe de fréquence fp. Cet amplificateur permet d'obtenir une bande passante de quelques MHz avec un bruit proche de la limite quantique mais nécessite la génération d'une pompe, ce qui le rend complexe à mettre en oeuvre.In the field of amplification, it is also known to use semiconductor transistors operating at cryogenic temperatures. The transistors are biased in voltage which makes the use of this type of amplifiers very easy to implement. On the other hand, their noise level, even at cryogenic temperature, remains high: in the order of 10 photons in the best case, ie 20 times the quantum limit. To limit the noise to the maximum, it has been proposed to use a parametric amplifier in which the negative impedance is obtained for example via four Josephson junctions. The circuit of the amplifier has a first mode at the signal frequency fs and a second mode at the frequency idler fi . The circuit parameters are modified using the frequency pump fp . This amplifier makes it possible to obtain a bandwidth of a few MHz with a noise close to the quantum limit but requires the generation of a pump, which makes it complex to implement.
Une autre manière de comprendre cette amplification paramétrique est d'envisager cette dernière en termes de photons, chaque photon étant associé à une énergie. Par exemple, un premier photon d'énergie E1 peut être converti en un deuxième photon d'énergie E2 et un troisième photon d'énergie E3 si la relation entre ces trois énergies est telle que E1 = E2 + E3 (il s'agit d'une condition nécessaire mais pas suffisante). Sachant qu'il est possible d'associer à chaque énergie une fréquence, cette égalité devient f1 = f2 + f3. Si l'on cherche à amplifier un signal de fréquence f2, il est donc possible d'avoir recours à un signal de fréquence f1 sous réserve qu'un mode, c'est-à-dire une résonnance du système, à une fréquence f3 soit également présent. Dans la suite, la fréquence f1 est appelée fréquence pompe fp, la fréquence f2 est appelée fréquence signal fs et la fréquence f3 est appelée fréquence idler fi. Il est possible d'obtenir une amplification d'un signal de fréquence fs par la génération d'autres photons de signal de fréquence fs à partir des photons de pompe de fréquence fp, cette génération entrainant également la génération de photons idler de fréquence fi. Afin que ce processus d'amplification ait lieu, il est en outre nécessaire, en plus de la condition de conservation de l'énergie, que les différentes fréquences soient couplées entre elles. Un tel couplage est réalisé à l'aide d'une impédance non linéaire.Another way to understand this parametric amplification is to consider the latter in terms of photons, each photon being associated with an energy. For example, a first energy photon E1 can be converted into a second energy photon E2 and a third energy photon E3 if the relationship between these three energies is such that E1 = E2 + E3 (This is a necessary but not sufficient condition). Knowing that it is possible to associate with each energy a frequency, this equality becomes f1 = f2 + f3 . If it is desired to amplify a signal of frequency f2 , it is therefore possible to use a signal of frequency f1 provided that a mode, ie a resonance of the system, at a frequency of frequency f3 is also present. In the following, the frequency f1 is called the pump frequency fp , the frequency f2 is called the signal frequency fs and the frequency f3 is called the frequency idler fi . It is possible to obtain an amplification of a signal of frequency fs by the generation of other photons of frequency signal fs from the pump photons of frequency fp , this generation also causing the generation of photons idler of frequency fi . So that this process of amplification takes place, it is also necessary, in addition to the condition of energy conservation, that the different frequencies are coupled together. Such coupling is achieved using a non-linear impedance.
Alternativement, il a été proposé d'utiliser un amplificateur dans lequel l'impédance négative est obtenue à l'aide d'une jonction Josephson polarisée en tension. Cette polarisation en tension permet de s'affranchir de la pompe et contribue à la simplification du dispositif. En effet, une fois la jonction polarisée, les paires de Cooper responsables du courant supraconducteur dotées d'une énergie proportionnelle à la tension appliquée à la jonction vont devoir relaxer, c'est-à-dire revenir à leur état énergétique fondamental. Or, le seul mécanisme permettant cette relaxation conduit à l'émission d'un ou plusieurs photons dont l'énergie est liée à la tension de polarisation appliquée. Autrement dit, la tension appliquée permet de générer des photons de la même manière que la fréquence pompe de l'amplificateur paramétrique, la fréquence de ces photons étant ici fonction de la tension appliquée à la jonction.Alternatively, it has been proposed to use an amplifier in which the negative impedance is obtained using a voltage-biased Josephson junction. This voltage bias eliminates the pump and contributes to the simplification of the device. In fact, once the junction is polarized, the Cooper pairs responsible for the superconducting current provided with an energy proportional to the voltage applied to the junction will have to relax, that is to say return to their fundamental energetic state. However, the only mechanism allowing this relaxation leads to the emission of one or more photons whose energy is related to the applied bias voltage. In other words, the applied voltage makes it possible to generate photons in the same manner as the pump frequency of the parametric amplifier, the frequency of these photons being here a function of the voltage applied to the junction.
De plus, l'amplification peut être obtenue, dans le mode de réalisation le plus simple, avec une seule jonction Josephson. Un tel dispositif est illustré à la
Dans ce dispositif, il est possible de distinguer deux situations. Pour les hautes et basses fréquences, la jonction Josephson est court-circuitée par le circuit d'adaptation. La partie réelle du coefficient de réflexion est alors égale à Re(G(f)) =
Il existe donc un besoin de fabriquer un amplificateur permettant de maintenir le niveau de bruit similaire à celui d'un amplificateur paramétrique tout en présentant la simplicité d'un amplificateur à jonction Josephson polarisée en tension.There is therefore a need to manufacture an amplifier to maintain the noise level similar to that of a parametric amplifier while having the simplicity of a voltage-biased Josephson junction amplifier.
L'invention offre une solution aux problèmes évoqués précédemment en proposant un circuit d'adaptation permettant de diminuer le bruit généré par un amplificateur à jonction Josephson polarisée en tension. Elle propose également un amplificateur utilisant un tel circuit.The invention offers a solution to the problems mentioned above by proposing an adaptation circuit making it possible to reduce the noise generated by a voltage-polarized Josephson junction amplifier. It also offers an amplifier using such a circuit.
