Movatterモバイル変換


[0]ホーム

URL:


EP1081137A1 - Selective inhibitors of aggrecanase in osteoarthritis treatment - Google Patents

Selective inhibitors of aggrecanase in osteoarthritis treatment
Download PDF

Info

Publication number
EP1081137A1
EP1081137A1EP00306745AEP00306745AEP1081137A1EP 1081137 A1EP1081137 A1EP 1081137A1EP 00306745 AEP00306745 AEP 00306745AEP 00306745 AEP00306745 AEP 00306745AEP 1081137 A1EP1081137 A1EP 1081137A1
Authority
EP
European Patent Office
Prior art keywords
methyl
formula
compound
hydroxy
carboxylic acid
Prior art date
Legal status (The legal status is an assumption and is not a legal conclusion. Google has not performed a legal analysis and makes no representation as to the accuracy of the status listed.)
Withdrawn
Application number
EP00306745A
Other languages
German (de)
French (fr)
Inventor
Mark Carl Pfizer Inc. Central Res. Div. Noe
Michael A. Pfizer Inc. Central Res. Div Letavic
Joel M. Pfizer Inc. Central Res. Div. Hawkins
Current Assignee (The listed assignees may be inaccurate. Google has not performed a legal analysis and makes no representation or warranty as to the accuracy of the list.)
Pfizer Products Inc
Original Assignee
Pfizer Products Inc
Priority date (The priority date is an assumption and is not a legal conclusion. Google has not performed a legal analysis and makes no representation as to the accuracy of the date listed.)
Filing date
Publication date
Application filed by Pfizer Products IncfiledCriticalPfizer Products Inc
Publication of EP1081137A1publicationCriticalpatent/EP1081137A1/en
Withdrawnlegal-statusCriticalCurrent

Links

Classifications

Definitions

Landscapes

Abstract

This invention relates to a method of treatment for osteoarthritis involving inhibitors ofaggrecanase that demonstrate IC50s of less than 20 nM and demonstrate differential potencyagainst matrix metalloproteinases (MMPs) and a disintegrin and metalloproteinases (ADAMsor reprolysins). This invention also relates to compounds, methods of treatment andcomposition of Formula I:
Figure 80000001
or a therapeutically acceptable salt thereof, wherein
  • X is carbon or nitrogen;
  • R1 and R2 are independently selected from the group consisting of hydrogen, hydroxy,and methyl, wherein at least one of R1 and R2 is methyl;
  • R3 and R4 are independently selected from the group consisting of hydrogen, hydroxy,and methyl, or R3 and R4 may be taken together to form a carbonyl group; and
  • R5 and R6 are independent substituents in the ortho, meta, or para positions and areindependently selected from the group consisting of hydrogen, halogen, cyano, methyl, andethyl;
  • with the provisos:
  • when X is carbon, then R7 and R8 are both hydrogen and at least one of R1, R2, R3,and R4 is hydroxy;
  • when X is carbon and R5 is para-halo, then at least one of R6, R3, and R4 is nothydrogen;
  • when X is nitrogen, then R8 is not present and R7 is hydrogen or a group of theformula:
    Figure 80000002
  • wherein, Y is -CH2-NH2 or -NH-CH3; and
  • when X is nitrogen and R7 is H, then R3 and R4 are taken together to form a carbonylgroup.
  • Description

      Technical Field
    • The current invention concerns carboxylic acid hydroxyamide derivatives that arehighly potent inhibitors of aggrecanase proteolytic activity and that inhibit other enzymesimplicated in joint disease, particularly matrix metalloproteinases (MMPs) and the a disintegrinand metalloproteinases (ADAMs or reprolysins). The current invention also relates tosynthetic precursors to the carboxylic acid hydroxyamide inhibitors, to pharmaceuticalcompositions, and to methods of treatment, especially the treatment of osteoarthritis
    • Background of the Invention
    • Osteoarthritis is characterized by progressive enzymatic destruction of type IIcollagen and aggrecan, which are the two major components of cartilage matrix. Type IIcollagen is essential for cartilage tensile strength and its degradation causes progression ofosteoarthritis.
    • Aggrecan is composed of a core protein of approximately 2400 amino acids. Themolecule consists of several structural and functional domains (Falnneryet al., Matrix Biology16, 1998, 507-511). Three domains are defined on the N-terminal side: (1) the G1, (2) theinterglobular, and (3) the G2 domain. The aggrecan C-terminal side comprises twoglycosaminoglycan rich domains. As shown in the aggrecan representation below, the G1domain is separated from a second globular domain, G2, by about 150 amino acids, knownas the interglobular domain. From the G2 domain to the C-terminus there is a long extendedregion consisting of two glycosaminoglycan-rich domains. The first is rich in keratan sulfate,whereas that which follows is rich in chondroitin sulfate.
      Figure 00010001
    • The G1 domain of aggrecan binds to long hyaluronic acid polymers, thereby formingmulti molecular aggregates that effectively immobilize aggrecan within the collagen fibrillarmeshwork. The glycosaminoglycan domains provide osmotic pressure, which enablescartilage to resist compression.
    • Current osteoarthritis therapies (e.g., non-steroidal anti-inflamatories or NSAIDs)have limited symptomatic benefit and have only modest, if any, effects on slowing cartilagedestruction in osteoarthritic joints. NSAIDs, such as, acetaminophen, act by inhibiting thesynthesis of cytokines, such as, prostaglandins that cause pain, and swelling. Thus, NSAIDsdo not directly prevent cartilage destruction, whereas inhibitors of cartilage degrading enzymes will block cartilage collagen and aggrecan degradation thereby blocking or slowingthe progression of osteoarthritis. Thus, inhibition of the enzymes should have a more directand specific effect on cartilage breakdown than cytokine inhibition.
    • The loss of aggrecan contributes to the progression of osteoarthritis. In osteoarthritisand rheumatoid arthritis, aggrecan is one of the first cartilage matrix components to undergomeasurable loss (Mankinet al., J. Bone Joint Surg. 52A, 424-434 (1970)).
    • In human arthritis, aggrecan degradation is associated with amino acid cleavagewithin the interglobular domain, at either the Asn341-Phe342 or the Glu373-Ala374 site.In vitrostudies have demonstrated that the aggrecan Asn341-Phe342 bond can be cleaved by severalcollagenases including collagenase-1 and collagenase-3 (Fonsanget al., FEBS Lett. 380: 17-20,1996a), however, digestion of aggrecan with a number of these purified proteases has notresulted in cleavage at the Glu373-Ala374 site (Fonsanget al., J. Biol. Chem. 267, 19470-19074,(1992); Flannery et alJ. Biol. Chem. 267, 1008-1014 (1992)).
    • Recently, an enzyme that demonstrated aggrecanase proteolytic activity -i.e., cleavesthe Glu373-Ala374, but not the Asn341-Phe342 site of aggrecan- has been identified (Arneret al.,PCT publication WO 99/05291; Arneret al., J. Biol. Chem. 274(10) 6594-6601 (1999); andTortorella etal., Science 284, 1664-1666 (1999)). The enzyme was designated aggrecandegrading metalloprotease (ADMP) or ADAMTS-4.
    • WO 99/05291 teaches that the zymogen form of the isolated and purified ADMPconsist of a propeptide domain containing a furin cleavage site, a metalloprotease domain, ana disintegrin-like domain, and a thrombospondin homologous domain (i.e., region of themolecule containing one or more thrombospondin type 1 (TSP1 ) repeats).
    • ADAMTS-4 is classified within theadisintegrinandmetalloproteinase (ADAM orreprolysin) subfamily of the metazincins (Rawlingset al., Methods in Enzymology 248, 183-228(1995) and Stockeret al., Protein Science 4, 823-840 (1996)). ADAMs represent a newfamily of genes that show a significant sequence similarity to snake venom metalloproteinaseand disintegrin (Hiteet al., Biochemistry 31, 6203-6211 (1992); Wolfberget al., J. Cell Bio.131, 275-278 (1995)).
    • Some ADAMS cause the release of inflammatory cytokines and the levels of theseharmful ADAMs are often increased in joint disease. For example, ADAM-17-also known astumor necrosis factor-alpha converting enzyme (TACE)- is responsible for cleavage of cellbound tumor necrosis factor-alpha (TNF-α). TNF-α is involved in many auto-immunediseases (W. Friers,FEBS letters 285, 199 (1991)). There are two forms of TNF-α, a type IImembrane protein of relative molecular mass 26 kD and a soluble 17 kD form generated fromthe cell bound TNF-α by specific TACE proteolytic cleavage. The 17 kD form of TNF-α isreleased by the cell and is associated with the deleterious side effects of TNF-α. Thus,inhibitors of TACE prevent the formation of soluble TNF-α and so obviate its toxic side effects.
    • On the other hand, there are instances where compounds that inhibit matrixdegrading enzymes-such as, MMP-13 and aggrecanase- but do not have a strong TACEinhibitory action, are preferred.
    • Other ADAMs include ADAMTS-1 (Kunoet al., J. Biol. Chem. 272, 556-562 (1997)and Tang et al., FEBS Letters 445, 223, 1999), and ADAMs 10, 12, and 15 (Wuet al.,Biochem. Biophys. Res. Comm. 235, 437-442 (1997)).
