Movatterモバイル変換


[0]ホーム

URL:


EP3075737A1 - Benzimidazolo[1,2-a]benzimidazole carrying aryl- or heteroarylnitril groups for organic light emitting diodes - Google Patents

Benzimidazolo[1,2-a]benzimidazole carrying aryl- or heteroarylnitril groups for organic light emitting diodes
Download PDF

Info

Publication number
EP3075737A1
EP3075737A1EP15161950.9AEP15161950AEP3075737A1EP 3075737 A1EP3075737 A1EP 3075737A1EP 15161950 AEP15161950 AEP 15161950AEP 3075737 A1EP3075737 A1EP 3075737A1
Authority
EP
European Patent Office
Prior art keywords
group
alkyl
substituted
aryl
compound
Prior art date
Legal status (The legal status is an assumption and is not a legal conclusion. Google has not performed a legal analysis and makes no representation as to the accuracy of the status listed.)
Granted
Application number
EP15161950.9A
Other languages
German (de)
French (fr)
Other versions
EP3075737B1 (en
Inventor
Thomas Raimann
Thomas Schäfer
Masatoshi Saito
Heinz Wolleb
Flavio Luiz Benedito
Yuichi Nishimae
Yuki Nakano
Hideaki Nagashima
Current Assignee (The listed assignees may be inaccurate. Google has not performed a legal analysis and makes no representation or warranty as to the accuracy of the list.)
Idemitsu Kosan Co Ltd
Original Assignee
Idemitsu Kosan Co Ltd
Priority date (The priority date is an assumption and is not a legal conclusion. Google has not performed a legal analysis and makes no representation as to the accuracy of the date listed.)
Filing date
Publication date
Application filed by Idemitsu Kosan Co LtdfiledCriticalIdemitsu Kosan Co Ltd
Priority to EP15161950.9ApriorityCriticalpatent/EP3075737B1/en
Priority to US15/563,072prioritypatent/US10689385B2/en
Priority to PCT/IB2016/051831prioritypatent/WO2016157113A1/en
Publication of EP3075737A1publicationCriticalpatent/EP3075737A1/en
Application grantedgrantedCritical
Publication of EP3075737B1publicationCriticalpatent/EP3075737B1/en
Activelegal-statusCriticalCurrent
Anticipated expirationlegal-statusCritical

Links

Classifications

Definitions

Landscapes

Abstract

Novel benzimidazolo[1,2-a]benzimidazoles carrying aryl- or heteroarylnitril groups, an electronic device, comprising said novel benzimidazolo[1,2-a]benzimidazoles carrying aryl- or heteroarylnitril groups, which is preferably an electroluminescent device, a charge transport layer, a charge/exciton blocker layer, or an emitting layer comprising said novel benzimidazolo[1,2-a]benzimidazoles carrying aryl- or heteroarylnitril groups, an apparatus selected from the group consisting of stationary visual display units; mobile visual display units; illumination units; keyboards; items of clothing; furniture; wallpaper, comprising said organic electronic device, or said charge transport layer, said charge/exciton blocker layer, or said emitting layer.

