



Die Erfindung bezieht sich auf das Gebiet der Schaltgerätetechnik, insbesondere bezieht Sie sich auf ein elektrisches Kontaktsystem zur Herstellung eines elektrischen Kontaktes in einem elektrischen Schaltgerät und auf ein elektrisches Schaltgerät gemäss dem Oberbegriff der unabhängigen Patentansprüche.The invention relates to the field of switching device technology, in particular relates to an electrical contact system for producing an electrical contact in an electrical switching device and to an electrical switching device according to the preamble of the independent claims.
Elektrische Schalter mit elektrischen Kontaktsystemen werden allgemein genutzt, um den Energiefluss in einem Energieversorgungsnetz zu unterbrechen und wiederherzustellen. Solche Schalter werden auf allen Spannungsebenen des Energienetzes eingesetzt. Während des Normalbetriebes muss der Widerstand des Schalters möglichst niedrig sein, um entsprechende Leistungsverluste niedrig zu halten. Im Schaltfall muss der Schalter grosse Ströme im Normalbetrieb und sogar noch grössere Ströme im Kurzschlussfall schalten können. Aus dem Stand der Technik sind nun Schalter bekannt, bei denen die Kontakte mit einer dünnen SchichtElectrical switches with electrical contact systems are commonly used to interrupt and restore the flow of energy in a power grid. Such switches are used at all voltage levels of the power grid. During normal operation, the resistance of the switch must be as low as possible in order to keep corresponding power losses low. In the event of a switch, the switch must be able to switch large currents in normal operation and even larger currents in the event of a short circuit. Switches are now known from the prior art, in which the contacts with a thin layer
Silber oberflächenbeschichtet sind und bei denen der Kontakt und der Gegenkontakt des Schalters federnd aufeinander gepresst werden, um eine Erhöhung der elektrischen Leitfähigkeit im Kontaktbereich zu erreichen. Aus der
Bei diesem und anderen elektrischen Kontaktsystemen ist die elektrische Kontaktierung zwischen Kontakt und Gegenkontakt verbesserungswürdig. Bei beispielsweise verschmutzten oder oxidierten Kontakten ist der Kontaktwiderstand erhöht und damit ist die elektrische Leitfähigkeit nicht optimal, was zu Verschleisserscheinungen und einer unerwünschten Erwärmung an den Kontakten führt. Durch den Betrieb des Schalters weisen die Kontakte auch oft Abrieb im Oberflächenbereich auf, was beispielsweise bei oberflächenbeschichteten Kontakten oder Kontakten welche in einer SF6 Gasatmosphäre arbeiten, zur Verminderung der elektrischen Leitfähigkeit beiträgt und damit ebenfalls zu einer unerwünschten Erwärmung im Kontaktbereich führt. Ein verkürzte Lebensdauer und ein hoher Wartungsaufwand des Schaltgerätes sind sie Folge.In this and other electrical contact systems, the electrical contact between contact and mating contact is in need of improvement. For example, in dirty or oxidized contacts, the contact resistance is increased and thus the electrical conductivity is not optimal, resulting in wear and unwanted heating of the contacts. By the operation of the switch, the contacts also often wear in the surface area, which for example in surface-coated contacts or contacts which work in a SF6 gas atmosphere, contributes to reducing the electrical conductivity and thus also leads to undesirable heating in the contact area. A shortened life and a high maintenance of the switching device are her consequence.
Die vorliegende Erfindung versucht zumindest einige der oben genannten Probleme zu mindern. Die Aufgabe wird gelöst durch ein elektrisches Kontaktsystem und durch ein elektrisches Schaltgerät mit den Merkmalen der unabhängigen Patentansprüche.The present invention seeks to alleviate at least some of the above problems. The object is achieved by an electrical contact system and by an electrical switching device having the features of the independent claims.
