













L'invention concerne d'une façon générale les dispositifs destinés à appliquer sur des organes une stimulation à des fins thérapeutiques.The invention generally relates to devices for applying stimulation to organs for therapeutic purposes.
Elle est notamment applicable aux "dispositifs médicaux implantables actifs" tels que définis par la directive 90/385/CEE du 20 juin 1990 du Conseil des communautés européennes. Cette définition inclut notamment les appareils chargés de surveiller en continu l'activité cardiaque et délivrer si nécessaire au coeur des impulsions électriques de stimulation, de resynchronisation et/ou de défibrillation en cas de trouble du rythme détecté par le dispositif. Elle inclut aussi les appareils neurologiques, les implants cochléaires, etc., ainsi que les dispositifs de mesure de pH ou autres paramètres intracorporels.It is particularly applicable to "active implantable medical devices" as defined by
Quelle que soit la pathologie à traiter, une thérapie de stimulation vise en général à maximiser les effets thérapeutiques, tout en minimisant les effets secondaires, ainsi que la consommation d'énergie dans le cas où la stimulation est mise en oeuvre dans un dispositif implantable autonome. Cette stimulation doit en même temps tenir compte de la dynamique de la pathologie résultant par exemple d'une altération du système nerveux autonome (ANS,Autonomic Nervous System),d'un remodelage cardiaque ou de l'ANS, ainsi que de la réponse à la thérapie (habituation, modification du couplage électrode-nerf vague dans le cas de la stimulation du nerf vague (VNS,Vagus Nerve Stimulation).Whatever the pathology to be treated, a stimulation therapy is generally intended to maximize the therapeutic effects, while minimizing the side effects, as well as the energy consumption in the case where the stimulation is implemented in an autonomous implantable device . This stimulation must at the same time take into account the dynamics of the pathology resulting for example from an alteration of the autonomic nervous system (ANS, Autonomic Nervous System), a cardiac remodeling or the ANS, as well as the response to therapy (habituation, modification of the electrode-vagus nerve coupling in the case of vagus nerve stimulation (VNS, Vagus Nerve Stimulation).
Ainsi l'application d'une stimulation optimale est un problème complexe, imparfaitement traité à l'heure actuelle bien que représentant l'une des priorités les plus hautes dans les progrès de la neurostimulation.Thus the application of optimal stimulation is a complex problem, imperfectly treated at the present time, although it represents one of the highest priorities in the progress of neurostimulation.
Il existe à l'heure actuelle des approches de commande de la stimulation en boucle fermée, telles que celles décrites dans les
La première approche a deux limites majeures : i) il est difficile de définir des règles optimales pour un patient donné et ii) ces règles reposent sur la définition de seuils, qui peuvent varier en fonction de la variabilité inter- et intra-patient.The first approach has two major limitations: i) it is difficult to define optimal rules for a given patient and ii) these rules are based on the definition of thresholds, which can vary according to inter and intra-patient variability.
Les principales limites de la deuxième approche sont quant à elles i) la complexité de calcul nécessaire pour mettre en oeuvre les dispositifs de commande, et ii) le grand nombre de données nécessaires pour ajuster les paramètres du dispositif de commande.The main limitations of the second approach are i) the computational complexity necessary to implement the control devices, and ii) the large number of data needed to adjust the parameters of the control device.
Il existe par ailleurs d'autres méthodes pour estimer un ensemble de règles spécifiques aux patients [1,2], d'inférer des ajustements inter- ou intra-patients [3], et pour réduire la complexité des calculs à effectuer dans le dispositif de commande [4, 5]. Ces approches restent toutefois théoriques et difficiles à mettre en oeuvre et à intégrer dans les dispositifs implantables actifs, dotés d'une puissance de traitement numérique limitée. Les références pertinentes sont :
Enfin, une autre limitation majeure des approches existantes concerne la constante de temps de la commande en boucle fermée, qui est généralement figée sur une unique échelle de temps prédéfinie (par exemple à chaque battement cardiaque, chaque minute, chaque jour, etc.), en particulier dans le cas où les variables commandées sont les résultats des processus qui s'entremêlent sur différentes échelles temporelles, comme en physiologie.Finally, another major limitation of the existing approaches concerns the time constant of the closed-loop control, which is usually fixed on a single predefined time scale (for example at each heartbeat, every minute, every day, etc.). especially in the case where the ordered variables are the results of the processes which intermingle on different temporal scales, as in physiology.
La présente invention vise à pallier ces limitations de l'état de la technique et à proposer une commande de stimulation qui permette de réguler de façon particulièrement fiable et précise un niveau physiologique à réguler sur un patient donné.The present invention aims to overcome these limitations of the state of the art and to provide a stimulation control that allows to regulate particularly reliably and accurately a physiological level to be regulated on a given patient.
Plus précisément, l'invention propose à cet effet un système de traitement par stimulation comprenant :
De façon caractéristique de l'invention, le système comprend :
De façon également caractéristique de l'invention, les moyens de régulation sont des moyens initialisés à partir d'une phase d'apprentissage préalable par laquelle le niveau physiologique ou physique réel est déterminé et mémorisé pour un ensemble prédéterminé de valeurs de paramètres de stimulation utilisés durant la phase d'apprentissage.Also characteristic of the invention, the regulation means are means initialized from a prior learning phase by which the actual physiological or physical level is determined and stored for a predetermined set of stimulation parameter values used. during the learning phase.
Selon diverses caractéristiques subsidiaires avantageuses de ce système :
L'invention vise également un procédé de paramétrage de traitement par stimulation, ledit système comprenant :
De façon caractéristique de l'invention, le procédé comprend pour chaque jeu de valeurs de paramètres de stimulation (Papp) les étapes suivantes :
Selon diverses caractéristiques subsidiaires avantageuses de ce procédé :
On va maintenant décrire un exemple de mise en oeuvre de la présente invention, en référence aux dessins annexés où les mêmes références désignent d'une Figure à l'autre des éléments identiques ou fonctionnellement semblables.
On va maintenant décrire un exemple de réalisation du dispositif de l'invention.An embodiment of the device of the invention will now be described.
Le procédé de l'invention est mis en oeuvre par des moyens principalement logiciels, au moyen d'algorithmes appropriés exécutés par un micro-contrôleur ou un processeur numérique de signal. Pour la clarté de l'exposé, les divers traitements appliqués seront décomposés et schématisés par un certain nombre de blocs fonctionnels distincts présentés sous forme de circuits interconnectés, mais cette représentation n'a toutefois qu'un caractère illustratif, ces circuits comprenant des éléments communs et correspondant en pratique à une pluralité de fonctions globalement exécutées par un même logiciel.The method of the invention is implemented by mainly software means, by means of appropriate algorithms executed by a microcontroller or a digital signal processor. For the sake of clarity, the various treatments applied will be decomposed and schematized by a number of distinct functional blocks presented in the form of interconnected circuits, but this representation is however only illustrative, these circuits comprising common elements. and corresponding in practice to a plurality of functions globally executed by the same software.
On notera à titre liminaire que dans la mesure du possible, les mêmes signes de référence sont utilisés d'une figure à l'autre pour désigner les mêmes éléments.It should be noted that, as far as possible, the same reference signs are used from one figure to another to designate the same elements.