Description

  • The present invention relates to compounds of formula I and their use in electronic devices, especially electroluminescent devices. When used as charge transport material, charge blocker material and/or host material in electroluminescent devices, the compounds of formula I may provide improved efficiency, stability, manufacturability, or spectral characteristics of electroluminescent devices and reduced driving voltage of electroluminescent devices. Also, said compounds of formula I show low singlet triplet splitting, which makes them useful as TADF (Thermally Activated Delayed Fluorescence, Adv. Mater. 2014, 26, 7931-7958) emitter or TADF host materials in combination with fluorescent emitters.
  • Khan, Misbahul Ain; Ribeiro, Vera Lucia Teixeira, Pakistan Journal of Scientific and Industrial Research 43 (2000) 168-170 describes the synthesis of benzimidazo[1,2-a]benzimadozoles
    Figure imgb0001
    (R = H, Me, Et) by trialkyl phosphite-induced deoxygenation and thermolysis of 1-(o-nitrophenyl)- and 1-(o-azidophenyl)benzimidazoles.
  • Pedro Molina et al. Tetrahedron (1994) 10029-10036 reports that aza Wittig-type reaction of bis(iminophosphoranes), derived from bis(2-aminophenyl)amine with two equivalents of isocyanate directly provided benzimidazo[1,2,a]benzimidazole derivatives.
    Figure imgb0002
    (R = R' =
    Figure imgb0003
    Figure imgb0004
    R=
    Figure imgb0005
    and R' =
    Figure imgb0006
    R = iso-propyl and R' = ethyl)
  • Kolesnikova, I. V.; Zhurnal Organicheskoi Khimii 25 (1989) 1689-95 describes the synthesis of 5H-benzimidazo[1,2-a]benzimidazole 1,2,3,4,7,8,9,10-octafluoro-5-(2,3,4,5,6-pentafluorophenyl).
    Figure imgb0007
  • Achour, Reddouane; Zniber, Rachid, Bulletin des Societes Chimiques Belges 96 (1987) 787-92 describes the synthesis of benzimidazobenzimidazoles
    Figure imgb0008
    (R = H, - CH(CH3)2) which were prepared from benzimidazolinone derivatives.
  • Hubert, Andre J.; Reimlinger, Hans, Chemische Berichte 103 (1970) 2828-35 describes the synthesis of benzimidazobenzimidazoles
    Figure imgb0009
    (R = H, CH3,
    Figure imgb0010
    ).
  • X. Wang et al. Org. Lett. 2012, 14, 452-455 discloses a highly efficient copper-catalyzed synthesis for compounds of formula
    Figure imgb0011
    wherein compounds of formula
    Figure imgb0012
    are reacted in the presence of copper acetate (Cu(OAc)2)/PPh3/1,10-phenathroline/sodium acetate and oxygen in m-xylene (1 atm) at elevated temperature. Among others the following compounds can be prepared by the described synthesis method:
    Figure imgb0013
    (R =
    Figure imgb0014
    Figure imgb0015
    ).
  • InEur. J. Org. Chem. 2014, 5986-5997 a new synthesis of benzimidazolo[1,2-a]benzimidazole is described.
    Figure imgb0016
  • InRSC Advances 2014, 4, 21904-21908 a new synthesis of benzimidazolo[1,2-a]benzimidazole is described.
    Figure imgb0017
    It is mentioned - as a general statement - that these polycyclic molecules have - besides other applications - also attracted great interest in the field of electroluminescent devices.
  • WO2011/160757 relates to an electronic device comprising an anode, cathode and at least one organic layer which contains a compound of formulae
    Figure imgb0018
    Figure imgb0019
    wherein X may be a single bond and L may be a divalent group. The following 4H-Imidazo[1,2-a]imidazole compounds are explicitly disclosed:
    Figure imgb0020
    Figure imgb0021
    and
    Figure imgb0022
  • WO2012/130709 relates to 4H-Imidazo[1,2-a]imidazoles,
    Figure imgb0023
    such as , for example,
    Figure imgb0024
    a process for their production and their use in electronic devices, especially electroluminescent devices.
  • WO2013/068376 describes 4H-imidazo[1,2-a]imidazoles of formula
    Figure imgb0025
    where-in X6 is -N= and X7 is -NR6-, or X7 is =N- and X6 is -NR6-, R6 is a group of formula
    Figure imgb0026
    such as, for example,
    Figure imgb0027
    a process for their production and their use in electronic devices, especially electroluminescent devices.
  • WO2014/009317 relates to compounds of formula
    Figure imgb0028
    especially compounds of formula
    Figure imgb0029
    such as, for example,
    Figure imgb0030
    and
    Figure imgb0031
    a process for their production and their use in electronic devices, especially electroluminescent devices. The 2,5-disubstituted benzimidazo[1,2-a]benzimidazole derivatives are suitable hole transporting materials, or host materials for phosphorescent emitters.
  • WO2014/044722 relates to compounds of formula
    Figure imgb0032
    which are characterized in that they substituted by benzimidazo[1,2-a]benzimidazo-5-yl and/or benzimidazo[1,2-a]benzimidazo-2,5-ylene groups and in that at least one of the substituents B1, B2, B3, B4, B5, B6, B7 and B8 represents N, a process for their production and their use in electronic devices, especially electroluminescent devices.
  • European patent application no.13191100.0 relates to compounds of formula
    Figure imgb0033
    which are characterized in that they are substituted by benzimidazo[1,2-a]benzimidazo-5-yl and/or benzimidazo[1,2-a]benzimidazo-2,5-ylene groups and in that at least one of the substituents B1, B2, B3, B4, B5, B6, B7 and B8 represents N; a process for their production and their use in electronic devices, especially electroluminescent devices.
  • European patent application no.14162667.1 relates to compounds of the formula
    Figure imgb0034
    especially
    Figure imgb0035
    wherein X1 is H, a group of formula
    Figure imgb0036
    X2 and X3 are independently of each other H, or a group of formula
    Figure imgb0037
    or
    Figure imgb0038
    wherein at least one of X1, X2 and X3 is a group of formula
    Figure imgb0039
    or comprises a group of formula
    Figure imgb0040
    Benzimidazo[1,2-a]benzimidazo-5-yl and benzimidazo[1,2-a]benzimidazo-2-ylsubstituted benzimidazolo[2,1-b][1,3]benzothiazole derivatives are described inPCT/EP2014/066174. Azabenzimidazo[2,1-a]benzimidazoles for electronic applications are described in European patent application no.14183598.3.
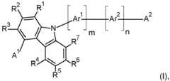
  • European patent application no.EP14197947.9 describes carbazol compounds carrying benzimidazolo[1,2-a]benzimidazole groups of the following structure.
    Figure imgb0041
    wherein
    • m is 1, or 2, n is 0, 1, or 2,
    • Ar1 and Ar2 are independently of each other a C6-C24aryl group, which can optionally be substituted by G, a C12-C30heteroaryl group, which can optionally be substituted by G,
    • A1 is a group of formula
      Figure imgb0042
  • European patent application no.EP14193401.8 describes nitril-indolo compounds carrying benzimidazolo[1,2-a]benzimidazole groups. The following compound is described:
    Figure imgb0043
  • European patent application no.EP14197952.6 describes dibenzofurane compounds carrying benzimidazolo[1,2-a]benzimidazole groups of the following structure.
    Figure imgb0044
    wherein
    • X is O or S;
    • Y is a group of formula -[Ar1]a-[Ar2]b-[Ar3]c-A1;
    • A1 is a group of formula
      Figure imgb0045
  • The following group is described.
    Figure imgb0046
  • WO2013/154064 A1 discloses an organic light emitting element, which has a comopound of the following formula in the light emitting layer:
    Figure imgb0047
    wherein at least one of R1 to R5 represents a cyano group, at least one of R1 to R5 represents a 9-carbazolyl group, a 1,2,3,4-terahydro-9-carbazolyl group, a 1-indolyl group or a diarylamino group, and the rest of R1 to R5 represent a hydrogen atom or a substituent.
  • EP 2 039 737 A2 concerns an organic electroluminescence device comprising a compound of formula (I)
    Figure imgb0048
    wherein a represents an aromatic ring which may have a substituent, m represents an integer of 2 or greater, and n represents an integer of 1 or greater.
  • NeitherWO2013/154064 A1 norEP 2 039 737 A2 disclose compounds comprising benzimidazolo[1,2-a]benzimidazole groups.
  • Notwithstanding these developments, there remains a need for organic light emitting devices comprising new materials, especially host ( = matrix) materials, charge transport materials and/or charge/exciton blocker materials to provide improved efficiency, stability, manufacturability, driving voltage and/or spectral characteristics of electroluminescent devices. Further, there is a need for materials showing low singlet triplet splitting, which makes them useful as TADF (Thermally Activated Delayed Fluorescence, Adv. Mater. 2014, 26, 7931-7958) emitter or TADF host materials in combination with fluorescent emitters.
  • Accordingly, it is an object of the present invention, with respect to the aforementioned prior art, to provide further materials suitable for use in OLEDs and further applications in organic electronics. More particularly, it should be possible to provide charge transport materials, charge/exciton blocker materials and host (= matrix) materials for use in OLEDs. The materials should be suitable especially for OLEDs which comprise at least one emitter, which is preferably a phosphorescence emitter, especially at least one green emitter or at least one blue emitter. It should further be possible to provide materials showing low singlet triplet splitting, which makes them useful as TADF (Thermally Activated Delayed Fluorescence, Adv. Mater. 2014, 26, 7931-7958) emitter or TADF host materials in combination with fluorescent emitters.
    Furthermore, the materials should be suitable for providing OLEDs which ensure good efficiencies, good operative lifetimes and a high stability to thermal stress, and a low use and operating voltage of the OLEDs.
  • Said object is solved by compounds of formula (I),
    Figure imgb0049
    wherein
    • X3 is a single bond or linking group of formula --(A1)o'-(A2)p'-(A3)q'-(A4)r'-,
    • A1, A2, A3, A4 are in each occurrence independently of each other C6-C24 arylene group which is unsubstituted or substituted by at least one group G, C2-C30 hetreoarylene group which is unsubstituted or substituted by at least one group G, and
    • o' is 0 or 1, p' is 0 or 1, q' is 0 or 1, r' is 0 or 1, preferably o' is 0 or 1 and p' is 0 or 1, and q' and r' are 0,
    • X4 is a single bond or
      Figure imgb0050
      preferably
      Figure imgb0051
      preferably,
      Figure imgb0052
      preferably, X4 is a single bond or
      Figure imgb0053
      preferably,
      Figure imgb0054
    • X2 is O, S or NR65, preferably X2 is O, S, more preferably X2 is O;
    • X5 is O, S or NR65, preferably X5 is O, S, more preferably X5 is O;
    • a is 0, 1, 2, 3 or 4,
    • b is 0, 1, 2, 3 or 4,
    • preferably, the sum of a + b is 1, 2 or 3, more preferably, 1 or 2, i.e. more preferably, a is 1 or 2 and b is 0, a is 1 and b is 1, or a is 0 and b is 1 or 2,
    • a' and a" are independently of each other 0, 1, 2 or 3,
    • b' and b" are independently of each other 0, 1, 2 or 3,
    • preferably, the sum of a" + b" is 0, 1 or 2, more preferably 0 or 1;
    • preferably, the sum of a' + b' is 0, 1 or 2, more preferably 0 or 1;
    • X1, X1' and X1" are independently of each other a group of formula --(A1)o-(A2)p-(A3)q-(A4)r-R10, in each occurrence o is 0 or 1, p is 0 or 1, q is 0 or 1, r is 0 or 1, preferably o is 0 or 1 and p is 0 or 1 and q and r are 0;
    • R10 is H,
      Figure imgb0055
      Figure imgb0056
      Figure imgb0057
      or
      Figure imgb0058
    • R1, R2 ,R3 ,R4 , R5, R6, R7, R8, R9, Ra and Rb are in each occurrence independently H, C6-C24 aryl group which is unsubstituted or substituted by at least one group G, C2-C30 heteroaryl group which is unsubstituted or substituted by at least one group G, a C1-C25alkyl group, which is unsubstituted or substituted by at least one group E and/or interrupted by D, C6-C24 aryloxy group which is unsubstituted or substituted by at least one group G, or -SiR70R71R72; or two groups R1 and R2 or R2 and R3 or R3 and R4 of formulaIV can form together the following ring system
      Figure imgb0059
      • wherein t is 1 to 5;
      • D is -CO-, -COO-, -S-, -SO-, -SO2-, -O-,-CR63=CR64-, -NR65-, -SiR70R71-, -POR72-, or -C≡C-, E is -OR69, -SR69, -NR65R66, -COR68, -COOR67, -CONR65R66, -CN, -SIR70R71R72, halogen, an unsubstituted C6-C24aryl group, a C6-C24aryl group, which is substituted by F, C1-C18alkyl, C1-C18alkyl which is interrupted by O, an unsubstituted C2-C3oheteroaryl group, or a C2-C30heteroaryl group, which is substituted by F, C1-C18alkyl, C1-C18alkyl which is interrupted by O; G is E, or a C1-C18alkyl group, or C1-C18alkyl which is interrupted by O,
      • R63 and R64 are independently of each other C6-C18aryl; C6-C18aryl which is substituted by C1-C18alkyl, C1-C18alkoxy; C1-C18alkyl; or C1-C18alkyl which is interrupted by -O-;
      • R65 and R66 are independently of each other a C6-C18aryl group; a C6-C18aryl which is substituted by C1-C18alkyl, or C1-C18alkoxy; a C1-C18alkyl group; or a C1-C18alkyl group, which is interrupted by -O-; or
      • R65 and R66 together form a five or six membered ring,
      • R67 is a C6-C18aryl group; a C6-C18aryl group, which is substituted by C1-C18alkyl, or C1-C18alkoxy; a C1-C18alkyl group; or a C1-C18alkyl group, which is interrupted by -O-,
      • R68 is H; a C6-C18aryl group; a C6-C18aryl group, which is substituted by C1-C18alkyl, or C1-C18alkoxy; a C1-C18alkyl group; or a C1-C18alkyl group, which is interrupted by -O-,
      • R69 is a C6-C18aryl; a C6-C18aryl, which is substituted by C1-C18alkyl, or C1-C18alkoxy; a C1-C18alkyl group; or a C1-C18alkyl group, which is interrupted by -O-,
      • R70 and R71 are independently of each other a C1-C18alkyl group, a C6-C18aryl group, or a C6-C18aryl group, which is substituted by C1-C18alkyl, and
      • R72 is a C1-C18alkyl group, a C6-C18aryl group, or a C6-C18aryl group, which is substituted by C1-C18alkyl,
      • wherein the following compound is excluded:
        Figure imgb0060
  • The combination of the Benzimidazolo[1,2-a]benzimidazol group having donor action with the nitril group having acceptor action gives rise to materials that are highly suitable in devices that emit green, or blue light. Moreover, the improved ambipolar characteristics give rise to more balanced charge transport in devices resulting in lower voltages and higher external quantum efficiencies (EQE's).
  • One key finding of the inventors of the present invention is the relevance of the position of the nitrile group, which is not directly substituted at the benzimidazolo[1,2-a]benzimidazole skeleton, but substituted at the aromatic or heteroaromatic residue X4. Therefore, the compounds of the present invention are characterized by a high acceptor strength, efficient bipolar characteristics and a good suitability as TADF hosts or emitters.
  • The compounds of the present invention may be used for electrophotographic photoreceptors, photoelectric converters, organic solar cells (organic photovoltaics), switching elements, such as organic transistors, for example, organic FETs and organic TFTs, organic light emitting field effect transistors (OLEFETs), image sensors, dye lasers and electroluminescent devices, such as, for example, organic light-emitting diodes (OLEDs).
  • Accordingly, a further subject of the present invention is directed to an electronic device, comprising a compound according to the present invention. The electronic device is preferably an electroluminescent device, such as an organic light-emitting diode (OLED).
  • The compounds of formula I can in principal be used in any layer of an EL device, but are preferably used as host, charge transport and/or charge/exciton blocking material. Particularly, the compounds of formula I are used as host material for green, especially blue light emitting phosphorescent emitters. Additionally, the compounds of formula I are used as TADF emitter or TADF host materials in combination with at least one fluorescent emitter, especially in OLEDs emitting in the blue and green region of the electromagnetic spectrum.
  • Hence, a further subject of the present invention is directed to a charge transport layer, comprising a compound of formula I according to the present invention.
  • A further subject of the present invention is directed to an emitting layer, comprising a compound of formula I according to the present invention. In said embodiment a compound of formula I is preferably used as host material, more preferably in combination with a phosphorescent emitter.
  • A further subject of the present invention is directed to a charge/exciton blocking layer, comprising a compound of formula I according to the present invention.
  • A further subject of the present invention is directed to an OLED comprising at least one compound of formula I as TADF emitter or TADF host material in combination with at least one fluorescent emitter.
  • The terms halogen, alkyl, alkoxy, cycloalkyl, aryl, aryloxy, aralkyl, heteroaryl, arylene, heteroarylene generally have the following meaning, if said groups are not further specified in specific embodiments mentioned below:
    • Halogen is fluorine, chlorine, bromine and iodine.
  • C1-C25alkyl (C1-C18alkyl) is typically linear or branched, where possible. Examples are methyl, ethyl, n-propyl, isopropyl, n-butyl, sec.-butyl, isobutyl, tert.-butyl, n-pentyl, 2-pentyl, 3-pentyl, 2,2-dimethylpropyl, 1,1,3,3-tetramethylpentyl, n-hexyl, 1-methylhexyl, 1,1,3,3,5,5-hexamethylhexyl, n-heptyl, isoheptyl, 1,1,3,3-tetramethylbutyl, 1-methylheptyl, 3-methylheptyl, n-octyl, 1,1,3,3-tetramethylbutyl and 2-ethylhexyl, n-nonyl, decyl, undecyl, dodecyl, tridecyl, tetradecyl, pentadecyl, hexadecyl, heptadecyl, or octadecyl. C1-C8alkyl is typically methyl, ethyl, n-propyl, isopropyl, n-butyl, sec.-butyl, isobutyl, tert.-butyl, n-pentyl, 2-pentyl, 3-pentyl, 2,2-dimethyl-propyl, n-hexyl, n-heptyl, n-octyl, 1,1,3,3-tetramethylbutyl and 2-ethylhexyl. C1-C4alkyl is typically methyl, ethyl, n-propyl, isopropyl, n-butyl, sec.-butyl, isobutyl, tert.-butyl.
  • C1-C25alkoxy groups (C1-C18alkoxy groups) are straight-chain or branched alkoxy groups, e.g. methoxy, ethoxy, n-propoxy, isopropoxy, n-butoxy, sec-butoxy, tert-butoxy, amyloxy, isoamyloxy or tert-amyloxy, heptyloxy, octyloxy, isooctyloxy, nonyloxy, decyloxy, undecyloxy, dodecyloxy, tetradecyloxy, pentadecyloxy, hexadecyloxy, heptadecyloxy and octadecyloxy. Examples of C1-C8alkoxy are methoxy, ethoxy, n-propoxy, isopropoxy, n-butoxy, sec.-butoxy, isobutoxy, tert.-butoxy, n-pentyloxy, 2-pentyloxy, 3-pentyloxy, 2,2-dimethylpropoxy, n-hexyloxy, n-heptyloxy, n-octyloxy, 1,1,3,3-tetramethylbutoxy and 2-ethylhexyloxy, preferably C1-C4alkoxy such as typically methoxy, ethoxy, n-propoxy, isopropoxy, n-butoxy, sec.-butoxy, isobutoxy, tert.-butoxy.
  • The term "cycloalkyl group" is typically C5-C12cycloalkyl, such as cyclopentyl, cyclohexyl, cycloheptyl, cyclooctyl, cyclononyl, cyclodecyl, cycloundecyl, cyclododecyl, preferably cyclopentyl, cyclohexyl, cycloheptyl, or cyclooctyl, which may be unsubstituted or substituted.
  • C6-C24aryl (preferably C6-C18aryl), which optionally can be substituted, is typically phenyl, 4-methylphenyl, 4-methoxyphenyl, naphthyl, especially 1-naphthyl, or 2-naphthyl, biphenylyl, terphenylyl, pyrenyl, 2- or 9-fluorenyl, phenanthryl, or anthryl, which may be unsubstituted or substituted. Phenyl, 1-naphthyl and 2-naphthyl are examples of a C6-C10aryl group.
  • C6-C24aryloxy, which optionally can be substituted, is typically C6-C10aryloxy, which optionally can be substituted by one, or more C1-C8alkyl and/or C1-C8alkoxy groups, such as, for example, phenoxy, 1-naphthoxy, or 2-naphthoxy.
  • C7-C25aralkyl is typically benzyl, 2-benzyl-2-propyl, β-phenyl-ethyl, α,α-dimethylbenzyl, ω-phenyl-butyl, ω,ω-dimethyl-ω-phenyl-butyl, ω-phenyl-dodecyl, ω-phenyl-octadecyl, ω-phenyleicosyl or ω-phenyl-docosyl, preferably C7-C18aralkyl such as benzyl, 2-benzyl-2-propyl, β-phenyl-ethyl, α,α-dimethylbenzyl, ω-phenyl-butyl, ω,ω-dimethyl-ω-phenyl-butyl, ω-phenyl-dodecyl or ω-phenyl-octadecyl, and particularly preferred C7-C12aralkyl such as benzyl, 2-benzyl-2-propyl, β-phenyl-ethyl, α,α-dimethylbenzyl, ω-phenyl-butyl, or ω,ω-dimethyl-ω-phenyl-butyl, in which both the aliphatic hydrocarbon group and aromatic hydrocarbon group may be unsubstituted or substituted. Preferred examples are benzyl, 2-phenylethyl, 3-phenylpropyl, naphthylethyl, naphthylmethyl, and cumyl.
  • C2-C3oheteroaryl (preferably C2-C13 heteroarylaryl) represents a ring with five to seven ring atoms or a condensed ring system, wherein nitrogen, oxygen or sulfur are the possible hetero atoms, and is typically a heterocyclic group with five to 30 atoms having at least six conjugated π-electrons such as thienyl, benzothiophenyl, dibenzothiophenyl, thianthrenyl, furyl, furfuryl, 2H-pyranyl, benzofuranyl, isobenzofuranyl, dibenzofuranyl, phenoxythienyl, pyrrolyl, imidazolyl, pyrazolyl, pyridyl, bipyridyl, triazinyl, pyrimidinyl, pyrazinyl, pyridazinyl, indolizinyl, isoindolyl, indolyl, indazolyl, purinyl, quinolizinyl, chinolyl, isochinolyl, phthalazinyl, naphthyridinyl, chinoxalinyl, chinazolinyl, cinnolinyl, pteridinyl, carbazolyl, carbolinyl, benzotriazolyl, benzoxazolyl, phenanthridinyl, acridinyl, pyrimidinyl, phenanthrolinyl, phenazinyl, isothiazolyl, phenothiazinyl, isoxazolyl, furazanyl, 4-imidazo[1,2-a]benzimidazoyl, 5-benzimidazo[1,2-a]benzimidazoyl, benzimidazolo[2,1-b][1,3]benzothiazolyl, carbazolyl, or phenoxazinyl, which can be unsubstituted or substituted. Benzimidazo[1,2-a]benzimidazo-5-yl, benzimidazo[1,2-a]benzimidazo-2-yl, carbazolyl and dibenzofuranyl are examples of a C2-C14heteroaryl group.
  • A C2-C13heteroaryl group is for example, benzimidazo[1,2-a]benzimidazo-5-yl (
    Figure imgb0061
    ), benzimidazo[1,2-a]benzimidazo-2-yl (
    Figure imgb0062
    ), benzimidazolo[2,1-b][1,3]benzothiazolyl, benzimidazolo[2,1-b][1,3]benzoxazole, carbazolyl, dibenzofuranyl, or dibenzotihophenyl, which can be unsubstituted or substituted, especially by C6-C10aryl, or C6-C10aryl, which is substituted by C1-C4alkyl; or C2-C13heteroaryl.
  • C2-C3oheteroaryl (preferably C2-C13 heteroarylaryl) means that the heteroaryl residue comprises at least 2 carbon atoms and at most 30 carbon atoms in the base skeleton (without substituents). The further atoms in the heteroaryl base skeleton are heteroatoms (N, O and/or S).
  • R24' is in each case independently C1-C18alkyl, such as methyl, ethyl, n-propyl, iso-propyl, n-butyl, isobutyl, sec-butyl, hexyl, octyl, or 2-ethyl-hexyl, or C6-C14aryl, such as phenyl, tolyl, naphthyl, phenanthronyl, triphenylenyl, fluoranthenyl or biphenylyl.
  • C6-C24arylene groups, which optionally can be substituted by G, are typically phenylene, 4-methylphenylene, 4-methoxyphenylene, naphthylene, especially 1-naphthylene, or 2-naphthylene, biphenylylene, terphenylylene, pyrenylene, 2- or 9-fluorenylene, phenanthrylene, or anthrylene, which may be unsubstituted or substituted. Preferred C6-C24arylen groups are 1,3-phenylene, 3,3'-biphenylylene, 3,3'-m-terphenylene, 2- or 9-fluorenylene, phenanthrylene, which may be unsubstituted or substituted.
  • C2-C30heteroarylene groups, which optionally can be substituted by G, represent a ring with five to seven ring atoms or a condensed ring system, wherein nitrogen, oxygen or sulfur are the possible hetero atoms, and is typically a heterocyclic group with five to 30 atoms having at least six conjugated -electrons such as thienylene, benzothiophenylene, dibenzothiophenylene, thianthrenylene, furylene, furfurylene, 2H-pyranylene, benzofuranylene, isobenzofuranylene, dibenzofuranylene, phenoxythienylene, pyrrolylene, imidazolylene, pyrazolylene, pyridylene, bipyridylene, triazinylene, pyrimidinylene, pyrazinylene, pyridazinylene, indolizinylene, isoindolylene, indolylene, indazolylene, purinylene, quinolizinylene, chinolylene, isochinolylene, phthalazinylene, naphthyridinylene, chinoxalinylene, chinazolinylene, cinnolinylene, pteridinylene, carbolinylene, benzotriazolylene, benzoxazolylene, phenanthridinylene, acridinylene, pyrimidinylene, phenanthrolinylene, phenazinylene, isothiazolylene, phenothiazinylene, isoxazolylene, furazanylene, carbazolylene, benzimidazo[1,2-a]benzimidazo-2,5-ylene, or phenoxazinylene, which can be unsubstituted or substituted. Preferred C2-C30heteroarylen groups are pyridylene, triazinylene, pyrimidinylene, carbazolylene, dibenzofuranylene and benzimidazo[1,2-a]benzimidazo-2,5-ylene (
    Figure imgb0063
    ), which can be unsubstituted or substituted, especially by C6-C10aryl, C6-C10aryl which is substituted by C1-C4alkyl; or C2-C14heteroaryl.
  • Possible preferred substituents of the above-mentioned groups are C1-C8alkyl, a hydroxyl group, a mercapto group, C1-C8alkoxy, C1-C8alkylthio, halogen, halo-C1-C8alkyl, or a cyano group.
  • The C6-C24aryl (C6-C18aryl) and C2-C3oheteroaryl groups are preferably substituted by one, or more C1-C8alkyl groups.
  • If a substituent occurs more than one time in a group, it can be different in each occurrence.
  • Halo-C1-C8alkyl is an alkyl group where at least one of the hydrogen atoms is replaced by a halogen atom. Examples are -CF3, -CF2CF3, -CF2CF2CF3, -CF(CF3)2, -(CF2)3CF3, and -C(CF3)3.
  • The wording "substituted by G" means that one, or more, especially one to three substituents G might be present.
  • As described above, the aforementioned groups may be substituted by E and/or, if desired, interrupted by D. Interruptions are of course possible only in the case of groups containing at least 2 carbon atoms connected to one another by single bonds; C6-C18aryl is not interrupted; interrupted arylalkyl contains the unit D in the alkyl moiety. C1-C18alkyl substituted by one or more E and/or interrupted by one or more units D is, for example, (CH2CH2O)1-9-Rx, where Rx is H or C1-C10alkyl or C2-C10alkanoyl (e.g. CO-CH(C2H5)C4H9), CH2-CH(ORy')-CH2-O-Ry, where Ry is C1-C18alkyl, C5-C12cycloalkyl, phenyl, C7-C15phenylalkyl, and Ry' embraces the same definitions as Ry or is H;
    C1-C8alkylene-COO-Rz, e.g. CH2COORz, CH(CH3)COORz, C(CH3)2COORz, where Rz is H, C1-C18alkyl, (CH2CH2O)1-9-Rx, and Rx embraces the definitions indicated above; CH2CH2-O-CO-CH=CH2; CH2CH(OH)CH2-O-CO-C(CH3)=CH2.
    An alkyl group substituted by E is, for example, an alkyl group where at least one of the hydrogen atoms is replaced by F. Examples are -CF3, -CF2CF3, -CF2CF2CF3, -CF(CF3)2, -(CF2)3CF3, and -C(CF3)3.
  • D is preferably -CO-, -COO-, -S-, -SO-, -SO2-, -O-, -NR65-, wherein R65 is C1-C18alkyl, such as methyl, ethyl, n-propyl, iso-propyl, n-butyl, isobutyl, or sec-butyl, or C6-C14aryl, such as phenyl, tolyl, naphthyl, or biphenylyl, or C2-C30heteroaryl, such as, for example, benzimidazo[1,2-a]benzimidazo-2-yl (
    Figure imgb0064
    ), carbazolyl, dibenzofuranyl, which can be unsubstituted or substituted especially by C6-C10aryl, or C6-C10aryl, which is substituted by C1-C4alkyl; or C2-C13heteroaryl.
  • E is -OR69, -SR69, -NR65R66, -COR68, -COOR67, -CONR65R66, -CN, -SiR70R71R72 E is preferably -OR69; -SR69; -NR65R66; -COR68; -COOR67; -CON65R66; or -CN; wherein R65, R66, R67, R68 and R69 are independently of each other C1-C18alkyl, such as methyl, ethyl, n-propyl, iso-propyl, n-butyl, isobutyl, sec-butyl, hexyl, octyl, or 2-ethyl-hexyl, or C6-C14aryl, such as phenyl, tolyl, naphthyl, or biphenylyl.
  • G is preferably - OR69, -SR69, -NR65R66; a C1-C18alkyl group, a C6-C14aryl group, a C6-C14aryl group, which is substituted by F, or C1-C18alkyl; a C2-C13heteroaryl group, or a C2-C13heteroaryl group, which is substituted by F, or C1-C18alkyl; wherein R65, R66 and R69 are independently of each other C1-C18alkyl, such as methyl, ethyl, n-propyl, iso-propyl, n-butyl, isobutyl, sec-butyl, hexyl, octyl, or 2-ethyl-hexyl, or C6-C14aryl, such as phenyl, tolyl, naphthyl, or biphenylyl.
  • Preferably, a, b, a', b', a" and b" have the following meanings:
    • a is 0, 1, 2 or 3,
    • b is 0, 1, 2 or 3,
    • and the sum of a + b is 1, 2 or 3, preferably, 1 or 2;
    • a' and a" are independently of each other 0, 1, 2 or 3,
    • b' and b" are independently of each other 0, 1, 2 or 3,
    • preferably, the sum of a' + b' is 0, 1 or 2, more preferably 0 or 1,
    • preferably, the sum of a" + b" is 0, 1 or 2, more preferably 0 or 1.
  • In one preferred embodiment, especially in the case that the compounds of formula I are used TADF emitters or TADF host materials in combination with fluorescent emitters, a, a' or a" are preferably 0 or 1, more preferably 0.
    X4 is preferably a single bond or
    Figure imgb0065
    preferably,
    Figure imgb0066
    more preferably a single bond or
    Figure imgb0067
    X2 is O, S or NR65, preferably X2 is O, S, more preferably X2 is O;
    X5 is O, S or NR65, preferably X5 is O, S, more preferably X5 is O.
  • X3 is preferably a single bond or a group of the following formula
    Figure imgb0068
  • R1, R2 ,R3 ,R4 , R5, R6, R7, R8 and R9 are in each occurrence independently H, C6-C24 aryl group which is unsubstituted or substituted by at least one group G, C2-C30 heteroaryl group which is unsubstituted or substituted by at least one group G, a C1-C25alkyl group, which is unsubstituted or substituted by at least one group E and/or interrupted by D, C6-C24 aryloxy group which is unsubstituted or substituted by at least one group G, or -SiR70R71R72;
    preferably, R1, R2 ,R4 , R5, R6, R8 and R9 are H and R3 and R7 are in each occurrence independently H, C6-C24 aryl group which is unsubstituted or substituted by at least one group G, C2-C30 heteroaryl group which is unsubstituted or substituted by at least one group G, a C1-C25alkyl group, which is unsubstituted or substituted by at least one group E and/or interrupted by D, C6-C24 aryloxy group which is unsubstituted or substituted by at least one group G, or -SiR70R71 R72; more preferably, R1, R2 ,R4 , R5, R6, R8 and R9 are H and R3 and R7 are in each occurrence independently H or a group of the following formula:
    Figure imgb0069
    or -SiR70R71R72.
    R70 and R71 are independently of each other a C1-C18alkyl group, a C6-C18aryl group, or a C6-C18aryl group, which is substituted by C1-C18alkyl, and
    R72 is a C1-C18alkyl group, a C6-C18aryl group, or a C6-C18aryl group, which is substituted by C1-C18alkyl; preferably, R70, R71 and R72 are phenyl.
  • Preferably, o is in each occurrence 0 or 1 and p is 0 or 1 and q and r are 0, more preferably, o is 0 or 1 and p, q and r are 0.
  • A1, A2, A3, A4 are preferably in each occurrence independently of each other a group of the formula:
    Figure imgb0070
    preferably
    Figure imgb0071
    Figure imgb0072
    preferably
    Figure imgb0073
    Figure imgb0074
    wherein (C)- has the meaning that the bonding site of the group A1, A2, A3 or A4 is linked to a C-atom, and (N)- has the meaning that the bonding site of the group A1, A2, A3 or A4 is linked to a N-atom.
  • R10 is preferably H or a group of the following formula:
    Figure imgb0075
    preferably
    Figure imgb0076
    preferably
    Figure imgb0077
    Figure imgb0078
    preferably
    Figure imgb0079
    preferably
    Figure imgb0080
    preferably
    Figure imgb0081
    preferably
    Figure imgb0082
  • Specific examples of the compounds represented by the formula (I) are given below. The compounds represented by the formula (I) are not limited to the following specific examples.
  • Among the compounds of formula (I), more preferred compounds are:
    • Compounds of formula
      Figure imgb0083
      wherein R3, R7, X3 and X4 are defined above and below.
    • Compounds of formula
      Figure imgb0084
      wherein R7, X3, X1, a and b are defined above and below.
    • Compounds of formula
      Figure imgb0085
      wherein X3, X1, a and b are defined above and below.
    • Compounds of formula
      Figure imgb0086
      • wherein c and d are 0 or 1, and the sum of c + d is 1 or 2;
      • Rc and Rd are CN;
      • and x and y are 0 or 1, and the sum of x + y is 1 or 2,
      • preferably, c is 1 and d is 0 and x is 0 and y is 1.
  • Preferably, in the compounds of formula (Ia):
    • R3, R7 are independently of each other H or a group of the following formula:
      Figure imgb0087
      or -SiR70R71R72,
      R70 and R71 are independently of each other a C1-C18alkyl group, a C6-C18aryl group, or a C6-C18aryl group, which is substituted by C1-C18alkyl, and
      R72 is a C1-C18alkyl group, a C6-C18aryl group, or a C6-C18aryl group, which is substituted by C1-C18alkyl; preferably, R70, R71 and R72 are phenyl.
  • Preferably, in the compounds of formula (Ia):
    • X3 is a single bond or a group of the following formula
      Figure imgb0088
  • Preferably, in the compounds of formula (Ia):
    • X4 is a single bond or
      Figure imgb0089
  • In the compounds of formula (Ib), the residues and indices preferably have the following meaning:
    • a is 0 or 1 and is b 0 or 1, whereby the sum of a and b is at least 1;
    • X1 is preferably a group of the following formula:
      Figure imgb0090
      Figure imgb0091
    • X3 is a single bond or a group of the following formula:
      Figure imgb0092
      and
    • R7 is H or group of the following formula:
      Figure imgb0093
      or -SiR70R71R72,
    • R70 and R71 are independently of each other a C1-C18alkyl group, a C6-C18aryl group, or a C6-C18aryl group, which is substituted by C1-C18alkyl, and
    • R72 is a C1-C18alkyl group, a C6-C18aryl group, or a C6-C18aryl group, which is substituted by C1-C18alkyl; preferably, R70, R71 and R72 are phenyl.
  • More preferably, the compounds of formula (Ib) are compounds of formula (Ib')
    Figure imgb0094
    • wherein R7 is defined above and below; and
    • R21, R22, R23, R24 and R25 are CN,
      Figure imgb0095
      Figure imgb0096
      Figure imgb0097
      preferably CN,
      Figure imgb0098
      Figure imgb0099
      wherein at least one of the residues R21, R22, R23, R24 and R25 is CN, preferably 1, 2 or 3, more preferably, 1 or 2 of the residues R21, R22, R23, R24 and R25 are CN.
  • In the compounds of formula (Ic), the residues and indices preferably have the following meaning:
    • a is 0 or 1 and is b 0 or 1, whereby the sum of a and b is at least 1;
    • X1 is preferably a group of the following formula:
      Figure imgb0100
      Figure imgb0101
    • X3 is a single bond or a group of the following formula:
      Figure imgb0102
  • More preferably, the compounds of formula (Ic) have the compound of formula (Ic')
    Figure imgb0103
    wherein X3 is a single bond or a group of the following formula:
    Figure imgb0104
    preferably, X3 is
    Figure imgb0105
    and
    R21, R22, R23, R24 and R25 are CN,
    Figure imgb0106
    Figure imgb0107
    Figure imgb0108
    preferably CN,
    Figure imgb0109
    Figure imgb0110
    wherein at least one of the residues R21, R22, R23, R24 and R25 is CN, preferably 1, 2 or 3, more preferably, 1 or 2 of the residues R21, R22, R23, R24 and R25 are CN.
  • More preferably, the compounds of formula (Id) have the compound of formula (Id')
    Figure imgb0111
    wherein
    R1, R7 or R8 are H,
    Figure imgb0112
    wherein at least one of R1, R7 or R8 is
    Figure imgb0113
    and
    R2, R3 or R6 are H or CN, wherein at least one of R2, R3 or R6 is CN.
  • Preferred compounds of formulae (Ib'), (Ic') and (Id') are mentioned in the following tables:
    Figure imgb0114
    Nr.R21R22R23R24R25X3
    CNCNHHH-
    CNHCNHH-
    CNHHCNH-
    CNHHHCN-
    CNHHHH-
    HCNCNHH-
    HCNHCNH-
    HCNHHCN-
    CNCNHHHSp1
    CNHCNHHSp1
    CNHHCNHSp1
    CNHHHCNSp1
    HCNCNHHSp1
    HCNHCNHSp1
    HCNHHCNSp1
    CNAr1HHH-
    CNHAr1HH-
    CNHHAr1H-
    CNHHHAr1-
    CNAr2HHH-
    CNHAr2HH-
    CNHHAr2H-
    CNHHHAr2-
    CNAr3HHH-
    CNHAr3HH-
    CNHHAr3H-
    CNHHHAr3-
    CNAr4HHH-
    CNHAr4HH-
    CNHHAr4H-
    CNHHHAr4-
    CNHHHH-
    HCNCNHAr1-
    Ar1CNCNHH-
    HCNCNHAr3Sp1
    Ar3CNCNHHSp1
    CNAr3HHHSp1
    CNAr5HHH-
    CNHAr5HH-
    CNHHAr5H-
    CNHHHAr5-
    Figure imgb0115
    Figure imgb0116
    Figure imgb0117
    Figure imgb0118
    Nr.R21R22R23R24R25R7
    CNCNHHHAr2
    CNHCNHHAr2
    CNHHCNHAr2
    CNHHHCNAr2
    CNHHHHAr2
    HCNCNHHAr2
    HCNHCNHAr2
    HCNHHCNAr2
    CNCNHHHAr2
    CNHCNHHAr2
    CNHHCNHAr2
    CNHHHCNAr2
    HCNCNHHAr2
    HCNHCNHAr2
    HCNHHCNAr2
    CNAr1HHHAr1
    CNHAr1HHAr1
    CNHHAr1HAr1
    CNHHHAr1Ar1
    CNAr2HHHAr2
    CNHAr2HHAr2
    CNHHAr2HAr2
    CNHHHAr2Ar2
    CNAr3HHHAr3
    CNHAr3HHAr3
    CNHHAr3HAr3
    CNHHHAr3Ar3
    CNAr4HHHAr4
    CNHAr4HHAr4
    CNHHAr4HAr4
    CNHHHAr4Ar4
    HCNCNHAr1Ar1
    Ar1CNCNHHAr1
    HCNCNHAr3Ar3
    Ar3CNCNHHAr3
    CNAr5HHHAr2
    CNHAr5HHAr2
    CNHHAr5HAr2
    CNHHHAr5Ar2
    Figure imgb0119
    Figure imgb0120
    Figure imgb0121
    Nr.R1R2R3R6R7R8
    HHCNHH
    Figure imgb0122
    Figure imgb0123
    HCNHH
    Figure imgb0124
    Figure imgb0125
    CNHHH
    Figure imgb0126
    Figure imgb0127
    CNHH
    Figure imgb0128
    H
    Figure imgb0129
    HHCN
    Figure imgb0130
    H
    Figure imgb0131
    CNHH
    Figure imgb0132
    H
    Figure imgb0133
    HHCN
    Figure imgb0134
    H
    Figure imgb0135
    HHCN
    Figure imgb0136
    H
    Figure imgb0137
    CNHH
    Figure imgb0138
    H
  • Further specific examples of formula (I) are the following compounds:
    Figure imgb0139
    Figure imgb0140
    Figure imgb0141
    Figure imgb0142
    Figure imgb0143
    Figure imgb0144
    Figure imgb0145
    Figure imgb0146
    Figure imgb0147
  • The specific aryl-nitrile or heteroaryl- nitrile benzimidazolo[1,2-a]benzimidazoles derivatives of the present invention are found to be suitable for use in organo-electroluminescent devices. In particular, certain aryl-nitrile or heteroaryl- nitrile benzimidazolo[1,2-a]benzimidazoles derivatives are suitable host materials, especially host materials for phosphorescent emitters, charge transport materials and/or charge/exciton blocker materials with good efficiency and durability.
  • Also, said aryl-nitrile or heteroaryl- nitrile benzimidazolo[1,2-a]benzimidazoles show low singlet triplet splitting, which makes them useful as TADF (Thermally Activated Delayed Fluorescence, Adv. Mater. 2014, 26, 7931-7958) emitter or TADF host materials in combination with fluorescent emitters. The TADF emitter or TADF host materials can be used together with one or more additional host materials.
  • The combination of the benzimidazolo[1,2-a]benzimidazole groups with the cyano group in the specific position of the benzimidazolo[1,2-a]benzimidazole gives rise to materials that are highly suitable in devices that emit green, or blue light. Moreover, the improved ambipolar characteristics give rise to more balanced charge transport in devices resulting in lower voltages and higher external quantum efficiencies (EQE's).
  • One key finding of the inventors of the present invention is the relevance of the position of the nitrile group, which is not directly substituted at the benzimidazolo[1,2-a]benzimidazole skeleton, but substituted at the aromatic or heteroaromatic residue X4. Therefore, the comounds of the present invention are characterized by a high acceptor strength, efficient bipolar characteristics and a good suitability as TADF hosts or emitters.
  • The compounds of the present invention may be used for electrophotographic photoreceptors, photoelectric converters, organic solar cells (organic photovoltaics), switching elements, such as organic transistors, for example, organic FETs and organic TFTs, organic light emitting field effect transistors (OLEFETs), image sensors, dye lasers and electroluminescent devices (EL devices), such as, for example, organic light-emitting diodes (OLEDs). Preferably, the compounds of the present invention are used in electroluminescent devices, especially in OLEDs.
  • Accordingly, a further subject of the present invention is directed to an electronic device, comprising a compound according to the present invention. The electronic device is preferably an electroluminescent device (EL-device), especially an OLED.
  • The compounds of formula I can in principal be used in any layer of an EL device, but are preferably used as host, charge transport and/or charge/exciton blocking material. Particularly, the compounds of formula I are used as host material for green, especially blue light emitting emitters, which are preferably phosphorescent emitters.
  • Hence, a further subject of the present invention is directed to a charge transport layer comprising a compound of formula I according to the present invention.
  • A further subject of the present invention is directed to an emitting layer, comprising a compound of formula I according to the present invention. In said embodiment a compound of formula I is preferably used as host material in combination with an emitter, which is preferably a phosphorescent emitter.
  • A further subject of the present invention is directed to a charge/exciton blocking layer, comprising a compound of formula I according to the present invention.
  • Synthesis oft the compounds of formula (I)Base skeleton
  • The synthesis of the compounds of formula (I) can be carried out in analogy to the synthesis of benzimidazolo[1,2-a]benzimidazoles mentioned in the prior art.
  • The synthesis of
    Figure imgb0148
    is described, for example, in Achour, Reddouane; Zniber, Rachid, Bulletin des Societes Chimiques Belges 96 (1987) 787-92.
  • N-arylation
  • The introduction of the group -X3-X4-CN (N-arylation) is generally carried out by reacting the base skeleton
    Figure imgb0149
    with a group Hal--X3-X4-CN, wherein Hal is F, Cl, Br or I, preferably F, Br or I. Suitable groups X3 and X4 are mentioned before.
  • The nucleophilic aromatic substitution (N-arylation) of
    Figure imgb0150
    with F-X3-X4-CN is generally performed in the presence of a base (Angew. Chem. 2012, 124, 8136 -8140,Angew. Chem. Int. Ed. 2008, 47, 8104 -8107). Suitable bases are known to those skilled in the art and are preferably selected from the group consisting of alkali metal alkali metal and alkaline earth metal hydroxides such as NaOH, KOH, Ca(OH)2, alkali metal hydrides such as NaH, KH, alkali metal amides such as NaNH2, alkali metal or alkaline earth metal carbonates such as K2CO3 or Cs2CO3, alkaline metal phosphates such as K3PO4 alkaline metal fluorides such as KF, CsF and alkali metal alkoxides such as NaOMe, NaOEt. In addition, mixtures of the aforementioned bases are suitable. K2CO3 or Cs2CO3, K3PO4 are preferred.
  • The nucleophilic aromatic substitution (N-arylation) can be performed in solvent or in a melt. Preferably, the reaction is carried out in a solvent. Suitable solvents are, for example, (polar) aprotic solvents such as dimethyl sulfoxide (DMSO), dimethylformamide (DMF), N-methyl-2-pyrrolidone (NMP) or dimethylacetamide (DMA).
  • The reaction temperature is strongly dependent on the reactivity of the aryl fluoride. The reaction (N-arylation) is preferably carried out at a temperature of -10 to 220 °C, more preferably 60 to 150 °C.
  • Ullmann reaction (N-arylation) of
    Figure imgb0151
    with Y-X3-X4-CN (Y is Cl, Br, or I) generally performed in the presence of a base and a catalyst.
  • Reaction conditions for Ullmann reactions are, for example, described inAngew Chem Int Ed Engl., 48 (2009) 6954-71WO14009317,WO12130709,J. Am. Chem. Soc. 131 (2009) 2009-2251,J. Org. Chem, 70 (2005) 5165.
  • Typically the Ullmann coupling of the compound of formula
    Figure imgb0152
    with a compound of formula Y--X3-X4-CN (Y is Cl, Br, or I, especially Br, I very especially I) is done in the presence of copper, or a copper salt, such as, for example, CuI, CuBr, Cu2O, or CuO, and a ligand, such as, for example, L-proline, trans-cyclohexane-1,2-diamine (DACH), 1,10-phenanthroline in a solvent, such as, for example, dimethylsulfoxide (DMSO), dimethylformamide (DMF), dimethylacetamide (DMA), N-methylpyrrolidone (NMP) and dioxane, or a solvent mixture. The reaction temperature is dependent on the reactivity of the starting materials, but is generally in the range of 25 to 200 °C. If copper salt are used without a ligand the reaction temperatures are higher.
  • The N-arylation is, for example, disclosed inH. Gilman and D. A. Shirley, J. Am. Chem. Soc. 66 (1944) 888;D. Li et al., Dyes and Pigments 49 (2001) 181 - 186 andEur. J. Org. Chem. (2007) 2147-2151.
  • An example for an N-arylation of the
    Figure imgb0153
    skeleton by copper-catalyzed coupling is shown in the following (see also Example 18 in the Example part):
    Figure imgb0154
  • DACH is (±)-trans-1,2-diaminocyclohexane
  • Hal-X3-X4-CN
  • The synthesis of
    Figure imgb0155
    is described, for example, in Achour, Reddouane; Zniber, Rachid, Bulletin des Societes Chimiques Belges 96 (1987) 787-92 andWO12130709.
  • The groups Hal-X3-X4-CN are commercially available or prepared by processes known in the art. Suitable preparation processes fore some groups Hal-X3-X4-CN are mentioned in the following.
  • Suitable base skeletons of the formula