    • Collagen destruction by the MMP subfamily of the zinc metalloendopeptidases ischaracteristic of some joint diseases, such as, osteoarthritis. The MMP subfamily containsseventeen identified members (MMP-1, MMP-2, MMP-3, MMP-7, MMP-8, MMP-9, MMP-10,MMP-11, MMP-12, MMP-13, MMP-14, MMP-15, MMP-16, MMP-17, MMP-18, MMP-19,MMP-20). The MMPs are known to regulate the tum-over of extracellular matrix proteins andas such play important roles in normal physiological processes, such as, reproduction,development, and differentiation. But the MMPs are also expressed in many pathologicalsituations in which abnormal connective tissue turnover is occurring.
    • Three matrix metalloproteinases that degrade type II collagen are known, MMP-1,MMP-8, and MMP-13, referred to herein as collagenase-1,-2, and -3, respectively.
    • Collagenase-1 (MMP-1) is expressed in a wide variety of connective tissuesthroughout the body (e.g., skin, cartilage, gingiva, meniscus, tendon, and ligament) (Mitchellet al., J. Clin. Invest. 97, 761-768 (1996) and Wolfeet al., Arthritis Rheum. 36, 1540-1547(1993)).
    • Collagenase-2 (MMP-8) is expressed primarily by neutrophils, but levels of MMP-8mRNA and protein are present in human cartilage. It has been suggested that this enzymemay participate in aggrecan degradation (Chubinskayaet al.,Lab. Invest. 74, 232-240 (1993)and Coleet al., J. Biol. Chem. 271, 11023-11026 (1996)).
    • Collagenase-3 (MMP-13) (Freijeet al., J. Biol. Chem. 269, 16766-16773 (1994) isfound almost exclusively in cartilage. This enzyme has been shown to significantly degradetype II collagen and, in addition, increased amounts are present in human osteoarthriticcartilage (Mitchellet al., J. Clin. Invest. 97, 761-768 (1996)).
    • Matrix metalloproteinase and reprolysin inhibitors are well known in the literature.Specifically, European Patent Publication 606,046, published July 13, 1994, refers to certainheterocyclic MMP inhibitors. United States Patent 5,861,510, issued January 19, 1999, refersto cyclic arylsulfonylamino hydroxamic acids that are useful as MMP inhibitors. PCTPublication WO 98/34918, published August 13, 1998, refers to heterocyclic hydroxamic acidsincluding certain dialkyl substituted compounds that are useful as MMP inhibitors. PCTpublications WO 96/27583 and WO 98/07697, published March 7, 1996 and February 26,1998, respectively, refer to arylsulfonyl hydroxamic acids. PCT publication WO 98/03516,published January 29, 1998 refers to phosphinates with MMP activity. PCT publication 98/33768, published August 6, 1998, refers to N-unsubstituted arylsulfonylamino hydroxamicacids. PCT Publication WO 98/08825, published March 5, 1998, refers to certain MMPinhibitors. Each of the above referenced publications and applications is hereby incorporatedby reference in its entirety.
    • Non-selective collagenase inhibitors, i.e., inhibitors of a broad range of collagenases,are known to block collagen destructionin vivo (Nixonet al., Int. J. Tiss. React. 13, 237-243(1991); Mitchellet al., Annals. New York Acad. Sci. 732, 395-397 (1994); and Mortet al.,Matrix 13, 95-102 (1993)). See also, PCT publications WO 96/33172 and WO 96/27583which teach hydroxamic acids that broadly inhibit MMPs and WO 98/58925 which teachesbarbiturate type MMP inhibitors.
    • Selective Matrix metalloproteinase and reprolysin inhibitors are disclosed in EP935963, published August 18, 1999, and U.S. Non-Provisional Patent Application "TACEInhibitors", filed August 12, 1999, which refers to certain heterocyclic hydroxamic acidcompounds with differential selectivity for MMP-13, MMP-1, TACE, and aggrecanase (both ofwhich are incorporated by reference herein). See also U.S. Non-Provisional PatentApplication "Pyrimidine 2,4,6-Trione Metalloprotease inhibitors", filed August 12, 1999(incorporated herein by reference).
    • Although non-selective collagenase inhibitors are potential therapeutic agents, theycan cause systemic connective tissue toxicity. For example, an inhibitor of both collagenase-3and collagenase-1, revealed significant dose-related connective tissue side effects(Proceedings of ASCO, 15, 490 (1996)). Such connective tissue toxicity significantly limitsthe therapeutic utility of non-selective MMP inhibitors. It has been proposed that the toxicityof non-selective collagenase inhibitors results from suppression of normal connective tissuecollagen turnover by collagenase-1. Collagenase inhibitors without collagenase-1 activityshould therefore, have no or reduced connective tissue toxicity.
    • Diseases in which high potency inhibition of aggrecanase should provide therapeuticbenefit include: osteoarthritis, joint injury, reactive arthritis, acute pyrophosphate arthritis,psoriatic arthritis, and rheumatoid arthritis. Of course, high potency inhibiting compounds aredesired because lower doses can be effective. Furthermore, since it is recognized that variedcombinations and concentrations of pathological enzymes are expressed in different jointdiseases, compounds that inhibit several of the inflammation related proteases in addition toaggrecanase, are desirable.
    • Brief Summary of Invention
    • The present inventors now have discovered compounds that are potent inhibitors ofzinc metalloendopeptidases. Particularly, the compounds are potent and selective inhibitorsof aggrecanase proteolytic activity; TACE; and matrix metalloproteinases-13 (MMP-13). Inanother embodiment, the compounds are potent and selective inhibitors of aggrecanase proteolytic activity and matrix metalloproteinases-13 (MMP-13) that do not significantly inhibitTACE. Preferably, the compounds do not significantly inhibit collagenase-1.
    • One embodiment of the invention relates to compounds of Formula I
      Figure 00050001
         or a therapeutically acceptable salt thereof, wherein
      • X is carbon or nitrogen;
      • R1 and R2 are independently selected from the group consisting of hydrogen, hydroxy,and methyl, wherein at least one of R1 and R2 is methyl;
      • R3 and R4 are independently selected from the group consisting of hydrogen, hydroxy,and methyl, or R3 and R4 may be taken together to form a carbonyl group; and
      • R5 and R6 are independent substituents in the ortho, meta, or para positions and areindependently selected from the group consisting of hydrogen, halogen, cyano, methyl, andethyl;
      •    with the provisos:
        • when X is carbon, then R7 and R8 are both hydrogen and at least one of R1, R2, R3,and R4 is hydroxy;
        • when X is carbon and R5 is para-halo, then at least one of R6, R3, and R4 is nothydrogen;
        • when X is nitrogen, then R8 is not present and R7 is hydrogen or a group of theformula:
          Figure 00050002
        • wherein, Y is -CH2-NH2 or -NH-CH3; and
        • when X is nitrogen and R7 is H, then R3 and R4 are taken together to form a carbonylgroup.
      • The present invention also relates to the pharmaceutically acceptable acid additionsalts of compounds of the formula I. The acids which are used to prepare thepharmaceutically acceptable acid addition salts of the aforementioned base compounds ofthis invention are those which form non-toxic acid addition salts,i.e., salts containingpharmacologically acceptable anions, such as the hydrochloride, hydrobromide, hydroiodide,nitrate, sulfate, bisulfate, phosphate, acid phosphate, acetate, lactate, citrate, acid citrate,tartrate, bitartrate, succinate, maleate, fumarate, gluconate, saccharate, benzoate,methanesulfonate, ethanesulfonate, benzenesulfonate, p-toluenesulfonate and pamoate [i.e.,1,1 '-methylene-bis-(2-hydroxy-3- naphthoate)]salts.
      • The invention also relates to base addition salts of formula I. The chemical basesthat may be used as reagents to prepare pharmaceutically acceptable base salts of thosecompounds of formula I that are acidic in nature are those that form non-toxic base salts withsuch compounds. Such non-toxic base salts include, but are not limited to those derived fromsuch pharmacologically acceptable cations such as alkali metal cations (e.g., potassium andsodium) and alkaline earth metal cations (e.g., calcium and magnesium), ammonium orwater-soluble amine addition salts such as N-methylglucamine-(meglumine), and the loweralkanolammonium and other base salts of pharmaceutically acceptable organic amines.
      • The subject invention also includes isotopically-labeled compounds, which areidentical to those recited in Formula I, but for the fact that one or more atoms are replaced byan atom having an atomic mass or mass number different from the atomic mass or massnumber usually found in nature. Examples of isotopes that can be incorporated intocompounds of the invention include isotopes of hydrogen, carbon, nitrogen, oxygen,phosphorous, fluorine and chlorine, such as2H,3H,13C,14C,15N,18O,17O,31P,32P,35S,18F,and36Cl, respectively. Compounds of the present invention, prodrugs thereof, andpharmaceutically acceptable salts of said compounds or of said prodrugs which contain theaforementioned isotopes and/or other isotopes of other atoms are within the scope of thisinvention. Certain isotopically-labeled compounds of the present invention, for example thoseinto which radioactive isotopes such as3H and14C are incorporated, are useful in drug and/orsubstrate tissue distribution assays. Tritiated, i.e.,3H, and carbon-14, i.e.,14C, isotopes areparticularly preferred for their ease of preparation and delectability. Further, substitution withheavier isotopes such as deuterium, i.e.,2H, can afford certain therapeutic advantagesresulting from greater metabolic stability, for example increasedin vivo half-life or reduceddosage requirements and, hence, may be preferred in some circumstances. Isotopicallylabeled compounds of Formula I of this invention and prodrugs thereof can generally beprepared by carrying out the procedures disclosed in the Schemes and/or in the Examplesand Preparations below, by substituting a readily available isotopically labeled reagent for anon-isotopically labeled reagent.