En référence tout d'abord à la
Le dispositif est divisé en trois sous-systèmes principaux :
Un aspect de l'invention réside dans un système de commande à boucle fermée particulier, représenté sur la
En référence à cette même figure, le système de commande à boucle fermée 22 reçoit en entrée les signaux délivrés par les capteurs physiologiques ou physiques de l'ensemble 21, le cas échéant après un prétraitement, comprenant notamment des signaux ECG acquis à partir d'un dispositif externe, des signaux d'EGM fournis par une sonde cardiaque d'un dispositif implantable, une pression, une accélération globale G, une accélération endocardiaque EA, des signaux d'ENG.With reference to this same figure, the closed-
Le système 22 comprend également une unité de traitement de signaux 221, une unité de mémorisation 223, une unité de détection d'événements 224, une unité 225 de calcul du niveau des variables physiques et/ou physiologiques PVL, une interface 226 entre le système de contrôle de transition d'état 227 et d'autres modules de l'appareil, tels que le module de mémoire 26 de la
Chaque contrôleur de transition d'état 227 comprend deux éléments interconnectés, à savoir i) un modèle de transitions d'état 2271, contenant tous les états du dispositif de commande de transition d'état et leurs interconnexions, et ii) un calculateur 2272 mettant en oeuvre un ou plusieurs algorithmes de transition d'état.Each
Le module 229 de fusion de paramètres est apte à déterminer les paramètres finaux de neurostimulation comme on va le décrire dans la suite.The
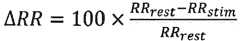
Le dispositif de commande 227 selon l'invention opère dans une configuration à boucle fermée : une variable physiologique et physique courante, ci-après "PVLcourant", est mesurée et prétraitée par 225. L'interface 226 contient l'information d'une valeur cible pour cette même variable physiologique (PVLcible). Cette valeurPVLcible peut-être fixe ou dynamique. UnePVLcible fixe peut être définie par défaut dans le dispositif ou encore, modifiée et définie par l'expert et enregistrée dans la mémoire 26. Par exemple, dans le contrôle de l'intervalle RR, l'expert peut définir unePVLcible = 500 ms (fixe) dans la mémoire 26. UnePVLcible dynamique est définie lorsque sa valeur est fonction d'une variable mesurée. Dans ce cas, laPVLcible changera au cours du temps. Par exemple, toujours dans le cas du contrôle de l'intervalle RR, l'expert peut définir unePVLcible dynamique comme un pourcentage du RR mesuré (i.e.PVLcible = 10%*PVLcourant). Le calcul de la fonction sous-jacente à cette définition dynamique de laPVLcible est réalisé dans le module 226. Enfin, il est important de souligner que la fonction utilisée pour obtenir unePVLcible dynamique peut être tout type de fonction mathématique ou un ensemble de règles logiques.The
Une fois PVLcible définie, une erreur est calculée en 227 entrePVLcourant etPVLcible. Enfin, sur la base de cette erreur, l'algorithme de commande détermine une transition d'états et l'état ainsi obtenu permet de définir les paramètres de neurostimulation.Once PVLcible is defined, an error is calculated in 227 betweenPVLcurrent andPVLcible. Finally, on the basis of this error, the control algorithm determines a state transition and the state thus obtained makes it possible to define the neurostimulation parameters.
On va maintenant décrire le dispositif de commande de transition d'état 227.The state
Son modèle de transition d'état 2271 est composé d'un ensemble de N+1 états notés S0 à SN, où chaque état correspond à un ensemble de paramètres de stimulation et un ensemble de réponses ou effets caractéristiques notées RS.Its
Un exemple de modèle de transition d'état est le suivant :
On va considérer ci-dessous un exemple où l'état Sn est composé des paramètres suivants :
Les cinq états du modèle sont dans cet exemple les suivants :
Dans chaque modèle, l'un des états (état S0) peut être configuré pour arrêter la neurostimulation. Cet état peut être utilisé dans toutes les situations où la stimulation n'est pas nécessaire, y compris dans le cas où des évènements indésirables (typiquement toux, douleur, arythmie...) sont détectés.In each model, one of the states (state S0) can be configured to stop the neurostimulation. This condition can be used in all situations where stimulation is not needed, including when adverse events (typically cough, pain, arrhythmia ...) are detected.
Chacun des états du modèle de transition d'état est connecté à lui-même, et peut être connecté à tout autre état Sk.Each state of the state transition model is connected to itself, and can be connected to any other state Sk.
Un exemple particulier, illustré sur la
Ces connexions entre états, qui gouvernent les transitions entre états, sont ici définies dans une matrice de connexion. La matrice de connexion pour une architecture complètement connectée est illustrée dans le Tableau 1 ci-dessous.
Toutes les cellules de la matrice sont ici à la valeur 1, signifiant que tous les états peuvent être connectés les uns aux autres.All cells of the matrix are here at the
La présence d'une valeur 0 dans une cellule de la matrice a pour effet d'interdire une transition directe entre deux états. Ceci peut être utilisé comme moyen de sécurité en interdisant des transitions entre des configurations de stimulation spécifiques. Par exemple, dans le cas de la stimulation du nerf vague (VNS), un changement trop brutal dans le courant injecté peut provoquer des effets indésirables, et un tel changement peut être évité en fixant à une valeur de zéro la ou les cellules correspondantes de la matrice de connexion.The presence of a
Le calculateur de transition d'état est dédié à la détermination de transitions optimales entre états, de façon à conduire à une optimisation de la configuration des paramètres de neurostimulation par minimisation de l'erreur entre lePVLcourant etPVLcible.The state transition calculator is dedicated to the determination of optimal transitions between states, so as to lead to an optimization of the configuration of the neurostimulation parameters by minimizing the error between thePVLcurrent andPVLcible.
Les transitions entre états sont définies à des instants spécifiques que l'on dénomme ici "évènements". Ces évènements peuvent être réguliers dans le temps (par exemple, à chaque minute), ou répartis de façon synchrone à une activité physiologique (par exemple à chaque battement cardiaque), en fonction d'une situation donnée (par exemple lorsque le patient est endormi, avec une faible variabilité du rythme cardiaque HRV) ou toute combinaison de telles situations. À chaque événement, le calculateur de transition d'état 2272 détermine la transition d'état la mieux appropriée, en appliquant un algorithme de transition d'état basé sur une matrice de transition T comme on va maintenant le voir.Transitions between states are defined at specific times that are called here "events". These events may be regular in time (for example, every minute), or synchronously distributed to a physiological activity (for example at each heartbeat), depending on a given situation (for example when the patient is asleep) , with low HRV heart rate variability) or any combination of such situations. At each event, the
Un exemple de matrice de transition T pour un algorithme de transition séquentiel et déterministe est donné dans le Tableau 2 ci-dessous.
On observe dans ce tableau l'état S0 qui correspond à l'arrêt immédiat de la neurostimulation dans certaines conditions, par exemple lors de la survenance d'évènements indésirables (typiquement la toux, une douleur, une arythmie cardiaque...). C'est une condition de priorité (notée Cond P) qui conduit à cet état, où les paramètres de neurostimulation sont amenés à 0. La condition P est prioritaire sur toutes les autres.This table shows the state S0 which corresponds to the immediate stopping of the neurostimulation under certain conditions, for example during the occurrence of undesirable events (typically cough, pain, cardiac arrhythmia, etc.). It is a priority condition (denoted by Cond P) which leads to this state, where the neurostimulation parameters are brought to 0. The condition P has priority over all the others.
Outre cette condition prioritaire, différents types de conditions peuvent être appliquées. Un exemple simplifié de ces conditions est le suivant :
Ces conditions sont données à titre d'exemple illustratif et simplifié. L'homme du métier comprendra que les conditions peuvent être complexes, en mettant en jeu des combinaisons de valeurs cibles et des opérateurs logiques ou fonctionnels entre variables mesurées.These conditions are given by way of illustrative and simplified example. Those skilled in the art will understand that conditions can be complex, involving combinations of target values and logical or functional operators between measured variables.
Il est à noter que la matrice de transition pour l'algorithme déterministe est composée d'un ensemble de conditions qui peuvent être mises en oeuvre en tant que règles. L'invention permet aussi de traiter les transitions de façon probabiliste. Dans ce cas, un exemple de matrice de transition T de type stochastique peut être le suivant :
La
On donne dans le Tableau 4 ci-dessous un exemple de matrice de connexion C pour un algorithme de transition d'état de type séquentiel avec un état d'arrêt de stimulation :
On comprend à partir de ce tableau que chaque état du modèle de transition d'état est connecté à S0, à lui-même et à ses états adjacents, comme illustré sur la
L'état S0 correspond à un arrêt immédiat de la neurostimulation dans le cas d'évènements indésirables, comme décrit précédemment.The state S0 corresponds to an immediate stop of the neurostimulation in the case of undesirable events, as previously described.
Dans l'un des modes de réalisation, les états du modèle de transition d'état sont catégorisés en fonction de l'effet qu'ils provoquent sur la ou les variables physiologiques à réguler. Les états S0 à S4 donnés plus haut à titre d'exemple (2) sont un exemple d'états catégorisés vis-à-vis de la régulation de l'intervalle RR et de la variation temporelle (dérivée première) de la pression cardiaque.In one embodiment, states of the state transition model are categorized according to the effect they cause on the physiological variable (s) to be regulated. The states S0 to S4 given above by way of example (2) are an example of states categorized with respect to the regulation of the RR interval and the temporal variation (first derivative) of the cardiac pressure.
Un exemple d'algorithme de transition d'état déterministe et séquentiel avec pas fixeAdspf est illustré sur la
Un exemple de la façon dont cet algorithme doit opérer pour réguler l'intervalle RR instantané d'un patient est illustré sur la
Cette même Figure montre que l'état courant (CS) augmente tous les 5 battements jusqu'à ce que la valeur observée de l'intervalle RR soit supérieure à la valeur cible (CS11). Ensuite, l'état courant CS oscille entre les valeurs CS11 et CS10. La période d'oscillation est de 5 battements.This same figure shows that the current state (CS) increases every 5 beats until the observed value of the RR interval is greater than the target value (CS11 ). Then, the current state CS oscillates between the values CS11 and CS10 . The oscillation period is 5 beats.
Dans un enregistrement préclinique réel, le résultat de l'application de l'algorithme est montré sur la
Les avantages de l'algorithmeAdspf sont que la valeur cible peut être atteinte avec une bonne précision et que l'algorithme de transition est simple.The advantages of theAdspf algorithm are that the target value can be reached with good accuracy and that the transition algorithm is simple.
