Movatterモバイル変換


[0]ホーム

URL:


EP2996190A1 - Method for selecting a phase shift, phase shifter, beamformer and antenna array - Google Patents

Method for selecting a phase shift, phase shifter, beamformer and antenna array
Download PDF

Info

Publication number
EP2996190A1
EP2996190A1EP14306380.8AEP14306380AEP2996190A1EP 2996190 A1EP2996190 A1EP 2996190A1EP 14306380 AEP14306380 AEP 14306380AEP 2996190 A1EP2996190 A1EP 2996190A1
Authority
EP
European Patent Office
Prior art keywords
rtps
value
phase shift
phase shifter
impedance
Prior art date
Legal status (The legal status is an assumption and is not a legal conclusion. Google has not performed a legal analysis and makes no representation as to the accuracy of the status listed.)
Withdrawn
Application number
EP14306380.8A
Other languages
German (de)
French (fr)
Inventor
Senad Bulja
Current Assignee (The listed assignees may be inaccurate. Google has not performed a legal analysis and makes no representation or warranty as to the accuracy of the list.)
Alcatel Lucent SAS
Original Assignee
Alcatel Lucent SAS
Priority date (The priority date is an assumption and is not a legal conclusion. Google has not performed a legal analysis and makes no representation as to the accuracy of the date listed.)
Filing date
Publication date
Application filed by Alcatel Lucent SASfiledCriticalAlcatel Lucent SAS
Priority to EP14306380.8ApriorityCriticalpatent/EP2996190A1/en
Publication of EP2996190A1publicationCriticalpatent/EP2996190A1/en
Withdrawnlegal-statusCriticalCurrent

Links

Images

Classifications

Definitions

Landscapes

Abstract

An RF reflection type phase shifter (RTPS) comprising a coupling device coupled to multiple reflective loads, n, respective ones of which include at least one variable reactance device with maximum reactance, Xmax, and, minimum reactance, Xmin, and at least two impedance transformers the characteristic impedances of which are selected according to predefined criteria to provide an increase in the value of a phase shift to be applied to a signal input to the RTPS proportional to the value of n.