Gemäss einem Aspekt der Erfindung wird ein elektrisches Kontaktsystem eines elektrischen Schaltgerätes vorgeschlagen, das eine erste und eine zweite Kontakteinheit aufweist, wobei zwischen der ersten und der zweiten Kontakteinheit bei elektrischem Kontakt eine Kontaktkraft wirkt. Weiterhin sind Mittel zur Ausübung der Kontaktkraft vorhanden, d. h. im Falle des elektrischen Kontaktes wird mit den Mitteln eine Kraft von der ersten Kontakteinheit auf die zweite Kontakteinheit oder von der zweiten Kontakteinheit auf die erste Kontakteinheit oder von beiden Kontakteinheiten gegeneinander ausgeübt. Die erste Kontakteinheit ist von der zweiten Kontakteinheit trennbar, indem der Abstand zwischen beiden Kontakteinheiten vergrössert wird. Die Kontakttrennung erfolgt dabei nicht über die Mittel zur Ausübung der Kontaktkraft. Im getrennten Zustand gibt es keinen elektrischen Kontakt zwischen der ersten und der zweiten Kontakteinheit. Das erfindungsgemässe elektrische Kontaktsystem ist dadurch gekennzeichnet, dass die Mittel zur Ausübung der Kontaktkraft einen thermischen Ausdehnungseffekt aufweisen, welcher eine Erhöhung der Kontaktkraft mit steigender Temperatur der Mittel bewirkt, d.h. bei Wärmezufuhr kommt es zur Wärmedehnung in den Mitteln, welche sich über den Ausdehnungskoeffizienten der Mittel und die Temperaturänderung in den Mitteln beschreiben lässt. Dabei ist es völlig unerheblich, auf welche Art den Mitteln Wärme zugeführt wird. Eine Verbesserung des elektrischen und mechanischen Kontaktes im Kontaktbereich kann bei unterschiedlichsten Bedingungen, bei hoher als auch niedriger Kontaktkraft erzielt werden. Die selbsttätige Kontaktkräfterhöhung mit steigender Temperatur während des Betriebes des Schalters führt vorteilhaft zu einer Erniedrigung des Kontaktwiderstandes und damit zu einer erhöhten Leitfähigkeit im Kontaktbereich. Weiterhin wird beim Einschaltvorgang vorteilhaft der Abrieb im Kontaktbereich der Kontakteinheiten des Schalters durch die geringere Kontaktkraft vermindert, wodurch die Lebensdauer der Kontakteinheiten des Schalters deutlich erhöht wird.According to one aspect of the invention, an electrical contact system of an electrical switching device is proposed, which has a first and a second contact unit, wherein a contact force acts between the first and the second contact unit upon electrical contact. Furthermore, means for exerting the contact force are present, ie, in the case of electrical contact, a force is exerted by the first contact unit on the second contact unit or by the second contact unit on the first contact unit or by both contact units against each other. The first contact unit is separable from the second contact unit by the distance between the two contact units is increased. The contact separation does not take place via the means for exercising the contact force. In the disconnected state, there is no electrical contact between the first and the second contact unit. The inventive electrical contact system is characterized in that the means for exerting the contact force have a thermal expansion effect, which causes an increase in the contact force with increasing temperature of the means, ie when heat is applied to the thermal expansion in the means, which is about the expansion coefficient of the means and describe the temperature change in the media. It is completely irrelevant in what way the means heat is supplied. An improvement of the electrical and mechanical contact in the contact area can be achieved in a wide variety of conditions, with high and low contact force. The automatic increase in contact pressure with increasing temperature during operation of the switch advantageously leads to a reduction of the contact resistance and thus to an increased conductivity in the contact region. Furthermore, during the switch-on process, the abrasion in the contact region of the contact units of the switch is advantageously reduced by the lower contact force, whereby the service life of the contact units of the switch is markedly increased.
Gemäss einem weiteren Aspekt der Erfindung wird ein elektrisches Schaltgerät, insbesondere ein Leistungsschalter vorgeschlagen. Das elektrische Schaltgerät umfasst ein elektrisches Kontaktsystem und weist die im vorangegangenen Abschnitt bzw. im Anspruch 1 beschriebenen Merkmale auf.According to a further aspect of the invention, an electrical switching device, in particular a circuit breaker is proposed. The electrical switching device comprises an electrical contact system and has the features described in the preceding section or in
Weitere Vorteile, Merkmale, Aspekte und Details der Erfindung ergeben sich aus den Unteransprüchen, der Beschreibung und den Figuren.Further advantages, features, aspects and details of the invention will become apparent from the dependent claims, the description and the figures.
