Movatterモバイル変換


[0]ホーム

URL:


EP1742357A1 - Sample rate converter for a sigma delta DAC with an AES-EBU interface - Google Patents

Sample rate converter for a sigma delta DAC with an AES-EBU interface
Download PDF

Info

Publication number
EP1742357A1
EP1742357A1EP05106275AEP05106275AEP1742357A1EP 1742357 A1EP1742357 A1EP 1742357A1EP 05106275 AEP05106275 AEP 05106275AEP 05106275 AEP05106275 AEP 05106275AEP 1742357 A1EP1742357 A1EP 1742357A1
Authority
EP
European Patent Office
Prior art keywords
sample rate
rate converter
output port
asrc
signal
Prior art date
Legal status (The legal status is an assumption and is not a legal conclusion. Google has not performed a legal analysis and makes no representation as to the accuracy of the status listed.)
Withdrawn
Application number
EP05106275A
Other languages
German (de)
French (fr)
Inventor
Pierluigi Lo Muzio
Heinrich Schemmann
Current Assignee (The listed assignees may be inaccurate. Google has not performed a legal analysis and makes no representation or warranty as to the accuracy of the list.)
Deutsche Thomson Brandt GmbH
Original Assignee
Deutsche Thomson Brandt GmbH
Priority date (The priority date is an assumption and is not a legal conclusion. Google has not performed a legal analysis and makes no representation as to the accuracy of the date listed.)
Filing date
Publication date
Application filed by Deutsche Thomson Brandt GmbHfiledCriticalDeutsche Thomson Brandt GmbH
Priority to EP05106275ApriorityCriticalpatent/EP1742357A1/en
Publication of EP1742357A1publicationCriticalpatent/EP1742357A1/en
Withdrawnlegal-statusCriticalCurrent

Links

Images

Classifications

Definitions

Landscapes

Abstract

The invention relates to a sample rate converter for transforming a single input signal into two output signals, and whereby the output signals have different sampling rates, namely for sigma delta DAC and AES/EBU.
According to the invention, the sample rate converter includes:
- a first sample rate converter (1) having an output port (5),
- a digital-to-analog converter (6) connected to said output port (5) for outputting a first output signal,
- decimation unit (9) connected to said output port (5), and
- a formatter (11), to which an output port (10) of the decimation unit (9) is connected, for outputting a second output signal.