Description

    TECHNICAL FIELD
  • Aspects relate, in general, to a method for selecting a phase shift, a phase shifter, a beamformer and an antenna array.
  • BACKGROUND
  • A phase shifter provides a controllable phase shift of an input RF signal, and such devices are therefore omnipresent in telecommunications where it is desirable to modify the phase of signals. The devices also find utility in radar systems, amplifier linearization, point-to-point radio and RF signal cancellation and so on. The choice of the phase shifter for a particular application is influenced by many factors; for example, the amount of obtainable phase shift, the insertion losses and power handling capability.
  • For lower power handling capabilities, the variation of phase shift is typically obtained by using semiconductor technology. In particular, varactor and PIN diodes can be used as the reactance/resistance tuneable elements needed for the variation of insertion phase.
  • SUMMARY
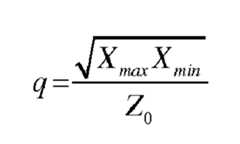
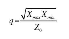
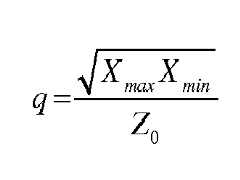
  • According to an example, there is provided an RF reflection type phase shifter (RTPS) comprising a coupling device coupled to multiple reflective loads, n, respective ones of which include at least one variable reactance device with maximum reactance, Xmax, and, minimum reactance, Xmin, and at least two impedance transformers the characteristic impedances of which are selected according to predefined criteria to provide an increase in the value of a phase shift to be applied to a signal input to the RTPS proportional to the value of n. The characteristic impedances can be selected in accordance with a selected value of a parameter, q, determined, for a given reflective load, according to:q=XmaxXminZ0
    Figure imgb0001
    where Z0 is the characteristic impedance of the coupling device and interconnecting microstrip lines. The impedance of the or each variable reactance device can be altered by varying a DC voltage or current applied to the variable reactance device. The or each variable reactance device can be a varactor diode. The impedance transformers can be one quarter-wavelength long at a selected frequency of operation. The impedance transformers can use microstrips or stripline technology. The impedance transformers can use lumped circuit elements, such as capacitors and/or inductors for example. The coupling device can be a circulator or a 3-dB coupler.
  • According to an example, there is provided a method for selecting a phase shift value for an output signal of a phase shifter including a coupling device coupled to multiple reflective loads, n, respective ones of which include at least one variable reactance device with maximum reactance, Xmax, and, minimum reactance, Xmin, and at least two impedance transformers, the method comprising selecting the characteristic impedances of impedance transformers according to predefined criteria to provide an increase in the value of a phase shift to be applied to a signal input to the phase shifter proportional to the value of n. Characteristic impedances can be selected in accordance with a selected value of a parameter, q, determined, for a given reflective load, according to:q=XmaxXminZ0
    Figure imgb0002
    where Z0 is the characteristic impedance of the coupling device and interconnecting microstrip lines. The impedance of the or each variable reactance device can be modified by varying a DC voltage or current applied to the variable reactance device.
  • According to an example, there is provided a beamformer for use in a wireless telecommunication network to modify the transmission profile of an antenna array, the beamformer including an RF reflection type phase shifter (RTPS) comprising a coupling device coupled to multiple reflective loads, n, respective ones of which include at least one variable reactance device with maximum reactance, Xmax, and, minimum reactance, Xmin, and at least two impedance transformers the characteristic impedances of which are selected according to predefined criteria to provide an increase in the value of a phase shift to be applied to a signal input to the RTPS proportional to the value of n. The antenna array can be composed of multiple antennas, wherein the phase shifter is operable to modify the phase of respective signals input to the multiple antennas. The phase shifter can comprise multiple parallel phase shift stages to apply respective different phase shifts to the respective signals input to the multiple antennas.
  • According to an example, there is provided an antenna array in a wireless telecommunication network, the antenna array including multiple antennas operable to receive input from a beamformer that is operable to modify the transmission profile of the antenna array, the beamformer including an RF reflection type phase shifter (RTPS) comprising a coupling device coupled to multiple reflective loads, n, respective ones of which include at least one variable reactance device with maximum reactance, Xmax, and, minimum reactance, Xmin, and at least two impedance transformers the characteristic impedances of which are selected according to predefined criteria to provide an increase in the value of a phase shift to be applied to a signal input to the RTPS proportional to the value of n.
  • BRIEF DESCRIPTION OF THE DRAWINGS
  • Embodiments will now be described, by way of example only, with reference to the accompanying drawings, in which:
    • Figure 1 is a schematic representation of a reflective type phase shifter (RTPS);
    • Figure 2 is a schematic representation of an RTPS device;
    • Figure 3 is a schematic representation of an RTPS device;
    • Figure 4 is a schematic representation of a generic circuit consisting of a coupling device, transformers ki,j and impedance z according to an example;
    • Figure 5 is a schematic representation of the reflective load of the generic circuit of a multiple active element reflective load RTPS as shown infigure 4;
    • Figure 6 is a schematic representation of a two active element per reflective load RTPS according to an example;
    • Figure 7 is graph of the insertion loss of a first order phase shifter according to an example;
    • Figure 8 is a graph of the insertion phase of the first order phase shifter according to an example;
    • Figure 9 is a graph of insertion loss of a second order phase shifter with q=1 according to an example;
    • Figure 10 is a graph of insertion phase of the second order phase shifter with q=1 according to an example;
    • Figure 11 is a graph of insertion loss of second order phase shifter with q=1.6 according to an example;
