Movatterモバイル変換


[0]ホーム

URL:


EP2130478B1 - Articulated bending mechanism and articulated medical device with articulated bending mechanism - Google Patents

Articulated bending mechanism and articulated medical device with articulated bending mechanism
Download PDF

Info

Publication number
EP2130478B1
EP2130478B1EP07850728.2AEP07850728AEP2130478B1EP 2130478 B1EP2130478 B1EP 2130478B1EP 07850728 AEP07850728 AEP 07850728AEP 2130478 B1EP2130478 B1EP 2130478B1
Authority
EP
European Patent Office
Prior art keywords
bending
manipulation
bending piece
piece
wires
Prior art date
Legal status (The legal status is an assumption and is not a legal conclusion. Google has not performed a legal analysis and makes no representation as to the accuracy of the status listed.)
Not-in-force
Application number
EP07850728.2A
Other languages
German (de)
French (fr)
Other versions
EP2130478A1 (en
EP2130478A4 (en
Inventor
Kimihiko Naito
Tsutomu Ishiguro
Jun Hasegawa
Toshio Nakamura
Current Assignee (The listed assignees may be inaccurate. Google has not performed a legal analysis and makes no representation or warranty as to the accuracy of the list.)
Olympus Medical Systems Corp
Original Assignee
Olympus Medical Systems Corp
Priority date (The priority date is an assumption and is not a legal conclusion. Google has not performed a legal analysis and makes no representation as to the accuracy of the date listed.)
Filing date
Publication date
Application filed by Olympus Medical Systems CorpfiledCriticalOlympus Medical Systems Corp
Publication of EP2130478A1publicationCriticalpatent/EP2130478A1/en
Publication of EP2130478A4publicationCriticalpatent/EP2130478A4/en
Application grantedgrantedCritical
Publication of EP2130478B1publicationCriticalpatent/EP2130478B1/en
Not-in-forcelegal-statusCriticalCurrent
Anticipated expirationlegal-statusCritical