Un premier aspect de l'invention concerne un circuit d'adaptation d'impédance destiné à être connecté à une impédance non-linéaire comprenant un supraconducteur, ledit circuit comportant un premier terminal dit premier port de connexion destiné à être connecté à une première borne de l'impédance non-linéaire, un deuxième terminal dit deuxième port de connexion destiné à être connecté à une deuxième borne de l'impédance non-linéaire, un troisième terminal dit terminal d'entrée/sortie destiné à recevoir le signal à amplifier avec un gain en puissance G et une bande passante BW et un quatrième terminal dit terminal d'alimentation destiné à être connecté à une source de polarisation et configuré pour qu'une tension V puissent être appliquée entre le premier port de connexion et le deuxième port de connexion.A first aspect of the invention relates to an impedance matching circuit intended to be connected to a non-linear impedance comprising a superconductor, said circuit comprising a first terminal said first connection port intended to be connected to a first terminal of the non-linear impedance, a second terminal said second connection port intended to be connected to a second terminal of the nonlinear impedance, a third terminal called input / output terminal for receiving the signal to be amplified with a power gain G and a bandwidth BW and a fourth terminal said power terminal to be connected to a bias source and configured so that a voltage V can be applied between the first connection port and the second connection port.
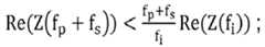
Le circuit d'adaptation selon l'invention comporte une pluralité de composants électriques passifs configurés de sorte que l'impédance Z(f) entre le premier port de connexion et le deuxième port de connexion pour un signal de fréquence f a une partie réelle Re(Z(f)) telle que :
On entend par Z(fx) la valeur de l'impédance pour une fréquence appartenant à une plage de fréquences de largeur définie et centrée sur la fréquence fx. Sauf précision contraire, lorsqu'il est fait mention d'une fréquence fx cette dernière doit être comprise comme une fréquence f appartenant à un intervalle [fx - Δf,fx + Δf] avec Δf < 0.5fs voire Δf < 0.1fs. La source de polarisation peut notamment être choisie parmi une source de tension, une source de courant ou bien encore une impédance finie.Z (fx ) is the value of the impedance for a frequency belonging to a frequency range of defined width and centered on the frequency fx . Unless otherwise specified, when reference is made to a frequency fx, the latter must be understood as a frequency f belonging to an interval [fx - Δf, fx + Δf] with Δf <0.5fs or even Δf <0.1 fs . The polarization source may in particular be chosen from a voltage source, a current source or even a finite impedance.
De manière générale, la probabilité qu'a une paire de Cooper de relaxer en générant un photon à la fréquence f, est approximativement proportionnelle à l'impédance vue par l'élément supraconducteur à ladite fréquence f. En particulier, une paire de Cooper a une plus grande probabilité de relaxer en émettant un photon à la fréquence f lorsqu'un mode de résonnance de l'impédance Z(f) vu par l'impédance non linéaire est présent à cette fréquence. Les inventeurs, tirant parti de cette propriété, ont identifié les conditions concernant cette impédance qui limitent le bruit généré.In general, the probability that a Cooper pair will relax by generating a photon at the frequency f, is approximately proportional to the impedance seen by the superconducting element at said frequency f. In particular, a pair of Cooper has a greater probability of relaxing by emitting a photon at the frequency f when a resonance mode of the impedance Z (f) seen by the nonlinear impedance is present at this frequency. The inventors, taking advantage of this property, have identified the conditions concerning this impedance which limit the noise generated.
Les conditions Re(Z(fs)) > 0 et Re(Z(fi)) > 0 permettent de s'assurer de l'amplification du signal à la fréquence de signal fs. En effet l'impédance étant non nulle à ces fréquences, des photons peuvent être générés auxdites fréquences.The conditions Re (Z (fs ))> 0 and Re (Z (fi ))> 0 make it possible to ensure the amplification of the signal at the signal frequency fs . Indeed the impedance being non-zero at these frequencies, photons can be generated at said frequencies.
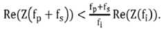
La condition
De plus, la condition
En outre, la condition
Enfin, la condition nfp = fs + fi permet de s'assurer que la condition concernant la conservation de l'énergie évoquée précédemment est remplie.Finally, the condition nfp = fs + fi makes it possible to ensure that the condition relating to the conservation of the energy mentioned above is fulfilled.
Autrement dit, grâce au circuit d'adaptation selon l'invention, le bruit inutile n'est pas ramené depuis les fréquences élevées vers la fréquence d'amplification. De plus, le signal utile n'est pas perdu vers d'autres fréquences.In other words, thanks to the matching circuit according to the invention, the unnecessary noise is not brought back from the high frequencies to the amplification frequency. In addition, the useful signal is not lost to other frequencies.
Outre les caractéristiques qui viennent d'être évoquées dans le paragraphe précédent, le circuit d'adaptation d'impédance selon un premier aspect de l'invention peut présenter une ou plusieurs caractéristiques complémentaires parmi les suivantes, considérées individuellement ou selon toutes les combinaisons techniquement possibles.In addition to the characteristics that have just been mentioned in the preceding paragraph, the impedance matching circuit according to a first aspect of the invention may have one or more additional characteristics among the following, considered individually or in any technically possible combination. .
Avantageusement,
Avantageusement,
Avantageusement,
Avantageusement, le terminal d'entrée/sortie est destiné à être connecté à une impédance de valeur Z0 et
Avantageusement,
Avantageusement,
Avantageusement, n = 1 ou, autrement dit,
Avantageusement,
Avantageusement, l'impédance Z(f) présente un maximum local en fs et/ou fi. Ainsi, le circuit d'adaptation présente des modes de résonnance à la fréquence signal fs et/ou à la fréquence idler fi ce qui permet de garantir qu'à ces fréquences un photon a une forte probabilité d'être généré lors de la relaxation des paires de Cooper.Advantageously, the impedance Z (f) has a local maximum in fs and / or fi . Thus, the matching circuit has resonant modes to the frequency signal fs and / or the idler frequency fi which ensures that at these frequencies a photon has a high probability of being generated during the Cooper pairs relaxation.
Avantageusement,
Avantageusement, l'impédance Z(f) présente un minimum local en fp et/ou fp + fi et/ou fp + fs. Ainsi, le circuit présente des anti-résonnances à la fréquence pompe fp, à la fréquence pompe plus la fréquence idler fp + fi et à la fréquence pompe plus la fréquence signal fp + fs ce qui permet de garantir qu'à ces fréquences un photon a une faible probabilité d'être généré lors de la relaxation des paires de Cooper.Advantageously, the impedance Z (f) has a local minimum in fp and / or fp + fi and / or fp + fs . Thus, the circuit has anti-resonances at the pump frequency fp , at the pump frequency plus the frequency idler fp + fi and at the pump frequency plus the signal frequency fp + fs , which makes it possible to guarantee that at these frequencies a photon has a low probability of being generated during the relaxation of the Cooper pairs.
Avantageusement, la pluralité de composants électriques passifs comporte :
En outre, le deuxième port de connexion est connecté à la masse. Ainsi, les propriétés électriques sont obtenues à l'aide de guides d'onde. L'impédance et la fréquence de résonance de ces derniers étant facile à contrôler par l'intermédiaire de leurs dimensions, leur utilisation est très avantageuse.In addition, the second connection port is connected to ground. Thus, the electrical properties are obtained using waveguides. The impedance and resonance frequency of the latter being easy to control through their dimensions, their use is very advantageous.