Une version plus sophistiquée de l'algorithme déterministe séquentielAds est illustrée sur la
Avec cet algorithme, si la condition du dispositif de commande est satisfaite (par exemple si la valeurPVLcourant est inférieure à la valeur dePVLcible, boite 91), alors l'algorithme exécute (boite 92) CS=CS+pas. Dans le cas contraire, l'algorithme exécute (boite 93) CS=CS-pas. Dans ce cas, la valeur de pas, qui est mise à jour à chaque évènement, dépend de l'amplitude de l'erreur, soit :
La boite 95 détermine la valeur du pas. En général, plus la valeur de e est grande, alors plus la valeur de pas est importante. Inversement, plus la valeur de e est petite plus la valeur de pas est petite. Dans certains modes de réalisation, la valeur de pas peut résulter de l'application d'une fonction non linéaire sur la valeur de l'erreur e (par exemple de type sigmoïde) ; dans d'autres modes de réalisation, la valeur de pas peut résulter de l'application d'une fonction linéaire sur la valeur de l'erreur e bornée aux limites mini et maxi du pas.The
Des avantages de cette implémentation sont que l'objectif est en général atteint avec précision, et qu'il est plus rapide que les algorithmes décrits plus haut.Advantages of this implementation are that the objective is usually achieved precisely, and is faster than the algorithms described above.
On va maintenant décrite un mode de réalisation avec algorithme de transition déterministe basé sur la dichotomieAbd. Dans ce cas, le calculateur de transition d'état 2272 opère selon un principe dichotomique, comme illustré sur la
Sur cette figure, deux registres CSmax et CSmin sont initialisés avec CSmax = N et CSmin = 0. Et l'état courant CS est initialisé à la valeur CS = (CSmax-CSmin)/2 (boite 101). Lorsque le système de commande est mis en route, le dispositif de stimulation délivre la stimulation. Ensuite, la nouvelle valeur dePVLcourant, qui a déjà été affectée par la stimulation, est calculée à partir des signaux relevés. Si la condition du dispositif de commande est satisfaite (par exemple si la valeur mesurée (PVLcourant) est inférieure à la valeur dePVLcible, boite 102), alors la variable CSmin est mise à jour, à savoir CSmin = CS, et l'état courant CS est calculé avec CS = CSmin+(CSmax-CSmin)/2 (boite 103). Sinon, la variable CSmax est mise à jour, à savoir CSmax = CS, et l'état courant est calculé avec CS = CSmin+(CSmax-CSmin)/2 (boite 104).In this figure, two registers CSmax and CSmin are initialized with CSmax = N and CSmin = 0. And the current state CS is initialized to the value CS = (CSmax-CSmin) / 2 (box 101). When the control system is turned on, the stimulation device delivers the stimulation. Then, the new value ofPVLcurrent , which has already been affected by the stimulation, is calculated from the signals collected. If the condition of the control device is satisfied (for example if the measured value (PVLcurrent ) is lower than the value ofPVLcible , box 102), then the variable CSmin is updated, namely CSmin = CS, and the state CS current is calculated with CS = CSmin + (CSmax-CSmin) / 2 (box 103). Otherwise, the variable CSmax is updated, namely CSmax = CS, and the current state is calculated with CS = CSmin + (CSmax-CSmin) / 2 (box 104).
Dans l'algorithme illustré sur la
Les avantages d'un tel algorithme à base dichotomique sont l'atteinte de l'objectif avec précision, et, en général, avec une plus grande rapidité que les algorithmes décrits plus haut.The advantages of such a dichotomous algorithm are the achievement of the objective with precision, and, in general, with greater speed than the algorithms described above.
On va maintenant décrire en référence à la
Dans cette approche, lorsqu'une valeurPVLcible est définie, le calculateur de transition d'état 2272 recherche la réponse attendue RS minimale pour laquelle la condition suivante du dispositif de commande
Dans l'affirmative, cela signifie que l'état courant CS est l'état contenant cette valeur de RS.If so, this means that the current state CS is the state containing this value of RS.
Par exemple, supposons que l'on utilise ici le modèle de transition d'état à 4 états actifs figurant dans la liste (2) plus haut, à savoir :
Supposons maintenant que l'on s'intéresse à la régulation de l'intervalle RR sur une valeur cible de 440 ms. L'algorithme de transition va alors choisir comme état courant S2, car cet état S2 est la valeur la plus basse qui remplisse la condition :
Comme décrit précédemment un état S0 peut être utilisé pour des conditions de sécurité.As previously described a state S0 can be used for security conditions.
Un avantage de cet algorithme est que l'objectif est généralement atteint avec précision, et de façon plus rapide qu'avec les algorithmes précédemment exposés.An advantage of this algorithm is that the objective is usually achieved accurately, and more quickly than with the previously discussed algorithms.
On notera ici que la matrice de connexion C telle que montrée dans le tableau 1 peut être utilisée avec l'algorithme de transition déterministe et séquentiel à pas variableAdspv, avec l'algorithme de transition déterministe à base dichotomiqueAbd et avec l'algorithme de transition déterministe optimalAo.It will be noted here that the connection matrix C as shown in Table 1 can be used with the deterministic and sequential step-change algorithmAdspv , with the deterministic transition algorithm based on dichotomousAbd and with the optimal deterministic transition algorithmAo .
On va maintenant décrire un exemple de réalisation utilisant un algorithme de transition stochastiqueAs.An embodiment will now be described using a stochastic transition algorithmAs .
Alors que l'approche déterministe optimale décrite ci-dessus est basée sur l'hypothèse qu'une configuration de stimulation donnée Pi génèrera toujours l'exacte réponse attendue RSi, ceci n'est en réalité jamais vrai en physiologie du fait de la complexité de ces systèmes.While the optimal deterministic approach described above is based on the assumption that a given stimulation pattern Pi will always generate the exact expected response RSi, this is never really true in physiology because of the complexity of these systems.
Une approche stochastique selon ce mode de réalisation vise à traiter une partie de l'incertitude liée à cette complexité en appliquant une probabilité de transition à un état donné.A stochastic approach according to this embodiment aims to address some of the uncertainty related to this complexity by applying a transition probability to a given state.
Dans tous les modes de réalisation du calculateur de transition d'état 2272 opérant selon des lois probabilistes, des graphes probabilistes peuvent être utilisés pour calculer la transition d'état à sélectionner à partir du modèle de transition d'état.In all embodiments of the
Un graphe probabiliste est un graphe orienté et pondéré pour lequel :
On notera que les poids sont alors des probabilités, à savoir des nombres réels compris entre 0 et 1 et qu'un graphe probabiliste montre les états possibles du système et les probabilités de transition d'un état à un autre (poids des arcs).It should be noted that the weights are then probabilities, namely real numbers between 0 and 1, and that a probabilistic graph shows the possible states of the system and the transition probabilities from one state to another (weight of the arcs).
La
Dans un mode de réalisation, une matrice de Markov est utilisée pour déterminer les transitions optimales permettant d'atteindre le niveau cible de la variable physiologique, tel que décrit dans le tableau 3, où ai,j représente la probabilité d'une transition d'un état vers un autre dans le modèle de transition d'état.In one embodiment, a Markov matrix is used to determine the optimal transitions to reach the target level of the physiological variable, as described in Table 3, where ai, j represents the probability of a transition of one state to another in the state transition model.
Comme décrit précédemment, un état S0 peut être prévu pour des conditions de mise en sécurité.As previously described, a state S0 can be provided for safe conditions.
Dans un mode de réalisation, les probabilités ai,j sont calculées pendant une phase d'apprentissage, via des algorithmes d'un modèle de Markov caché (HMM,Hidden Markov Model). Par exemple, après avoir fixé le nombre d'états, l'algorithme de Baum-Welch (forward-backward) permet d'estimer l'ensemble de paramètres du modèle de transition d'états (ici un HMM) de façon itérative, à partir d'une base de données d'apprentissage. D'autres algorithmes, comme leIterated Conditional Estimator peuvent être également utilisés. Une fois ces paramètres identifiés, à partir d'une séquence d'observations, l'algorithme de Viterbi calcule la séquence d'états qui sera le plus probablement correspondante, tandis que l'algorithmeforward calcule la probabilité d'une séquence particulière d'observations.In one embodiment, the probabilities ai, j are calculated during a learning phase, using algorithms of aHidden Markov Model (HMM). For example, after having fixed the number of states, the Baum-Welch algorithm (forward-backward ) makes it possible to estimate the set of parameters of the state transition model (here a HMM) iteratively, to from a learning database. Other algorithms, such as theIterated Conditional Estimator can also be used. Once these parameters have been identified, based on a sequence of observations, the Viterbi algorithm calculates the sequence of states that will most probably correspond, while theforward algorithm calculates the probability of a particular sequence of observations. observations.
