



Die Erfindung betrifft ein koaxiales abgleichbares Filter, mit mindestens einer Stufe, die einen Außenleiter, einen ersten Innenleiter und einen mit letzterem kapazitiv gekoppelten, achsgleichen, zweiten Innenleiter umfasst.The invention relates to a coaxial tunable filter, comprising at least one stage which comprises an outer conductor, a first inner conductor and a second inner conductor, which is capacitively coupled to the latter and has the same axis.
Die Spulen und Kondensatoren für Filter für Frequenzen oberhalb einigen hundert Mhz können zwar durch Leitungsstücke geeigneter Länge und mit entsprechenden Wellenwiderständen nachgebildet werden. Während sich Induktivitäten mit dem jeweils benötigten Wert durch kurze Leitungsstücke mit hohen Wellenwiderständen verhältnismäßig einfach realisieren lassen, ist es fertigungstechnisch nahezu unmöglich, die Kapazitätswerte von wenigen pF hinreichend genau durch kapazitiv gekoppelte Innenleiter einzuhalten. Fertigungsbedingte Toleranzen der Kapazitätswerte verschlechtern jedoch den Frequenzgang erheblich. Für den in Fig. 1 dargestellten Hochpass verdeutlich dies das Diagramm in Fig. 2. Die Kurve 1 zeigt den frequenzabhängigen Verlauf des Reflexionsfaktors für die Sollwerte der Induktivitäten und der Kapazitäten. Die Kurve 2 zeigt den Verlauf des Reflexionsfaktors bei Abweichung der Kapazitätswerte um 10 % vom Sollwert. Wegen dieser Schwierigkeit werden mehrkreisige Filter in der Regel in Streifenleitungstechnik und mit abgleichbaren Trimmerkondensatoren hergestellt. Zur Einfügung z.B. in ein koaxiales Antennenspeisekabel sind deshalb am Eingang und am Ausgang entsprechende Übergänge erforderlich.Although the coils and capacitors for filters for frequencies above a few hundred MHz can be simulated by line pieces of suitable length and with corresponding characteristic impedances. While inductances with the respectively required value can be realized relatively easily by means of short line sections with high characteristic impedances, it is virtually impossible in terms of production technology to maintain the capacitance values of a few pF sufficiently accurately by capacitively coupled internal conductors. Production-related tolerances of the capacitance values, however, considerably impair the frequency response. 1 illustrates the diagram in FIG. 2.
Zwar ist auch ein einstufiges Filter in koaxialer Ausführung gemäß der einleitend genannten Gattung bekannt. Die sich gegenüberstehenden Flächen des ersten und des zweiten Innenleiters sind so dimensioniert, dass sie, gegebenenfalls in Verbindung mit einem anderen Dielektrikum als Luft, eine Längskapazität mit einem vorgegebenen Wert bilden. Wenn dieser Wert einstellbar sein soll, kann einer der Innenleiter teleskopisch ausgebildet sein. Der verschiebbare Teil dieses Innenleiters ist mit dessen feststehendem Teil galvanisch, z.B. über Federlamellen, kontaktiert. An solchen Kontaktstellen entstehen jedoch Intermodulationsprodukte, die bei hohen Anforderungen an den Intermodulationsabstand, wie sie z.B. im Mobilfunkbereich gestellt werden, nicht tolerierbar sind.Although a single-stage filter in coaxial design according to the aforementioned type is also known. The facing surfaces of the first and second inner conductors are dimensioned to form a longitudinal capacitance of a predetermined value, optionally in conjunction with a dielectric other than air. If this value is to be adjustable, one of the inner conductors may be formed telescopically. The displaceable part of this inner conductor is electroplated with its fixed part, e.g. via spring blades, contacted. However, at such contact points, intermodulation products arise, which, given high intermodulation distance requirements, e.g. in mobile communications are not tolerable.
Der Erfindung liegt die Aufgabe zugrunde, ein demgegenüber fertigungstechnisch einfacheres, koaxiales Filter zu schaffen, das abgleichbar ist, jedoch keine Intermodulationsprodukte entstehen lässt.The invention has for its object to provide a contrast manufacturing simpler, coaxial filter that can be adjusted, but does not give rise to intermodulation products.