    Figure imgb0156
    are either commercially available (especially in the cases when X is S, O, NH), or can be obtained by processes known to those skilled in the art. Reference is made toWO2010079051 andEP1885818.
  • The halogenation of said base skeletons
    Figure imgb0157
    (carbazole, dibenzofuran or dibezothiophene, which is unsubstituted or substituted) can be performed by methods known to those skilled in the art. Preference is given to brominating or iodinating in the 3 and 6 positions (dibromination, diiodation or mixed bromination/iodation) or in the 3 or 6 positions (monobromination, monoiodation) of the base skeleton in the case of carbazole, respectively in the 2 and 8 positions (dibromination, diiodation) or in the 2 or 8 positions (monobromination, monoiodation) of the base skeleton in the case of dibenzofuran and dibenzothiophene.
  • Optionally substituted dibenzofurans, dibenzothiophenes and carbazoles can be dibrominated in the 2,8 positions (dibenzofuran and dibenzothiophene) or 3,6 positions (carbazole) with bromine or NBS in glacial acetic acid or in chloroform. For example, the bromination with Br2 can be effected in glacial acetic acid or chloroform at low temperatures, e.g. 0°C. Suitable processes are described, for example, inM. Park, J.R. Buck, C.J. Rizzo, Tetrahedron, 54 (1998) 12707-12714 for X= NPh, and inW. Yang et al., J. Mater. Chem. 13 (2003) 1351 for X= S. In addition, 3,6-dibromocarbazole, 3,6-dibromo-9-phenylcarbazole, 2,8-dibromodibenzothiophene, 2,8-dibromodibenzofuran, 2-bromocarbazole, 3-bromodibenzothiophene, 3-bromodibenzofuran, 3-bromocarbazole, 2-bromodibenzothiophene and 2-bromodibenzofuran are commercially available.
  • Monobromination in the 4 position of dibenzofuran (and analogously for dibenzothiophene) is described, for example, inJ. Am. Chem. Soc. 1984, 106, 7150. Dibenzofuran (dibenzothiophene) can be monobrominated in the 3 position by a sequence known to those skilled in the art, comprising a nitration, reduction and subsequent Sandmeyer reaction.
  • Monobromination in the 2 position of dibenzofuran or dibenzothiophene and monobromination in the 3 position of carbazole are effected analogously to the dibromination, with the exception that only one equivalent of bromine or NBS is added.
  • For the nucleophilic substitution, CI- or F-substituted dibenzofurans, dibenzothiophenes and carbazoles are preferred. The chlorination is described, inter alia, inJ. Heterocyclic Chemistry, 34 (1997) 891-900,Org. Lett., 6 (2004) 3501-3504;J. Chem. Soc. [Section] C: Organic, 16 (1971) 2775-7,Tetrahedron Lett. 25 (1984) 5363-6,J. Org. Chem. 69 (2004) 8177-8182. The fluorination is described inJ. Org. Chem. 63 (1998) 878-880 and J. Chem. Soc., Perkin Trans. 2, 5 (2002) 953-957.
  • Introduction of the
    Figure imgb0158
    skeleton
  • The introduction of the
    Figure imgb0159
    skeleton, can be affected, for example, by copper-catalyzed coupling (Ullmann reaction). Suitable reaction components and reaction conditions for carrying out the Ullmann reaction are mentioned above.
  • Examples for a copper catalyzed coupling are (see also Example 7B and 8A in the Example part):
    Figure imgb0160
    and
    Figure imgb0161
  • DACH is (±)-trans-1,2-diaminocyclohexane
  • Alternatively, the introduction of the
    Figure imgb0162
    skeleton, especially in cases, wherein the
    Figure imgb0163
    skeleton is substituted, e.g. by a group
    Figure imgb0164
    can be affected, for example, by Pd catalyzed coupling of diboronic acid or diboronate group containing dibenzofurans, dibenzothiophenes or carbazoles with halogenated aromatic groups, wherein the halogen is preferably I (Suzuki coupling).
  • Examples for a Pd catalyzed coupling are (see also Examples 9B and 10B in the Example part):
    Figure imgb0165
    and
    Figure imgb0166
  • Diboronic acid or diboronate group containing dibenzofurans, dibenzothiophenes and carbazoles can be readily prepared by an increasing number of routes. An overview of the synthetic routes is, for example, given inAngew. Chem. Int. Ed. 48 (2009) 9240 - 9261.
  • By one common route diboronic acid or diboronate group containing dibenzofurans, dibenzothiophenes, and carbazoles can be obtained by reacting halogenated dibenzofurans, dibenzothiophenes and carbazoles with (Y1O)2B-B(OY1)2,
    Figure imgb0167
    or
    Figure imgb0168
    in the presence of a catalyst, such as, for example, [1,1'-bis(diphenylphosphino)ferrocene]dichloropalladium(II), complex (Pd(Cl)2(dppf)), and a base, such as, for example, potassium acetate, in a solvent, such as, for example, dimethyl formamide, dimethyl sulfoxide, dioxane and/or toluene (cf.Prasad Appukkuttan et al., Synlett 8 (2003) 1204), wherein Y1 is independently in each occurrence a C1-C18alkylgroup and Y2 is independently in each occurrence a C2-C10alkylene group, such as -CY3Y4-CY5Y6-, or-CY7Y8-CY9Y10- CY11Y12-, wherein Y3, Y4, Y5, Y6, Y7, Y8, Y9, Y10, Y11 and Y12 are independently of each other hydrogen, or a C1-C18alkylgroup, especially -C(CH3)2C(CH3)2-,-C(CH3)2CH2C(CH3)2-, or -CH2C(CH3)2CH2-, and Y13 and Y14 are independently of each other hydrogen, or a C1-C18alkylgroup.
  • Diboronic acid or diboronate group containing dibenzofurans, dibenzothiophenes and carbazoles can also be prepared by reacting halogenated dibenzofurans, dibenzothiophenes and carbazoles with alkyl lithium reagents, such as, for example, n-butyl lithium, or t-buthyl lithium, followed by reaction with boronic esters, such as, for example, B(isopropoxy)3, B(methoxy)3, or
    Figure imgb0169
    (cf.Synthesis (2000) 442-446).
  • Diboronic acid or diboronate group containing dibenzofurans, dibenzothiophenes and carbazoles can also be prepared by reacting dibenzofurans, dibenzothiophenes and carbazoles with lithium amides, such as, for example, lithium diisopropylamide (LDA) followed by reaction with boronic esters such as, for example, B(isopropoxy)3, B(methoxy)3, or
    Figure imgb0170
    (J. Org. Chem. 73 (2008) 2176-2181).
  • Compounds of formula I in organic electronics application
  • It has been found that the compounds of the formula I are particularly suitable for use in applications in which charge carrier conductivity is required, especially for use in organic electronics applications, for example selected from switching elements such as organic transistors, e.g. organic FETs and organic TFTs, organic solar cells and organic light-emitting diodes (OLEDs).
  • Theorganic transistor generally includes a semiconductor layer formed from an organic layer with charge transport capacity; a gate electrode formed from a conductive layer; and an insulating layer introduced between the semiconductor layer and the conductive layer. A source electrode and a drain electrode are mounted on this arrangement in order thus to produce the transistor element. In addition, further layers known to those skilled in the art may be present in the organic transistor. The layers with charge transport capacity may comprise the compounds of formula I.
  • Theorganic solar cell (photoelectric conversion element) generally comprises an organic layer present between two plate-type electrodes arranged in parallel. The organic layer may be configured on a comb-type electrode. There is no particular restriction regarding the site of the organic layer and there is no particular restriction regarding the material of the electrodes. When, however, plate-type electrodes arranged in parallel are used, at least one electrode is preferably formed from a transparent electrode, for example an ITO electrode or a fluorine-doped tin oxide electrode. The organic layer is formed from two sublayers, i.e. a layer with p-type semiconductor properties or hole transport capacity, and a layer formed with n-type semiconductor properties or charge transport capacity. In addition, it is possible for further layers known to those skilled in the art to be present in the organic solar cell. The layers with charge transport capacity may comprise the compounds of formula I.
  • The compounds of the formula I being particularly suitable inOLEDs for use as matrix material in a light-emitting layer and/or as electron and/or exciton blocker material and/or as hole and/or exciton blocker material and/or charge transport materials, especially in combination with a phosphorescence emitter.
  • In the case of use of the inventive compounds of the formula I in OLEDs, OLEDs which have good efficiencies and a long lifetime and which can be operated especially at a low use and operating voltage are obtained. The inventive compounds of the formula I are suitable especially for use as matrix and/or charge/exciton blocker materials for blue and green emitters, for example light blue or deep blue emitters, these being especially phosphorescence emitters. Furthermore, the compounds of the formula I can be used as conductor/complementary materials in organic electronics applications selected from switching elements and organic solar cells.
  • In the emission layer or one of the emission layers of an OLED, it is also possible to combine an emitter material with at least one matrix material of the compound of the formula I and one or more further matrix materials. This may achieve a high quantum efficiency of this emission layer.
  • It is likewise possible that the compounds of the formula I are present both in the light-emitting layer (preferably as matrix material) and in the blocking layers (as charge/exciton blockers).
  • When a compound of the formula I is used as matrix (host) material in an emission layer and additionally as charge/exciton blocker material, owing to the chemical identity or similarity of the materials, an improved interface between the emission layer and the adjacent charge/exciton blocker material, which can lead to a decrease in the voltage with equal luminance and to an extension of the lifetime of the OLED. Moreover, the use of the same material for charge/exciton blocker material and for the matrix of an emission layer allows the production process of an OLED to be simplified, since the same source can be used for the vapor deposition process of the material of one of the compounds of the formula I.
  • Also, the compounds of the formula I show low singlet triplet splitting, which makes them useful as TADF (Thermally Activated Delayed Fluorescence, Adv. Mater. 2014, 26, 7931-7958) emitter or TADF host materials in combination with fluorescent emitters. Therefore, the compounds of the formula I being particularly suitable inOLEDs for use as TADF emitters or TADF host materials together with a fluorescent emitter. The TADF emitters or TADF host materials is preferably used together with one or more additional host materials.
  • Suitable structures of organic electronic diodes are known to those skilled in the art and are specified below.
  • The present invention further provides an organic light-emitting diode comprising an anode (a) and a cathode (i) and a light-emitting layer (e) arranged between the anode (a) and the cathode (i), and if appropriate at least one further layer selected from the group consisting of at least one blocking layer for holes/excitons, at least one blocking layer for electrons/excitons, at least one hole injection layer, at least one hole transport layer, at least one electron injection layer and at least one electron transport layer, wherein the at least one compound of the formula I is present in the light-emitting layer (e) and/or in at least one of the further layers. The at least one compound of the formula I is preferably present in the light-emitting layer and/or the charge/exciton blocking layers.
  • In a preferred embodiment of the present invention, at least one compound of the formula I is used as charge transport material. Examples of preferred compounds of formula I are shown above.
  • Compounds carrying at least one of the following groups are for example particularly useful hole transport materials:
    Figure imgb0171
  • Further preferably, compounds of formula I which are particularly useful hole transport materials comprise one nitrile group.
  • Compounds carrying more than one nitrile group and one benzimidazolo[1,2-a]benzimidazole group are particularly useful as electron transport materials.
  • In another preferred embodiment of the present invention, at least one compound of the formula I is used as charge/exciton blocker material.
  • The present application further relates to a light-emitting layer comprising at least one compound of the formula I, preferably as host material. Examples of preferred compounds of formula I are shown above. The following compounds are examples for particularly useful compounds in the light-emitting layer, especially as host material:
  • Examples for compounds of formula I particularly suitable as host material for phosphorescence emitters, especially for phosphorescence emitters emitting in the blue or green area of the visible electromagnetic spectrum:
    Figure imgb0172
    Figure imgb0173
    Figure imgb0174
  • Examples for compounds of formula I particularly suitable as TADF host material, especially for TADF based OLEDs emitting in the blue or green area of the visible electromagnetic spectrum:
    Figure imgb0175
    Figure imgb0176
  • Structure of the inventive OLED
  • The inventive organic light-emitting diode (OLED) thus generally has the following structure: an anode (a) and a cathode (i) and a light-emitting layer (e) arranged between the anode (a) and the cathode (i).
  • The inventive OLED may, for example - in a preferred embodiment - be formed from the following layers:
    1. 1. Anode (a)
    2. 2. Hole transport layer (c)
    3. 3. Light-emitting layer (e)
    4. 4. Blocking layer for holes/excitons (f)
    5. 5. Electron transport layer (g)
    6. 6. Cathode (i)
  • Layer sequences different than the aforementioned structure are also possible, and are known to those skilled in the art. For example, it is possible that the OLED does not have all of the layers mentioned; for example, an OLED with layers (a) (anode), (e) (light-emitting layer) and (i) (cathode) is likewise suitable, in which case the functions of the layers (c) (hole transport layer) and (f) (blocking layer for holes/excitons) and (g) (electron transport layer) are assumed by the adjacent layers. OLEDs which have layers (a), (c), (e) and (i), or layers (a), (e), (f), (g) and (i), are likewise suitable. In addition, the OLEDs may have a blocking layer for electrons/excitons (d) between the hole transport layer (c) and the Light-emitting layer (e).
  • It is additionally possible that a plurality of the aforementioned functions (electron/exciton blocker, hole/exciton blocker, hole injection, hole conduction, electron injection, electron conduction) are combined in one layer and are assumed, for example, by a single material present in this layer. For example, a material used in the hole transport layer, in one embodiment, may simultaneously block excitons and/or electrons.
  • Furthermore, the individual layers of the OLED among those specified above may in turn be formed from two or more layers. For example, the hole transport layer may be formed from a layer into which holes are injected from the electrode, and a layer which transports the holes away from the hole-injecting layer into the light-emitting layer. The electron transport layer may likewise consist of a plurality of layers, for example a layer in which electrons are injected by the electrode, and a layer which receives electrons from the electron injection layer and transports them into the light-emitting layer. These layers mentioned are each selected according to factors such as energy level, thermal resistance and charge carrier mobility, and also energy difference of the layers specified with the organic layers or the metal electrodes. The person skilled in the art is capable of selecting the structure of the OLEDs such that it is matched optimally to the organic compounds used in accordance with the invention.
  • In a preferred embodiment the OLED according to the present invention comprises in this order:
    1. (a) an anode,
    2. (b) optionally a hole injection layer,
    3. (c) optionally a hole transport layer,
    4. (d) optionally an exciton blocking layer
    5. (e) an emitting layer,
    6. (f) optionally a hole/ exciton blocking layer
    7. (g) optionally an electron transport layer,
    8. (h) optionally an electron injection layer, and
    9. (i) a cathode.
  • In a particularly preferred embodiment the OLED according to the present invention comprises in this order:
    1. (a) an anode,
    2. (b) optionally a hole injection layer,
    3. (c) a hole transport layer,
    4. (d) an exciton blocking layer
    5. (e) an emitting layer,
    6. (f) a hole/ exciton blocking layer
    7. (g) an electron transport layer, and
    8. (h) optionally an electron injection layer, and
    9. (i) a cathode.
  • The properties and functions of these various layers, as well as example materials are known from the prior art and are described in more detail below on basis of preferred embodiments.
  • Anode (a):
  • The anode is an electrode which provides positive charge carriers. It may be composed, for example, of materials which comprise a metal, a mixture of different metals, a metal alloy, a metal oxide or a mixture of different metal oxides. Alternatively, the anode may be a conductive polymer. Suitable metals comprise the metals of groups 11, 4, 5 and 6 of the Periodic Table of the Elements, and also the transition metals of groups 8 to 10. When the anode is to be transparent, mixed metal oxides of groups 12, 13 and 14 of the Periodic Table of the Elements are generally used, for example indium tin oxide (ITO). It is likewise possible that the anode (a) comprises an organic material, for example polyaniline, as described, for example, inNature, Vol. 357, pages 477 to 479 (June 11, 1992). Preferred anode materials include conductive metal oxides, such as indium tin oxide (ITO) and indium zinc oxide (IZO), aluminum zinc oxide (AlZnO), and metals. Anode (and substrate) may be sufficiently transparent to create a bottom-emitting device. A preferred transparent substrate and anode combination is commercially available ITO (anode) deposited on glass or plastic (substrate). A reflective anode may be preferred for some top-emitting devices, to increase the amount of light emitted from the top of the device. At least either the anode or the cathode should be at least partly transparent in order to be able to emit the light formed. Other anode materials and structures may be used.
  • Hole injection layer (b):
  • Generally, injection layers are comprised of a material that may improve the injection of charge carriers from one layer, such as an electrode or a charge generating layer, into an adjacent organic layer. Injection layers may also perform a charge transport function. The hole injection layer may be any layer that improves the injection of holes from anode into an adjacent organic layer. A hole injection layer may comprise a solution deposited material, such as a spin-coated polymer, or it may be a vapor deposited small molecule material, such as, for example, CuPc or MTDATA. Polymeric hole-injection materials can be used such as poly(N-vinylcarbazole) (PVK), polythiophenes, polypyrrole, polyaniline, self-doping polymers, such as, for example, sulfonated poly(thiophene-3-[2[(2-methoxyethoxy)ethoxy]-2,5-diyl) (Plexcore® OC Conducting Inks commercially available from Plextronics), and copolymers such as poly(3,4-ethylenedioxythiophene)/poly(4-styrenesulfonate) also called PEDOT/PSS.
  • Hole transport layer (c):
  • Either hole-transporting molecules or polymers may be used as the hole transport material. Suitable hole transport materials for layer (c) of the inventive OLED are disclosed, for example, inKirk-Othmer Encyclopedia of Chemical Technology, 4th Edition, Vol. 18, pages 837 to 860, 1996,US20070278938,US2008/0106190,US2011/0163302 (triarylamines with (di)benzothiophen/(di)benzofuran;Nan-Xing Hu et al. Synth. Met. 111 (2000) 421 (indolocarbazoles),WO2010002850 (substituted phenylamine compounds) andWO2012/16601 (in particular the hole transport materials mentioned on pages 16 and 17 ofWO2012/16601).
  • Combination of different hole transport material may be used. Reference is made, for example, toWO2013/022419, wherein
    Figure imgb0177
    and
    Figure imgb0178
    constitute the hole transport layer. Customarily used hole-transporting molecules are selected from the group consisting of
    Figure imgb0179
    Figure imgb0180
    (4-phenyl-N-(4-phenylphenyl)-N-[4-[4-(N-[4-(4-phenyl-phenyl)phenyl]anilino)phenyl]phenyl]aniline),
    Figure imgb0181
    (4-phenyl-N-(4-phenylphenyl)-N-[4-[4-(4-phenyl-N-(4-phenylphenyl)anilino)phenyl]phenyl]aniline),
    Figure imgb0182
    (4-phenyl-N-[4-(9-phenylcarbazol-3-yl)phenyl]-N-(4-phenylphenyl)aniline),
    Figure imgb0183
    (1,1',3,3'-tetraphenylspiro[1,3,2-benzodiazasilole-2,2'-3a,7a-dihydro-1,3,2-benzodiazasilole]),
    Figure imgb0184
    (N2,N2,N2',N2',N7,N7,N7',N7'-octakis(p-tolyl)-9,9'-spirobi[fluorene]-2,2',7,7'-tetramine), 4,4'-bis[N-(1-naphthyl)-N-phenylamino]biphenyl (α-NPD), N,N'-diphenyl-N,N'-bis(3-methylphenyl)-[1,1'-biphenyl]-4,4'-diamine (TPD), 1,1-bis[(di-4-tolylamino)phenyl]cyclohexane (TAPC), N,N'-bis(4-methylphenyl)-N,N'-bis(4-ethylphenyl)-[1,1'-(3,3'-dimethyl)biphenyl]-4,4'-diamine (ETPD), tetrakis(3-methylphenyl)-N,N,N',N'-2,5-phenylenediamine (PDA), α-phenyl-4-N,N-diphenylaminostyrene (TPS), p-(diethylamino)benzaldehyde diphenylhydrazone (DEH), triphenylamine (TPA), bis[4-(N,N-diethylamino)2-methylphenyl](4-methylphenyl)methane (MPMP), 1-phenyl-3-[p-(diethylamino)styryl]5-[p-(diethylamino)phenyl]pyrazoline (PPR or DEASP), 1,2-trans-bis(9H-carbazol9-yl)-cyclobutane (DCZB), N,N,N',N'-tetrakis(4-methylphenyl)-(1, 1'-biphenyl)-4,4'-diamine (TTB), fluorine compounds such as 2,2',7,7'-tetra(N,N-di-tolyl)amino9,9-spirobifluorene (spiro-TTB), N,N'-bis(naphthalen-1-yl)-N,N'-bis(phenyl)9,9-spirobifluorene (spiro-NPB) and 9,9-bis(4-(N,N-bis-biphenyl-4-yl-amino)phenyl-9Hfluorene, benzidine compounds such as N,N'-bis(naphthalen-1-yl)-N,N'-bis(phenyl)benzidine and porphyrin compounds such as copper phthalocyanines. In addition, polymeric hole-injection materials can be used such as poly(N-vinylcarbazole) (PVK), polythiophenes, polypyrrole, polyaniline, self-doping polymers, such as, for example, sulfonated poly(thiophene-3-[2[(2-methoxyethoxy)ethoxy]-2,5-diyl) (Plexcore® OC Conducting Inks commercially available from Plextronics), and copolymers such as poly(3,4-ethylenedioxythiophene)/poly(4-styrenesulfonate) also called PEDOT/PSS. Preferred examples of a material of the hole injecting layer are a porphyrin compound, an aromatic tertiary amine compound, or a styrylamine compound. Particularly preferable examples include an aromatic tertiary amine compound such as hexacyanohexaazatriphenylene (HAT).
  • In a preferred embodiment it is possible to use metal carbene complexes as hole transport materials. Suitable carbene complexes are, for example, carbene complexes as described inWO2005/019373A2,WO2006/056418 A2,WO2005/113704,WO2007/115970,WO2007/115981,WO2008/000727 andPCT/EP2014/055520. One example of a suitable carbene complex is Ir(DPBIC)3 with the formula:
    Figure imgb0185
    Another example of a suitable carbene complex is Ir(ABIC)3 with the formula:
    Figure imgb0186
  • The hole-transporting layer may also be electronically doped in order to improve the transport properties of the materials used, in order firstly to make the layer thicknesses more generous (avoidance of pinholes/short circuits) and in order secondly to minimize the operating voltage of the device. Electronic doping is known to those skilled in the art and is disclosed, for example, inW. Gao, A. Kahn, J. Appl. Phys., Vol. 94, 2003, 359 (p-doped organic layers);A. G. Werner, F. Li, K. Harada, M. Pfeiffer, T. Fritz, K. Leo, Appl. Phys. Lett., Vol. 82, No. 25, 2003, 4495 andPfeiffer et al., Organic Electronics 2003, 4, 89 - 103andK. Walzer, B. Maennig, M. Pfeiffer, K. Leo, Chem. Soc. Rev. 2007, 107, 1233. For example it is possible to use mixtures in the hole-transporting layer, in particular mixtures which lead to electrical p-doping of the hole-transporting layer. p-Doping is achieved by the addition of oxidizing materials. These mixtures may, for example, be the following mixtures: mixtures of the abovementioned hole transport materials with at least one metal oxide, for example MoO2, MoO3, WOx, ReO3 and/or V2O5, preferably MoO3 and/or ReO3, more preferably MoO3, or mixtures comprising the aforementioned hole transport materials and one or more compounds selected from 7,7,8,8-tetracyanoquinodimethane (TCNQ), 2,3,5,6-tetrafluoro-7,7,8,8-tetracyanoquinodimethane (F4-TCNQ), 2,5-bis(2-hydroxyethoxy)-7,7,8,8-tetracyanoquinodimethane, bis(tetra-n-butylammonium)tetracyanodiphenoquinodimethane, 2,5-dimethyl-7,7,8,8-tetracyanoquinodimethane, tetracyanoethylene, 11,11,12,12-tetracyanonaphtho2,6-quinodimethane, 2-fluoro-7,7,8,8-tetracyanoquino-dimethane, 2,5-difluoro-7,7,8,8etracyanoquinodimethane, dicyanomethylene-1,3,4,5,7,8-hexafluoro-6Hnaphthalen-2-ylidene)malononitrile (F6-TNAP), Mo(tfd)3 (fromKahn et al., J. Am. Chem. Soc. 2009, 131 (35), 12530-12531), compounds as described inEP1988587,US2008265216,EP2180029,US20100102709,WO2010132236,EP2180029 and quinone compounds as mentioned inEP2401254.
  • Preferred mixtures comprise the aforementioned carbene complexes, such as, for example, the carbene complexesHTM-1 andHTM-2, and MoO3 and/or ReO3, especially MoO3. In a particularly preferred embodiment the hole transport layer comprises from 0.1 to 10 wt % of MoO3 and 90 to 99.9 wt % carbene complex, especially of the carbene complexHTM-1 andHTM-2, wherein the total amount of the MoO3 and the carbene complex is 100 wt %.
  • Exciton blocking layer (d):
  • Blocking layers may be used to reduce the number of charge carriers (electrons or holes) and/or excitons that leave the emissive layer. An electron/exciton blocking layer (d) may be disposed between the first emitting layer (e) and the hole transport layer (c), to block electrons from emitting layer (e) in the direction of hole transport layer (c). Blocking layers may also be used to block excitons from diffusing out of the emissive layer. Suitable metal complexes for use as electron/exciton blocker material are, for example, carbene complexes as described inWO2005/019373A2,WO2006/056418A2,WO2005/113704,WO2007/115970,WO2007/115981,WO2008/000727 andPCT/EP2014/055520. Explicit reference is made here to the disclosure of the WO applications cited, and these disclosures shall be considered to be incorporated into the content of the present application. Examples of suitable carbene complexes are compoundsHTM-1 andHTM-2.
  • Emitting layer (e)
  • The light-emitting layer (e) comprises at least one emitter material. In principle, it may be a fluorescence or phosphorescence emitter, suitable emitter materials being known to those skilled in the art. The at least one emitter material is preferably a phosphorescence emitter. The phosphorescence emitter compounds used with preference are based on metal complexes, and especially the complexes of the metals Ru, Rh, Ir, Pd and Pt, in particular the complexes of Ir, have gained significance. The compounds of the formula I can be used as the matrix in the light-emitting layer.
  • Further suitable metal complexes are the commercially available metal complexes tris(2-phenylpyridine)iridium(III), iridium(III) tris(2-(4-tolyl)pyridinato-N,C2'), bis(2-phenylpyridine)(acetylacetonato)iridium(III), iridium(III) tris(1-phenylisoquinoline), iridium(III) bis(2,2'-benzothienyl)pyridinato-N,C3')(acetylacetonate), tris(2-phenylquinoline)iridium(III), iridium(III) bis(2-(4,6-difluorophenyl)pyridinato-N,C2)picolinate, iridium(III) bis(1-phenylisoquinoline)(acetylacetonate), bis(2-phenylquinoline)(acetylacetonato)iridium(III), iridium(III) bis(di-benzo[f,h]quinoxaline)(acetylacetonate), iridium(III) bis(2-methyldibenzo[f,h]quinoxaline)(acetylacetonate) and tris(3-methyl-1-phenyl-4-trimethylacetyl-5-pyrazolino)terbium(III), bis[1-(9,9-dimethyl-9H-fluoren-2-yl)isoquinoline](acetyl-acetonato)iridium(III), bis(2-phenylbenzothiazolato)(acetylacetonato)iridium(III), bis(2-(9,9-dihexylfluorenyl)-1-pyridine)(acetylacetonato)iridium(III), bis(2-benzo[b]thiophen-2-yl-pyridine)(acetylacetonato)iridium(III).
  • In addition, the following commercially available materials are suitable:
    • tris(dibenzoylacetonato)mono(phenanthroline)europium(III), tris(dibenzoylmethane)-mono(phenanthroline)europium(III), tris(dibenzoylmethane)mono(5-aminophenanthroline)-europium(III), tris(di-2-naphthoylmethane)mono(phenanthroline)europium(III), tris(4-bromobenzoylmethane)mono(phenanthroline)europium(III), tris(di(biphenyl)methane)-mono(phenanthroline)europium(III), tris(dibenzoylmethane)mono(4,7-diphenyl-phenanthroline)europium(III), tris(dibenzoylmethane)mono(4,7-di-methyl-phenanthroline)europium(III), tris(dibenzoylmethane)mono(4,7-dimethylphenanthrolinedisulfonic acid)europium(III) disodium salt, tris[di(4-(2-(2-ethoxyethoxy)ethoxy)benzoylmethane)]mono-(phenanthroline)europium(III) and tris[di[4-(2-(2-ethoxyethoxy)ethoxy)benzoylmethane)]mono(5-aminophenanthroline)europium(III), osmium(II) bis(3-(trifluoromethyl)-5-(4-tert-butylpyridyl)-1,2,4-triazolato)diphenylmethylphosphine, osmium(II) bis(3-(trifluoromethyl)-5-(2-pyridyl)-1,2,4-triazole)dimethylphenylphosphine, osmium(II) bis(3-(trifluoromethyl)-5-(4-tert-butylpyridyl)-1,2,4-triazolato)dimethylphenylphosphine, osmium(II) bis(3-(trifluoromethyl)-5-(2-pyridyl)-pyrazolato)dimethylphenylphosphine, tris[4,4'-di-tert-butyl(2,2')-bipyridine]ruthenium(III), osmium(II) bis(2-(9,9-dibutylfluorenyl)-1-isoquinoline(acetylacetonate).
  • Preferred phosphorescence emitters are carbene complexes.
  • Preferably, the light emitting layer (e) comprises at least one carbene complex as phosphorescence emitter. Suitable carbene complexes are, for example, compounds of the formula
    Figure imgb0187
    which are described inWO 2005/019373 A2, wherein the symbols have the following meanings:
    • M is a metal atom selected from the group consisting of Co, Rh, Ir, Nb, Pd, Pt, Fe, Ru, Os, Cr, Mo, W, Mn, Tc, Re, Cu, Ag and Au in any oxidation state possible for the respective metal atom; carbene is a carbene ligand which may be uncharged or monoanionic and monodentate, bidentate or tridentate, with the carbene ligand also being able to be a biscarbene or triscarbene ligand;
    • L is a monoanionic or dianionic ligand, which may be monodentate or bidentate;
    • K is an uncharged monodentate or bidentate ligand, preferably selected from the group consisting of phosphines; phosphonates and derivatives thereof, arsenates and derivatives thereof; phosphites; CO; pyridines; nitriles and conjugated dienes which form a π complex with M1;
    • n1 is the number of carbene ligands, where n1 is at least 1 and when n1 > 1 the carbene ligands in the complex of the formula I can be identical or different;
    • m1 is the number of ligands L, where m1 can be 0 or ≥ 1 and when m1 > 1 the ligands L can be identical or different;
    • o is the number of ligands K, where o can be 0 or ≥ 1 and when o > 1 the ligands K can be identical or different;
    • where the sum n1 + m1 + o is dependent on the oxidation state and coordination number of the metal atom and on the denticity of the ligands carbene, L and K and also on the charge on the ligands, carbene and L, with the proviso that n1 is at least 1.
  • More preferred are metal-carbene complexes of the general formula
    Figure imgb0188
    which are described inWO2011/073149, where M is Ir, or Pt,
    n1 is an integer selected from 1, 2 and 3,
    Y is NR51', O, S or C(R25')2,
    A2', A3', A4', and A5' are each independently N or C, where 2 A' = nitrogen atoms and at least one carbon atom is present between two nitrogen atoms in the ring,
    R51' is a linear or branched alkyl radical optionally interrupted by at least one heteroatom, optionally bearing at least one functional group and having 1 to 20 carbon atoms, cycloalkyl radical optionally interrupted by at least one heteroatom, optionally bearing at least one functional group and having 3 to 20 carbon atoms, substituted or unsubstituted aryl radical optionally interrupted by at least one heteroatom, optionally bearing at least one functional group and having 6 to 30 carbon atoms, substituted or unsubstituted heteroaryl radical optionally interrupted by at least one heteroatom, optionally bearing at least one functional group and having a total of 5 to 18 carbon atoms and/or heteroatoms,
    R52', R53', R54' and R55' are each, if A2', A3', A4' and/or A5' is N, a free electron pair, or, if A2', A3', A4' and/or A5' is C, each independently hydrogen, linear or branched alkyl radical optionally interrupted by at least one heteroatom, optionally bearing at least one functional group and having 1 to 20 carbon atoms, cycloalkyl radical optionally interrupted by at least one heteroatom, optionally bearing at least one functional group and having 3 to 20 carbon atoms, substituted or unsubstituted aryl radical optionally interrupted by at least one heteroatom, optionally bearing at least one functional group and having 6 to 30 carbon atoms, substituted or unsubstituted heteroaryl radical optionally interrupted by at least one heteroatom, optionally bearing at least one functional group and having a total of 5 to 18 carbon atoms and/or heteroatoms, group with donor or acceptor action, or
    R53' and R54' together with A3'and A4' form an optionally substituted, unsaturated ring optionally interrupted by at least one further heteroatom and having a total of 5 to 18 carbon atoms and/or heteroatoms,
    R56', R57', R58' and R59' are each independently hydrogen, linear or branched alkyl radical optionally interrupted by at least one heteroatom, optionally bearing at least one functional group and having 1 to 20 carbon atoms, cycloalkyl radical optionally interrupted by at least one heteroatom, optionally bearing at least one functional group and having 3 to 20 carbon atoms, cycloheteroalkyl radical optionally interrupted by at least one heteroatom, optionally bearing at least one functional group and having 3 to 20 carbon atoms, substituted or unsubstituted aryl radical optionally interrupted by at least one heteroatom, optionally bearing at least one functional group and having 6 to 30 carbon atoms, substituted or unsubstituted heteroaryl radical optionally interrupted by at least one heteroatom, optionally bearing at least one functional group and having a total of 5 to 18 carbon atoms and/or heteroatoms, group with donor or acceptor action, or
    R56' and R57', R57' and R58' or R58' and R59', together with the carbon atoms to which they are bonded, form a saturated, unsaturated or aromatic, optionally substituted ring optionally interrupted by at least one heteroatom and having a total of 5 to 18 carbon atoms and/or heteroatoms, and/or
    if A5' is C, R55' and R56' together form a saturated or unsaturated, linear or branched bridge optionally comprising heteroatoms, an aromatic unit, heteroaromatic unit and/or functional groups and having a total of 1 to 30 carbon atoms and/or heteroatoms, to which is optionally fused a substituted or unsubstituted, five- to eight-membered ring comprising carbon atoms and/or heteroatoms,
    R25' is independently a linear or branched alkyl radical optionally interrupted by at least one heteroatom, optionally bearing at least one functional group and having 1 to 20 carbon atoms, cycloalkyl radical optionally interrupted by at least one heteroatom, optionally bearing at least one functional group and having 3 to 20 carbon atoms, substituted or unsubstituted aryl radical optionally interrupted by at least one heteroatom, optionally bearing at least one functional group and having 6 to 30 carbon atoms, substituted or unsubstituted heteroaryl radical optionally interrupted by at least one heteroatom, optionally bearing at least one functional group and having a total of 5 to 18 carbon atoms and/or heteroatoms,
    K is an uncharged mono- or bidentate ligand,
    L is a mono- or dianionic ligand, preferably monoanionic ligand, which may be mono- or bidentate,
    m1 is 0, 1 or 2, where, when m1 is 2, the K ligands may be the same or different,
    o1 is 0, 1 or 2, where, when o1 is 2, the L ligands may be the same or different.
  • The compound of formulaXIV is preferably a compound of the formula:
    Figure imgb0189
    Figure imgb0190
    Figure imgb0191
    Figure imgb0192
    Figure imgb0193
    Figure imgb0194
    Figure imgb0195
    Figure imgb0196
    Figure imgb0197
    Figure imgb0198
    Figure imgb0199
    Figure imgb0200
    Figure imgb0201
    Figure imgb0202
    Figure imgb0203
    Figure imgb0204
    Figure imgb0205
    Figure imgb0206
    Figure imgb0207
    Figure imgb0208
    Figure imgb0209
    Figure imgb0210
    Figure imgb0211
    Figure imgb0212
    Figure imgb0213
    Figure imgb0214
    Figure imgb0215
    Figure imgb0216
    Figure imgb0217
    Figure imgb0218
    Figure imgb0219
    Figure imgb0220
    Figure imgb0221
    Figure imgb0222
    Figure imgb0223
    Figure imgb0224
    Figure imgb0225
    Figure imgb0226
    Figure imgb0227
    Figure imgb0228
    Figure imgb0229
    Figure imgb0230
    Figure imgb0231
    Figure imgb0232
    Figure imgb0233
    Figure imgb0234
    Figure imgb0235
  • Further suitable non-carbene emitter materials are mentioned below:
    Figure imgb0236
    Figure imgb0237
    Figure imgb0238
    Figure imgb0239
    Figure imgb0240
    Figure imgb0241
    Figure imgb0242
    Figure imgb0243
    Figure imgb0244
    Figure imgb0245
    Figure imgb0246
  • The compound of formulaXIV is more preferably a compound(BE-1), (BE-2), (BE-7), (BE-12), (BE-16), (BE-64), or(BE-70). The most preferred phosphorescent blue emitters are compounds(BE-1) and(BE-12).
  • The homoleptic metal-carbene complexes may be present in the form of facial or meridional isomers or mixtures thereof, preference being given to the facial isomers.
  • Suitable carbene complexes of formula(XIV) and their preparation process are, for example, described inWO2011/073149.
  • The compounds of the present invention can also be used as host for phosphorescent green emitters. Suitable phosphorescent green emitters are, for example, specified in the following publications:WO2006014599,WO20080220265,WO2009073245,WO2010027583,WO2010028151,US20110227049,WO2011090535,WO2012/08881,WO20100056669,WO20100118029,WO20100244004,WO2011109042,WO2012166608,US20120292600,EP2551933A1;US6687266,US20070190359,US20070190359,US20060008670;WO2006098460,US20110210316,WO2012053627;US6921915,US20090039776;JP2007123392 and European patent application no.14180422.9.
  • Examples of suitable phosphorescent green emitters are shown below:
    Figure imgb0247
    Figure imgb0248
    Figure imgb0249
    Figure imgb0250
    Figure imgb0251
    Figure imgb0252
    Figure imgb0253
    Figure imgb0254
    Figure imgb0255
    Figure imgb0256
    Figure imgb0257
    Figure imgb0258
    Figure imgb0259
    Figure imgb0260
    Figure imgb0261
    Figure imgb0262
    Figure imgb0263
  • Host (matrix) materials
  • The light-emitting layer may comprise further components in addition to the emitter material. For example, a fluroescent dye may be present in the light-emitting layer in order to alter the emission color of the emitter material. In addition - in a preferred embodiment - a matrix material can be used. This matrix material may be a polymer, for example poly(N-vinylcarbazole) or polysilane. The matrix material may, however, be a small molecule, for example 4,4'-N,N'-dicarbazolebiphenyl (CDP=CBP) or tertiary aromatic amines, for example TCTA.
  • In a preferred embodiment, the light-emitting layer is formed of at least one emitter material and of at least one of the matrix materials - in one embodiment at least one compound of the formula I. Suitable emitter materials and matrix materials are mentioned in the specification. In one embodiment, the light-emitting layer comprises at least one emitter material and at least to matrix materials, wherein one of the matrix materials is a first host material and the other is a second host material. The matrix materials mentioned in the specification are suitable as first and second host materials.
  • In another preferred embodiment of the present invention, at least one compound of the formula I is used as host material. Examples of preferred compounds of formula I useful as host material are shown above.
  • In a more preferred embodiment, the light-emitting layer is formed from 2 to 40% by weight, preferably 5 to 35% by weight, of at least one of the aforementioned emitter materials and 60 to 98% by weight, preferably 75 to 95% by weight, of at least one of the matrix materials mentioned in the specification - in one embodiment at least one compound of the formula I - where the sum total of the emitter material and of the matrix material adds up to 100% by weight.
  • In a particularly preferred embodiment, the light-emitting layer comprises a compound of formulaI and two carbene complexes, preferablyBE-1 andHTM-1, orHTM-2. In said embodiment, the light-emitting layer is formed from 2 to 40% by weight, preferably 5 to 35% by weight, ofBE-1 and 60 to 98% by weight, preferably 65 to 95% by weight, of a compound of the formula I and andHTM-1, orHTM-2, where the sum total of the carben complexes and of the compound of formula I adds up to 100% by weight.
  • Suitable metal complexes for use as matrix material in OLEDs, preferably together with the compounds of the formula I, are, for example, also carbene complexes as described inWO 2005/019373 A2,WO 2006/056418 A2,WO 2005/113704,WO 2007/115970,WO 2007/115981 andWO 2008/000727.
  • Further suitable host materials, which may be small molecules or (co)polymers of the small molecules mentioned, are specified in the following publications:WO2007108459 (H-1 to H-37), preferably H-20 to H-22 and H-32 to H-37, most preferably H-20, H-32, H-36, H-37,WO2008035571 A1 (Host 1 to Host 6),JP2010135467 (compounds 1 to 46 and Host-1 to Host-39 and Host-43),WO2009008100 compounds No.1 to No.67, preferably No.3, No.4, No.7 to No. 12, No.55, No.59, No. 63 to No.67, more preferably No. 4, No. 8 to No. 12, No. 55, No. 59, No.64, No.65, and No. 67,WO2009008099 compounds No. 1 to No. 110,WO2008140114 compounds 1-1 to 1-50,WO2008090912 compounds OC-7 to OC-36 and the polymers of Mo-42 to Mo-51,JP2008084913 H-1 to H-70,WO2007077810 compounds 1 to 44, preferably 1, 2, 4-6, 8, 19-22, 26, 28-30, 32, 36, 39-44,WO201001830 the polymers of monomers 1-1 to 1-9, preferably of 1-3, 1-7, and 1-9,WO2008029729 the (polymers of) compounds 1-1 to 1-36,WO20100443342 HS-1 to HS-101 and BH-1 to BH-17, preferably BH-1 to BH-17,JP2009182298 the (co)polymers based on the monomers 1 to 75,JP2009170764,JP2009135183 the (co)polymers based on the monomers 1-14,WO2009063757 preferably the (co)polymers based on the monomers 1-1 to 1-26,WO2008146838 the compounds a-1 to a-43 and 1-1 to 1-46,JP2008207520 the (co)polymers based on the monomers 1-1 to 1-26,JP2008066569 the (co)polymers based on the monomers 1-1 to 1-16,WO2008029652 the (co)polymers based on the monomers 1-1 to 1-52,WO2007114244 the (co)polymers based on the monomers 1-1 to 1-18,JP2010040830 the compounds HA-1 to HA-20, HB-1 to HB-16, HC-1 to HC-23 and the (co)polymers based on the monomers HD-1 to HD-12,JP2009021336,WO2010090077 the compounds 1 to 55,WO2010079678 the compounds H1 to H42,WO2010067746,WO2010044342 the compounds HS-1 to HS-101 and Poly-1 to Poly-4,JP2010114180 the compounds PH-1 to PH-36,US2009284138 the compounds 1 to 111 and H1 to H71,WO2008072596 the compounds 1 to 45,JP2010021336 the compounds H-1 to H-38, preferably H-1,WO2010004877 the compounds H-1 to H-60,JP2009267255 the compounds 1-1 to 1-105,WO2009104488 the compounds 1-1 to 1-38,WO2009086028,US2009153034,US2009134784,WO2009084413 the compounds 2-1 to 2-56,JP2009114369 the compounds 2-1 to 2-40,JP2009114370 the compounds 1 to 67,WO2009060742 the compounds 2-1 to 2-56,WO2009060757 the compounds 1-1 to 1-76,WO2009060780 the compounds 1-1 to 1-70,WO2009060779 the compounds 1-1 to 1-42,WO2008156105 the compounds 1 to 54,JP2009059767 the compounds 1 to 20,JP2008074939 the compounds 1 to 256,JP2008021687 the compounds 1 to 50,WO2007119816 the compounds 1 to 37,WO2010087222 the compounds H-1 to H-31,WO2010095564 the compounds HOST-1 to HOST-61,WO2007108362,WO2009003898,WO2009003919,WO2010040777,US2007224446,WO06128800,WO2012014621,WO2012105310,WO2012/130709 and European patent applicationsEP12175635.7,EP12185230.5 andEP12191408.9 (in particular page 25 to 29 ofEP12191408.9).
  • The above-mentioned small molecules are more preferred than the above-mentioned (co)polymers of the small molecules.
  • Further suitable host materials, are described inWO2011137072 (for example,
    Figure imgb0264