      • The compounds of formula I may have chiral centers and therefore exist in differentenantiomeric forms. This invention relates to all optical isomers, diastereomers,atropisomers, stereoisomers and tautomers of the compounds of formula I, and mixturesthereof, and the synthetic intermediates described herein.
      • The heterocyclic ring of Formula I is numbered as follows:
        Figure 00070001
      • The term "alkyl", as used herein, unless otherwise indicated, includes saturatedmonovalent hydrocarbon radicals having straight, branched or cyclic moieties or combinationsthereof.
      • The term "alkoxy", as used herein, includes O-alkyl groups wherein "alkyl" is definedabove.
      • The term "aryl", as used herein, unless otherwise indicated, includes an organicradical derived from an aromatic hydrocarbon by removal of one hydrogen, such as phenyl ornaphthyl, optionally substituted by 1 to 3 substituents independently selected from the groupconsisting of fluoro, chloro, cyano, nitro, trifluoromethyl, (C1 - C6)alkoxy, (C6 - C10)aryloxy,trifluoromethoxy, difluoromethoxy, and (C1 - C6)alkyl.
      • The term "heteroatom", as used herein, unless otherwise indicated, refers to N, S, orO.
      • The term "carbonyl", as used herein, unless otherwise indicated, refers to a radical ofthe general formula RCOR', wherein R and R' are independently alkyl, alkoxy, aryl, arylalkylor arylalkyloxy, and the terms "alkyl" and "aryl" are as defined above. R or R' can also be-NRR'. Or R and R' can be taken together as -(CH2)n- to form a ring wherein n = 3-5. In thecases where R and R' are taken together to form a ring, one or more divalent heteroatomsmay be present within the ring.
      • A "small molecule", as used herein, refers to non-DNA, non-RNA, non polypeptide,and non-monoclonal antibody molecules with a molecular weight of under 2000 grams/mole.Preferred small molecules are carboxylic acid hydroxyamide derivatives and barbituratederivatives. More preferred small molecules possess a hydroxamic acid group(-(C=O)(NH)OH), a heterocyclic group, a sulfonamide group, and/or an aryl group.
      • According to the present invention, one stereoisomer, (i.e., geometrical isomer,diastereomer, and enantiomer) may have favorable properties over another. Thus, when disclosing and claiming compounds of the invention, the stereoisomers in substantially stereo-pureform are disclosed and claimed as well. The terms geometrical isomer, diastereomer,and enantiomer as referred to herein, have the standard are recognized meanings (Cf.,Hawley's condensed Chemical dictionary, 11th Ed.).
      • A preferred embodiment of the invention is compounds of Formula I that exhibitaggrecanase IC50s of less than about 20 nM, preferably less than about 10 nM, as measuredby an aggrecanase chondrocyte assay. More preferably the compounds further exhibitcollagenase-1 IC50s of greater than about 200 nM, even more preferably greater than about1000 nM, as measured by a recombinant collagenase-1 assay. Most preferably, the FormulaI compounds further exhibit collagenase-3 IC50s of less than about 20 nM, preferably lessthan about 10nM, as measured by a recombinant collagenase-3 assay.
      • In another preferred embodiment, the invention comprises compounds of Formula Ithat exhibit: aggrecanase IC50s of less than about 20 nM; collagenase-1 IC50s of greater thanabout 200 nM; collagenase-3 IC50s of less than about 20 nM, and further exhibit TACE IC50sof less than about 40 µM, preferably less than about 10 µM, as measured by a TACE wholeblood assay.
      • In yet another embodiment, the invention comprises compounds of Formula I thatexhibit: aggrecanase IC50s of less than about 20 nM; collagenase-1 IC50s of greater thanabout 200 nM; collagenase-3 IC50s of less than about 20 nM, and further exhibit TACE IC50sof greater than about 40 µM.
      • The present invention also concerns a method for treating a medical condition of thetype that is characterized by the destruction of articular cartilage - preferably, joint injury,reactive arthritis, acute pyrophosphate arthritis (pseudogout), psoriatic arthritis, or juvenilerheumatoid arthritis, more preferably osteoarthritis, in a mammalian subject, preferably ahuman subject, which method comprises administering to the subject having said condition atherapeutically effective amount of a compound represented by Formula I. Preferably thecompound of Formula I exhibits an aggrecanase IC50 of less than about 20 nM, morepreferably less than about 10 nM, as measured by an aggrecanase chondrocyte assay.
      • In a preferred version of this method of treatment, the compound also exhibits acollagenase-1 IC50 of greater than about 200 nM, more preferably of greater than about 1000nM, as measured by a recombinant collagenase-1 assay. And in an even more preferredvariant of this embodiment, the compound of Formula I further exhibits a collagenase-3 IC50 ofless than about 20 nM, preferably less than about 10nM, as measured by a recombinantcollagenase-3 assay.
      • In another version of this treatment method, the compound of Formula I exhibits: anaggrecanase IC50 of less than about 20 nM; a collagenase-1 IC50 of greater than about 200nM; and a collagenase-3 IC50 of less than about 20 nM; and further, exhibits a TACE IC50s of less than about 40 µM, more preferably less than about 10 µM, as measured by a TACEwhole blood assay.
      • In yet another embodiment of this treatment method, the compound of Formula Iexhibits: an aggrecanase IC50 of less than about 20 nM; a collagenase-1 IC50 of greater thanabout 200 nM; a collagenase-3 IC50 of less than about 20 nM, and further exhibits a TACEIC50 of greater than about 40 µM.
      • Yet another embodiment of the invention comprises a method for treating a medicalcondition of the type that is characterized by the destruction of articular cartilage - preferably,joint injury, reactive arthritis, acute pyrophosphate arthritis (pseudogout), psoriatic arthritis, orjuvenile rheumatoid arthritis, more preferably osteoarthritis- in a mammalian subject,preferably a human subject, which method comprises administering to the subject having saidcondition a therapeutically effective amount of a compound selected from the groupconsisting of:
        • (2R,3R) 1-[4-(2,4-dichloro-benzyloxy)-benzenesulfonyl]-3-hydroxy-3-methylpiperidine-2-carboxylicacid hydroxyamide;
        • (2R,5R) 1-[4-(2,4-dichloro-benzyloxy)-benzenesulfonyl]-5-hydroxy-3,3-dimethyl-piperidine-2-carboxylicacid hydroxyamide;
        • (2R,3S) 1-[4-(2-methyl-benzyloxy)-benzenesulfonyl]-4-aminoacetyl-3-methyl-piperazine-2-carboxylicacid hydroxyamide;
        • (2R,3S) 1-[4-(4-fluoro-2-methyl-benzyloxy)-benzenesulfonyl]-3-methyl-5-oxo-piperazine-2-carboxylicacid hydroxyamide;
        • (2R,3S) 4-[4-(2-ethyl-benzyloxy)-benzenesulfonyl]-3-methyl-4-carboxylic acidmethylamide-piperazine-2-carboxylic acid hydroxyamide;
        • (2R,3R) 1-[4-(4-fluoro-2-methyl-benzyloxy)-benzenesulfonyl]-3-hydroxy-3-methyl-piperidine-2-carboxylic acid hydroxyamide;
        • (2R,5R) 1-[4-(2-chloro-4-fluoro-benzyloxy)-benzenesulfonyl]-5-hydroxy-3,3-dimethyl-piperidine-2-carboxylicacid hydroxyamide;
        • (2R,3S) 4-[4-(5-fluoro-2-methyl-benzyloxy)-benzenesulfonyl]-3-methyl-4-carboxylicacid methylamide-piperazine-2-carboxylic acid hydroxyamide;
        • (2R,3R) 1-[4-(2-chloro-4-fluoro-benzyloxy)-benzenesulfonyl]-3-hydroxy-3-methyl-piperidine-2-carboxylicacid hydroxyamide;
        • (2R,3R) 1-[4-(2-fluoro-4-chloro-benzyloxy)-benzenesulfonyl]-3-hydroxy-3-methyl-piperidine-2-carboxylicacid hydroxyamide;
        • (2R,5R) 1-[4-(4-fluoro-benzyloxy)-benzenesulfonyl]-5-hydroxy-3,3-dimethyl-piperidine-2-carboxylicacid hydroxyamide;
        • (2R,3S) 1-[4-(2-methyl-5-fluoro-benzyloxy)-benzenesulfonyl]-3-methyl-5-oxo-piperazine-2-carboxylicacid hydroxyamide;
        • (2R,3R) 1-[4-(2-methyl-benzyloxy)-benzenesulfonyl]-3-hydroxy-3-methyl-piperidine-2-carboxylicacid hydroxyamide;
        • (2R,5R) 1-[4-(4-fluoro-2-methyl-benzyloxy)-benzenesulfonyl]-5-hydroxy-3,3-dimethyl-piperidine-2-carboxylicacid hydroxyamide;
        • (2R,5R) 1-[4-(2-methyl-3-fluoro-benzyloxy)-benzenesulfonyl]-5-hydroxy-3,3-dimethyl-piperidine-2-carboxylicacid hydroxyamide;
        • (2R,3R) 1-[4-(2-fluoro-benzyloxy)-benzenesulfonyl]-3-hydroxy-3-methyl-piperidine-2-carboxylicacid hydroxyamide;
        • (2R,3R) 1-[4-(2-chloro-benzyloxy)-benzenesulfonyl]-3-hydroxy-3-methyl-piperidine-2-carboxylicacid hydroxyamide;
        • (2R,3R) 1-[4-(2-methyl-3-fluorobenzyloxy)-benzenesulfonyl]-3-hydroxy-3-methyl-piperidine-2-carboxylicacid hydroxyamide;
        • (2R,5R) 1-[4-(2-methyl-5-chloro-benzyloxy)-benzenesulfonyl]-5-hydroxy-3,3-dimethyl-piperidine-2-carboxylicacid hydroxyamide;
        • (2R,3R) 1-[4-(2-methyl-benzyloxy)-benzenesulfonyl]-3-hydroxy-3-methyl-piperidine-2-carboxylicacid hydroxyamide;
        • (2R,3R) 1-[4-(2,4-difluoro-benzyloxy)-benzenesulfonyl]-3-hydroxy-3-methyl-piperidine-2-carboxylicacid hydroxyamide;
        • (2R,5R) 1-[4-(2-fluoro-5-chloro-benzyloxy)-benzenesulfonyl]-5-hydroxy-3,3-dimethyl-piperidine-2-carboxylicacid hydroxyamide;
        • (2R,3R) 1-[4-(2-methyl-5-fluorobenzyloxy)-benzenesulfonyl]-3-hydroxy-3-methyl-piperidine-2-carboxylicacid hydroxyamide;
        • (2R,5R) 1-[4-(2-bromo-benzyloxy)-benzenesulfonyl]-5-hydroxy-3,3-dimethyl-piperidine-2-carboxylicacid hydroxyamide; and
        • (2R,3S) 4-[4-(2,4-difluoro-benzyloxy)-benzenesulfonyl]-3-methyl-4-carboxylic acidmethylamide-piperazine-2-carboxylic acid hydroxyamide.
