Movatterモバイル変換


[0]ホーム

URL:


EP2253796A1 - Method of protecting a flexible riser and an apparatus therefor - Google Patents

Method of protecting a flexible riser and an apparatus therefor
Download PDF

Info

Publication number
EP2253796A1
EP2253796A1EP09160763AEP09160763AEP2253796A1EP 2253796 A1EP2253796 A1EP 2253796A1EP 09160763 AEP09160763 AEP 09160763AEP 09160763 AEP09160763 AEP 09160763AEP 2253796 A1EP2253796 A1EP 2253796A1
Authority
EP
European Patent Office
Prior art keywords
fluid
riser
flexible
flexible risers
floating structure
Prior art date
Legal status (The legal status is an assumption and is not a legal conclusion. Google has not performed a legal analysis and makes no representation as to the accuracy of the status listed.)
Withdrawn
Application number
EP09160763A
Other languages
German (de)
French (fr)
Inventor
Efthymiou Michalakis
Van der Meyden Herman Theodor
Pek Johan Jan
Current Assignee (The listed assignees may be inaccurate. Google has not performed a legal analysis and makes no representation or warranty as to the accuracy of the list.)
Shell Internationale Research Maatschappij BV
Original Assignee
Shell Internationale Research Maatschappij BV
Priority date (The priority date is an assumption and is not a legal conclusion. Google has not performed a legal analysis and makes no representation as to the accuracy of the date listed.)
Filing date
Publication date
Application filed by Shell Internationale Research Maatschappij BVfiledCriticalShell Internationale Research Maatschappij BV
Priority to EP09160763ApriorityCriticalpatent/EP2253796A1/en
Priority to AU2010251212Aprioritypatent/AU2010251212B2/en
Priority to EP10719358.3Aprioritypatent/EP2432964B1/en
Priority to BRPI1012862prioritypatent/BRPI1012862B1/en
Priority to KR1020117027393Aprioritypatent/KR101679178B1/en
Priority to AP2011005957Aprioritypatent/AP3886A/en
Priority to PCT/EP2010/056768prioritypatent/WO2010133564A2/en
Priority to CN201080021719.3Aprioritypatent/CN102428244B/en
Publication of EP2253796A1publicationCriticalpatent/EP2253796A1/en
Priority to CY20141100592Tprioritypatent/CY1115428T1/en
Withdrawnlegal-statusCriticalCurrent

Links

Images

Classifications

Definitions

Landscapes

Abstract

The present invention provides a method of protecting one or more flexible risers which can carry a riser fluid, for instance a hydrocarbon production fluid such as natural gas, to or from a floating structure and an apparatus therefor, said method comprising at least the steps of:
(a) providing a floating structure (100), one or more flexible risers (10), each of said flexible risers carrying a riser fluid and having a first end (20) connected to the floating structure(100) and a second end (30) on the sea bed (500) and in fluid connection with one or more riser fluid reservoirs (250);
(b) closing the fluid connection between the one or more flexible risers (10) and the one or more riser fluid reservoirs (250);
(c) replacing at least a portion of the riser fluid in one or more of the flexible risers (10) with a protection fluid, wherein the density of said protection fluid is greater than the density of said riser fluid.

Description

  • The present invention provides a method of protecting one or more flexible risers which can carry a riser fluid, for instance a hydrocarbon production fluid such as natural gas, to or from a floating structure and an apparatus therefor. In particular, the method disclosed herein seeks to protect the flexible risers from buckling caused by the heave and/or the pitch of the floating structure in response to wave motion in severe weather conditions.
  • The Floating Liquefaction of Natural Gas (FLNG) concept combines the natural gas treatment, liquefaction process, storage tanks, loading systems and other infrastructure into a single floating structure. Such a structure is advantageous because it provides an off-shore alternative to on-shore liquefaction plants. A FLNG vessel can be moored close to or at a gas field, in waters deep enough to allow off-loading of the LNG product onto a carrier vessel. It also represents a movable asset, which can be relocated to a new site when the gas field is nearing the end of its productive life, or when required by economic, environmental or political conditions.
  • The floating structure can be in fluid communication with the producing well heads of the reservoir. The floating structure can be connected to one or more flexible risers. The flexible risers can be secured to the sea bed by a riser base manifold. A subsea flowline can connect the riser base manifold directly to the well heads or optionally via a well manifold.
  • In such a configuration, a production hydrocarbon, such as natural gas, from a hydrocarbon reservoir, such as a gas field, can be passed along a sub sea pipeline from one or more well-heads, which can be in the same or different hydrocarbon reservoirs, to the riser base manifold. The riser base manifold is the point at which the production and any injection pipelines are connected to the flexible risers which convey the production hydrocarbon to the floating structure. The flexible risers are connected to the floating structure at a hangoff point. The hang-off point may be at a side of the floating structure, or situated within a moonpool in the floating structure, for example at the bottom of a turret. The floating structure can be moored to the sea bed by a plurality of mooring lines which are anchored to the sea bed.
  • A discussion of flexible riser operation can be found in theAmerican Petroleum Institute's publication titled "Recommended Practice for Flexible Pipe", API Recommended Practice 17B, Third Edition, March 2000.
  • When the vertical motion of the hangoff point from the floating structure is severe, such as in heavy seas, compressive forces can arise in the flexible risers which can cause global buckling. The compressive forces are even more severe in those cases in which the hangoff point is distanced from the centre of motion of the floating structure because one or both of the heave and pitch of the structure is correspondingly amplified.
  • The paper titled "Guidelines for compression modelling in flexible risers for deepwater applications" by McCann et al, Offshore Technology Conference 5-8 May 2003, OTC 15168, identifies the problem of riser buckling associated with compressive loading due to severe heave in Floating Production Storage and Offloading Vessels (FPSO), which can be moored in hostile environments. During downward heave and/or pitch, the riser is said to attempt to follow the applied motion of the structure. As the riser displaces through the water column, drag forces act opposite to the direction of motion, retarding the motion of the riser. The motion of the floating vessel is therefore translated into a reduction in effective tension. When the riser enters compression, it relies upon cross sectional bending stiffness to limit curvature. However, the cross sectional bending stiffness of the riser is small in comparison with the distances and forces involved.
  • The present invention seeks to address the problem of riser buckling during severe heave and/or pitch of the floating structure caused by extreme weather conditions.
  • In a first aspect, the present invention provides a method of protecting one or more flexible risers in a sub sea environment, comprising at least the steps of:
    1. (a) providing a floating structure, one or more flexible risers, each of said flexible risers carrying a riser fluid and having a first end connected to the floating structure and a second end on the sea bed and in fluid connection with one or more riser fluid reservoirs;
    2. (b) closing the fluid connection between the one or more flexible risers and the one or more riser fluid reservoirs;
    3. (c) replacing at least a portion of the riser fluid in one or more of the flexible risers with a protection fluid, wherein the density of said protection fluid is greater than the density of said riser fluid.
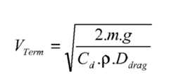
  • The forces experienced by the flexible riser in the water can most easily be understood by considering the movement of a free flexible riser. Downward motion of a flexible riser in water will occur under gravitational acceleration. As the velocity increases, the restoring drag force increases until it matches the gravitational acceleration and the flexible riser reaches terminal velocity. At the terminal velocity, the acceleration of the flexible riser is balanced by the restoring drag force such that:VTerm=2.m.gCd.ρ.Ddrag
    Figure imgb0001