    • Figure 12 is a graph of insertion phase of second order phase shifter with q=1.6 according to an example;
    • Figure 13 is a schematic representation of a three active element per reflective load RTPS according to an example;
    • Figure 14 is a schematic representation of the dependence of the characteristic impedances k11, k11 and k22 on k21 for the case when Z0 =50Ω and q=1 according to an example;
    • Figure 15 is a graph of the insertion loss of a third order phase shifter according to an example with q=1 ;
    • Figure 16 is a graph of insertion phase of third order phase shifter according to an example with q=1;
    • Figure 17 is a graph of insertion loss of third order phase shifter according to an example with q=1.6; and
    • Figure 18 is a graph of insertion phase of third order phase shifter according to an example with q=1.6.
    DESCRIPTION
  • Example embodiments are described below in sufficient detail to enable those of ordinary skill in the art to embody and implement the systems and processes herein described. It is important to understand that embodiments can be provided in many alternate forms and should not be construed as limited to the examples set forth herein.
  • Accordingly, while embodiments can be modified in various ways and take on various alternative forms, specific embodiments thereof are shown in the drawings and described in detail below as examples. There is no intent to limit to the particular forms disclosed. On the contrary, all modifications, equivalents, and alternatives falling within the scope of the appended claims should be included. Elements of the example embodiments are consistently denoted by the same reference numerals throughout the drawings and detailed description where appropriate.
  • The terminology used herein to describe embodiments is not intended to limit the scope. The articles "a," "an," and "the" are singular in that they have a single referent, however the use of the singular form in the present document should not preclude the presence of more than one referent. In other words, elements referred to in the singular can number one or more, unless the context clearly indicates otherwise. It will be further understood that the terms "comprises," "comprising," "includes," and/or "including," when used herein, specify the presence of stated features, items, steps, operations, elements, and/or components, but do not preclude the presence or addition of one or more other features, items, steps, operations, elements, components, and/or groups thereof.
  • Unless otherwise defined, all terms (including technical and scientific terms) used herein are to be interpreted as is customary in the art. It will be further understood that terms in common usage should also be interpreted as is customary in the relevant art and not in an idealized or overly formal sense unless expressly so defined herein.
  • When a varactor diode is used as a tuneable reactance element in a phase shifter or phase shift device, a parameter of importance is the ratio of the maximum and minimum capacitance, referred to as rc= Cmax/Cmin. Normally, the greater this ratio is, the greater is the amount of obtainable phase shift. A typical value for this ratio is usually between 3-10. On the other hand, when a PIN diode is used (usually as a switch) the parameter of importance is the ratio between the "ON" and "OFF" resistance (referred to as rr = Rmax/Rmin).
  • Due to cost effectiveness, a reflectivetype phase shifter 100 as depicted schematically infigure 1 is widely used in telecommunications. Its structure is relatively simple and consists of a 3-dB coupler 101 andvaractor diodes 103 as part of the circuitry of the reflective loads.
  • Typically, according to a relatively simplified analysis, it is assumed that the 3-dB coupler is lossless and that the "coupled" and "through" arms of the 3-dB coupler have reflection coefficients given by Γ1 and Γ2 respectively. Thus, the overall reflection and transmission coefficients s11, s21 of thephase shifter 100 become:S11=0.5Γ1-Γ2;andS21=-j0.Γ1+Γ2
    Figure imgb0003
  • If the reflective loads are the same, i.e. Γ12=Γ, it follows that S11=0 and S21 = - jΓ, inferring that the structure formed in this way is always properly impedance matched (within the bandwidth of the 3-dB coupler) and that the reflection coefficient at the loads, Γ, becomes the transmission coefficient of the phase shifter. As such, any changes in the phase of the reflection coefficient Γ directly translates to phase changes of the transmission coefficient of the phase shifter, i.e. S21.
  • The transmission coefficient can be written as:S21=-jΓ=Z-Z0Z+Z0=Z-Z0Z+Z0ej-π2+arctanImZrealZ-Z0-arctanImZrealZ+Z0
    Figure imgb0004
    where,Z is the variable impedance of the reflective load,Z=R+jX. This impedance may come from the varactor diode alone or from a series/parallel configuration of a varactor diode and lumped elements for example.
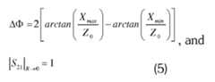
  • In order for an RTPS presented by (2) to be variable, the reactive part,X, can be controlled by electronic means, such as by application of a dc voltage or current for example. If the resistive part of the impedanceZ is constant, and if the maximum and minimum reactive part,X, of impedanceZ are denoted byXmax andXmin, respectively, the amount of phase shift obtained from a single active element RTPS can be written as:ΔΦ=arctanXmaxR-Z0-arctanXmaxR+Z0-arctanXminR-Z0-arctanXminR+Z0
    Figure imgb0005
  • The insertion loss arising from the resistive part of the impedance, Z , can be written as;S21=R-Z02+X2R+Z02+X2
    Figure imgb0006
  • In the case when the resistive part,R is zero, insertion phase (3) and insertion loss (4) become:ΔΦ=2arctanXmaxZ0-arctanXminZ0S21R0=1,and
    Figure imgb0007
  • Thus, if the variable impedance device (varactor diode in this case) is ideal, i.e. the real part of impedance Z is 0, only changes to the reactive part of the impedanceZ induce a change in phase. However, this is typically not achieved in practice since all semiconductor devices have a finite parasitic resistance, no matter how small. Further, in addition to the insertion loss arising from the finite resistance of the varactor diodes, a typical 3-dB coupler exhibits an insertion loss in the range of 0.3 - 0.5 dB, although this applies to a signal travelling in one direction.
  • In the case of reflective type configurations, the input signal travels through the 3-dB coupler, reaches the reflective loads and gets reflected from them to travel through the 3-dB coupler again and towards the output port. As such, since the signal travels twice through the 3-dB coupler, the insertion loss of a 3-dB coupler in a RTPS device is two times higher than its rated value. As such, the total insertion loss contribution of a 3-dB coupler in the RTPS configuration can easily occupy a significant portion of the total insertion loss (which consists of the losses of a 3-dB coupler and the losses due to the finite resistance of the load impedance, Z).