        • Another embodiment of the invention relates to a method for treating a medicalcondition of the type that is characterized by the destruction of articular cartilage - preferably,joint injury, reactive arthritis, acute pyrophosphate arthritis (pseudogout), psoriatic arthritis, orjuvenile rheumatoid arthritis, more preferably osteoarthritis- in a mammalian subject,preferably a human subject, which method comprises administering to the subject having saidcondition a therapeutically effective amount of a benzyloxy-aryl-sulfonyl-piperidine-carboxylicacid hydroxamide compound of the formula:
          Figure 00110001
          or a therapeutically acceptable salt thereof, wherein
          • R1 and R2 are independently selected from the group consisting of hydrogen, hydroxy,and methyl, wherein at least one of R1 and R2 is methyl;
          • R3 and R4 are independently selected from the group consisting of hydrogen, hydroxy,and methyl;
          • R5 and R6 are independent substituents in the ortho, meta, or para positions and areindependently selected from the group consisting of hydrogen, halogen, cyano, methyl, andethyl;
          • and the compound exhibits an aggrecanase IC50 of less than about 20 nM, saidaggrecanase IC50 measured by an aggrecanase chondrocyte assay;
          •    with the provisos:
            • at least one of R1, R2, R3, and R4 is hydroxy; and
            • when R5 is para-halo, then at least one of R6, R3, and R4 is not hydrogen.
          • As used herein, benzyloxy-aryl-sulfonyl-piperidine-carboxylic acid hydroxamidederivatives includes substituted derivatives and analogs. A preferred embodiment of theinvention is benzyloxy-aryl-sulfonyl-piperidine-carboxylic acid hydroxamide derivatives, of theformula above, that exhibit aggrecanase IC50s of less than about 10 nM. More preferably thebenzyloxy-aryl-sulfonyl-piperidine-carboxylic acid hydroxamide compounds further exhibitcollagenase-1 IC50s of greater than about 200 nM, even more preferably greater than about1000 nM, as measured by a recombinant collagenase-1 assay. Most preferably, thebenzyloxy-aryl-sulfonyl-piperidine-carboxylic acid hydroxamide compounds further exhibitcollagenase-3 IC50s of less than about 20 nM, preferably less than about 10nM, as measuredby a recombinant collagenase-3 assay.
          • In another preferred embodiment, the benzyloxy-aryl-sulfonyl-piperidine-carboxylicacid hydroxamide compounds exhibit: collagenase-1 IC50s of greater than about 200 nM;collagenase-3 IC50s of less than about 20 nM, and further exhibit TACE IC50s of less thanabout 40 µM, preferably less than about 10 µM, as measured by a TACE whole blood assay.
          • In yet another preferred embodiment, the benzyloxy-aryl-sulfonyl-piperidine-carboxylicacid hydroxamide compounds exhibit: collagenase-1 IC50s of greater than about200 nM; collagenase-3 IC50s of less than about 20 nM, and further exhibit TACE IC50s ofgreater than about 40 µM.
          • Still another embodiment of the invention concerns a method for treating a medicalcondition of the type that is characterized by the destruction of articular cartilage - preferably,joint injury, reactive arthritis, acute pyrophosphate arthritis (pseudogout), psoriatic arthritis, orjuvenile rheumatoid arthritis, more preferably osteoarthritis- in a mammalian subject,preferably a human subject, which method comprises administering to the subject having saidcondition a therapeutically effective amount of a benzyloxy-aryl-sulfonyl-piperazine-carboxylicacid hydroxamide compound represented by the formula:
            Figure 00120001
            or a therapeutically acceptable salt thereof, wherein
            • R1 and R2 are independently selected from the group consisting of hydrogen, hydroxy,and methyl, wherein at least one of R1 and R2 is methyl;
            • R3 and R4 are independently selected from the group consisting of hydrogen, hydroxy,and methyl, or R3 and R4 may be taken together to form a carbonyl group;
            • R5 and R6 are independent substituents in the ortho, meta, or para positions and areindependently selected from the group consisting of hydrogen, halogen, cyano, methyl, andethyl; and
            • R7 is hydrogen or a group of the formula:
              Figure 00120002
              • wherein, Y is -CH2-NH2 or -NH-CH3; and
              • the compound exhibits an aggrecanase IC50 of less than about 20 nM, saidaggrecanase IC50 measured by an aggrecanase chondrocyte assay;
              • with the proviso that when R7 is hydrogen, then R3 and R4 are taken together to forma carbonyl group.
            • As used herein, benzyloxy-aryl-sulfonyl-piperiazine-carboxylic acid hydroxamidederivatives includes substituted derivatives and analogs. In a preferred embodiment of theinvention, the benzyloxy-aryl-sulfonyl-piperazine-carboxylic acid hydroxamide compounds, ofthe above formula, exhibit an aggrecanase IC50s of less than about 10 nM. More preferablythe benzyloxy-aryl-sulfonyl-piperazine-carboxylic acid hydroxamide compounds further exhibitcollagenase-1 IC50s of greater than about 200 nM, even more preferably greater than about1000 nM, as measured by a recombinant collagenase-1 assay. Most preferably, thebenzyloxy-aryl-sulfonyl-piperazine-carboxylic acid hydroxamide compounds further exhibitcollagenase-3 IC50s of less than about 20 nM, more preferably less than about 10nM, asmeasured by a recombinant collagenase-3 assay.
            • In another embodiment, the benzyloxy-aryl-sulfonyl-piperazine-carboxylic acidhydroxamide compounds exhibit: collagenase-1 IC50s of greater than about 200 nM;collagenase-3 IC50s of less than about 20 nM, and further exhibit TACE IC50s of less thanabout 40 µM, preferably less than about 10 µM, as measured by a TACE whole blood assay.In yet another preferred embodiment, the benzyloxy-aryl-sulfonyl-piperazine-carboxylicacid hydroxamide compounds exhibit: collagenase-1 IC50s of greater than about200 nM; collagenase-3 IC50s of less than about 20 nM, and further exhibit TACE IC50s ofgreater than about 40 µM.
            • In still another embodiment, the present invention relates to a method for treating amedical condition of the type that is characterized by the destruction of articular cartilage,preferably joint injury, reactive arthritis, acute pyrophosphate arthritis (pseudogout), psoriaticarthritis, osteoarthritis or juvenile rheumatoid arthritis, more preferably osteoarthritis, in amammalian subject, preferably a human subject, which method comprises administering tothe subject having said condition a therapeutically effective amount of a small molecule,wherein the small molecule exhibits an aggrecanase IC50 of less than about 20 nM, preferablyless than about 10 nM, as measured by an aggrecanase chondrocyte assay, most preferablya compound of formula I. A small molecule, as used herein, refers to non-DNA, non-RNA,non polypeptide, and non-monoclonal antibody molecules with a molecular weight of under2000 grams/mole. Preferred small molecules are carboxylic acid hydroxyamide derivativesand barbiturate derivatives.
            • The present invention also relates to a method for treating a condition selected from thegroup consisting of inflammatory bowel disease, Crohn's disease, emphysema, acuterespiratory distress syndrome, asthma, chronic obstructive pulmonary disease, Alzheimer'sdisease, organ transplant toxicity, cachexia, allergic reactions, allergic contact hypersensitivity,cancer (such as tumor invasion, tumor growth, tumor metastasis, solid tumor cancer,including colon cancer, breast cancer, lung cancer and prostrate cancer and hematopoieticmalignancies including leukemias and lymphomas), tissue ulceration, restenosis, periodontal disease, epidermolysis bullosa, osteoporosis, loosening of artificial joint implants,atherosclerosis (including atherosclerotic plaque rupture), aortic aneurysm (including abdominalaortic aneurysm and brain aortic aneurysm), congestive heart failure, myocardial infarction,stroke, cerebral ischemia, head trauma, spinal cord injury, neuro-degenerative disorders (acuteand chronic), autoimmune disorders, Huntington's disease, Parkinson's disease, migraine,depression, peripheral neuropathy, pain, cerebral amyloid angiopathy, nootropic or cognitionenhancement, amyotrophic lateral sclerosis, multiple sclerosis, ocular angiogenesis, comealinjury, macular degeneration, abnormal wound healing, bums, diabetes, comeal scarring,scleritis, AIDS, sepsis and septic shock in a mammal, including a human, comprisingadministering to said mammal an amount of a compound of formula I or a pharmaceuticallyacceptable salt thereof effective in treating such a condition.