Links

Images

Classifications

Definitions

Landscapes

Description

    Technical Field
  • The present invention relates to a multijointed bending mechanism in which a plurality of bending pieces can be independently manipulated by manipulation wires, and to a multijointed medical equipment having such multijointed bending mechanism.
  • Background Art
  • In general, an insertion portion of a piece of medical equipment such as an endoscope is provided with a bending portion. Bending pieces are rotatably coupled with each other in the bending portion. A manipulation wire is connected only to a bending piece at the most extreme end of the bending portion. The bending portion is bent in its entirety by pushing and pulling the manipulation wire. More specifically, since the respective bending pieces cannot be independently rotated, it is difficult for the bending pieces to take a predetermined bending state.
  • To cope with the above problem, inPatent Document 1, repellent force application means is disposed in the base end portion of a bending portion. When the bending portion is bent by a manipulation wire, the repellent force application means begins to bend the bending portion preferentially from the extreme end portion thereof. Further, inPatent Document 2, balloons are interposed between bending pieces, respectively. Rotation intervals between bending pieces are adjusted by the expansion and contraction of the balloons. With this configuration, when a bending portion is bent, the radius of bending of the bending portion can be variably adjusted.
    • Patent Document 1: Jpn. Pat. Appln. KOKAI Publication No.2003-126024
    • Patent Document 2: Jpn. Pat. Appln. KOKAI Publication No.06-105797
  • DocumentUS 2002/032371 A1, on which document is based the preamble ofclaim 1, discloses a bending part of endoscope in which plural joint rings are connected with each other. The adjacent joint rings are rotatably connected with rivets after overlapping a connecting part with another connecting part. A guide hole is formed at the inner head of the rivet, and a bend-control wire is inserted through the guide hole whereby the bend-control wire is guided. A notch and a hole are formed at the end and the base of the connecting part, respectively.
  • Disclosure of Invention
  • In a conventional bending mechanism, when a manipulation wire is pulled and a bending portion is bent, all the bending pieces are rotated in the same direction. Accordingly, there is a possibility that the bending pieces cannot be independently rotated in an arbitrary direction. As a result, since the bending mode of the bending portion is limited, it may be impossible to rotate only a particular part of the bending portion in a desired direction and thus there is a possibility that the degree of freedom of a bending mode is reduced.
  • When the bending state of the bending portion is regulated by the repellent force application means as disclosed inPatent Document 1 and by balloons as disclosed inPatent Document 2, only a part of the bending portion is preferentially bent. Accordingly, since it is impossible to selectively rotate an arbitrary bending piece, there is a possibility that a desired bending state cannot be attained. When manipulation wires are disposed in respective bending pieces to increase the degree of freedom of the bending state, the number of the manipulation wires is increased. Accordingly, since the number of the manipulation wires to be disposed increases toward the extreme end side of the bending portion, the disposition of the manipulation wires become complicated. In general, a surgical instrument and the like are disposed in the extreme end side of the bending portion. Thus, an increase in the number of the manipulation wires on the extreme end side makes it difficult to secure a space in which the surgical instrument and the like are disposed. Further, the increase in the number of the manipulation wires increases the diameter of equipment in its entirety. Thus, in equipment such as medical equipment whose diameter should be reduced, the manipulation wires must be disposed compactly.
  • Accordingly, the present invention provides a multijointed bending mechanism in which only an arbitrary bending pieces can be independently rotated, a space in which a surgical instrument and the like are disposed can be secured, and manipulation wires can be disposed compactly without being entangled with each other and multijointed medical equipment having the multijointed bending mechanism.
  • According to an aspect of the present invention, there is provided a multijointed bending mechanism comprising: an insertion portion with: a first bending piece; a second bending piece connected to the first bending piece so as to be rotatable around a first rotation shaft; a third bending piece connected to the second bending piece so as to be rotatable around a second rotation shaft; at least two first wires connected to the first bending piece to rotate the first bending piece; and at least two second wires connected to the second bending piece to rotate the second bending piece, wherein the second wires are disposed inwards of the first wires with respect to the center axis of the insertion portion.
  • An aspect of the present invention provides a multijointed medical equipment having the multijointed bending mechanism.
  • Brief Description of Drawings
    • FIG. 1 is a perspective view schematically showing an endoscope apparatus included in an endoscope system.
    • FIG. 2 is a perspective view schematically showing an endoscope and a surgical instrument in the endoscope system.
    • FIG. 3 is a perspective view schematically showing the surgical instrument according to the embodiment.
    • FIG. 4 is a perspective view showing an extreme end portion and a bending portion according to the embodiment in an insertion portion of the surgical instrument.
    • FIG. 5A is a horizontal longitudinal sectional view of the bending portion along line A-A inFIG. 4 in the long axis direction of the insertion portion, as viewed from above.
    • FIG. 5B is a vertical longitudinal sectional view of the bending portion along line B-B inFIG. 4 in the long axis direction of the insertion portion, as viewed from the left side thereof.
    • FIG. 6A is a lateral sectional view along a line A-A inFIG. 5B and a view showing the disposition of manipulation wires and guide sheaths.
    • FIG. 6B is a lateral sectional view along a line B-B inFIG. 5B and a view showing the disposition of the manipulation wires and the guide sheaths.
    • FIG. 6C is a lateral sectional view along a line C-C inFIG. 5B and a view showing the disposition of the manipulation wires and the guide sheaths.
    • FIG. 6D is a lateral sectional view along a line D-D inFIG. 5B and a view showing the disposition of the manipulation wires and the guide sheaths.
    • FIG. 7A shows the angular relationship under which bending pieces rotate and is a longitudinal sectional view of the bending portion from above.
    • FIG. 7B shows the angular relationship under which the bending pieces rotate and is a longitudinal sectional view of the bending portion as viewed from above.
    • FIG. 8A is an explanatory view of a multijointed structure in the bending portion of a surgical instrument.
    • FIG. 8B is an explanatory view of a multijointed structure in the bending portion of the surgical instrument.
    • FIG. 9 is an explanatory view of a multijointed structure in a joystick.
    • FIG. 10A shows a modification of the positioning/disposing means and is a lateral sectional view along a line A-A inFIG. 5B.
    • FIG. 10B shows a modification of the positioning/disposing means and is a lateral sectional view along a line B-B inFIG. 5B.
    • FIG. 11 is an explanatory view of a multijointed structure in a bending portion of the present invention of a surgical instrument. in still another embodiment.
    • FIG. 12 is an explanatory view of a multijointed structure of a joystick in the embodiment.
    Best Mode for Carrying Out the Invention
  • A multijointed surgical instrument (for example, multijointed medical equipment) having a multijointed bending mechanism according to an embodiment of the present invention and an endoscope system having such multijointed surgical instrument will be explained below with reference to the drawings.
  • FIG. 1 is a perspective view schematically showing anendoscope apparatus 1 included in the endoscope system. Theendoscope apparatus 1 is composed of an electronic endoscope (endoscope main body) 2 and a peripheral device (device main body) of theendoscope 2.
  • The peripheral device includes alight source unit 3 for creating endoscope illumination light, animage processing unit 4 for subjecting an image picked up by an image pickup portion (not shown) in theendoscope 2 to various types of image processing, an image display unit (for example, monitor) 5 for displaying an image, image data (the image processed by the image processing unit 4), a state of the device, an instruction of an operator, and the like, acontroller 6 for overall control of the endoscope system and executing an arithmetic operation and the like, aninput unit 7 having a keyboard and the like, awaste fluid tank 8 with a suction pump, a water feed tank 9, and the like. The peripheral device is mounted on atrolley 10.
  • Thelight source unit 3 has aconnection port 11 connected to aconnector unit 16 and adisplay 12 for displaying an operating state of thelight source unit 3 on the front surface thereof.
  • Theimage processing unit 4 has aconnector receiver 14 connected to aconnection cable 13 on a front surface thereof. A connectingunit 17 with a cap is disposed in the base end of theconnection cable 13. Further, theconnector unit 16 is disposed in the extreme end of auniversal cord 15 of theendoscope 2. An electrical connection portion of theconnector unit 16 is detachably connected to the connectingunit 17 with the cap.
  • An image pick-up signal obtained in the image pick-up unit is sent to theimage processing unit 4 through theconnection cable 13 and converted to a video signal by theimage processing unit 4. The video signal is displayed on theimage display unit 5 as an image picked up by theendoscope 2.
  • Although theendoscope 2 is an electronic endoscope for picking up an endoscope image by an image pick-up portion (not shown image pick-up device) disposed in the extreme end of a later-describedinsertion portion 21, it may be, for example, a fiber endoscope using an image guide fiber. When the fiber endoscope is used, an optical image guided by the image guide fiber is picked up by a TV camera or the like.
  • As shown inFIGS. 1 and2, theendoscope 2 has amanipulation portion 20 and theinsertion portion 21 as a base member.
  • Theuniversal cord 15 is connected to themanipulation portion 20. Agrip portion 22 is disposed in themanipulation portion 20. Themanipulation portion 20 is provided with various types of function manipulation members, such as anangle manipulation knob 23, an air/waterfeed manipulation button 24, asuction manipulation button 25, a gassupply manipulation button 26, and switches 27. The function manipulation members are disposed in portions nearer to a proximal end side than the position of thegrip portion 22. Further, aninsertion port 28 of an insertion channel, into which a later-describedsurgical instrument 40 and the like are inserted, is disposed in a portion which is positioned nearer to an extreme end side than the position of thegrip portion 22.
  • As shown inFIGS. 1 and2, theinsertion portion 21 is composed of a flexible tube (soft portion) 31 positioned to the proximal end side, a bendingportion 32 connecting to the extreme end of theflexible tube 31, and anextreme end portion 33 connected to the extreme end of the bendingportion 32. Theflexible tube 31 has elasticity and flexibility and is bent by an external force. The bendingportion 32 is forcibly bend by manipulating theangle manipulation knob 23. The position and the direction of theextreme end portion 33 are changed by bending the bendingportion 32 so that a desired observation target (affected area and the like) is captured in an observation field of view (or in an image pickup field of view).
  • As shown inFIG. 2, anobservation window 34, anillumination window 35, and achannel port 36 are disposed in the extreme end surface portion of theextreme end portion 33.
  • An image pickup unit, which includes an optical system composed of an objective lens (not shown) and the like and an image pick-up device such as a CCD, is disposed inside theobservation window 34. The image pick-up unit picks up an affected area and the like in a body cavity. An image pick-up signal obtained by the image pick-up unit is sent to theimage processing unit 4 through theconnection cable 13 as described above.
  • Thechannel port 36 communicates with theinsertion port 28 through an insertion channel (not shown) formed in theinsertion portion 21. The insertion channel is used as a path through which aninsertion portion 42 of a multijointedsurgical instrument 40 for an endoscope is inserted.
  • Although it is assumed in the embodiment that onesurgical instrument 40 is inserted into one insertion channel, a plurality ofsurgical instruments 40 may be inserted into the one insertion channel. Further, it is also possible to provide a plurality of the insertion channels and to insert each of thesurgical instruments 40 into each of the insertion channels.
  • Next, a surgical instrument extremeend movement controller 18 will be explained with reference toFIGS. 2,3,4,5A and 5B. As shown inFIG. 2, the surgical instrument extremeend movement controller 18 includes asurgical instrument controller 37, a surgical instrument drive unit (motor unit) 38, a bending manipulation unit (manipulation input unit) 39, and thesurgical instrument 40.
  • Thesurgical instrument 40 includes amanipulation unit 41 which can be gripped by an operator and theinsertion portion 42 coupled with themanipulation unit 41.
  • The surgicalinstrument drive unit 38 is assembled to themanipulation unit 41.
  • As shown inFIG. 2, theinsertion portion 42 is inserted into a body cavity through the insertion channel. Theinsertion portion 42 is composed of a flexible tube (soft portion) 45 which is positioned on the proximal end (base end) side, a bendingportion 46 connected to the extreme end of theflexible tube 45, and anextreme end portion 47 connected to the extreme end of the bendingportion 46.
  • Theflexible tube 45 has elasticity and flexibility and is bent by an external force.
  • The bendingportion 46 is bent by themanipulation unit 41.
  • Theextreme end portion 47 is provided with agrip forceps 48 as a surgical instrument for operating on an affected area and the like.
  • As shown inFIG. 4, thegrip forceps 48 includesgrip members 48a, 48b which are opened and closed up and down. Thegrip members 48a, 48b are opened and closed in up and down directions by amanipulation wire 93 inserted into theinsertion portion 42. Theextreme end portion 47 may be provided with a surgical instrument such as a high-frequency knife or a high-frequency solidifier in addition to thegrip forceps 48.
  • As shown inFIGS. 4,5A and 5B, the bendingportion 46 includes the multijointed bending mechanism. The multijointed mechanism is constructed by coupling bendingpieces 51, 52, 53, 54, 55.FIG. 4 is a perspective view showing theextreme end portion 47 and the bendingportion 46.FIG. 5A is a horizontal longitudinal sectional view of the bendingportion 46 along line A-A inFIG. 4 in the long axis direction of theinsertion portion 42 as viewed from above.FIG. 5B is a vertical longitudinal sectional view of the bendingportion 46 along line B-B inFIG. 4 in the long axis direction of theinsertion portion 42 as viewed from the left side thereof. The up, down, right, and left directions of the bendingportion 46 are as shown by indexes ofFIG. 4.
  • The bendingpieces 51, 52, 53, 54, 55 are formed of an annular member. As shown inFIG. 4, the bendingpieces 51, 52, 53, 54, 55 are disposed by being coaxially arranged in a line in the long axis direction of theinsertion portion 42. The bendingpieces 51, 52, 53, 54, 55 are sequentially called afirst bending piece 51, asecond bending piece 52, athird bending piece 53, afourth bending piece 54, and afifth bending piece 55 from the extreme end side thereof.
  • As shown inFIG. 4, thefirst bending piece 51 is relatively rotatably coupled with thesecond bending piece 52 by thefirst rotation shaft 61 having a rotating shaft. As shown inFIG. 5B, a rotating shaft of thefirst rotation shaft 61 is disposed so that it is orthogonal to a center axis L of the bendingportion 46 in a direction along up and down directions.
  • The first andsecond bending pieces 51, 52 are rotatably connected to each other around afirst rotation shaft 61 and rotatably coupled with each other by thefirst rotation shaft 61. The axial direction of thefirst rotation shaft 61 is orthogonal to the long axis direction of theinsertion portion 42 and thefirst rotation shaft 61 is disposed in a direction along the up and down directions shown inFIG. 4. Accordingly, the first andsecond bending pieces 51, 52 can be relatively rotated in right and left directions when viewed from the proximal end (base end) side inFIG. 4.
  • The second andthird bending pieces 52, 53 are rotatably connected to each other around asecond rotation shaft 62 and rotatably coupled with each other by thesecond rotation shaft 62. The axial direction of thesecond rotation shaft 62 is orthogonal to the long axis direction of theinsertion portion 42 and thesecond rotation shaft 62 is disposed in a direction along the right and left directions shown inFIG. 4. Accordingly, the second andthird bending pieces 52, 53 can be relatively rotated in the up and down directions when viewed from the proximal end (base end) side inFIG. 4.
  • The third andfourth bending pieces 53, 54 are rotatably connected to each other around athird rotation shaft 63 and rotatably coupled with each other by thethird rotation shaft 63. The axial direction of thethird rotation shaft 63 is orthogonal to the long axis direction of theinsertion portion 42 and thethird rotation shaft 63 is disposed in the direction along the up and down directions shown inFIG. 4. Accordingly, the third andfourth bending pieces 53, 54 can be relatively rotated in the right and left directions when viewed from the proximal end (base end) side inFIG. 4.
  • Thefourth bending piece 54 is rotatably coupled with thefifth bending piece 55 by afourth rotation shaft 64. The axial direction of thefourth rotation shaft 64 is orthogonal to the long axis direction of theinsertion portion 42 and thefourth rotation shaft 64 is disposed in a direction along the right and left directions shown inFIG. 4. Accordingly, thefourth bending piece 54 and thefifth bending piece 55 can be relatively rotated in the up and down directions when viewed from a proximal end (base end) side inFIG. 4.
  • That is, thefirst rotation shaft 61 constitutes a joint for relatively rotating the first andsecond bending pieces 51, 52 in the right and left directions. Thesecond rotation shaft 62 constitutes a joint for relatively rotating the second andthird bending pieces 52, 53 in the up and down directions. Thethird rotation shaft 63 constitutes a joint for relatively rotating the third andfourth bending pieces 53, 54 in the right and left directions. Further, thefourth rotation shaft 64 constitutes a joint for relatively rotating the fourth andfifth bending pieces 54, 55 in the up and down directions.
  • In the embodiment, the axial directions of the first, second, third, andfourth rotation shafts 61, 62, 63, 64 are alternately offset by 90°. That is, the bendingpieces 51, 52 and the bendingpieces 53, 54 are rotated in the right and left directions. The bendingpieces 52, 53 and the bendingpieces 54, 55 are rotated in the up and down directions. Further, the axial directions of therotation shafts 61, 62, 63, 64 are orthogonal to the center axis (long axis) L of the bending portion 46 (refer toFIGS. 4,5A and 5B). The center axis L agrees with the long axis of theinsertion portion 42.
  • As shown inFIGS. 5A and 5B, the bendingpieces 51, 52, 53, 54, 55 have tongue-piece-shapedcoupling portions 65 projecting from the end edges thereof. When thecoupling portions 65 are overlapped with each other, therotation shafts 61, 62, 63, 64 pass through the overlapping portions. That is, therotation shafts 61, 62, 63, 64 are rivet-like shaft members.
  • The multijointed bending mechanism arranged as described above is covered with a flexible casing (not shown). The bendingportion 46 is constructed by this configuration.
  • A first set of a pair of non-expandable manipulation wires 56 (56a, 56b) connected to thefirst bending piece 51, a second set of a pair of non-expandable manipulation wires 57 (57a, 57b) connected to thesecond bending piece 52, a third set of a pair of non-expandable manipulation wires 58 (58a, 58b) connected to thethird bending piece 53, and a fourth set of a pair of non-expandable manipulation wires 59 (59a, 59b) connected to thefourth bending piece 54 are inserted into theinsertion portion 42.
  • As shown inFIG. 5A, themanipulation wires 56a, 56b are laterally symmetrically disposed in the bendingportion 46 with respect to the center axis L. The extreme ends of themanipulation wires 56a, 56b extend to the region in thefirst bending piece 51 and are connected to thefirst bending piece 51.
  • The direction of the center axis of thefirst bending piece 51 approximately agrees with the direction of the center axis L. On one plane which passes through both the direction of the center axis of thefirst bending piece 51 and the axial direction of thefirst rotation shaft 61, the right half portion of thefirst bending piece 51 is called a right portion, and the left half portion of thefirst bending piece 51 is called a left portion.
  • The extreme end of themanipulation wire 56a described above is connected to the right portion of thefirst bending piece 51. Further, the extreme end of themanipulation wire 56b is connected to the left portion of thefirst bending piece 51. When themanipulation wire 56a is pulled to the base end (proximal end) side shown inFIG. 5A, thefirst bending piece 51 is rotated rightward around thefirst rotation shaft 61. Further, when themanipulation wire 56b is pulled to the base end side, thefirst bending piece 51 is rotated leftward around thefirst rotation shaft 61. As described above, themanipulation wires 56 rotate thefirst bending piece 51.
  • As shown inFIG. 5B, themanipulation wires 57a, 57b are vertically symmetrically disposed in the bendingportion 46 with respect to the center axis L. The extreme ends of themanipulation wires 57a, 57b extend to the region in thesecond bending piece 52 and are connected to thesecond bending piece 52.
  • The direction of the center axis of thesecond bending piece 52 approximately agrees with the direction of the center axis L. On one plane which passes through both the direction of the center axis of thesecond bending piece 52 and the axial direction of thesecond rotation shaft 62, the upper half portion of thesecond bending piece 52 is called an upper portion, and the lower half portion of thesecond bending piece 52 is called a lower portion.