    whereinm is mass of the flexible riser, including internal fluid,g is gravity,Cd is normal drag coefficient,Ddrag is the drag diameter, ρ is the water density andVTerm is the terminal velocity.
  • When a flexible riser is constrained, such that it is attached at a first end to a floating structure on the surface of the water and at a second end on the sea bed, vertical motion of the flexible riser can result from the heave and/or pitch of the floating structure in response to the water motion on the surface.
  • Damage to flexible risers may occur when the terminal velocity of the flexible riser in the sea water is exceeded by the velocity of the first end of the riser where it is connected to the floating structure. This point of connection is also called the hang-off point. When the downward velocity of the flexible riser at the hang-off point due to the heave and/or pitch of the floating vessel (the "hang-off velocity") is greater than the terminal velocity of the flexible riser in the water, the riser will come under compression. Such compressive stresses can lead to buckling and permanent damage to the flexible riser.
  • Compressive stress in the flexible riser can also be viewed as negative riser tension. Interpreted mathematically, the possibility of buckling can occur when the ratio of the downward hang-off velocity of the riser to the terminal velocity of the riser in the water exceeds 1. Compression modelling therefore allows the prediction of potential riser buckling for particular structure heave and/or pitch, riser type and the distance of the hang-off point from the centre of motion of the structure.
  • By filling at least a portion of a riser with a protection fluid, which has a higher density than the riser fluid, the apparent weight of the riser is increased. This leads to an increase in the terminal velocity of the riser in water. By increasing the terminal velocity of the riser, higher hangoff velocities can be accommodated without riser buckling. This means that larger vertical heave and/or pitch can be tolerated by the flexible riser before compression and riser buckling may occur. The flexible risers carrying protection fluid can therefore survive more severe weather conditions, and in particular increased wave heights, compared to those which have not been at least partly filled with protection fluid.
  • In a further aspect, the present invention provides an apparatus for protecting one or more flexible risers in a sub sea environment, said apparatus comprising at least:
    • a floating structure comprising a protection fluid storage tank, said protection fluid storage tank comprising an outlet for a protection fluid stream;
    • one or more flexible risers, each of said flexible risers having a first end connected to said floating structure, said first end in direct fluid communication with a first end connection for a riser fluid stream and an inlet for the protection fluid stream in fluid communication with the outlet of the protection fluid storage tank, said inlet being separate from said first end connection, and each of said flexible risers having a second end on the sea bed, said second end having a second end connection for a riser fluid transfer stream in fluid communication with one or more riser fluid reservoirs.
  • Embodiments of the present invention will now be described by way of example only, and with reference to the accompanying non-limiting drawings in which:
    • Figure 1 shows a first embodiment of a typical method and apparatus scheme according to the invention.
    • Figure 2 shows a second embodiment of a typical method and apparatus scheme according to the invention.
  • For the purpose of this description, a single reference number will be assigned to a line as well as a stream carried in that line. The same reference numbers refer to similar components, streams or lines.
  • Figure 1 shows a cut-through section of a first method and apparatus 1 for the protection of one or more flexible risers 10, particularly during severe weather conditions. The flexible risers convey a riser fluid between one or moreriser fluid reservoirs 250 underneath the sea bed and afloating structure 100 on the sea surface. Thus, the risers can be sub sea risers. As used herein, the term "sub sea" is intended to encompass both salt water and fresh water environments, and represents the region between the water surface and the bed of the body of water.
  • Thus, thefloating structure 100 can be a floating vessel, or an off-shore floating platform. A floating vessel may be any movable or moored vessel, generally at least having a hull, and usually being in the form of a ship such as a 'tanker'.
  • Such floating vessels can be of any dimensions, but are usually elongated. Whilst the dimensions of a floating vessel are not limited at sea, building and maintenance facilities for floating vessels may limit such dimensions. Thus, in one embodiment of the present invention, the floating vessel or off-shore floating platform is less than 600m long such as 500m, and a beam of less than 100m, such as 80m, so as to be able to be accommodated in existing ship-building and maintenance facilities.
  • An off-shore floating platform may also be movable, but is generally more-permanently locatable than a floating vessel.
  • The method and apparatus of the invention are for instance advantageous for applications in deep water, such as water depths greater than 200 m, forinstance 250 to 500 m, or greater than 1000 m.
  • In one embodiment, the riser fluid is a hydrocarbon fluid such as natural gas, and the one or moreriser fluid reservoirs 250 are hydrocarbon fluid reservoirs such as natural gas reservoirs. In this embodiment, the hydrocarbon fluid would be conveyed from thehydrocarbon fluid reservoirs 250 under thesea bed 500 to the floatingstructure 100, where the hydrocarbon fluid can be stored and preferably treated. When the hydrocarbon fluid is natural gas it is preferred that the floatingstructure 100 comprises natural gas treatment and/or liquefaction units such that the natural gas can be treated to remove unwanted impurities and cooled to provide liquefied natural gas. This will be discussed in more detail in relation toFigure 2.
  • In an alternative embodiment, the method and apparatus disclosed herein can be used for carbon dioxide sequestration.
  • Many hydrocarbon reservoirs, such as natural gas reservoirs may contain carbon dioxide, for instance in contents of 6-10%. This carbon dioxide could be separated in the floating structure from the hydrocarbon fluid, such as natural gas, removed from the reservoir, and then re-injected into the a riser fluid reservoir. 250. The riser fluid reservoir can be any sealed subsurface geological formation such as a hydrocarbon reservoir, a depleted hydrocarbon reservoir, an aquifer or other sealed water containing layer. In this case, the riser fluid can comprise carbon dioxide, preferably as a dense phase, such as supercritical carbon dioxide i.e. carbon dioxide having a pressure and temperature above the critical point. In contrast to the previous embodiment, the riser fluid comprising carbon dioxide would for instance be conveyed from a separation unit on the floatingstructure 100 to the one or moredepleted hydrocarbon reservoirs 250 under thesea bed 500, where the riser fluid comprising carbon dioxide can be stored.
  • In a further alternative embodiment, also illustrating a carbon dioxide sequestration method, the riser fluid comprising carbon dioxide passed to theriser fluid reservoir 250 can come from any source. For example, the carbon dioxide may be generated at a location different from the floatingstructure 100, such as an on-shore location, and transferred to the floatingstructure 100 for sequestration underneath the sea bed. The riser fluid andriser fluid reservoir 250 may be as defined in the previous embodiment.