            • Preferred carboxylic acid hydroxyamide derivatives contain a piperidine ring, such as,piperidine-2-carboxylic acid hydroxyamide derivatives; preferably, aryl-sulfonyl-piperidine-2-carboxylic acid hydroxyamide derivatives; and even more preferably, benzyloxy-aryl-sulfonyl-piperidine-2-carboxylicacid hydroxyamide derivatives.
            • Other preferred carboxylic acid hydroxyamide derivatives contain a piperazine ring,such as, piperazine-2-carboxylic acid hydroxyamide derivatives, more preferably aryl-sulfonyl-piperazine-2-carboxylicacid hydroxyamide derivatives, and most preferably benzyloxy-aryl-sulfonyl-piperazine-2-carboxylicacid hydroxyamide derivatives.
            • According to the above method of treatment with a small molecule, the smallmolecule preferably, also exhibits a collagenase-1 IC50 of greater than about 200 nM, morepreferably greater than about 1000 nM, as measured by a recombinant collagenase-1 assay;and even more preferably, the small molecule further exhibits a collagenase-3 IC50 of lessthan about 20 nM, preferably less than about 10 nM, as measured by a recombinantcollagenase-3 assay.
            • In another version of the above method of treatment with a small molecule, the smallmolecule exhibits: an aggrecanase IC50 of less than about 20 nM; a collagenase-1 IC50 ofgreater than about 200 nM; a collagenase-3 IC50 of less than about 20 nM, and further, thesmall molecule exhibits a TACE IC50 of less than about 40 µM, preferably less than about 10µM, as measured by a TACE whole blood assay.
            • In yet another embodiment of the above method of treatment with a small molecule,the small molecule exhibits: an aggrecanase IC50 of less than about 20 nM; a collagenase-1IC50 of greater than about 200 nM; a collagenase-3 IC50 of less than about 20 nM, and further,the small molecule exhibits a TACE IC50 of greater than about 40 µM.
            • The present invention also relates to a pharmaceutical composition for the treatmentof a condition of the type characterized by the destruction of articular cartilage, preferably jointinjury, reactive arthritis, acute pyrophosphate arthritis (pseudogout), psoriatic arthritis, osteoarthritis or juvenile rheumatoid arthritis, more preferably osteoarthritis- in a mammaliansubject, preferably a human subject, comprising an amount of a compound of formula I or apharmaceutically acceptable salt thereof effective in such treatments and a pharmaceuticallyacceptable carrier.
            • The present invention also relates to a pharmaceutical composition for the treatment ofa condition selected from the group consisting of inflammatory bowel disease, Crohn's disease,emphysema, acute respiratory distress syndrome, asthma, chronic obstructive pulmonarydisease, Alzheimer's disease, organ transplant toxicity, cachexia, allergic reactions, allergiccontact hypersensitivity, cancer (such as tumor invasion, tumor growth, tumor metastasis,solid tumor cancer, including colon cancer, breast cancer, lung cancer and prostrate cancerand hematopoietic malignancies including leukemias and lymphomas), tissue ulceration,restenosis, periodontal disease, epidermolysis bullosa, osteoporosis, loosening of artificial jointimplants, atherosclerosis (including atherosclerotic plaque rupture), aortic aneurysm (includingabdominal aortic aneurysm and brain aortic aneurysm), congestive heart failure, myocardialinfarction, stroke, cerebral ischemia, head trauma, spinal cord injury, neuro-degenerativedisorders (acute and chronic), autoimmune disorders, Huntington's disease, Parkinson'sdisease, migraine, depression, peripheral neuropathy, pain, cerebral amyloid angiopathy,nootropic or cognition enhancement, amyotrophic lateral sclerosis, multiple sclerosis, ocularangiogenesis, corneal injury, macular degeneration, abnormal wound healing, bums, diabetes,corneal scarring, scleritis, AIDS, sepsis and septic shock in a mammal, including a human,comprising an amount of a compound of formula I or a pharmaceutically acceptable salt thereofeffective in such treatments and a pharmaceutically acceptable carrier.
            • The present invention also relates to a pharmaceutical composition for the treatmentof diseases characterized by metalloproteinase activity (preferably MMP-13) and otherdiseases characterized by mammalian reprolysin activity (preferably TACE or aggrecanaseactivity) in a mammal, including a human, comprising an amount of a compound of formulaIor a pharmaceutically acceptable salt thereof effective in such treatments and apharmaceutically acceptable carrier.
            • The present invention also relates to a pharmaceutical composition for the inhibitionof (a) matrix metalloproteinases or other metalloproteinases involved in matrix degradation, or(b) a mammalian reprolysin (such as aggrecanase or ADAM's TS-1, 10, 12, 15 and 17, mostpreferably ADAM-17) in a mammal, including a human, comprising an effective amount of acompound of formula I or a pharmaceutically acceptable salt thereof and a pharmaceuticallyacceptable carrier.
            • The invention also encompasses chemical intermediates useful for preparing thecompounds of Formula I. One such intermediate is a compound of the formulaXII:
              Figure 00160001
              wherein, X is carbon and R7 and R8 are hydrogen, and R1, R2, R3, and R4 are selected fromthe group consisting of hydrogen, hydroxy, and methyl and R5 and R6 are independentsubstituents in the ortho, meta, or para positions and are independently selected from thegroup consisting of hydrogen, halogen, cyano, methyl, and ethyl.
            • Another such intermediate is compound XIII represented by the formula:
              Figure 00160002
              wherein X is carbon, R7 and R8 are hydrogen, and R1, R2, R3, and R4 are selected from thegroup consisting of hydrogen, hydroxy, and methyl and R5 and R6 are independentsubstituents in the ortho, meta, or para positions and are independently selected from thegroup consisting of hydrogen, halogen, cyano, methyl, and ethyl.
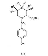
            • Still another intermediate useful for the synthesis of compounds of FormulaI iscompoundXIX represented by the formula:
              Figure 00170001
              wherein X is carbon, R7 and R8 are hydrogen, R1, R2, R3, and R4 are independently selectedfrom the group consisting of hydrogen, hydroxy, and methyl.
            • Another intermediate is a compoundXXVIII represented by the formula:
              Figure 00170002
              wherein X is carbon and R7 and R8 are hydrogen, and R1, R2, R3, and R4 are independentlyselected from the group consisting of hydrogen, hydroxy, and methyl and P6 is hydrogen or asilyl group. Preferably, one of R1, R2, R3, and R4 is hydroxy and one of R1, R2, R3, and R4 isalkyl, preferably methyl. Alternatively, one of R1 and R4 is hydroxy and one of R1 and R4 isalkyl, preferably methyl. In another embodiment of intermediate XXVIII, one of R2 and R3 ishydroxy and one of R2 and R3 is alkyl, preferably methyl. Alternatively, one of R3 and R4 ishydroxy and one of R3 and R4 is alkyl, preferably methyl. In another embodiment ofintermediate XXVIII, one of R1 and R2 is alkyl, preferably methyl and one of R1 and R2 ishydroxy.
            • Yet another intermediate is a compound represented by the formula:
              Figure 00180001
              wherein X is carbon, R7 and R8 are hydrogen, R1,R2, R3, and R4 are independently selectedfrom the group consisting of hydrogen, hydroxy, and methyl, and R5 and R6 are independentsubstituents in the ortho, meta, or para positions and are independently selected from thegroup consisting of hydrogen, halogen, cyano, methyl, and ethyl.
            • A further intermediate useful for the synthesis of compounds of FormulaI iscompoundXXXV represented by the formula:
              Figure 00180002
              wherein Ar is phenyl or phenyl substituted by one or more groups and R10 and R11 areindependently selected from the group consisting of hydrogen, aryl, and (C1-C6)alkyl.Preferably one of R10 and R11 is hydrogen and one of R10 and R11 is methyl, and Ar is phenyl.
            • Other useful intermediates are the two compounds represented by the formulasbelow:
              Figure 00190001
            • A further intermediate useful for the synthesis of compounds of FormulaI iscompoundXXXIX represented by the formula:
              Figure 00190002
              wherein R5 and R6 are independent substituents in the ortho, meta, or para positions and areindependently selected from the group consisting of hydrogen, halogen, cyano, methyl, andethyl.
            • Other intermediates, useful for the preparation of the compounds of FormulaI aredescribed in the General Methods To Prepare Compounds Of Formula I Section.
            • All of the intermediates described herein, may be made in isotopically-labeled form,which intermediates are identical to those recited above, but for the fact that one or moreatoms are replaced by an atom having an atomic mass or mass number different from theatomic mass or mass number usually found in nature. Examples of isotopes that can beincorporated into the intermediates of the invention include isotopes of hydrogen, carbon,nitrogen, oxygen, phosphorous, fluorine and chlorine, such as2H,3H,13C,14C,15N,18O,17O,31P,32P,35S,18F, and35Cl, respectively.