  • The extreme end of themanipulation wire 57a described above is connected to the upper portion of thesecond bending piece 52. Further, the extreme end of themanipulation wire 57b is connected to the lower portion of thesecond bending piece 52. When themanipulation wire 57a is pulled to the base end (proximal end) side shown inFIG. 5B, thesecond bending piece 52 is rotated upward around thesecond rotation shaft 62. Further, when themanipulation wire 57b is pulled to the base end side shown inFIG. 5B, thesecond bending piece 52 is rotated downward around thesecond rotation shaft 62. As described above, themanipulation wires 57 rotate thesecond bending piece 52.
  • As shown inFIG. 5A, themanipulation wires 58a, 58b are laterally symmetrically disposed in the bendingportion 46 with respect to the center axis L. The extreme ends of themanipulation wires 58a, 58b extend to the region in thethird bending piece 53 and are connected to thethird bending piece 53.
  • The direction of the center axis of thethird bending piece 53 approximately agrees with the direction of the center axis L. On one plane which passes through both the direction of the center axis of thethird bending piece 53 and the axial direction of thethird rotation shaft 63, the right half portion of thethird bending piece 53 is called a right portion, and the left half portion of thethird bending piece 53 is called a left portion.
  • The extreme end of themanipulation wire 58a described above is connected to the right portion of thethird bending piece 53. Further, the extreme end of themanipulation wire 58b is connected to the left portion of thethird bending piece 53. When themanipulation wire 58a is pulled to the base end (proximal end) side shown inFIG. 5A, thethird bending piece 53 is rotated rightward around thethird rotation shaft 63. Further, when themanipulation wire 58b is pulled to the base end side shown inFIG. 5A, thethird bending piece 53 is rotated leftward around thethird rotation shaft 63. As described above, themanipulation wire 58 rotates thethird bending piece 53.
  • As shown inFIG. 5B, themanipulation wires 59a, 59b are vertically symmetrically disposed in the bendingportion 46 with respect to the center axis L. The extreme ends of themanipulation wires 59a, 59b extend to the region in thefourth bending piece 54 and are connected to thefourth bending piece 54.
  • The direction of the center axis of thefourth bending piece 54 approximately agrees with the direction of the center axis L. On one plane which passes through both the direction of the center axis of thefourth bending piece 54 and the axial direction of thefourth rotation shaft 64, the upper half portion of thefourth bending piece 54 is called an upper portion, and the lower half portion of thefourth bending piece 54 is called a lower portion.
  • The extreme end of themanipulation wire 59a described above is connected to the upper portion of thefourth bending piece 54. Further, the extreme end of themanipulation wire 59b is connected to the lower portion of thefourth bending piece 54. When themanipulation wire 59a is pulled to the base end (proximal end) side shown inFIG. 5B, thefourth bending piece 54 is rotated upward around thefourth rotation shaft 64. Further, when themanipulation wire 59b is pulled to the base end side shown inFIG. 5B, thefourth bending piece 54 is rotated downward around thefourth rotation shaft 64. As described above, themanipulation wires 59 rotate thefourth bending piece 54.
  • As described above, the pairs of themanipulation wires 56, 57, 58, 59, which individually correspond to each other, are connected to the bendingpieces 51, 52, 53, 54. When the pairs of themanipulation wires 56, 57, 58, 59 are appropriately selected and pushed and pulled in the bendingportion 46, the bendingpieces 51, 52, 53, 54 are independently rotated.
  • Various methods can be employed to connect the extreme ends of themanipulation wires 56, 57, 58, 59 to the bendingpieces 51, 52, 53, 54. The connection is made as described below in the embodiment.
  • As shown inFIG. 5A, in the base end portion of thefirst bending piece 51, cut and raisedpieces 70, which project inside of thefirst bending piece 51, are formed in the right portion and the left portion of thefirst bending piece 51. The extreme end of themanipulation wire 56a is inserted into the cut and raisedpiece 70 in the right portion, and fixed to the cut and raisedpiece 70 by brazing. Further, the extreme end of themanipulation wire 56b is inserted into the cut and raisedpiece 70 in the left portion, and fixed to the cut and raisedpiece 70 by brazing.
  • As shown inFIG. 5B, in the base end portion of thesecond bending piece 52, cut and raisedpieces 70, which project inside of thesecond bending piece 52, are formed in the upper portion and the lower portion of thesecond bending piece 52. The extreme end of themanipulation wire 57a is inserted into the cut and raisedpiece 70 in the upper portion, and fixed to the cut and raisedpiece 70 by brazing. Further, the extreme end of themanipulation wire 57b is inserted into the cut and raisedpiece 70 in the lower portion, and fixed to the cut and raisedpiece 70 by brazing.
  • As shown inFIG. 5A, cut and raisedpieces 80, which are recessed to the inside of thethird bending piece 53, are formed in the right side portion and the left side portion of thethird bending piece 53 around the peripheral edge of the base end side of thethird bending piece 53. The extreme end of themanipulation wire 58a is inserted into the cut and raisedpiece 80 of the right side portion and fixed to the cut and raisedpiece 80 by brazing. Further, the extreme end of themanipulation wire 58b is inserted into the cut and raisedpiece 80 of the left side portion and fixed to the cut and raisedpiece 80 by brazing.
  • Further, as shown inFIG. 5B, cut and raisedpieces 91, which are recessed to the inside of thefourth bending piece 54, are formed in the upper side portion and the lower side portion of thefourth bending piece 54 around the peripheral edge of the base end side of thefourth bending piece 54. The extreme end of themanipulation wire 59a is inserted into the cut and raisedpiece 91 of the upper side portion and fixed thereto by brazing. Further, the extreme end of themanipulation wire 59b is inserted into the cut and raisedpiece 91 of the lower side portion and fixed thereto by brazing.
  • Themanipulation wires 56 are inserted into a guide sheath 66, themanipulation wires 57 are inserted into a guide sheath 67, themanipulation wires 58 are inserted into a guide sheath 68, and themanipulation wires 59 are inserted into a guide sheath 69, and they are individually guided up to themanipulation unit 41. The guide sheaths 66, 67, 68, 69 have flexibility and are formed of a sheath-like elastic member having elasticity; for example, an intimately wound coil, a resin tube, and the like. Inner holes of the guide sheaths 66, 67, 68, 69 act as guide members for guiding the direction of travel of themanipulation wires 56, 57, 58, 59.
  • The extreme end of each guide sheath is not connected to a bending piece to which the manipulation wire to be guided by the guide sheath itself is connected but connected to a bending piece disposed nearer to the base end side than the above bending piece. For example, the extreme ends ofguide sheaths 66a, 66b are connected to thesecond bending piece 52. The extreme ends ofguide sheaths 67a, 67b are connected to thethird bending piece 53. Further, the extreme ends ofguide sheaths 68a, 68b are connected to thefourth bending piece 54.
  • Note that base ends of the guide sheaths may be connected to the base end portion of the bending portion 46 (the extreme end of the flexible tube 45). Further, as shown inFIGS. 7A and7B, the most extreme end faces of theguide sheaths 66a, 66b may have slant surfaces whose sides near the center of the bendingportion 46 retreat to the base end side than the side thereof near the outer periphery of the bendingportion 46. As described above, theguide sheaths 66a, 66b may be arranged so that they avoid interference with contained members.
  • Next, the angular relationship under which the respective bending pieces mutually rotate will be explained with reference toFIGS. 7A and7B.
  • The end faces 82, which confront each other (which are adjacent to each other) in adjacent bending pieces, form agap 81. Thegap 81 expands in a fan-shape at an angle θ around the axis of a rotation shaft. In more detail, lines extending from the end faces 82 intersect on the axis of the rotation shaft. Accordingly, the respective end faces 82 are formed as linear end edges passing through the rotation axis, respectively. Then, thegap 81 is formed by the two end faces 82 confronting each other and expanding in a fan-shape at an angle θ about an intersecting point (axis of the rotation shaft).
  • Note that the extended lines need not necessarily intersect on the axis of the rotation shaft, and the respective end faces 82 may not be formed as linear end edges passing through the rotation axis, respectively. In this case, thegap 81, which expands in a fan-shape at the angle θ, may be preferably formed by the lines which pass through ends (apexes) 82a, which are positioned at the most external sides of the end faces 82, and the axis of the rotation shaft.
  • Note that the sum of the angles θ of thegaps 81 of at least two adjacent bending pieces in the bending pieces rotating in the same direction is set to 90° or more. As shown in, for example,FIGS. 7A and7B, the sum of the rotatable angle θ1 of thegap 81 between the bendingpieces 51, 52 rotating in the same direction and the rotatable angle θ2 of thegap 81 between the bendingpieces 53, 54 rotating in the same direction is set to 90° or more.
  • As described above, the rotatable angle θ of the multijointed bending piece may be preferably allocated not only to onegap 81 but also to thegaps 81 between the bending pieces rotating in the same direction (a plurality of adjacent gaps 81). With this configuration, it is not necessary to increase the angle θ in onegap 81. Accordingly, the maximum angle θ formed by onegap 81 is reduced. As a result, the amount of rotation of a bending piece in onegap 81 is reduced. Thus, when a bending operation causes the contained members such as the manipulation wires and the guide sheaths to traverse thegap 81, they are less likely to be caught by thegap 81.
  • Next, how the manipulation wires and the guide sheaths are disposed in the bending pieces will be explained with reference toFIGS. 5A, 5B,6A, 6B,6C, and 6D.
  • The extreme ends of theguide sheaths 66a, 66b are fixed to afirst wire guide 71 disposed in thesecond bending piece 52 and positioned to and supported by thesecond bending piece 52. Thefirst wire guide 71 is formed of, for example, a ring-like sheet-shaped member as shown inFIGS. 5A, 5B and6A. Thefirst wire guide 71 is fixed to the inner wall of thesecond bending piece 52 bypins 60 at both the upper and lower end edges thereof. Cut-outs are formed in both the right and left ends of thefirst wire guide 71 as shown inFIG. 6A. Aninsertion hole 76, through which contained members such as theguide sheaths 66a, 66b are inserted, is formed at the center of thefirst wire guide 71. Theinsertion hole 76 is formed in an approximately circular shape about the center axis L. The extreme ends of theguide sheaths 66a, 66b are positioned and disposed in, for example, the right/left inner wall portions in theinsertion hole 76, respectively and fixed to the portions by brazing or the like. Accordingly, the extreme ends of theguide sheaths 66a, 66b are disposed in the same distance from the center axis L. In other words, the extreme ends of theguide sheaths 66a, 66b are bilaterally symmetrically disposed across the center axis L. With this configuration, themanipulation wires 56a, 56b inserted into theguide sheaths 66a, 66b are also bilaterally symmetrically disposed across the center axis L. That is, thefirst wire guide 71 plays a role as positioning/disposing means for positioning and disposing themanipulation wires 56a, 56b and theguide sheaths 66a, 66b.
  • After themanipulation wires 56a, 56b project from the extreme ends of theguide sheaths 66a, 66b as shown inFIG. 5A, they enter thefirst bending piece 51 while extending, for example, right and left. Themanipulation wire 56a is inserted into the cut and raisedpiece 70 in the right portion as described above. Themanipulation wire 56b is inserted into the cut and raisedpiece 70 in the left portion as described above.
  • Note that although the extreme ends of theguide sheaths 66a, 66b are directly fixed to thefirst wire guide 71, they may be indirectly fixed to thefirst wire guide 71 using a connector such as a connecting ring, not shown.
  • As shown inFIGS. 5A, 5B and6B, the extreme ends of theguide sheaths 67a, 67b are fixed to asecond wire guide 72 disposed in thethird bending piece 53 and positioned to and supported by thethird bending piece 53. Thesecond wire guide 72 is formed of, for example, a ring-like sheet-shaped member. Thesecond wire guide 72 is fixed to the inner wall of thethird bending piece 53 bypins 60 at both the end edges thereof. As shown inFIG. 6B, cut-outs are formed in the upper and lower end edges of the outer peripheral portion of thesecond wire guide 72.Guide sheaths 67a, 67b are brazed to the cut-outs. That is, the cut-outs are brazed portions.
  • Aninsertion hole 77, through which the contained members such as theguide sheaths 66a, 66b and theguide sheaths 67a, 67b are inserted, is formed at the center of thesecond wire guide 72. Theinsertion hole 77 is formed in a circular shape about the center axis L. The radius of theinsertion hole 77 is smaller than that of theinsertion hole 76. The extreme ends of theguide sheaths 67a, 67b are positioned and disposed in, for example, the upper/lower inner wall portions in theinsertion hole 77, respectively and fixed to the positions by brazing or the like. Accordingly, the extreme ends of theguide sheaths 67a, 67b are disposed at the same distance from the center axis L. In other words, the extreme ends of theguide sheaths 67a, 67b are vertically symmetrically disposed with respect to the center axis L. With this configuration, themanipulation wires 57a, 57b passing through theguide sheaths 67a, 67b are also vertically symmetrically disposed with respect to the center axis L. As described above, thesecond wire guide 72 plays a role as positioning/disposing means for positioning and disposing themanipulation wires 57a, 57b and theguide sheaths 67a, 67b.
  • Further, as shown inFIG. 6B,groove portions 78 are formed in the right/left inner wall portions in theinsertion hole 77. Theguide sheath 66a is fitted into thegroove portion 78 in the right inner wall portion so that it is free to advance and retreat. Further, theguide sheath 66b is fitted into thegroove portion 78 in the left inner wall portion so that it is free to advance and retreat. With this configuration, theguide sheaths 66a, 66b are positioned and held by thesecond wire guide 72. At this time, theguide sheaths 67a, 67b are disposed inwards of theguide sheaths 66a, 66b (nearer to the center axis L) with respect to a direction vertical to the axial direction of thefirst rotation shaft 61 and the second rotation shaft 62 (in the direction of the center axis L). Accordingly, themanipulation wires 57a, 57b are disposed inwards of themanipulation wires 56a, 56b with respect to the direction of the center axis L. That is, in this case, thesecond wire guide 72 plays a role as positioning/disposing means for executing positioning so that theguide sheaths 67a, 67b are disposed inwards of theguide sheaths 66a, 66b (themanipulation wires 57a, 57b are disposed inwards of themanipulation wires 56a, 56b).
  • After themanipulation wires 57a, 57b, which are guided by theguide sheaths 67a, 67b, project from the extreme ends of theguide sheaths 67a, 67b as shown inFIG. 5B, they enter thesecond bending piece 52 while extending, for example, up and down. Themanipulation wire 57a is inserted into the cut and raisedpiece 70 in the upper portion as described above. Themanipulation wire 57b is inserted into the cut and raisedpiece 70 in the lower portion as described above.
  • Note that although the extreme ends of theguide sheaths 67a, 67b are directly fixed to thesecond wire guide 72, they may be indirectly fixed to thesecond wire guide 72 using a connector such as a connecting ring, not shown.
  • In thethird bending piece 53, theguide sheaths 67a, 67b are disposed inwards of theguide sheaths 66a, 66b (nearer to the center axis L) as shown inFIG. 6B. Accordingly, a space S is formed around the periphery of the center axis L. Contained members, a surgical function unit to be assembled to the extreme end portion 47 (for example, the grip forceps 48), and the like are disposed in the space S.
  • As shown inFIGS. 4,5A and 5B, cut and raisedpieces 79, which are recessed to the inside of thefourth bending piece 54, are formed in the right inner wall portion and the left inner wall portion in the end edge portion of the extreme end of thefourth bending piece 54. The extreme end of theguide sheath 68a is fixed to the cut and raisedpiece 79 in the right inner wall portion by brazing or the like. The extreme end of theguide sheath 68b is fixed to the cut and raisedpiece 79 in the left inner wall portion by brazing or the like.
  • Note that the extreme ends of theguide sheaths 68a, 68b may be fixed to thefourth bending piece 54 by connection rings (not shown).
  • As shown inFIG. 5A, after themanipulation wires 58a, 58b project from the extreme ends of theguide sheaths 68a, 68b, they enter thethird bending piece 53. As described above, themanipulation wire 58a is inserted into the cut and raisedpiece 80 in the right side portion. Further, themanipulation wire 58b is inserted into the cut and raisedpiece 80 in the left side portion as described above.
  • Note that the extreme ends of themanipulation wires 58a, 58b may be fixed to thethird bending piece 53 by connection rings (not shown).
  • As shown inFIGS. 4,5A and6C, in the cut and raisedpieces 80 and 79, theguide sheaths 66a, 66b are disposed more away externally from the center axis L than the cut and raisedpieces 80, 79. To explain in detail, as shown inFIGS. 4 and5A, the cut and raisedpieces 80 have cut-outgaps 80a formed thereon, through which theguide sheaths 66a, 66b can be inserted. Further, the cut and raisedpieces 79 have cut-outgaps 79a formed thereon, through which theguide sheaths 66a, 66b can be inserted. As shown inFIG. 4, theguide sheaths 66a, 66b pass through the cut-outgaps 80a from the inside of thethird bending piece 53 and exit to the outside of thethird bending piece 53. Further, theguide sheaths 66a, 66b reach the cut and raisedpieces 79, pass through the cut-outgaps 79a, and enter thefourth bending piece 54.
  • Accordingly, as shown inFIG. 6C, theguide sheaths 68a, 68b are disposed inwards of theguide sheaths 66a, 66b (nearer to the center axis L) in a direction vertical to the axial direction of thefirst rotation shaft 61, thesecond rotation shaft 62, and the third rotation shaft 63 (in the direction of the center axis L). Therefore, themanipulation wires 58a, 58b are disposed inwards of themanipulation wires 56a, 56b in the direction of the center axis L. Thus, the cut and raisedpieces 79, 80 play a role as positioning/disposing means for executing positioning of themanipulation wires 58a, 58b and theguide sheaths 68a, 68b.
  • Further, as shown inFIG. 6C, theguide sheaths 68a, 68b are disposed inwards of theguide sheaths 66a, 66b and theguide sheaths 67a, 67b (nearer to the center axis L) in a direction vertical to the axial direction of thefirst rotation shaft 61, thesecond rotation shaft 62, and the third rotation shaft 63 (in the direction of the center axis L). Accordingly, themanipulation wires 58a, 58b are disposed inwards of themanipulation wires 56a, 56b and themanipulation wires 57a, 57b.
  • As shown inFIGS. 4 and5B, cut and raisedpieces 90, which are recessed to the inside of thefifth bending piece 55, are formed in the upper inner wall portion and the lower inner wall portion of thefifth bending piece 55 in the end edge portion of thefifth bending piece 55 on the extreme end side thereof. The extreme end of theguide sheath 69a is fixed to the cut and raisedpiece 90 in the upper inner wall portion by brazing or the like. The extreme end of theguide sheath 69b is fixed to the cut and raisedpiece 90 in the lower inner wall portion by brazing or the like.
  • Note that the extreme ends of theguide sheaths 69a, 69b may be fixed to thefifth bending piece 55 by connection rings (not shown).
  • As shown inFIG. 5B, after themanipulation wires 59a, 59b project from the extreme ends of theguide sheaths 69a, 69b, they enter thefourth bending piece 54. As described above, themanipulation wire 59a is inserted into the cut and raisedpiece 91 in the upper side portion. Further, themanipulation wire 59b is inserted into the cut and raisedpiece 91 in the lower side portion as described above.
  • As shown inFIG. 4, in the cut and raisedpieces 91 and the cut and raisedpieces 90, theguide sheaths 67a, 67b are disposed more away externally from the center axis L than the cut and raisedpieces 91, 90. To explain in detail, as shown inFIG. 4, the cut and raisedpieces 91 have cut-out gaps 91a formed thereon, through which theguide sheaths 67a, 67b can be inserted. Further, the cut and raisedpieces 90 have cut-out gaps 90a formed thereon, through which theguide sheaths 67a, 67b can be inserted. As shown inFIG. 4, theguide sheaths 67a, 67b pass through the cut-out gaps 91a from the inside of thefourth bending piece 54 and exit to the outside of thefourth bending piece 54. Further, theguide sheaths 67a, 67b reach the cut and raisedpieces 90, pass through the cut-out gaps 90a, and enter thefifth bending piece 55.
  • Accordingly, as shown inFIG. 6D, theguide sheaths 69a, 69b are disposed inwards of theguide sheaths 67a, 67b in a direction vertical to the axial direction of thefirst rotation shaft 61, thesecond rotation shaft 62, thethird rotation shaft 63 and the fourth rotation shaft 64 (in the direction of the center axis L). Accordingly, themanipulation wires 59a, 59b are disposed inwards of themanipulation wires 57a, 57b in the direction of the center axis L. Thus, the cut and raisedpieces 91, 90 play a role as positioning/disposing means for executing positioning of themanipulation wires 59a, 59b and theguide sheaths 69a, 69b.
  • As described above, the wire guides and the cut and raised pieces play the role as the positioning/disposing means for specifying the positions of the guide sheaths and at the same time play the role as the positioning/disposing means for determining the positions of the manipulation wires which are individually guided by the guide sheaths.
  • As shown inFIG. 4, thefifth bending piece 55 is a bending piece positioned at the most extreme base end of the bendingportion 46. That is, it is possible to assume that thefifth bending piece 55 is the base end portion of the bendingportion 46. A connector member 94 such as a connection ring is disposed in the extreme end of theflexible tube 45. Thefifth bending piece 55 is coupled with the connector member 94. Further, thefifth bending piece 55 may be rotatably coupled with the connector member 94. In this mode, it is also possible to assume that the connector member 94 is the base end portion of the bendingportion 46.