Avantageusement, la pluralité de composants électriques passifs comporte :
En outre, le deuxième port de connexion est connecté à la masse, le deuxième segment de guide d'onde est en outre couplé de manière capacitive au quatrième segment de guide d'onde et le troisième segment de guide d'onde est couplé de manière capacitive au cinquième segment de guide d'onde de sorte à former un coupleur.In addition, the second connection port is grounded, the second waveguide segment is further capacitively coupled to the fourth waveguide segment, and the third waveguide segment is coupled to the second waveguide segment. capacitively way to the fifth waveguide segment so as to form a coupler.
Avantageusement, la pluralité de composants électriques passifs comporte :
En outre, le premier segment de guide d'onde est couplé de manière capacitive au quatrième guide d'onde.In addition, the first waveguide segment is capacitively coupled to the fourth waveguide.
Avantageusement, au moins un segment de guide d'onde est réalisé dans un matériau supraconducteur afin de diminuer la dissipation, et donc le bruit thermique, au sein du circuit d'adaptation.Advantageously, at least one waveguide segment is made of a superconductive material in order to reduce the dissipation, and therefore the thermal noise, within the adaptation circuit.
Un deuxième aspect de l'invention concerne un amplificateur à réflexion comportant un circuit d'adaptation d'impédance selon un premier aspect de l'invention, une source de polarisation connectée au terminal d'alimentation, une impédance non linéaire comprenant un supraconducteur, ladite impédance non-linéaire comportant une premier borne et une deuxième borne, la première borne de l'impédance étant connectée au premier port de connexion du circuit d'adaptation, la deuxième borne de l'impédance étant connectée au deuxième port de connexion du circuit d'adaptation. De plus, la tension V appliquée entre le premier terminal de connexion et le deuxième terminal de connexion au moyen de la source de polarisation est choisie de sorte que
Avantageusement, dans l'amplificateur selon un deuxième aspect de l'invention, le matériau supraconducteur de l'impédance non-linéaire est choisi de sorte que
Avantageusement,
En outre, ce deuxième aspect de l'invention permet d'obtenir des performances proches ou équivalentes à celle d'un amplificateur paramétrique, mais avec une alimentation DC au lieu d'une alimentation par un signal micro-ondes. Cela rend l'utilisation d'un tel amplificateur bien plus simple et moins onéreuse, surtout dans un environnement cryogénique. Un tel avantage devient notamment important au-dessus de 10 GHz.In addition, this second aspect of the invention makes it possible to obtain performances close to or equivalent to that of a parametric amplifier, but with a DC supply instead of a supply by a microwave signal. This makes the use of such an amplifier much simpler and less expensive, especially in a cryogenic environment. Such an advantage becomes particularly important above 10 GHz.
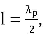
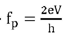
De plus, le fait de travailler avec une jonction polarisée en tension permet de travailler à plus haute fréquence. En effet, dans le cas d'un amplificateur paramétrique, la jonction est dans l'état supraconducteur où elle a un comportement inductif. Cette inductance, ensemble avec la capacité de la jonction, détermine la fréquence plasma de la jonction a une valeur environ égale à
Par ailleurs, comme cela a été présenté précédemment, il est préférable d'avoir une fréquence idler fi telle que
Enfin, le gain de l'amplificateur selon l'invention augmente avec le courant critique de la jonction (ou du SQUID), tandis que dans le cas des amplificateurs paramétriques il diminue. Ceci peut faciliter l'optimisation de l'amplificateur pour avoir à la fois un fort gain pour une large bande passante et une large étendue dynamique (point de compression élevé) qui nécessite des courants critiques élevés.Finally, the gain of the amplifier according to the invention increases with the critical current of the junction (or SQUID), while in the case of parametric amplifiers it decreases. This can facilitate the optimization of the amplifier to have both a high gain for a wide bandwidth and a large dynamic range (high compression point) that requires high critical currents.
Outre les caractéristiques qui viennent d'être évoquées dans le paragraphe précédent, l'amplificateur à réflexion selon un deuxième aspect de l'invention peut présenter une ou plusieurs caractéristiques complémentaires parmi les suivantes, considérées individuellement ou selon toutes les combinaisons techniquement possibles.In addition to the characteristics that have just been mentioned in the preceding paragraph, the reflection amplifier according to a second aspect of the invention may have one or more additional characteristics among the following, considered individually or in any technically possible combination.
Avantageusement, l'impédance non-linéaire comprend une jonction Josephson. La jonction Josephson présente notamment l'avantage d'être un élément non linéaire avec des caractéristiques physiques et un comportement bien compris donc plus facile à mettre en oeuvre.Advantageously, the nonlinear impedance comprises a Josephson junction. The Josephson junction has the advantage of being a non-linear element with physical characteristics and behavior well understood and easier to implement.
Avantageusement, la jonction Josephson est de type SIS (Supraconducteur/Isolant/Supraconducteur). Une jonction de type SIS présente l'avantage d'être un élément non linéaire non dissipatif ce qui évite de créer des processus de conversion parasites.Advantageously, the Josephson junction is of SIS type (superconductor / insulator / superconductor). A SIS type junction has the advantage of being a non-dissipative non-linear element, which avoids creating spurious conversion processes.
Avantageusement, l'impédance non-linéaire supraconductrice comprend un SQUID. Ainsi, il est possible de moduler le gain de l'amplificateur à l'aide d'un champ magnétique.Advantageously, the superconducting non-linear impedance comprises a SQUID. Thus, it is possible to modulate the gain of the amplifier using a magnetic field.
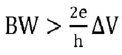
Avantageusement, la bande passant BW de l'amplificateur est choisie de sorte que
L'invention et ses différentes applications seront mieux comprises à la lecture de la description qui suit et à l'examen des figures qui l'accompagnent.The invention and its various applications will be better understood by reading the following description and examining the figures that accompany it.
Les figures sont présentées à titre indicatif et nullement limitatif de l'invention.
Sauf précision contraire, un même élément apparaissant sur des figures différentes présente une référence unique. Tous les modes de réalisation suivants ont été conçus dans le cas où le terminal d'entrée/sortie ES est destiné à être connecté ou est connecté à une ligne d'impédance Z0 égale à 50 Ω.Unless otherwise specified, the same element appearing in different figures has a unique reference. All the following embodiments have been designed in the case where the input / output terminal ES is intended to be connected or is connected to an impedance line Z0 equal to 50 Ω.