Im folgenden wird der Erfindungsgegenstand anhand von bevorzugten Ausführungsbeispielen, welche in den beiliegenden Zeichnungen dargestellt sind, näher erläutert. Es zeigen schematisch:
Die in den Zeichnungen verwendeten Bezugszeichen und deren Bedeutung sind in der Bezugszeichenliste zusammengefasst aufgelistet. Grundsätzlich sind in den Figuren gleiche oder gleichwirkende Teile mit gleichen oder ähnlichen Bezugszeichen versehen. Für das Verständnis der Erfindung nicht wesentliche Teile sind zum Teil nicht dargestellt. Die beschriebenen Ausführungsbeispiele stehen beispielhaft für den Erfindungsgegenstand und haben keine beschränkende Wirkung.The reference numerals used in the drawings and their meaning are listed in the list of reference numerals. Basically, the same or equivalent parts are provided with the same or similar reference numerals in the figures. For the understanding of the invention non-essential parts are not shown in part. The described embodiments are exemplary of the subject invention and have no limiting effect.
Fig. 1 zeigt in schematischer Ansicht einen Kontaktfinger 12, eine Blattfeder 13 und einen Dehnungskörper 15 einer Kontakteinheit 10, 20 welche Teile eines nicht weiter dargestellten elektrischen Kontaktsystems sind. Die Blattfeder 13, die sich im Wesentlichen entlang der Länge des Kontaktfingers 12 erstreckt, ist an einem Ende fest mit einem Ende des Kontaktfingers 12 verbunden. Der Dehnungskörper 1 5 befindet sich zwischen Blattfeder 13 und Kontaktfinger 12. Er kann beispielsweise zwischen Blattfeder 13 und Kontaktfinger 12 eingeklemmt sein. Wird der Kontakteinheit 10, 20 Wärme zugeführt, z.B. verursacht durch elektrischen Stromfluss oder durch das Medium welches die Kontakteinheit umgibt, kommt es in besonderem Masse zu einer volumenmässigen Ausdehnung des Dehnungskörper, welcher beispielsweise aus einer Aluminium-Bronze Legierung besteht und gegenüber dem Material des Kontaktfingers 12 und der Blattfeder 13, beispielsweise einer Stahllegierung, einen vergleichsweise grossen Ausdehnungskoeffizienten aufweist. Die Wärmezufuhr und damit die Temperaturerhöhung des Dehnungskörpers führt somit zu einer Spreizung von Kontaktfinger 12 und Blattfeder 13 (Strich-Punkt Darstellung). Mittels der durch Wärmezufuhr verursachten Aufspreizung wird die Kontaktkraft, die vom Kontaktfinger 12 auf einen nicht weiter dargestellten Gegenkontakt ausgeübt wird, erhöht.Fig. 1 shows a schematic view of a
Figuren 2a und 2b zeigen jeweils eine Ansicht einer Kontakteinheit 10, 20 eines nicht dargestellten Kontaktsystems, welches aus einer Bimetallfeder 14 und einem Kontaktfinger 12 besteht. Die Bimetallfeder 14 ist an einem ihrer Enden halbkreisförmig gebogen und drückt an diesem Ende auf den Kontaktfinger 12. Der Kontaktfinger 12 ist beispielsweise aus Metalliamellenstapeln aufgebaut und damit elastisch verformbar. Der Kontaktfinger 12 kann aber genauso gut einstückig geformt sein und eine Elastizität aufweisen. Figur 2b zeigt die Kontakteinheit 10, 20 nachdem ihr Wärme zugeführt wurde. Auf Grund der unterschiedlichen Ausdehnungskoeffizienten der zwei Metalle der Bimetallfeder 14, kommt es zur Formänderung in der Feder 14. Der gebogene Bereich der Feder 14 wird aufgeweitet und erhöht damit die Federkraft, mit welcher die Feder 14 den Kontaktfinger 12 drückt auf einen nicht dargestellten Gegenkontakt drückt. Bei Abgabe der aufgenommenen Wärme der Kontakteinheit 10, 20 verringert sich die Federkraft der Bimetallfeder 14 und Kontaktfinger 12 und Feder 14 kehren in ihren Ausgangszustand, wie in Fig.2a dargestellt, zurück.Somit zeichnet sich die in Fig. 2a, 2b dargestellte Kontakteinheit 10 dadurch aus, dass das Mittel 14, welches eine Bimetallfeder ist, einen thermischen Ausdehnungseffekt aufweist, der zu einer Erhöhung der Kontaktkraft führt.Figures 2a and 2b respectively show a view of a