  • In the design of an RTPS, the varactor diode alone in the circuit of the reflective load usually provides a limited amount of phase shift. A reason for this is that the capacitance ratio (defined as the ratio of the maximum to minimum capacitance) of the varactor diode cannot be indefinitely increased, since this value is technology dependent. The capacitance ratio of a typical varactor diode is normally a single digit number, and almost always lower than 10. In order to increase the insertion phase of an RTPS, the varactor diode is connected in series with an inductor; however, increased phase shift comes at the expense of increased insertion loss due to the parasitic resistance of the additional inductor. Nevertheless, resonating a varactor with an inductor has become regular practice and is often pursued in the industry.
  • In some instances, the values of phase shift obtained by an inductor resonated varactor diode need to be even further increased. One approach to achieve this can be to use a cascaded connection of two RTPS devices, which inevitably doubles the amount of phase shift; however, it also doubles the insertion losses.
  • Increasing the amount of phase shift of an RTPS device without necessarily increasing the insertion losses is typically conditioned by one aspect. That is, for lower insertion losses and cost reduction, the number of 3-dB couplers needs to be kept to a minimum - one in this case. Bearing this condition in mind, the amount of obtainable phase shift can be increased by using two varactor diodes per reflective load of a 3-dB coupler, as shown in [3] and [4], andfigures 2 and3 for example.
  • Figure 2 is a schematic representation of an RTPS device. In theRTPS 200 offigure 2, the characteristic impedances of transformers, which in the case offigure 2 are microstrip lines, are set to Z01=50Ω and Z02=70.7Ω in order to double the amount of phase shift compared to the case of a single varactor diode per reflective load. However, no analysis has ever been performed to show the full potential of the circuit in terms of the increase in phase shift and whether the characteristic impedances Z01=50Ω and Z02=70.7Ω of the transformers are optimal (or not).
  • Similarly,figure 3 is a schematic representation of anRTPS device 300 that provides an increased amount of phase shift. However, again, no clear indication of the full potential of the circuit has been determined before, and it has never been determined whether the arrangement of the diodes is optimal or not. Instead it was only stated a transformer, Zc, needs to be added so as to compensate for the high losses of the resonant circuit formed using two varactor diodes and inductors. However, this does not quantify in any way the full capabilities of the circuit.
  • According to an example, a generic circuit of multiple active element load RTPS using only one 3-dB coupler is provided, which can provide optimum values of phase shift. In an example, proper selection of impedance transformers, ki,j, which allow increase of phase shift using only one 3-dB coupler is provided. Further, since the increase of phase shift is achieved using only one 3-dB coupler, the insertion losses of the circuit according to an example are not a multiple integer of the order of the phase shifter, but are increased by only a small amount due to the presence of additional active elements per load.
  • Figure 4 is a schematic representation of ageneric circuit 400 consisting of a 3-dB coupler 401, transformers ki,j and impedance z according to an example. Impedance z is used to represent any variable impedance which can be in the form of a varactor diode alone or any series/parallel combination with lumped elements for example.
  • The input admittance of the circuit offigure 4, Yin, can be represented as:Yin=k122k112Y+1k112Y2
    Figure imgb0008
    Where,Y2=k222k212Y+1k122Y3,Y3=k322k312Y+1k312Y4
    Figure imgb0009
    Or, in general,Yn-1=kn-1,22kn-1,12Y+1kn-1,12Yn,where Yn=Y
    Figure imgb0010
  • Here, ki,j,i=2 ..,n, j =1,2 represent the impedance transformers, n represents the order of the absorptive filter and Y=Z-1. It can be inferred from (7) - (8) that the input admittance, Yin, can be represented in the form of a generalized continued fraction:Yin=k122k112Y+1k112k222k212Y+k112k212k322k312Y+
    Figure imgb0011
    Or equivalently,Yin=b0+a1b1+a2b2+=b0+K0makbk,k=1m,m=n-1
    Figure imgb0012
    Whereb0=k122k112Y,
    Figure imgb0013
    a1=1,bk=kk,12kk+1,22kk,12Y,
    Figure imgb0014
    ∀ n≥2, k=1...n-1 andak=kk-1,12,
    Figure imgb0015
    ∀ n≥3, k=2...n-1
  • The input admittance of the n-th order reflective load can now be represented as:Yin,n=Am-1Bm-1
    Figure imgb0016
    where Am-1=bm-1,Am-2+am-1Am-3 and Bm-1=bm-1Bm-2+am-1Bm-3. Solving (11) yields the n-th order admittance polynomial from which the expression for the n-th order polynomial expression for the transmission coefficient of the n-th order RTPS (with the 3-dB coupler included),S21, can be derived:S21=-jY0-YinY0+Yin
    Figure imgb0017
    whereY0 is the characteristic admittance of the 3-dB coupler.
  • Substituting (11) into (12) and converting the admittance parameters into their impedance counterparts, i.e.Y0=Z0-1
    Figure imgb0018
    and Y=Z-1, the expression for the transmission coefficient,S21, as a function of impedance parameters according to an example can be represented as:S21=-jZin-Z0Zin+Z0
    Figure imgb0019
  • The n-th order identical and real zeroes of such a polynomial yield the expressions for the transformer impedances, ki,j,i = 2...n, j = 1,2. However, polynomials of order 5 and above cannot be analytically uniquely solved for real and identical zeroes. As such, for such high orders a numerical approach can be used.
  • In order for (13) to offer phase shift increase commensurate with the number of pairs of active elements in the reflective loads, (13) can be represented in the following form:S21=-jΓin=Zin-Z0Zin+Z0=Z-Z0Z+Z0nejn-π2+arctanImZrealZ-Z0-arctanImZrealZ+Z0
    Figure imgb0020
    where n indicates the number of pairs of active elements in the circuit of the reflective load offigure 4 andfigure 5, which is a schematic representation of a reflective load of the generic circuit of a multiple active element reflective load RTPS as shown infigure 4.
  • More generally, (14) can be written as:S21=-jΓin=Zin-Z0Zin+Z0=Z-qZ0Z+qZ0nejn-π2+arctanImZrealZ-qZ0-arctanImZrealZ+qZ0
    Figure imgb0021