Un circuit d'adaptation destiné à être connecté à une impédance non-linéaire L comprenant un supraconducteur selon un premier mode de réalisation d'un premier aspect de l'invention est illustré à la
Le circuit d'adaptation comporte également une pluralité de composants électriques passifs (T1, T2, T3, C1, C2, L1) configurés de sorte que l'impédance Z(f) entre le premier port de connexion J1 et le deuxième port de connexion J2 pour un signal de fréquence f a une partie réelle Re(Z(f)) telle que :
En outre, la fréquence pompe est choisie de sorte que nfp = fs + fi avec n un entier appartenant à [1, +∞] et la fréquence idler est choisie de sorte que
Si les deux processus ont la même intensité, le processus associé à la fréquence fp + fs fait perdre la moitié du signal incident et seulement l'autre moitié peut être amplifiée ce qui équivaut à réduire le gain en puissance d'un facteur deux. De plus, le bruit se trouve augmenté d'un facteur deux pour passer d'un demi-photon
Dans le mode de réalisation illustré à la
Plus particulièrement, le circuit d'adaptation illustré à la
Le circuit comporte également un deuxième segment de guide d'onde T2 dont une première extrémité est connectée à la masse par l'intermédiaire d'une deuxième capacitance C2 et une deuxième extrémité est connectée au premier port de connexion J1. La deuxième capacité est choisie de sorte à se comporter en court-circuit aux fréquences fi, fs et fp.The circuit also comprises a second waveguide segment T2 , a first end of which is connected to ground via a second capacitance C2 and a second end is connected to the first
De plus, le circuit comporte un troisième segment de guide d'onde T3 dont une première extrémité est connectée à une impédance infinie (c'est-à-dire un circuit ouvert) et dont une deuxième extrémité est connectée au premier port de connexion J1. Enfin, le deuxième port de connexion J2 est connecté à la masse.In addition, the circuit includes a third waveguide segment T3 , a first end of which is connected to an infinite impedance (i.e. an open circuit) and a second end of which is connected to the first connection port. J1. Finally, the second connection port J2 is connected to ground.
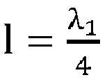
Dans un premier exemple de réalisation, on choisit fp = 12GHz et fs = fi = 6GHz. Le premier segment de guide d'onde T1 a une longueur
La partie réelle de l'impédance en fonction de la fréquence de ce mode particulier de réalisation est illustrée à la
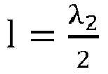
Dans une variante de ce premier exemple de réalisation, l'impédance Z1 du premier guide d'onde T1 est choisie égale à 150 Ω. La partie réelle de l'impédance en fonction de la fréquence de cet exemple de réalisation est illustrée à la
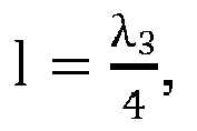
Dans un troisième exemple de réalisation, on choisit fs = 6GHz, fi = 16.8GHz et fp = 22.8GHz. Dans ce troisième exemple de réalisation, le premier segment de guide d'onde T1 a une longueur
Pour optimiser à la fois la bande passante BW à la fréquence signal fs et la largeur de la plage de fréquences où le bruit est optimal, un deuxième mode de réalisation d'un premier aspect de l'invention est illustré à la
Dans ce mode de réalisation, le circuit d'adaptation comporte un premier segment de guide d'onde T1 dont une première extrémité est connectée au terminal au terminal d'entrée/sortie ES et une deuxième extrémité est connectée à une première extrémité d'un deuxième guide d'onde T'2 et à une première extrémité d'un troisième guide d'onde T'3. Les deuxièmes extrémités du deuxième guide d'onde T'2 et troisième guide d'onde T'3 sont quant à elles chacune connectée à une impédance infinie (c'est-à-dire un circuit ouvert). Le deuxième segment de guide d'onde T'2 est en outre couplé de manière capacitive à un quatrième guide d'onde T"2 et le troisième segment de guide d'onde T'3 est en outre couplé de manière capacitive à un cinquième guide d'onde T"3 de sorte à former un coupleur. Une première extrémité du quatrième guide d'onde T"2 est connectée à la masse par l'intermédiaire d'une capacité C2 et au terminal d'alimentation TA. Une deuxième extrémité du quatrième guide d'onde T"2 est connectée au premier port de connexion J1. Une première extrémité du cinquième guide d'onde T"3 est connectée à une impédance infinie (c'est-à-dire un circuit ouvert). Une deuxième extrémité du cinquième guide d'onde T"3 est connectée au premier port de connexion J1. Le deuxième port de connexion J2 est quant à lui connecté à la masse.In this embodiment, the matching circuit comprises a first waveguide segment T1 whose first end is connected to the terminal at the input / output terminal ES and a second end is connected to a first end of the waveguide. a second waveguide T '2 and at a first end of a third waveguide T'3 . The second ends of the second waveguide T '2 and third waveguide T'3 are each connected to an infinite impedance (that is to say an open circuit). The second waveguide segment T '2 is further capacitively coupled to a fourth waveguide T "2 and the third waveguide segment T'3 is further capacitively coupled to a fifth waveguide. T waveguide3 so as to form a coupler. A first end of the fourth waveguide T "2 is connected to ground via a capacitor C2 and to the power supply terminal TA.A second end of the fourth waveguide T"2 is connected to the first connection port J1. A first end of the fifth waveguide T "3 is connected to an infinite impedance (i.e. an open circuit) A second end of the fifth waveguide T"3 is connected to the first connection port J1. The second connection port J2 is connected to the mass.
Contrairement au premier mode de réalisation évoqué précédemment, le premier segment de guide d'onde T1 permet de transformer l'impédance de sorte à favoriser une large bande de fréquence sans compromis sur le bruit optimal.Unlike the first embodiment mentioned above, the first waveguide segment T1 makes it possible to transform the impedance so as to favor a broad frequency band without compromising on the optimal noise.