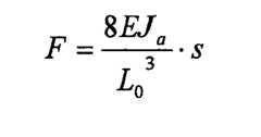
Figur 3 zeigt eine weitere Ausführungsform der Kontakteinheit 10, 20 bei welcher der selbst federnde Kontaktfinger 18 aus Bimetall ist. Somit sind beide Funktionen, die des elektrischen Kontaktierens und die der Erhöhung der Kontaktkraft durch eine Bimetallfeder in dem einzigen Element, dem Kontaktfinger 18 vereinigt. Der Bimetallkontaktfinger 18 ist somit selbst ein Mittel zur Erhöhung der Kontaktkraft. Wird der selbst federnde Kontaktfinger 18 als einseitig eingespannter Balken angesehen, lassen sich auf einfache Weise die wirkende Kraft F des Fingers sowie seine Auslenkung s aus der Ruhelage für eine gegebene Geometrie berechen. Die Auslenkung s des Fingers aus der Ruhrlage ergibt sich auf Grund unterschiedlicher thermischen Ausdehnung im Bimetall wie folgt:
wobei α der Ausdehnungskoeffizient für z.B. Kupfer, Aluminium-Bronze, und Zink ist:
und L0 die Länge des Bimetallbalkens sowie ΔT seine Temperaturdifferenz. Mit Werten für ΔT =60 K und L0 = 72mm ergibt sich für die Längenänderung L bzw. die Auslenkung s des Balkens:
where α is the expansion coefficient for eg copper, aluminum bronze, and zinc:
and L0 the length of the bimetallic bar and ΔT its temperature difference. With values for ΔT = 60 K and L0 = 72 mm, the length change L or the deflection s of the beam results for the following:
Die wirkende Kraft F auf den einseitig gespannten Bimetallbalken wie in Figur 3 dargestellt, ergibt sich aus dem Produkt seines Elastizitätsmoduls E mit dem axialen Flächenträgheitsmoment Ja und seiner Auslenkung s, sowie dem Quotienten aus seiner Länge L0:
Als Flächenträgheitsmoment Ja für eine rechteckige Geometrie des Fingers ergibt sich:
Für die Elastitizitätsmodule wurden die folgenden Werte angenommen:
Mit einem daraus folgenden Mittelwert von Pa = 8*104 N/mm2 ergibt sich für ein Cu-Zn Bimetall bei einem Temperaturunterschied von 60 K eine Kraft von:
Im Vergleich dazu beträgt die reine Federkraft ohne Berücksichtigung eines Bimetalleffektes für einen einseitig eingespannten Kontaktfinger und unter Berücksichtigung der vorgenannten Parameter 34 N.
Somit lässt sich mit einem einseitig eingespannten Kontaktfinger 12, 18, welcher aus Bimetall ist und die oben genannten Parameter hat, im Vergleich zu einem Kontaktfinger ohne Bimetalleffekt die Anpresskraft des Fingers um über 50% erhöhen bzw erniedrigen, wenn der Finger einen Temperaturunterschied von 60 K erfährt.In comparison, the pure spring force without consideration of a bimetallic effect for a cantilevered contact finger and taking into account the aforementioned parameters 34 N.
Thus, with a
Für einen Kontaktfinger 12, der mittels einer beidseitig aufliegenden Bimetallfeder 14, wie in Figur 6 dargestellt, unterstützt wird, berechnet sich die in der Mitte des Fingers wirkende Kraft wie folgt:
Unter Berücksichtung der vorhergehend angenommenen Parameter ergibt sich somit für die auf den Gegenkontakt, wirkende Kraft:
Somit ist die durch den Kontaktfinger 12 und die Bimetallfeder 14 hervorgerufene Anpresskraft F im Vergleich zu einem Kontaktfinger mit Federwirkung aber ohne zusätzliche Kraft verursacht durch das Bimetall, um mehr als 300% erhöht.Thus, the contact force F caused by the
Figur 7 zeigt ein Kraft -Temperatur Diagramm mit den berechneten Kraft - Kontakttemperatur Kurven für einen einseitig eingespannten Kupfer-Bronze Bimetallkontaktfinger und einen Kupfer-Zink Bimetallkontaktfinger.Figure 7 shows a force-temperature diagram with the calculated force-contact temperature curves for a cantilevered copper-bronze bimetallic contact finger and a copper-zinc bimetallic contact finger.