Diese Aufgabe ist erfindungsgemäß durch einen dritten Innenleiter gelöst, der sowohl mit dem ersten als auch mit dem zweiten Innenleiter kapazitiv gekoppelt und axial verschiebbar ist.This object is achieved by a third inner conductor, which is capacitively coupled to both the first and the second inner conductor and axially displaceable.
Das Filter hat somit abgleichbare Längskapazitäten in Koaxialtechnik, kommt jedoch ohne galvanische Kontaktierungen aus und ist somit intermodulationsfrei.The filter thus has tunable longitudinal capacitances in coaxial technology, but does not require galvanic contacts and is therefore intermodulation-free.
Bei einer ersten Ausführungsform sind der erste Innenleiter und der zweite Innenleiter im Bereich ihrer kapazitiven Kopplung von einer Isolierstoffhülse umgeben und der dritte Innenleiter ist als auf der Isolierstoffhülse axial verschiebbare Metallhülse ausgebildet.In a first embodiment, the first inner conductor and the second inner conductor are surrounded by an insulating sleeve in the region of their capacitive coupling, and the third inner conductor is designed as a metal sleeve which is axially displaceable on the insulating sleeve.
Der erste und der zweite Innenleiter können im Bereich ihrer kapazitiven Kopplung teleskopisch ineinandergreifen, bleiben dabei aber galvanisch voneinander getrennt.The first and the second inner conductor can telescopically mesh in the region of their capacitive coupling, but remain galvanically separated from one another.
Die teleskopisch ineinandergreifenden Bereiche des ersten und des zweiten Innenleiters können durch eine Isolierstoffbuchse voneinander getrennt sein. Das hat den Vorteil, dass durch Wahl eines Isolierstoffs mit einer passenden relativen Dielektrizitätskonstante Einfluss auf die Baulänge genommen werden kann.The telescopically engaging portions of the first and second inner conductors may be separated by an insulating sleeve. This has the advantage that it is possible to influence the overall length by choosing an insulating material with a suitable relative dielectric constant.
Bei einer anderen Ausführungsform sind der erste Innenleiter und der zweite Innenleiter zumindet im Bereich ihrer kapazitiven Kopplung rohrförmig ausgebildet und umschließen eine gemeinsame Isolierstoffhülse, in welcher der dritte Innenleiter axial verschiebbar ist, z.B. über einen Längsschlitz in dem ersten und/oder dem zweiten Innenleiter sowie der Isolierstoffhülse.In another embodiment, the first inner conductor and the second inner conductor are at least tubular in area of their capacitive coupling and enclose a common insulating sleeve in which the third inner conductor is axially displaceable, e.g. via a longitudinal slot in the first and / or the second inner conductor and the insulating sleeve.
Zusätzlich können der erste und der zweite Innenleiter relativ zueinander axial verschiebbar sein.In addition, the first and the second inner conductor may be axially displaceable relative to each other.
Zur Durchführung des Abgleichs kann der Außenleiter (mit kreisförmigem oder polyonalem Innenquerschnitt) in Längsrichtung teilbar oder z.B. mit einem abnehmbarel Deckel ausgestattet sein. Stattdessen kann der Außenleiter auch an den Abgleichstellen mit einer verschließbaren Öffnung versehen sein.In order to carry out the adjustment, the outer conductor (with a circular or polyonal inner cross-section) can be divided longitudinally or, for example, in the longitudinal direction. be equipped with a removable lid. Instead, the outer conductor can also be provided at the adjustment points with a closable opening.
In der gefundenen Abgleichposition kann der dritte Innenleiter mit beliebigen, HF-verträglichen Mitteln, also beispielsweise durch Kleben oder durch PTFE-Ringe, fixiert werden.In the matching position found, the third inner conductor can be fixed with any suitable HF-compatible means, for example by gluing or by PTFE rings.