  • Further, the contained members such as amanipulation wire 93 and an electric wire are disposed in the space of the bending pieces in which the manipulation wires, the guide sheaths, and the positioning/disposing means are not disposed. Further, the guide sheath and the manipulation wire on the base end side are disposed inwards of the guide sheath and the manipulation wire on the extreme end side. Accordingly, the space S is formed in a central region (in the periphery of the center axis L) of the bending piece on the extreme end side. In particular, the large space S is formed from thefirst bending piece 51 to thethird bending piece 53. Thus, the contained members, the surgical function unit to be assembled to the extreme end portion 47 (for example, the grip forceps 48), and the like are disposed in the space S. Further, function parts such as an actuator and a sensor may be disposed in the space S.
  • As shown inFIG. 3, themanipulation unit 41 is provided with a bending portion manipulation mechanism and a surgical portion manipulation mechanism. The bending portion manipulation mechanism is provided withdrive motors 95, 96, 97, 98 for pushing and pulling themanipulation wires 56, 57, 58, 59, respectively. Further, the surgical portion manipulation mechanism is provided with adrive motor 100 for pushing and pulling themanipulation wire 93. Themanipulation wires 56, 57, 58, 59 correspond to the bending pieces (targets to be rotated) 51, 52, 53, 54 and execute rotating manipulations. Themanipulation wire 93 manipulates thegrip forceps 48.
  • Pulleys 99 are attached to drive shafts of thedrive motors 95, 96, 97, 98, 100, respectively. The respective drive shafts may be coupled with therespective pulleys 99 through reducers (not shown). Themanipulation wires 56, 57, 58, 59, 93 are trained round therespective pulleys 99. Thedrive motors 95, 96, 97, 98, 100 are individually driven, respectively, and when thepulleys 99 are rotated, themanipulation wires 56, 57, 58, 59, 93 trained around thepulleys 99 are pushed and pulled.
  • Although the bending portion manipulation mechanism and the surgical portion manipulation mechanism use transmission mechanisms making use of thepulleys 99, they may use, for example, a gear mechanism and the like making use of a pinion gear and a rack. Further, the bending portion manipulation mechanism and the surgical portion manipulation mechanism may use other types of drive actuators in place of thedrive motors 95, 96, 97, 98, 100.
  • As shown inFIGS. 2 and3, themanipulation unit 41 is connected to thesurgical instrument controller 37 through acable 201. The bendingmanipulation unit 39 as the manipulation input unit is connected to thesurgical instrument controller 37 through acable 204. InFIG. 3, thesurgical instrument controller 37 is provided with apower supply cord 205.
  • The bendingmanipulation unit 39 includes a joystick (manipulation input unit) 203 for instructing a position and an attitude of thesurgical instrument 40. Thejoystick 203 includes fourjoystick switches 203a, 203b, 203c, 203d continuously connected in four stages. The joystick switches 203a, 203b, 203c, 203d are attached to amanipulation box 210.
  • When thejoystick switches 203a, 203b, 203c, 203d are selectively manipulated, thedrive motors 95, 96, 97, 98 are individually driven corresponding to the manipulation. With this manipulation, the bendingpieces 51, 52, 53, 54 are individually and independently driven in up, down, right, and left directions to thereby bend respective joint portions.
  • The surgical instrument extremeend movement controller 18 can move theextreme end portion 47 to a desired position by the movement according to the manipulation of thejoystick 203. That is, the surgical instrument extremeend movement controller 18 constitutes thesurgical instrument 40 which is arranged as a master/slave type and driven electrically. Note that, when thejoystick 203 is manipulated by an operator and the like after a control for moving thesurgical instrument 40 is set, preference is given to an instruction for manipulating thejoystick 203.
  • As shown inFIG. 2, thesurgical instrument controller 37 is provided with a functioncontrol input portion 121 for inputting an instruction output from thejoystick 203, a condition for controlling the function of thejoystick 203, and the like, a motor driver (surgical instrument drive controller) 122 for controlling the drive of thedrive motors 95, 96, 97, 98, and a motorunit communication unit 123 connected to the surgicalinstrument drive unit 38 through thecable 201 for executing communication with the surgicalinstrument drive unit 38.
  • Thesurgical instrument controller 37 transmits a control signal for driving thedrive motors 95, 96, 97, 98 in response to the manipulation of thejoystick 203 executed by the operator to themotor driver 122 and rotates thedrive motors 95, 96, 97, 98. Encoders (not shown) are mounted on thedrive motors 95, 96, 97, 98 to measure the number of revolutions thereof. The encoders feedback-control thedrive motors 95, 96, 97, 98 by generating signals according to the number of revolutions and transmitting the signals to themotor driver 122.
  • The relation between a multijointed structure in the bendingportion 46 and thejoystick 203 will be explained with reference toFIGS. 8A, 8B and 9.
  • As shown inFIG. 8A, in a state that all the joint portions in the bendingportion 46 project from theextreme end portion 33, the joints disposed from the manipulation unit side (base end side) to the extreme end side are sequentially referred to as J1, J2, J3, J4. A coordinate system is set using the joint J1 disposed nearest to the manipulation unit side as a reference. In the coordinate system, a Y-axis direction agrees with a vertical direction of the image pickup device. It is assumed that the joints J1, J3 are bent about an X-axis, and the joints J2, J4 are bent about a Y-axis.
  • As shown inFIG. 9, the joystick 203 (manipulation input unit) includes joints J1', J2', J3', J4' which have the same structures as those of the joint J1 and the joints J2, J3, J4 located nearer to the extreme end side than the joint J1.
  • The number of the joints and the bending directions of thejoystick 203 are the same as those of the bendingportion 46. The lengths of respective rods of thejoystick 203 are set to values multiplied by an appropriate coefficient k so that the operator can easily manipulate them. When, for example, k = 10 and the length of each rod of thesurgical instrument 40 is 3 mm, the length of each rod of the joystick 203 (manipulation input unit) is set to 30 mm. Encoders (not shown) are assembled to the joints J1', J2', J3', J4' to measure bent angles. The information of the bent angles measured by the encoders is sent to thesurgical instrument controller 37. Thesurgical instrument controller 37 generates drive signals corresponding to the angle information (the joints J1', J2', J3', J4') and bends the joints J1, J2, J3, J4 by rotating thedrive motors 95, 96, 97, 98, respectively. When the joints J1', J2', J3', J4' are bent as shown in, for example,FIG. 9, the joints J1, J2, J3, J4 are bent as shown inFIG. 8B.
  • Since the bendingportion 46 has a the plurality of joints, the extreme end of thesurgical instrument 40 can be moved to an arbitrary position and an arbitrary attitude so that an affected area can be more easily cut out and exfoliated than ever before. Further, since the joint structure of thesurgical instrument 40 is caused to equally correspond to that of the manipulation input unit, the operator can easily operate the surgical instrument having a plurality of joints.
  • Further, thedrive motor 100 also has a motor driver, a motor unit communication unit, and the like similarly to thedrive motors 95, 96, 97, 98. The grip forceps 48 is manipulated by manipulating a manipulation body such as a handle (function control/input unit) 125 disposed in themanipulation unit 41 and the like.
  • Note that the manipulation input unit may be preferably provided with a first manipulation switch corresponding to thefirst bending piece 51, a second manipulation switch corresponding to thesecond bending piece 52, a third manipulation switch corresponding to thethird bending piece 53, and a fourth manipulation switch corresponding to thefourth bending piece 54. When, for example, the first manipulation switch is depressed, thefirst bending piece 51 is bent. Further, themanipulation unit 41 may be preferably provided with a switch device (manipulation switch) for the bending manipulation. The manipulation input unit may use a pen type input unit for inputting a three-dimensional position.
  • Next, an operation when thesurgical instrument 40 is used will be explained.
  • First, as shown inFIG. 2, theinsertion portion 21 is inserted into a body cavity, and theinsertion portion 42 is inserted from theinsertion port 28 into the insertion channel in this state. Theextreme end portion 47 and the bendingportion 46 project from thechannel port 36 into the body cavity. Then, a work for gripping an affected area and the like in the body cavity is executed using thegrip forceps 48 while observing them by theendoscope 2.
  • In this case, the bendingportion 46 can be bent to an appropriate multijointed bent shape according to the state in the body cavity and the surgical procedure. That is, when thejoystick 203 is manipulated and the bendingpieces 51, 52, 53, 54 are individually rotated, the bendingportion 46 is bent into an appropriate shape.
  • When, for example, thedrive motor 95 is driven, themanipulation wires 56a, 56b trained around thepulley 99 in thedrive motor 95 are pushed and pulled. With this operation, thefirst bending piece 51 is independently rotated. When thedrive motor 96 is driven, themanipulation wires 57a, 57b trained around thepulley 99 in thedrive motor 96 are pushed and pulled. With this operation, thesecond bending piece 52 is independently rotated. When thedrive motor 97 is driven, themanipulation wires 58a, 58b trained around thepulley 99 in thedrive motor 97 are pushed and pulled. With this operation, thethird bending piece 53 is independently rotated. Further, when thedrive motor 98 is driven, themanipulation wires 59a, 59b trained around thepulley 99 in thedrive motor 98 are pushed and pulled. With this operation, thefourth bending piece 54 is independently rotated.
  • Accordingly, the bendingpieces 51, 52, 53, 54 are independently rotated by appropriately bending thejoystick 203 so that the bendingportion 46 is bent. The bendingportion 46 is bent even to a complicated shape by adjusting the direction in which thejoystick 203 is rotated and the amount of rotation thereof.
  • As described above, in the embodiment, since the manipulation wires are disposed in the respective bending pieces, it is possible to independently rotate only an arbitrary bending piece. Accordingly, in the embodiment, since the bending mechanism has a plurality of degrees of freedom, a work can be easily executed even in a narrow region such as a body cavity.
  • In more detail, in the embodiment, since the bendingpieces 51, 52, 53, 54 can be independently rotated (bend), the bendingportion 46 can be partially bent also in a different direction. Thus, in the embodiment, the bendingportion 46 can be bend into an appropriate shape according to a state of use. As a result, since the degree of freedom of bending of the bendingportion 46 is increased, it is possible in the embodiment to easily execute even a complex work in a narrow body cavity region as compared with a case in which the bendingportion 46 is uniformly bend. Further, in the embodiment, since the attitude of the bendingportion 46 can be easily bent so that it does not disturb another surgical instrument or observation with theendoscope 2, the workability of thesurgical instrument 40 can be increased.
  • Since the positions of the guide sheaths are determined in the bendingportion 46, the embodiment can prevent the interference between the contained members including the guide sheaths. Further, the manipulation wires inserted into the guide sheaths are prevented from being in direct contact with the other manipulation wires or the contained members thanks to the guide sheaths. As a result, the embodiment can reduce the interference between the manipulation wires and the interference between the manipulation wires and the contained members.
  • Further, in the embodiment, the manipulation wire connected to the bending piece disposed in the base end side is disposed inwards of the manipulation wire connected to the bending piece disposed in the extreme end side. Accordingly, the embodiment can easily secure the space inwards of the bending piece disposed in the extreme end side. Thus, the embodiment can easily assemble, for example, the surgical function unit (for example, grip forceps 48) and the like to the space.
  • To explain in detail, the embodiment disposes the manipulation wire for rotating the bending piece disposed in the extreme end side and the guide sheath for guiding the manipulation wire inwards of the manipulation wire for rotating the bending piece disposed in the base end side and the guide sheath for guiding the manipulation wire. With this configuration, the embodiment can easily secure the space S in the central region (inside) in the bending piece disposed in the extreme end side. Accordingly, the embodiment can easily assemble, for example, surgical function parts and the like to the space S.
  • Since the embodiment compactly disposes the manipulation wire connected to the bending piece disposed in the base end side and the manipulation wire connected to the bending piece disposed in the extreme end side, even if the number of the manipulation wires increases, the embodiment can prevent the manipulation wires from being entangled with each other. Further, since the embodiment can compactly dispose the plurality of the manipulation wires, it can reduce the diameter of the bending mechanism.
  • To explain in detail, in the embodiment, themanipulation wires 56, 57, 58, 59 can be disposed without being entangled with each other even though they pass through thenarrow bending portion 46, and further themanipulation wires 56, 57, 58 can be disposed compactly. In other words, since the embodiment can prevent themanipulation wires 56, 57, 58 from being entangled with each other in the bendingportion 46 and reduce occurrence of interference between the manipulation wires, it can smoothly execute a bending manipulation. Further, in the embodiment, since an allowance for disposing other contained member in the bendingportion 46 can be made, the diameter of the bendingportion 46 can be reduced.
  • Further, in the embodiment, a guide sheath, which guides a manipulation wire for rotating a bending piece, is connected to a bending piece located just behind the above bending piece (on the base end side). Thus, the embodiment can maximize the efficacy of the wire guide function achieved by the guide sheath. Further, the region in which the manipulation wires are separately exposed can be reduced. Accordingly, the embodiment can avoid any reduction in the wire guide functionality. Further, when, for example, theinsertion portion 42 itself is twisted, the embodiment can alleviate the effect of the twist on the wire guide function of the guide sheaths.
  • Further, in the embodiment, the guide sheaths may be formed of an intimately wound metal coil. With this configuration, the embodiment can sufficiently withstand any abrupt rotating and bending actions of the bending pieces.
  • Next, a modification of the positioning/disposing means of the embodiment described above will be explained with reference toFIGS. 10A and 10B.
  • In the modification, no wire guide is used, and guide sheaths are directly positioned and fixed to bending pieces. As shown in, for example,FIG. 10A, holes 124 are formed in the right/left inner wall portions of thesecond bending piece 52 to flow, for example, a brazing alloy thereinto. The extreme end of theguide sheath 66a is fixed to the right inner wall portion of thesecond bending piece 52 by the brazing alloy or the like flowed into thehole 124 formed in the right inner wall portion of thesecond bending piece 52. The extreme end of theguide sheath 66b is fixed to the left inner wall portion of thesecond bending piece 52 by the brazing alloy or the like flowed into thehole 124 formed in the left inner wall portion of thesecond bending piece 52. As described above, thesecond bending piece 52 plays a role as positioning/disposing means for positioning and disposing themanipulation wires 56a, 56b and theguide sheaths 66a, 66b.
  • Further, as shown in, for example,FIG. 10B, the upperinner wall portion 127a and the lowerinner wall portion 127b of thethird bending piece 53 are recessed toward the inside of thethird bending piece 53.Holes 124 are formed in the upperinner wall portion 127a and the lowerinner wall portion 127b. The extreme end of theguide sheath 67a is fixed to the upperinner wall portion 127a by a brazing alloy or the like flowed into thehole 124 formed in the upperinner wall portion 127a. The extreme end of theguide sheath 67b is fixed to the lowerinner wall portion 127b by a brazing alloy or the like flowed into thehole 124 formed in the lowerinner wall portion 127b. As described above, thethird bending piece 53 plays a role as positioning/disposing means for positioning and disposing themanipulation wires 57a, 57b and theguide sheaths 67a, 67b.
  • As described above, since no wire guide is necessary in the modification, a configuration can be simplified and made small and a manufacturing cost can be reduced.
  • Next, another embodiment of the present invention will be explained, with reference toFIGS. 11 and12. The overall configuration of an endoscope apparatus system in this embodiment is approximately the same as that of the above-described embodiment. However, a motor unit of asurgical instrument 40 is additionally provided with amechanism 131 for rotating a bendingportion 46 around the axis of aninsertion portion 42 and amechanism 132 for advancing the bendingportion 46 in the axial direction of theinsertion portion 42 in parallel therewith. Further, at least four joints are disposed in the bendingportion 46. With this configuration, the position and the attitude of theextreme end portion 47 are arbitrarily controlled. Further, the movement of thesurgical instrument 40 corresponds to that of amanipulation input unit 140. A joystick type manipulation input unit having an advancing, retreating, and rotating joint structure is used as themanipulation input unit 140.
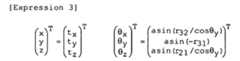
  • A coordinate system is set as shown inFIG. 11. The coordinate system uses abase end portion 141 of themanipulation input unit 140 as a reference and corresponds to thesurgical instrument 40. In the coordinate system, the joint J1 moves forward and rearward, the joint J2 rotates in an axial direction, the joints J3, J5 are bent about a Y-axis, and the joints J4, J6 are bent about an X-axis. The rotation angles of the joints J2 to J6 are shown by θ2 to θ6, respectively. The lengths of respective rods are shown by L1 to L5 and the length of an extreme end rod is shown by L6. Thus, conversion matrices in the respective joints J1, J2, J3, J4, J5, J6 are shown byExpression 1 from the kinematics of the manipulator (surgical instrument 40).Joint J1:T01=10000100001-L10001Joint J2:T12=cosθ2-sinθ200sinθ2cosθ200001-L20001Joint J3:T23=cosθ30sinθ3-L3sinθ30100sinθ30cosθ3-L3cosθ30001Joint J4:T34=10000cosθ4-sinθ4-L4sinθ40sinθ4cosθ4-L4cosθ40001Joint J5:T45=cosθ50sinθ5-L5sinθ50100sinθ50cosθ5-L5cosθ50001Joint J6:T56=10000cosθ6-sinθ6-L6sinθ60sinθ6cosθ6-L6cosθ60001
    Figure imgb0001
  • Accordingly, a homogeneous conversion matrix is shown byExpression 2.T06=T01T12T23T34T45T56=r11r12r13txr21r22r23tyr31r32r33tz0001
    Figure imgb0002
  • Since the coordinate system uses thebase end portion 141 as the reference, the position (x, y, z) and the attitude (θx, θy, θz) of the extreme end portion of themanipulation input unit 140 are determined byExpression 3.xyzT=txtytzTθxθyθzT=asinr32/cosθyasin-r31asinr21/cosθyT
    Figure imgb0003
  • The configuration of thesurgical instrument 40 is different from that of themanipulation input unit 140. Accordingly, to operate thesurgical instrument 40 by operating themanipulation input unit 140, it is necessary to match the position and the attitude of thesurgical instrument 40 with those of themanipulation input unit 140. For this purpose, the rotation angles and the amounts of parallel (forward and rearward) movement of the respective joints of thesurgical instrument 40 must be determined.
  • As described above, the movement of thesurgical instrument 40 corresponds to that of themanipulation input unit 140. Accordingly, the position and the attitude of thesurgical instrument 40 are determined by those of themanipulation input unit 140. Assuming that the configuration of thesurgical instrument 40 is known, the rotation angles and the amounts of parallel movement of the respective configurations of thesurgical instrument 40 can be determined by inverse kinematics. Inverse kinematics is a method of estimating the specific values of the joints (angles and the like thereof) from the position/attitude information of the manipulator (surgical instrument 40) in a working space. The joint parameter Φ of therespective joints 1, 2, ..., n are shown byExpression 4.Φ=θ1θ2θnT
    Figure imgb0004
  • The position and the attitude of the manipulator are shown byExpression 5.Ep=xEpyEpzEpRollEpyawEpPitchEpT
    Figure imgb0005
  • Thus, the relation thereof is shown byExpression 6.Ep=AΦ
    Figure imgb0006
  • Here, the target P of the position and the attitude of the manipulator is shown byExpression 7.Pp=xPpyPpzPpRollPpyawPpPitchPpT
    Figure imgb0007
  • To place the manipulator in a Pp state, Φ must be determined to satisfyExpression 8.Pp=AΦ
    Figure imgb0008
  • However, since these expressions are non-linear, ordinarily, Jacobian matrix J(Φ) is determined by subjecting Ep to partial differentiation by the factor of Φ to determine Φ.JΦ=/dθ1dxep/dθ2dxep/dθndxep/dθ1dyep/dθ2dyep/dθndyep/dθ1dzep/dθ2dzep/dθndzep/dθ1dRollep/dθ2dRollep/dθndRollep/dθ1dYawep/dθ2dYawep/dθndYawep/dθ1dPitchep/dθ2dPitchep/dθndPitchep
    Figure imgb0009
  • Expression 11 is determined fromExpression 10.Φ˙=JΦ-1E˙p
    Figure imgb0010
    Pp=AΦ
    Figure imgb0011
  • Then, Φ that satisfiesExpression 11 is determined by a convergence calculation.
  • As a result, according to the embodiment, even when the configuration of themanipulation input unit 140 is different from that of thesurgical instrument 40, the extreme end of thesurgical instrument 40 can be moved to an arbitrary position and an arbitrary attitude from the position and the attitude of themanipulation input unit 140, and an affected area can be cut out and exfoliated more easily than ever before.
  • The present invention can be also applied to a bending portion of an endoscope. The present invention can be applied to, for example, the bending mechanism of the bending portion in the insertion portion of the endoscope according to the embodiment described above. Further, the surgical instrument also includes a surgical catheter.
  • Note that, in the explanation of the embodiment described above, the numerals of the bending pieces, the manipulation wires, the guide sheaths, and the wire guides are used to explain the embodiment and do not always agree with the numerals described in the claims. For example, there are cases where a first bending piece in the claim is the second bending piece in the embodiment, and a second bending piece in the claim is the third bending piece in the embodiment.