In einer weiteren Ausführungsform nicht dargestellt, sind die Mittel zur Erhöhung der Kontaktkraft das Federelement 14 und das selbst federnde Kontaktelement 18, diejenigen Mittel, welche zum Anpressen des ersten Kontakteinheit 10 an die zweite Kontakteinheit 20 dienen. Sowohl das Federelement 14 als auch das Kontaktelement 18 weisen dabei einen Bimetalleffekt auf. In anderen Ausführungsformen wird zur Erhöhung der Kontaktkraft das Federelement 14 und das selbst federnde Kontaktelement 18 nicht vollständig sondern nur teilweise aus Bimetall gefertigt, d.h. nur ein Abschnitt des Federelementes und/ oder des Kontaktelementes sind aus Bimetall.
Eine Erhöhung der Kontaktkraft mit steigender Temperatur kann aber auch dadurch erreicht werden, dass auf das federnde Kontaktelement 17 und/oder auf das Federelement 12 Material mit geeignetem Ausdehnungskoeffizienten aufgebracht wird, so das mittels dem Aufbringen ein Bimetalleffekt erzielt wird.In a further embodiment, not shown, the means for increasing the contact force, the
However, an increase in the contact force with increasing temperature can also be achieved by applying material with a suitable coefficient of expansion to the resilient contact element 17 and / or the
Das in Figur Fig. 4 dargestellte erfindungsgemässe Kontaktsystem 1 eines elektrischen Schaltgerätes ist das Kontaktsystem 1 für jeweils einen Schalterpol eines Generatorschalters. Das Trenner-Kontaktsystem 1 weist eine zylinderförmige Kontakteinheit 10 und eine als zylinderförmigen Gegenkontakt ausgebildete Kontakteinheit 20 auf, welche axial auf der Längsachse A angeordnet sind. Der elektrische Kontakt zur Gegenkontakteinheit 20 wird über die Kontaktfinger 12 der Kontakteinheit 10 hergestellt, welche ringförmig auf der Mantelfläche der Kontakteinheit 10 angeordnet und durch Schraubverbindungen 19 befestigt sind. Zur Verbesserung der elektrischen Leitfähigkeit ist die Kontaktfläche 23 der Gegenkontakteinheit 20 mit Silber beschichtet. Im Betrieb des Generatorschalters ist das Kontaktsystem 1 geschlossen und die Kontaktfinger 12 befinden sich in elektrischem Kontakt mit der Kontakteinheit 20, wofür die Kontaktfinger 12 auf die Kontaktfläche 23 der Kontakteinheit 20 geschoben werden. Die Bimetallfedern 14 der Kontaktfinger 12 üben dabei eine Anpresskraft auf, mit der die Kontaktfinger 12 auf die Kontaktfläche 23 der Gegenkontakteinheit 20 drücken. Im Betrieb des Generatorschalters wird die Kontaktkraft der Bimetallfeder 14 dadurch erhöht, dass sich das Kontaktsystem 1 durch den Stromfluss in den Kontakteinheiten 10, 20 und auf Grund des Kontaktwiderstandes zwischen den Kontakteinheiten 10, 20 erwärmt. Die erhöhte Anpresskraft führt wiederum zu einer besseren elektrischen Leitfähigkeit, also einer Verringerung des Kontaktwiderstandes zwischen beiden Kontakteinheiten 10, 20 und damit zu einem Absinken der Temperatur im Kontaktsystem 1. Das Kontaktsystem 1 nimmt dadurch einen stabileren Betriebszustand ein, es stabilisiert sich selbsttätig.