            • The synthetic intermediates of the present invention may also be related to prodrugsof the Formula I compounds. That is, the intermediates described herein may be substitutedwith other groups or protecting groups or their syntheses otherwise altered in a manner wellknown by those skilled in the art to arrive at the desired formula I prodrug.
            • One skilled in the art will also appreciate that when using the compounds of theinvention in the treatment of a specific disease that the compounds of the invention may beadjunctively administered with various existing therapeutic agents used for that disease.
            • For the treatment of rheumatoid arthritis, the compounds of the invention may becombined with agents, such as, TNF-α inhibitors, such as, anti-TNF monoclonal antibodies(such as Remicade®) and TNF receptor immunoglobulin molecules (such as Enbrel®), lowdose methotrexate, lefunimide, hydroxychloroquine, d-penicilamine, auranofin or parenteraloral gold.
            • The compounds of the invention can also be used with existing therapeutic agents forthe treatment of osteoarthritis. Suitable compounds that can be used with the compounds ofthe invention include but are not limited to standard non-steroidal anti-inflammatorycompounds, such as, piroxicam, diclofenac, propionic acids, such as, naproxen, flubiprofen,fenoprofen, ketoprofen, and ibuprofen; fenamates, such as, mefenamic acid, indomethacin,sulindac, apazone, pyrazolones, such as, phenylbutazone, salicylates, such as, aspirin; COX-2inhibitors, such as, celecoxib, valdecoxib, paracoxib and rofecoxib; analgesics, LTD-4, LTB-4and 5-LO inhibitors, p38 kinase inhibitors and intraarticular therapies, such as,corticosteroids and hyaluronic acids, such as, hyalgan and synvisc.
            • The compounds of the present invention may also be used in combination withanticancer agents, such as, endostatin and angiostatin or cytotoxic drugs, such as,adriamycin, daunomycin, cis-platinum, etoposide, taxol, taxotere, and alkaloids, such as,vincristine, and antimetabolites, such as, methotrexate.
            • The compounds of the present invention may also be used in combination withcardiovascular agents, such as, calcium channel blockers, lipid lowering agents, such as,statins, fibrates, beta-blockers, Ace inhibitors, Angiotensin-2 receptor antagonists and plateletaggregation inhibitors.
            • The compounds of the present invention may also be used in combination with CNSagents, such as, antidepressants (like sertraline), anti-Parkinsonian drugs (such as deprenyl,L-dopa, Requip, Mirapex, MAOB inhibitors, such as, selegiline and rasagiline; comPinhibitors, such as, Tasmar, A-2 inhibitors, dopamine reuptake inhibitors, NMDA antagonists,Nicotine agonists, NK-1 inhibitors, Dopamine agonists and inhibitors of neuronal nitric oxidesynthase), and anti-Alzheimer' s drugs, such as, donepezil, tacrine, COX-2 inhibitors,propentofylline or metryfonate.
            • The compounds of the present invention may also be used in combination withosteoporosis agents, such as, roloxifene, droloxifene, lasofoxifene or fosomax, andimmunosuppressant agents, such as, FK-506 and rapamycin.
            • These and other features, aspects, and advantages of the present invention willbecome better understood with regard to the following detailed description, appended claims,and accompanying drawings.
            • Detailed Description of the Invention
            • The following reaction Schemes illustrate the preparation of the compounds of thepresent invention. Unless otherwise specified, R1, R2, R3, R4, R5, R6, R7, and R8 in thereaction Schemes and in the discussion and examples that follow are defined as above.
              Figure 00220001
              Figure 00230001
              Figure 00240001
              Figure 00250001
              Figure 00260001
              Figure 00270001
              Figure 00280001
              Figure 00290001
              Figure 00300001
              Figure 00310001
              Figure 00320001
            • Scheme 1 discloses the general methodology to prepare compounds of Formula I,wherein X is carbon and R3, R4, R7, and R8 are each hydrogen, and R1, R2, R5, and R6 are asabove.
            • One skilled in the art will understand that the compounds of Formula I possess chiralcenters and the compounds of Formula II can be prepared in any desired stereoisomeric formor purity according to the method of Ageno, G.et al., V.Tetrahedron, 1995, 29, 8121 andreferences cited therein (incorporated herein by reference). Referring to Scheme 1, In Step 1,a compound of formula III, wherein P1 is a protecting group, preferably an alkyloxy carbonylgroup, most preferably butyloxycarbonyl, may be prepared by treating a compound of formulaII, wherein P1 is as defined above, with a suitably strong acid, such as, a sulfonic acid,preferablyp-toluenesulfonic acid in an alcoholic solvent, such as, methanol at a temperatureof about 0°C to about 50°C, preferably at a temperature of about 20°C to about 25°C,preferably about 23°C, for a period of time sufficient to effect conversion.
            • According to Step 2 ofScheme 1, a compound of formula IV, wherein P2 is aprotecting group, preferably a silyl group substituted with aryl or alkyl groups, most preferablytertbutyldiphenyl silane, may be prepared by treating a compound of formula III with asilylating agent, preferablytert-butyldiphenylsilyl chloride (TBDPS-CI) in the presence of anamine, preferably imidazole, in a polar aprotic solvent, preferably dimethylformamide at atemperature of about 0°C to about 50°C, preferably at a temperature of about 20°C to about25°C, preferably about 23°C, for a period of time sufficient to effect consumption of acompound of formula III.
            • As shown in Step 3, a compound of formula V may be prepared by treatment of acompound of formula IV with a suitable acid, for example when P1 is t-butyloxy carbonyl,trifluoroacetic acid is used in a suitable solvent, such as an aprotic solvent, preferablymethylene chloride at a temperature of about 0°C to about 20°C to about 25°C, preferablyabout 23°C for about 1 to about 6 hours.
            • According to Step 4, a compound of formula VI, wherein P3 is a protecting group,preferably methylene aryl, most preferably benzyl, may be prepared by treatment of acompound of formula V with about 2 to about 2.5 equivalents of a benzyloxyarylsulfonylhalide. The benzyloxy sulfonyl halide is preferably according to the formula below.
              Figure 00330001
              wherein group L is a halide selected from chloro and bromo and R9 is H or methyl, in a polarsolvent, preferably dimethylformamide at about -10°C to about 23°C for about 1 to about 12hours.
            • Such benzyloxyarylsulfonyl halides are commercially available or can be made bymethods well known to one of ordinary skill in the art, e.g., PCT publication WO 98/07697.
            • As is readily apparent to one of skill in the art, in Step 4, the benzyloxyaryl halide canalso be according to the formula:
              Figure 00340001
                 wherein R5 and R6 are as above. As one of skill in the art would recognize, use ofthis intermediate, wherein the R5 and R6 groups are as desired in the final product, obviatesSteps 7 and 8.
            • As shown in Step 5, a compound of formula VII may be prepared by treatment of acompound of formula VI with a suitable allylic halide, preferably allyl bromide, in the presenceof a suitably strong base, such as a carbonate base, preferably cesium carbonate, in a polarsolvent, preferably an aprotic solvent, most preferably dimethylformamide at a temperature ofabout 0°C to about 100°C, preferably at a temperature of about 20°C to about 25°C,preferably about 23°C for a period of time necessary to effect complete conversion. Ifnecessary, a metal halide salt, such as an iodide salt, preferably potassium iodide, may beadded.
            • According to Step 6, a compound of formula VIII may be prepared by treatment of acompound of formula VII with a catalytic amount of a ruthenium catalyst, preferablybis(tricyclohexylphosphine)benzylidine ruthenium (IV) dichloride in a nonpolar solvent, suchas methylene chloride, in the presence of a stoichiometric amount of diallylether at atemperature of about 23°C to about 80°C, most preferably about 50°C for about 4 to about 24hours.
            • According to Step 7, a compound of formula IX may be prepared by deprotection of acompound of formula VIII. When P3 is methylene aryl, deprotection is preferablyaccomplished with hydrogen gas at a pressure between ambient and about 80 psi, in thepresence of a catalyst, such as palladium on charcoal, in a polar solvent, preferably methanolor ethanol, at a temperature of about 20°C to about 25°C, preferably about 23°C for a periodof time necessary to effect conversion.
            • According to Step 8 ofScheme 1, a compound of formula X may be prepared bytreatment of a compound of formula IX with an appropriately substituted benzylhalideaccording to the formula:
              Figure 00350001
              wherein, R5 and R6 are as above, L is a leaving group, preferably Cl or Br, in the presence ofa suitably strong base, such as a carbonate base, preferably cesium carbonate, in a polarsolvent, preferably an aprotic solvent, most preferably dimethylformamide at a temperature ofabout 0°C to about 100°C, preferably about 23°C.
            • As shown in Step 9, a compound of formula X is converted to a compound of formulaXI by removal of protecting group P2. When P2 is a silyl group, deprotection is preferablyaccomplished with an activated fluoride source, such as a tetraalkylammonium fluoride,preferably tetrabutylammonium fluoride (1-3 equivalents) in a polar aprotic solvent, preferablytetrahydrofuran at a temperature of about 0°C to about 25°C, preferably about 23°C for about1 to about 6 hours.
            • According to Step 10, a compound of formula XII may be prepared by treatment of acompound of formula XI with a catalytic amount of chromium trioxide and a stoichiometricamount of periodic acid as described by Zhao, M.et al., Tetrahedron Lett. 1998,39, 5323.