Claims (5)

  1. A multijointed bending mechanism comprising: an insertion portion (42) with:
    a first bending piece (51);
    a second bending piece (52) connected to the first bending piece (51) so as to be rotatable around a first rotation shaft (61);
    a third bending piece (53) connected to the second bending piece (52) so as to be rotatable around a second rotation shaft (62);
    at least two first wires (56a, 56b) connected to the first bending piece (51) to rotate the first bending piece (51); and
    at least two second wires (57a, 57b) connected to the second bending piece (52) to rotate the second bending piece (52),
    characterized in that
    the second wires (57a, 57b) are disposed inwards of the first wires (56a, 56b) with respect to the center axis (L) of the insertion portion (42).
  2. The multijointed bending mechanism according to claim 1,characterized by further comprising positioning/disposing means (71) disposed in the second bending piece (52) for executing positioning so that the second wires (57a, 57b) are disposed inwards of the first wires (56a, 56b).
  3. The multijointed bending mechanism according to claim 1,characterized by further comprising:
    a first elastic member (66a, 66b) connected to the second bending piece (52) to guide the first wires (56a, 56b); and
    a second elastic member (67a, 67b) connected to the third bending piece (53) to guide the second wires (57a, 57b).
  4. The multijointed bending mechanism according to claim 3,characterized by further comprising positioning/disposing means (71) disposed in the second bending piece for executing positioning so that the second wires (57a, 57b) are disposed inwards of the first wires (56a, 56b).
  5. A multijointed medical equipment comprising the multijointed bending mechanism according to claim 1.
EP07850728.2A2007-03-292007-12-17Articulated bending mechanism and articulated medical device with articulated bending mechanismNot-in-forceEP2130478B1 (en)