Es hat sich gezeigt, dass es in der Serienfertigung in der Regel genügt, den Abgleich an einem Musterstück des Filters vorzunehmen und die gefundenen Positionen der Innenleiter ohne nochmaligen elektrischen Abgleich auf die anderen Filter der gleichen Serie zu übertragen.It has been shown that it is usually sufficient in series production, the adjustment to a sampling of the filter and transfer the found positions of the inner conductors to the other filters of the same series without renewed electrical adjustment.
Vereinfachte und insbesondere nur einstufige Ausführungsbeispiele des Filters nach der Erfindung sind in den weiteren Figuren in Teillängsschnitten dargestellt. Es zeigt:
In Fig. 3 sind ein erster Innenleiter 1 und ein zweiter Innenleiter 2 in einem Außenleiter 5 angeordnet. Die Stirnfläche des Innenleiters 1 steht derjenigen des Innenleiters 2 in einem gegebenen Abstand gegenüber. Auf eine rechnerisch ermittelte Länge haben die Innenleiter 1 und 2 Abschnitte 1.1 und 2.1 mit verringertem Durchmesser. Die Abschnitte 1.1 und 2.1 sitzen in einer gemeinsamen Isolierstoffhülse 4. Die Isolierstoffhülse 4 ist von einem dritten, rohrförmigen Innenleiter 3 umgeben, der um eine Strecke a in Richtung des Innenleiters 1 oder des Innenleiters 2 axial verschiebbar ist. Die Innenleiter 1 und 2 einschließlich ihrer Abschnitte 1.1 und 2.1 sowie der Innenleiter 3 wirken in Verbindung mit dem Außenleiter 5 als Induktivitäten, deren Werte sich z.B. mittels der handelsüblichen Software APLAC aus den entsprechenden Durchmessern und Längen errechnen lassen.In FIG. 3, a first
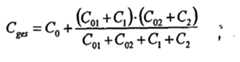
Fig. 4 veranschaulicht die zwischen den galvanisch getrennten Innenleitern bestehenden Längskapazitäten sowie das entsprechende Satzschaltbild. Unter Vernachlässigung der Randkapazitäten ergeben sich die jeweiligen Kapazitätswerte aus der bekannten Formel
worin C den Kapazitätswert, A die Fläche, d den Abstand, ∈0 die absolute Dielektrizitätskonstante und ∈r die relative Dielektrizitätskonstante bedeuten. Der Wert der Gesamtlängskapazität beträgt dann
where C is the capacitance value, A the area, d the distance, ∈0 the absolute dielectric constant and ∈r the relative dielectric constant. The value of the total longitudinal capacity is then
Fig. 5 zeigt eine Abwandlung der Ausführungsform gemäß den Figuren 3 und 4. Die Abschnitte 1.1 und 2.1 der Innenleiter 1 und 2 stehen sich nicht mehr mit ihren Stirnflächen in einem vorgegebenen Abstand gegenüber sondern greifen teleskopisch ineinander. Zwischen dem Abschnitt 1.1 des Innenleiters 1 und dem Abschnitt 2.1 des Innenleiters 2 ist eine Isolierstoffbüchse 6 angeordnet. Sowohl über die Eintauchtiefe des Innenleiterabschnitts 1.1 als auch durch die Dicke und das Material der Isolierstoffbuchse 6 lässt sich der Wert von C0 beeinflussen. Der Feinabgleich erfolgt wie im Fall der Fig. 3 durch Verschieben des dritten Innenleiters 3.Fig. 5 shows a modification of the embodiment according to Figures 3 and 4. The sections 1.1 and 2.1 of the
Fig. 6 zeigt eine andere, jedoch auf dem gleichen Prinzip beruhende Ausführungsform. Die Innenleiter 1 und 2 enden jeweils in rohrförmigen oder hohlzylindrischen Abschnitten 1.2 bzw. 2.2. Diese Abschnitte umschließen eine gemeinsame Isolierstoffhülse 4.1. In dieser ist ein dritter Innenleiter 3.1 axial verschiebbar um eine Strecke a angeordnet. Im Bereich ihrer einander gegenüberliegenden Stirnränder haben die Abschnitte 1.2 und 2.2 der Innenleiter 1 und 2 sowie die Isolierstoffhülse 4.1 einen gemeinsamen Längsschlitz S, über den eine Querbohrung 3.1.1 des dritten Innenleiters 3 zugänglich ist, um letzteren mittels eines geeigneten Werkzeuges zum Zweck des Abgleichs axial verschieben zu können.Fig. 6 shows another embodiment based on the same principle. The
Fig. 7 zeigt die entsprechenden Längskapazitäten in Verbindung mit dem Ersatzschaltbild.Fig. 7 shows the corresponding longitudinal capacitances in connection with the equivalent circuit diagram.