    where q indicates the position of the transmission zero on the resistance scale. According to an example, the value of q can be adjusted with a proper selection impedance transformers ki,j,i=2...n, j=1,2. The phase shift provided by (15) can be written as:ΔΦ=narctanXmaxR-qZ0-arctanXmaxR+qZ0-arctanXminR-qZ0-arctanXminR+qZ0
    Figure imgb0022
  • Forq=1, the phase shift of the proposed structure offigures 4 and5 is increased n-times. Nevertheless, simply settingq=1, does not necessarily result in the optimal phase shift. The optimal phase shift is found by finding the roots of:ΔΦq=0
    Figure imgb0023
    yielding the following 6th order polynomialP1q6+P2q4+P3q2+P4=0
    Figure imgb0024
    WhereP1=Z06,P2=-R2Z04-Z04XmaxXmin+Z04Xmax2+Z04Xmin2,P3=-R4Z02-6R2Z02XminXmax-Z02XmaxXmin3+Z02Xmax2Xmin2-Z02Xmax3Xmin-2R2Z02Xmax2-2R2Z02Xmin2,P4=R6-R4XminXmax-R2Xmin3Xmax+R2Xmax2Xmin2-R2XminXmax3+R4Xmax2+R4Xmin2-Xmax3Xmin3
    Figure imgb0025
  • The first four roots of (18) are complex conjugate, while the remaining two roots are real with equal magnitude, but opposite signs. As such, there is always one solution to (18) that yields the optimum value of the parameter q.
  • The expression given by (19) can be simplified if it can be assumed that the parasitic resistance of the varactor diode can be neglected. This is a valid assumption in most cases, since this resistance is typically of the order of 1- 2 ohms. By settingR=0 in (18) the optimal value forq according to an example becomes:q=XmaxXminZ0
    Figure imgb0026
  • The insertion loss of the proposed RTPS (log scale) is:S21=20nlog10Z-qZ0Z+qZ0+insertion loss of3-dB coupler
    Figure imgb0027
  • Here, the first term on the right represents the insertion loss of the reflective circuit of the proposed RTPS. Forq=1 the insertion loss of the proposed reflective load is n-times higher than the insertion loss of the first order reflective circuit given by (4), while if parameterq is set in accordance with (20), the insertion loss of the reflective loads is always lower than that achieved withq=1. The second term on the right is the insertion loss of a 3-dB coupler.
  • For comparison, a cascade connection of n first order circuits will yield the same phase shift as (16), however, its insertion loss will be:S21=20nlog10Z-qZ0Z+qZ0+ninsertion loss of3-dB coupler+n-1loss due to interconnections
    Figure imgb0028
  • In quantitative terms, the reduction in the overall insertion loss over the cascade connection is:ΔS21=n-1insertion loss of3-dB coupler+n-1loss due to interconnections
    Figure imgb0029
  • Thus, in an example, in view of (22) and (23), (16) and (21), the amount of phase shift of RTPS can be increased in a linear fashion with respect to the pairs of active elements, without increasing the insertion loss in the same linear fashion. For example, if the insertion loss of a 3-dB coupler is 0.3 dB (2*0.3 dB in RTPS configuration), and for n=2,q=1 the reduction of the insertion loss using the circuit over according to an example compared to a conventional cascade connection is:ΔS21=0.6dB+loss due to interconnections
    Figure imgb0030
  • In the above equations the condition stipulated above relating to the retention of a minimum number of 3-dB couplers in the design of RTPS has been fulfilled.
  • According to an example, two RTPS - one with two active elements per reflective load and the other with a three active elements per reflective load - are described in more detail, although it will be appreciated that other variations are possible.
  • Twoactiveelement per reflective load
  • A two active element perreflective load RTPS 600 according to an example is schematically represented infigure 6. Setting n = 2 in (10) and substituting (10) into (13), the following expression for the transmission coefficient is obtained:S21=-jΓ=j-Zk112+Z0k122+Z0Z2Zk112+Z0k122+Z0Z2
    Figure imgb0031
  • Equation (25) assumes that the 3-dB coupler 601 is ideal. The zeroes of (25) yield the following values for the transformers k11 and k12 :k11=Z02qandk12=Z0q
    Figure imgb0032
  • Upon which (26) becomes:S21=-jΓin=Zin-Z0Zin+Z0=Z-qZ0Z+qZ02ej2-π2+arctanImZrealZ-qZ0-arctanImZrealZ+qZ0
    Figure imgb0033
  • By setting q=1 it follows thatk11=Z02
    Figure imgb0034
    and k12=Z0 which is identical to the result in [3]. As such, the result reported in [3] is a special case of the circuit offigure 6. However, in order to increase the amount of phase shift obtainable from the circuit offigure 6, parameter q is selected in line with (20) according to an example, with knowledge of the maximum and minimum reactance of the varactor diode.
  • For example, a varactor diode can have the following variation of capacitance: Cmin =0.4pF and Cmax =1.6pF, with a parasitic junction resistance of Rp =1Ω. The 3-dB coupler has a rated insertion loss of 0.3 dB and its operating frequency range is 2.3-2.7 GHz. The insertion loss and phase shift performance of a first order phase shifter according to an example are depicted infigures 7 and8. The capacitance of the varactor diode varies between 0.4 pF to 1.6 pF in the steps of 0.1 pF. That is,figure 7 is graph of the insertion loss of a first order phase shifter according to an example in which capacitance varies from 0.4 pF to 1.6 pF in steps of 0.1 pF, andfigure 8 is a graph of the insertion phase of the first order phase shifter.
  • Figures 9-12 represent the insertion loss and phase shift performance of second order phase shifters with q=1 and q=1.6, respectively. In the first case, the parameter q=1 and the second case corresponds to the case when parameter q attains the optimum value obtained by the use of (20), to yield the value of q=1.6.
  • Figure 9 is a graph of insertion loss of a second order phase shifter with q=1 (capacitance varies from 0.4 pF to 1.6 pF in steps of 0.1 pF).Figure 10 is a graph of insertion phase of the second order phase shifter with q=1 (capacitance varies from 0.4 pF to 1.6 pF in steps of 0.1 pF).Figure 11 is a graph of insertion loss of second order phase shifter with q=1.6 (capacitance varies from 0.4 pF to 1.6 pF in steps of 0.1 pF), andfigure 12 is a graph of insertion phase of second order phase shifter with q=1.6 (capacitance varies from 04 pF to 1.6 pF in steps of 0.1 pF).
  • As can be seen fromfigure 9, the phase shift obtained from the second order circuit with q=1 is approximately two times greater than that achieved using the first order circuit, however, the insertion loss is not doubled, but increased by only a small amount - 0.2 dB in this case.