  • For maximum benefit of the invention, it is preferred that the density of the riser fluid is less than 0.9 g/cm3, more preferably less than 0.7 g/cm3, still more preferably less than 0.5 g/cm3.
  • In the exemplary embodiment ofFigure 1, the floatingstructure 100 is a floating vessel. The floating vessel is held in position by a plurality of mooring lines 610 which are connected to the floating vessel at a mooring point and maintain the mooring point of the floating vessel in a fixed position.Figure 1 shows a trigonal arrangement of threebundles 620a, 620b, 620c of mooring lines, each bundle comprising fourmooring lines 610a, b, c, d. The mooring lines 610 are fastened securely tosea bed 500, for instance using anchor piles.
  • The one or more flexible risers 10 may be provided as free-hanging catenaries or in alternative configurations using buoyancy modules such as lazy wave and lazy S types. Each flexible riser 10 has a first end 20 connected to the floatingvessel 100.Figure 1 shows eight flexible risers 10 a-h, arranged in first and second riser bundles of four, connected to the floatingvessel 100 at first ends 20 a-h respectively.
  • The flexible risers 10 a-h each have a second end 30 a-h on thesea bed 500. The second ends 30 a-h of the flexible risers 10 a-h need not be in direct contact with thesea bed 500. It is preferred that the second ends 30 a-h of the flexible risers are adapted to be secured to thesea bed 500. In the embodiment shown inFigure 1, the second ends 30 of the flexible risers are connected to two riser base manifolds 300. Second ends 30 a-d of the first riser bundle are connected to firstriser base manifold 300a, while second ends 30 e-h of the second riser bundle are connected to secondriser base manifold 300b. The riser base manifolds 300 are fastened securely tosea bed 500, for instance using fixed piles. In this way, the first and second ends 20, 30 of the flexible risers 10 are secured to the floatingvessel 100 andsea bed 500 respectively.
  • The riser base manifolds 300 provide a fluid connection between the flexible risers 10 and one or more riser fluid transfer streams 210. The one or more riser fluid transfer streams convey the riser fluid between the riser base manifolds 300 and the riser well heads 200.Figure 1 shows firstriser base manifold 300a connected to four well heads 200 a-d via an optionalwell head manifold 220a. Four riser fluid transfer streams 210 a-d connect well heads 200 a-d to thewell head manifold 220a. Two further riser fluid transfer streams 210 i, j connect thewell head manifold 220a to theriser base manifold 300a. Similarly, second riser base manifold 300 is connected to four well heads 200 e-h via an optionalwell head manifold 220b. Four riser fluid transfer streams 210 e-h connect well heads 200 e-h to thewell head manifold 220b. Two further riser fluid transfer streams 210 1, m connect thewell head manifold 220 b to theriser base manifold 300b. The well heads 200 are in fluid communication with the one or moreriser fluid reservoirs 250 which lie beneath thesea bed 500.
  • In this way, riser fluid such as a hydrocarbon fluid can be conveyed from one ormore hydrocarbon reservoirs 250 to the floatingvessel 100. Similarly, a riser fluid comprising carbon dioxide can be conveyed from the floatingvessel 100 to the one or more riser fluid reservoirs for carbon sequestration.
  • The mooring lines 610 are intended to maintain the mooring point of the floatingvessel 100 in a fixed position. However, the mooring lines 610, which may be steel chains, allow a degree of movement such that the mooring point of the floatingvessel 100 can move in response to wave motion, such as the heave and/or pitch of the floatingvessel 100.
  • Under severe weather conditions, the wave motion may become so significant that the one or more flexible risers are in danger of buckling. As previously discussed, riser buckling may occur when the terminal velocity of the riser in the sea water is exceeded by the hang-off velocity of the first end 20 of the riser 10 where it is connected to the floatingstructure 100.. When the downward velocity of the riser at the hang-off point due to the heave and/or pitch of the floatingvessel 100 is greater than the terminal velocity of the flexible riser in the water, the riser will come under compression. Such compressive stresses can lead to buckling and permanent damage to the flexible riser.
  • The method and apparatus disclosed herein seeks to alleviate the problem of riser damage during severe weather conditions. In particular, at least a portion of the riser fluid, such as a hydrocarbon fluid or a carbon dioxide comprising fluid, in one or more of the flexible risers 10 is replaced with a protection fluid. The density of the protection fluid is greater than the density of the riser fluid, such that the mass of the fluid in the riser 10 is increased for an equivalent fluid volume. Increasing the mass of the fluid in the riser increases the overall mass of the riser (i.e. the mass of the riser plus fluid contents). Increasing the overall mass of the riser increases the terminal velocity of the riser in the water. This means that greater hang-off velocities can be tolerated by the flexible riser before the terminal velocity is exceeded. Greater hang-off velocities correspond to higher heave and/or pitch at the hang-off point, such that more extreme sea conditions can be tolerated.
  • It is preferred that the density of the protection fluid is greater than 0.9 g/cm3, more preferably greater than 1.0 g/cm3, still more preferably greater than 1.1 g/cm3. The greater density of the protection fluid compared to the riser fluid, the greater the terminal velocity increase of the flexible riser upon substitution of the riser fluid for the protection fluid. The greater the increase in the terminal velocity of the flexible riser, the greater the hang-off velocity which can be withstood without compressing the flexible riser. Thus, it is preferred that the difference in density between the protection fluid and the riser fluid is at least 0.2 g/cm3, more preferably at least 0.4 g/cm3, even more preferably at least 0.6 g/cm3.
  • Examples of suitable protection fluids are one or more of the group comprising monoethylene glycol and hydrocarbon condensate. These fluids are particularly useful as protection fluids in the case where the riser fluid is a hydrocarbon fluid. The floatingvessel 100 can comprise one or more hydrocarbon treatment units, such as a separation unit, for instance a low pressure gas/liquid separator, to provide hydrocarbon condensate from a hydrocarbon riser fluid. The hydrocarbon fluid is preferably in stabilised form. Thus, a store of hydrocarbon condensate may be present in the floating vessel, for instance in a condensate storage tank. In those cases where the hydrocarbon condensate has a density greater than the riser fluid, for example if the riser fluid is an unprocessed hydrocarbon stream, such as a natural gas stream, the store of hydrocarbon condensate can comprise one source of protection fluid.
  • In an alternative embodiment, in some cases where the riser fluid is hydrocarbon fluid, it may be necessary to inject a hydrate inhibitor, such as monoethylene glycol (MEG), into the hydrocarbon fluid. For instance, the hydrate inhibitor can be injected to the hydrocarbon fluid at or before it emerges from the well heads 200 to prevent hydrate formation in the riser fluid transfer streams 210 and the flexible risers 10. In this case, the floatingvessel 100 could comprise a hydrate inhibitor storage tank, such as a MEG storage tank. The floatingvessel 100 may also comprise a hydrate inhibitor regeneration unit, to separate the hydrate inhibitor from the riser fluid.