Der Wert der Gesamtlängskapazität zwischen dem Innenleiter 1 und dem Innenleiter 2 ist folglich
| Application Number | Priority Date | Filing Date | Title |
|---|---|---|---|
| DE102005005088 | 2005-02-03 |
| Publication Number | Publication Date |
|---|---|
| EP1689019A1true EP1689019A1 (en) | 2006-08-09 |
| Application Number | Title | Priority Date | Filing Date |
|---|---|---|---|
| EP06001134AWithdrawnEP1689019A1 (en) | 2005-02-03 | 2006-01-19 | Balanced coaxial filter |
| Country | Link |
|---|---|
| US (1) | US7348869B2 (en) |
| EP (1) | EP1689019A1 (en) |
| CN (1) | CN1815801A (en) |
| Publication number | Priority date | Publication date | Assignee | Title |
|---|---|---|---|---|
| WO2009012794A1 (en)* | 2007-07-24 | 2009-01-29 | Huber+Suhner Ag | Lightning and overvoltage protector |
| DE102009019547A1 (en)* | 2009-04-30 | 2010-11-11 | Kathrein-Werke Kg | A filter assembly |
| DE102009031373A1 (en)* | 2009-07-01 | 2011-01-05 | Kathrein-Werke Kg | High frequency filter |
| GB2543509B (en)* | 2015-10-19 | 2020-10-14 | Creo Medical Ltd | Electrosurgical instrument |
| US9614267B1 (en)* | 2016-05-16 | 2017-04-04 | Maury Microwave, Inc. | Broadband RF capacitors for coaxial line |
| EP4492407A1 (en)* | 2023-07-11 | 2025-01-15 | Spinner GmbH | Coaxial line with increased bandwidth |
| Publication number | Priority date | Publication date | Assignee | Title |
|---|---|---|---|---|
| DE911627C (en)* | 1951-08-09 | 1954-05-17 | Int Standard Electric Corp | Device for amplitude control |
| DE1052485B (en)* | 1957-07-08 | 1959-03-12 | Marconi Wireless Telegraph Co | Rotary coupling for a coaxial line |
| US4616195A (en)* | 1985-03-08 | 1986-10-07 | Hughes Aircraft Company | Coaxial phase shifter for transverse electromagnetic transmission line |
| DE19907413C1 (en)* | 1999-02-20 | 2000-08-31 | Forschungszentrum Juelich Gmbh | Coaxial waveguide for high power HF signal transfer, includes two inner waveguide sections with their ends connected together, surrounded by an outer waveguide element |
| Publication number | Priority date | Publication date | Assignee | Title |
|---|---|---|---|---|
| US2577511A (en)* | 1946-05-24 | 1951-12-04 | Seymour B Cohn | Tunable radio frequency filter |
| DE1062485B (en) | 1958-01-15 | 1959-07-30 | Westinghouse Bremsen Gmbh | Pneumatic device for adjusting the fuel supply of two internal combustion engines working on a common output shaft |
| US3393384A (en)* | 1964-08-28 | 1968-07-16 | Nasa Usa | Radio frequency coaxial high pass filter |
| US3939443A (en)* | 1972-01-07 | 1976-02-17 | Finommechanikai Vallalat | Frequency-selective coupling for high-frequency electromagnetic waves |
| US4303899A (en)* | 1980-05-05 | 1981-12-01 | The United States Of America As Represented By The Secretary Of The Army | Matched high Q, high frequency resonators |
| Publication number | Priority date | Publication date | Assignee | Title |
|---|---|---|---|---|
| DE911627C (en)* | 1951-08-09 | 1954-05-17 | Int Standard Electric Corp | Device for amplitude control |
| DE1052485B (en)* | 1957-07-08 | 1959-03-12 | Marconi Wireless Telegraph Co | Rotary coupling for a coaxial line |
| US4616195A (en)* | 1985-03-08 | 1986-10-07 | Hughes Aircraft Company | Coaxial phase shifter for transverse electromagnetic transmission line |