Dans un exemple de réalisation, on choisit fp = 12GHz et fs = fi = 6 GHz. Dans cet exemple de réalisation, le premier segment de guide d'onde T1 a une longueur 1 =
L'amplitude de la partie réelle de l'impédance en fonction de la fréquence obtenue avec cet exemple de réalisation est illustrée à la
Un troisième mode de réalisation d'un circuit d'adaptation selon un premier aspect de l'invention est illustré à la
Dans un exemple de réalisation, on choisit fp = 300GHz, fi = 290GHz et fs = 10GHz. Dans cet exemple de réalisation, le premier segment de guide d'onde T1 et le quatrième segment de guide d'onde T'1 ont une longueur
Le deuxième segment de guide d'onde T2 a une longueur
Le troisième segment de guide d'onde T3 a une longueur
En outre, la première capacité C1 a une impédance de 100 fF, la quatrième capacité C4 a une impédance de 100 pF, l'inductance L1 a une impédance de 100nH et la résistance R a une impédance de 5 Ω. Dans cet exemple de réalisation, la quatrième capacité C4 et l'inductance L1 permettent de contrôler la fréquence de coupure basse (environ 80MHz). Il est également possible de choisie des valeurs d'impédance pour ces éléments cent fois plus petites pour centrer la bande passante autour de 10 GHz. L'amplitude de la partie réelle de l'impédance en fonction de la fréquence obtenue avec cet exemple de réalisation est illustrée à la
Les trois modes de réalisation précédents démontrent à travers quatre exemples comment obtenir un circuit d'adaptation présentant les caractéristiques nécessaires à l'obtention d'un amplificateur à bas bruit. Il est donc possible, à partir d'un circuit d'adaptation selon un premier aspect de l'invention, de réaliser un amplificateur bas bruit. Un tel amplificateur est illustré à la
Cet amplificateur comporte une impédance non-linéaire sous la forme d'une jonction Josephson L. Le matériau supraconducteur de la jonction est choisi de sorte que
Dans un exemple de réalisation, on choisit un circuit d'adaptation selon le premier exemple de réalisation, autrement dit, on choisit fp = 12GHz et fs = fi = 6GHz. La source de polarisation est configurée pour appliquer une tension
Dans cet exemple de réalisation, l'impédance non-linéaire est constituée par une jonction Josephson. L'utilisation d'une jonction Josephson apporte un avantage en termes de fabrication, une telle jonction étant facile à obtenir. En revanche, lorsque l'on fabrique un grand nombre de dispositifs, il peut être difficile d'avoir une bonne homogénéité dans les propriétés des différentes jonctions Josephson notamment en termes de courant critique. Or, dans l'amplificateur selon l'invention, le gain est directement dépendant du courant critique. Autrement dit, lorsque l'on utilise une jonction Josephson comme impédance non-linéaire, le gain d'amplification peut varier d'un amplificateur à un autre.In this embodiment, the nonlinear impedance is constituted by a Josephson junction. The use of a Josephson junction provides an advantage in terms of manufacturing, such a junction being easy to obtain. On the other hand, when a large number of devices are manufactured, it may be difficult to have good homogeneity in the properties of the various Josephson junctions, particularly in terms of critical current. However, in the amplifier according to the invention, the gain is directly dependent on the critical current. In other words, when using a Josephson junction as a non-linear impedance, the gain of amplification can vary from one amplifier to another.
Afin de palier à cet inconvénient, dans un deuxième mode de réalisation d'un deuxième aspect de l'invention, il est donc fait avantageusement usage d'un SQUID (de l'anglais Superconducting Quantum Interference Device). Pour mémoire, un SQUID se présente sous la forme d'une boucle supraconductrice comprenant deux jonctions Josephson. Le courant critique d'une telle structure peut être modulé en faisant varier le flux magnétique traversant la boucle au moyen d'un champ magnétique. Il est donc possible d'ajuster in-situ le courant critique du SQUID et donc le gain de l'amplificateur utilisant un tel SQUID. Un champ magnétique peut par exemple être appliqué au moyen d'une ligne électrique proche du SQUID et dans laquelle circule un courant.To overcome this drawback, in a second embodiment of a second aspect of the invention, it is therefore advantageously used a SQUID (English Superconducting Quantum Interference Device). For the record, a SQUID is in the form of a superconducting loop comprising two Josephson junctions. The critical current of such a structure can be modulated by varying the magnetic flux passing through the loop by means of a magnetic field. It is therefore possible to adjust in situ the critical current of the SQUID and thus the gain of the amplifier using such a SQUID. For example, a magnetic field may be applied by means of a power line close to the SQUID and in which a current flows.
| Application Number | Priority Date | Filing Date | Title |
|---|---|---|---|
| FR1658429AFR3056041B1 (en) | 2016-09-09 | 2016-09-09 | ADAPTATION CIRCUIT FOR LOW NOISE AMPLIFIER AND LOW NOISE AMPLIFIER INCLUDING SUCH A CIRCUIT |
| Publication Number | Publication Date |
|---|---|
| EP3293880A1true EP3293880A1 (en) | 2018-03-14 |
| EP3293880B1 EP3293880B1 (en) | 2021-02-24 |
| Application Number | Title | Priority Date | Filing Date |
|---|---|---|---|
| EP17189319.1AActiveEP3293880B1 (en) | 2016-09-09 | 2017-09-05 | Adaptation circuit for low noise amplifier and low noise amplifier including such a circuit |
| Country | Link |
|---|---|
| US (1) | US10122329B2 (en) |
| EP (1) | EP3293880B1 (en) |
| FR (1) | FR3056041B1 (en) |
| Publication number | Priority date | Publication date | Assignee | Title |
|---|---|---|---|---|
| CN110212872A (en)* | 2019-07-05 | 2019-09-06 | 电子科技大学 | Microwave amplifier and its implementation |
| Publication number | Priority date | Publication date | Assignee | Title |
|---|---|---|---|---|