  • In those cases where the hydrate inhibitor has a density greater than the riser fluid, the store of hydrate inhibitor can comprise one source of protection fluid. In one embodiment, a MEG storage tank is provided having a capacity such that 15-20% of the tank capacity of MEG can completely fill all of the flexible risers 10 with protection fluid. In such a case, it is preferred to maintain a minimum content of MEG in the tank of 15-20% to ensure that sufficient MEG is available to provide maximum protection (i.e. completely fill) to each of the flexible risers 10.
  • It is preferred that the one or more flexible risers 10 are filled with protection fluid from the first end connected to the floatingstructure 100. This allows the protection fluid to be stored on the floatingstructure 100.
  • Preferably, a portion of the riser fluid in each of the one or more flexible risers 10 is replaced with the protection fluid. In this way, all of the flexible risers 10 may be protected from damage during adverse weather conditions. Still more preferably, the portion of the riser fluid replaced with the protection fluid is the same in each riser. This is advantageous because the same mass is added to each riser. For identical risers, each riser will thus have the same terminal velocity in the sea water and therefore exhibit similar dynamic behaviour.
  • It is not advisable to replace different portions of the riser fluid with protection fluid in each flexible riser, because different risers will exhibit different dynamic behaviour, which can lead to collisions between adjacent flexible risers in response to movement of the floatingstructure 100.
  • It is particularly preferred to completely replace all of the riser fluid in the flexible riser with protection fluid. In the case where each riser was initially completely filled with riser fluid, this would lead to completely filling each flexible riser with protection fluid. In doing so, a maximum gain for the overall riser mass using the method disclosed herein is achieved. This maximises the terminal velocity of the flexible riser in sea water. Consequently, the severity of the weather conditions which can be withstood by the flexible risers is increased.
  • In order to carry out the method disclosed herein, a decision must be taken to replace at least a portion of the riser fluid with protection fluid in one or more of the flexible risers. Thus, the method may comprise the further step of:
    • monitoring the weather conditions in a zone around the floatingstructure 100 for one or more measured weather variables and carrying out steps (b) and (c) when said one or more measured weather variables meet predetermined criterion or criteria.
    The zone around the floatingstructure 100 should be of a size sufficient to allow the method disclosed herein to be carried out before the arrival of the adverse weather conditions at the floatingstructure 100. For instance, the zone may be 200 km around the floatingstructure 100, and more preferably 500 km around the floatingstructure 100 to allow sufficient time to replace the riser fluid with protection fluid.
  • The adverse weather conditions are evaluated using one or more weather variables. The one or more weather variables include one or both of wind speed and wave height.
  • It is preferred that the predetermined criterion or criteria is indicative or predictive of a situation in which the hangoff velocity of the first end 20 of the flexible riser 10 approaches the terminal velocity of the flexible riser 10 in operation i.e. when filled with riser fluid.
  • The predetermined criterion can be selected from wind speeds in excess of 60 ms-1. For instance, wind speeds in the range of 70-74 ms-1 are indicative of a 10000 year cyclone.
  • Alternatively the predetermined criterion can be selected from significant wave heights. For instance the predetermined criterion can be 16 m or greater significant wave height. The significant wave height is for instance the wave height which is exceeded by 2/3 of the waves during a storm.
  • Once the severe weather has passed, the flexible risers 10 can be returned to normal operation. Thus, the method may comprise the further steps of:
    • (d) opening the fluid connection between the one or more flexible risers 10 and the one or moreriser fluid reservoirs 250;
    • (e) passing the protection fluid from the one or more of the flexible risers 10 to the floatingstructure 100 as a spent protection fluid stream; and
    • (f) treating the spent protection fluid stream on the floatingstructure 100 to regenerate the protection fluid.
    Although it is possible to provide a dedicated unit for the treatment of the spent protection fluid on the floatingstructure 100, it is preferred if the spent protection fluid can be processed by a unit already present for the treatment of the riser fluid. For instance, when the riser fluid is a hydrocarbon fluid which has been treated with a hydrate inhibitor, the spent protection fluid, which will be rich in hydrate inhibitor such as MEG, but may also contain a small amount of hydrocarbon fluid not displaced from the flexible riser, can be sent to the hydrate inhibitor treatment unit for processing. This procedure may result in a plug of hydrate inhibitor, such as MEG, requiring processing. If this plug of hydrate inhibitor exceeds the capacity of the inlet facilities, which can be designed to process the hydrate inhibited hydrocarbon fluid, the flow rate to the inlet facilities can be reduced until all the spent protection fluid rich in hydrate inhibitor is processed. After the plug of spent protection fluid has been processed by the inlet facilities of the floatingstructure 100, normal production can be resumed.
  • Figure 2 provides a further schematic for the method and apparatus disclosed herein, and in particular shows the connectivity of the first and second ends 20, 30 of the flexible risers 10 to thesea bed 500 and floatingstructure 100. For the purposes of clarity, the numbers ofmooring lines 610a, e andflexible risers 10a, 10e have been reduced to two each, although any number, such as 4-6 arranged in two or more separate bundles is envisaged.
  • Theflexible risers 10a, 10e have first ends 20a, 20e connected to the floatingstructure 100, which is shown as vessel inFigure 2. The first ends 20 a, e of the flexible risers are secured to the floatingvessel 100 at aturret 150. Theturret 150 is connected to thesea bed 500 by themooring lines 610a, 610b.
  • The floatingvessel 100 is provided with one or more bearings allowing the rotation of the vessel around theturret 150. In this way, the floating vessel may weather-vane around the earth-fixed turret, such that the vessel may be orientated to present the bow to the direction of the prevailing weather conditions, such as the incoming wave or wind. In a preferred embodiment, theturret 150 is provided towards an end of the floatingvessel 100, to allow optimal rotation in response to the prevailing weather conditions. This allows processingunits 400, such as a natural gas treatment and liquefaction unit, which is discussed in greater detail below, to be placed behind theturret 150 along the deck of the floating vessel.
  • Theturret 150 comprises one ormore bending stiffeners 160a, b which route theflexible risers 10a, e through one or more I-tubes 170a, b to a hang-offdeck 180. The hang-offdeck 180 secures thefirst end 20 a, e of each of theflexible risers 10a, e.