Description

  • The present invention is related to the field of electronic devices, and more particularly without limitation, to circuitry and methods for the conversion of a digitally sampled input signal into two distinct output signals, whereby the output signals have sample rates which are different from each other.
  • US 5,666,299 discloses an asynchronous sample rate converter (ASRC) for the conversion of a digitally sampled input signal into a single output signal. The number of filter coefficients stored in a ROM are reduced by the design of the ASRC.
  • US 5,638,010 describes the generation of an asynchronous oversampled data stream for a ΣΔ DAC (sigma delta digital-to-analog converter) by using an ASRC and a digitally controlled oscillator (DCO). The ASRCs are synchronized by the DCO in a digital phase-locked loop (DPLL).
  • Computer simulations have shown that the ASRC according toUS 5,638,010 yields a frequency spectrum having in-band components of roughly -115 dB, even if the correction circuit shown in figure 6 ofUS 5,638,010 is used. This makes the ASRC hardly acceptable when 20-bit audio quality is desired. Even more critical is the case when the master clock frequency equals a multiple of the audio input sample frequency, and when the master clock frequency deviates from the nominal frequency. The reason is that a large amount of alias folds back to the audio band. In this case the frequency spectrum of the ASRC disclosed inUS 5,638,010 is unsatisfactory: the worst components are only at -85 dB.
  • US 6,215,423 B1 refers to asynchronous sample rate conversion. A circuit employed for this purpose accepts different sampling rates at its input, and outputs a digital signal as well as an analog signal. It uses a numerically controlled oscillator (NCO/DCO) which is controlled by a ΣΔ modulator. The NCO generates a clock synchronous to the system clock but having a time average frequency that is equal to a multiple of the asynchronous sample rate frequency required by the conversion. The generated clock is used to time an interpolator.US 6,215,423 B1 aims to avoid an analog PLL, and tries to achieve a simpler circuitry by avoiding a DSP or multipliers.
  • It is an object of the invention to provide a high-performance sample rate converter for oversampling a DAC which has an AES/EBU interface.
  • According to the present invention the above-mentioned object is achieved by providing the features defined in the independent claims. Preferred embodiments according to the invention additionally have the features defined in the sub-claims.
  • The above-mentioned object is achieved by using a sample rate converter which includes an asynchronous sample rate converter (ASRC). This ASRC includes a conventional n-tap polyphase interpolator and a computational entity for calculating the filter coefficients. Preferably, the computational entity is adapted to use a Parzen window or to use a quadratic window for calculating the filter coefficients.
  • As will be apparent from the below detailed description, this ASRC provides an output signal having a particularly good signal quality. One aspect of this signal quality is the fact that the attenuation of in-band noise components in the frequency spectrum is particularly high.
  • The attenuation of in-band components in the frequency spectrum is particularly high: in the case of a quadratic window these components are below -140 dB, in the case of a Parzen window their attenuation is even higher. As a consequence, the interpolation quality is increased.
  • In addition to the above ASRC a polyphase interpolation stage is preferably used, which interpolates an input signal by an integer factor, for example by a factor of 64. The output of the interpolation stage is fed into an ASRC, which itself outputs a signal for the DAC. In this case, any spurious components in the frequency spectrum of the DAC input are below -140 dB. This is true both for the quadratic window and for the Parzen window.
  • The sample rate converter according to the invention avoids the use of a complex and expensive analog PLL to generate multiple clock frequencies. Instead, a circuitry based on a unique programmable master clock and dividers is used. The desired oversampling frequency FDAC of the DAC is a multiple M of the master clock frequency FM: FM=M*FDAC. M is a programmable integer value. Depending on the circumstances an additional DCO for the generation of the AES/EBU clock is added.
  • The invention is advantageously used in audio systems such as CD or DVD applications and set-top-box MPEG decoders. The present invention is particularly advantageous for an oversampling or sigma-delta DAC which has an AES/EBU interface. More generally, the invention is advantageously used in an apparatus for reading from and/or writing to recording media and/or for receiving a data stream.
  • These and other aspects of the invention will be apparent from and elucidated with reference to the embodiments and the corresponding claims described thereafter. It should be emphasized that the use of reference signs in the claims shall not be construed as limiting the scope of the invention.
  • Brief description of the drawings
  • Fig. 1
    shows a first embodiment of the sample rate converter according to the invention,
    Fig. 2
    shows a further embodiment of the sample rate converter according to the invention, and
    Fig. 3
    shows the ASRC shown in Fig. 1 and Fig. 2 in more detail.
    Detailed description of the drawings and description of the preferred embodiments
  • Fig. 1 schematically shows a first embodiment of the sample rate converter. The numerical values which are given below are applicable when the circuitry is used for a set-top-box MPEG decoder. It comprises afirst ASRC 1 having an output port 5 connected to aΣΔ DAC 6. Fig. 1 schematically shows that the ASRC 1 includes a 4-tap polyphase filter 2. The ASRC 1 further has acomputational entity 3 for calculating the filter coefficients for the n-tap polyphase filter 2. In the embodiment of Fig. 1 thecomputational entity 3 is located within the ASRC 1. This, however, is not mandatory: in the alternative the computational entity is located outside the ASRC 1, and even outside the converter. In this case the computational entity might be a microprocessor or a DSP, or might be chosen to be a computer program running on an external device.