    best results are achieved if said compounds are combined with
    Figure imgb0265
    );WO2012048266 (for example,
    Figure imgb0266
    );
  • WO2012162325 (for example,
    Figure imgb0267
    Figure imgb0268
    ); andEP2551932 (for example,
    Figure imgb0269
  • ). In a particularly preferred embodiment, one or more compounds of the general formula (XV) specified hereinafter are used as host material.
    Figure imgb0270
    wherein
    • X is NR, S, O or PR;
    • R is aryl, heteroaryl, alkyl, cycloalkyl, or heterocycloalkyl;
    • A200 is -NR206R207, -P(O)R208R209, -PR210R211, -S(O)2R212, -S(O)R213, -SR214, or- OR215;
    • R221, R222 and R223 are independently of each other aryl, heteroaryl, alkyl, cycloalkyl, or heterocycloalkyl, wherein at least on of the groups R221, R222, or R223 is aryl, or heteroaryl;
    • R224 and R225 are independently of each other alkyl, cycloalkyl, heterocycloalkyl, aryl, heteroaryl, a group A200, or a group having donor, or acceptor characteristics;
    • n2 and m2 are independently of each other 0, 1, 2, or 3;
    • R206 and R207 form together with the nitrogen atom a cyclic residue having 3 to 10 ring atoms, which can be unsubstituted, or which can be substituted with one, or more substituents selected from alkyl, cycloalkyl, heterocycloalkyl, aryl, heteroaryl and a group having donor, or acceptor characteristics; and/or which can be annulated with one, or more further cyclic residues having 3 to 10 ring atoms, wherein the annulated residues can be unsubstituted, or can be substituted with one, or more substituents selected from alkyl, cycloalkyl, heterocycloalkyl, aryl, heteroaryl and a group having donor, or acceptor characteristics; and
    • R208, R209, R210, R211, R212, R213, R214 und R215 are independently of each other aryl, heteroaryl, alkyl, cycloalkyl, or heterocycloalkyl. Compounds of formulaXV, such as, for example,
      Figure imgb0271
      or
      Figure imgb0272
      are described inWO2010079051 (in particular pages on 19 to 26 and in tables on pages 27 to 34, pages 35 to 37 and pages 42 to 43).
  • Additional host materials on basis of dibenzofurane are, for example, described inUS2009066226,EP1885818B1,EP1970976,EP1998388,EP2034538 and European patent application no.14160197.1. Examples of particularly preferred host materials are shown below:
    Figure imgb0273
    Figure imgb0274
    Figure imgb0275
    Figure imgb0276
    Figure imgb0277
    Figure imgb0278
    Figure imgb0279
    Figure imgb0280
    Figure imgb0281
    Figure imgb0282
    Figure imgb0283
    Figure imgb0284
    Figure imgb0285
    Figure imgb0286
    Figure imgb0287
    Figure imgb0288
    Figure imgb0289
    Figure imgb0290
  • In the above-mentioned compounds T is O, or S, preferably O. If T occurs more than one time in a molecule, all groups T have the same meaning. T1 is O, or S, preferably O. T1 and T2 are independently of each other
    Figure imgb0291
    Figure imgb0292
    or
    Figure imgb0293
    wherein T10 is a C1-C25alkyl group.
  • Compounds
    Figure imgb0294
    Figure imgb0295
    Figure imgb0296
    Figure imgb0297
    Figure imgb0298
    Figure imgb0299
    Figure imgb0300
    and
    Figure imgb0301
    are most preferred.
  • TADF Material
  • In a further embodiment of the present invention, the compounds of formula I are employed as TADF material in the light-emitting layer of an OLED. The compounds of formula I are used as TADF emitter or as TADF host materials in combination with fluorescent emitters.
  • Suitable host materials in combination with the compounds of formula I as emitter material as well as suitable fluorescent emitter material in combination with the compounds of formula I as TADF host material are known by a person skilled in the art.
  • Hole/exciton blocking layer (f):
  • Blocking layers may be used to reduce the number of charge carriers (electrons or holes) and/or excitons that leave the emissive layer. The hole blocking layer may be disposed between the emitting layer (e) and electron transport layer (g), to block holes from leaving layer (e) in the direction of electron transport layer (g). Blocking layers may also be used to block excitons from diffusing out of the emissive layer.
  • Additional hole blocker materials typically used in OLEDs are 2,6-bis(N-carbazolyl)pyridine (mCPy), 2,9-dimethyl-4,7-diphenyl-1,10-phenanthroline (bathocuproin, (BCP)), bis(2-methyl-8-quinolinato)-4-phenylphenylato)aluminum(III) (BAIq), phenothiazine S,S-dioxide derivates and 1,3,5-tris(N-phenyl-2-benzylimidazolyl)benzene) (TPBI), TPBI also being suitable as electron-transport material. Further suitable hole blockers and/or electron conductor materials are 2,2',2"-(1,3,5-benzenetriyl)tris(1-phenyl-1-H-benzimidazole), 2-(4-biphenylyl)-5-(4-tert-butylphenyl)-1,3,4-oxadiazole, 8-hydroxyquinolinolatolithium, 4-(naphthalen-1-yl)-3,5-diphenyl-4H-1,2,4-triazole, 1,3-bis[2-(2,2'-bipyridin-6-yl)-1,3,4-oxadiazo-5-yl]benzene, 4,7-diphenyl-1,10-phenanthroline, 3-(4-biphenylyl)-4-phenyl-5-tert-butylphenyl-1,2,4-triazole, 6,6'-bis[5-(biphenyl-4-yl)-1,3,4-oxadiazo-2-yl]-2,2'-bipyridyl, 2-phenyl-9,10-di(naphthalene-2-yl)anthracene, 2,7-bis[2-(2,2'-bipyridin-6-yl)-1,3,4-oxadiazo-5-yl]-9,9-dimethylfluorene, 1,3-bis[2-(4-tert-butylphenyl)-1,3,4-oxadiazo-5-yl]benzene, 2-(naphthalene-2-yl)-4,7-diphenyl-1,10-phenanthroline, tris(2,4,6-trimethyl-3-(pyridin-3-yl)phenyl)borane, 2,9-bis(naphthalene-2-yl)-4,7-diphenyl-1,10-phenanthroline, 1-methyl-2-(4-(naphthalene-2-yl)phenyl)-1H-imidazo[4,5-f][1,10]-phenanthroline. In a further embodiment, it is possible to use compounds which comprise aromatic or heteroaromatic rings joined via groups comprising carbonyl groups, as disclosed inWO2006/100298, disilyl compounds selected from the group consisting of disilylcarbazoles, disilylbenzofurans, disilylbenzothiophenes, disilylbenzophospholes, disilylbenzothiophene S-oxides and disilylbenzothiophene S,S-dioxides, as specified, for example, inPCT applications WO2009/003919 andWO2009003898 and disilyl compounds as disclosed inWO2008/034758, as a blocking layer for holes/excitons (f).
  • In another preferred embodiment compounds(SH-1), (SH-2), (SH-3), SH-4, SH-5, SH-6, (SH-7),(SH-8), (SH-9), (SH-10) and (SH-11) may be used as hole/exciton blocking materials.
  • Electron transport layer (g):
  • Electron transport layer may include a material capable of transporting electrons. Electron transport layer may be intrinsic (undoped), or doped. Doping may be used to enhance conductivity. Suitable electron-transporting materials for layer (g) of the inventive OLEDs comprise metals chelated with oxinoid compounds, such as tris(8-hydroxyquinolato)aluminum (Alq3), compounds based on phenanthroline such as 2,9-dimethyl-4,7-diphenyl-1,10-phenanthroline (DDPA = BCP), 4,7-diphenyl-1,10-phenanthroline (Bphen), 2,4,7,9-tetraphenyl-1,10-phenanthroline, 4,7-diphenyl-1,10-phenanthroline (DPA) or phenanthroline derivatives disclosed inEP1786050, inEP1970371, or inEP1097981, and azole compounds such as 2-(4-biphenylyl)-5-(4-t-butylphenyl)-1,3,4-oxadiazole (PBD) and 3-(4-biphenylyl)-4phenyl-5-(4-t-butylphenyl)-1,2,4-triazole (TAZ).
  • It is likewise possible to use mixtures of at least two materials in the electron-transporting layer, in which case at least one material is electron-conducting. Preferably, in such mixed electron-transport layers, at least one phenanthroline compound is used, preferably BCP, or at least one pyridine compound according to the formula(XVI) below, preferably a compound of the formula (XVIa) below. More preferably, in mixed electron-transport layers, in addition to at least one phenanthroline compound, alkaline earth metal or alkali metal hydroxyquinolate complexes, for example Liq, are used. Suitable alkaline earth metal or alkali metal hydroxyquinolate complexes are specified below(formula XVII). Reference is made toWO2011/157779.
  • The electron-transport layer may also be electronically doped in order to improve the transport properties of the materials used, in order firstly to make the layer thicknesses more generous (avoidance of pinholes/short circuits) and in order secondly to minimize the operating voltage of the device. Electronic doping is known to those skilled in the art and is disclosed, for example, inW. Gao, A. Kahn, J. Appl. Phys., Vol. 94, No. 1, 1 July 2003 (p-doped organic layers);A. G. Werner, F. Li, K. Harada, M. Pfeiffer, T. Fritz, K. Leo, Appl. Phys. Lett., Vol. 82, No. 25, 23 June 2003 andPfeiffer et al., Organic Electronics 2003, 4, 89 - 103 and K. Walzer, B. Maennig, M. Pfeiffer, K. Leo, Chem. Soc. Rev. 2007, 107, 1233. For example, it is possible to use mixtures which lead to electrical n-doping of the electron-transport layer. n-Doping is achieved by the addition of reducing materials. These mixtures may, for example, be mixtures of the abovemen-tioned electron transport materials with alkali/alkaline earth metals or alkali/alkaline earth metal salts, for example Li, Cs, Ca, Sr, Cs2CO3, with alkali metal complexes, for example 8-hydroxyquinolatolithium (Liq), and with Y, Ce, Sm, Gd, Tb, Er, Tm, Yb, Li3N, Rb2CO3, dipotassium phthalate, W(hpp)4 fromEP1786050, or with compounds described inEP1837926B1,EP1837927,EP2246862 andWO2010132236.
  • In a preferred embodiment, the electron-transport layer comprises at least one compound of the general formula(XVII)
    Figure imgb0302
    in which
    • R32' and R33' are each independently F, C1-C8-alkyl, or C6-C14-aryl, which is optionally substituted by one or more C1-C8-alkyl groups, or
    • two R32' and/or R33' substituents together form a fused benzene ring which is optionally substituted by one or more C1-C8-alkyl groups;
    • a and b are each independently 0, or 1, 2 or 3,
    • M1 is an alkaline metal atom or alkaline earth metal atom,
    • p is 1 when M1 is an alkali metal atom, p is 2 when M1 is an earth alkali metal atom.
  • A very particularly preferred compound of the formula (XVII) is
    Figure imgb0303
    (Liq), which may be present as a single species, or in other forms such as LigQg in which g is an integer, for example Li6Q6. Q is an 8-hydroxyquinolate ligand or an 8-hydroxyquinolate derivative.
  • In a further preferred embodiment, the electron-transport layer comprises at least one compound of the formula (XVI),
    Figure imgb0304
    in which
    • R34", R35", R36", R37", R34', R35', R36' and R37' are each independently H, C1-C18-alkyl, C1-C18-alkyl which is substituted by E' and/or interrupted by D', C6-C24-aryl, C6-C24-aryl which is substituted by G', C2-C20-heteroaryl or C2-C20-heteroaryl which is substituted by G',
    • Q is an arylene or heteroarylene group, each of which is optionally substituted by G';
    • D' is -CO-; -COO-; -S-; -SO-; -SO2-; -O-; -NR40'-; -SiR45'R46'-; -POR47'-; -CR38'=CR39'-; or -C≡C-; E' is -OR44'; -SR44'; -NR40'R41'; -COR43'; -COOR42'; -CONR40'R41'; -CN; or F;
    • G' is E', C1-C18-alkyl, C1-C18-alkyl which is interrupted by D', C1-C18-perfluoroalkyl, C1-C18-alkoxy, or C1-C18-alkoxy which is substituted by E' and/or interrupted by D', in which R38' and R39' are each independently H, C6-C18-aryl; C6-C18-aryl which is substituted by C1-C18-alkyl or C1-C18-alkoxy; C1-C18-alkyl; or C1-C18-alkyl which is interrupted by -O-;
    • R40' and R41' are each independently C6-C18-aryl; C6-C18-aryl which is substituted by C1-C18-alkyl or C1-C18-alkoxy; C1-C18-alkyl; or C1-C18-alkyl which is interrupted by -O-; or R40' and R41' together form a 6-membered ring;
    • R42' and R43' are each independently C6-C18-aryl; C6-C18-aryl which is substituted by C1-C18-alkyl or C1-C18-alkoxy; C1-C18-alkyl; or C1-C18-alkyl which is interrupted by -O-,
    • R44' is C6-C18-aryl; C6-C18-aryl which is substituted by C1-C18-alkyl or C1-C18-alkoxy; C1-C18-alkyl; or C1-C18-alkyl which is interrupted by -O-,
    • R45'and R46'are each independently C1-C18-alkyl, C6-C18-aryl or C6-C18-aryl which is substituted by C1-C18-alkyl,
    • R47' is C1-C18-alkyl, C6-C18-aryl or C6-C18-aryl which is substituted by C1-C18-alkyl.
  • Preferred compounds of the formula(XVI) are compounds of the formula (XVIa)
    Figure imgb0305
    in which Q is:
    Figure imgb0306
    R48' is H or C1-C18-alkyl and
    R48" is H, C1-C18-alkyl or
    Figure imgb0307
  • Particular preference is given to a compound of the formula
    Figure imgb0308
    (ETM-2).
  • In a further, very particularly preferred embodiment, the electron-transport layer comprises a compoundLiq and a compoundETM-2.
  • In a preferred embodiment, the electron-transport layer comprises at least one compound of the formula (XVII) in an amount of 99 to 1 % by weight, preferably 75 to 25% by weight, more preferably about 50% by weight, and at least one compound of the formula(XVI) in an amount of 1 to 99% by weight, preferably 25 to 75% by weight, more preferably about 50% by weight, where the amount of the compounds of the formulae(XVII) and the amount of the compounds of the formulae(XVI) adds up to a total of 100% by weight.
  • The preparation of the compounds of the formula(XVI) is described in J. Kido et al., Chem. Commun. (2008) 5821-5823,J. Kido et al., Chem. Mater. 20 (2008) 5951-5953 andJP2008/127326, or the compounds can be prepared analogously to the processes disclosed in the aforementioned documents.
  • It is likewise possible to use mixtures of alkali metal hydroxyquinolate complexes, preferably Liq, and dibenzofuran compounds in the electron-transport layer. Reference is made toWO2011/157790. Dibenzofuran compoundsA-1 to A-36 andB-1 toB-22 described inWO2011/157790 are preferred, wherein dibenzofuran compound
    Figure imgb0309
    (A-10; =ETM-1) is most preferred.
  • In a preferred embodiment, the electron-transport layer comprises Liq in an amount of 99 to 1 % by weight, preferably 75 to 25% by weight, more preferably about 50% by weight, and at least one dibenzofuran compound in an amount of 1 to 99% by weight, preferably 25 to 75% by weight, more preferably about 50% by weight, where the amount of Liq and the amount of the dibenzofuran compound(s), especiallyETM-1, adds up to a total of 100% by weight.
  • In a preferred embodiment, the electron-transport layer comprises at least one phenanthroline derivative and/or pyridine derivative.
  • In a further preferred embodiment, the electron-transport layer comprises at least one phenanthroline derivative and/or pyridine derivative and at least one alkali metal hydroxyquinolate complex.
  • In a further preferred embodiment, the electron-transport layer comprises at least one of the dibenzofuran compoundsA-1 toA-36 andB-1 toB-22 described inWO2011/157790, especiallyETM-1.
  • In a further preferred embodiment, the electron-transport layer comprises a compound described inWO2012/111462,WO2012/147397,WO2012014621, such as, for example, a compound of formula
    Figure imgb0310
    US2012/0261654 , such as, for example, a compound of formula
    Figure imgb0311
    andWO2012/115034, such as for example, such as, for example, a compound of formula
    Figure imgb0312
  • Electron injection layer (h):
  • The electron injection layer may be any layer that improves the injection of electrons into an adjacent organic layer. Lithium-comprising organometallic compounds such as 8-hydroxyquinolatolithium (Liq), CsF, NaF, KF, Cs2CO3 or LiF may be applied between the electron transport layer (g) and the cathode (i) as an electron injection layer (h) in order to reduce the operating voltage.
  • Cathode (i):
  • The cathode (i) is an electrode which serves to introduce electrons or negative charge carriers. The cathode may be any metal or nonmetal which has a lower work function than the anode.
  • Suitable materials for the cathode are selected from the group consisting of alkali metals of group 1, for example Li, Cs, alkaline earth metals of group 2, metals of group 12 of the Periodic Table of the Elements, comprising the rare earth metals and the lanthanides and actinides. In addition, metals such as aluminum, indium, calcium, barium, samarium and magnesium, and combinations thereof, may be used.
  • In general, the different layers, if present, have the following thicknesses:
    • anode (a): 500 to 5000 Å (ångström), preferably 1000 to 2000 Å;
    • hole injection layer (b): 50 to 1000 Å, preferably 200 to 800 Å,
    • hole-transport layer (c): 50 to 1000 Å, preferably 100 to 800 Å,
    • exciton blocking layer (d): 10 to 500 Å, preferably 50 to 100 Å,
    • light-emitting layer (e): 10 to 1000 Å, preferably 50 to 600 Å,
    • hole/ exciton blocking layer (f): 10 to 500 Å, preferably 50 to 100 Å,
    • electron-transport layer (g): 50 to 1000 Å, preferably 200 to 800 Å,
    • electron injection layer (h): 10 to 500 Å, preferably 20 to 100 Å,
    • cathode (i): 200 to 10 000 Å, preferably 300 to 5000 Å.
  • The person skilled in the art is aware (for example on the basis of electrochemical studies) of how suitable materials have to be selected. Suitable materials for the individual layers are known to those skilled in the art and are disclosed, for example, inWO 00/70655.
  • In addition, it is possible that some of the layers used in the inventive OLED have been surface-treated in order to increase the efficiency of charge carrier transport. The selection of the materials for each of the layers mentioned is preferably determined by obtaining an OLED with a high efficiency and lifetime.
  • The inventive OLED can be produced by methods known to those skilled in the art. In general, the inventive OLED is produced by successive vapor deposition of the individual layers onto a suitable substrate. Suitable substrates are, for example, glass, inorganic semiconductors or polymer films. For vapor deposition, it is possible to use customary techniques, such as thermal evaporation, chemical vapor deposition (CVD), physical vapor deposition (PVD) and others. In an alternative process, the organic layers of the OLED can be applied from solutions or dispersions in suitable solvents, employing coating techniques known to those skilled in the art.
  • Use of the compounds of the formula I in at least one layer of the OLED, preferably in the light-emitting layer (preferably as a matrix material), charge transport layer and/or in the charge/exciton blocking layer makes it possible to obtain OLEDs with high efficiency and with low use and operating voltage. Frequently, the OLEDs obtained by the use of the compounds of the formula I additionally have high lifetimes. The efficiency of the OLEDs can additionally be improved by optimizing the other layers of the OLEDs. For example, high-efficiency cathodes such as Ca or Ba, if appropriate in combination with an intermediate layer of LiF, can be used. Moreover, additional layers may be present in the OLEDs in order to adjust the energy level of the different layers and to facilitate electroluminescence.
  • The OLEDs may further comprise at least one second light-emitting layer. The overall emission of the OLEDs may be composed of the emission of the at least two light-emitting layers and may also comprise white light.
  • The OLEDs can be used in all apparatus in which electroluminescence is useful. Suitable devices are preferably selected from stationary and mobile visual display units and illumination units. Stationary visual display units are, for example, visual display units of computers, televisions, visual display units in printers, kitchen appliances and advertising panels, illuminations and information panels. Mobile visual display units are, for example, visual display units in cell-phones, tablet PCs, laptops, digital cameras, MP3 players, vehicles and destination displays on buses and trains. Further devices in which the inventive OLEDs can be used are, for example, keyboards; items of clothing; furniture; wallpaper. In addition, the present invention relates to a device selected from the group consisting of stationary visual display units such as visual display units of computers, televisions, visual display units in printers, kitchen appliances and advertising panels, illuminations, information panels, and mobile visual display units such as visual display units in cellphones, tablet PCs, laptops, digital cameras, MP3 players, vehicles and destination displays on buses and trains; illumination units; keyboards; items of clothing; furniture; wallpaper, comprising at least one inventive organic light-emitting diode or at least one inventive light-emitting layer.
  • The following examples are included for illustrative purposes only and do not limit the scope of the claims. Unless otherwise stated, all parts and percentages are by weight.
  • ExamplesI Preparation ExamplesExample 1
  • Figure imgb0313
  • 2.92 g (20.0 mmol) of 1,3-dicyano-5-fluoro-benzene, 4.14 g (20.0 mmol) of 6H-benzimidazolo[1,2-a]benzimidazole and 4.25 g (20.0 mmol) of tripotassium phosphate in 50 ml of DMF are stirred for 2 h at 120 °C. The reaction mixture is cooled at room temperature and added water, then the precipitate is filterted off. Gradient column chromatography on silica gel with dichloromethane/ethyl acetate (dichloromethane100%, 9/1, 4/1) gives the product. Yield 6.13 g (92 %).
    1H NMR (400 MHz, CDCl3): δ 8.61 (d, 2H); 7.96 (t, 1 H); 7.89 (td, 2H); 7.83 (dd, 1 H); 7.66 (dd, 1 H); 7.52 (td, 1 H); 7.49 - 7.43 (m, 2H); 7.40 (td, 1 H).
  • Example 2
  • Figure imgb0314
  • 1.63 g (10.0 mmol) of 2-chloro-1,3-dicyano-benzene, 2.07 g (10.0 mmol) of 6H-benzimidazolo[1,2-a]benzimidazole and 2.12 g (10.0 mmol) of tripotassium phosphate in 50 ml of DMF are stirred for 24 h at 150 °C. The reaction mixture is cooled at room temperature and added water, then the precipitate is filterted off. Gradient column chromatography on silica gel with dichloromethane/ethyl acetate (dichloromethane100%, 9/1, 4/1) gives the product. Yield 2.80 g (84 %).
    1H NMR (400 MHz, CDCl3): δ 8.19 (d, 2H); 7.95 - 7.87 (m, 2H); 7.86 (t, 1 H); 7.79 (dd, 1 H); 7.49 (td, 1 H); 7.46 - 7.35 (m, 3H); 7.15 (dt, 1 H).
  • Example 3
  • Figure imgb0315
  • 1.46 g (10.0 mmol) of 1,2-dicyano-3-fluoro-benzene, 2.07 g (10.0 mmol) of 6H-benzimidazolo[1,2-a]benzimidazole and 2.12 g (10.0 mmol) of tripotassium phosphate in 50 ml of DMF are stirred for 24 h at 120 °C. The reaction mixture is cooled at room temperature and added water, then the precipitate is filterted off. Gradient column chromatography on silica gel with dichloromethane/ethyl acetate (dichloromethane100%, 9/1, 4/1) gives the product. Yield 3.10 g (93 %).
    1H NMR (400 MHz, CDCl3): δ 8.20 (dd, 1 H); 8.05 - 7.96 (m, 2H); 7.90 (dd, 2H); 7.79 (dd, 1 H); 7.49 (td, 1 H); 7.46 - 7.36 (m, 3H); 7.32 - 7.26 (m, 1 H).
  • Example 4
  • Figure imgb0316
  • 0.98 g (6.71 mmol) of 1,3-dicyano-5-fluoro-benzene, 2.50 g (6.71 mmol) of 6-(3-carbazolyl)-benzimidazolo[1,2-a]benzimidazole and 1.42 g (6.71 mmol) of tripotassium phosphate in 20 ml of DMF are stirred for 24 h at 120 °C. The reaction mixture is cooled at room temperature and added water, then the precipitate is filterted off. Gradient column chromatography on silica gel with dichloromethane/ethyl acetate (dichloromethane100%, 9/1, 4/1) gives the product. Yield 2.94 g (88 %).
    1H NMR (400 MHz, CDCl3): δ 8.56 (dd, 1 H); 8.24 (d, 2H); 8.23-8.19 (m, 1 H); 8.07 (t, 1 H); 7.94-7.89 (m, 3H); 7.81 (dt, 1 H); 7.62 (dd, 1 H); 7.60 - 7.53 (m, 2H); 7.48 - 7.32 (m, 6H).
  • Example 5
  • Figure imgb0317
  • 5.00 g (36.0 mmol) 2,3-difluorobenzonitrile, 14.9 g (72.0 mmol) 6H-benzimidazolo[1,2-a]benzimidazole and 30.5 (144 mmol) potassium phosphate tribasic in 120 ml NMP (N-Methyl-2-pyrrolidon) are stirred at 185 °C under nitrogen for 6 h.
    The reaction mixture is filtered hot and the organic phase is poured on water. The product is filtered of. Column chromatography on silica gel with chloroform gives 6.25 g 33.9 % of the product.
    1H NMR (300 MHz, DMSO-D6): rotamers: δ 8.43-8.57 (m, 2H), 7.58-8.20 (m, 6H), 6.86-7.42 (m, 9H), 6.63-7.78 (m, 1 H), 6.48-6.54 (m, 1 H).
  • Example 6
  • Figure imgb0318
  • 5.00 g (36.0 mmol) 2,6-difluorobenzonitrile, 14.9 g (72.0 mmol) 6H-benzimidazolo[1,2-a]benzimidazole and 30.5 g (144 mmol) potassium phosphate tribasic in 150 ml NMP (N-Methyl-2-pyrrolidon) are stirred at 170 °C under nitrogen for 6 h. The reaction mixture is filtered hot and the precipitated product was filtered of. The product is decocted in DMSO. Yield 3 g 16.3 % of the product.
    1H NMR (400 MHz, TFA-d1): δ 8.48-8.78 (m, 3H), 8.24-8.32 (m, 4H), 7.67-7.93 (m, 12H).
  • Example 7
  • Figure imgb0319
    • A.) 10.6 g (41.6 mmol) 2-bromo-6-fluoro-benzonitrile, 8.63 g (41.6 mmol) 6H-benzimidazolo[1,2-a]benzimidazole and 30.9 (146 mmol) potassium phosphate tribasic in 70 ml NMP (N-Methyl-2-pyrrolidon) are stirred at 115 °C under nitrogen for 2 h. The reaction mixture is filtered hot and the or organic phase is poured on water. The product is filtered of. Yield 17 g (94 %).
      1H NMR (300 MHz, DMSO-D6): δ 8.22-8.34 (m, 3H), 8.02-8.05 (m, 1 H), 7.69-7.79 (m, 1 H), 7.60-7.65 (m, 1 H), 7.30-7.50 (m, 5H)
      Figure imgb0320
    • B.) 6.52 g (15.0 mmol) 2-(benzimidazolo[1,2-a]benzimidazol-5-yl)-6-iodo-benzonitrile, 2.51 g (15.0 mmol) carbazole, 12.8 g (60.0 mmol) potassium phosphate tribasic, 0.430 g (2.00 mmol) cupper(I) iodide and 4.00 g (35.0 mmol) DACH ((±)-trans-1,2-diaminocyclohexane) in 75 ml mml dioxane are stirred at 95 °C under nitrogen for 24 h.
  • The reaction mixture is filtered hot and the solids are washed with dioxane. The solvent is removed in vacuum. Column chromatography on silica gel with chloroform gives 1.53 g 22 % of the product.
    1H NMR (300 MHz, DMSO-D6): δ 8.25-8.34 (m, 6H), 8.08-8.11 (m, 1 H), 7.31-7.70 (m, 12H)MS (ESI(pos), m/z): 474 (M+1).
  • Example 8
  • Figure imgb0321
    • A.)15.0 g 3-bromo-2-fluoro-benzonitrile (75.0 mmol), 12.9 g (77.0 mmol) carbazole, 47.8 g (225 mmol) potassium phosphate tribasic, 1.43 g (7.00 mmol) cupper(I) iodide and 1.71 g (15.0 mmol) DACH ((±)-trans-1,2-diaminocyclohexane) in 150 ml xylene are stirred at 115 °C under nitrogen for 20 h.
      The reaction mixture is filtered hot and the solids are washed with Xylene. The solvent is removed in vacuum. Column chromatography on silica gel with chloroform/heptane 1 to 1 gives 5.7 g 27 % of the product.
      1H NMR (300 MHz, DMSO-D6): δ 8.29 (s, 1 H), 8.27 (s, 1 H), 8.13-8.20 (m,1 H), 7.67-7.73 (m, 1 H), 7.44-7.50 (m 2H), 7.29-7.37 (m 4H)
      Figure imgb0322
    • B.)3.50 g (12.2 mmol) 3-carbazol-9-yl-2-fluoro-benzonitrile, 2.58 g (12.5 mmol) 6H-benzimidazolo[1,2-a]benzimidazole and 10.3 g (50 mmol) potassium phosphate tribasic in 35 ml NMP (N-Methyl-2-pyrrolidon) are stirred at 170 °C under nitrogen for 18 h.
      The reaction mixture is filtered hot and the precipitated product was filtered of. Column chromatography on silica gel with dichloromethane gives 1.70 g 29 % of the product.
      1H NMR (300 MHz, DMSO-D6): δ 8.46 (dd, 1H), 8.29 (dd. 1H), 8.13 (t, 1H), 7.96-8.00 (m, 2H), 7.85 (d, 1H), 7.80 (d, 1H), 7.67 (d, 1H), 7.58 (d, 1H), 7.41-7.46 (m, 1H), 7.31-7.37 (m, 1H) 7.22-7.27 (m, 2H), 7.00-7.707 (m, 2H), 6.87-6.93 (m, 2H), 6.66-6.73 (m, 2H).
      MS (ESI(pos), m/z): 474 (M+1).
    Example 9
  • Figure imgb0323
    • A.) 10.6 g (41.6 mmol) 2-fluoro-6-iodo-benzonitrile, 8.63 g (41.6 mmol) 6H-benzimidazolo[1,2-a]benzimidazole and 30.9 (146 mmol) potassium phosphate tribasic in 70 ml NMP (N-Methyl-2-pyrrolidon) are stirred at 115 °C under nitrogen for 2 h.
      The reaction mixture is filtered hot and the organic phase is poured on water. The product is filtered of. Yield 17 g (94 %)
      1H NMR (300 MHz, DMSO-D6): δ 8.22-8.34 (m, 3H), 8.02-8.05 (m, 1 H), 7.69-7.79 (m, 1 H), 7.60-7.65 (m, 1 H), 7.30-7.50 (m, 5H)
      Figure imgb0324
    • B.) 4.20 g (9.67 mmol) 2-(benzimidazolo[1,2-a]benzimidazol-5-yl)-6-iodo-benzonitrile, 4.44 g (9,67 mmol) 9-[8-(4,4,5,5-tetramethyl-1,3,2-dioxaborolan-2-yl)dibenzofuran-2-yl]carbazole, 8.21 g (39.0 mmol) potassium phosphate tribasic in 30 ml dioxane, 60 ml toluene and 24 ml water are degased with argon. 0.2 g (0.9 mmol) palladium(II)acetate is added and the reaction mixture is degased with argon. 0.93 g (2.2 mmol) SPhos (2-Dicyclohexylphosphino-2',6'-dimethoxybiphenyl) is added and the reaction mixture is degased with argon. The reaction mixture is refluxed under argon for 18 h.
      The organic layer is washed with a 1 % solution of NaCN in water and then the organic phase is washed with water. The organic phase is dried with Magnesium sulfate and the solvent is removed in vacuum.
      Column chromatography on silica gel with dichloromethane gives 1.450 g 23 % of the product.1H NMR (300 MHz, DMSO-D6): δ 8.58-8.71 (m, 2H), 7.78-8.31 (m, 11 H), 7.59-7.65 (m, 1 H), 7.25-7.50 (m, 11 H)
      MS (APCI(pos), m/z): 640 (M+1).
    Example 10
  • Figure imgb0325
    • A.) 15.0 g (75.0 mmol) 3-bromo-2-fluoro-benzonitrile, 15.5 g (75mmol) 6H-benzimidazolo[1,2-a]benzimidazole and 47.8 (225 mmol) potassium phosphate tribasic in 100 ml NMP (N-Methyl-2-pyrrolidon) are stirred at 105 °C under nitrogen for 3.5 h.
      The reaction mixture is filtered hot and the organic phase is poured on water. The product is filtered of. Yield 26.4 g (91 %)
      1H NMR (300 MHz, DMSO-D6): δ 8.37-8.41 (m, 1 H), 8.27-8.32 (m, 3H), 7.83-7.88 (t, 1 H, J=2*8Hz), 7.60-7.66 (m, 1 H), 7.25-7.53 (m, 5H)
      Figure imgb0326
    • B.) 5.00 g (12.9 mmol) 2-(benzimidazolo[1,2-a]benzimidazol-5-yl)-3-bromo-benzonitrile, 5.93 g (12.9 mmol) 9-[8-(4,4,5,5-tetramethyl-1,3,2-dioxaborolan-2-yl)dibenzofuran-2-yl]carbazole, 11.0 g (52.0 mmol) potassium phosphate tribasic in 32 ml dioxane, 80 ml toluene and 24 ml water are degased with argon. 0.1 g (0.5 mmol) palladium(II)acetate is added and the reaction mixture is degased with argon. 0.46 g (1 mmol) SPhos (2-Dicyclohexylphosphino-2',6'-dimethoxybiphenyl) is added and the reaction mixture is degased with argon. The reaction mixture is refluxed under argon for 18 h.
      The organic layer is washed with a 1 % solution of NaCN in water and then the organic phase is washed with water. The organic phase is dried with Magnesium sulfate and the solvent is removed in vacuum.
      Column chromatography on silica gel with dichloromethane gives 3 g 36 % of the product.
      1H NMR (300 MHz, DMSO-D6): δ 7.98-8.32 (m, 9H), 7.87-7.90 (d, 1 H), 7.67-7.70 (dd, 1 H), 7.03-7.55 (m, 14H),
    Example 11
  • Figure imgb0327
  • 5.00 g (31.8 mmol) 3-bromo-2-fluoro-benzonitrile, 23.1 g (111 mmol) 6H-benzimidazolo[1,2-a]benzimidazole and 60.8 (0.286 mol) potassium phosphate tribasic in 120 ml NMP (N-Methyl-2-pyrrolidon) are stirred at 30 °C under nitrogen for 30 min. Then the reaction mixture is stierred at 120 °C for 4 h.
    The reaction mixture is filtered hot and is washing with water. The product is crystalized from DMSO. The product is filtered of. Yield 2.5 g (11 %)
    1H NMR (300 MHz, DMSO-D6): δ 6.44-8.33 (m, 26H)
  • Example 12
  • Figure imgb0328
  • 2.5 g (15.9 mmol) 2,3,4-trifluorobenzonitrile, 10.9 g (52.5 mmol) 6H-benzimidazolo[1,2-a]benzimidazole and 27.0 g (0.127 mol) potassium phosphate tribasic in 50 ml NMP (N-Methyl-2-pyrrolidon) are stirred at 115 °C under nitrogen for 18 h. The reaction mixture is filtered hot and the organic phase is poured on water. The product is filtered of. Column chromatography on silica gel with chloroform gives 1.3 g (11.4 %) of the product.
    1H NMR (300 MHz, DMSO-D6): rotamers: δ 8.55-8.82 (m, 2H); 6.41-8.07 (m, 24H)
    MS (APCI(pos), m/z): 719 (M+1).
  • Example 13
  • Figure imgb0329
  • 4.0 g (28.8 mmol) 3,5-difluorobenzonitrile, 11.9 g (57.6 mmol) 6H-benzimidazolo[1,2-a]benzimidazole and 36.6 g (173 mmol) potassium phosphate tribasic in 50 ml NMP (N-Methyl-2-pyrrolidon) are stirred at 180°C under nitrogen for 7 h. The reaction mixture is filtered hot. Washing with water. Yield 6.6 g 47.7 % product.
    1H NMR (400 MHz, TFA-d1): δ 8.87 (m, 1H); 8.70(s, 1H); 8.69 (s, 1H); 8.28 (d,J= 8.1Hz 2H) 8.21 - 8.23 (m, 2H); 7.75-7.90 (m, 8H)
  • Example 14
  • Figure imgb0330
  • 1.50 g (10.7 mmol) 2,6-difluorobenzonitrile, 8.19 g (22.0 mmol) 5-(9H-carbazol-3-yl)-5H-benzo[d]benzo[4,5]imidazo[1,2a]imidazole and 10.7 g (47.5 mmol) potassium phosphate tribasic in 30 ml NMP (N-Methyl-2-pyrrolidon) are stirred at 130°C under nitrogen for 7 h. The reaction mixture is filtered hot and the organic phase is poured on water. The product is filtered of. Column chromatography on silica gel with chloroform gives 4.7 g (51.6 %) of the product.
    1H NMR (400 MHz, DMSO-D6): δ 8.80-8.81 (d, 2H), 8.38-8.45 (m, 3H), 8.21-8.32 (m, 6H), 8.01-8.03-7.50 (t, 1 H), 7.99-8.00 (t, 1 H), 7.82-7.83 (d, 1 H), 7.80-7.81 (d, 1 H), 7.59-7.65 (m, 8H), 7.27-7.48 (m, 10H)
  • Example 15
  • Figure imgb0331
  • 222mg NaH (60% in mineral oil) and 304 mg (1,85 mmol) 4,5-difluorophtalonitril is added to a solution of 960 mg (4.63 mmol) benzimidazolo[1,2-a]benzimidazole in 275 ml N,N-dimethylformamide and stirred 1,5 hours at room temperature. The reaction is quenched with 550 ml distilled water, the precipate is filtered, washed three times with distilled water, and dried under vacuum at 60 °C. The product is purified under chromatography using a 19:1 CH2Cl2 /THF mixture and obtained as a fine bright yellow powder (99.6% purity, 886 mg, 89% yield).
    1 H-NMR (DMSO; 500MHz): δ (ppm) 9,05 (d, 2H); 7,99 (d, 1 H); 7,9 (m, 2H); 7,80 (d, 1 H); 7,51 (d, 1 H); 7,23 (m, 7H); 7,00 (m, 3H); 6,785 (t, 1 H).
  • Example 16
  • Figure imgb0332
  • 9-fluorodibenzofuran-2-carbonitrile (1.6 g, 7.58 mmol), 6H-benzimidazolo[1,2-a]benzimidazole (1.65 g, 7.96 mmol), and potassium phosphate (3.38 g, 15.91 mmol) are suspended in 39 mL of NMP, and the mixture is stirred at 185 °C for 14 h. After the reaction mixture is cooled at room temperature, it is diluted with 76 mL of water and 38 mL of EtOH. The solid is collected by filtration, and dried in vacuum oven at 50 °C. The crude product is purified by column chromatography on silica gel eluting with chloroform to yield 2.21 g (73%) of 9-(benzimidazolo[1,2-a]benzimidazol-5-yl)dibenzofuran-2-carbonitrileas a white solid.
    1H-NMR (300 MHz, DMSO-d6): δ 8.36-8.26 (m, 2H), 8.08-7.83 (m, 5H), 7.61-7.54 (m, 2H), 7.48 (td, J =1.1, 7.8 Hz, 4H), 7.36-7.30 (m, 3H), 7.19 (d,J = 7.8 Hz, 1 H)
  • Example 17
  • Figure imgb0333
    • A.) 10 g (50.0 mmol) 3-bromo-4-fluoro-benzonitrile, 9.33 g (45 mmol) 6H-benzimidazolo[1,2-a]benzimidazole and 31.8 g (150 mmol) K3PO4 are added to 100 ml DMF and the suspension is heated to 110°C for 23 h. The reaction mixture is filtered hot through Hyflo and the filtrate is evaporated on the rotavap to yield 18.6 g of crude product. The crude product is suspended in 100 ml MeOH, stirred at RT for 2h, filtered and dried at 80°C/125 mbar overnight to yield 15.1 g of a beige product. Recrystallization from 500 ml EtOAc yields 13.5 g (69.7% of theory) 2-(benzimidazolo[1,2-a]benzimidazol-5-yl)-3-bromo-benzonitrile as white solid.
      1H-NMR (400 MHz, CDCl3): δ 8.08 (dxd, J1 = 8.4 Hz, J2 = 1.6 Hz, 1 H), 7.90 - 7.865 (m, 3H), 7.76 (d, J = 7.6 Hz, 1 H), 7.57 (t, J = 8.0 Hz, 1 H), 7.44- 7.30 (m, 4H), 7.01 (d, J = 8.0 Hz,1 H).
      Figure imgb0334
    • B.) 40 g (160.3 mmol) 2-bromo-dibenzofuran are dissolved in 250 ml THF abs. and cooled to-78°C. 65 ml (175.5 mmol) BuLi (2.7M in hexane) are added within 55 min while keeping the internal temperature below -73°C. The resulting suspension is stirred for 30 min followed by the addition of 33.5 g (176.3 mmol) 2-isopropoxy-4,4,5,5-tetramethyl-1,3,2-dioxaborolane within 30 min while keeping the internal temperature below -73°C. The reaction mixture is then slowly brought to RT, then 200 ml of buffer solution pH = 7 are added and the pH brought to 7 by the addition of HCl 4M. The organic solvent is then evaporated on the rotavap; the aqueous phase is extracted three times with EtOAc (250 ml each). The combined organic phases are washed three times with H2O (200 ml each), dried over Na2SO4, filtered and evaporated. The crude product (51.7 g) is purified by CombiFlash chromatography (solvent: Heptane / CH2Cl2 (0 to 40%)) to yield 34.1g of a colorless oil. 100 ml MeOH are added, the mixtue is heated to reflux, cooled to RT and then to 0°C. The suspension is filtered and the residue is dried at 30°C / 125 mbar overnight to yield 28.3 g (60.0% of theory) 2-dibenzofuran-2-yl-4,4,5,5-tetramethyl-1,3,2-dioxaborolane as a white solid.
      1H-NMR (300 MHz, CDCl3): 8.45 (s (1 H), 7.99 - 7.92 (m. 2H), 7.59 - 7.55 (m, 2H), 7.48 (t, J = 7.2 Hz, 1 H), 7.37 (t, J = 7.8 Hz, 1 H), 1.40 (s, 12H).
      Figure imgb0335
    • C.) 7.68 g (19.8 mmol) 2-(benzimidazolo[1,2-a]benzimidazol-5-yl)-3-bromo-benzonitrile and 7.0 g (23.8 mmol) 2-dibenzofuran-2-yl-4,4,5,5-tetramethyl-1,3,2-dioxaborolane are dissolved in 140 ml THF and the solution is evacuated and purged three times with argon. 0.35 g (1.2 mmol) P(t-Bu)3·HBF4 and 0.54 g (0.6 mmol) Pd2(dba)3 are added and the solution is evacuated and purged three times with argon and heated to 50°C. A solution of 12.6 g (59.5 mmol) K3PO4 in 35 ml H2O (evacuated and purged three times with argon) is added with a syringe and the reaction mixture is heated to reflux for 17 h. To the cooled reaction mixture are added 300 ml EtOAc and the phases are separated. The organic phase is washed three times with brine (100 ml each), dried over MgSO4 filtered and evaporated on the rotavap to yield 13.3 g of crude product. Flash chromatography using CH2Cl2 / EtOAc = 9:1 as eluent
      yields 7.23 g (68.0% of theory) 2-(benzimidazolo[1,2-a]benzimidazol-5-yl)-3-dibenzofuran-2-yl-benzonitrile as a white solid.
      1H-NMR (300 MHz, CDCl3): δ 7.97 (m, 2H), 7.84 - 7.71 (m, 4H), 7.64 (d, J = 7.6 Hz, 1 H), 7.53 (d, J = 8.0 Hz, 1 H), 7.44 (d, J = 8.0 Hz, 1 H), 7.39 - 7.33 (m, 2H), 7.28 - 7.11 (m, 6H), 6.90 (d, J = 7.6 Hz, 1 H).
    Example 18
  • Figure imgb0336
    • A.) 20.0 g (87.3 mmol) 3-bromo-benzonitrile, 16.6 g (80.0 mmol) 6H-benzimidazolo[1,2-a]benzimidazole, 67.9 g (320 mmol) potassium phosphate tribasic, 1.5 g (7.88 mmol) cupper(I) iodide and 100 g (875 mmol) DACH ((±)-trans-1,2-diaminocyclohexane) in 240 ml dioxane are stirred at 100 °C under nitrogen for 7 h.
      The reaction mixture is filtered hot and the solids are washed with dioxane. The reaction mixture is cooled to 50 °C and the crystalized product is filtered of and is washed with methanol. Yield 11.2 g (46 %)
      1H-NMR (300 MHz, CDCl3): δ 7.33-7.49 (m, 4H), 7.59 - 7.63 (d, 1 H), 7.72-7.83 (m, 3H), 7.86-7.90 (d, 2H), 8.22-8.26 (m, 2H),
      Figure imgb0337
    • B.) 11.2 g (36.3 mmol) 3-(benzimidazolo[1,2-a]benzimidazol-5-yl)benzonitrile, 11.7 g (36.3 mmol) diacetoxy-iodobenzene, 9.22 g (36.3 mmol) iodine in 90 ml acetic acid are stirred under nitrogen at 25 °C for 18 h. The product is filtered off and is washed with methanol and methanol water 95 to 5. Yield: 12.8 g (81 %)
      1H-NMR (300 MHz, CDCl3): δ 7.39-7.61 (m, 4H), 7.66 - 7.70 (d, 1 H), 7.73-7.86 (m, 3H), 8.18-8.23 (m, 3H)
      Figure imgb0338
    • C.) To 10.0 g (20.7 mmol) 3-(2-iodobenzimidazolo[1,2-a]benzimidazol-5-yl)benzonitrile, 8.18 g (31.1 mmol) triphenylsilane, 17.6 g (82.9 mmol) potassium phosphate in 125 ml dimethylformamide is degassed with argon. 500 mg (1.131 mmol) Rhodium(II)-acetate is added and the reaction mixture is degassed with argon. The reaction mixture is stirred at 60 °C for 18 h under argon. 250 mg 500 mg (0.566 mmol) Rhodium(II)-acetate is added and the reaction mixture is stirred for 18 h under argon. The reaction is filtered and the filtrate is caped for crystallization. Colum chromatography with chloroform gives the product. Yield 1.5 g (12.8 %)
      1H-NMR (300 MHz, CDCl3): δ 7.36-7.86 (m, 23H), 8.02 (s, 1 H), 8.20-8.26 (m, 2H)
    II Application ExamplesComparative Application Example 1
  • A glass substrate with 120 nm-thick indium-tin-oxide (ITO) transparent electrode used as an anode is first cleaned with isopropanol in an ultrasonic bath for 10 min. To eliminate any possible organic residues, the substrate is exposed to an ultraviolet light and ozone for further 30 min. This treatment also improves the hole injection properties of the ITO. The cleaned substrate is mounted on a substrate holder and loaded into a vacuum chamber. Thereafter, the organic materials specified below are applied by vapor deposition to the ITO substrate at a rate of approx. 0.2-1 Å/sec at about 10-6 -10-8 mbar. As a hole injection layer, compound
    Figure imgb0339
    with 30 nm thickness is applied. Then compound
    Figure imgb0340
    with 60 nm thickness is applied as a hole transporting layer. As an exciton and electron blocker, compound
    Figure imgb0341
    (HTM-1; for preparation, see Ir complex (7) in the applicationWO2005/019373) is then applied with a thickness of 10 nm. Subsequently, a mixture of 20% by weight of emitter compound,
    Figure imgb0342
    15% by weight of compound (HTM-1) and 65% by weight of host
    Figure imgb0343
    are applied to form a 40 nm-thick emitting layer. On the emitting layer, 5 nm-thick material (SH-1) is applied as an exciton blocker. Thereafter, compound
    Figure imgb0344
    with 20 nm thickness is deposited as an electron transport layer. Finally, 1 nm-thick LiF is deposited as an electron injection layer and 80 nm-thick Al is then deposited as a cathode to complete the device. The device is sealed with a glass lid and a getter in an inert nitrogen atmosphere with less than 1 ppm of water and oxygen.
  • OLED characterization
  • To characterize the OLED, electroluminescence spectra are recorded at various currents and voltages. In addition, the current-voltage characteristic is measured in combination with the luminance to determine luminous efficiency and external quantum efficiency (EQE). Driving voltage U and EQE are given at luminance (L) = 1000 cd/m2 except otherwise stated.
  • Application Example 1 (inventive)
  • Comparative Application Example 1 is repeated except that the host (SH-1) is replaced by compound
    Figure imgb0345
    (Compound (13), preparation Example 13). The device results are shown in Table 1.
  • Application Example 2 (inventive)
  • Comparative Application Example 1 is repeated except that the host (SH-1) is replaced by compound
    Figure imgb0346
    (Compound (5), preparation Example 5). The device results are shown in Table 1.
  • Application Example 3 (inventive)
  • Comparative Application Example 1 is repeated except that both the host (SH-1) and exciton blocker(SH-1) are replaced by compound
    Figure imgb0347
    (Compound (5), preparation Example 5). The device results are shown in Table 1.Table 1
    Appl. Ex.HostExciton blockerU [V]Luminous efficiency [Im/W]
    Comp. Appl. Ex. 1(SH-1)(SH-1)5.4617.7
    Appl. Ex. 1(13)(SH-1)4.8319.3
    Appl. Ex. 2(5)(SH-1)4.5522.7
    Appl. Ex. 3(5)(5)4.1823.0
  • The results shown in Table 1 demonstrate that the driving voltage U is significantly reduced with increasing luminous efficiency at the same time when compounds(5) or(13) is used as the host instead of reference compound(SH-1). Furthermore, when compound(5) is used as both the host and exciton blocker, the driving voltage U is further reduced and the luminous efficiency is also improved.
  • Comparative Application Example 2
  • A glass substrate with 120 nm-thick ITO is cleaned and treated in the same manner as comparative application example 1. As a hole injection layer, compound
    Figure imgb0348
    with 30 nm thickness is applied by vapor deposition. Then 60 nm of compound(SH-1) doped with MoOx (∼10%) is deposited as hole transporting layer. MoOx is used to improve the hole conductivity ofSH-1. As an exciton and electron blocker, compound(SH-1) is applied with a thickness of 10 nm. Subsequently, a mixture of 20% by weight of emitter compound(BE-1) and 80% by weight of host(SH-1) are applied to form a 40 nm of emitting layer. On the emitting layer, 5 nm of material(SH-1) is applied as an exciton blocker. Thereafter, compound
    Figure imgb0349
    with 20 nm thickness is deposited as an electron transport layer. Finally, 1 nm of LiF is deposited as an electron injection layer and 80 nm of Al is then deposited as a cathode to complete the device. The device is sealed with a glass lid and a getter in an inert nitrogen atmosphere with less than 1 ppm of water and oxygen.
  • Application Example 4 (inventive)
  • Comparative Application Example 2 is repeated except that both the host (SH-1) and exciton blocker(SH-1) is replaced by compound
    Figure imgb0350
    (Compound (6), preparation Example 6). The device results are shown in Table 2.
  • Application Example 5 (inventive)
  • Comparative Application Example 2 is repeated except that both the host(SH-1) and exciton blocker(SH-1) is replaced by compound
    Figure imgb0351
    (Compound (5), preparation Example 5). The device results are shown in Table 2.Table 2
    Appl. Ex.HostExciton blockerU [V]Luminous efficiency [Im/W]
    Comp. Appl. Ex. 2(SH-1)(SH-1)5.541.2
    Appl. Ex. 4(6)(6)4.5223.3
    Appl. Ex. 5(5)(5)3.8727.1
  • The results shown in Table 2 demonstrate that the driving voltage and the luminous efficiency are improved when compounds(5) or(6) are used as host and exciton blocker instead of reference compound(SH-1).