  • The second order phase shift realization with q=1.6 offers an even greater phase shift than its second order counterpart with q=1. That is, the phase shift of the second order circuit with q=1.6 is increased by an average of 10° across the indicated frequency range compared to the phase shift of the second order circuit with q=1. The insertion loss performance of the second order phase shifter with q=1.6 is also superior compared to its second order counterpart with q=1, exhibiting a 0.1 dB smaller insertion loss. As such, the optimal choice of parameter q not only increases the amount of phase shift obtained from a particular circuit, but it also results in reduced insertion losses.
  • Threeactiveelement per reflective load
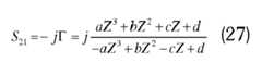
  • A three active element perreflective load RTPS 1300 is schematically represented inFigure 13. Setting n = 3 in (10) and substituting (10) into (13), the following expression for the transmission coefficient is obtained:S21=-jΓ=jaZ3+aZ2+cZ+d-aZ3+bZ2-cZ+d
    Figure imgb0035
    where,a=-k112,b=Z0k122+Z0k212,c=-k112k222
    Figure imgb0036
    andd=Z0k122k222.
    Figure imgb0037
    The transmission zero condition is achieved by settingS21=0. In this case, a third order polynomial in z is obtained and is solved so that it has a multiple and real root. This is accomplished by setting the discriminant, Δ, to be zero:Δ=18abcd-4b3d+b2c2-4ac3-27a2d2=0
    Figure imgb0038
  • The condition that the discriminant of (28) is zero yields a triple zero at:Z=-b3a=Z0k122+Z0k2123k112
    Figure imgb0039
  • Solving (28) one obtains a quart-quadratic equation ink114,
    Figure imgb0040
    given by:Ak118+Ak114+C=0
    Figure imgb0041
    where,A=-4k224,
    Figure imgb0042
    B=-8Z02k124k222+20Z02k122k222k212+Z02k222k212,
    Figure imgb0043
    andC=-4Z04k128-4Z04k122k214-12Z04k126k212-12Z04k124k214.
    Figure imgb0044
  • The double zero ink114
    Figure imgb0045
    is achieved at:k114=-B2A=-8Z02k124k222+20Z02k122k222k212+Z02k222k2148k224
    Figure imgb0046
    with a condition that the discriminant of (30), Δ1 =B2-4ΔC, disappears. This condition yields a third order polynomial ink122,
    Figure imgb0047
    given by:Dk126+Ek124+Fk122+G=0
    Figure imgb0048
    where, D=-512,E=192k212,
    Figure imgb0049
    F=-24k212
    Figure imgb0050
    andG=k216.
    Figure imgb0051
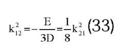
    The triple zero of (32) is achieved at:k122=-E3D=18k212
    Figure imgb0052
    provided that the discriminant of (32) disappears. It can be shown that the discriminant of (32) is always equal to zero, regardless of the value assigned tok212.
    Figure imgb0053
    This infers that the triple and identical zero of the polynomial given by (32) is always achieved and thatk212
    Figure imgb0054
    can be used as a parameter. Substituting (33) into (31), one finds the expression fork112
    Figure imgb0055
    where k22 andk212
    Figure imgb0056
    are used as parameters:k112=2764Z0k212k22
    Figure imgb0057
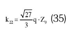
  • The relationship between k22 and the rest of impedance transformers is found from (29). Imposing that the triple zero of (27) occurs at q·Z0, where q is a parameter that dictates the position of the transmission zero on the resistance scale, one obtains the following relationship for k22 :k22=273qZ0
    Figure imgb0058
  • Substituting (35) into (34), the expression fork112
    Figure imgb0059
    now becomes:k112=38qk212
    Figure imgb0060
  • The following conditions for the characteristic impedances, k12, k11 and k22 can now be expressed as:k122=18k212;k112=38qk212andk22=273qZ0
    Figure imgb0061
    where Z0, q and k21 are used as parameters. Since, Z0 is usually, but not necessarily, 50Ω, k21 and q can be used in the adjustment of the rest of the impedances of the transformers, k12, k11 and k22.
  • Figure 14 is a schematic representation of the dependence of the characteristic impedances k11, k11 and k22 on k21 for the case when Z0=50Ω and q=1. That is,figure 14 is a graph depicting the variation of quarter-wave characteristic impedances k12 (triangles), k11 (squares), and k22 (circles) against k21 for z0=50Ω and q=1.
  • Even though k22 does not vary with k21, it is displayed infigure 14 for comparison with k12 and k11. It can be appreciated from this figure that for practical implementations using distributed quarter-wave transformers, higher values of k21 can be used, since this choice results in more realizable characteristic impedances for k12, k11 and k22.
  • Upon proper selection of k11 k12 k21 the transmission coefficient becomes:S21=-jΓin=Zin-Z0Zin+Z0=Z-qZ0Z+qZ03ej3-π2+arctanImZrealZ-qZ0-arctanImZrealZ+qZ0
    Figure imgb0062
  • EXAMPLE:
  • In an example in which the varactor diode has the following variation of capacitance Cmin =0.4pF and Cmax =1.6pF, with a parasitic junction resistance of Rp =1Ω, the 3-dB coupler has a rated insertion loss of 0.3 dB and its operating frequency range is 2.3-2.7 GHz the third order phase shifter can be designed by setting k21 =80Ω, since this choice results in a more realisable values of the impedance transformers. In an example, two cases are distinguished, one with q=1 and the second case where the value of q is obtained by the use of (20), to yield the value of q=1.6.Figures 15,16,17 and18 represent the insertion loss and phase shift performance of the third order phase shifters with q=1 and q=1.6, respectively. That is,figure 15 is a graph of the insertion loss of a third order phase shifter according to an example with q=1 (capacitance varies from 0.4 pF to 1.6 pF in steps of 0.1 pF),figure 16 is a graph of insertion phase of third order phase shifter according to an example with q=1 (capacitance varies from 0.4 pF to 1.6 pF in steps of 0.1 pF),figure 17 is a graph of insertion loss of third order phase shifter according to an example with q=1.6 (capacitance varies from 0.4 pF to 1.6 pF in steps of 0.1 pF), andfigure 18 is a graph of insertion phase of third order phase shifter according to an example with q=1.6 (capacitance varies from 0.4 pF to 1.6 pF in steps of 0.1 pF).
  • As evident fromfigure 16, the phase shift obtained from the third order circuit with q=1 is approximately three times greater than that achieved using the first order circuit, however, the insertion loss is not tripled, but increased by a maximum of 0.4 dB. The third order phase shift realization with q=1.6 offers an even greater phase shift that its third order counterpart with q=1. To be precise, the phase shift of the second order circuit with q=1.6 is increased by an average of 20° across the indicated frequency range compared to the phase shift of the second order circuit with q=1. The insertion loss performance of the second order phase shifter with q=1.6 is also superior compared to its third order counterpart with q=1, exhibiting a 0.1 dB smaller insertion loss.