Un exemple de diagramme de l'effet de cet algorithme de transition est illustré sur la
On comprend que dans cet exemple, il n'y a pas de règles particulières comme dans les algorithmes déterministes. Dans cet exemple, les transitions sont fonction des probabilités associées à la matrice de transition T. On observe en outre que les états peuvent varier d'une manière probabiliste, même si la valeur physiologique cible reste constante. Ce comportement probabiliste peut être particulièrement important dans des applications physiologiques ou cliniques du fait que les processus sous-jacents sont complexes et présentent donc une variabilité naturelle qui peut être représentée par un processus aléatoire.It is understood that in this example, there are no particular rules as in the deterministic algorithms. In this example, the transitions are a function of the probabilities associated with the transition matrix T. It is further observed that the states can vary in a probabilistic manner, even if the target physiological value remains constant. This probabilistic behavior may be particularly important in physiological or clinical applications because the underlying processes are complex and therefore have natural variability that can be represented by a random process.
On va maintenant décrire une forme de réalisation avec commande à boucle fermée à résolution temporelle variable.An embodiment with closed-loop control with variable temporal resolution will now be described.
On sait qu'un dispositif de neurostimulation adaptatif doit être capable d'adapter le traitement à la fois à des variables susceptibles de changer rapidement (échelle de temps de la seconde ou de la minute) et à des variables susceptibles de changer lentement (échelle de temps du jour, du mois, de l'année). Dans cette forme de réalisation, on utilise par exemple deux échelles de temps :
La thérapie par neurostimulation est alors adaptée pour suivre ces variations à résolutions temporelles différentes.Neurostimulation therapy is then adapted to follow these variations with different temporal resolutions.
La multirésolution temporelle est assurée dans cette forme de réalisation, comme représenté sur la
Pour illustrer cette particularité, on va décrire ici une version du système de commande intégrant K dispositifs de commande de transition d'état, avec ici K = 2.To illustrate this feature, we will describe here a version of the control system incorporating K state transition control devices, here with K = 2.
Ainsi le système de contrôle est composé de deux dispositifs de commande de transition d'état 2271 et 2272, l'un assurant une régulation d'une variable physiologique sur le court terme (notée PV1), et l'autre assurant une régulation d'une variable physiologique sur le long terme (notée PV2), et les changements dans cette variable PV2 affectant l'effet d'une stimulation du nerf vague (VNS) sur la variable PV1.Thus, the control system is composed of two state
Dans de telles circonstances, l'effet d'une stimulation VNS donnée peut changer dans le temps, comme illustré sur la
Dans cet exemple, un premier dispositif de commande est utilisé pour réguler la variable PV1, tandis que le second dispositif de commande estime l'effet de la stimulation sur la variable PV1 et compense les variations de cet effet sur l'échelle de temps M0, M3, M6.In this example, a first control device is used to regulate the variable PV1, while the second control device estimates the effect of the stimulation on the variable PV1 and compensates for the variations of this effect on the time scale M0, M3, M6.
La
La
On observe en bas de la
Au contraire, et comme illustré en bas de la
Un cas particulier de contrôle à plusieurs dispositifs de commande est le cas où un ou plusieurs modèles de transition d'états probabilistes sont utilisés pour améliorer la précision autour d'une zone de valeurs de laPVLcible et un ou plusieurs modèles de transition d'états déterministes sont utilisés pour améliorer la rapidité de convergence (temps nécessaire pour atteindre la cible). Dans ce cas, chaque dispositif de contrôle aura un modèle probabiliste ou déterministe différent et le module de fusion 229 définira les paramètres définitifs de stimulation.A particular case of multi-controller control is when one or more probabilistic state transition models are used to improve accuracy around aPVL target and one or more state transition models. Determinists are used to improve the speed of convergence (time needed to reach the target). In this case, each control device will have a different probabilistic or deterministic model and the
On va maintenant décrire des algorithmes avec phase d'apprentissage. Il est bien connu dans le domaine de la stimulation du nerf vague que différents patients répondent différemment à la même configuration de stimulation VNS. Par conséquent, une thérapie VNS (à savoir les différents paramètres de stimulation et donc, différents états possibles du modèle de transition d'état) est ici adaptée durant une phase d'apprentissage spécifique au patient. Cette phase d'apprentissage peut prendre beaucoup de temps, et dans certains cas, il n'est pas possible de la mettre en oeuvre. Dans de tels cas, on utilise une configuration de stimulation VNS généralisée (sous forme d'une table d'états générale) dérivée de l'analyse d'une base de données d'une population similaire à celle du patient traité. Dans un mode de réalisation plus sophistiqué, cette table d'états générale peut être utilisée comme table d'états initiale, et une phase d'apprentissage spécifique au patient peut être réalisée de façon à améliorer la précision du système de commande.We will now describe algorithms with learning phase. It is well known in the field of vagus nerve stimulation that different patients respond differently to the same VNS stimulation pattern. Therefore, a VNS therapy (ie different pacing parameters and therefore different states of the state transition model) is here adapted during a patient-specific learning phase. This learning phase can take a long time, and in some cases it is not possible to implement it. In such cases, a generalized VNS pacing pattern (in the form of a general state table) derived from the analysis of a database of a population similar to that of the treated patient is used. In a more sophisticated embodiment, this general state table can be used as an initial state table, and a patient specific learning phase can be performed to improve the accuracy of the control system.
Cette forme de réalisation se base avantageusement sur une approche à boucle fermée intégrant des propriétés spécifiques au patient.This embodiment is advantageously based on a closed loop approach incorporating patient-specific properties.
Afin de mettre en oeuvre le ou les dispositifs de commande de transition d'état, il est tout d'abord nécessaire d'identifier les paramètres principaux du modèle de transition d'état associé à partir de données de population, ou d'une manière spécifique au patient.In order to implement the state transition control device (s), it is first necessary to identify the main parameters of the associated state transition model from population data, or in a patient-specific manner.
En référence à la
La structure de chaque dispositif de commande de transition d'état est caractérisée par la définition du nombre d'états du modèle et par les connexions inter-états souhaitées (telles que définies dans la matrice C). Ces définitions sont fixées à partir d'une analyse des besoins. Une fois cette structure définie, les paramètres de l'algorithme de transition d'état (principalement le jeu de paramètres de stimulation PMk,Nk,k et les valeurs atteintes RSQk,Nk,k pour chaque état, ainsi que la matrice de transitions T, doivent être déterminés.The structure of each state transition control device is characterized by defining the number of states of the model and by the desired interstate connections (as defined in the matrix C). These definitions are based on a needs analysis. Once this structure is defined, the parameters of the state transition algorithm (mainly the stimulation parameter set PMk, Nk, k and the values reached RSQk, Nk, k for each state, as well as the matrix of transitions T, must be determined.
D'une façon générale, la phase d'apprentissage consiste à stimuler le patient (ou plusieurs patients) avec un ensemble de paramètres de stimulation et à analyser les valeurs atteintes de variables physiologiques avec ces jeux de paramètres. A partir de ces observations, une analyse est réalisée afin de définir la structure et les paramètres de chaque modèle de transition d'état et en particulier les matrices C et T. De plus, cette phase d'apprentissage permet de détecter des paramètres qui provoquent des effets secondaires, de manière à les exclure du modèle de transition d'état.In a general way, the learning phase consists of stimulating the patient (or several patients) with a set of stimulation parameters and analyzing the values reached with physiological variables with these sets of parameters. From these observations, an analysis is carried out in order to define the structure and the parameters of each state transition model and in particular the C and T matrices. Moreover, this learning phase makes it possible to detect parameters which provoke side effects, to exclude them from the state transition model.
Une phase d'apprentissage basée sur la population est illustrée sur la Figure 18. Cette approche est basée sur l'analyse d'une base de données d'une population, typiquement caractéristique de la pathologie visée, comprenant des enregistrements des variables physiologiques d'intérêt, pour différents patients, et avec différents paramètres de stimulation pour chaque patient. Les paramètres PMk,Nk,k et les valeurs atteintes RSQk,Nk,k pour chaque état (constituant l'ensemble Snk,k), ainsi que la matrice T, sont obtenus par des analyses de sensibilité sur les données disponibles. La
Comme indiqué plus haut, les paramètres qui sont susceptibles de provoquer des effets indésirables ne sont pas utilisés dans le modèle de transition d'état (cf. test d'effets indésirables de la
Le schéma-bloc d'une phase d'apprentissage spécifique au patient est illustré sur la
Ici encore, les paramètres qui sont susceptibles de provoquer des effets indésirables ne sont pas utilisés dans le modèle de transition d'état.Again, parameters that are likely to cause adverse effects are not used in the state transition model.