            • According to Step 11, a compound of formula XIII, wherein X is carbon and R3, R4,R7, and R8 are each hydrogen, may be prepared by treating a compound of formula XII with ahydroxylamine ether, preferablyO-allylhydroxylamine, in the presence of a coupling agent,preferably a carbodiimide, most preferably 1-(3-dimethylaminopropyl)-3-ethylcarbodiimidehydrochloride (EDC) or 1-hydroxybenzotriazole hydrate (HOBT) in an inert solvent, such astetrahydrofuran or methylene chloride, preferably tetrahydrofuran at about 0°C to about 40°C,preferably about 25°C for about 2 to about 48 hours.
            • Finally in Step 12 ofScheme 1, a compound of Formula I, wherein X is carbon andR3, R4, R7, and R8 are each hydrogen, may be prepared by treating a compound of formulaXIII with a reducing agent, such as triethylammonium formate and a catalytic amount of apalladium [0] salt, preferably palladium tetrakistriphenylphosphine in a polar solvent,preferably 20% water in acetonitrile, at about 20°C to about 110°C, preferably about 80°C forabout 15 to about 90 minutes.
            • Scheme 2 describes a preparation method for a compound of the formula XXI-whereinX is carbon, R3, R4, R7, and R8 are hydrogen, one of R1 and R2 is hydroxy, one of R1and R2 is methyl, and R5, and R6 are as above. A compound of formula XXI can be convertedinto a compound of Formula I, wherein X is carbon, R3, R4, R7, and R8 are hydrogen, one of R1 and R2 is hydroxy, one of R1 and R2 is methyl, and R5 and R6 are as above by treatment ofa compound XXI according to Steps 11 and 12 ofScheme 1.
            • This methodology is more expedient than that of Scheme I, however, thismethodology is not suitable for preparation of (2R,3R)-Formula I compounds wherein R2 ishydroxy, R' is methyl, and one of R5 or R6 is alkyl.
            • Referring toScheme 2, compound a compound of formula XV, wherein the protectinggroup, P4, is preferably methylene aryl, most preferably benzyl substituted with R9, wherein R9hydrogen or methyl-is prepared, according to Step 13, by treatment of glycine tert butyl esterhydrochloride salt (XIV) with a benzyloxyaryl halide. Preferably the benzyloxyaryl halide isaccording to the Formula:
              Figure 00360001
              which compounds are commercially available or can be made by methods well known to oneof ordinary skill in the art, e.g., PCT publication WO 98/07697 (incorporated herein byreference) - and a base in the presence of a solvent. Group L is a halide selected fromchloro and bromo and R9 is H or methyl. Suitable bases include trialkylamine or pyridine andsuitable solvents includeN,N-dimethylformamide or dichloromethane. The aforesaid reactionis run for a period of time of from about 0.5 to about 20 hours, preferably of from about 1 toabout 3 hours, at a temperature of from about 0°C to about 50°C.
            • As is readily apparent to one of skill in the art, in Step 13, the benzyloxyaryl halidecan also be according to the formula:
              Figure 00360002
              wherein R5 and R6 are as above. As one of skill in the art would recognize, use of thisintermediate, wherein the R5 and R6 groups are as desired in the final product, obviates Steps17 and 18.
            • According to Step 14, a compound of formula XVI may be prepared by treatment of acompound of formula XV with the appropriate alkylene halide, preferably 5-bromo-1-pentene, in the presence of a suitable base and solvent. The base is preferably a metal carbonate,such as, cesium carbonate. Also, a metal halide salt, such as an iodide, preferably potassiumiodide, can be included in the reaction mixture. The solvent is preferably a polar aproticsolvent, such as, dimethylformamide and the reaction temperature is between about 23°Cand about the boiling point of the solvent, preferably about 50°C to about 70°C for a reactiontime of about 2 to about 48 hours.
            • According to Step 15, a compound of formula XVII may be prepared by reaction of acompound of formula XVI under Wacker oxidation conditions. Thus, a compound of formulaXVI is treated with a suitable oxidant, such as oxygen gas, in the presence of a stoichiometricamount of a copper salt, preferably cuprous chloride and a palladium catalyst, such as apalladium II catalyst, preferably palladium (II) chloride, in a suitable solvent, such as a polarsolvent, most preferably a mixture of dimethylformamide and water at a temperature ofbetween about 0°C and about 80°C, preferably about 23°C for about 2 to about 48 hours.
            • According to Step 16, a compound of formula XVIII. wherein one of R1 and R2 ismethyl, may be prepared from a compound of formula XVII by reaction with a suitable basesuch as a sodium or potassium alkoxide or a lithium, sodium or potassium dialkylamide,preferably potassiumtert-butoxide. Preferably, the aforesaid reaction is run in the presenceof a solvent, such as, a dialkyl ether, toluene, alcohols (such as, those corresponding to thealkoxide base), or tetrahydrofuran, preferably tetrahydrofuran. The aforesaid reaction is runat a temperature of from -78°C to about the boiling point of the solvent, preferably at about0°C to about 23°C, for a period of from about 30 minutes to about 24 hours.
            • As outlined in Step 17 and 18, one (R5,R6)-benzyl group can replace another (R5,R6)-benzylgroup so as to facilitate the preparation of additional analogs. In Step 17, a compoundof formula XIX may be prepared by deprotection of a compound of formula XVIII. When P4 ismethylene aryl, deprotection is preferably accomplished by treating XVIII with hydrogen gasat a pressure between ambient and about 80 psi in the presence of a catalyst, such aspalladium on charcoal, in a polar solvent, such as methanol or ethanol, preferably a 1:1mixture of methanol and ethyl acetate, at a temperature of about 20°C to about 25°C,preferably about 23°C for a period of time necessary to effect complete reaction (e.g., about 2hours).
            • By the method outlined in Step 18 ofScheme 2, a compound of formula XX may beprepared by treatment of a compound of formula XIX with the appropriately substitutedbenzylhalide according to formula:
              Figure 00380001
              wherein L is preferably Cl or Br, in the presence of a suitably strong base, such as acarbonate base, preferably cesium carbonate, in a polar solvent, preferably an aproticsolvent, most preferably dimethylformamide at a temperature of about 0°C to about 100°C.As shown in Step 19, a compound of formula XXI is prepared from a compound of formula XXby reaction with a suitable acid, such as trifluoroacetic acid, in a suitable solvent, such as achlorinated hydrocarbon, preferably methylene chloride at a temperature of from about -20°Cto about the boiling point of the solvent, preferably about 0°C to about 23°C for a period offrom about 30 minutes to about 4 hours.
            • Compounds XXI may then be converted into the compounds of Formula I - wherein Xis carbon, R3, R4, R7, and R8 are hydrogen, and one R1 and R2 is hydroxy and one of R1 andR2 is methyl and, R5, and R6 are as above according to Steps 11 and 12 ofScheme I.
            • Scheme 3 illustrates an alternate method for the preparation of a compound offormula XXX, wherein X is carbon, R3, R4, R7, and R8 are hydrogen, and one of R1 and R2 ishydroxy (otherwise R1 and R2 are as defined above). The protecting group, P6, is preferably atetra-substituted silane group, most preferably tertbutyldiphenyl silane. A compound offormula XXX can be converted into a compound of Formula I, wherein X is carbon, R3, R4, R7,and R8 are hydrogen, R2 is hydroxy and R1, R5, and R6 are as above via treatment ofcompound XXX according to Steps 8 through 12 ofScheme 1.
            • Referring toScheme 3, thecis-epoxide XXII may be prepared, in eitherstereoisomeric form or as the racemate, according to the method of Sharpless et al.J. Amer.Chem Soc., 1987,109, 5765.
            • In Step 20, a compound of formula XXIII, wherein P5 is a protecting group, preferablymethylene aryl, most preferably benzyl, may be prepared by treating the compound of formulaXXII with an isocyanate, such as an alkyl or aryl isocyanate, preferably benzyl isocyanate, inan inert solvent, such as methylene chloride, in the presence of a tertiary amine base, suchas a trialkylamine base, preferably triethylamine, between about 0°C and about 50°C,preferably about 23°C for a period of time sufficient to effect complete conversion, typicallyabout 2 to about 24 hours.
            • In Step 21, a compound of formula XXIV, wherein R2 is hydroxy, may be prepared bytreatment of a compound of formula XXIII with a suitably strong base, such as a hydride baseor an alkoxide base, preferably sodium hydride in a suitable solvent, such as an aprotic solvent, preferably tetrahydrofuran at a temperature of about 0°C to about 20°C to about 25°Cfor about 2 to about 24 hours.
            • In Step 22 ofScheme 3, a compound of formula XXV may be prepared by treatmentof a compound of formula XXIV with a suitably strong base, such as a hydroxide base,preferably potassium hydroxide, in a polar solvent, such as a mixture of an alcohol and water,preferably a mixture of ethanol and water, at a temperature of between about 50°C and aboutthe boiling point of the mixture, preferably about 120°C for about 4 to about 24 hours.
            • In Step 23 ofScheme 3, a compound of formula XXVI may be prepared by treatmentof a compound of formula XXV with a suitable oxidant, such as ozone, in a suitable solvent,preferably a mixture of methanol, and methylene chloride, containing an equivalent of asuitably strong acid, such as sulfuric or hydrochloric acid, preferable hydrochloric acid, at atemperature of between about 0°C about -80°C, preferably about -78 °C, for about 5 to about60 minutes. The mixture is then treated with a large excess of a suitable reducing agent,such as an alkyl sulfide, preferably methyl sulfide, and is warmed to about 0°C over a periodof time necessary to effect complete reduction of the ozonide. After concentration andextractive isolation, the material is treated with a suitable reducing agent, such as aborohydride, preferably sodium triacetoxyborohydride, in a suitable solvent, such as a polarsolvent, preferably dichloromethane, at a temperature between about 0°C and about thesolvent's boiling point, preferably about 23°C for about 1 to about 24 hours.