Claims (15)

  1. An RF reflection type phase shifter (RTPS) comprising:
    a coupling device coupled to multiple reflective loads, n, respective ones of which include at least one variable reactance device with maximum reactance, Xmax, and, minimum reactance, Xmin, and at least two impedance transformers the characteristic impedances of which are selected according to predefined criteria to provide an increase in the value of a phase shift to be applied to a signal input to the RTPS proportional to the value of n.
  2. An RTPS as claimed in claim 1, wherein the characteristic impedances are selected in accordance with a selected value of a parameter, q, determined, for a given reflective load, according to:q=XmaxXminZ0
    Figure imgb0063
    where Z0 is the characteristic impedance of the coupling device and interconnecting microstrip lines.
  3. An RTPS as claimed in claim 1 or 2, wherein the impedance of the or each variable reactance device is altered by varying a DC voltage or current applied to the variable reactance device.
  4. An RTPS as claimed in any preceding claim, wherein the or each variable reactance device is a varactor diode.
  5. An RTPS as claimed in any preceding claim, wherein the impedance transformers are one quarter-wavelength long at a selected frequency of operation.
  6. An RTPS as claimed in any preceding claim, where the impedance transformers use microstrips or stripline technology.
  7. An RTPS as claimed in any preceding claim, wherein the impedance transformers use lumped circuit elements.
  8. An RTPS as claimed in any preceding claim, wherein the coupling device is a circulator or a 3-dB coupler.
  9. A method for selecting a phase shift value for an output signal of a phase shifter including a coupling device coupled to multiple reflective loads, n, respective ones of which include at least one variable reactance device with maximum reactance, Xmax, and, minimum reactance, Xmin, and at least two impedance transformers, the method comprising:
    selecting the characteristic impedances of impedance transformers according to predefined criteria to provide an increase in the value of a phase shift to be applied to a signal input to the phase shifter proportional to the value of n.
  10. A method as claimed in claim 9, further including:
    selecting the characteristic impedances in accordance with a selected value of a parameter, q, determined, for a given reflective load, according to:q=XmaxXminZ0
    Figure imgb0064
    where Z0 is the characteristic impedance of the coupling device and interconnecting microstrip lines.
  11. A method as claimed in claim 9 or 10, further including:
    modifying the impedance of the or each variable reactance device by varying a DC voltage or current applied to the variable reactance device.
  12. A beamformer for use in a wireless telecommunication network to modify the transmission profile of an antenna array, the beamformer including an RF reflection type phase shifter (RTPS) comprising a coupling device coupled to multiple reflective loads, n, respective ones of which include at least one variable reactance device with maximum reactance, Xmax, and, minimum reactance, Xmin, and at least two impedance transformers the characteristic impedances of which are selected according to predefined criteria to provide an increase in the value of a phase shift to be applied to a signal input to the RTPS proportional to the value of n.
  13. A beamformer as claimed in claim 12, wherein the antenna array is composed of multiple antennas, wherein the phase shifter is operable to modify the phase of respective signals input to the multiple antennas.
  14. A beamformer as claimed in claim 13, wherein the phase shifter comprises multiple parallel phase shift stages to apply respective different phase shifts to the respective signals input to the multiple antennas.
  15. An antenna array in a wireless telecommunication network, the antenna array including multiple antennas operable to receive input from a beamformer that is operable to modify the transmission profile of the antenna array, the beamformer including an RF reflection type phase shifter (RTPS) comprising a coupling device coupled to multiple reflective loads, n, respective ones of which include at least one variable reactance device with maximum reactance, Xmax, and, minimum reactance, Xmin, and at least two impedance transformers the characteristic impedances of which are selected according to predefined criteria to provide an increase in the value of a phase shift to be applied to a signal input to the RTPS proportional to the value of n.
EP14306380.8A2014-09-092014-09-09Method for selecting a phase shift, phase shifter, beamformer and antenna arrayWithdrawnEP2996190A1 (en)