| US10491178B2 (en)* | 2017-10-31 | 2019-11-26 | Northrop Grumman Systems Corporation | Parametric amplifier system |
| CN118339566A (en) | 2021-06-11 | 2024-07-12 | 西克公司 | System and method for flux biasing of superconducting quantum circuits |
| US11888471B2 (en) | 2021-12-27 | 2024-01-30 | International Business Machines Corporation | Josephson parametric converter having impedance-matching networks |
| Publication number | Priority date | Publication date | Assignee | Title |
|---|---|---|---|---|
| WO2012123642A1 (en)* | 2011-03-15 | 2012-09-20 | Teknologian Tutkimuskeskus Vtt | Low noise amplifier |
| US20140218105A1 (en)* | 2013-02-01 | 2014-08-07 | Fujitsu Limited | Amplifier and amplifying method |
| Publication number | Priority date | Publication date | Assignee | Title |
|---|---|---|---|---|
| US8744384B2 (en)* | 2000-07-20 | 2014-06-03 | Blackberry Limited | Tunable microwave devices with auto-adjusting matching circuit |
| JP3663397B2 (en)* | 2002-08-30 | 2005-06-22 | 株式会社東芝 | High frequency power amplifier |
| JP2007150419A (en)* | 2005-11-24 | 2007-06-14 | Mitsubishi Electric Corp | Power amplifier |
| Publication number | Priority date | Publication date | Assignee | Title |
|---|---|---|---|---|
| WO2012123642A1 (en)* | 2011-03-15 | 2012-09-20 | Teknologian Tutkimuskeskus Vtt | Low noise amplifier |
| US20140218105A1 (en)* | 2013-02-01 | 2014-08-07 | Fujitsu Limited | Amplifier and amplifying method |
| Title |
|---|
| PASI LÄHTEENMÄKI ET AL: "Josephson junction microwave amplifier in self-organized noise compression mode", SCIENTIFIC REPORTS, vol. 2, 20 February 2012 (2012-02-20), XP055371182, DOI: 10.1038/srep00276* |
| VESTERINEN V ET AL: "Tunable Impedance Matching for Josephson Junction Reflection Amplifier", IEEE TRANSACTIONS ON APPLIED SUPERCONDUCTIVITY, IEEE SERVICE CENTER, LOS ALAMITOS, CA, US, vol. 23, no. 3, 1 June 2013 (2013-06-01), pages 1500104, XP011513773, ISSN: 1051-8223, DOI: 10.1109/TASC.2012.2227653* |
| VIJAY R ET AL: "Invited Review Article: The Josephson bifurcation amplifier", REVIEW OF SCIENTIFIC INSTRUMENTS, AIP, MELVILLE, NY, US, vol. 80, no. 11, 17 November 2009 (2009-11-17), pages 111101 - 111101, XP012127956, ISSN: 0034-6748, DOI: 10.1063/1.3224703* |
| Y. TAUR ET AL: "Parametric amplification and oscillation at 36 GHz using a point-contact Josephson junction", JOURNAL OF APPLIED PHYSICS, vol. 48, no. 3, 1 March 1977 (1977-03-01), US, pages 1321 - 1326, XP055371156, ISSN: 0021-8979, DOI: 10.1063/1.323777* |
| Publication number | Priority date | Publication date | Assignee | Title |
|---|---|---|---|---|
| CN110212872A (en)* | 2019-07-05 | 2019-09-06 | 电子科技大学 | Microwave amplifier and its implementation |
| CN110212872B (en)* | 2019-07-05 | 2023-08-08 | 电子科技大学 | Microwave Amplifier and Its Realization Method |
| Publication number | Publication date |
|---|---|
| US10122329B2 (en) | 2018-11-06 |
| EP3293880B1 (en) | 2021-02-24 |
| US20180076777A1 (en) | 2018-03-15 |
| FR3056041A1 (en) | 2018-03-16 |
| FR3056041B1 (en) | 2019-08-16 |
| Publication | Publication Date | Title |
|---|---|---|
| EP3293880B1 (en) | Adaptation circuit for low noise amplifier and low noise amplifier including such a circuit | |
| EP0078187B1 (en) | High-frequency subharmonic mixing device, and its use in a h.f. frequency-converter | |
| FR2652197A1 (en) | IMPROVED SYMMETRIC-DISSYMMETRIC TRANSFORMERS. | |
| Zhu et al. | Superconducting nanowire single-photon detector with integrated impedance-matching taper | |
| FR2482384A1 (en) | POWER COMBINATION DEVICE FOR AN INTEGRATED HYPERFREQUENCY CIRCUIT | |
| FR2467488A1 (en) | THREE-WAY MICROWAVE COMBINATOR / DIVIDER DEVICE ADAPTED FOR EXTERNAL ISOLATION RESISTORS | |
| EP3265790B1 (en) | Method and device for very high sensitivity electron spin resonance spectroscopy | |
| EP3928428B1 (en) | Progressive wave, low characteristic impedance parametric amplifier and manufacturing method thereof | |
| FR3067890A1 (en) | ARCHITECTURE OF VOLTAGE SHARING BETWEEN TWO OSCILLATORS | |
| EP3136499B1 (en) | Divider/combiner system for a hyperfrequency wave | |
| Bosman et al. | Broadband architecture for galvanically accessible superconducting microwave resonators | |
| EP0133080B1 (en) | Two-port impedance network functioning independently of the working frequency, and travelling wave amplifier using the same | |
| EP0078188B1 (en) | Wide-band, high-frequency device for generating even order harmonics of an input signal, and its use in a hyperfrequency system | |
| EP0318379A1 (en) | Ultra-high frequency amplifier with a very wide pass band | |
| EP1801968B1 (en) | Broadband balun structure | |
| WO2022195437A1 (en) | Baseband and rf bias circuit, and rf power amplifier circuit comprising same | |
| EP3143419B1 (en) | Superconducting component and associated amplifier | |
| EP0420106B1 (en) | Attenuator using a dual gate field effect transistor | |
| FR3071933B1 (en) | RADIOFREQUENCY OSCILLATOR AND ASSOCIATED SOURCE AND APPARATUS | |
| EP3262707A1 (en) | Three-dimensional lc electrical resonator device | |
| WO1991012659A1 (en) | Drain biasing circuit for high power field effect transistors (fet), with hyperfrequencies and internally adapted | |
| EP3143692B1 (en) | Mixer circuit with compensable harmonic content | |
| FR3160065A1 (en) | bimodal microwave system | |
| FR2638897A1 (en) | AVALANCHE DIODE MONOLITHIC SEMICONDUCTOR MODULE HAVING MICROFREQUENCY APPLICATION ADAPTATION CIRCUITS, AND METHOD OF MANUFACTURING THE SAME | |
| FR3160079A1 (en) | Microwave signal amplifier with isolation |
| Date | Code | Title | Description |
|---|---|---|---|
| PUAI | Public reference made under article 153(3) epc to a published international application that has entered the european phase | Free format text:ORIGINAL CODE: 0009012 | |
| STAA | Information on the status of an ep patent application or granted ep patent | Free format text:STATUS: REQUEST FOR EXAMINATION WAS MADE | |
| 17P | Request for examination filed | Effective date:20170905 | |