Claims (16)

  1. A compound of formula (I),
    Figure imgb0352
    wherein
    X3 is a single bond or linking group of formula -(A1)o'-(A2)p'-(A3)q'-(A4)r'-,
    A1, A2, A3, A4 are in each occurrence independently of each other C6-C24 arylene group which is unsubstituted or substituted by at least one group G, C2-C30 hetreoarylene group which is unsubstituted or substituted by at least one group G, and
    o' is 0 or 1, p' is 0 or 1, q' is 0 or 1, r' is 0 or 1,
    X4 is a single bond or
    Figure imgb0353
    or
    Figure imgb0354
    X2 is O, S or NR65;
    X5 is O, S or NR65;
    a is 0, 1, 2, 3 or 4,
    b is 0, 1, 2, 3 or 4,
    a' and a" are independently of each other 0, 1, 2 or 3,
    b' and b" are independently of each other 0, 1, 2 or 3,
    X1, X1' and X1" are independently of each other a group of formula --(A1)o-(A2)p-(A3)q-(A4)r-R10, in each occurrence o is 0 or 1, p is 0 or 1, q is 0 or 1, r is 0 or 1;
    R10 is H,
    Figure imgb0355
    Figure imgb0356
    Figure imgb0357
    or
    Figure imgb0358
    R1, R2 ,R3 ,R4 , R5, R6, R7, R8 and R9 are in each occurrence independently H, C6-C24 aryl group which is unsubstituted or substituted by at least one group G, C2-C30 heteroaryl group which is unsubstituted or substituted by at least one group G, a C1-C25alkyl group, which is unsubstituted or substituted by at least one group E and/or interrupted by D, C6-C24 aryloxy group which is unsubstituted or substituted by at least one group G, or -SiR70R71R72; or
    two groups R1and R2 or R2 and R3 or R3 and R4 of formulae IV can form together the following ring system
    Figure imgb0359
    wherein t is 1 to 5;
    D is -CO-, -COO-, -S-, -SO-, -SO2-, -O-,-CR63=CR64-, -NR65-, -SiR70R71-, -POR72-, or -C≡C-, E is -OR69, -SR69, -NR65R66, -COR68, -COOR67, -CONR65R66, -CN, -SiR70R71R72, halogen, an unsubstituted C6-C24aryl group, a C6-C24aryl group, which is substituted by F, C1-C18alkyl, C1-C18alkyl which is interrupted by O, an unsubstituted C2-C30heteroaryl group, or a C2-C30heteroaryl group, which is substituted by F, C1-C18alkyl, C1-C18alkyl which is interrupted by O; G is E, or a C1-C18alkyl group, or C1-C18alkyl which is interrupted by O,
    R63 and R64 are independently of each other C6-C18aryl; C6-C18aryl which is substituted by C1-C18alkyl, C1-C18alkoxy; C1-C18alkyl; or C1-C18alkyl which is interrupted by -O-;
    R65 and R66 are independently of each other a C6-C18aryl group; a C6-C18aryl which is substituted by C1-C18alkyl, or C1-C18alkoxy; a C1-C18alkyl group; or a C1-C18alkyl group, which is interrupted by -O-; or
    R65 and R66 together form a five or six membered ring,
    R67 is a C6-C18aryl group; a C6-C18aryl group, which is substituted by C1-C18alkyl, or C1-C18alkoxy; a C1-C18alkyl group; or a C1-C18alkyl group, which is interrupted by -O-,
    R68 is H; a C6-C18aryl group; a C6-C18aryl group, which is substituted by C1-C18alkyl, or C1-C18alkoxy; a C1-C18alkyl group; or a C1-C18alkyl group, which is interrupted by -O-,
    R69 is a C6-C18aryl; a C6-C18aryl, which is substituted by C1-C18alkyl, or C1-C18alkoxy; a C1-C18alkyl group; or a C1-C18alkyl group, which is interrupted by -O-,
    R70 and R71 are independently of each other a C1-C18alkyl group, a C6-C18aryl group, or a C6-C18aryl group, which is substituted by C1-C18alkyl, and
    R72 is a C1-C18alkyl group, a C6-C18aryl group, or a C6-C18aryl group, which is substituted by C1-C18alkyl,
    wherein the following compound is excluded:
    Figure imgb0360
  2. A compound as claimed in claim 1, wherein
    a is 0, 1, 2 or 3,
    b is 0, 1, 2 or 3,
    and the sum of a + b is 1, 2 or 3, preferably, 1 or 2,
    a' and a" are independently of each other 0, 1, 2 or 3,
    b' and b" are independently of each other 0, 1, 2 or 3,
    preferably, the sum of a' + b' is 0, 1, or 2, more preferably 0 or 1,
    preferably, the sum of a" + b" is 0, 1, or 2, more preferably 0 or 1.
  3. A compound as claimed in claim 1 or 2, wherein
    in each occurrence o is 0 or 1 and p is 0 or 1 and q and r are 0, preferably, o is 0 or 1 and p, q and r are 0.
  4. A compound as claimed in any one of claims 1 to 3, wherein
    X4 is a single bond or
    Figure imgb0361
  5. A compound as claimed in any one of claims 1 to 4, wherein the compound has the formula (Ia)
    Figure imgb0362
    wherein
    R3, R7 are preferably independently of each other H or a group of the following formula:
    Figure imgb0363
    or -SiR70R71R72,
    R70 and R71 are independently of each other a C1-C18alkyl group, a C6-C18aryl group, or a C6-C18aryl group, which is substituted by C1-C18alkyl, and
    R72 is a C1-C18alkyl group, a C6-C18aryl group, or a C6-C18aryl group, which is substituted by C1-C18alkyl; preferably, R70, R71 and R72 are phenyl.
  6. A compound as claimed in any one of claims 1 to 5, wherein
    A1, A2, A3, A4 are in each occurrence independently of each other a group of the formula:
    Figure imgb0364
    preferably
    Figure imgb0365
    Figure imgb0366
    preferably
    Figure imgb0367
    Figure imgb0368
    wherein (C)- has the meaning that the bonding site of the group A1, A2, A3 or A4 is linked to a C-atom, and (N)- has the meaning that the bonding site of the group A1, A2, A3 or A4 is linked to a N-atom.
  7. A compound as claimed in any one of claims 1 to 6, wherein
    R10 is H or a group of the following formula:
    Figure imgb0369
    preferably
    Figure imgb0370
    preferably
    Figure imgb0371
    Figure imgb0372
    preferably
    Figure imgb0373
    preferably
    Figure imgb0374
    preferably
    Figure imgb0375
    preferably
    Figure imgb0376
  8. A compound as claimed in any one of claims 1 to 7, wherein
    X3 is a single bond or a group of the following formula
    Figure imgb0377
  9. A compound as claimed in any one of claims 4 to 8, wherein the compound has the formula (Ib)
    Figure imgb0378
    wherein
    a is 0 or 1 and is b 0 or 1, whereby the sum of a and b is at least 1;
    X1 is preferably a group of the following formula:
    Figure imgb0379
    Figure imgb0380
    X3 is a single bond or a group of the following formula:
    Figure imgb0381
    and
    R7 is H or group of the following formula:
    Figure imgb0382
    or -SiR70R71R72,
    R70 and R71 are independently of each other a C1-C18alkyl group, a C6-C18aryl group, or a C6-C18aryl group, which is substituted by C1-C18alkyl, and
    R72 is a C1-C18alkyl group, a C6-C18aryl group, or a C6-C18aryl group, which is substituted by C1-C18alkyl; preferably, R70, R71 and R72 are phenyl.
  10. An electronic device, comprising a compound according to any of claims 1 to 9.
  11. The electronic device according to claim 10, which is an electroluminescent device.
  12. A charge transport layer, a charge/exciton blocker layer, or an emitting layer comprising a compound according to any of claims 1 to 9.
  13. The emitting layer according to claim 12, comprising a compound according to any of claims 1 to 9 as host material, preferably in combination with a phosphorescent emitter.
  14. An apparatus selected from the group consisting of stationary visual display units; mobile visual display units; illumination units; keyboards; items of clothing; furniture; wallpaper, comprising the organic electronic device according to claim 10 or 11, or the charge transport layer, the charge/exciton blocker layer, or the emitting layer according to claim 12 or 13.
  15. Use of the compounds according to any of claims 1 to 9 in electrophotographic photoreceptors, photoelectric converters, organic solar cells, switching elements, organic light emitting field effect transistors, image sensors, dye lasers or electroluminescent devices.
  16. The emitting layer according to claim 12, comprising at least one compound of formula I as TADF emitter or as TADF host material in combination with at least one fluorescent emitter.
EP15161950.9A2015-03-312015-03-31Benzimidazolo[1,2-a]benzimidazole carrying aryl- or heteroarylnitril groups for organic light emitting diodesActiveEP3075737B1 (en)