Weiterhin tritt an den Kontaktflächen 16, 23 ein Selbstheilungsprozess auf. Dieser Selbstheilungsprozess besteht darin, dass die durch Oxidation oder durch Alterungseffekte hervorgerufene Vergrösserung des Kontaktwiderstandes selbsttätig erniedrigt wird. Auf Grund des erhöhten Kontaktwiderstandes an den Kontaktflächen 16, 23 kommt es zu einem Temperaturanstieg in den Kontakteinheiten 10, 20 und damit zu einer erhöhten Anpresskraft der Kontaktfinger 1 2 auf die Kontakteinheit 20. Die erhöhte Anpresskraft wiederum verbessert den elektrischen Kontakt zwischen den Kontaktflächen 16, 23 und verringert somit den Kontaktwiderstand. Diese als Selbstheilungseffekt zu verstehende Verbesserung der elektrischen Leitfähigkeit an den Kontaktflächen 16, 23 führt somit ebenfalls zu stabileren Betriebsbedingungen des Kontaktsystems 1.The
Furthermore, a self-healing process occurs at the contact surfaces 16, 23. This self-healing process consists in automatically reducing the increase in contact resistance caused by oxidation or aging effects. Due to the increased contact resistance at the contact surfaces 16, 23 there is an increase in temperature in the
Bei der in Figur 5 dargestellten Ausführungsform wird sowohl für die Kontakteinheit 10 als auch für die Gegenkontakteinheit 20 ein mit einer Bimetallfeder 14, 22 versehener Fingerkontakt 12, 21 zur elektrischen Kontaktierung verwendet. Im Unterschied zu der in Figur 4 dargestellten Ausführungsform rührt ein durch die Bimetallfeder hervorgerufene Erhöhung der Anpresskraft also von beiden Bimetallfedern 14 und 22 her, so dass sich die Federkräfte beider Federn 14, 22 addieren.
Figur 6 zeigt das Nennstromkontaktsystem 1 eines Generatorschalters mit einer zylinderförmigen Kontakteinheit 10, einer zylinderförmigen Gegenkontakteinheit 20 sowie einer Mehrzahl Kontaktfinger 12 welche ringförmig um die Kontakteinheit 20 angeordnet sind und durch Bimetallfedern 14 in der umlaufenden Ausnehmung 25 gehalten werden. Jeder Kontaktfinger 12 weist eine Bimetallfeder 14 auf. Die Bimetallfedern 14 liegen beidseitig in der Ausnehmung 25 auf und sind derart geformt, dass ein Vorsprung in der Mitte der Federn 14 in eine Aussparung 26 der Kontaktfinger 12 eingreift. Das punktuelle Ineinandergreifen von Feder 14 und Kontaktfinger 12 gestattet eine Kippenbewegung des Kontaktfingers 12 um seine Befestigungsstelle. Im geschlossenen Zustand des Schalters liegt je ein Ende des Kontaktfingers 12 auf der Kontakteinheit 10 bzw. auf der Gegenköntakteinheit 20 auf. Bei Erwärmung des Kontaktsystems 1 und damit der Erwärmung der Bimetallfedern 14 bewirkt der Bimetalleffekt in den Federn 14 eine Erhöhung der Kontaktkraft zwischen Kontaktfingern 12 und Kontakteinheiten 10, 20.
Die gezeigten Ausführungsformen können weiter variiert werden, ohne dass der in den Ansprüchen definierte Schutzumfang verlassen wird.
Beispielweise können der Kontaktfinger 12 und die Bimetallfeder 14 in Figur 6 auch aus einem Stück bestehen und weisen die Eigenschaften einer Bimetallfeder auf. Weiterhin ist es nicht notwendig, dass die Federelemente 14 oder der Kontaktfinger 12, 18 aus Bimetall bestehen. Sowohl Kontaktfinger 12, 18 als auch Federelemente 14 können aus einem Nichtmetall oder sonstigen Verbundwerkstoff bestehen, welches einen Bimetalleffekt aufweist.In the embodiment shown in FIG. 5, a
Figure 6 shows the rated
The illustrated embodiments may be further varied without departing from the scope of the claims as defined in the claims.