Applications Claiming Priority (2)

Application NumberPriority DateFiling DateTitle
JP2007086483AJP5197980B2 (en)2007-03-292007-03-29 Multi-joint bending mechanism and medical device with multi-joint bending mechanism
PCT/JP2007/074240WO2008120423A1 (en)2007-03-292007-12-17Articulated bending mechanism and articulated medical device with articulated bending mechanism

Publications (3)

Publication NumberPublication Date
EP2130478A1 EP2130478A1 (en)2009-12-09
EP2130478A4 EP2130478A4 (en)2012-06-06
EP2130478B1true EP2130478B1 (en)2013-07-31

Family

ID=39808011

Family Applications (1)

Application NumberTitlePriority DateFiling Date
EP07850728.2ANot-in-forceEP2130478B1 (en)2007-03-292007-12-17Articulated bending mechanism and articulated medical device with articulated bending mechanism

Country Status (5)

CountryLink
US (1)US8821388B2 (en)
EP (1)EP2130478B1 (en)
JP (1)JP5197980B2 (en)
CN (1)CN101610710B (en)
WO (1)WO2008120423A1 (en)

Cited By (1)

* Cited by examiner, † Cited by third party
Publication numberPriority datePublication dateAssigneeTitle
EP3813634A4 (en)*2018-09-262022-04-06Auris Health, Inc. ARTICULATING MEDICAL INSTRUMENTS

Families Citing this family (135)