Il est possible de combiner les approches mentionnées ci-dessus (i) en commençant par une définition de paramètres basée sur la population et (ii) en affinant ces paramètres lors d'une session d'analyse per- et/ou post-opératoire, comme illustré sur la
Un programme complet de cette procédure d'apprentissage combiné est illustré sur la
On notera que ces approches d'apprentissage peuvent être mises en oeuvre pour chaque dispositif de commande de transition d'état K, lors d'un agencement avec plusieurs dispositifs de commande.It should be noted that these learning approaches can be implemented for each state transition control device K, when arranged with several control devices.
Une fois cette phase d'apprentissage achevée, tous les paramètres sont stockés dans la mémoire 223 du dispositif de stimulation et l'algorithme de commande, de type déterministe, stochastique ou combiné comme décrit plus haut, peut commencer à opérer sur la base de ces paramètres.Once this learning phase has been completed, all the parameters are stored in the
On va maintenant décrire un exemple de phase d'apprentissage appliquée sur un modèle animal :
On notera que les phases d'apprentissage et de tri sont nécessaires afin d'assurer le bon fonctionnement de l'algorithme de transition d'état déterministe et séquentiel, étant donné qu'un tel algorithme est basé sur le principe selon lequel l'effet mesuré de chaque état courant (CS) de stimulation est d'autant plus grand que le niveau de stimulation de l'état courant en question est important.It should be noted that the learning and sorting phases are necessary in order to ensure the proper functioning of the deterministic and sequential state transition algorithm, since such an algorithm is based on the principle that the measured effect of each current state (CS) stimulation is even greater than the stimulation level of the current state in question is important.
On va maintenant décrire un système de stimulation adaptatif, réalisant une mise à jour des paramètres du système de commande au cours du temps.An adaptive stimulation system will now be described, updating the parameters of the control system over time.
On comprend que les paramètres définis pour chaque dispositif de commande au début d'une thérapie peuvent s'avérer non optimaux à un moment ultérieur, du fait que l'état physiologique et physique du patient est en constante évolution en raison de différents facteurs prévisibles tels que les rythmes circadien et saisonnier, ou imprévisibles comme les modifications de l'environnement (température, socialité...), les maladies chroniques ou aigües (grippe saisonnière, cancer, insuffisance cardiaque...), le comportement (alimentation, activité, consommation d'alcool, tabagisme...), les événements indésirables.It is understood that the parameters defined for each control device at the beginning of a therapy may be non-optimal at a later time, because the physiological and physical state of the patient is constantly changing due to various predictable factors such as as circadian and seasonal rhythms, or unpredictable as changes in the environment (temperature, sociality ...), chronic or acute diseases (seasonal flu, cancer, heart failure ...), behavior (diet, activity, alcohol consumption, smoking ...), adverse events.
Afin de fournir la thérapie optimale, l'évolution de la pathologie du patient peut nécessiter de mettre à jour régulièrement les principaux paramètres du modèle de transition d'état. C'est ce que permet l'approche d'estimation adaptative des paramètres proposée ici, qui peut en outre être appliquée à différentes résolutions temporelles, par exemple tous les jours, une fois par semaine, une fois par mois, etc. Cette mise à jour des paramètres du dispositif de commande peut aussi être mise en oeuvre en fonction de l'activité du patient (exercice, sommeil...). Ainsi, en implémentant cette approche adaptative, il est possible d'éviter ou de réduire les visites médicales et de délivrer de façon permanente la thérapie optimale.In order to provide the optimal therapy, the evolution of the patient's pathology may require regular updating of the main parameters of the state transition model. This is done by the adaptive parameter estimation approach proposed here, which can be applied to different temporal resolutions, for example every day, once a week, once a month, and so on. This updating of the parameters of the control device can also be implemented depending on the activity of the patient (exercise, sleep ...). Thus, by implementing this adaptive approach, it is possible to avoid or reduce medical visits and to deliver the optimal therapy permanently.
En effet, chaque fois que le patient est stimulé avec un ensemble de paramètres donné, le dispositif implantable va obtenir l'effet réel sur le patient en utilisant le calculateur 225 de niveau de la variable physiologique. Cet effet est censé être proche de la valeur attendue RS1.Indeed, whenever the patient is stimulated with a given set of parameters, the implantable device will achieve the actual effect on the patient using the physiologic level-
Toutefois, en raison de la variabilité intra-patient, de la progression d'une pathologie et de l'effet de la thérapie, ces valeurs peuvent devenir significativement différentes. Et lorsque la différence entre ces valeurs devient supérieure à un seuil noté PVL_THRES, il peut être décidé (i) d'enregistrer cet évènement comme élément d'analyse du système et (ii) d'activer un algorithme d'adaptation qui va mettre à jour les paramètres du dispositif de commande.However, because of intra-patient variability, disease progression, and the effect of therapy, these values can become significantly different. And when the difference between these values becomes greater than a threshold noted PVL_THRES, it can be decided (i) to record this event as element of analysis of the system and (ii) to activate an adaptation algorithm that will update the parameters of the control device.
La
Chaque dispositif de commande de transition d'état génère un jeu de paramètres possibles fonction du niveau PVL reçu du calculateur. Un module de capteurs d'activité 251 détecte l'activité du patient pendant la journée, par exemple en la qualifiant sur différents niveaux "repos", "marche", "sommeil", "alimentation". Ces informations d'activité sont utilisées par un module de reconfiguration des paramètres 252 mettant en oeuvre un algorithme de reconfiguration dédié et par le module 229 de gestion de la fusion de paramètres, afin d'adapter le modèle de transition d'état et le traitement à l'activité du patient.Each state transition control device generates a set of possible parameters depending on the PVL level received from the computer. An
Le module de gestion de la fusion des paramètres sélectionne le jeu optimal de paramètres de stimulation VNS à partir d'une série de jeux possibles de paramètres afin d'atteindre les cibles physiologiques à court terme et à long terme. Il peut être décidé que dans certains niveaux d'activité du patient, la VNS n'est pas délivrée (état S0), par exemple durant le "sommeil".The parameter merge management module selects the optimal set of VNS pacing parameters from a set of possible sets of parameters to achieve short-term and long-term physiological targets. It can be decided that in certain levels of patient activity, the VNS is not delivered (state S0), for example during "sleep".
Le patient est alors stimulé avec ce jeu de paramètres. Un module d'analyse 253 et le module de reconfiguration des paramètres reçoivent l'état courant CS (définissant le jeu de paramètres courant) et le niveau de la variable physiologique PVL obtenu avec cet état, et déterminent si le modèle de transition d'état doit être reconfiguré ou non.The patient is then stimulated with this set of parameters. An
Une caractéristique avantageuse de cette approche adaptative réside en ce que le module d'analyse et le module de reconfiguration de paramètres sont aptes à détecter les configurations de paramètres (états) provoquant des effets secondaires. Si un état provoque des effets secondaires (cet effet pouvant être détecté comme précédemment par les capteurs disponibles), alors le module de reconfiguration des paramètres rejette cet état (le rend indisponible), ou modifie les valeurs des paramètres VNS de cet état.An advantageous characteristic of this adaptive approach is that the analysis module and the parameter reconfiguration module are able to detect the parameter configurations (states) causing side effects. If a condition causes side effects (this effect can be detected as previously by the available sensors), then the parameter reconfiguration module rejects this state (makes it unavailable), or modifies the values of the VNS parameters of this state.
Le module de reconfiguration de paramètres 252 adapte le modèle de transition d'état si nécessaire, selon des approches telles qu'on va les décrire dans la suite.The
Une autre application de cette approche adaptative peut inclure l'activation de protocoles de stimulation VNS préprogrammés, aboutissant à une mise à jour des réponses attendues pour chaque état (RSQk,Nk,k), soit de façon régulière dans le temps, soit à la survenance de tout événement spécifié, comme on va le décrire dans la suite. La
On va maintenant décrire différentes formes de réalisation de cette approche adaptative.Various embodiments of this adaptive approach will now be described.
On rappellera tout d'abord que l'adaptation du modèle de transition d'état est avantageusement réalisée avec différentes résolutions temporelles.It will be recalled first of all that the adaptation of the state transition model is advantageously carried out with different temporal resolutions.
Dans une première forme de réalisation, on réalise une estimation des paramètres déportée dans un système externe 270 comprenant le module de reconfiguration de paramètres 252 et le module d'analyse 253, comme illustré sur la
Dans une deuxième forme de réalisation, illustrée sur la
Ainsi le dispositif implantable est ici auto-adaptatif et réalise de façon autonome un apprentissage des valeurs typiques.Thus the implantable device is here self-adaptive and autonomously realizes learning of typical values.
En résumé, la fonctionnalité d'estimation adaptative des paramètres est un raffinement du système de commande à transition d'état décrit dans ce qui précède, qu'il soit mis en oeuvre sur une base, déterministe, stochastique ou sur un ensemble de dispositifs de contrôle combinant approches déterministe et stochastique.In summary, the adaptive parameter estimation feature is a refinement of the state transition control system described in the foregoing, whether implemented on a deterministic, stochastic basis or on a set of control devices combining deterministic and stochastic approaches.