Priority Applications (3)

Application NumberPriority DateFiling DateTitle
EP15161950.9AEP3075737B1 (en)2015-03-312015-03-31Benzimidazolo[1,2-a]benzimidazole carrying aryl- or heteroarylnitril groups for organic light emitting diodes
US15/563,072US10689385B2 (en)2015-03-312016-03-31Benzimidazolo[1,2-A]benzimidazole carrying aryl- or arylnitril groups for organic light emitting diodes
PCT/IB2016/051831WO2016157113A1 (en)2015-03-312016-03-31Benzimidazolo[1,2-a]benzimidazole carrying aryl- or heteroarylnitril groups for organic light emitting diodes

Applications Claiming Priority (1)

Application NumberPriority DateFiling DateTitle
EP15161950.9AEP3075737B1 (en)2015-03-312015-03-31Benzimidazolo[1,2-a]benzimidazole carrying aryl- or heteroarylnitril groups for organic light emitting diodes

Publications (2)

Publication NumberPublication Date
EP3075737A1true EP3075737A1 (en)2016-10-05
EP3075737B1 EP3075737B1 (en)2019-12-04

Family

ID=52811015

Family Applications (1)

Application NumberTitlePriority DateFiling Date
EP15161950.9AActiveEP3075737B1 (en)2015-03-312015-03-31Benzimidazolo[1,2-a]benzimidazole carrying aryl- or heteroarylnitril groups for organic light emitting diodes

Country Status (3)

CountryLink
US (1)US10689385B2 (en)
EP (1)EP3075737B1 (en)
WO (1)WO2016157113A1 (en)

Cited By (1)

* Cited by examiner, † Cited by third party
Publication numberPriority datePublication dateAssigneeTitle
EP3651225A1 (en)*2018-11-092020-05-13Idemitsu Kosan Co., Ltd.Novel organic compounds and an organic electroluminescence device comprising the same

Families Citing this family (11)

* Cited by examiner, † Cited by third party
Publication numberPriority datePublication dateAssigneeTitle
CN107353289A (en)*2012-07-102017-11-17Udc 爱尔兰有限责任公司Benzimidazole for electronic application simultaneously [1,2 A] benzimidizole derivatives
EP3034507A1 (en)*2014-12-152016-06-22Idemitsu Kosan Co., Ltd1-functionalized dibenzofurans and dibenzothiophenes for organic light emitting diodes (OLEDs)
US10608188B2 (en)*2017-09-112020-03-31Universal Display CorporationOrganic electroluminescent materials and devices
KR102172580B1 (en)*2018-02-132020-11-02주식회사 엘지화학Heterocyclic compound and organic light emitting device comprising the same
EP3587423A1 (en)2018-06-272020-01-01Idemitsu Kosan Co., Ltd.Organic compounds and an organic electroluminescence device comprising the same
JP7252959B2 (en)2018-07-272023-04-05出光興産株式会社 compounds, materials for organic electroluminescence devices, organic electroluminescence devices, and electronic devices
US11515489B2 (en)2018-11-282022-11-29Universal Display CorporationHost materials for electroluminescent devices
CN109651406B (en)*2019-01-232021-01-08苏州久显新材料有限公司Thermally activated delayed fluorescence compound, luminescent material and organic electroluminescent device
KR102721075B1 (en)*2019-02-152024-10-24삼성전자주식회사Condensed cyclic compound and organic light emitting device comprising the same
US11512093B2 (en)2019-03-042022-11-29Universal Display CorporationCompound used for organic light emitting device (OLED), consumer product and formulation
KR102739951B1 (en)2019-04-032024-12-06삼성전자주식회사Condensed cyclic compound and organic light emitting device comprising the same

Citations (154)

* Cited by examiner, † Cited by third party
Publication numberPriority datePublication dateAssigneeTitle
WO2000070655A2 (en)1999-05-132000-11-23The Trustees Of Princeton UniversityVery high efficiency organic light emitting devices based on electrophosphorescence
EP1097981A2 (en)1999-11-022001-05-09Sony CorporationOrganic electroluminescent device
WO2001041512A1 (en)1999-12-012001-06-07The Trustees Of Princeton UniversityComplexes of form l2mx as phosphorescent dopants for organic leds
US20010015432A1 (en)2000-02-102001-08-23Tatsuya IgarashiLight emitting device material comprising iridium complex and light emitting device using same material
US20010019782A1 (en)1999-12-272001-09-06Tatsuya IgarashiLight-emitting material comprising orthometalated iridium complex, light-emitting device, high efficiency red light-emitting device, and novel iridium complex
WO2002002714A2 (en)2000-06-302002-01-10E.I. Du Pont De Nemours And CompanyElectroluminescent iridium compounds with fluorinated phenylpyridines, phenylpyrimidines, and phenylquinolines and devices made with such compounds
WO2002015645A1 (en)2000-08-112002-02-21The Trustees Of Princeton UniversityOrganometallic compounds and emission-shifting organic electrophosphorescence
US20020024293A1 (en)2000-07-172002-02-28Fuji Photo Film Co., Ltd.Light-emitting element and iridium complex
EP1191612A2 (en)2000-09-262002-03-27Canon Kabushiki KaishaLuminescence device, display apparatus and metal coordination compound
EP1191613A2 (en)2000-09-262002-03-27Canon Kabushiki KaishaLuminescence device, display apparatus and metal coordination compound
US20020048689A1 (en)2000-09-212002-04-25Fuji Photo Film Co., Ltd.Light-emitting device and iridium complex
US20020055014A1 (en)2000-08-242002-05-09Fuji Photo Film Co., Ltd.Light-emitting device and material therefor
EP1211257A2 (en)2000-12-012002-06-05Canon Kabushiki KaishaMetal coordination compound, luminescence device and display apparatus
US20020094453A1 (en)2000-11-292002-07-18Takao TakiguchiMetal coordination compound, luminescence device and display apparatus
WO2002060910A1 (en)2001-02-012002-08-08Covion Organic Semiconductors GmbhMethod for the production of highly pure, tris-ortho-metalated organo-iridium compounds
US6687266B1 (en)2002-11-082004-02-03Universal Display CorporationOrganic light emitting materials and devices
WO2005019373A2 (en)2003-08-192005-03-03Basf AktiengesellschaftTransition metal complexes comprising carbene ligands serving as emitters for organic light-emitting diodes (oled's)
US6921915B2 (en)2001-03-082005-07-26Canon Kabushiki KaishaMetal coordination compound, luminescence device and display apparatus
WO2005113704A2 (en)2004-05-182005-12-01The University Of Southern CaliforniaLuminescent compounds with carbene ligands
US20060008670A1 (en)2004-07-062006-01-12Chun LinOrganic light emitting materials and devices
WO2006014599A2 (en)2004-07-072006-02-09Universal Display CorporationStable and efficient electroluminescent materials
WO2006056418A2 (en)2004-11-252006-06-01Basf AktiengesellschaftUse of transition metal carbene complexes in organic light-emitting diodes (oleds)
WO2006067074A1 (en)2004-12-232006-06-29Ciba Specialty Chemicals Holding Inc.Electroluminescent metal complexes with nucleophilic carbene ligands
WO2006098460A1 (en)2005-03-172006-09-21Semiconductor Energy Laboratory Co., Ltd.Organometallic complex, and light-emitting element, light-emitting device and electronic device using the organometallic complex
WO2006100298A1 (en)2005-03-242006-09-28Basf AktiengesellschaftUse of compounds containing aromatic or heteroaromatic rings linked via carbonyl group-containing groups, for use as matrix materials in organic light-emitting diodes
WO2006115301A1 (en)2005-04-252006-11-02Fujifilm CorporationOrganic electroluminescent device
WO2006121811A1 (en)2005-05-062006-11-16Universal Display CorporationStability oled materials and devices with improved stability
WO2006128800A1 (en)2005-05-302006-12-07Ciba Specialty Chemicals Holding Inc.Electroluminescent device
EP1786050A1 (en)2005-11-102007-05-16Novaled AGDoped organic semiconductor material
JP2007123392A (en)2005-10-262007-05-17Konica Minolta Holdings Inc Organic electroluminescence element, display device and lighting device
WO2007077810A1 (en)2006-01-052007-07-12Konica Minolta Holdings, Inc.Organic electroluminescent device, display and illuminating device
US20070190359A1 (en)2006-02-102007-08-16Knowles David BMetal complexes of cyclometallated imidazo[1,2-ƒ]phenanthridine and diimidazo[1,2-a:1',2'-c]quinazoline ligands and isoelectronic and benzannulated analogs thereof
EP1837927A1 (en)2006-03-222007-09-26Novaled AGUse of heterocyclic radicals for doping of organic semiconductors
US20070224446A1 (en)2006-03-242007-09-27Idemitsu Kosan Co., Ltd.Material for organic electroluminescence device and organic electroluminescence device using the same
WO2007108362A1 (en)2006-03-172007-09-27Konica Minolta Holdings, Inc.Organic electroluminescent device, display and illuminating device
WO2007108459A1 (en)2006-03-232007-09-27Konica Minolta Holdings, Inc.Organic electroluminescent device, display and illuminating device
WO2007114244A1 (en)2006-03-302007-10-11Konica Minolta Holdings, Inc.Organic electroluminescent device, illuminating device and display device
WO2007115981A1 (en)2006-04-042007-10-18Basf SeTransition metal complexes comprising one noncarbene ligand and one or two carbene ligands and their use in oleds
WO2007115970A1 (en)2006-04-052007-10-18Basf SeHeteroleptic transition metal-carbene complexes and their use in organic light-emitting diodes (oleds)
WO2007119816A1 (en)2006-04-192007-10-25Konica Minolta Holdings, Inc.Organic electroluminescence element material, organic electroluminescence element, display device and lighting apparatus
US20070278938A1 (en)2006-04-262007-12-06Idemitsu Kosan Co., Ltd.Aromatic amine derivative and electroluminescence device using the same
WO2008000727A1 (en)2006-06-262008-01-03Basf SeUse in oleds of transition metal carbene complexes that contain no cyclometallation via non-carbenes
JP2008021687A (en)2006-07-102008-01-31Mitsubishi Chemicals Corp Organic electroluminescent element material, organic electroluminescent element composition, and organic electroluminescent element
WO2008022065A2 (en)2006-08-112008-02-21Light Prescriptions Innovators, LlcLed luminance-enhancement and color-mixing by rotationally multiplexed beam-combining
WO2008029652A1 (en)2006-09-082008-03-13Konica Minolta Holdings, Inc.Organic electroluminescent device, illuminating device and display
WO2008029729A1 (en)2006-09-082008-03-13Konica Minolta Holdings, Inc.Organic electroluminescent device, illuminating device and display
JP2008066569A (en)2006-09-082008-03-21Konica Minolta Holdings IncOrganic electroluminescence element, lighting system and display device
WO2008034758A2 (en)2006-09-212008-03-27Basf SeOled display with extended lifetime
WO2008035571A1 (en)2006-09-202008-03-27Konica Minolta Holdings, Inc.Organic electroluminescence element
JP2008074939A (en)2006-09-212008-04-03Konica Minolta Holdings Inc ORGANIC ELECTROLUMINESCENT ELEMENT MATERIAL, ORGANIC ELECTROLUMINESCENT ELEMENT, DISPLAY DEVICE AND LIGHTING DEVICE
JP2008084913A (en)2006-09-262008-04-10Konica Minolta Holdings IncOrganic electroluminescence element, display device, and lighting device
EP1837926B1 (en)2006-03-212008-05-07Novaled AGHeterocyclic radicals or diradicals and their dimers, oligomers, polymers, di-spiro and polycyclic derivatives as well as their use in organic semiconductor materials and electronic devices.
US20080106190A1 (en)2006-08-232008-05-08Idemitsu Kosan Co., Ltd.Aromatic amine derivatives and organic electroluminescent device using same
JP2008127326A (en)2006-11-202008-06-05Chemiprokasei Kaisha Ltd Novel di (pyridylphenyl) derivative, electron transport material comprising the same, and organic electroluminescence device including the same
WO2008072596A1 (en)2006-12-132008-06-19Konica Minolta Holdings, Inc.Organic electroluminescent device, display and illuminating device
WO2008090912A1 (en)2007-01-232008-07-31Konica Minolta Holdings, Inc.Method for manufacturing organic electroluminescent device, organic electroluminescent device manufactured by the method, display device and illuminating device
JP2008207520A (en)2007-02-282008-09-11Konica Minolta Holdings IncOrganic thin film, method for producing the same, electronic device, organic luminescence element, display device and lightening equipment
EP1970371A1 (en)2007-03-162008-09-17Novaled AGPyrido(3,2-h)chinazolins and/or 5,6-Dihydro derivatives thereof, method for their manufacture and endowed organic semiconductor material containing them
US20080265216A1 (en)2007-04-302008-10-30Novaled AgOxocarbon-, pseudooxocarbon- and radialene compounds and their use
WO2008140114A1 (en)2007-05-162008-11-20Konica Minolta Holdings, Inc.Organic electroluminescence element, display device and illuminating device
WO2008146838A1 (en)2007-05-302008-12-04Konica Minolta Holdings, Inc.Organic electroluminescent device, display device and illuminating device
WO2008156105A1 (en)2007-06-212008-12-24Konica Minolta Holdings, Inc.Organic electroluminescence element material, organic electroluminescence element, display device and illuminating device
WO2008156879A1 (en)2007-06-202008-12-24Universal Display CorporationBlue phosphorescent imidazophenanthridine materials
WO2009003919A1 (en)2007-07-052009-01-08Basf SeOrganic light-emitting diodes comprising at least one disilyl compound selected from disilylcarbazoles, disilyldibenzofurans, disilyldibenzothiophenes, disilyldibenzophospholes, disilyldibenzothiophene s-oxides and disilyldibenzothiophene s,s-dioxides
WO2009003898A1 (en)2007-07-052009-01-08Basf SeOrganic light-emitting diodes containing carbene transition metal complex emitters and at least one compound selected from disilylcarbazoles, disilyldibenzofurans, disilyldibenzothiophenes, disilyldibenzophospholes, disilyldibenzothiophene s-oxides and disilyldibenzothiophene s,s-dioxides
WO2009008099A1 (en)2007-07-102009-01-15Idemitsu Kosan Co., Ltd.Material for organic electroluminescence element, and organic electroluminescence element prepared by using the material
JP2009021336A (en)2007-07-112009-01-29Konica Minolta Holdings IncOrganic electroluminescent element, display device, and lighting device
US20090039776A1 (en)2007-08-092009-02-12Canon Kabushiki KaishaOrganometallic complex and organic light-emitting element using same
EP2034538A1 (en)2006-06-022009-03-11Idemitsu Kosan Co., Ltd.Material for organic electroluminescence element, and organic electroluminescence element using the material
US20090066226A1 (en)2005-04-182009-03-12Konica Minolta Holdings, Inc.Organic electroluminescent device, display and illuminating device
JP2009059767A (en)2007-08-302009-03-19Konica Minolta Holdings Inc Organic electroluminescence element, lighting device and display device
EP2039737A2 (en)2007-09-182009-03-25FUJIFILM CorporationOrganic electroluminescence device
WO2009050281A1 (en)2007-10-172009-04-23Basf SeTransition metal complexes with bridged carbene ligands and use thereof in oleds
WO2009050290A1 (en)2007-10-172009-04-23Basf SeTransition metal complexes having bridged carbene ligands and the use thereof in oleds
WO2009060780A1 (en)2007-11-082009-05-14Konica Minolta Holdings, Inc.Organic electroluminescence element, display device, and lighting system
WO2009060757A1 (en)2007-11-082009-05-14Konica Minolta Holdings, Inc.Organic electroluminescent device, display device and illuminating device
WO2009060779A1 (en)2007-11-082009-05-14Konica Minolta Holdings, Inc.Organic electroluminescent device material, organic electroluminescent device, display device and illuminating device
WO2009060742A1 (en)2007-11-082009-05-14Konica Minolta Holdings, Inc.Organic electroluminescent device, display device, and illuminating device
WO2009063757A1 (en)2007-11-142009-05-22Konica Minolta Holdings, Inc.Organic electroluminescent device material, organic electroluminescent device, method for manufacturing organic electroluminescent device, display device and illuminating device
US20090134784A1 (en)2004-10-212009-05-28Universal Display CorporationCarbazole-containing materials in phosphorescent light emitting diodes
JP2009114369A (en)2007-11-082009-05-28Konica Minolta Holdings IncOrganic electroluminescent material, organic electroluminescent element, display and illuminator
JP2009114370A (en)2007-11-082009-05-28Konica Minolta Holdings IncOrganic electroluminescence element material, organic electroluminescence element, display device, and lighting system
WO2009073245A1 (en)2007-12-062009-06-11Universal Display CorporationLight-emitting organometallic complexes
JP2009135183A (en)2007-11-292009-06-18Konica Minolta Holdings IncOrganic electroluminescence element, display, and lighting device
US20090153034A1 (en)2007-12-132009-06-18Universal Display CorporationCarbazole-containing materials in phosphorescent light emittinig diodes
WO2009084413A1 (en)2007-12-282009-07-09Konica Minolta Holdings, Inc.Organic electroluminescent device and method for manufacturing organic electroluminescent device
JP2009170764A (en)2008-01-182009-07-30Konica Minolta Holdings IncMaterial for organic electroluminescent element, organic electroluminescent element, method of manufacturing organic electroluminescent element, display device, and illumination device
JP2009182298A (en)2008-02-012009-08-13Konica Minolta Holdings IncOrganic electroluminescence element, lighting device, and display device
WO2009104488A1 (en)2008-02-202009-08-27コニカミノルタホールディングス株式会社White light-emitting organic electroluminescent device
JP2009267255A (en)2008-04-282009-11-12Idemitsu Kosan Co LtdMaterial for organic electroluminescent element and organic electroluminescent element using the material
US20090284138A1 (en)2008-05-132009-11-19Konica Minolta Holdings, Inc.Organic electroluminescent element, display device and lighting device
WO2010001830A1 (en)2008-07-012010-01-07コニカミノルタホールディングス株式会社White light-emitting organic electroluminescent element, illuminating device and display device
WO2010002850A1 (en)2008-06-302010-01-07Universal Display CorporationHole transport materials containing triphenylene
WO2010004877A1 (en)2008-07-102010-01-14コニカミノルタホールディングス株式会社Organic electroluminescent element, display device and illuminating device
JP2010021336A (en)2008-07-102010-01-28Konica Minolta Holdings IncOrganic electroluminescence device, illuminator, and display device
JP2010040830A (en)2008-08-062010-02-18Konica Minolta Holdings IncOrganic electroluminescent element, display device, and lighting system
WO2010028151A1 (en)2008-09-032010-03-11Universal Display CorporationPhosphorescent materials
WO2010040777A1 (en)2008-10-072010-04-15Osram Opto Semiconductors GmbhSiloles substituted with condensed ring systems and use thereof in organic electronics
WO2010044342A1 (en)2008-10-152010-04-22コニカミノルタホールディングス株式会社Organic el element, organic el element manufacturing method, white organic el element, display device, and illumination device
EP2180029A1 (en)2008-10-232010-04-28Novaled AGRadialene compounds and their use
US20100102709A1 (en)2008-04-292010-04-29Olaf ZeikaRadialene compounds and their use
JP2010114180A (en)2008-11-052010-05-20Konica Minolta Holdings IncOrganic electroluminescent element, white organic electroluminescent element, display device and illuminator
WO2010056669A1 (en)2008-11-112010-05-20Universal Display CorporationPhosphorescent emitters
WO2010067746A1 (en)2008-12-082010-06-17コニカミノルタホールディングス株式会社Organic electroluminescence element, display device and illumination device
WO2010068876A1 (en)2008-12-122010-06-17Universal Display CorporationBLUE EMITTER WITH HIGH EFFICIENCY BASED ON IMIDAZO [1,2-f] PHENANTHRIDINE IRIDIUM COMPLEXES
JP2010135467A (en)2008-12-032010-06-17Konica Minolta Holdings IncOrganic electroluminescent element, lighting system equipped with the element, and display device
WO2010079051A1 (en)2009-01-072010-07-15Basf SeSilyl and heteroatom substituted compounds selected from carbazoles, dibenzofurans, dibenzothiophenes and dibenzo phospholes and the application thereof in organic electronics
WO2010079678A1 (en)2009-01-092010-07-15コニカミノルタホールディングス株式会社Organic electroluminescent element, display device, and lighting device
WO2010087222A1 (en)2009-01-282010-08-05コニカミノルタホールディングス株式会社Organic electroluminescent element, display device, and illumination device
WO2010086089A1 (en)2009-02-022010-08-05Merck Patent GmbhMetal complexes
WO2010090077A1 (en)2009-02-062010-08-12コニカミノルタホールディングス株式会社Organic electroluminescent element, and illumination device and display device each comprising the element
WO2010095564A1 (en)2009-02-182010-08-26コニカミノルタホールディングス株式会社Organic electroluminescent element, and illuminating device and display device each comprising the element
WO2010118029A1 (en)2009-04-062010-10-14Universal Display CorporationMetal complex comprising novel ligand structures
EP2246862A1 (en)2009-04-272010-11-03Novaled AGOrganic electronic device comprising an organic semiconducting material
WO2010129323A1 (en)2009-04-282010-11-11Universal Display CorporationIridium complex with methyl-d3 substitution
WO2010132236A1 (en)2009-05-132010-11-18Global Oled Technology Llc.Internal connector for organic electronic devices
US20110057559A1 (en)2007-12-282011-03-10Universal Display CorporationPhosphorescent emitters and host materials with improved stability
WO2011051404A1 (en)2009-10-282011-05-05Basf SeHeteroleptic carbene complexes and use thereof in organic electronics
WO2011073149A1 (en)2009-12-142011-06-23Basf SeMetal complexes comprising diazabenzimidazol carbene-ligands and the use thereof in oleds
US20110163302A1 (en)2008-06-302011-07-07Universal Display CorporationHole transport materials having a sulfur-containing group
WO2011090535A1 (en)2010-01-202011-07-28Universal Display CorporationElectroluminescent devices for lighting applications
WO2011106344A1 (en)2010-02-252011-09-01Universal Display CorporationPhosphorescent emitters
US20110210316A1 (en)2010-03-012011-09-01Semiconductor Energy Laboratory Co., Ltd.Heterocyclic compound, light-emitting element, light-emitting device, electronic device, and lighting device
WO2011109042A1 (en)2010-03-032011-09-09Universal Display CorporationPhosphorescent materials
US20110233528A1 (en)2010-03-242011-09-29Universal Display CorporationNovel oled display architecture
WO2011137072A1 (en)2010-04-262011-11-03Universal Display CorporationBicarbazole containing compounds for oleds
WO2011157779A1 (en)2010-06-182011-12-22Basf SeOrganic electronic devices comprising a layer of a pyridine compound and a 8-hydroxyquinolinolato earth alkaline metal, or alkali metal complex
WO2011157790A1 (en)2010-06-182011-12-22Basf SeOrganic electronic devices comprising a layer of a dibenzofurane compound and a 8-hydroxyquinolinolato earth alkaline metal, or alkali metal complex
WO2011160757A1 (en)2010-06-222011-12-29Merck Patent GmbhMaterials for electronic devices
EP2401254A1 (en)2009-02-262012-01-04Novaled AGQuinone compounds as dopants in organic electronics
WO2012008881A1 (en)2010-07-152012-01-19Kuznetsov Andrey LeionidovichPiezoelectric pump
WO2012014621A1 (en)2010-07-292012-02-02コニカミノルタホールディングス株式会社Transparent conductive film and organic electroluminescent element
WO2012016601A1 (en)2010-08-062012-02-09Telefonica, S.A.A method for managing presence information
WO2012048266A1 (en)2010-10-082012-04-12Universal Display CorporationNovel 3, 9-linked oligocarbazole-based hosts, containing dbt and dbr fragments, separated by aromatic spacers
WO2012053627A1 (en)2010-10-222012-04-26Semiconductor Energy Laboratory Co., Ltd.Organometallic complex, light-emitting element, light-emitting device, electronic device and lighting device
WO2012105310A1 (en)2011-02-022012-08-09コニカミノルタホールディングス株式会社Organic electroluminescence element and illumination device
WO2012111462A1 (en)2011-02-152012-08-23コニカミノルタホールディングス株式会社Organic electroluminescence element and illumination device
WO2012115034A1 (en)2011-02-222012-08-30コニカミノルタホールディングス株式会社Organic electroluminescent element, illumination device, and display device
WO2012121936A2 (en)2011-03-082012-09-13Universal Display CorporationPyridyl carbene phosphorescent emitters
WO2012130709A1 (en)2011-03-252012-10-04Basf Se4h-imidazo[1,2-a]imidazoles for electronic applications
WO2012147397A1 (en)2011-04-262012-11-01コニカミノルタホールディングス株式会社Organic electroluminescent element and illuminating apparatus
US20120292600A1 (en)2011-05-192012-11-22Universal Display CorporationPhosphorescent heteroleptic phenylbenzimidazole dopants
WO2012162325A1 (en)2011-05-252012-11-29Universal Display CorporationHost materials for oleds
WO2012166608A1 (en)2011-05-272012-12-06Universal Display CorporationHigh efficiency yellow light emitters for oled devices
US20120305894A1 (en)2011-06-012012-12-06Do-Han KimBlue phosphorescent compound and organic electroluminescent device using the same
WO2012170571A1 (en)2011-06-082012-12-13Universal Display CorporationHeteroleptic iridium carbene complexes and light emitting device using them
WO2012172482A1 (en)2011-06-142012-12-20Basf SeMetal complexes comprising azabenzimidazole carbene ligands and the use thereof in oleds
EP2551933A1 (en)2011-07-282013-01-30Universal Display CorporationHeteroleptic iridium complexes as dopants
WO2013022419A1 (en)2011-08-052013-02-14Universal Display CorporationPhosphorescent organic light emitting devices combined with hole transport material having high operating stability
WO2013068376A1 (en)2011-11-102013-05-16Basf Se4h-imidazo[1,2-a]imidazoles for electronic applications
WO2013154064A1 (en)2012-04-092013-10-17国立大学法人九州大学Organic light emitting element, and light emitting material and compound used in same
US20140001446A1 (en)*2011-12-052014-01-02Yumiko MizukiMaterial for organic electroluminescence device and organic electroluminescence device
WO2014009317A1 (en)2012-07-102014-01-16Basf SeBenzimidazo[1,2-a]benzimidazole derivatives for electronic applications
WO2014044722A1 (en)2012-09-202014-03-27Basf SeAzadibenzofurans for electronic applications