  • Thecomputational entity 3 serves for calculating the filter coefficients, and is preferably adapted to use a Parzen window or a quadratic window for calculating the filter coefficients.
  • Apart from theΣΔ DAC 6, the output port 5 of the first ASRC 1 is also connected to amaster clock 7 via aunit 8 for dividing the master clock signal by an integer factor M, M1, and to adecimation unit 9. The output of theunit 8 provides a clock signal to drive theΣΔ DAC 6. Thedecimation unit 9 has anoutput port 10 that is connected to an AES/EBU-formatter 11.
  • In Fig. 1, input samples are inputted at aninput port 16 of aninterpolation stage 15. Theinterpolation stage 15 is designed to interpolate by an integer factor, for example to interpolate the data received atport 16 by a factor of 64. The interpolated data samples are outputted at aport 17, and are fed into theASRC 1 at aninput port 4. The oversampling factor of the ASRC 1 is in the range of 1-2. Thus the sampling rate of data samples at the port 5 is higher than the sampling rate at theport 16 by a factor of 128.
  • As can be seen, the computational burden for interpolating the data samples is split between theinterpolation stage 15 and theASRC 1. This split has the advantage that the complexity of theASRC 1 is decreased because the number of taps in theASRC 1 is reduced. The necessity of this split depends on the oversampling factor and the signal-to-noise ratio (SNR) acceptable by the user.
  • Themaster clock 7 of the converter provides a master clock signal with a frequency FM. A high flexibility in the choice of this master clock frequency limits any degradation of the high performance output signal of theASRC 1. A convenient choice of the frequency range for FM is 100-500 MHz.
  • Thisunique clock 7 allows an easier integration of the converter in a SOC (system on a chip) environment.
  • All enable signals, which determine the operational speed and the system synchronization, are driven by theunique master clock 7. They are generated by dividing the master clock signal using simple counters or DCOs accordingly. These enable signals will be called clock signals within this description. Their phases (which do not represent the effective phases of the samples) are synchronized with themaster clock 7, but their frequencies are asynchronous.
  • TheΣΔ DAC 6 is operated at a frequency FDAC which is synchronous with the master clock frequency: FDAC=M*FM. M is an integer number. FDAC may be 5.6448 MHz for CD applications or 6.144 MHz for set-top box (STB) applications. A jitter-free FDAC is provided by the dividingunit 8. If FS is the sampling rate of the input signal inputted at theport 16, the oversampling factor of the converter is the ratio FDAC/FS. In the above example of a CD application FS=44.1 kHz; in the case of a STB application F=48 kHz. In both cases the oversampling factor ofblock 15 is 64. Because theASRC 1 is an asynchronous converter, the total converter according to the invention is an asynchronous converter as well, and the above-mentioned ratio is not limited to integer values or rational numbers. As the input samples are not synchronized with themaster clock 7, the oversampling factor fluctuates continuously around its nominal value.
  • Typical values of FS are 48 kHz, 44.1 kHz, or 32 kHz, but the converter is not limited to these sample frequencies. In a typical case FDAC=6.144 MHz, such that the DAC oversampling factors are 128, 189.32, and 192 respectively.
  • The AES/EBU-formatter 11 is operated at a frequency of 48 kHz. With the values of Fs as in the last paragraph the corresponding AES/EBU oversampling factors are 1, 48/44.1=1.088435, and 1.5.
  • Fig. 1 assumes that FDAC/48 kHz is an integer value. In this case the samples are required at time instants when theASRC 1 has already computed the output. For the input signal of the AES/EBU-formatter 11 it is thus sufficient to decimate the output at the port 5 by means of thedecimation unit 9. No decimation filter is required because theASRC 1 rejects all the spurious harmonics in the spectrum.Units 20 and 18 are frequency dividing units with divisors N and K, respectively, whereby N and K are integers with N=FDAC/48 kHz and K=FM/6.144 MHz. The value R of the register of aDCO 21, which determines the oversampling ratio, is R=round(64*Fs*2nacc*M/FM), where nacc is the number of bits of the accumulator in theDCO 21; nacc determines the frequency precision of theDCO 21.
  • Thedecimation unit 9 decimates the data samples outputted at the port 5 by a factor of 128. The clock signal is provided by thefrequency dividing unit 20. Thisunit 20 receives the output ofunit 8 and frequency divides the clock signal accordingly.
  • The circuitry shown in Fig. 1 assumes that K is an integer. In that case a clock signal for the AES/EBU formatter 11 is provided by dividing the master clock frequency with the help of the frequency dividing unit 18. If, however, this condition is not satisfied, i.e. K is not an integer, the unit 18 is replaced by a synthesizer 19, for example a DCO, for synthesizing a frequency of 6.144 MHz. This represents a second embodiment of the invention. For the synchronization of the synthesizer 19 with the samples of 48 kHz, the synthesizer 19 has to be reset by the clock at 48 kHz.
  • While the first embodiment assumes that N and K are integers, in the second embodiment K is not an integer. In a third embodiment K is an integer, but N is not. In that case new samples for theΣΔ DAC 6 and for the AES/EBU formatter 11 are requested at different time instants. This is accomplished by the embodiment shown in Fig. 2. The input for theΣΔ DAC 6 remains unchanged. Thefrequency dividing unit 8 of Fig. 1 is replaced by a correspondingunit 22 dividing the frequency of themaster clock 7 by a factor of M1.
  • Thisunit 22 can be supplemented by an optional frequency dividing unit 23 dividing the frequency of themaster clock 7 by a factor of M2. The unit 23 increases the precision of the frequency which is generated by aDCO 25. The clock at the input of theDCO 25 should be higher than the sampling rate of the signal at theport 15.