Dans le cas d'une adaptation selon plusieurs résolutions temporelles déportée, avec le mode de réalisation de la
Dans le cas de la forme de réalisation intégrée correspondant à la Figure 28, l'adaptation du modèle de transition d'état peut être réalisée avec différentes résolutions temporelles telles que, de façon non limitative, n fois par heure, n fois par jour, quotidiennement, une fois par semaine, une fois par mois, une fois par an.In the case of the integrated embodiment corresponding to FIG. 28, the adaptation of the state transition model can be carried out with different temporal resolutions such as, in a nonlimiting manner, n times per hour, n times per day, daily, once a week, once a month, once a year.
En ce sens, la forme de réalisation de la
En outre, le mode de réalisation de la
| Application Number | Priority Date | Filing Date | Title | 
|---|---|---|---|
| FR1556057 | 2015-06-29 | 
| Publication Number | Publication Date | 
|---|---|
| EP3111990A1 EP3111990A1 (en) | 2017-01-04 | 
| EP3111990B1true EP3111990B1 (en) | 2019-02-27 | 
| Application Number | Title | Priority Date | Filing Date | 
|---|---|---|---|
| EP16173750.7AActiveEP3111990B1 (en) | 2015-06-29 | 2016-06-09 | Stimulation therapy system, in particular for vagus nerve stimulation, by implementing a state transition model with prior learning | 
| Country | Link | 
|---|---|
| US (1) | US9981132B2 (en) | 
| EP (1) | EP3111990B1 (en) | 
| Publication number | Priority date | Publication date | Assignee | Title | 
|---|---|---|---|---|
| CN111386576B (en)* | 2017-09-26 | 2024-11-01 | 皇家飞利浦有限公司 | Imaging system and readable medium for personnel automated assistance and quality assurance based on real-time workflow analysis | 
| US20220323019A1 (en)* | 2021-04-02 | 2022-10-13 | Neuropace, Inc. | Systems and methods for obtaining a clinical response estimate biomarker using machine-learned models trained on implanted neurostimulator data | 
| WO2022236078A1 (en) | 2021-05-07 | 2022-11-10 | Battelle Memorial Institute | Distributed device control and wearable system for vagus nerve stimulation | 
| Publication number | Priority date | Publication date | Assignee | Title | 
|---|---|---|---|---|
| EP0220194B1 (en) | 1985-03-27 | 1994-03-30 | Pacesetter AB | Stimulated heart interval measurement, adaptive pacer and method of operation | 
| US8762065B2 (en) | 1998-08-05 | 2014-06-24 | Cyberonics, Inc. | Closed-loop feedback-driven neuromodulation | 
| US6366813B1 (en) | 1998-08-05 | 2002-04-02 | Dilorenzo Daniel J. | Apparatus and method for closed-loop intracranical stimulation for optimal control of neurological disease | 
| US7242984B2 (en)* | 1998-08-05 | 2007-07-10 | Neurovista Corporation | Apparatus and method for closed-loop intracranial stimulation for optimal control of neurological disease | 
| US9042988B2 (en)* | 1998-08-05 | 2015-05-26 | Cyberonics, Inc. | Closed-loop vagus nerve stimulation | 
| US7231254B2 (en) | 1998-08-05 | 2007-06-12 | Bioneuronics Corporation | Closed-loop feedback-driven neuromodulation | 
| US7706871B2 (en)* | 2003-05-06 | 2010-04-27 | Nellcor Puritan Bennett Llc | System and method of prediction of response to neurological treatment using the electroencephalogram | 
| IL155955A0 (en) | 2003-05-15 | 2003-12-23 | Widemed Ltd | Adaptive prediction of changes of physiological/pathological states using processing of biomedical signal | 
| US7509166B2 (en) | 2003-12-24 | 2009-03-24 | Cardiac Pacemakers, Inc. | Automatic baroreflex modulation responsive to adverse event | 
| US7783349B2 (en) | 2006-04-10 | 2010-08-24 | Cardiac Pacemakers, Inc. | System and method for closed-loop neural stimulation | 
| US7463927B1 (en) | 2004-09-02 | 2008-12-09 | Intelligent Neurostimulation Microsystems, Llc | Self-adaptive system for the automatic detection of discomfort and the automatic generation of SCS therapies for chronic pain control | 
| US8374696B2 (en) | 2005-09-14 | 2013-02-12 | University Of Florida Research Foundation, Inc. | Closed-loop micro-control system for predicting and preventing epileptic seizures | 
| US10537728B2 (en)* | 2005-11-10 | 2020-01-21 | ElectroCore, LLC | Vagal nerve stimulation to avert or treat stroke or transient ischemic attack | 
| FR2908624A1 (en) | 2006-06-09 | 2008-05-23 | Univ Rennes I Etablissement Pu | INTEGRATED SELF ADAPTIVE DEVICE FOR MONITORING AND STIMULATING BASED ON PHYSIOLOGICAL SIGNALS, FOR EXAMPLE BASED ON CARDIAC FREQUENCY, CORRESPONDING COMPUTER PROGRAM AND PROGRAM | 
| US8103341B2 (en) | 2006-08-25 | 2012-01-24 | Cardiac Pacemakers, Inc. | System for abating neural stimulation side effects | 
| US7801604B2 (en) | 2006-08-29 | 2010-09-21 | Cardiac Pacemakers, Inc. | Controlled titration of neurostimulation therapy | 
| US7923865B2 (en) | 2008-06-27 | 2011-04-12 | Medtronic, Inc. | Multi-mode switched capacitor dc-dc voltage converter | 
| US8792972B2 (en) | 2009-02-05 | 2014-07-29 | Alpha Omega Engineering Ltd. | Real-time methods and systems for mapping a target region in the brain during surgery | 
| CA3051810A1 (en)* | 2009-02-10 | 2010-08-19 | Nevro Corporation | Systems and methods for delivering neural therapy correlated with patient status | 
| US8774923B2 (en) | 2009-03-22 | 2014-07-08 | Sorin Crm Sas | Optimal deep brain stimulation therapy with Q learning | 
| US8874229B2 (en) | 2010-04-28 | 2014-10-28 | Cyberonics, Inc. | Delivering scheduled and unscheduled therapy without detriment to battery life or accuracy of longevity predictions | 
| US9737230B2 (en) | 2011-01-06 | 2017-08-22 | The Johns Hopkins University | Seizure detection device and systems | 
| US9789313B2 (en)* | 2011-02-23 | 2017-10-17 | John D. LIPANI | System and methods for diagnosis and treatment of discogenic lower back pain | 
| US20140057232A1 (en)* | 2011-04-04 | 2014-02-27 | Daniel Z. Wetmore | Apparatus, system, and method for modulating consolidation of memory during sleep | 
| US9238142B2 (en) | 2012-09-10 | 2016-01-19 | Great Lakes Neurotechnologies Inc. | Movement disorder therapy system and methods of tuning remotely, intelligently and/or automatically | 
| US11083402B2 (en)* | 2013-06-04 | 2021-08-10 | Medtronic, Inc. | Patient state determination based on one or more spectral characteristics of a bioelectrical brain signal | 
| US9079039B2 (en) | 2013-07-02 | 2015-07-14 | Medtronic, Inc. | State machine framework for programming closed-loop algorithms that control the delivery of therapy to a patient by an implantable medical device | 
| Title | 
|---|
| None* | 
| Publication number | Publication date | 
|---|---|
| US9981132B2 (en) | 2018-05-29 | 
| EP3111990A1 (en) | 2017-01-04 | 
| US20160375251A1 (en) | 2016-12-29 | 
| Publication | Publication Date | Title | 
|---|---|---|
| EP3113033B1 (en) | Stimulation therapy system, in particular of the vagus nerve, by implementing a state transition model | |
| EP3111991B1 (en) | Stimulation therapy system, in particular for vagus nerve stimulation, by implementing a state transition model that is self-adaptable in accordance with physical or physiological levels | |
| EP2946806B1 (en) | Active implantable medical device with automatic optimisation of the configuration of a multi-electrode stimulation probe, in particular a probe for selective stimulation of the vagus nerve | |
| EP2233069B1 (en) | Active medical device including non-linear filtering means for reconstructing a surface electrocardiogram from an intracardiac electrogram | |
| US12214201B2 (en) | Method for adaptive control of a medical device using Bayesian optimization | |
| EP1902750B1 (en) | Method of reconstructing a surface electrocardiogram from an intracardiac electrogram | |
| EP2238896B1 (en) | Active medical device including means for reconstructing a surface electrocardiogram using far-field signals taken from an intracardiac electrogram | |