  • Thefirst end 20 a, e of each of theflexible risers 10a, e is in fluid communication with afirst end connection 22a, 22e for the firstriser fluid stream 40. The first ends 20 a, e can be in communication with thefirst end connections 22 a, e via a turret piping connection. Eachfirst end connection 22a, 22e for theriser fluid stream 40 is connected to a riseremergency shutdown valve 190a, e. Aninlet 24a, 24e for theprotection fluid stream 120, which is in fluid communication with theoutlet 112 of a protectionfluid storage tank 110, is also in fluid communication with thefirst end 20 a, e of eachflexible riser 10 a, e. It is apparent fromFigure 2 that theinlets 24a, 24e for theprotection fluid stream 120 are separate from thefirst end connections 22a, 22e for the firstriser fluid stream 40. Rotating pipe connections in a swivel stack allow theriser fluid stream 40 andprotection fluid stream 120 to pass between theturret 150 and the rest of the floatingstructure 100. Thus a constant fluid connection is maintained even when the floating vessel is rotating around theturret 150.
  • Theprotection fluid stream 120 can be passed to eachfirst inlet 22a, g and on to the first ends of theflexible risers 10a, e. By filling theflexible risers 10a, e from their first ends, the protection fluid can displace at least a portion of the riser fluid in one or more of the flexible risers. The displaced riser fluid, which is less dense than the protection fluid, will be forced upwards as theflexible risers 10a, e fill with protection fluid such that the riser fluid can exit the risers at first ends 20 a, e, passing out offirst end connection 24a, e, which can be an outlet. The riser fluid can be passed to theprocessing units 400 as theriser fluid stream 40.
  • Thesecond end 30a, 30e of eachflexible riser 10a, e is on thesea bed 500. Each second end comprises asecond end connection 32a, e which is in fluid communication with a riserfluid transfer stream 210a, b, g, h. The riserfluid transfer streams 210a, b, g, h are in fluid communication with one or moreriser fluid reservoirs 250. In a preferred embodiment, thesecond end 30a, e of eachflexible riser 10a, e is secured to thesea bed 500 by connection to ariser base manifold 300a, b. Theriser base manifold 300a, b is rigidly fixed to thesea bed 500.
  • Theriser base manifolds 300a, b comprisefirst manifold connections 302a, b, c, d to the riserfluid transfer streams 210a, b, g, h.Second manifold connections 304a, b are connected to thesecond end connections 32a, e of theflexible risers 10a, e.
  • In the embodiment ofFigure 2, the riser fluid transfer streams 210 may be natural gas transfer streams. The one or moreriser fluid reservoirs 250 can be natural gas reservoirs. Theriser fluid stream 40 can be a natural gas stream. In this case, thenatural gas reservoirs 250 may be connected to the riser fluid transfer streams 210 viawell heads 200a, b, g, h.
  • Figure 2 shows a natural gas treatment andliquefaction unit 400 on the floatingstructure 100. This unit can be used for the pre-treating and cooling of the riser fluid when this is natural gas. The arrangement discussed below is exemplary only and is not limited to the combination of the units described. Other, alternative line-ups will be known to the skilled person.
  • Usually anatural gas stream 40 is comprised substantially of methane. Preferably the natural gas stream comprises at least 50 mol% methane, more preferably at least 80 mol% methane.
  • Depending on the source, natural gas may contain varying amounts of hydrocarbons heavier than methane such as in particular ethane, propane and the butanes, and possibly lesser amounts of pentanes and aromatic hydrocarbons. The composition varies depending upon the type and location of the gas.
  • Conventionally, the hydrocarbons heavier than methane are removed as far as efficiently possible from the natural gas stream prior to any significant cooling for several reasons, such as having different freezing or liquefaction temperatures that may cause them to block parts of a methane liquefaction plant.
  • The natural gas stream can first undergo acid gas removal by passing through an acid gas removal (AGR) unit or system, which may be a separate or dedicated unit, or integrated with one or more other units or apparatus. The AGR system provides a process for the removal of carbon dioxide and hydrogen sulphide and/or COS in a manner known in the art, for example one or more of the methods described inWO 03/057348 A1.
  • The AGR system provides a treated natural gas stream. The treated natural gas stream can then pass into a first cooling stage which may comprise part of a cooling system and/or liquefaction system. The first cooling stage may comprise one or more heat exchangers in parallel and/or series, and is able to reduce the temperature of the treated natural gas stream, preferably below 0 °C, and more preferably in the range -10 °C to -70 °C, and provide a cooled natural gas stream.
  • The first cooling stage may have any configuration known in the art, and generally includes one or more refrigerant circuits passing one or more refrigerants to provide cold or cold energy to the treated hydrocarbon stream. An example refrigerant circuit is a propane refrigerant circuit known in the art.
  • A first refrigerant circuit can pass through the first cooling stage, from which the refrigerant stream, expanded after providing its cooling to treated hydrocarbon stream, passes into a first stage compressor for recompression. The first stage compressor may comprise one or more compressors in series or parallel in a manner known in the art. Compression of the refrigerant usually increases the refrigerant temperature, such that it is commonly cooled by one or more heat exchangers downstream of the first stage compressor. The downstream heat exchanger(s) may comprise one or more ambient water and/or air coolers known in the art.
  • The cooled natural gas stream can pass through a second cooling stage, again comprising one or more heat exchangers in parallel and/or series and designed to further cool and/or liquefy the cooled natural gas stream, to provide a further cooled natural gas stream, which is preferably a liquefied natural gas stream. The further cooled natural gas stream can be passed into storage such as to one or more storage tanks, or be passed through a further pipeline or conduit to one or more storage tanks located elsewhere, such as on a land-based facility or other floating vessel. The other floating vessel may be an LNG carrier.
  • As with the first cooling stage, the second cooling stage may involve one or more refrigerant circuits having a refrigerant adapted to provide the further cooling to the cooled natural gas stream. An example refrigerant circuit is a mixed refrigerant, and the second cooling stage could reduce the temperature of the cooled natural gas stream to below -100 °C, preferably below -150 °C.
  • In the second cooling circuit, expanded refrigerant from the second cooling stage can pass through a second stage compressor (which may comprise one or more compressors in parallel and/or series), to provide a compressed stream which is usually then cooled by one or more downstream heat exchangers, for example ambient water and/or air coolers. The refrigerant stream in the second refrigerant circuit can then pass through the first cooling stage in a manner known in the art, optionally with a first passage through the second cooling stage for further cooling, prior to reaching a valve for expansion and reuse in the second cooling stage in a manner known in the art.
  • One or more of the AGR system and the first and second cooling stages may include one or more generators such as gas turbines, to drive one or more devices, units or separators therein, such as, by way of example only, the first and second compressors.
  • The person skilled in the art will understand that the present invention can be carried out in many various ways without departing from the scope of the appended claims.