Priority Applications (1)

Application NumberPriority DateFiling DateTitle
EP14306380.8AEP2996190A1 (en)2014-09-092014-09-09Method for selecting a phase shift, phase shifter, beamformer and antenna array

Applications Claiming Priority (1)

Application NumberPriority DateFiling DateTitle
EP14306380.8AEP2996190A1 (en)2014-09-092014-09-09Method for selecting a phase shift, phase shifter, beamformer and antenna array

Publications (1)

Publication NumberPublication Date
EP2996190A1true EP2996190A1 (en)2016-03-16

Family

ID=52302083

Family Applications (1)

Application NumberTitlePriority DateFiling Date
EP14306380.8AWithdrawnEP2996190A1 (en)2014-09-092014-09-09Method for selecting a phase shift, phase shifter, beamformer and antenna array

Country Status (1)

CountryLink
EP (1)EP2996190A1 (en)

Cited By (1)

* Cited by examiner, † Cited by third party
Publication numberPriority datePublication dateAssigneeTitle
EP3319165A1 (en)2016-11-072018-05-09Nokia Technologies OYA radio frequency reflection type phase shifter, and method of phase shifting

Citations (5)

* Cited by examiner, † Cited by third party
Publication numberPriority datePublication dateAssigneeTitle
US4859972A (en)*1988-11-011989-08-22The Board Of Trustees Of The University Of IllinoisContinuous phase shifter for a phased array hyperthermia system
US5276411A (en)*1992-06-011994-01-04Atn Microwave, Inc.High power solid state programmable load
US6255908B1 (en)*1999-09-032001-07-03AmplixTemperature compensated and digitally controlled amplitude and phase channel amplifier linearizer for multi-carrier amplification systems
US20050040874A1 (en)*2003-04-022005-02-24Allison Robert C.Micro electro-mechanical system (mems) phase shifter
EP2544369A1 (en)*2011-07-042013-01-09Alcatel LucentAttenuator

Patent Citations (5)

* Cited by examiner, † Cited by third party
Publication numberPriority datePublication dateAssigneeTitle
US4859972A (en)*1988-11-011989-08-22The Board Of Trustees Of The University Of IllinoisContinuous phase shifter for a phased array hyperthermia system
US5276411A (en)*1992-06-011994-01-04Atn Microwave, Inc.High power solid state programmable load
US6255908B1 (en)*1999-09-032001-07-03AmplixTemperature compensated and digitally controlled amplitude and phase channel amplifier linearizer for multi-carrier amplification systems
US20050040874A1 (en)*2003-04-022005-02-24Allison Robert C.Micro electro-mechanical system (mems) phase shifter
EP2544369A1 (en)*2011-07-042013-01-09Alcatel LucentAttenuator

Non-Patent Citations (1)

* Cited by examiner, † Cited by third party
Title
WON-TAE KANG ET AL: "Reflection-Type Low-Phase-Shift Attenuator", IEEE TRANSACTIONS ON MICROWAVE THEORY AND TECHNIQUES, IEEE SERVICE CENTER, PISCATAWAY, NJ, US, vol. 46, no. 7, 1 July 1998 (1998-07-01), XP011037211, ISSN: 0018-9480*

Cited By (1)

* Cited by examiner, † Cited by third party
Publication numberPriority datePublication dateAssigneeTitle
EP3319165A1 (en)2016-11-072018-05-09Nokia Technologies OYA radio frequency reflection type phase shifter, and method of phase shifting

Similar Documents

PublicationPublication DateTitle
US5276411A (en)High power solid state programmable load
US8392495B2 (en)Reflectionless filters
Vähä‐Heikkilä et al.A 4–18‐GHz reconfigurable RF MEMS matching network for power amplifier applications
Zheng et al.Reconfigurable RF quadrature patch hybrid coupler
Yang et al.Ka-band 5-bit MMIC phase shifter using InGaAs PIN switching diodes
Kim et al.An Ultra-Wideband Low-Loss Millimeter-Wave Slow-Wave Wilkinson Power Divider on 0.18$\mu {\rm m} $ SiGe BiCMOS Process
Zheng et al.An ultra-compact CMOS variable phase shifter for 2.4-GHz ISM applications
EP2579457A1 (en)Power amplifier for mobile telecommunications
Lourandakis et al.Circuit agility
CN109818115A (en) Electrically tunable phase shifters based on left-handed metamaterials
US9287846B2 (en)Analog phase shifter
CN114464973B (en) Reconfigurable filter attenuator based on continuously adjustable center frequency
EP2996190A1 (en)Method for selecting a phase shift, phase shifter, beamformer and antenna array
CN202818241U (en)Ultra-wideband analog phase shifter
KrakerAsymmetric coupled-transmission-line magic-T
CN109509940A (en)A kind of continuously adjustable analog phase shifter
Park et al.Miniaturized Stepped Impedance Transmission Lines for D-Band Wideband Power Divider With Isolation Capacitor
Hijazi et al.4-40 GHz In-Phase/180 Out-of-Phase Power Dividers with Enhanced Isolation
Khare et al.Review of impedance matching networks for bandwidth enhancement
EP2950449A1 (en)Attenuator
CN111384908B (en) Power divider circuit, power divider and design method of power divider circuit
US6060962A (en)Phase angle modulator for microwaves
Rubanovich et al.The microwave attenuator
Algumaei et al.Analysis of open stub resonator and its application in dual isolation band of SPDT switch design
JP4826536B2 (en) Phase shift circuit

Legal Events

DateCodeTitleDescription
PUAIPublic reference made under article 153(3) epc to a published international application that has entered the european phase

Free format text:ORIGINAL CODE: 0009012

AKDesignated contracting states

Kind code of ref document:A1

Designated state(s):AL AT BE BG CH CY CZ DE DK EE ES FI FR GB GR HR HU IE IS IT LI LT LU LV MC MK MT NL NO PL PT RO RS SE SI SK SM TR

AXRequest for extension of the european patent

Extension state:BA ME

17PRequest for examination filed

Effective date:20160916

RBVDesignated contracting states (corrected)

Designated state(s):AL AT BE BG CH CY CZ DE DK EE ES FI FR GB GR HR HU IE IS IT LI LT LU LV MC MK MT NL NO PL PT RO RS SE SI SK SM TR

RAP1Party data changed (applicant data changed or rights of an application transferred)

Owner name:ALCATEL LUCENT

STAAInformation on the status of an ep patent application or granted ep patent

Free format text:STATUS: REQUEST FOR EXAMINATION WAS MADE

STAAInformation on the status of an ep patent application or granted ep patent

Free format text:STATUS: THE APPLICATION IS DEEMED TO BE WITHDRAWN

18DApplication deemed to be withdrawn

Effective date:20190402


[8]ページ先頭

©2009-2025 Movatter.jp