| EP2499971B1 (en) | Device for adaptive processing of an endocardial acceleration signal | |
| CN113795298A (en) | User-weighted closed-loop adjustment of neuromodulation therapy | |
| WO2007117813A2 (en) | Method and apparatus for arrhythmia episode classification | |
| EP3111990B1 (en) | Stimulation therapy system, in particular for vagus nerve stimulation, by implementing a state transition model with prior learning | |
| EP1867360A2 (en) | Active implantable medical device, in particular a stimulation, resynchronisation, defibrillation and/or cardioversion device comprising predictive means for warning of an aggravation of the patient's clinical status | |
| EP2769668B1 (en) | System for the adaptive diagnosis of chronic heart failure using classifying means and a boolean decision tree | |
| US11745016B2 (en) | Adjustment of analgesic stimulation parameters based on trust dynamic measurements | |
| EP2623023A1 (en) | Active implantable medical device including a means for diagnosing heart failure | |
| EP1405654B1 (en) | Active implantable medical devices, such as defibrillators, cardioverters and/or multisite devices, comprising means for determining the average hemodynamic index | |
| EP3111992B1 (en) | Stimulation therapy system, in particular for vagus nerve stimulation, by implementing a state transition model operating at multiple space or time resolutions | |
| EP2896428A1 (en) | Neural network assembly for evaluating and adapting an anti-tachycardia therapy by an implantable defibrillator | |
| EP2353641B1 (en) | Active implantable medical device for cardiac resynchronisation with automatic, real-time optimisation of the interventricular and atrioventricular delays | |
| EP4518958A1 (en) | Systems and methods for detecting lead movement | |
| EP3009166B1 (en) | Active implantable medical device for treating heart failure by vagus nerve stimulation | |
| WO2024249414A1 (en) | Operation of implantable medical device system to determine atrial fibrillation recurrence likelihood | |
| WO2025146598A1 (en) | Monitoring methods using holistic data concepts | |
| CN119366894A (en) | Convolutional neural networks for automatic identification of pause episodes detected by implantable medical devices | 
| Date | Code | Title | Description | 
|---|---|---|---|
| PUAI | Public reference made under article 153(3) epc to a published international application that has entered the european phase | Free format text:ORIGINAL CODE: 0009012 | |
| STAA | Information on the status of an ep patent application or granted ep patent | Free format text:STATUS: THE APPLICATION HAS BEEN PUBLISHED | |
| AK | Designated contracting states | Kind code of ref document:A1 Designated state(s):AL AT BE BG CH CY CZ DE DK EE ES FI FR GB GR HR HU IE IS IT LI LT LU LV MC MK MT NL NO PL PT RO RS SE SI SK SM TR | |
| AX | Request for extension of the european patent | Extension state:BA ME | |
| STAA | Information on the status of an ep patent application or granted ep patent | Free format text:STATUS: REQUEST FOR EXAMINATION WAS MADE | |
| 17P | Request for examination filed | Effective date:20170704 | |
| RBV | Designated contracting states (corrected) | Designated state(s):AL AT BE BG CH CY CZ DE DK EE ES FI FR GB GR HR HU IE IS IT LI LT LU LV MC MK MT NL NO PL PT RO RS SE SI SK SM TR | |
| RIC1 | Information provided on ipc code assigned before grant | Ipc:A61N 1/05 20060101AFI20180803BHEP Ipc:A61N 1/36 20060101ALI20180803BHEP Ipc:G06F 17/16 20060101ALI20180803BHEP | |
| GRAP | Despatch of communication of intention to grant a patent | Free format text:ORIGINAL CODE: EPIDOSNIGR1 | |
| STAA | Information on the status of an ep patent application or granted ep patent | Free format text:STATUS: GRANT OF PATENT IS INTENDED | |
| INTG | Intention to grant announced | Effective date:20181005 | |
| GRAS | Grant fee paid | Free format text:ORIGINAL CODE: EPIDOSNIGR3 | |
| GRAA | (expected) grant | Free format text:ORIGINAL CODE: 0009210 | |
| STAA | Information on the status of an ep patent application or granted ep patent | Free format text:STATUS: THE PATENT HAS BEEN GRANTED | |
| AK | Designated contracting states | Kind code of ref document:B1 Designated state(s):AL AT BE BG CH CY CZ DE DK EE ES FI FR GB GR HR HU IE IS IT LI LT LU LV MC MK MT NL NO PL PT RO RS SE SI SK SM TR | |
| REG | Reference to a national code | Ref country code:GB Ref legal event code:FG4D Free format text:NOT ENGLISH | |
| REG | Reference to a national code | Ref country code:CH Ref legal event code:EP | |
| REG | Reference to a national code | Ref country code:AT Ref legal event code:REF Ref document number:1100464 Country of ref document:AT Kind code of ref document:T Effective date:20190315 | |
| REG | Reference to a national code | Ref country code:IE Ref legal event code:FG4D Free format text:LANGUAGE OF EP DOCUMENT: FRENCH | |
| REG | Reference to a national code | Ref country code:DE Ref legal event code:R096 Ref document number:602016010253 Country of ref document:DE | |
| REG | Reference to a national code | Ref country code:NL Ref legal event code:MP Effective date:20190227 | |
| REG | Reference to a national code | Ref country code:LT Ref legal event code:MG4D | |
| PG25 | Lapsed in a contracting state [announced via postgrant information from national office to epo] | Ref country code:LT Free format text:LAPSE BECAUSE OF FAILURE TO SUBMIT A TRANSLATION OF THE DESCRIPTION OR TO PAY THE FEE WITHIN THE PRESCRIBED TIME-LIMIT Effective date:20190227 Ref country code:NL Free format text:LAPSE BECAUSE OF FAILURE TO SUBMIT A TRANSLATION OF THE DESCRIPTION OR TO PAY THE FEE WITHIN THE PRESCRIBED TIME-LIMIT Effective date:20190227 Ref country code:FI Free format text:LAPSE BECAUSE OF FAILURE TO SUBMIT A TRANSLATION OF THE DESCRIPTION OR TO PAY THE FEE WITHIN THE PRESCRIBED TIME-LIMIT Effective date:20190227 Ref country code:SE Free format text:LAPSE BECAUSE OF FAILURE TO SUBMIT A TRANSLATION OF THE DESCRIPTION OR TO PAY THE FEE WITHIN THE PRESCRIBED TIME-LIMIT Effective date:20190227 Ref country code:NO Free format text:LAPSE BECAUSE OF FAILURE TO SUBMIT A TRANSLATION OF THE DESCRIPTION OR TO PAY THE FEE WITHIN THE PRESCRIBED TIME-LIMIT Effective date:20190527 Ref country code:PT Free format text:LAPSE BECAUSE OF FAILURE TO SUBMIT A TRANSLATION OF THE DESCRIPTION OR TO PAY THE FEE WITHIN THE PRESCRIBED TIME-LIMIT Effective date:20190627 | |
| PG25 | Lapsed in a contracting state [announced via postgrant information from national office to epo] | Ref country code:LV Free format text:LAPSE BECAUSE OF FAILURE TO SUBMIT A TRANSLATION OF THE DESCRIPTION OR TO PAY THE FEE WITHIN THE PRESCRIBED TIME-LIMIT Effective date:20190227 Ref country code:IS Free format text:LAPSE BECAUSE OF FAILURE TO SUBMIT A TRANSLATION OF THE DESCRIPTION OR TO PAY THE FEE WITHIN THE PRESCRIBED TIME-LIMIT Effective date:20190627 Ref country code:GR Free format text:LAPSE BECAUSE OF FAILURE TO SUBMIT A TRANSLATION OF THE DESCRIPTION OR TO PAY THE FEE WITHIN THE PRESCRIBED TIME-LIMIT Effective date:20190528 Ref country code:HR Free format text:LAPSE BECAUSE OF FAILURE TO SUBMIT A TRANSLATION OF THE DESCRIPTION OR TO PAY THE FEE WITHIN THE PRESCRIBED TIME-LIMIT Effective date:20190227 Ref country code:BG Free format text:LAPSE BECAUSE OF FAILURE TO SUBMIT A TRANSLATION OF THE DESCRIPTION OR TO PAY THE FEE WITHIN THE PRESCRIBED TIME-LIMIT Effective date:20190527 Ref country code:RS Free format text:LAPSE BECAUSE OF FAILURE TO SUBMIT A TRANSLATION OF THE DESCRIPTION OR TO PAY THE FEE WITHIN THE PRESCRIBED TIME-LIMIT Effective date:20190227 | |