Claims (12)

  1. A method of protecting one or more flexible risers (10) in a sub sea environment, comprising at least the steps of:
    (a) providing a floating structure (100), one or more flexible risers (10), each of said flexible risers carrying a riser fluid and having a first end (20) connected to the floating structure(100) and a second end (30) on the sea bed (500) and in fluid connection with one or more riser fluid reservoirs (250);
    (b) closing the fluid connection between the one or more flexible risers (10) and the one or more riser fluid reservoirs (250);
    (c) replacing at least a portion of the riser fluid in one or more of the flexible risers (10) with a protection fluid, wherein the density of said protection fluid is greater than the density of said riser fluid.
  2. The method according to any of the preceding claims wherein in step (c) the protection fluid displaces at least a portion of the riser fluid in one or more of the flexible risers (10), such that the displaced riser fluid exits at a first end connection (22), which is an outlet in direct fluid communication with the first end (20) of the flexible riser (10).
  3. The method according to claim 1 or claim 2 wherein said riser fluid comprises carbon dioxide and said one or more riser fluid reservoirs (250) are sealed subsurface geological formations; said method further comprising, between steps (a) and (b), the step of:
    - passing the riser fluid comprising carbon dioxide from the floating structure (100) through at least the one or more flexible risers (10) to the one or more sealed subsurface geological formations (250).
  4. The method according to claim 1 or claim 2 wherein said riser fluid is a hydrocarbon production fluid and said one or more riser fluid reservoirs (250) are hydrocarbon reservoirs; said method further comprising, between steps (a) and (b), the step of:
    - passing the hydrocarbon production fluid from the one or more hydrocarbon reservoirs (250) through at least the one or more flexible risers (10) to the floating structure (100).
  5. The method according to any of the preceding claims wherein the protection fluid has a density of greater than 0.9 g/cm3, preferably greater than 1.0 g/cm3, more preferably greater than 1.1 g/cm3.
  6. The method according to claim 4 or claim 5 wherein the protection fluid is selected from one or more of the group comprising monoethylene glycol and hydrocarbon condensate.
  7. The method according to any of the preceding claims wherein in step (c) the one or more of the flexible risers (10) are filled with protection fluid from the first end (20) connected to the floating structure (100).
  8. The method according to any one of the preceding claims, wherein the riser fluid is a hydrocarbon production fluid and the one or more riser fluid reservoirs (250) are hydrocarbon sub sea reservoirs, and further comprising the step of treating the hydrocarbon production fluid on board the floating structure (100) to provide a liquefied hydrocarbon stream.
  9. An apparatus (1) for protecting one or more flexible risers (10) in a sub sea environment, said apparatus comprising at least:
    - a floating structure (100) comprising a protection fluid storage tank (110), said protection fluid storage tank comprising an outlet (112) for a protection fluid stream (120);
    - one or more flexible risers (10), each of said flexible risers having a first end (20) connected to said floating structure (100), said first end (20) in direct fluid communication with a first end connection (22) for a riser fluid stream (40) and an inlet (24) for the protection fluid stream (120) in fluid communication with the outlet (112) of the protection fluid storage tank (110), said inlet (24) being separate from said first end connection (22), and each of said flexible risers (10) having a second end (30) on the sea bed (500), said second end having a second end connection (32) for a riser fluid transfer stream (210) in fluid communication with one or more riser fluid reservoirs (250).
  10. The apparatus according to claim 9 wherein the second end (30) of the flexible riser (10) is connected to a riser base manifold (300) which is rigidly fixed to the sea bed, said riser base manifold having a first manifold connection (302) for the riser fluid transfer stream (210) and a second manifold connection (304) connected to the second end connection (32) of the flexible riser (10).
  11. The apparatus according to claim 9 or claim 10 wherein the first end (20) of the flexible riser (10) is connected to the floating structure (100) at a turret (150) comprising one or more bending stiffeners (160) to route the one or more flexible risers (10) through one or more I-tubes (170) to a riser hang-off deck (180) where the first end (20) of each of said flexible risers (10) is secured, with the first end connection (22) for the riser fluid stream being connected to a riser emergency shutdown valve (190).
  12. The apparatus according to any on of claims 9 to 11 in which the riser fluid transfer stream (210) is a natural gas transfer stream, the one or more riser fluid reservoirs (250) are natural gas reservoirs, the riser fluid stream is a natural gas stream and the floating structure (100) further comprises one or both of a natural gas treatment unit and a liquefaction unit (400).
EP09160763A2009-05-202009-05-20Method of protecting a flexible riser and an apparatus thereforWithdrawnEP2253796A1 (en)