| AK | Designated contracting states | Kind code of ref document:A1 Designated state(s):AL AT BE BG CH CY CZ DE DK EE ES FI FR GB GR HR HU IE IS IT LI LT LU LV MC MK MT NL NO PL PT RO RS SE SI SK SM TR | |
| AX | Request for extension of the european patent | Extension state:BA ME | |
| RBV | Designated contracting states (corrected) | Designated state(s):AL AT BE BG CH CY CZ DE DK EE ES FI FR GB GR HR HU IE IS IT LI LT LU LV MC MK MT NL NO PL PT RO RS SE SI SK SM TR | |
| GRAP | Despatch of communication of intention to grant a patent | Free format text:ORIGINAL CODE: EPIDOSNIGR1 | |
| STAA | Information on the status of an ep patent application or granted ep patent | Free format text:STATUS: GRANT OF PATENT IS INTENDED | |
| INTG | Intention to grant announced | Effective date:20200519 | |
| GRAJ | Information related to disapproval of communication of intention to grant by the applicant or resumption of examination proceedings by the epo deleted | Free format text:ORIGINAL CODE: EPIDOSDIGR1 | |
| STAA | Information on the status of an ep patent application or granted ep patent | Free format text:STATUS: REQUEST FOR EXAMINATION WAS MADE | |
| GRAP | Despatch of communication of intention to grant a patent | Free format text:ORIGINAL CODE: EPIDOSNIGR1 | |
| STAA | Information on the status of an ep patent application or granted ep patent | Free format text:STATUS: GRANT OF PATENT IS INTENDED | |
| INTG | Intention to grant announced | Effective date:20201002 | |
| GRAS | Grant fee paid | Free format text:ORIGINAL CODE: EPIDOSNIGR3 | |
| GRAA | (expected) grant | Free format text:ORIGINAL CODE: 0009210 | |
| STAA | Information on the status of an ep patent application or granted ep patent | Free format text:STATUS: THE PATENT HAS BEEN GRANTED | |
| AK | Designated contracting states | Kind code of ref document:B1 Designated state(s):AL AT BE BG CH CY CZ DE DK EE ES FI FR GB GR HR HU IE IS IT LI LT LU LV MC MK MT NL NO PL PT RO RS SE SI SK SM TR | |
| REG | Reference to a national code | Ref country code:CH Ref legal event code:EP | |
| REG | Reference to a national code | Ref country code:AT Ref legal event code:REF Ref document number:1365763 Country of ref document:AT Kind code of ref document:T Effective date:20210315 | |
| REG | Reference to a national code | Ref country code:IE Ref legal event code:FG4D Free format text:LANGUAGE OF EP DOCUMENT: FRENCH | |
| REG | Reference to a national code | Ref country code:DE Ref legal event code:R096 Ref document number:602017033111 Country of ref document:DE | |
| REG | Reference to a national code | Ref country code:LT Ref legal event code:MG9D | |
| REG | Reference to a national code | Ref country code:NL Ref legal event code:MP Effective date:20210224 | |
| PG25 | Lapsed in a contracting state [announced via postgrant information from national office to epo] | Ref country code:HR Free format text:LAPSE BECAUSE OF FAILURE TO SUBMIT A TRANSLATION OF THE DESCRIPTION OR TO PAY THE FEE WITHIN THE PRESCRIBED TIME-LIMIT Effective date:20210224 Ref country code:FI Free format text:LAPSE BECAUSE OF FAILURE TO SUBMIT A TRANSLATION OF THE DESCRIPTION OR TO PAY THE FEE WITHIN THE PRESCRIBED TIME-LIMIT Effective date:20210224 Ref country code:GR Free format text:LAPSE BECAUSE OF FAILURE TO SUBMIT A TRANSLATION OF THE DESCRIPTION OR TO PAY THE FEE WITHIN THE PRESCRIBED TIME-LIMIT Effective date:20210525 Ref country code:NO Free format text:LAPSE BECAUSE OF FAILURE TO SUBMIT A TRANSLATION OF THE DESCRIPTION OR TO PAY THE FEE WITHIN THE PRESCRIBED TIME-LIMIT Effective date:20210524 Ref country code:PT Free format text:LAPSE BECAUSE OF FAILURE TO SUBMIT A TRANSLATION OF THE DESCRIPTION OR TO PAY THE FEE WITHIN THE PRESCRIBED TIME-LIMIT Effective date:20210624 Ref country code:BG Free format text:LAPSE BECAUSE OF FAILURE TO SUBMIT A TRANSLATION OF THE DESCRIPTION OR TO PAY THE FEE WITHIN THE PRESCRIBED TIME-LIMIT Effective date:20210524 Ref country code:LT Free format text:LAPSE BECAUSE OF FAILURE TO SUBMIT A TRANSLATION OF THE DESCRIPTION OR TO PAY THE FEE WITHIN THE PRESCRIBED TIME-LIMIT Effective date:20210224 | |
| REG | Reference to a national code | Ref country code:AT Ref legal event code:MK05 Ref document number:1365763 Country of ref document:AT Kind code of ref document:T Effective date:20210224 | |
| PG25 | Lapsed in a contracting state [announced via postgrant information from national office to epo] | Ref country code:PL Free format text:LAPSE BECAUSE OF FAILURE TO SUBMIT A TRANSLATION OF THE DESCRIPTION OR TO PAY THE FEE WITHIN THE PRESCRIBED TIME-LIMIT Effective date:20210224 Ref country code:LV Free format text:LAPSE BECAUSE OF FAILURE TO SUBMIT A TRANSLATION OF THE DESCRIPTION OR TO PAY THE FEE WITHIN THE PRESCRIBED TIME-LIMIT Effective date:20210224 Ref country code:NL Free format text:LAPSE BECAUSE OF FAILURE TO SUBMIT A TRANSLATION OF THE DESCRIPTION OR TO PAY THE FEE WITHIN THE PRESCRIBED TIME-LIMIT Effective date:20210224 Ref country code:RS Free format text:LAPSE BECAUSE OF FAILURE TO SUBMIT A TRANSLATION OF THE DESCRIPTION OR TO PAY THE FEE WITHIN THE PRESCRIBED TIME-LIMIT Effective date:20210224 Ref country code:SE Free format text:LAPSE BECAUSE OF FAILURE TO SUBMIT A TRANSLATION OF THE DESCRIPTION OR TO PAY THE FEE WITHIN THE PRESCRIBED TIME-LIMIT Effective date:20210224 | |
| PG25 | Lapsed in a contracting state [announced via postgrant information from national office to epo] | Ref country code:IS Free format text:LAPSE BECAUSE OF FAILURE TO SUBMIT A TRANSLATION OF THE DESCRIPTION OR TO PAY THE FEE WITHIN THE PRESCRIBED TIME-LIMIT Effective date:20210624 | |