| DE19907413C1 (en)* | 1999-02-20 | 2000-08-31 | Forschungszentrum Juelich Gmbh | Coaxial waveguide for high power HF signal transfer, includes two inner waveguide sections with their ends connected together, surrounded by an outer waveguide element |
| Publication number | Publication date |
|---|---|
| CN1815801A (en) | 2006-08-09 |
| US7348869B2 (en) | 2008-03-25 |
| US20060170522A1 (en) | 2006-08-03 |
| Publication | Publication Date | Title |
|---|---|---|
| DE69320884T2 (en) | Wave filter with well-insulated dielectric resonators | |
| EP2449622B1 (en) | High frequency filter | |
| EP0255068B1 (en) | Filter for short electromagnetic waves having the shape of comb filters or interdigital filters | |
| EP2912714B1 (en) | Tunable high frequency filter | |
| EP2735052B1 (en) | Nondirectional rf power divider | |
| DE837404C (en) | Connection piece for connecting an earth symmetrical circuit with an earth asymmetrical one | |
| EP1689019A1 (en) | Balanced coaxial filter | |
| EP2374182B1 (en) | Filter arrangement | |
| DE69712802T2 (en) | Dielectric filter | |
| DE2610013C3 (en) | Resonator | |
| DE10328881B3 (en) | Contactless high-frequency connector, has two connector parts axially and radially positioned by fixing and centering device | |
| DE4291983C2 (en) | Tunable maximum frequency bandstop filter device | |
| DE1926501C3 (en) | Low-pass filter for electrical oscillations | |
| EP3298649B1 (en) | High-frequency conductor system with cable-bound rf bushing | |
| DE3508401A1 (en) | DEVICE FOR SUPPRESSING HIGH FREQUENCY INTERFERENCE | |
| DE102005052637A1 (en) | Monolithic integrated circuit | |
| DE1942909A1 (en) | Filter for very short electromagnetic waves | |
| DE2431278C2 (en) | Quadrupole filter | |
| EP1011166A1 (en) | Microwave coupling element | |
| DE1942178C3 (en) | Bandpass filter designed as a comb line or interdigital filter | |
| DE2643096C3 (en) | Filter for very short electromagnetic waves | |
| EP2533354B1 (en) | Device for coupling an HF signal along a signal path | |
| DE2243787C3 (en) | Cross connection effective as a bandstop filter | |
| DE1591559C3 (en) | Radio frequency line connection | |
| DE102015002579A1 (en) | High frequency filter in cavity construction |
| Date | Code | Title | Description |
|---|---|---|---|
| PUAI | Public reference made under article 153(3) epc to a published international application that has entered the european phase | Free format text:ORIGINAL CODE: 0009012 | |
| 17P | Request for examination filed | Effective date:20060614 | |
| AK | Designated contracting states | Kind code of ref document:A1 Designated state(s):AT BE BG CH CY CZ DE DK EE ES FI FR GB GR HU IE IS IT LI LT LU LV MC NL PL PT RO SE SI SK TR | |
| AX | Request for extension of the european patent | Extension state:AL BA HR MK YU | |
| AKX | Designation fees paid | Designated state(s):AT BE BG CH CY CZ DE DK EE ES FI FR GB GR HU IE IS IT LI LT LU LV MC NL PL PT RO SE SI SK TR | |
| 17Q | First examination report despatched | Effective date:20070806 | |
| GRAP | Despatch of communication of intention to grant a patent | Free format text:ORIGINAL CODE: EPIDOSNIGR1 | |
| STAA | Information on the status of an ep patent application or granted ep patent | Free format text:STATUS: THE APPLICATION IS DEEMED TO BE WITHDRAWN | |
| 18D | Application deemed to be withdrawn | Effective date:20081210 |