Priority Applications (9)

Application NumberPriority DateFiling DateTitle
EP09160763AEP2253796A1 (en)2009-05-202009-05-20Method of protecting a flexible riser and an apparatus therefor
AU2010251212AAU2010251212B2 (en)2009-05-202010-05-18Method of protecting a flexible riser and an apparatus therefor
EP10719358.3AEP2432964B1 (en)2009-05-202010-05-18Method of protecting a flexible riser and an apparatus therefor
BRPI1012862BRPI1012862B1 (en)2009-05-202010-05-18 method and apparatus for protecting one or more flexible risers
KR1020117027393AKR101679178B1 (en)2009-05-202010-05-18Method of protecting a flexible riser and an apparatus therefor
AP2011005957AAP3886A (en)2009-05-202010-05-18Method of protecting a flexible riser and an apparatus therefor
PCT/EP2010/056768WO2010133564A2 (en)2009-05-202010-05-18Method of protecting a flexible riser and an apparatus therefor
CN201080021719.3ACN102428244B (en)2009-05-202010-05-18 Method and device for protecting flexible risers
CY20141100592TCY1115428T1 (en)2009-05-202014-08-04 METHOD OF PROTECTION OF FLEXIBLE PIPE TUBE AND EQUIPMENT FOR THIS

Applications Claiming Priority (1)

Application NumberPriority DateFiling DateTitle
EP09160763AEP2253796A1 (en)2009-05-202009-05-20Method of protecting a flexible riser and an apparatus therefor

Publications (1)

Publication NumberPublication Date
EP2253796A1true EP2253796A1 (en)2010-11-24

Family

ID=41138757

Family Applications (2)

Application NumberTitlePriority DateFiling Date
EP09160763AWithdrawnEP2253796A1 (en)2009-05-202009-05-20Method of protecting a flexible riser and an apparatus therefor
EP10719358.3ANot-in-forceEP2432964B1 (en)2009-05-202010-05-18Method of protecting a flexible riser and an apparatus therefor

Family Applications After (1)

Application NumberTitlePriority DateFiling Date
EP10719358.3ANot-in-forceEP2432964B1 (en)2009-05-202010-05-18Method of protecting a flexible riser and an apparatus therefor

Country Status (8)

CountryLink
EP (2)EP2253796A1 (en)
KR (1)KR101679178B1 (en)
CN (1)CN102428244B (en)
AP (1)AP3886A (en)
AU (1)AU2010251212B2 (en)
BR (1)BRPI1012862B1 (en)
CY (1)CY1115428T1 (en)
WO (1)WO2010133564A2 (en)

Cited By (2)

* Cited by examiner, † Cited by third party
Publication numberPriority datePublication dateAssigneeTitle
US20140318803A1 (en)*2011-10-032014-10-30Marine Resources Exploration International B.V.Riser System for Transporting a Slurry from a Position Adjacent to the Seabed to a Position Adjacent to the Sea Surface
US20230356813A1 (en)*2022-05-042023-11-09Storeco2 Uk LimitedCarbon dioxide transport and sequestration marine vessel

Families Citing this family (5)

* Cited by examiner, † Cited by third party
Publication numberPriority datePublication dateAssigneeTitle
CN103453318B (en)*2013-09-042015-11-04中国海洋石油总公司The storage of offshore platform lean glycol and delivery method
CN105899442A (en)*2014-01-152016-08-24布莱特能源存储科技有限责任公司Underwater energy storage using compressed fluid
US20190277116A1 (en)*2016-09-022019-09-12Fmc Technologies, Inc.Subsea Field Architecture
NO348334B1 (en)2023-06-012024-11-25Apc Advanced Project Consulting AsAn injection buoy, a system, and a method for preventing formation of an ice plug in an injection hose
CN118933701B (en)*2024-09-102025-04-25中海石油气电集团有限责任公司 A recovery system for associated gas

Citations (6)

* Cited by examiner, † Cited by third party
Publication numberPriority datePublication dateAssigneeTitle
WO1995022678A1 (en)*1994-02-181995-08-24Jens KorsgaardFluid riser between seabed and floating vessel
US5875848A (en)*1997-04-101999-03-02Reading & Bates Development Co.Weight management system and method for marine drilling riser
US20030008577A1 (en)*2001-04-272003-01-09Quigley Peter A.Buoyancy control systems for tubes
WO2003057348A1 (en)2002-01-142003-07-17Shell Internationale Research Maatschappij B.V.Process for removing carbon dioxide from gas mixtures
WO2006031335A1 (en)*2004-09-132006-03-23Exxonmobil Upstream Research CompanyMethod for managing hydrates in subsea production line
US20080105434A1 (en)*2006-11-072008-05-08Halliburton Energy Services, Inc.Offshore Universal Riser System

Family Cites Families (3)

* Cited by examiner, † Cited by third party
Publication numberPriority datePublication dateAssigneeTitle
US20060031335A1 (en)*2004-08-052006-02-09International Business Machines CorporationManaging contained e-mail
FR2888305B1 (en)*2005-07-112008-12-12Technip France Sa METHOD AND INSTALLATION FOR CONNECTING A RIGID UNDERWATER DRIVE AND A FLEXIBLE SUBMARINE CONDUCT
BRPI0716924A2 (en)*2006-09-212013-11-12Shell Int Research FLOATING SYSTEM POSITIONED ON A BODY OF WATER HAVING A WATER BACKGROUND, AND METHOD FOR MODIFYING A FLOATING SYSTEM