For example, the
| Application Number | Priority Date | Filing Date | Title |
|---|---|---|---|
| EP06405490AEP1926112A1 (en) | 2006-11-23 | 2006-11-23 | Electric contact-system for an electric switching device |
| US11/941,323US20080121504A1 (en) | 2006-11-23 | 2007-11-16 | Electrical contact system for an electrical switching device |
| JP2007301564AJP2008130567A (en) | 2006-11-23 | 2007-11-21 | Electrical contact system for electrical switching devices |
| CNA2007101932573ACN101226832A (en) | 2006-11-23 | 2007-11-23 | Electrical contact systems for electrical switching devices |
| Application Number | Priority Date | Filing Date | Title |
|---|---|---|---|
| EP06405490AEP1926112A1 (en) | 2006-11-23 | 2006-11-23 | Electric contact-system for an electric switching device |
| Publication Number | Publication Date |
|---|---|
| EP1926112A1true EP1926112A1 (en) | 2008-05-28 |
| Application Number | Title | Priority Date | Filing Date |
|---|---|---|---|
| EP06405490AWithdrawnEP1926112A1 (en) | 2006-11-23 | 2006-11-23 | Electric contact-system for an electric switching device |
| Country | Link |
|---|---|
| US (1) | US20080121504A1 (en) |
| EP (1) | EP1926112A1 (en) |
| JP (1) | JP2008130567A (en) |
| CN (1) | CN101226832A (en) |
| Publication number | Priority date | Publication date | Assignee | Title |
|---|---|---|---|---|
| WO2013139573A1 (en)* | 2012-03-20 | 2013-09-26 | Siemens Aktiengesellschaft | Contact arrangement and electric switching device |
| Publication number | Priority date | Publication date | Assignee | Title |
|---|---|---|---|---|
| KR101463043B1 (en)* | 2009-09-01 | 2014-11-18 | 엘에스산전 주식회사 | Slide-type movable contactor assembly of circuit breaker |
| CN105810462B (en)* | 2016-05-05 | 2018-05-25 | 许继(厦门)智能电力设备股份有限公司 | A kind of pressure-resistant frock contact head connection structure |
| DE102017109210B4 (en)* | 2017-04-28 | 2023-10-12 | Tdk Electronics Ag | relay |
| WO2019181469A1 (en) | 2018-03-20 | 2019-09-26 | パナソニックIpマネジメント株式会社 | Circuit interrupter |
| CN118572481B (en)* | 2024-08-02 | 2024-12-10 | 上海拔山自动化技术有限公司 | Slip ring power supply device for spraying robot and spraying robot |
| Publication number | Priority date | Publication date | Assignee | Title |
|---|---|---|---|---|
| US2285624A (en) | 1939-11-04 | 1942-06-09 | Westinghouse Electric & Mfg Co | Elimination of contact burning on controls |
| US3833873A (en)* | 1973-12-14 | 1974-09-03 | Texas Instruments Inc | Thermal protector |
| EP0844631A2 (en) | 1996-11-25 | 1998-05-27 | Asea Brown Boveri AG | Electrical switchgear |
| Publication number | Priority date | Publication date | Assignee | Title |
|---|---|---|---|---|
| US1699858A (en)* | 1926-04-17 | 1929-01-22 | Russell Mfg Co | Contact finger for electrical controllers and switches |
| US1924647A (en)* | 1931-02-14 | 1933-08-29 | Service Station Equipment Comp | Thermostat |
| US2014958A (en)* | 1932-12-05 | 1935-09-17 | Square D Co | Thermal relay |
| US2039241A (en)* | 1935-05-11 | 1936-04-28 | Monitor Controller Co | Thermally controlled switch |
| US2762885A (en)* | 1953-03-05 | 1956-09-11 | S W Farber Inc | Control means for electric apparatus |
| US2794884A (en)* | 1955-10-24 | 1957-06-04 | Gen Motors Corp | Circuit breaker |
| US3718162A (en)* | 1971-11-05 | 1973-02-27 | Gen Motors Corp | Circuit breaker |
| DE19830232A1 (en)* | 1998-07-07 | 2000-01-13 | Abb Research Ltd | Current contact arrangements of a current switch |
| DE10103788A1 (en)* | 2001-01-29 | 2002-08-22 | Ellenberger & Poensgen | Thermally triggered circuit breaker |
| ATE373868T1 (en)* | 2003-07-02 | 2007-10-15 | Abb Technology Ag | CONTACT FINGER FOR HIGH PERFORMANCE SWITCHES |
| Publication number | Priority date | Publication date | Assignee | Title |
|---|---|---|---|---|
| US2285624A (en) | 1939-11-04 | 1942-06-09 | Westinghouse Electric & Mfg Co | Elimination of contact burning on controls |