| REG | Reference to a national code | Ref country code:AT Ref legal event code:MK05 Ref document number:1100464 Country of ref document:AT Kind code of ref document:T Effective date:20190227 | |
| PG25 | Lapsed in a contracting state [announced via postgrant information from national office to epo] | Ref country code:ES Free format text:LAPSE BECAUSE OF FAILURE TO SUBMIT A TRANSLATION OF THE DESCRIPTION OR TO PAY THE FEE WITHIN THE PRESCRIBED TIME-LIMIT Effective date:20190227 Ref country code:AL Free format text:LAPSE BECAUSE OF FAILURE TO SUBMIT A TRANSLATION OF THE DESCRIPTION OR TO PAY THE FEE WITHIN THE PRESCRIBED TIME-LIMIT Effective date:20190227 Ref country code:CZ Free format text:LAPSE BECAUSE OF FAILURE TO SUBMIT A TRANSLATION OF THE DESCRIPTION OR TO PAY THE FEE WITHIN THE PRESCRIBED TIME-LIMIT Effective date:20190227 Ref country code:RO Free format text:LAPSE BECAUSE OF FAILURE TO SUBMIT A TRANSLATION OF THE DESCRIPTION OR TO PAY THE FEE WITHIN THE PRESCRIBED TIME-LIMIT Effective date:20190227 Ref country code:SK Free format text:LAPSE BECAUSE OF FAILURE TO SUBMIT A TRANSLATION OF THE DESCRIPTION OR TO PAY THE FEE WITHIN THE PRESCRIBED TIME-LIMIT Effective date:20190227 Ref country code:EE Free format text:LAPSE BECAUSE OF FAILURE TO SUBMIT A TRANSLATION OF THE DESCRIPTION OR TO PAY THE FEE WITHIN THE PRESCRIBED TIME-LIMIT Effective date:20190227 Ref country code:DK Free format text:LAPSE BECAUSE OF FAILURE TO SUBMIT A TRANSLATION OF THE DESCRIPTION OR TO PAY THE FEE WITHIN THE PRESCRIBED TIME-LIMIT Effective date:20190227 | |
| REG | Reference to a national code | Ref country code:DE Ref legal event code:R097 Ref document number:602016010253 Country of ref document:DE | |
| PG25 | Lapsed in a contracting state [announced via postgrant information from national office to epo] | Ref country code:PL Free format text:LAPSE BECAUSE OF FAILURE TO SUBMIT A TRANSLATION OF THE DESCRIPTION OR TO PAY THE FEE WITHIN THE PRESCRIBED TIME-LIMIT Effective date:20190227 Ref country code:SM Free format text:LAPSE BECAUSE OF FAILURE TO SUBMIT A TRANSLATION OF THE DESCRIPTION OR TO PAY THE FEE WITHIN THE PRESCRIBED TIME-LIMIT Effective date:20190227 | |
| PG25 | Lapsed in a contracting state [announced via postgrant information from national office to epo] | Ref country code:AT Free format text:LAPSE BECAUSE OF FAILURE TO SUBMIT A TRANSLATION OF THE DESCRIPTION OR TO PAY THE FEE WITHIN THE PRESCRIBED TIME-LIMIT Effective date:20190227 | |
| PLBE | No opposition filed within time limit | Free format text:ORIGINAL CODE: 0009261 | |
| STAA | Information on the status of an ep patent application or granted ep patent | Free format text:STATUS: NO OPPOSITION FILED WITHIN TIME LIMIT | |
| PG25 | Lapsed in a contracting state [announced via postgrant information from national office to epo] | Ref country code:MC Free format text:LAPSE BECAUSE OF FAILURE TO SUBMIT A TRANSLATION OF THE DESCRIPTION OR TO PAY THE FEE WITHIN THE PRESCRIBED TIME-LIMIT Effective date:20190227 | |
| REG | Reference to a national code | Ref country code:CH Ref legal event code:PL | |
| 26N | No opposition filed | Effective date:20191128 | |
| PG25 | Lapsed in a contracting state [announced via postgrant information from national office to epo] | Ref country code:SI Free format text:LAPSE BECAUSE OF FAILURE TO SUBMIT A TRANSLATION OF THE DESCRIPTION OR TO PAY THE FEE WITHIN THE PRESCRIBED TIME-LIMIT Effective date:20190227 | |
| REG | Reference to a national code | Ref country code:BE Ref legal event code:MM Effective date:20190630 | |
| PG25 | Lapsed in a contracting state [announced via postgrant information from national office to epo] | Ref country code:TR Free format text:LAPSE BECAUSE OF FAILURE TO SUBMIT A TRANSLATION OF THE DESCRIPTION OR TO PAY THE FEE WITHIN THE PRESCRIBED TIME-LIMIT Effective date:20190227 | |
| PG25 | Lapsed in a contracting state [announced via postgrant information from national office to epo] | Ref country code:IE Free format text:LAPSE BECAUSE OF NON-PAYMENT OF DUE FEES Effective date:20190609 | |
| PG25 | Lapsed in a contracting state [announced via postgrant information from national office to epo] | Ref country code:LU Free format text:LAPSE BECAUSE OF NON-PAYMENT OF DUE FEES Effective date:20190609 Ref country code:CH Free format text:LAPSE BECAUSE OF NON-PAYMENT OF DUE FEES Effective date:20190630 Ref country code:BE Free format text:LAPSE BECAUSE OF NON-PAYMENT OF DUE FEES Effective date:20190630 Ref country code:LI Free format text:LAPSE BECAUSE OF NON-PAYMENT OF DUE FEES Effective date:20190630 | |
| PG25 | Lapsed in a contracting state [announced via postgrant information from national office to epo] | Ref country code:CY Free format text:LAPSE BECAUSE OF FAILURE TO SUBMIT A TRANSLATION OF THE DESCRIPTION OR TO PAY THE FEE WITHIN THE PRESCRIBED TIME-LIMIT Effective date:20190227 | |
| PG25 | Lapsed in a contracting state [announced via postgrant information from national office to epo] | Ref country code:HU Free format text:LAPSE BECAUSE OF FAILURE TO SUBMIT A TRANSLATION OF THE DESCRIPTION OR TO PAY THE FEE WITHIN THE PRESCRIBED TIME-LIMIT; INVALID AB INITIO Effective date:20160609 Ref country code:MT Free format text:LAPSE BECAUSE OF FAILURE TO SUBMIT A TRANSLATION OF THE DESCRIPTION OR TO PAY THE FEE WITHIN THE PRESCRIBED TIME-LIMIT Effective date:20190227 | |
| REG | Reference to a national code | Ref country code:DE Ref legal event code:R082 Ref document number:602016010253 Country of ref document:DE Representative=s name:PAGE, WHITE & FARRER GERMANY LLP, DE | |
| PG25 | Lapsed in a contracting state [announced via postgrant information from national office to epo] | Ref country code:MK Free format text:LAPSE BECAUSE OF FAILURE TO SUBMIT A TRANSLATION OF THE DESCRIPTION OR TO PAY THE FEE WITHIN THE PRESCRIBED TIME-LIMIT Effective date:20190227 | |
| P01 | Opt-out of the competence of the unified patent court (upc) registered | Effective date:20230527 | |
| REG | Reference to a national code | Ref country code:GB Ref legal event code:732E Free format text:REGISTERED BETWEEN 20231019 AND 20231025 | |
| REG | Reference to a national code | Ref country code:DE Ref legal event code:R081 Ref document number:602016010253 Country of ref document:DE Owner name:UNIVERSITE DE RENNES, FR Free format text:FORMER OWNERS: INSTITUT NATIONAL DE LA SANTE ET DE LA RECHERCHE MEDICALE (INSERM), PARIS, FR; SORIN CRM SAS, CLAMART, FR; UNIVERSITE DE RENNES 1, RENNES, FR Ref country code:DE Ref legal event code:R081 Ref document number:602016010253 Country of ref document:DE Owner name:SORIN CRM SAS, FR Free format text:FORMER OWNERS: INSTITUT NATIONAL DE LA SANTE ET DE LA RECHERCHE MEDICALE (INSERM), PARIS, FR; SORIN CRM SAS, CLAMART, FR; UNIVERSITE DE RENNES 1, RENNES, FR Ref country code:DE Ref legal event code:R081 Ref document number:602016010253 Country of ref document:DE Owner name:INSTITUT NATIONAL DE LA SANTE ET DE LA RECHERC, FR Free format text:FORMER OWNERS: INSTITUT NATIONAL DE LA SANTE ET DE LA RECHERCHE MEDICALE (INSERM), PARIS, FR; SORIN CRM SAS, CLAMART, FR; UNIVERSITE DE RENNES 1, RENNES, FR | |
| PGFP | Annual fee paid to national office [announced via postgrant information from national office to epo] | Ref country code:IT Payment date:20240607 Year of fee payment:9 | |
| PGFP | Annual fee paid to national office [announced via postgrant information from national office to epo] | Ref country code:DE Payment date:20250617 Year of fee payment:10 | |
| PGFP | Annual fee paid to national office [announced via postgrant information from national office to epo] | Ref country code:GB Payment date:20250625 Year of fee payment:10 | |
| PGFP | Annual fee paid to national office [announced via postgrant information from national office to epo] | Ref country code:FR Payment date:20250630 Year of fee payment:10 |