Patent Citations (6)

* Cited by examiner, † Cited by third party
Publication numberPriority datePublication dateAssigneeTitle
WO1995022678A1 (en)*1994-02-181995-08-24Jens KorsgaardFluid riser between seabed and floating vessel
US5875848A (en)*1997-04-101999-03-02Reading & Bates Development Co.Weight management system and method for marine drilling riser
US20030008577A1 (en)*2001-04-272003-01-09Quigley Peter A.Buoyancy control systems for tubes
WO2003057348A1 (en)2002-01-142003-07-17Shell Internationale Research Maatschappij B.V.Process for removing carbon dioxide from gas mixtures
WO2006031335A1 (en)*2004-09-132006-03-23Exxonmobil Upstream Research CompanyMethod for managing hydrates in subsea production line
US20080105434A1 (en)*2006-11-072008-05-08Halliburton Energy Services, Inc.Offshore Universal Riser System

Non-Patent Citations (3)

* Cited by examiner, † Cited by third party
Title
"API Recommended Practice 17B", March 2000, article "Recommended Practice for Flexible Pipe"
"API Specification 17J", December 2002, article "Specification for unbonded pipe"
MCCANN ET AL.: "Guidelines for compression modelling in flexible risers for deepwater applications", OFFSHORE TECHNOLOGY CONFERENCE, 5 May 2003 (2003-05-05)

Cited By (6)

* Cited by examiner, † Cited by third party
Publication numberPriority datePublication dateAssigneeTitle
US20140318803A1 (en)*2011-10-032014-10-30Marine Resources Exploration International B.V.Riser System for Transporting a Slurry from a Position Adjacent to the Seabed to a Position Adjacent to the Sea Surface
US9316064B2 (en)*2011-10-032016-04-19Marine Resources Exploration International BvRiser system for transporting a slurry from a position adjacent to the seabed to a position adjacent to the sea surface
US20230356813A1 (en)*2022-05-042023-11-09Storeco2 Uk LimitedCarbon dioxide transport and sequestration marine vessel
US11827317B1 (en)*2022-05-042023-11-28Storeco2 Uk LimitedCarbon dioxide transport and sequestration marine vessel
US20240034444A1 (en)*2022-05-042024-02-01Storeco2 Uk LimitedCarbon dioxide transport and sequestration marine vessel
US11975805B2 (en)*2022-05-042024-05-07Storeco2 Uk LimitedCarbon dioxide transport and sequestration marine vessel

Also Published As

Publication numberPublication date
EP2432964B1 (en)2014-05-21
BRPI1012862B1 (en)2019-11-26
WO2010133564A3 (en)2011-03-31
KR101679178B1 (en)2016-11-24
BRPI1012862A2 (en)2018-02-27
AU2010251212A1 (en)2011-11-17
AP2011005957A0 (en)2011-10-31
AU2010251212B2 (en)2013-10-03
WO2010133564A2 (en)2010-11-25
EP2432964A2 (en)2012-03-28
CY1115428T1 (en)2017-01-04
AP3886A (en)2016-11-07
CN102428244A (en)2012-04-25
CN102428244B (en)2014-10-22
KR20120030372A (en)2012-03-28

Similar Documents

PublicationPublication DateTitle
EP2432964B1 (en)Method of protecting a flexible riser and an apparatus therefor
US7976613B2 (en)Dehydration of natural gas in an underwater environment
EP2438267B1 (en)Method of producing a combined gaseous hydrocarbon component stream and liquid hydrocarbon component streams, and an apparatus therefor
AU2013200429B2 (en)Marine transport of unsweetened natural gas
JP2004517270A (en) Method and apparatus for compressed gas
US11009291B2 (en)Method for air cooled, large scale, floating LNG production with liquefaction gas as only refrigerant
AU2012207059B2 (en)Linked LNG production facility
AU2008219347B2 (en)Linked LNG production facility
AU2008219346B2 (en)Sheltered LNG production facility
WO2007112498A1 (en)Lng production facility
AU2006281990B2 (en)Dehydration of a natural gas in an underwater environment
Wodehouse et al.The Development of an FPSO for the Deepwater Gulf of Mexico
OdeskaugThe Cylindrical Hull Concept for FLNG Application
Hoff et al.Mobil's floating LNG plant
Mauries et al.Developing Medium-Size Gas Reserves with Floating Liquefaction Plants
Nguyen et al.Comparative Economic and Technical Evaluation of AG FLNG with One vs. Two Trains of Liquefaction Cycles
KR20120003770U (en)Turret assembly floating marine structure
Saint-Marcoux et al.DEEPWATER GAS FIELD PRODUCTION FROM SUBSEA WELLS INTO COMPRESSED NATURAL GAS CARRIERS THROUGH A HYBRID RISER TOWER
Fales et al.An Innovative Floating LNG Vessel
BybeeInvestigation of a Floating-Liquefied-Natural-Gas Unit for Brazilian Waters
Shivers et al.Design Case Study for a 4 MTPA FLNG System for Severe Metocean Conditions
Shivers III et al.OTC-27074-MS

Legal Events

DateCodeTitleDescription
PUAIPublic reference made under article 153(3) epc to a published international application that has entered the european phase

Free format text:ORIGINAL CODE: 0009012

AKDesignated contracting states

Kind code of ref document:A1

Designated state(s):AT BE BG CH CY CZ DE DK EE ES FI FR GB GR HR HU IE IS IT LI LT LU LV MC MK MT NL NO PL PT RO SE SI SK TR

AXRequest for extension of the european patent

Extension state:AL BA RS

RIN1Information on inventor provided before grant (corrected)

Inventor name:PEK, JOHAN JAN

Inventor name:HERMAN THEODOR, VAN DER MEYDEN

Inventor name:MICHALAKIS, EFTHYMIOU

STAAInformation on the status of an ep patent application or granted ep patent

Free format text:STATUS: THE APPLICATION HAS BEEN WITHDRAWN

18WApplication withdrawn

Effective date:20110523


[8]ページ先頭

©2009-2025 Movatter.jp