Family Cites Families (5)

* Cited by examiner, † Cited by third party
Publication numberPriority datePublication dateAssigneeTitle
WO2010024404A1 (en)2008-08-282010-03-04旭硝子株式会社Abrasive composition and method for manufacturing semiconductor integrated circuit device
US8409729B2 (en)2011-07-282013-04-02Universal Display CorporationHost materials for phosphorescent OLEDs
WO2013154084A1 (en)2012-04-102013-10-17株式会社IhiSupercharger
EP3034506A1 (en)2014-12-152016-06-22Idemitsu Kosan Co., Ltd4-functionalized carbazole derivatives for electronic applications
EP3034507A1 (en)2014-12-152016-06-22Idemitsu Kosan Co., Ltd1-functionalized dibenzofurans and dibenzothiophenes for organic light emitting diodes (OLEDs)

Patent Citations (167)

* Cited by examiner, † Cited by third party
Publication numberPriority datePublication dateAssigneeTitle
WO2000070655A2 (en)1999-05-132000-11-23The Trustees Of Princeton UniversityVery high efficiency organic light emitting devices based on electrophosphorescence
EP1097981A2 (en)1999-11-022001-05-09Sony CorporationOrganic electroluminescent device
WO2001041512A1 (en)1999-12-012001-06-07The Trustees Of Princeton UniversityComplexes of form l2mx as phosphorescent dopants for organic leds
US20010019782A1 (en)1999-12-272001-09-06Tatsuya IgarashiLight-emitting material comprising orthometalated iridium complex, light-emitting device, high efficiency red light-emitting device, and novel iridium complex
US20010015432A1 (en)2000-02-102001-08-23Tatsuya IgarashiLight emitting device material comprising iridium complex and light emitting device using same material
WO2002002714A2 (en)2000-06-302002-01-10E.I. Du Pont De Nemours And CompanyElectroluminescent iridium compounds with fluorinated phenylpyridines, phenylpyrimidines, and phenylquinolines and devices made with such compounds
US20020024293A1 (en)2000-07-172002-02-28Fuji Photo Film Co., Ltd.Light-emitting element and iridium complex
WO2002015645A1 (en)2000-08-112002-02-21The Trustees Of Princeton UniversityOrganometallic compounds and emission-shifting organic electrophosphorescence
US20020055014A1 (en)2000-08-242002-05-09Fuji Photo Film Co., Ltd.Light-emitting device and material therefor
US20020048689A1 (en)2000-09-212002-04-25Fuji Photo Film Co., Ltd.Light-emitting device and iridium complex
EP1191612A2 (en)2000-09-262002-03-27Canon Kabushiki KaishaLuminescence device, display apparatus and metal coordination compound
EP1191613A2 (en)2000-09-262002-03-27Canon Kabushiki KaishaLuminescence device, display apparatus and metal coordination compound
US20020094453A1 (en)2000-11-292002-07-18Takao TakiguchiMetal coordination compound, luminescence device and display apparatus
EP1211257A2 (en)2000-12-012002-06-05Canon Kabushiki KaishaMetal coordination compound, luminescence device and display apparatus
WO2002060910A1 (en)2001-02-012002-08-08Covion Organic Semiconductors GmbhMethod for the production of highly pure, tris-ortho-metalated organo-iridium compounds
US6921915B2 (en)2001-03-082005-07-26Canon Kabushiki KaishaMetal coordination compound, luminescence device and display apparatus
US6687266B1 (en)2002-11-082004-02-03Universal Display CorporationOrganic light emitting materials and devices
WO2005019373A2 (en)2003-08-192005-03-03Basf AktiengesellschaftTransition metal complexes comprising carbene ligands serving as emitters for organic light-emitting diodes (oled's)
WO2005113704A2 (en)2004-05-182005-12-01The University Of Southern CaliforniaLuminescent compounds with carbene ligands
US20060008670A1 (en)2004-07-062006-01-12Chun LinOrganic light emitting materials and devices
WO2006014599A2 (en)2004-07-072006-02-09Universal Display CorporationStable and efficient electroluminescent materials
US20090134784A1 (en)2004-10-212009-05-28Universal Display CorporationCarbazole-containing materials in phosphorescent light emitting diodes
WO2006056418A2 (en)2004-11-252006-06-01Basf AktiengesellschaftUse of transition metal carbene complexes in organic light-emitting diodes (oleds)
WO2006067074A1 (en)2004-12-232006-06-29Ciba Specialty Chemicals Holding Inc.Electroluminescent metal complexes with nucleophilic carbene ligands
WO2006098460A1 (en)2005-03-172006-09-21Semiconductor Energy Laboratory Co., Ltd.Organometallic complex, and light-emitting element, light-emitting device and electronic device using the organometallic complex
WO2006100298A1 (en)2005-03-242006-09-28Basf AktiengesellschaftUse of compounds containing aromatic or heteroaromatic rings linked via carbonyl group-containing groups, for use as matrix materials in organic light-emitting diodes
US20090066226A1 (en)2005-04-182009-03-12Konica Minolta Holdings, Inc.Organic electroluminescent device, display and illuminating device
WO2006115301A1 (en)2005-04-252006-11-02Fujifilm CorporationOrganic electroluminescent device
WO2006121811A1 (en)2005-05-062006-11-16Universal Display CorporationStability oled materials and devices with improved stability
WO2006128800A1 (en)2005-05-302006-12-07Ciba Specialty Chemicals Holding Inc.Electroluminescent device
EP1885818B1 (en)2005-05-302010-01-13Basf SeElectroluminescent device
EP1885818A1 (en)2005-05-302008-02-13Ciba Specialty Chemicals Holding Inc.Electroluminescent device
JP2007123392A (en)2005-10-262007-05-17Konica Minolta Holdings Inc Organic electroluminescence element, display device and lighting device
EP1786050A1 (en)2005-11-102007-05-16Novaled AGDoped organic semiconductor material
EP1970976A1 (en)2006-01-052008-09-17Konica Minolta Holdings, Inc.Organic electroluminescent device, display and illuminating device
WO2007077810A1 (en)2006-01-052007-07-12Konica Minolta Holdings, Inc.Organic electroluminescent device, display and illuminating device
WO2007095118A2 (en)2006-02-102007-08-23Universal Display CorporationMETAL COMPLEXES OF CYCLOMETALLATED IMIDAZO[1,2-f]PHENANTHRIDINE AND DIIMIDAZO[1,2-A:1',2'-C]QUINAZOLINE LIGANDS AND ISOELECTRONIC AND BENZANNULATED ANALOGS THEREOF
US20070190359A1 (en)2006-02-102007-08-16Knowles David BMetal complexes of cyclometallated imidazo[1,2-ƒ]phenanthridine and diimidazo[1,2-a:1',2'-c]quinazoline ligands and isoelectronic and benzannulated analogs thereof
WO2007108362A1 (en)2006-03-172007-09-27Konica Minolta Holdings, Inc.Organic electroluminescent device, display and illuminating device
EP1837926B1 (en)2006-03-212008-05-07Novaled AGHeterocyclic radicals or diradicals and their dimers, oligomers, polymers, di-spiro and polycyclic derivatives as well as their use in organic semiconductor materials and electronic devices.
EP1837927A1 (en)2006-03-222007-09-26Novaled AGUse of heterocyclic radicals for doping of organic semiconductors
WO2007108459A1 (en)2006-03-232007-09-27Konica Minolta Holdings, Inc.Organic electroluminescent device, display and illuminating device
EP1998388A1 (en)2006-03-232008-12-03Konica Minolta Holdings, Inc.Organic electroluminescent device, display and illuminating device
US20070224446A1 (en)2006-03-242007-09-27Idemitsu Kosan Co., Ltd.Material for organic electroluminescence device and organic electroluminescence device using the same
WO2007114244A1 (en)2006-03-302007-10-11Konica Minolta Holdings, Inc.Organic electroluminescent device, illuminating device and display device
WO2007115981A1 (en)2006-04-042007-10-18Basf SeTransition metal complexes comprising one noncarbene ligand and one or two carbene ligands and their use in oleds
WO2007115970A1 (en)2006-04-052007-10-18Basf SeHeteroleptic transition metal-carbene complexes and their use in organic light-emitting diodes (oleds)
WO2007119816A1 (en)2006-04-192007-10-25Konica Minolta Holdings, Inc.Organic electroluminescence element material, organic electroluminescence element, display device and lighting apparatus
US20070278938A1 (en)2006-04-262007-12-06Idemitsu Kosan Co., Ltd.Aromatic amine derivative and electroluminescence device using the same
EP2034538A1 (en)2006-06-022009-03-11Idemitsu Kosan Co., Ltd.Material for organic electroluminescence element, and organic electroluminescence element using the material
WO2008000727A1 (en)2006-06-262008-01-03Basf SeUse in oleds of transition metal carbene complexes that contain no cyclometallation via non-carbenes
JP2008021687A (en)2006-07-102008-01-31Mitsubishi Chemicals Corp Organic electroluminescent element material, organic electroluminescent element composition, and organic electroluminescent element
WO2008022065A2 (en)2006-08-112008-02-21Light Prescriptions Innovators, LlcLed luminance-enhancement and color-mixing by rotationally multiplexed beam-combining
US20080106190A1 (en)2006-08-232008-05-08Idemitsu Kosan Co., Ltd.Aromatic amine derivatives and organic electroluminescent device using same
WO2008029729A1 (en)2006-09-082008-03-13Konica Minolta Holdings, Inc.Organic electroluminescent device, illuminating device and display
JP2008066569A (en)2006-09-082008-03-21Konica Minolta Holdings IncOrganic electroluminescence element, lighting system and display device
WO2008029652A1 (en)2006-09-082008-03-13Konica Minolta Holdings, Inc.Organic electroluminescent device, illuminating device and display
WO2008035571A1 (en)2006-09-202008-03-27Konica Minolta Holdings, Inc.Organic electroluminescence element
JP2008074939A (en)2006-09-212008-04-03Konica Minolta Holdings Inc ORGANIC ELECTROLUMINESCENT ELEMENT MATERIAL, ORGANIC ELECTROLUMINESCENT ELEMENT, DISPLAY DEVICE AND LIGHTING DEVICE
WO2008034758A2 (en)2006-09-212008-03-27Basf SeOled display with extended lifetime
JP2008084913A (en)2006-09-262008-04-10Konica Minolta Holdings IncOrganic electroluminescence element, display device, and lighting device
JP2008127326A (en)2006-11-202008-06-05Chemiprokasei Kaisha Ltd Novel di (pyridylphenyl) derivative, electron transport material comprising the same, and organic electroluminescence device including the same
WO2008072596A1 (en)2006-12-132008-06-19Konica Minolta Holdings, Inc.Organic electroluminescent device, display and illuminating device
WO2008090912A1 (en)2007-01-232008-07-31Konica Minolta Holdings, Inc.Method for manufacturing organic electroluminescent device, organic electroluminescent device manufactured by the method, display device and illuminating device
JP2008207520A (en)2007-02-282008-09-11Konica Minolta Holdings IncOrganic thin film, method for producing the same, electronic device, organic luminescence element, display device and lightening equipment
EP1970371A1 (en)2007-03-162008-09-17Novaled AGPyrido(3,2-h)chinazolins and/or 5,6-Dihydro derivatives thereof, method for their manufacture and endowed organic semiconductor material containing them
US20080265216A1 (en)2007-04-302008-10-30Novaled AgOxocarbon-, pseudooxocarbon- and radialene compounds and their use
EP1988587A1 (en)2007-04-302008-11-05Novaled AGOxocarbon, pseudo oxocarbon and radialene compounds and their use
WO2008140114A1 (en)2007-05-162008-11-20Konica Minolta Holdings, Inc.Organic electroluminescence element, display device and illuminating device
WO2008146838A1 (en)2007-05-302008-12-04Konica Minolta Holdings, Inc.Organic electroluminescent device, display device and illuminating device
WO2008156879A1 (en)2007-06-202008-12-24Universal Display CorporationBlue phosphorescent imidazophenanthridine materials
WO2008156105A1 (en)2007-06-212008-12-24Konica Minolta Holdings, Inc.Organic electroluminescence element material, organic electroluminescence element, display device and illuminating device
WO2009003898A1 (en)2007-07-052009-01-08Basf SeOrganic light-emitting diodes containing carbene transition metal complex emitters and at least one compound selected from disilylcarbazoles, disilyldibenzofurans, disilyldibenzothiophenes, disilyldibenzophospholes, disilyldibenzothiophene s-oxides and disilyldibenzothiophene s,s-dioxides
WO2009003919A1 (en)2007-07-052009-01-08Basf SeOrganic light-emitting diodes comprising at least one disilyl compound selected from disilylcarbazoles, disilyldibenzofurans, disilyldibenzothiophenes, disilyldibenzophospholes, disilyldibenzothiophene s-oxides and disilyldibenzothiophene s,s-dioxides
WO2009008100A1 (en)2007-07-102009-01-15Idemitsu Kosan Co., Ltd.Material for organic electroluminescence element, and organic electroluminescence element prepared by using the material
WO2009008099A1 (en)2007-07-102009-01-15Idemitsu Kosan Co., Ltd.Material for organic electroluminescence element, and organic electroluminescence element prepared by using the material
JP2009021336A (en)2007-07-112009-01-29Konica Minolta Holdings IncOrganic electroluminescent element, display device, and lighting device
US20090039776A1 (en)2007-08-092009-02-12Canon Kabushiki KaishaOrganometallic complex and organic light-emitting element using same
JP2009059767A (en)2007-08-302009-03-19Konica Minolta Holdings Inc Organic electroluminescence element, lighting device and display device
EP2039737A2 (en)2007-09-182009-03-25FUJIFILM CorporationOrganic electroluminescence device
WO2009050281A1 (en)2007-10-172009-04-23Basf SeTransition metal complexes with bridged carbene ligands and use thereof in oleds
WO2009050290A1 (en)2007-10-172009-04-23Basf SeTransition metal complexes having bridged carbene ligands and the use thereof in oleds
WO2009060779A1 (en)2007-11-082009-05-14Konica Minolta Holdings, Inc.Organic electroluminescent device material, organic electroluminescent device, display device and illuminating device
WO2009060780A1 (en)2007-11-082009-05-14Konica Minolta Holdings, Inc.Organic electroluminescence element, display device, and lighting system
WO2009060757A1 (en)2007-11-082009-05-14Konica Minolta Holdings, Inc.Organic electroluminescent device, display device and illuminating device
JP2009114369A (en)2007-11-082009-05-28Konica Minolta Holdings IncOrganic electroluminescent material, organic electroluminescent element, display and illuminator
JP2009114370A (en)2007-11-082009-05-28Konica Minolta Holdings IncOrganic electroluminescence element material, organic electroluminescence element, display device, and lighting system
WO2009060742A1 (en)2007-11-082009-05-14Konica Minolta Holdings, Inc.Organic electroluminescent device, display device, and illuminating device
WO2009063757A1 (en)2007-11-142009-05-22Konica Minolta Holdings, Inc.Organic electroluminescent device material, organic electroluminescent device, method for manufacturing organic electroluminescent device, display device and illuminating device
JP2009135183A (en)2007-11-292009-06-18Konica Minolta Holdings IncOrganic electroluminescence element, display, and lighting device
WO2009073245A1 (en)2007-12-062009-06-11Universal Display CorporationLight-emitting organometallic complexes
US20090153034A1 (en)2007-12-132009-06-18Universal Display CorporationCarbazole-containing materials in phosphorescent light emittinig diodes
WO2009084413A1 (en)2007-12-282009-07-09Konica Minolta Holdings, Inc.Organic electroluminescent device and method for manufacturing organic electroluminescent device
WO2009086028A2 (en)2007-12-282009-07-09Universal Display CorporationCarbazole-containing materials in phosphorescent light emitting diodes
US20110057559A1 (en)2007-12-282011-03-10Universal Display CorporationPhosphorescent emitters and host materials with improved stability
JP2009170764A (en)2008-01-182009-07-30Konica Minolta Holdings IncMaterial for organic electroluminescent element, organic electroluminescent element, method of manufacturing organic electroluminescent element, display device, and illumination device
JP2009182298A (en)2008-02-012009-08-13Konica Minolta Holdings IncOrganic electroluminescence element, lighting device, and display device
WO2009104488A1 (en)2008-02-202009-08-27コニカミノルタホールディングス株式会社White light-emitting organic electroluminescent device
JP2009267255A (en)2008-04-282009-11-12Idemitsu Kosan Co LtdMaterial for organic electroluminescent element and organic electroluminescent element using the material
US20100102709A1 (en)2008-04-292010-04-29Olaf ZeikaRadialene compounds and their use
US20090284138A1 (en)2008-05-132009-11-19Konica Minolta Holdings, Inc.Organic electroluminescent element, display device and lighting device
US20120261654A1 (en)2008-05-132012-10-18Konica Minolta Holdings, Inc.Organic electroluminescent element, display device and lighting device
WO2010002850A1 (en)2008-06-302010-01-07Universal Display CorporationHole transport materials containing triphenylene
US20110163302A1 (en)2008-06-302011-07-07Universal Display CorporationHole transport materials having a sulfur-containing group
WO2010001830A1 (en)2008-07-012010-01-07コニカミノルタホールディングス株式会社White light-emitting organic electroluminescent element, illuminating device and display device
WO2010004877A1 (en)2008-07-102010-01-14コニカミノルタホールディングス株式会社Organic electroluminescent element, display device and illuminating device
JP2010021336A (en)2008-07-102010-01-28Konica Minolta Holdings IncOrganic electroluminescence device, illuminator, and display device
JP2010040830A (en)2008-08-062010-02-18Konica Minolta Holdings IncOrganic electroluminescent element, display device, and lighting system
WO2010027583A1 (en)2008-09-032010-03-11Universal Display CorporationPhosphorescent materials
WO2010028151A1 (en)2008-09-032010-03-11Universal Display CorporationPhosphorescent materials
US20110227049A1 (en)2008-09-032011-09-22Universal Display CorporationPhosphorescent materials
WO2010040777A1 (en)2008-10-072010-04-15Osram Opto Semiconductors GmbhSiloles substituted with condensed ring systems and use thereof in organic electronics
WO2010044342A1 (en)2008-10-152010-04-22コニカミノルタホールディングス株式会社Organic el element, organic el element manufacturing method, white organic el element, display device, and illumination device
EP2180029A1 (en)2008-10-232010-04-28Novaled AGRadialene compounds and their use
JP2010114180A (en)2008-11-052010-05-20Konica Minolta Holdings IncOrganic electroluminescent element, white organic electroluminescent element, display device and illuminator
WO2010056669A1 (en)2008-11-112010-05-20Universal Display CorporationPhosphorescent emitters
JP2010135467A (en)2008-12-032010-06-17Konica Minolta Holdings IncOrganic electroluminescent element, lighting system equipped with the element, and display device
WO2010067746A1 (en)2008-12-082010-06-17コニカミノルタホールディングス株式会社Organic electroluminescence element, display device and illumination device
WO2010068876A1 (en)2008-12-122010-06-17Universal Display CorporationBLUE EMITTER WITH HIGH EFFICIENCY BASED ON IMIDAZO [1,2-f] PHENANTHRIDINE IRIDIUM COMPLEXES
WO2010079051A1 (en)2009-01-072010-07-15Basf SeSilyl and heteroatom substituted compounds selected from carbazoles, dibenzofurans, dibenzothiophenes and dibenzo phospholes and the application thereof in organic electronics
WO2010079678A1 (en)2009-01-092010-07-15コニカミノルタホールディングス株式会社Organic electroluminescent element, display device, and lighting device
WO2010087222A1 (en)2009-01-282010-08-05コニカミノルタホールディングス株式会社Organic electroluminescent element, display device, and illumination device
WO2010086089A1 (en)2009-02-022010-08-05Merck Patent GmbhMetal complexes
WO2010090077A1 (en)2009-02-062010-08-12コニカミノルタホールディングス株式会社Organic electroluminescent element, and illumination device and display device each comprising the element
WO2010095564A1 (en)2009-02-182010-08-26コニカミノルタホールディングス株式会社Organic electroluminescent element, and illuminating device and display device each comprising the element
EP2401254A1 (en)2009-02-262012-01-04Novaled AGQuinone compounds as dopants in organic electronics
WO2010118029A1 (en)2009-04-062010-10-14Universal Display CorporationMetal complex comprising novel ligand structures
EP2246862A1 (en)2009-04-272010-11-03Novaled AGOrganic electronic device comprising an organic semiconducting material
WO2010129323A1 (en)2009-04-282010-11-11Universal Display CorporationIridium complex with methyl-d3 substitution
WO2010132236A1 (en)2009-05-132010-11-18Global Oled Technology Llc.Internal connector for organic electronic devices
WO2011051404A1 (en)2009-10-282011-05-05Basf SeHeteroleptic carbene complexes and use thereof in organic electronics
WO2011073149A1 (en)2009-12-142011-06-23Basf SeMetal complexes comprising diazabenzimidazol carbene-ligands and the use thereof in oleds
WO2011090535A1 (en)2010-01-202011-07-28Universal Display CorporationElectroluminescent devices for lighting applications
WO2011106344A1 (en)2010-02-252011-09-01Universal Display CorporationPhosphorescent emitters
US20110210316A1 (en)2010-03-012011-09-01Semiconductor Energy Laboratory Co., Ltd.Heterocyclic compound, light-emitting element, light-emitting device, electronic device, and lighting device
WO2011109042A1 (en)2010-03-032011-09-09Universal Display CorporationPhosphorescent materials
US20110233528A1 (en)2010-03-242011-09-29Universal Display CorporationNovel oled display architecture
WO2011137072A1 (en)2010-04-262011-11-03Universal Display CorporationBicarbazole containing compounds for oleds
WO2011157779A1 (en)2010-06-182011-12-22Basf SeOrganic electronic devices comprising a layer of a pyridine compound and a 8-hydroxyquinolinolato earth alkaline metal, or alkali metal complex
WO2011157790A1 (en)2010-06-182011-12-22Basf SeOrganic electronic devices comprising a layer of a dibenzofurane compound and a 8-hydroxyquinolinolato earth alkaline metal, or alkali metal complex
WO2011160757A1 (en)2010-06-222011-12-29Merck Patent GmbhMaterials for electronic devices
WO2012008881A1 (en)2010-07-152012-01-19Kuznetsov Andrey LeionidovichPiezoelectric pump
WO2012014621A1 (en)2010-07-292012-02-02コニカミノルタホールディングス株式会社Transparent conductive film and organic electroluminescent element
WO2012016601A1 (en)2010-08-062012-02-09Telefonica, S.A.A method for managing presence information
WO2012048266A1 (en)2010-10-082012-04-12Universal Display CorporationNovel 3, 9-linked oligocarbazole-based hosts, containing dbt and dbr fragments, separated by aromatic spacers
WO2012053627A1 (en)2010-10-222012-04-26Semiconductor Energy Laboratory Co., Ltd.Organometallic complex, light-emitting element, light-emitting device, electronic device and lighting device
WO2012105310A1 (en)2011-02-022012-08-09コニカミノルタホールディングス株式会社Organic electroluminescence element and illumination device
WO2012111462A1 (en)2011-02-152012-08-23コニカミノルタホールディングス株式会社Organic electroluminescence element and illumination device
WO2012115034A1 (en)2011-02-222012-08-30コニカミノルタホールディングス株式会社Organic electroluminescent element, illumination device, and display device
WO2012121936A2 (en)2011-03-082012-09-13Universal Display CorporationPyridyl carbene phosphorescent emitters
WO2012130709A1 (en)2011-03-252012-10-04Basf Se4h-imidazo[1,2-a]imidazoles for electronic applications
WO2012147397A1 (en)2011-04-262012-11-01コニカミノルタホールディングス株式会社Organic electroluminescent element and illuminating apparatus
US20120292600A1 (en)2011-05-192012-11-22Universal Display CorporationPhosphorescent heteroleptic phenylbenzimidazole dopants
WO2012162325A1 (en)2011-05-252012-11-29Universal Display CorporationHost materials for oleds
WO2012166608A1 (en)2011-05-272012-12-06Universal Display CorporationHigh efficiency yellow light emitters for oled devices
US20120305894A1 (en)2011-06-012012-12-06Do-Han KimBlue phosphorescent compound and organic electroluminescent device using the same
WO2012170463A1 (en)2011-06-082012-12-13Universal Display CorporationHeteroleptic iridium carbene complexes and light emitting device using them
WO2012170461A1 (en)2011-06-082012-12-13Universal Display CorporationHeteroleptic iridium carbene complexes and light emitting device using them
WO2012170571A1 (en)2011-06-082012-12-13Universal Display CorporationHeteroleptic iridium carbene complexes and light emitting device using them
WO2012172482A1 (en)2011-06-142012-12-20Basf SeMetal complexes comprising azabenzimidazole carbene ligands and the use thereof in oleds
EP2551933A1 (en)2011-07-282013-01-30Universal Display CorporationHeteroleptic iridium complexes as dopants
WO2013022419A1 (en)2011-08-052013-02-14Universal Display CorporationPhosphorescent organic light emitting devices combined with hole transport material having high operating stability
WO2013068376A1 (en)2011-11-102013-05-16Basf Se4h-imidazo[1,2-a]imidazoles for electronic applications
US20140001446A1 (en)*2011-12-052014-01-02Yumiko MizukiMaterial for organic electroluminescence device and organic electroluminescence device
WO2013154064A1 (en)2012-04-092013-10-17国立大学法人九州大学Organic light emitting element, and light emitting material and compound used in same
WO2014009317A1 (en)2012-07-102014-01-16Basf SeBenzimidazo[1,2-a]benzimidazole derivatives for electronic applications
WO2014044722A1 (en)2012-09-202014-03-27Basf SeAzadibenzofurans for electronic applications