* Cited by examiner, † Cited by third party
Publication numberPriority datePublication dateAssigneeTitle
US11229472B2 (en)2001-06-122022-01-25Cilag Gmbh InternationalModular battery powered handheld surgical instrument with multiple magnetic position sensors
US8182501B2 (en)2004-02-272012-05-22Ethicon Endo-Surgery, Inc.Ultrasonic surgical shears and method for sealing a blood vessel using same
US20060079879A1 (en)2004-10-082006-04-13Faller Craig NActuation mechanism for use with an ultrasonic surgical instrument
US20070191713A1 (en)2005-10-142007-08-16Eichmann Stephen EUltrasonic device for cutting and coagulating
US7621930B2 (en)2006-01-202009-11-24Ethicon Endo-Surgery, Inc.Ultrasound medical instrument having a medical ultrasonic blade
US8911460B2 (en)2007-03-222014-12-16Ethicon Endo-Surgery, Inc.Ultrasonic surgical instruments
US8142461B2 (en)2007-03-222012-03-27Ethicon Endo-Surgery, Inc.Surgical instruments
US8057498B2 (en)2007-11-302011-11-15Ethicon Endo-Surgery, Inc.Ultrasonic surgical instrument blades
US8523889B2 (en)2007-07-272013-09-03Ethicon Endo-Surgery, Inc.Ultrasonic end effectors with increased active length
US8808319B2 (en)2007-07-272014-08-19Ethicon Endo-Surgery, Inc.Surgical instruments
US8430898B2 (en)2007-07-312013-04-30Ethicon Endo-Surgery, Inc.Ultrasonic surgical instruments
US8512365B2 (en)2007-07-312013-08-20Ethicon Endo-Surgery, Inc.Surgical instruments
US9044261B2 (en)2007-07-312015-06-02Ethicon Endo-Surgery, Inc.Temperature controlled ultrasonic surgical instruments
EP2217157A2 (en)2007-10-052010-08-18Ethicon Endo-Surgery, Inc.Ergonomic surgical instruments
US10010339B2 (en)2007-11-302018-07-03Ethicon LlcUltrasonic surgical blades
US9089360B2 (en)2008-08-062015-07-28Ethicon Endo-Surgery, Inc.Devices and techniques for cutting and coagulating tissue
US9700339B2 (en)2009-05-202017-07-11Ethicon Endo-Surgery, Inc.Coupling arrangements and methods for attaching tools to ultrasonic surgical instruments
US8663220B2 (en)2009-07-152014-03-04Ethicon Endo-Surgery, Inc.Ultrasonic surgical instruments
US9474540B2 (en)*2009-10-082016-10-25Ethicon-Endo-Surgery, Inc.Laparoscopic device with compound angulation
US11090104B2 (en)2009-10-092021-08-17Cilag Gmbh InternationalSurgical generator for ultrasonic and electrosurgical devices
US9050093B2 (en)2009-10-092015-06-09Ethicon Endo-Surgery, Inc.Surgical generator for ultrasonic and electrosurgical devices
US10441345B2 (en)2009-10-092019-10-15Ethicon LlcSurgical generator for ultrasonic and electrosurgical devices
GB0920938D0 (en)*2009-11-302010-01-13Imp Innovations LtdSteerable probes
US8469981B2 (en)2010-02-112013-06-25Ethicon Endo-Surgery, Inc.Rotatable cutting implement arrangements for ultrasonic surgical instruments
US8951272B2 (en)2010-02-112015-02-10Ethicon Endo-Surgery, Inc.Seal arrangements for ultrasonically powered surgical instruments
US8486096B2 (en)2010-02-112013-07-16Ethicon Endo-Surgery, Inc.Dual purpose surgical instrument for cutting and coagulating tissue
WO2011111258A1 (en)*2010-03-082011-09-15オリンパスメディカルシステムズ株式会社Medical device with multiple curving sections
US9226760B2 (en)2010-05-072016-01-05Ethicon Endo-Surgery, Inc.Laparoscopic devices with flexible actuation mechanisms
US8562592B2 (en)2010-05-072013-10-22Ethicon Endo-Surgery, Inc.Compound angle laparoscopic methods and devices
JP5059231B2 (en)*2010-05-182012-10-24オリンパスメディカルシステムズ株式会社 Medical equipment
US8795327B2 (en)2010-07-222014-08-05Ethicon Endo-Surgery, Inc.Electrosurgical instrument with separate closure and cutting members
US9192431B2 (en)2010-07-232015-11-24Ethicon Endo-Surgery, Inc.Electrosurgical cutting and sealing instrument
CN102740201A (en)*2011-04-012012-10-17宏达国际电子股份有限公司Electronic device
US9259265B2 (en)2011-07-222016-02-16Ethicon Endo-Surgery, LlcSurgical instruments for tensioning tissue
US9226741B2 (en)*2012-01-092016-01-05Covidien LpTriangulation methods with hollow segments
WO2013119545A1 (en)2012-02-102013-08-15Ethicon-Endo Surgery, Inc.Robotically controlled surgical instrument
US9439668B2 (en)2012-04-092016-09-13Ethicon Endo-Surgery, LlcSwitch arrangements for ultrasonic surgical instruments
US20140005705A1 (en)2012-06-292014-01-02Ethicon Endo-Surgery, Inc.Surgical instruments with articulating shafts
US9326788B2 (en)2012-06-292016-05-03Ethicon Endo-Surgery, LlcLockout mechanism for use with robotic electrosurgical device
US9393037B2 (en)2012-06-292016-07-19Ethicon Endo-Surgery, LlcSurgical instruments with articulating shafts
US9820768B2 (en)2012-06-292017-11-21Ethicon LlcUltrasonic surgical instruments with control mechanisms
US9198714B2 (en)2012-06-292015-12-01Ethicon Endo-Surgery, Inc.Haptic feedback devices for surgical robot
US9408622B2 (en)2012-06-292016-08-09Ethicon Endo-Surgery, LlcSurgical instruments with articulating shafts
US9226767B2 (en)2012-06-292016-01-05Ethicon Endo-Surgery, Inc.Closed feedback control for electrosurgical device
US9351754B2 (en)2012-06-292016-05-31Ethicon Endo-Surgery, LlcUltrasonic surgical instruments with distally positioned jaw assemblies
US20140005702A1 (en)*2012-06-292014-01-02Ethicon Endo-Surgery, Inc.Ultrasonic surgical instruments with distally positioned transducers
EP2900158B1 (en)2012-09-282020-04-15Ethicon LLCMulti-function bi-polar forceps
US9095367B2 (en)2012-10-222015-08-04Ethicon Endo-Surgery, Inc.Flexible harmonic waveguides/blades for surgical instruments
US20140135804A1 (en)2012-11-152014-05-15Ethicon Endo-Surgery, Inc.Ultrasonic and electrosurgical devices
US10226273B2 (en)2013-03-142019-03-12Ethicon LlcMechanical fasteners for use with surgical energy devices
JP6137976B2 (en)2013-07-252017-05-31オリンパス株式会社 Manipulator system
US9814514B2 (en)2013-09-132017-11-14Ethicon LlcElectrosurgical (RF) medical instruments for cutting and coagulating tissue
US9265926B2 (en)2013-11-082016-02-23Ethicon Endo-Surgery, LlcElectrosurgical devices
GB2521229A (en)2013-12-162015-06-17Ethicon Endo Surgery IncMedical device
GB2521228A (en)2013-12-162015-06-17Ethicon Endo Surgery IncMedical device
CN103698882B (en)*2013-12-232017-02-01深圳开立生物医疗科技股份有限公司Connecting structure of insertion hose and elbow part and endoscope
US9795436B2 (en)2014-01-072017-10-24Ethicon LlcHarvesting energy from a surgical generator
JP6129087B2 (en)2014-01-142017-05-17オリンパス株式会社 Joint mechanism, manipulator and manipulator system
US9554854B2 (en)2014-03-182017-01-31Ethicon Endo-Surgery, LlcDetecting short circuits in electrosurgical medical devices
US10092310B2 (en)2014-03-272018-10-09Ethicon LlcElectrosurgical devices
US10463421B2 (en)2014-03-272019-11-05Ethicon LlcTwo stage trigger, clamp and cut bipolar vessel sealer
US9737355B2 (en)2014-03-312017-08-22Ethicon LlcControlling impedance rise in electrosurgical medical devices
US9913680B2 (en)2014-04-152018-03-13Ethicon LlcSoftware algorithms for electrosurgical instruments
DE102014009893B4 (en)*2014-07-042016-04-28gomtec GmbH End effector for an instrument
US10285724B2 (en)2014-07-312019-05-14Ethicon LlcActuation mechanisms and load adjustment assemblies for surgical instruments
US10639092B2 (en)2014-12-082020-05-05Ethicon LlcElectrode configurations for surgical instruments
US10245095B2 (en)2015-02-062019-04-02Ethicon LlcElectrosurgical instrument with rotation and articulation mechanisms
US10342602B2 (en)2015-03-172019-07-09Ethicon LlcManaging tissue treatment
US10321950B2 (en)2015-03-172019-06-18Ethicon LlcManaging tissue treatment
CN104688329B (en)*2015-03-202017-03-08首都医科大学附属北京友谊医院The Minimally Invasive Surgery wrist end effector mechanism that marmem drives
US10595929B2 (en)2015-03-242020-03-24Ethicon LlcSurgical instruments with firing system overload protection mechanisms
US11020140B2 (en)2015-06-172021-06-01Cilag Gmbh InternationalUltrasonic surgical blade for use with ultrasonic surgical instruments
US11129669B2 (en)2015-06-302021-09-28Cilag Gmbh InternationalSurgical system with user adaptable techniques based on tissue type
US10898256B2 (en)2015-06-302021-01-26Ethicon LlcSurgical system with user adaptable techniques based on tissue impedance
US11141213B2 (en)2015-06-302021-10-12Cilag Gmbh InternationalSurgical instrument with user adaptable techniques
US10357303B2 (en)2015-06-302019-07-23Ethicon LlcTranslatable outer tube for sealing using shielded lap chole dissector
US11051873B2 (en)2015-06-302021-07-06Cilag Gmbh InternationalSurgical system with user adaptable techniques employing multiple energy modalities based on tissue parameters
US10034704B2 (en)2015-06-302018-07-31Ethicon LlcSurgical instrument with user adaptable algorithms
US10154852B2 (en)2015-07-012018-12-18Ethicon LlcUltrasonic surgical blade with improved cutting and coagulation features
US10194973B2 (en)2015-09-302019-02-05Ethicon LlcGenerator for digitally generating electrical signal waveforms for electrosurgical and ultrasonic surgical instruments
US10595930B2 (en)2015-10-162020-03-24Ethicon LlcElectrode wiping surgical device
US10179022B2 (en)2015-12-302019-01-15Ethicon LlcJaw position impedance limiter for electrosurgical instrument
US10575892B2 (en)2015-12-312020-03-03Ethicon LlcAdapter for electrical surgical instruments
US10716615B2 (en)2016-01-152020-07-21Ethicon LlcModular battery powered handheld surgical instrument with curved end effectors having asymmetric engagement between jaw and blade
US11129670B2 (en)2016-01-152021-09-28Cilag Gmbh InternationalModular battery powered handheld surgical instrument with selective application of energy based on button displacement, intensity, or local tissue characterization
US11229471B2 (en)2016-01-152022-01-25Cilag Gmbh InternationalModular battery powered handheld surgical instrument with selective application of energy based on tissue characterization
US11051840B2 (en)2016-01-152021-07-06Ethicon LlcModular battery powered handheld surgical instrument with reusable asymmetric handle housing
US12193698B2 (en)2016-01-152025-01-14Cilag Gmbh InternationalMethod for self-diagnosing operation of a control switch in a surgical instrument system
US10555769B2 (en)2016-02-222020-02-11Ethicon LlcFlexible circuits for electrosurgical instrument
US10646269B2 (en)2016-04-292020-05-12Ethicon LlcNon-linear jaw gap for electrosurgical instruments
US10485607B2 (en)2016-04-292019-11-26Ethicon LlcJaw structure with distal closure for electrosurgical instruments
US10702329B2 (en)2016-04-292020-07-07Ethicon LlcJaw structure with distal post for electrosurgical instruments
US10456193B2 (en)2016-05-032019-10-29Ethicon LlcMedical device with a bilateral jaw configuration for nerve stimulation
US10245064B2 (en)2016-07-122019-04-02Ethicon LlcUltrasonic surgical instrument with piezoelectric central lumen transducer
US10893883B2 (en)2016-07-132021-01-19Ethicon LlcUltrasonic assembly for use with ultrasonic surgical instruments
US10842522B2 (en)2016-07-152020-11-24Ethicon LlcUltrasonic surgical instruments having offset blades
DE102016113498A1 (en)*2016-07-212018-01-25Karl Storz Gmbh & Co. Kg Adaptive laryngoscope and adaptive spatula for a laryngoscope
US10376305B2 (en)2016-08-052019-08-13Ethicon LlcMethods and systems for advanced harmonic energy
US10285723B2 (en)2016-08-092019-05-14Ethicon LlcUltrasonic surgical blade with improved heel portion
JP6349041B1 (en)*2016-08-102018-06-27オリンパス株式会社 Curved tube and endoscope
USD847990S1 (en)2016-08-162019-05-07Ethicon LlcSurgical instrument
US10736649B2 (en)2016-08-252020-08-11Ethicon LlcElectrical and thermal connections for ultrasonic transducer
US10952759B2 (en)2016-08-252021-03-23Ethicon LlcTissue loading of a surgical instrument
US10603064B2 (en)2016-11-282020-03-31Ethicon LlcUltrasonic transducer
US11266430B2 (en)2016-11-292022-03-08Cilag Gmbh InternationalEnd effector control and calibration
JP7039174B2 (en)*2017-02-282022-03-22キヤノン株式会社 Wire drive manipulator
US10820920B2 (en)2017-07-052020-11-03Ethicon LlcReusable ultrasonic medical devices and methods of their use
US11452525B2 (en)2019-12-302022-09-27Cilag Gmbh InternationalSurgical instrument comprising an adjustment system
US11812957B2 (en)2019-12-302023-11-14Cilag Gmbh InternationalSurgical instrument comprising a signal interference resolution system
US11786291B2 (en)2019-12-302023-10-17Cilag Gmbh InternationalDeflectable support of RF energy electrode with respect to opposing ultrasonic blade
US11950797B2 (en)2019-12-302024-04-09Cilag Gmbh InternationalDeflectable electrode with higher distal bias relative to proximal bias
US12262937B2 (en)2019-12-302025-04-01Cilag Gmbh InternationalUser interface for surgical instrument with combination energy modality end-effector
US11779329B2 (en)2019-12-302023-10-10Cilag Gmbh InternationalSurgical instrument comprising a flex circuit including a sensor system
US11786294B2 (en)2019-12-302023-10-17Cilag Gmbh InternationalControl program for modular combination energy device
US12064109B2 (en)2019-12-302024-08-20Cilag Gmbh InternationalSurgical instrument comprising a feedback control circuit
US12343063B2 (en)2019-12-302025-07-01Cilag Gmbh InternationalMulti-layer clamp arm pad for enhanced versatility and performance of a surgical device
US11660089B2 (en)2019-12-302023-05-30Cilag Gmbh InternationalSurgical instrument comprising a sensing system
US11911063B2 (en)2019-12-302024-02-27Cilag Gmbh InternationalTechniques for detecting ultrasonic blade to electrode contact and reducing power to ultrasonic blade
US11696776B2 (en)*2019-12-302023-07-11Cilag Gmbh InternationalArticulatable surgical instrument
US12114912B2 (en)2019-12-302024-10-15Cilag Gmbh InternationalNon-biased deflectable electrode to minimize contact between ultrasonic blade and electrode
US20210196357A1 (en)2019-12-302021-07-01Ethicon LlcElectrosurgical instrument with asynchronous energizing electrodes
US12082808B2 (en)2019-12-302024-09-10Cilag Gmbh InternationalSurgical instrument comprising a control system responsive to software configurations
US12023086B2 (en)2019-12-302024-07-02Cilag Gmbh InternationalElectrosurgical instrument for delivering blended energy modalities to tissue
US11779387B2 (en)2019-12-302023-10-10Cilag Gmbh InternationalClamp arm jaw to minimize tissue sticking and improve tissue control
US11684412B2 (en)2019-12-302023-06-27Cilag Gmbh InternationalSurgical instrument with rotatable and articulatable surgical end effector
US11937863B2 (en)2019-12-302024-03-26Cilag Gmbh InternationalDeflectable electrode with variable compression bias along the length of the deflectable electrode
US12053224B2 (en)2019-12-302024-08-06Cilag Gmbh InternationalVariation in electrode parameters and deflectable electrode to modify energy density and tissue interaction
US11986201B2 (en)2019-12-302024-05-21Cilag Gmbh InternationalMethod for operating a surgical instrument
US12336747B2 (en)2019-12-302025-06-24Cilag Gmbh InternationalMethod of operating a combination ultrasonic / bipolar RF surgical device with a combination energy modality end-effector
US11937866B2 (en)2019-12-302024-03-26Cilag Gmbh InternationalMethod for an electrosurgical procedure
US20210196362A1 (en)2019-12-302021-07-01Ethicon LlcElectrosurgical end effectors with thermally insulative and thermally conductive portions
US11944366B2 (en)2019-12-302024-04-02Cilag Gmbh InternationalAsymmetric segmented ultrasonic support pad for cooperative engagement with a movable RF electrode
US12076006B2 (en)2019-12-302024-09-03Cilag Gmbh InternationalSurgical instrument comprising an orientation detection system
FR3106266B1 (en)*2020-01-172022-07-01Axess Vision Tech Die cut bending structure for medical device
CN111957850A (en)*2020-07-312020-11-20高邮市新潮自动化机械有限公司Automatic bending machine for tray frame

Family Cites Families (12)

* Cited by examiner, † Cited by third party
Publication numberPriority datePublication dateAssigneeTitle
JPS4712398B1 (en)*1967-04-201972-04-17
US4686963A (en)*1986-03-051987-08-18Circon CorporationTorsion resistant vertebrated probe of simple construction
JP2987452B2 (en)*1990-05-171999-12-06オリンパス光学工業株式会社 Endoscope
JPH0817768B2 (en)*1990-11-061996-02-28富士写真光機株式会社 Endoscope
JPH06105797A (en)1992-09-291994-04-19Olympus Optical Co LtdCurving device
JPH06114000A (en)1992-09-301994-04-26Olympus Optical Co LtdMedical manipulator
JP2002078674A (en)*2000-09-082002-03-19Fuji Photo Optical Co LtdCurved surface structure of endoscope
JP2003126024A (en)2001-10-232003-05-07Olympus Optical Co LtdEndoscope
JP2003220022A (en)*2002-01-282003-08-05Olympus Optical Co LtdEndoscope
JP4170930B2 (en)2004-02-262008-10-22独立行政法人科学技術振興機構 Anisotropic phase-separated bimetallic nanoparticles and production method thereof
JP4712398B2 (en)2005-01-172011-06-29ローム株式会社 Semiconductor device
JP2007054400A (en)2005-08-252007-03-08Olympus Medical Systems Corp Endoscope

Cited By (2)

* Cited by examiner, † Cited by third party
Publication numberPriority datePublication dateAssigneeTitle
EP3813634A4 (en)*2018-09-262022-04-06Auris Health, Inc. ARTICULATING MEDICAL INSTRUMENTS
US11779421B2 (en)2018-09-262023-10-10Auris Health, Inc.Articulating medical instruments

Also Published As

Publication numberPublication date
EP2130478A1 (en)2009-12-09
WO2008120423A1 (en)2008-10-09
US20090326325A1 (en)2009-12-31
US8821388B2 (en)2014-09-02
JP2008237811A (en)2008-10-09
CN101610710A (en)2009-12-23
CN101610710B (en)2011-03-16
EP2130478A4 (en)2012-06-06
JP5197980B2 (en)2013-05-15

Similar Documents

PublicationPublication DateTitle
EP2130478B1 (en)Articulated bending mechanism and articulated medical device with articulated bending mechanism
EP2130504A1 (en)Articulated bending mechanism and articulated medical device with articulated bending mechanism
EP2127591A1 (en)Articulated bending mechanism and articulated medicaldevice with articulated bending mechanism
US8282543B2 (en)Surgical instrument and endoscope surgical system having surgical instrument
JP7141500B2 (en) surgical robot
CN110234293B (en)Surgical device
US9393000B2 (en)Jointed link structures exhibiting preferential bending, and related methods
JP2020192376A (en) Surgical equipment
US20230172680A1 (en)Medical instrument having single input for driving multiple cables
CN101616636A (en) endoscopic device
JP6404537B1 (en) Medical treatment tool
KR20240158914A (en) Medical Device Wrist
US20110178367A1 (en)Endoscopic device with end effector mechanism
US20230310807A1 (en)Instrument with a counter-pivoting mechanism
US20250120780A1 (en)Mechanical advantage devices for medical devices
Ying et al.Flexible steerable manipulator utilizing complementary configuration of multiple routing grooves and ball joints for stable omnidirectional bending
WO2025085388A1 (en)Rotary to linear force articulation members for surgical instruments
CN119257748A (en) A surgical robot and a control method