  • The circuitry of Fig. 2 shows asecond ASRC 12 being preferably identical to thefirst ASRC 1. TheASRC 12 receives at itsinput 13 the same input signal from theport 17 as thefirst ASRC 1. This reduces the complexity of the circuitry. Furthermore, the availability of data samples already interpolated by a factor of 64 by theinterpolation stage 15 reduces the computational burden of thesecond ASRC 12.
  • Thesecond ASRC 12 receives a second clock from theDCO 25, which is different from the first clock of theASRC 1. However, these two clocks can be synchronized. In practice the phases of the two clocks are different from each other, but the phase variation must not jump around the clock edge of the first clock. Furthermore, the frequencies must be exactly the same. These requirements are met if the following conditions are respected.
    • a) Equal frequency: The rounding R1 and R2 of theDCO 21 and theDCO 25 are selected such that R1/R2=M1/M2.
    • b) Phase: At the reset theDCO 21 should start in advance with an offset, and R1/R2≥R2/M2, so that the clock edges at the output of theDCO 25 are always later than the clock edges at the output of theDCO 21.
  • As an example, conditions a) and b) are met if an integer submultiple of R1 and R2 is defined to be R3=round(64*Fs*2nacc1/FM), and R1 and R2 are chosen to be R1=M1*R3 and R2=M2*R3*2nacc2-nacc1, respectively. In this case, nacc2>nacc1 has been assumed.
  • In a further embodiment neither K nor N is an integer. In this case the unit 23 is replaced by a DCO 24.
  • Fig. 3 schematically shows theASRC 1 according to the invention. It includes a 4-tappolyphase filter 2 which has adelay pipeline 26 and a digital signal processor (DSP) 28. The clock signal ascr_clk_in enables thedelay pipeline 26 and clocks input data data_in sequentially through data registers (or flip-flops) 27, such that the utmost left register contains the newest sample, and the utmost right register the oldest sample.
  • The clock signal asrc_clk_in is in general a jittered clock because it is phase-synchronous with asrc_clk_out and frequency synchronous with data_in. Typically, this clock is generated by means of the DCO of a digital PLL. This DCO uses the same clock signal asrc_clk_out, which synchronizes all registers 27.
  • TheASRC 1 can be conveniently used when the input data data_in are represented by an oversampled signal. For the purposes of this disclosure an oversampled signal shall be understood to be a signal having a sample rate significantly higher than the minimum sampling rate FMIN. Taking the Nyquist theorem into account the minimum sampling rate FMIN is twice the bandwidth.
  • Filtering is performed by averaging the sample points from data registers 27. The sample points are multiplied by theDSP 28 with their corresponding weighing/filter coefficients. The sum of all weighted sample points is outputted by theDSP 28 at anoutput port 29.
  • In Fig. 3 the n-tap filter 2 (n is an integer) has four taps. The invention however is not restricted to a case of four taps. n may be chosen to be 2, 3, 4,....
  • There are two ways of generating the filter coefficients.
  • The first possibility is the generation of the filter coefficients by acomputational entity 3, whereby thecomputational entity 3 is located external to the converter. Thiscomputational entity 3 might be hardware such as a DSP or an ASIC, or may be a computer program running on a remote computer.
  • The second possibility is the generation of the filter coefficients by acomputational entity 3, whereby thecomputational entity 3 is located inside the converter. In other words thecomputational entity 3 is part of the converter. In this case thecomputational entity 3 is the coefficient generator 30 of Fig. 3. Advantageously, the coefficient generator 30 has a limited complexity when the input signals are oversampled signals.
  • When the first possibility is chosen the n-tappolyphase filter 2 has to provide memory space for the filter coefficients which are generated externally (outside the n-tap polyphase filter 2). In this case the phase signal is used as the reading address of fourindependent memory units 31, whereby eachmemory unit 31 of block 32 holds all the 2P possible values of a specific coefficient, with P being the number of bits of the phase signal. For a precise interpolation, for instance with P=9, the required memory in block 32 is 29*4 words. As can be derived from the above explanations, block 32 is a pure memory block in this (first) operation mode. Block 30 can be regarded as the external computational entity.
  • When the second possibility is chosen, the phase signal is used for the polynomial computation of the filter coefficients by means of a computational entity 32. Typically the phase signal is generated by the DCO of a digital PLL. The four coefficients are Cm =Am*I+Bm*I2+Cm*I3+Dm*I3' where m is an index ranging from 1 to 4, and where I is the input phase signal. The coefficients are either calculated on the fly (online calculation), or are have been preloaded (offline calculation).
  • When the second possibility for generating the filter coefficients is chosen the calculation of the filter coefficients is performed in block 32. In this (second) operation mode block 32 is a coefficient generator or computational entity. Details of block 32 serving as a computational entity are visualized by means of block 30. It should be emphasized, however, that block 30 is merely a representation of block 32, and is not a separate physical entity. Block 30 thus zooms into block 32. The constants Am, Bm, Cm, Dm etc. are retrieved from a small memory unit (not shown). In this example a third order polynomial is chosen, such that a total of 16 coefficients are stored, whereby each coefficient needs a memory space of only four words. This solution for the coefficient generator reduces the required memory at the expenses of additional polynomial computations and it is generally better when a very precise interpolation is needed.
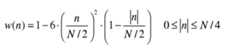
  • The invention uses the Parzen window or the quadratic window as the polynomial smart window. The Parzen window, also referred to as the de la Valle Poussin window, is a third order polynomial and is defined aswn=16nN/221nN/20nN/4
    Figure imgb0001
    wn=21nN/23N/4<nN/2
    Figure imgb0002