| PG25 | Lapsed in a contracting state [announced via postgrant information from national office to epo] | Ref country code:CZ Free format text:LAPSE BECAUSE OF FAILURE TO SUBMIT A TRANSLATION OF THE DESCRIPTION OR TO PAY THE FEE WITHIN THE PRESCRIBED TIME-LIMIT Effective date:20210224 Ref country code:EE Free format text:LAPSE BECAUSE OF FAILURE TO SUBMIT A TRANSLATION OF THE DESCRIPTION OR TO PAY THE FEE WITHIN THE PRESCRIBED TIME-LIMIT Effective date:20210224 Ref country code:AT Free format text:LAPSE BECAUSE OF FAILURE TO SUBMIT A TRANSLATION OF THE DESCRIPTION OR TO PAY THE FEE WITHIN THE PRESCRIBED TIME-LIMIT Effective date:20210224 Ref country code:SM Free format text:LAPSE BECAUSE OF FAILURE TO SUBMIT A TRANSLATION OF THE DESCRIPTION OR TO PAY THE FEE WITHIN THE PRESCRIBED TIME-LIMIT Effective date:20210224 | |
| REG | Reference to a national code | Ref country code:DE Ref legal event code:R097 Ref document number:602017033111 Country of ref document:DE | |
| PG25 | Lapsed in a contracting state [announced via postgrant information from national office to epo] | Ref country code:DK Free format text:LAPSE BECAUSE OF FAILURE TO SUBMIT A TRANSLATION OF THE DESCRIPTION OR TO PAY THE FEE WITHIN THE PRESCRIBED TIME-LIMIT Effective date:20210224 Ref country code:RO Free format text:LAPSE BECAUSE OF FAILURE TO SUBMIT A TRANSLATION OF THE DESCRIPTION OR TO PAY THE FEE WITHIN THE PRESCRIBED TIME-LIMIT Effective date:20210224 Ref country code:SK Free format text:LAPSE BECAUSE OF FAILURE TO SUBMIT A TRANSLATION OF THE DESCRIPTION OR TO PAY THE FEE WITHIN THE PRESCRIBED TIME-LIMIT Effective date:20210224 | |
| PLBE | No opposition filed within time limit | Free format text:ORIGINAL CODE: 0009261 | |
| STAA | Information on the status of an ep patent application or granted ep patent | Free format text:STATUS: NO OPPOSITION FILED WITHIN TIME LIMIT | |
| PG25 | Lapsed in a contracting state [announced via postgrant information from national office to epo] | Ref country code:AL Free format text:LAPSE BECAUSE OF FAILURE TO SUBMIT A TRANSLATION OF THE DESCRIPTION OR TO PAY THE FEE WITHIN THE PRESCRIBED TIME-LIMIT Effective date:20210224 Ref country code:ES Free format text:LAPSE BECAUSE OF FAILURE TO SUBMIT A TRANSLATION OF THE DESCRIPTION OR TO PAY THE FEE WITHIN THE PRESCRIBED TIME-LIMIT Effective date:20210224 | |
| 26N | No opposition filed | Effective date:20211125 | |
| PG25 | Lapsed in a contracting state [announced via postgrant information from national office to epo] | Ref country code:SI Free format text:LAPSE BECAUSE OF FAILURE TO SUBMIT A TRANSLATION OF THE DESCRIPTION OR TO PAY THE FEE WITHIN THE PRESCRIBED TIME-LIMIT Effective date:20210224 | |
| PG25 | Lapsed in a contracting state [announced via postgrant information from national office to epo] | Ref country code:IT Free format text:LAPSE BECAUSE OF FAILURE TO SUBMIT A TRANSLATION OF THE DESCRIPTION OR TO PAY THE FEE WITHIN THE PRESCRIBED TIME-LIMIT Effective date:20210224 | |
| REG | Reference to a national code | Ref country code:CH Ref legal event code:PL | |
| REG | Reference to a national code | Ref country code:BE Ref legal event code:MM Effective date:20210930 | |
| PG25 | Lapsed in a contracting state [announced via postgrant information from national office to epo] | Ref country code:IS Free format text:LAPSE BECAUSE OF FAILURE TO SUBMIT A TRANSLATION OF THE DESCRIPTION OR TO PAY THE FEE WITHIN THE PRESCRIBED TIME-LIMIT Effective date:20210624 Ref country code:MC Free format text:LAPSE BECAUSE OF FAILURE TO SUBMIT A TRANSLATION OF THE DESCRIPTION OR TO PAY THE FEE WITHIN THE PRESCRIBED TIME-LIMIT Effective date:20210224 | |
| PG25 | Lapsed in a contracting state [announced via postgrant information from national office to epo] | Ref country code:LU Free format text:LAPSE BECAUSE OF NON-PAYMENT OF DUE FEES Effective date:20210905 Ref country code:IE Free format text:LAPSE BECAUSE OF NON-PAYMENT OF DUE FEES Effective date:20210905 Ref country code:BE Free format text:LAPSE BECAUSE OF NON-PAYMENT OF DUE FEES Effective date:20210930 | |
| PG25 | Lapsed in a contracting state [announced via postgrant information from national office to epo] | Ref country code:LI Free format text:LAPSE BECAUSE OF NON-PAYMENT OF DUE FEES Effective date:20210930 Ref country code:CH Free format text:LAPSE BECAUSE OF NON-PAYMENT OF DUE FEES Effective date:20210930 | |
| PG25 | Lapsed in a contracting state [announced via postgrant information from national office to epo] | Ref country code:HU Free format text:LAPSE BECAUSE OF FAILURE TO SUBMIT A TRANSLATION OF THE DESCRIPTION OR TO PAY THE FEE WITHIN THE PRESCRIBED TIME-LIMIT; INVALID AB INITIO Effective date:20170905 | |
| PG25 | Lapsed in a contracting state [announced via postgrant information from national office to epo] | Ref country code:CY Free format text:LAPSE BECAUSE OF FAILURE TO SUBMIT A TRANSLATION OF THE DESCRIPTION OR TO PAY THE FEE WITHIN THE PRESCRIBED TIME-LIMIT Effective date:20210224 | |
| PG25 | Lapsed in a contracting state [announced via postgrant information from national office to epo] | Ref country code:MK Free format text:LAPSE BECAUSE OF FAILURE TO SUBMIT A TRANSLATION OF THE DESCRIPTION OR TO PAY THE FEE WITHIN THE PRESCRIBED TIME-LIMIT Effective date:20210224 | |
| PG25 | Lapsed in a contracting state [announced via postgrant information from national office to epo] | Ref country code:TR Free format text:LAPSE BECAUSE OF FAILURE TO SUBMIT A TRANSLATION OF THE DESCRIPTION OR TO PAY THE FEE WITHIN THE PRESCRIBED TIME-LIMIT Effective date:20210224 | |
| PG25 | Lapsed in a contracting state [announced via postgrant information from national office to epo] | Ref country code:MT Free format text:LAPSE BECAUSE OF FAILURE TO SUBMIT A TRANSLATION OF THE DESCRIPTION OR TO PAY THE FEE WITHIN THE PRESCRIBED TIME-LIMIT Effective date:20210224 | |
| PGFP | Annual fee paid to national office [announced via postgrant information from national office to epo] | Ref country code:DE Payment date:20240919 Year of fee payment:8 | |
| PGFP | Annual fee paid to national office [announced via postgrant information from national office to epo] | Ref country code:GB Payment date:20240923 Year of fee payment:8 | |
| PGFP | Annual fee paid to national office [announced via postgrant information from national office to epo] | Ref country code:FR Payment date:20240917 Year of fee payment:8 |