| US3833873A (en)* | 1973-12-14 | 1974-09-03 | Texas Instruments Inc | Thermal protector |
| EP0844631A2 (en) | 1996-11-25 | 1998-05-27 | Asea Brown Boveri AG | Electrical switchgear |
| Publication number | Priority date | Publication date | Assignee | Title |
|---|---|---|---|---|
| WO2013139573A1 (en)* | 2012-03-20 | 2013-09-26 | Siemens Aktiengesellschaft | Contact arrangement and electric switching device |
| Publication number | Publication date |
|---|---|
| CN101226832A (en) | 2008-07-23 |
| US20080121504A1 (en) | 2008-05-29 |
| JP2008130567A (en) | 2008-06-05 |
| Publication | Publication Date | Title |
|---|---|---|
| DE102015213375B4 (en) | Thermal overload release device and protective switching device | |
| EP2780920B1 (en) | High-current switch | |
| EP1926112A1 (en) | Electric contact-system for an electric switching device | |
| WO2007036285A1 (en) | Arrangement for adjusting a valve | |
| WO1988000389A1 (en) | Electrical switch | |
| DE2917557C2 (en) | Thermal circuit breaker | |
| DE102021113803A1 (en) | Electrical plug connection | |
| EP0931321B1 (en) | Contact assembly with a posistor | |
| EP0898291B1 (en) | Power control apparatus | |
| DE10108858B4 (en) | Switching contact arrangement | |
| DE102006043795B3 (en) | Electric microswitch | |
| WO2012004197A1 (en) | Bimetal controller | |
| CH648687A5 (en) | ELECTRIC SWITCH. | |
| DE2619837B2 (en) | Snap switch | |
| DE102019117804B4 (en) | Switching device with an electrical contact system | |
| EP1728311A1 (en) | Device for connecting the sheath of an electric winding to a ground conductor and a maglev train equipped therewith | |
| DE2702851C3 (en) | Bimetal controlled switch | |
| DE102012204371A1 (en) | Contact arrangement and electrical switching device | |
| DE19832234A1 (en) | Electrical fuse element with melting strips arranged between connecting pieces | |
| DE102008031584A1 (en) | Arrangement for adjusting valve, has return spring plunger standing in which valve body is fixed at temperature, where positioning element is longitudinally extended component which extends to working position in non heated condition | |
| DE102016214368A1 (en) | Contact arrangement for a high voltage switchgear and its use and manufacture | |
| DE102022210729A1 (en) | Arrangement for contacting a shape memory alloy element and locking device with such an arrangement | |
| DE102021132398A1 (en) | Electrical connector and vehicle therewith | |
| DE3045929A1 (en) | Switch with housing containing several stationary contacts - has housing secured contact and plunger controlled moving, forked contact for time delayed action | |
| DE102009040098B4 (en) | Arrangement for adjusting a component between two end positions |
| Date | Code | Title | Description |
|---|---|---|---|
| PUAI | Public reference made under article 153(3) epc to a published international application that has entered the european phase | Free format text:ORIGINAL CODE: 0009012 | |
| AK | Designated contracting states | Kind code of ref document:A1 Designated state(s):AT BE BG CH CY CZ DE DK EE ES FI FR GB GR HU IE IS IT LI LT LU LV MC NL PL PT RO SE SI SK TR | |
| AX | Request for extension of the european patent | Extension state:AL BA HR MK RS | |
| 17P | Request for examination filed | Effective date:20081014 | |
| 17Q | First examination report despatched | Effective date:20081117 | |
| AKX | Designation fees paid | Designated state(s):AT BE BG CH CY CZ DE DK EE ES FI FR GB GR HU IE IS IT LI LT LU LV MC NL PL PT RO SE SI SK TR | |
| GRAP | Despatch of communication of intention to grant a patent | Free format text:ORIGINAL CODE: EPIDOSNIGR1 | |
| STAA | Information on the status of an ep patent application or granted ep patent | Free format text:STATUS: THE APPLICATION IS DEEMED TO BE WITHDRAWN | |
| 18D | Application deemed to be withdrawn | Effective date:20110916 |