    wherebyn is the index of the time samples, andN+1 is the total length of the window. In the alternative, a quadratic window is chosen. This is a second order polynomial which is defined aswn=12nN/220nN/4
    Figure imgb0003
    wn=21nN/22N/4<nN/2
    Figure imgb0004
  • List of reference numerals
  • 1
    first asynchronous sample rate converter (ASRC)
    2
    n-tap polyphase filter
    3
    computational entity
    4
    input port of the first ASRC
    5
    output port of the first ASRC
    6
    sigma delta digital-to-analog converter (ΣΔ DAC)
    7
    master clock
    8
    frequency dividing unit
    9
    decimation unit
    10
    output port of the decimation unit
    11
    AES/EBU-formatter
    12
    second asynchronous sample rate converter (ASRC)
    13
    input port of the second ASRC
    14
    output port of the second ASRC
    15
    interpolation stage
    16
    input port of the interpolation stage
    17
    output port of the interpolation stage
    18
    frequency dividing unit
    19
    synthesizer
    20
    frequency dividing unit
    21
    DCO
    22
    frequency dividing unit
    23
    frequency dividing unit
    24
    DCO
    25
    DCO
    26
    delay pipeline
    27
    register
    28
    digital signal processor (DSP)
    29
    output port
    30
    coefficient generator
    31
    memory unit
    32
    memory block, computational entity
    SOC
    system on a chip
    FM
    master clock frequency
    FDAC
    operational frequency ofDAC 6