Non-Patent Citations (45)

* Cited by examiner, † Cited by third party
Title
"Kirk-Othmer Encyclopedia of Chemical Technology", vol. 18, 1996, pages: 837 - 860
"Thermally Activated Delayed Fluorescence", ADV. MATER., vol. 26, 2014, pages 7931 - 7958
A. G. WERNER; F. LI; K. HARADA; M. PFEIFFER; T. FRITZ; K. LEO, APPL. PHYS. LETT., vol. 82, no. 25, 2003, pages 4495
A. G. WERNER; F. LI; K. HARADA; M. PFEIFFER; T. FRITZ; K. LEO, APPL. PHYS. LETT., vol. 82, no. 25, 23 June 2003 (2003-06-23)
ACHOUR, REDDOUANE; ZNIBER, RACHID, BULLETIN DES SOCIETES CHIMIQUES BELGES, vol. 96, 1987, pages 787 - 92
ANGEW CHEM INT ED ENGL., vol. 48, 2009, pages 6954 - 71
ANGEW. CHEM. INT. ED., vol. 47, 2008, pages 8104 - 8107
ANGEW. CHEM. INT. ED., vol. 48, 2009, pages 9240 - 9261
ANGEW. CHEM., vol. 124, 2012, pages 8136 - 8140
D. LI ET AL., DYES AND PIGMENTS, vol. 49, 2001, pages 181 - 186
EUR. J. ORG. CHEM., 2007, pages 2147 - 2151
EUR. J. ORG. CHEM., 2014, pages 5986 - 5997
H. GILMAN; D. A. SHIRLEY, J. AM. CHEM. SOC., vol. 66, 1944, pages 888
HUBERT, ANDRE J.; REIMLINGER, HANS, CHEMISCHE BERICHTE, vol. 103, 1970, pages 2828 - 35
J. AM. CHEM. SOC., vol. 106, 1984, pages 7150
J. AM. CHEM. SOC., vol. 131, 2009, pages 2009 - 2251
J. CHEM. SOC. [SECTION] C: ORGANIC, vol. 16, 1971, pages 2775 - 7
J. CHEM. SOC., PERKIN TRANS., vol. 2, no. 5, 2002, pages 953 - 957
J. HETEROCYCLIC CHEMISTRY, vol. 34, 1997, pages 891 - 900
J. KIDO ET AL., CHEM. COMMUN., 2008, pages 5821 - 5823
J. KIDO ET AL., CHEM. MATER., vol. 20, 2008, pages 5951 - 5953
J. ORG. CHEM, vol. 70, 2005, pages 5165
J. ORG. CHEM., vol. 63, 1998, pages 878 - 880
J. ORG. CHEM., vol. 69, 2004, pages 8177 - 8182
K. WALZER; B. MAENNIG; M. PFEIFFER; K. LEO, CHEM. SOC. REV., vol. 107, 2007, pages 1233
KAHN ET AL., J. AM. CHEM. SOC., vol. 131, no. 35, 2009, pages 12530 - 12531
KHAN, MISBAHUL AIN; RIBEIRO, VERA LUCIA TEIXEIRA, PAKISTAN JOURNAL OF SCIENTIFIC AND INDUSTRIAL RESEARCH, vol. 43, 2000, pages 168 - 170
KOLESNIKOVA, . V., ZHURNAL ORGANICHESKOI KHIMII, vol. 25, 1989, pages 1689 - 95
M. PARK; J.R. BUCK; C.J. RIZZO, TETRAHEDRON, vol. 54, 1998, pages 12707 - 12714
NAN-XING HU ET AL., SYNTH. MET., vol. 111, 2000, pages 421
NATURE, vol. 357, 11 June 1992 (1992-06-11), pages 477 - 479
ORG. CHEM., vol. 73, 2008, pages 2176 - 2181
ORG. LETT., vol. 6, 2004, pages 3501 - 3504
PEDRO MOLINA ET AL., TETRAHEDRON, 1994, pages 10029 - 10036
PFEIFFER ET AL., ORGANIC ELECTRONICS, vol. 4, 2003, pages 89 - 103
PRASAD APPUKKUTTAN ET AL., SYNLETT, vol. 8, 2003, pages 1204
RSC ADVANCES, vol. 4, 2014, pages 21904 - 21908
SHITONG ZHANG ET AL: "Achieving a Significantly Increased Efficiency in Nondoped Pure Blue Fluorescent OLED: A Quasi-Equivalent Hybridized Excited State", ADVANCED FUNCTIONAL MATERIALS, vol. 25, no. 11, 11 March 2015 (2015-03-11), pages 1755 - 1762, XP055213100, ISSN: 1616-301X, DOI: 10.1002/adfm.201404260*
SHITONG ZHANG ET AL: "Enhanced proportion of radiative excitons in non-doped electro-fluorescence generated from an imidazole derivative with an orthogonal donor-acceptor structure", CHEMICAL COMMUNICATIONS, vol. 49, no. 96, 1 January 2013 (2013-01-01), pages 11302 - 11304, XP055213101, ISSN: 1359-7345, DOI: 10.1039/c3cc47130f*
SYNTHESIS, 2000, pages 442 - 446
TETRAHEDRON LETT., vol. 25, 1984, pages 5363 - 6
W. GAO; A. KAHN, J. APPL. PHYS., vol. 94, 2003, pages 359
W. GAO; A. KAHN, J. APPL. PHYS., vol. 94, no. 1, 1 July 2003 (2003-07-01)
W. YANG ET AL., J. MATER. CHEM., vol. 13, 2003, pages 1351
X. WANG ET AL., ORG. LETT., vol. 14, 2012, pages 452 - 455

Cited By (1)

* Cited by examiner, † Cited by third party
Publication numberPriority datePublication dateAssigneeTitle
EP3651225A1 (en)*2018-11-092020-05-13Idemitsu Kosan Co., Ltd.Novel organic compounds and an organic electroluminescence device comprising the same

Also Published As

Publication numberPublication date
US10689385B2 (en)2020-06-23
WO2016157113A1 (en)2016-10-06
US20180086763A1 (en)2018-03-29
EP3075737B1 (en)2019-12-04

Similar Documents

PublicationPublication DateTitle
US11744152B2 (en)Benzimidazo[1,2-a]benzimidazole derivatives for electronic applications
EP3075737B1 (en)Benzimidazolo[1,2-a]benzimidazole carrying aryl- or heteroarylnitril groups for organic light emitting diodes
EP3119770B1 (en)New dibenzofurans and dibenzothiophenes
EP2776443B1 (en)4h-imidazo[1,2-a]imidazoles for electronic applications
EP3318566B1 (en)Azadibenzofurans for electronic applications
EP3072943B1 (en)Dibenzofuran/carbazole-substituted benzonitriles
EP3174885B1 (en)2,9-functionalized benzimidazolo[1,2-a]benzimidazoles as hosts for organic light emitting diodes (oleds)
EP3034507A1 (en)1-functionalized dibenzofurans and dibenzothiophenes for organic light emitting diodes (OLEDs)
EP3356368B1 (en)Benzimidazolo[1,2-a]benzimidazole carrying benzimidazolo[1,2-a]benzimidazolyl groups, carbazolyl groups, benzofurane groups or benzothiophene groups for organic light emitting diodes
WO2017093958A1 (en)Benzimidazolo[1,2-a]benzimidazole derivatives for organic light emitting diodes
EP3070144B1 (en)Seven-membered ring compounds
EP3356369B1 (en)Benzimidazolo[1,2-a]benzimidazole carrying triazine groups for organic light emitting diodes
EP3034506A1 (en)4-functionalized carbazole derivatives for electronic applications
US10968229B2 (en)Seven-membered ring compounds
EP3061759B1 (en)Nitrile substituted dibenzofurans
WO2016079667A1 (en)Indole derivatives for electronic applications
WO2016067261A1 (en)5-((benz)imidazol-2-yl)benzimidazo[1,2-a]benzimidazoles for electronic applications

Legal Events

DateCodeTitleDescription
PUAIPublic reference made under article 153(3) epc to a published international application that has entered the european phase

Free format text:ORIGINAL CODE: 0009012

AKDesignated contracting states

Kind code of ref document:A1

Designated state(s):AL AT BE BG CH CY CZ DE DK EE ES FI FR GB GR HR HU IE IS IT LI LT LU LV MC MK MT NL NO PL PT RO RS SE SI SK SM TR

AXRequest for extension of the european patent

Extension state:BA ME

STAAInformation on the status of an ep patent application or granted ep patent

Free format text:STATUS: REQUEST FOR EXAMINATION WAS MADE

17PRequest for examination filed

Effective date:20170404

RBVDesignated contracting states (corrected)

Designated state(s):AL AT BE BG CH CY CZ DE DK EE ES FI FR GB GR HR HU IE IS IT LI LT LU LV MC MK MT NL NO PL PT RO RS SE SI SK SM TR

STAAInformation on the status of an ep patent application or granted ep patent

Free format text:STATUS: EXAMINATION IS IN PROGRESS

17QFirst examination report despatched

Effective date:20170725

GRAPDespatch of communication of intention to grant a patent

Free format text:ORIGINAL CODE: EPIDOSNIGR1

STAAInformation on the status of an ep patent application or granted ep patent

Free format text:STATUS: GRANT OF PATENT IS INTENDED

INTGIntention to grant announced

Effective date:20190116

GRASGrant fee paid

Free format text:ORIGINAL CODE: EPIDOSNIGR3

GRAJInformation related to disapproval of communication of intention to grant by the applicant or resumption of examination proceedings by the epo deleted

Free format text:ORIGINAL CODE: EPIDOSDIGR1

GRALInformation related to payment of fee for publishing/printing deleted

Free format text:ORIGINAL CODE: EPIDOSDIGR3

STAAInformation on the status of an ep patent application or granted ep patent

Free format text:STATUS: EXAMINATION IS IN PROGRESS

GRAPDespatch of communication of intention to grant a patent

Free format text:ORIGINAL CODE: EPIDOSNIGR1

STAAInformation on the status of an ep patent application or granted ep patent

Free format text:STATUS: GRANT OF PATENT IS INTENDED

INTCIntention to grant announced (deleted)
INTGIntention to grant announced

Effective date:20190903

GRAA(expected) grant

Free format text:ORIGINAL CODE: 0009210

STAAInformation on the status of an ep patent application or granted ep patent

Free format text:STATUS: THE PATENT HAS BEEN GRANTED

AKDesignated contracting states

Kind code of ref document:B1

Designated state(s):AL AT BE BG CH CY CZ DE DK EE ES FI FR GB GR HR HU IE IS IT LI LT LU LV MC MK MT NL NO PL PT RO RS SE SI SK SM TR

REGReference to a national code

Ref country code:GB

Ref legal event code:FG4D

REGReference to a national code

Ref country code:CH

Ref legal event code:EP

REGReference to a national code

Ref country code:AT

Ref legal event code:REF

Ref document number:1209265

Country of ref document:AT

Kind code of ref document:T

Effective date:20191215

REGReference to a national code

Ref country code:DE

Ref legal event code:R096

Ref document number:602015042808

Country of ref document:DE

REGReference to a national code

Ref country code:IE

Ref legal event code:FG4D

REGReference to a national code

Ref country code:NL

Ref legal event code:MP

Effective date:20191204

REGReference to a national code

Ref country code:LT

Ref legal event code:MG4D

PG25Lapsed in a contracting state [announced via postgrant information from national office to epo]

Ref country code:SE

Free format text:LAPSE BECAUSE OF FAILURE TO SUBMIT A TRANSLATION OF THE DESCRIPTION OR TO PAY THE FEE WITHIN THE PRESCRIBED TIME-LIMIT

Effective date:20191204

Ref country code:LV

Free format text:LAPSE BECAUSE OF FAILURE TO SUBMIT A TRANSLATION OF THE DESCRIPTION OR TO PAY THE FEE WITHIN THE PRESCRIBED TIME-LIMIT

Effective date:20191204

Ref country code:NO

Free format text:LAPSE BECAUSE OF FAILURE TO SUBMIT A TRANSLATION OF THE DESCRIPTION OR TO PAY THE FEE WITHIN THE PRESCRIBED TIME-LIMIT

Effective date:20200304

Ref country code:GR

Free format text:LAPSE BECAUSE OF FAILURE TO SUBMIT A TRANSLATION OF THE DESCRIPTION OR TO PAY THE FEE WITHIN THE PRESCRIBED TIME-LIMIT

Effective date:20200305

Ref country code:LT

Free format text:LAPSE BECAUSE OF FAILURE TO SUBMIT A TRANSLATION OF THE DESCRIPTION OR TO PAY THE FEE WITHIN THE PRESCRIBED TIME-LIMIT

Effective date:20191204

Ref country code:FI

Free format text:LAPSE BECAUSE OF FAILURE TO SUBMIT A TRANSLATION OF THE DESCRIPTION OR TO PAY THE FEE WITHIN THE PRESCRIBED TIME-LIMIT

Effective date:20191204

Ref country code:BG

Free format text:LAPSE BECAUSE OF FAILURE TO SUBMIT A TRANSLATION OF THE DESCRIPTION OR TO PAY THE FEE WITHIN THE PRESCRIBED TIME-LIMIT

Effective date:20200304

PG25Lapsed in a contracting state [announced via postgrant information from national office to epo]

Ref country code:RS

Free format text:LAPSE BECAUSE OF FAILURE TO SUBMIT A TRANSLATION OF THE DESCRIPTION OR TO PAY THE FEE WITHIN THE PRESCRIBED TIME-LIMIT

Effective date:20191204

Ref country code:HR

Free format text:LAPSE BECAUSE OF FAILURE TO SUBMIT A TRANSLATION OF THE DESCRIPTION OR TO PAY THE FEE WITHIN THE PRESCRIBED TIME-LIMIT

Effective date:20191204

PG25Lapsed in a contracting state [announced via postgrant information from national office to epo]

Ref country code:AL

Free format text:LAPSE BECAUSE OF FAILURE TO SUBMIT A TRANSLATION OF THE DESCRIPTION OR TO PAY THE FEE WITHIN THE PRESCRIBED TIME-LIMIT

Effective date:20191204

PG25Lapsed in a contracting state [announced via postgrant information from national office to epo]

Ref country code:PT

Free format text:LAPSE BECAUSE OF FAILURE TO SUBMIT A TRANSLATION OF THE DESCRIPTION OR TO PAY THE FEE WITHIN THE PRESCRIBED TIME-LIMIT

Effective date:20200429

Ref country code:EE

Free format text:LAPSE BECAUSE OF FAILURE TO SUBMIT A TRANSLATION OF THE DESCRIPTION OR TO PAY THE FEE WITHIN THE PRESCRIBED TIME-LIMIT

Effective date:20191204

Ref country code:ES

Free format text:LAPSE BECAUSE OF FAILURE TO SUBMIT A TRANSLATION OF THE DESCRIPTION OR TO PAY THE FEE WITHIN THE PRESCRIBED TIME-LIMIT

Effective date:20191204

Ref country code:CZ

Free format text:LAPSE BECAUSE OF FAILURE TO SUBMIT A TRANSLATION OF THE DESCRIPTION OR TO PAY THE FEE WITHIN THE PRESCRIBED TIME-LIMIT

Effective date:20191204

Ref country code:RO

Free format text:LAPSE BECAUSE OF FAILURE TO SUBMIT A TRANSLATION OF THE DESCRIPTION OR TO PAY THE FEE WITHIN THE PRESCRIBED TIME-LIMIT

Effective date:20191204

Ref country code:NL

Free format text:LAPSE BECAUSE OF FAILURE TO SUBMIT A TRANSLATION OF THE DESCRIPTION OR TO PAY THE FEE WITHIN THE PRESCRIBED TIME-LIMIT

Effective date:20191204

PG25Lapsed in a contracting state [announced via postgrant information from national office to epo]

Ref country code:IS

Free format text:LAPSE BECAUSE OF FAILURE TO SUBMIT A TRANSLATION OF THE DESCRIPTION OR TO PAY THE FEE WITHIN THE PRESCRIBED TIME-LIMIT

Effective date:20200404

Ref country code:SK

Free format text:LAPSE BECAUSE OF FAILURE TO SUBMIT A TRANSLATION OF THE DESCRIPTION OR TO PAY THE FEE WITHIN THE PRESCRIBED TIME-LIMIT

Effective date:20191204

Ref country code:SM

Free format text:LAPSE BECAUSE OF FAILURE TO SUBMIT A TRANSLATION OF THE DESCRIPTION OR TO PAY THE FEE WITHIN THE PRESCRIBED TIME-LIMIT

Effective date:20191204

REGReference to a national code

Ref country code:DE

Ref legal event code:R097

Ref document number:602015042808

Country of ref document:DE

REGReference to a national code

Ref country code:AT

Ref legal event code:MK05

Ref document number:1209265

Country of ref document:AT

Kind code of ref document:T

Effective date:20191204

PLBENo opposition filed within time limit

Free format text:ORIGINAL CODE: 0009261

STAAInformation on the status of an ep patent application or granted ep patent

Free format text:STATUS: NO OPPOSITION FILED WITHIN TIME LIMIT

PG25Lapsed in a contracting state [announced via postgrant information from national office to epo]

Ref country code:DK

Free format text:LAPSE BECAUSE OF FAILURE TO SUBMIT A TRANSLATION OF THE DESCRIPTION OR TO PAY THE FEE WITHIN THE PRESCRIBED TIME-LIMIT

Effective date:20191204

Ref country code:MC

Free format text:LAPSE BECAUSE OF FAILURE TO SUBMIT A TRANSLATION OF THE DESCRIPTION OR TO PAY THE FEE WITHIN THE PRESCRIBED TIME-LIMIT

Effective date:20191204

REGReference to a national code

Ref country code:CH

Ref legal event code:PL

26NNo opposition filed

Effective date:20200907

PG25Lapsed in a contracting state [announced via postgrant information from national office to epo]

Ref country code:PL

Free format text:LAPSE BECAUSE OF FAILURE TO SUBMIT A TRANSLATION OF THE DESCRIPTION OR TO PAY THE FEE WITHIN THE PRESCRIBED TIME-LIMIT

Effective date:20191204

Ref country code:SI

Free format text:LAPSE BECAUSE OF FAILURE TO SUBMIT A TRANSLATION OF THE DESCRIPTION OR TO PAY THE FEE WITHIN THE PRESCRIBED TIME-LIMIT

Effective date:20191204

Ref country code:AT

Free format text:LAPSE BECAUSE OF FAILURE TO SUBMIT A TRANSLATION OF THE DESCRIPTION OR TO PAY THE FEE WITHIN THE PRESCRIBED TIME-LIMIT

Effective date:20191204

REGReference to a national code

Ref country code:BE

Ref legal event code:MM

Effective date:20200331

PG25Lapsed in a contracting state [announced via postgrant information from national office to epo]

Ref country code:LU

Free format text:LAPSE BECAUSE OF NON-PAYMENT OF DUE FEES

Effective date:20200331

PG25Lapsed in a contracting state [announced via postgrant information from national office to epo]

Ref country code:LI

Free format text:LAPSE BECAUSE OF NON-PAYMENT OF DUE FEES

Effective date:20200331

Ref country code:IT

Free format text:LAPSE BECAUSE OF FAILURE TO SUBMIT A TRANSLATION OF THE DESCRIPTION OR TO PAY THE FEE WITHIN THE PRESCRIBED TIME-LIMIT

Effective date:20191204

Ref country code:CH

Free format text:LAPSE BECAUSE OF NON-PAYMENT OF DUE FEES

Effective date:20200331

Ref country code:IE

Free format text:LAPSE BECAUSE OF NON-PAYMENT OF DUE FEES

Effective date:20200331

Ref country code:FR

Free format text:LAPSE BECAUSE OF NON-PAYMENT OF DUE FEES

Effective date:20200331

PG25Lapsed in a contracting state [announced via postgrant information from national office to epo]

Ref country code:BE

Free format text:LAPSE BECAUSE OF NON-PAYMENT OF DUE FEES

Effective date:20200331

GBPCGb: european patent ceased through non-payment of renewal fee

Effective date:20200331

PG25Lapsed in a contracting state [announced via postgrant information from national office to epo]

Ref country code:GB

Free format text:LAPSE BECAUSE OF NON-PAYMENT OF DUE FEES

Effective date:20200331

PG25Lapsed in a contracting state [announced via postgrant information from national office to epo]

Ref country code:TR

Free format text:LAPSE BECAUSE OF FAILURE TO SUBMIT A TRANSLATION OF THE DESCRIPTION OR TO PAY THE FEE WITHIN THE PRESCRIBED TIME-LIMIT

Effective date:20191204

Ref country code:MT

Free format text:LAPSE BECAUSE OF FAILURE TO SUBMIT A TRANSLATION OF THE DESCRIPTION OR TO PAY THE FEE WITHIN THE PRESCRIBED TIME-LIMIT

Effective date:20191204

Ref country code:CY

Free format text:LAPSE BECAUSE OF FAILURE TO SUBMIT A TRANSLATION OF THE DESCRIPTION OR TO PAY THE FEE WITHIN THE PRESCRIBED TIME-LIMIT

Effective date:20191204

PG25Lapsed in a contracting state [announced via postgrant information from national office to epo]

Ref country code:MK

Free format text:LAPSE BECAUSE OF FAILURE TO SUBMIT A TRANSLATION OF THE DESCRIPTION OR TO PAY THE FEE WITHIN THE PRESCRIBED TIME-LIMIT

Effective date:20191204

P01Opt-out of the competence of the unified patent court (upc) registered

Effective date:20230519

PGFPAnnual fee paid to national office [announced via postgrant information from national office to epo]

Ref country code:DE

Payment date:20241220

Year of fee payment:11


[8]ページ先頭

©2009-2025 Movatter.jp