Legal Events

DateCodeTitleDescription
PUAIPublic reference made under article 153(3) epc to a published international application that has entered the european phase

Free format text:ORIGINAL CODE: 0009012

17PRequest for examination filed

Effective date:20090909

AKDesignated contracting states

Kind code of ref document:A1

Designated state(s):AT BE BG CH CY CZ DE DK EE ES FI FR GB GR HU IE IS IT LI LT LU LV MC MT NL PL PT RO SE SI SK TR

DAXRequest for extension of the european patent (deleted)
A4Supplementary search report drawn up and despatched

Effective date:20120508

RIC1Information provided on ipc code assigned before grant

Ipc:A61B 1/00 20060101AFI20120503BHEP

GRAPDespatch of communication of intention to grant a patent

Free format text:ORIGINAL CODE: EPIDOSNIGR1

GRASGrant fee paid

Free format text:ORIGINAL CODE: EPIDOSNIGR3

GRAA(expected) grant

Free format text:ORIGINAL CODE: 0009210

AKDesignated contracting states

Kind code of ref document:B1

Designated state(s):AT BE BG CH CY CZ DE DK EE ES FI FR GB GR HU IE IS IT LI LT LU LV MC MT NL PL PT RO SE SI SK TR

REGReference to a national code

Ref country code:GB

Ref legal event code:FG4D

Ref country code:CH

Ref legal event code:EP

REGReference to a national code

Ref country code:AT

Ref legal event code:REF

Ref document number:624126

Country of ref document:AT

Kind code of ref document:T

Effective date:20130815

REGReference to a national code

Ref country code:IE

Ref legal event code:FG4D

REGReference to a national code

Ref country code:DE

Ref legal event code:R096

Ref document number:602007032041

Country of ref document:DE

Effective date:20130926

REGReference to a national code

Ref country code:AT

Ref legal event code:MK05

Ref document number:624126

Country of ref document:AT

Kind code of ref document:T

Effective date:20130731

REGReference to a national code

Ref country code:NL

Ref legal event code:VDEP

Effective date:20130731

REGReference to a national code

Ref country code:LT

Ref legal event code:MG4D

PG25Lapsed in a contracting state [announced via postgrant information from national office to epo]

Ref country code:SE

Free format text:LAPSE BECAUSE OF FAILURE TO SUBMIT A TRANSLATION OF THE DESCRIPTION OR TO PAY THE FEE WITHIN THE PRESCRIBED TIME-LIMIT

Effective date:20130731

Ref country code:CY

Free format text:LAPSE BECAUSE OF FAILURE TO SUBMIT A TRANSLATION OF THE DESCRIPTION OR TO PAY THE FEE WITHIN THE PRESCRIBED TIME-LIMIT

Effective date:20130814

Ref country code:IS

Free format text:LAPSE BECAUSE OF FAILURE TO SUBMIT A TRANSLATION OF THE DESCRIPTION OR TO PAY THE FEE WITHIN THE PRESCRIBED TIME-LIMIT

Effective date:20131130

Ref country code:AT

Free format text:LAPSE BECAUSE OF FAILURE TO SUBMIT A TRANSLATION OF THE DESCRIPTION OR TO PAY THE FEE WITHIN THE PRESCRIBED TIME-LIMIT

Effective date:20130731

Ref country code:BE

Free format text:LAPSE BECAUSE OF FAILURE TO SUBMIT A TRANSLATION OF THE DESCRIPTION OR TO PAY THE FEE WITHIN THE PRESCRIBED TIME-LIMIT

Effective date:20130731

Ref country code:PT

Free format text:LAPSE BECAUSE OF FAILURE TO SUBMIT A TRANSLATION OF THE DESCRIPTION OR TO PAY THE FEE WITHIN THE PRESCRIBED TIME-LIMIT

Effective date:20131202

Ref country code:LT

Free format text:LAPSE BECAUSE OF FAILURE TO SUBMIT A TRANSLATION OF THE DESCRIPTION OR TO PAY THE FEE WITHIN THE PRESCRIBED TIME-LIMIT

Effective date:20130731

PG25Lapsed in a contracting state [announced via postgrant information from national office to epo]

Ref country code:FI

Free format text:LAPSE BECAUSE OF FAILURE TO SUBMIT A TRANSLATION OF THE DESCRIPTION OR TO PAY THE FEE WITHIN THE PRESCRIBED TIME-LIMIT

Effective date:20130731

Ref country code:LV

Free format text:LAPSE BECAUSE OF FAILURE TO SUBMIT A TRANSLATION OF THE DESCRIPTION OR TO PAY THE FEE WITHIN THE PRESCRIBED TIME-LIMIT

Effective date:20130731

Ref country code:PL

Free format text:LAPSE BECAUSE OF FAILURE TO SUBMIT A TRANSLATION OF THE DESCRIPTION OR TO PAY THE FEE WITHIN THE PRESCRIBED TIME-LIMIT

Effective date:20130731

Ref country code:NL

Free format text:LAPSE BECAUSE OF FAILURE TO SUBMIT A TRANSLATION OF THE DESCRIPTION OR TO PAY THE FEE WITHIN THE PRESCRIBED TIME-LIMIT

Effective date:20130731

Ref country code:GR

Free format text:LAPSE BECAUSE OF FAILURE TO SUBMIT A TRANSLATION OF THE DESCRIPTION OR TO PAY THE FEE WITHIN THE PRESCRIBED TIME-LIMIT

Effective date:20131101

Ref country code:SI

Free format text:LAPSE BECAUSE OF FAILURE TO SUBMIT A TRANSLATION OF THE DESCRIPTION OR TO PAY THE FEE WITHIN THE PRESCRIBED TIME-LIMIT

Effective date:20130731

PG25Lapsed in a contracting state [announced via postgrant information from national office to epo]

Ref country code:CY

Free format text:LAPSE BECAUSE OF FAILURE TO SUBMIT A TRANSLATION OF THE DESCRIPTION OR TO PAY THE FEE WITHIN THE PRESCRIBED TIME-LIMIT

Effective date:20130731

PG25Lapsed in a contracting state [announced via postgrant information from national office to epo]

Ref country code:DK

Free format text:LAPSE BECAUSE OF FAILURE TO SUBMIT A TRANSLATION OF THE DESCRIPTION OR TO PAY THE FEE WITHIN THE PRESCRIBED TIME-LIMIT

Effective date:20130731

Ref country code:RO

Free format text:LAPSE BECAUSE OF FAILURE TO SUBMIT A TRANSLATION OF THE DESCRIPTION OR TO PAY THE FEE WITHIN THE PRESCRIBED TIME-LIMIT

Effective date:20130731

Ref country code:SK

Free format text:LAPSE BECAUSE OF FAILURE TO SUBMIT A TRANSLATION OF THE DESCRIPTION OR TO PAY THE FEE WITHIN THE PRESCRIBED TIME-LIMIT

Effective date:20130731

Ref country code:EE

Free format text:LAPSE BECAUSE OF FAILURE TO SUBMIT A TRANSLATION OF THE DESCRIPTION OR TO PAY THE FEE WITHIN THE PRESCRIBED TIME-LIMIT

Effective date:20130731

Ref country code:CZ

Free format text:LAPSE BECAUSE OF FAILURE TO SUBMIT A TRANSLATION OF THE DESCRIPTION OR TO PAY THE FEE WITHIN THE PRESCRIBED TIME-LIMIT

Effective date:20130731

PG25Lapsed in a contracting state [announced via postgrant information from national office to epo]

Ref country code:ES

Free format text:LAPSE BECAUSE OF FAILURE TO SUBMIT A TRANSLATION OF THE DESCRIPTION OR TO PAY THE FEE WITHIN THE PRESCRIBED TIME-LIMIT

Effective date:20130731

Ref country code:IT

Free format text:LAPSE BECAUSE OF FAILURE TO SUBMIT A TRANSLATION OF THE DESCRIPTION OR TO PAY THE FEE WITHIN THE PRESCRIBED TIME-LIMIT

Effective date:20130731

PLBENo opposition filed within time limit

Free format text:ORIGINAL CODE: 0009261

STAAInformation on the status of an ep patent application or granted ep patent

Free format text:STATUS: NO OPPOSITION FILED WITHIN TIME LIMIT

26NNo opposition filed

Effective date:20140502

REGReference to a national code

Ref country code:CH

Ref legal event code:PL

REGReference to a national code

Ref country code:DE

Ref legal event code:R097

Ref document number:602007032041

Country of ref document:DE

Effective date:20140502

GBPCGb: european patent ceased through non-payment of renewal fee

Effective date:20131217

PG25Lapsed in a contracting state [announced via postgrant information from national office to epo]

Ref country code:LU

Free format text:LAPSE BECAUSE OF FAILURE TO SUBMIT A TRANSLATION OF THE DESCRIPTION OR TO PAY THE FEE WITHIN THE PRESCRIBED TIME-LIMIT

Effective date:20131217

Ref country code:MC

Free format text:LAPSE BECAUSE OF FAILURE TO SUBMIT A TRANSLATION OF THE DESCRIPTION OR TO PAY THE FEE WITHIN THE PRESCRIBED TIME-LIMIT

Effective date:20130731

REGReference to a national code

Ref country code:IE

Ref legal event code:MM4A

REGReference to a national code

Ref country code:FR

Ref legal event code:ST

Effective date:20140829

PG25Lapsed in a contracting state [announced via postgrant information from national office to epo]

Ref country code:LI

Free format text:LAPSE BECAUSE OF NON-PAYMENT OF DUE FEES

Effective date:20131231

Ref country code:IE

Free format text:LAPSE BECAUSE OF NON-PAYMENT OF DUE FEES

Effective date:20131217

Ref country code:CH

Free format text:LAPSE BECAUSE OF NON-PAYMENT OF DUE FEES

Effective date:20131231

PG25Lapsed in a contracting state [announced via postgrant information from national office to epo]

Ref country code:GB

Free format text:LAPSE BECAUSE OF NON-PAYMENT OF DUE FEES

Effective date:20131217

Ref country code:FR

Free format text:LAPSE BECAUSE OF NON-PAYMENT OF DUE FEES

Effective date:20131231

PG25Lapsed in a contracting state [announced via postgrant information from national office to epo]

Ref country code:TR

Free format text:LAPSE BECAUSE OF FAILURE TO SUBMIT A TRANSLATION OF THE DESCRIPTION OR TO PAY THE FEE WITHIN THE PRESCRIBED TIME-LIMIT

Effective date:20130731

PG25Lapsed in a contracting state [announced via postgrant information from national office to epo]

Ref country code:BG

Free format text:LAPSE BECAUSE OF FAILURE TO SUBMIT A TRANSLATION OF THE DESCRIPTION OR TO PAY THE FEE WITHIN THE PRESCRIBED TIME-LIMIT

Effective date:20130731

Ref country code:HU

Free format text:LAPSE BECAUSE OF FAILURE TO SUBMIT A TRANSLATION OF THE DESCRIPTION OR TO PAY THE FEE WITHIN THE PRESCRIBED TIME-LIMIT; INVALID AB INITIO

Effective date:20071217

PG25Lapsed in a contracting state [announced via postgrant information from national office to epo]

Ref country code:MT

Free format text:LAPSE BECAUSE OF FAILURE TO SUBMIT A TRANSLATION OF THE DESCRIPTION OR TO PAY THE FEE WITHIN THE PRESCRIBED TIME-LIMIT

Effective date:20130731

REGReference to a national code

Ref country code:DE

Ref legal event code:R082

Ref document number:602007032041

Country of ref document:DE

Representative=s name:WUESTHOFF & WUESTHOFF, PATENTANWAELTE PARTG MB, DE

Ref country code:DE

Ref legal event code:R081

Ref document number:602007032041

Country of ref document:DE

Owner name:OLYMPUS CORPORATION, JP

Free format text:FORMER OWNER: OLYMPUS MEDICAL SYSTEMS CORP., TOKYO, JP

PGFPAnnual fee paid to national office [announced via postgrant information from national office to epo]

Ref country code:DE

Payment date:20181210

Year of fee payment:12

REGReference to a national code

Ref country code:DE

Ref legal event code:R119

Ref document number:602007032041

Country of ref document:DE

PG25Lapsed in a contracting state [announced via postgrant information from national office to epo]

Ref country code:DE

Free format text:LAPSE BECAUSE OF NON-PAYMENT OF DUE FEES

Effective date:20200701


[8]ページ先頭

©2009-2025 Movatter.jp