Claims (11)

  1. Sample rate converter for transforming an input signal into two output signals,including:
    - a first sample rate converter (1) having an output port (5),
    - a digital-to-analog converter (6) connected to said output port (5) for outputting a first output signal,
    - a decimation unit (9) connected to said output port (5), and
    - a formatter (11), to which an output port (10) of the decimation unit (9) is connected, for outputting a second output signal.
  2. Sample rate converter according to claim 1,further including a second sample rate converter (12), wherein instead of said output port (5) of said first sample rate converter (1) an output port (14) of said second sample rate converter (12) is connected to the decimation unit (9).
  3. Sample rate converter according to claim 2, wherein said first sample rate converter (1) and said second sample rate converter (12) are identical.
  4. Sample rate converter according to one of claims 1 to 3,wherein at least of said first sample rate converter (1) and said second sample rate converter (12) is an asynchronous sample rate converter having an n-tap polyphase interpolator (2) and a computational entity (3) for calculating filter coefficients.
  5. Sample rate converter according to one of claims 1 to 4,further including:
    - a master clock (7), and
    - at least one unit (8, 18) for dividing the master clock signal by an integer factor (M, M1, K) for providing a clock signal to drive said digital-to-analog converter (6) and/or said formatter (11).
  6. Sample rate converter according to one of claims 1 to 5,further including an interpolation stage (15) having an output (17) to which at least one of said first sample rate converter (1) and said second sample rate converter (12) is connected.
  7. Sample rate converter according to one of claims 1 to 6,wherein said formatter (11) is an AES/EBU-formatter.
  8. Sample rate converter according to one of claims 1 to 7,wherein said digital-to-analog converter (6) is a ΣΔ DAC.
  9. Sample rate converter according to one of claims 1 to 8,wherein the clock frequency (FM) of the master clock (7) is an integer multiple (M) of the clock frequency (FDAC) of the digital-to-analog converter.
  10. Sample rate converter according to claim 5,wherein at least one of the units (8, 18) for dividing the master clock signal by an integer factor (M, M1, K) is replaced by a digitally controlled oscillator (19, 24).
  11. Apparatus for reading from and/or writing to recording media and/or for receiving a data stream,characterized in that it includes a sample rate converter according to one of claims 1 to 10.
EP05106275A2005-07-082005-07-08Sample rate converter for a sigma delta DAC with an AES-EBU interfaceWithdrawnEP1742357A1 (en)

Priority Applications (1)

Application NumberPriority DateFiling DateTitle
EP05106275AEP1742357A1 (en)2005-07-082005-07-08Sample rate converter for a sigma delta DAC with an AES-EBU interface

Applications Claiming Priority (1)

Application NumberPriority DateFiling DateTitle
EP05106275AEP1742357A1 (en)2005-07-082005-07-08Sample rate converter for a sigma delta DAC with an AES-EBU interface

Publications (1)

Publication NumberPublication Date
EP1742357A1true EP1742357A1 (en)2007-01-10

Family

ID=35539423

Family Applications (1)

Application NumberTitlePriority DateFiling Date
EP05106275AWithdrawnEP1742357A1 (en)2005-07-082005-07-08Sample rate converter for a sigma delta DAC with an AES-EBU interface

Country Status (1)

CountryLink
EP (1)EP1742357A1 (en)

Cited By (1)

* Cited by examiner, † Cited by third party
Publication numberPriority datePublication dateAssigneeTitle
US11211942B2 (en)2016-02-022021-12-28Analog Devices International Unlimited CompanyCircuits, systems, and methods for providing asynchronous sample rate conversion for an oversampling sigma delta analog to digital converter

Citations (5)

* Cited by examiner, † Cited by third party
Publication numberPriority datePublication dateAssigneeTitle
US5638010A (en)1995-06-071997-06-10Analog Devices, Inc.Digitally controlled oscillator for a phase-locked loop providing a residue signal for use in continuously variable interpolation and decimation filters
US5666299A (en)1992-09-301997-09-09Analog Devices, Inc.Asynchronous digital sample rate converter
US6215423B1 (en)1998-08-262001-04-10Motorola Inc.Method and system for asynchronous sample rate conversion using a noise-shaped numerically control oscillator
US20010010040A1 (en)*1995-04-102001-07-26Hinderks Larry W.System for compression and decompression of audio signals for digital transmision
US20030187529A1 (en)*2002-04-012003-10-02Lee Steven K.Computer audio system

Patent Citations (5)

* Cited by examiner, † Cited by third party
Publication numberPriority datePublication dateAssigneeTitle
US5666299A (en)1992-09-301997-09-09Analog Devices, Inc.Asynchronous digital sample rate converter
US20010010040A1 (en)*1995-04-102001-07-26Hinderks Larry W.System for compression and decompression of audio signals for digital transmision
US5638010A (en)1995-06-071997-06-10Analog Devices, Inc.Digitally controlled oscillator for a phase-locked loop providing a residue signal for use in continuously variable interpolation and decimation filters
US6215423B1 (en)1998-08-262001-04-10Motorola Inc.Method and system for asynchronous sample rate conversion using a noise-shaped numerically control oscillator
US20030187529A1 (en)*2002-04-012003-10-02Lee Steven K.Computer audio system

Non-Patent Citations (1)

* Cited by examiner, † Cited by third party
Title
KIRBY D G ET AL: "DIGITAL AUDIO EDITING: THE DEVELOPMENT OF A RANDOM ACCESS EDITOR", BBC RESEARCH AND DEVELOPMENT REPORT, BRITISH BROADCASTING CORPORATION, GB, no. 5, January 1990 (1990-01-01), pages 1 - 9,A, XP000165081, ISSN: 1361-2379*

Cited By (1)

* Cited by examiner, † Cited by third party
Publication numberPriority datePublication dateAssigneeTitle
US11211942B2 (en)2016-02-022021-12-28Analog Devices International Unlimited CompanyCircuits, systems, and methods for providing asynchronous sample rate conversion for an oversampling sigma delta analog to digital converter

Similar Documents

PublicationPublication DateTitle
US5471411A (en)Interpolation filter with reduced set of filter coefficients
US7262716B2 (en)Asynchronous sample rate converter and method
US6208671B1 (en)Asynchronous sample rate converter
US6992604B2 (en)Method and system for converting digital samples to an analog signal
US5513209A (en)Resampling synchronizer of digitally sampled signals
US5638010A (en)Digitally controlled oscillator for a phase-locked loop providing a residue signal for use in continuously variable interpolation and decimation filters
US5748126A (en)Sigma-delta digital-to-analog conversion system and process through reconstruction and resampling
US5907295A (en)Audio sample-rate conversion using a linear-interpolation stage with a multi-tap low-pass filter requiring reduced coefficient storage
US5892468A (en)Digital-to-digital conversion using nonuniform sample rates
KR20060082803A (en) Sample rate converter
US7408485B1 (en)Asynchronous sampling rate converter and method for audio DAC
KR100218812B1 (en)Sampling frequency converter
EP2771973B1 (en)Asynchronous sample rate converter
JP2009504107A (en) Asynchronous sample rate converter
JP2006345508A (en)Method and device for converting sampling frequency of digital signal
US10680794B2 (en)Sample rate conversion by Gaussian blur
US7126505B2 (en)Method for implementing a fractional sample rate converter (F-SRC) and corresponding converter architecture
JP5234798B2 (en) Sampling frequency converter
EP1742357A1 (en)Sample rate converter for a sigma delta DAC with an AES-EBU interface
EP1681766B1 (en)Sample rate converter
US20250150060A1 (en)Converting a digital signal from a first sampling rate to a second sampling rate
JP4276258B2 (en) System and method for implementing sample rate converters using hardware and software to maximize speed and flexibility
JP4651311B2 (en) System equipped with sampling conversion means and digital filter
US20080013560A1 (en)Data stream adapter
TW202535015A (en)Converting a digital signal from a first sampling rate to a second sampling rate

Legal Events

DateCodeTitleDescription
PUAIPublic reference made under article 153(3) epc to a published international application that has entered the european phase

Free format text:ORIGINAL CODE: 0009012

AKDesignated contracting states

Kind code of ref document:A1

Designated state(s):AT BE BG CH CY CZ DE DK EE ES FI FR GB GR HU IE IS IT LI LT LU LV MC NL PL PT RO SE SI SK TR

AXRequest for extension of the european patent

Extension state:AL BA HR MK YU

AKXDesignation fees paid
STAAInformation on the status of an ep patent application or granted ep patent

Free format text:STATUS: THE APPLICATION IS DEEMED TO BE WITHDRAWN

18DApplication deemed to be withdrawn

Effective date:20070711

REGReference to a national code

Ref country code:DE

Ref legal event code:8566


[8]ページ先頭

©2009-2025 Movatter.jp