            • In Step 24 ofScheme 3, a compound of formula XXVII, wherein the protecting group,P6, is preferably a silyl group, more preferablytert-butyldimethylsilyl, may be prepared bytreatment of a compound of formula XXVI with an appropriate silylating agent and an aminebase, preferably imidazole, in a polar aprotic solvent, preferably dimethylformamide, at atemperature between about 0°C and about 40°C, preferably about 23°C for about 1 to about24 hours.
            • In Step 25 ofScheme 3, a compound of formula XXVIII may be prepared by removalof protecting group P5 from a compound of formula XXVII. If P5 is methylene aryl, then acompound of formula XXVII is preferably deprotected with hydrogen gas at a pressurebetween about ambient pressure and about 80 psi in the presence of a catalyst, such aspalladium on charcoal, in a polar solvent, preferably methanol or ethanol at a temperature ofabout 20°C to about 25°C, preferably about 23°C for a period of time necessary to effectconversion.
            • In Step 26 ofScheme3, a compound of formula XXIX, wherein P7 is a protectinggroup, preferably a methylenearyl group, most preferably a benzyl group or methyl benzylgroup, may be prepared by treatment of a compound of formula XXVIII with a benzyloxyarylhalide. Preferably the benzyloxy aryl halide is according to the Formula:
              Figure 00400001
              which compounds are commercially available or can be made by methods well known to oneof ordinary skill in the art, e.g., PCT publication WO 98/07697 and a base in the presence of asolvent. Group L is a halide selected from chloro and bromo and R9 is H or methyl. Suitablebases include trialkylamine or a pyridine base. Suitable solvents includeN,N-dimethylformamideor dichloromethane. The aforesaid reaction is run for a period of timefrom about 0.5 to about 20 hours, preferably from about 1 to about 3 hours, at a temperaturefrom about 0°C to about 50°C.
            • As is readily apparent to one of skill in the art, in Step 26, the benzyloxyaryl halidecan also be according to the formula:
              Figure 00400002
              wherein R5 and R6 are as above. As one of skill in the art would recognize, use of thisintermediate, wherein the R5 and R6 groups are as desired in the final product, obviates Steps27 and a subsequent benzylation step.
            • In Step 27 ofScheme 3, a compound of formula XXX, which is similar in structure tointermediate IX, may be prepared by removal of the protecting group P7 from a compound offormula XXIX. When P7 is methylene aryl, deprotection is preferably accomplished bytreating XXX with hydrogen gas at a pressure between ambient and about 80 psi in thepresence of a catalyst, such as palladium on charcoal, in a polar solvent, preferably methanolor ethanol at a temperature of about 0°C to about 25°C, preferably about 23°C for a period oftime necessary to effect conversion.
            • Compounds of formula XXX may be converted into compounds of Formula I, whereinX is carbon, R3, R4, R7, and R8 are hydrogen, and one of R1 and R2 is hydroxy (otherwise R1and R2 are as defined above), and R5 and R6 are as above- by the general methods outlinedin Scheme 1 (i.e., Steps 8-12).
            • Scheme 4 refers to the preparation of 3,3-dimethyl compounds of formula XL,wherein X is carbon; R7, and R8 are hydrogen; R1 and R2 are methyl; one of R3 and R4 ishydroxy (otherwise R3 and R4 have the meanings as above); and R5 and R6 are as above. Acompound of formula XL can be converted into a compound of Formula I, wherein X iscarbon; R3, R7, and R8 are hydrogen; R1 and R2 are methyl; R4 is hydroxy; and R5 and R6 areas above via treatment of compound of formula XL according to Step 12 ofScheme 1.
            • Referring toScheme 4, Step 28, a compound of formula XXXII may be prepared froma compound of formula XXXI (commercially available from, for example, Aldrich ChemicalCorporation) by reaction with a suitable benzylic amine of suitable (R)- or (S)-configuration atthe benzylic center, preferably (R)- or (S)-α-methylbenzylamine, in the presence of astoichiometric amount of a cyanide salt, preferably potassium cyanide, in a polar solvent,such as an alcoholic solvent, preferably methanol, at a temperature of about 0°C to about40°C, preferably about 0°C to about 23°C for about 4 to about 48 hours. Optically pure XXXIIis obtained by crystallization.
            • According toScheme 4, Step 29, a compound of formula XXXIIII may be prepared byreaction of a compound of formula XXXII with a catalytic amount of osmium tetroxide orpotassium osmate in the presence of a stoichiometric oxidant, such as potassium ferricyanidein the presence of a suitably strong base, such as potassium carbonate in a polar proticsolvent, such as a 1:1 mixture oftert-butylalcohol-water. If desired, a catalytic amount of acinchona alkaloid ligand, may be used to provide enhanced stereoselectivity (ca. 80% de).For example, (DHQD)2PYR ligand (hydroquinidine 2,5-diphenyl-4,6-pyrimidinediyl diether,Aldrich Chemical Corporation) can be used to prepare the 5(R)-hydroxy-Formula Icompounds. These so-called "Sharpless Asymmetric Dihydroxylation" techniques arefamiliar to those skilled in the art (e.g., Kolb, H.C. et al. Chem. Rev. 1994, 2483, incorporatedherein by reference).
            • According toScheme 4, Step 30, a compound of formula XXXIV may be prepared bytreatment of a compound of formula XXXIII with a suitably strong acid, such as hydrochloricacid, in a polar protic solvent, such as water, at a temperature of about 23°C to about theboiling point of the solvent, preferably about 100°C for about 4 to about 12 hours.
            • As shown in Step 31, a compound of formula XXXV may be prepared by treatment ofa compound of formula XXXIV with a compound of the Formula:
              Figure 00410001
              and a base in the presence of a solvent. Group L is a halide selected from chloro and bromo.Suitable bases include a trialkylamine or a pyridine base. Suitable solvents include dichloromethane. The aforesaid reaction is run for a period of time of from about 12 to about48 hours, preferably about 46 hours, at a temperature of from about 0°C to 50°C. CompoundXXXV is isolated in optically pure form by recrystallization.
            • According to Step 32, a compound of formula XXXVI may be prepared by reaction ofa compound of formula XXXV with hydrogen gas at a pressure between ambient and about80 psi in a suitable solvent, such as an alcoholic solvent, preferably methanol, in the presenceof a palladium catalyst, such as palladium on charcoal or palladium (II) hydroxide on charcoal(so called Pearlman's catalyst), preferably palladium on charcoal at a temperature of about23°C to about 50°C, preferably about 23°C for about 4 to about 24 hours.
            • In Step 33 ofScheme 4, a compound of formula XXXVII, wherein P8 is a protectinggroup, preferably a methylenearyl group, most preferably a benzyl group or methyl benzylgroup, are preferably prepared by treatment of a compound of formula XXXVI with abenzyloxyaryl halide. Preferably the benzyloxyaryl halide is according to the Formula:
              Figure 00420001
              which compounds are commercially available or can be made by methods well known to oneof ordinary skill in the art, e.g., PCT publication WO 98/07697, and a base in the presence ofa solvent. Group L is a halide selected from chloro and bromo and R9 is H or methyl.Suitable solvents includeN,N-dimethylformamide or dichloromethane. The aforesaid reactionis run for a period of time of from about 0.5 to about 20 hours, preferably of from about 1 toabout 3 hours, at a temperature of from about 0°C to 50°C.
            • As is readily apparent to one of skill in the art, in Step 33, the benzyloxyaryl halidecan also be according to the formula:
              Figure 00420002
              wherein R5 and R6 are as above. As one of skill in the art would recognize, use of thisintermediate, wherein the R5 and R6 groups are as desired in the final product, obviates Steps34 and 25.
            • According to Step 34, a compound of formula XXXVIII may be prepared by removalof P8 from a compound of formula XXXVII. When P8 is methylene aryl, deprotection ispreferably accomplished by treatment of a compound of formula XXXVII with hydrogen gas ata pressure between ambient and about 80 psi in the presence of a catalyst, such aspalladium on charcoal, in a polar solvent, preferably methanol or ethanol at a temperature ofabout 20°C to about 25°C, preferably about 23°C for a period of time necessary to effectcomplete reaction.
            • As shown in Step 35, a compound of formula XXXIX may be prepared by treatment ofa compound of formula XXXVIII with the appropriately substituted benzylhalide according toformula:
              Figure 00430001
              wherein R5 and R6 are as above and L is preferably Cl or Br, in the presence of a suitablystrong base, such as a carbonate base, preferably potassium carbonate, in a polar solvent,preferably an aprotic solvent, most preferably dimethylformamide or acetonitrile at atemperature of about 0°C to about 100°C, preferably about 23°C to about 50°C.
            • Finally, a compound of formula XL can be prepared from a compound of formulaXXXIX by reaction with a suitably protected hydroxylamine, preferablyO-allylhydroxylamine inthe presence of a trialkyl aluminum compound, such as trimethylaluminum in a nonpolaraprotic solvent, such as a hydrocarbon solvent, preferably toluene at a temperature betweenabout 50 EC and about the boiling point of the solvent, preferably about 85 °C for about 30minutes to about 4 hours. A compound of formula XL can be converted into a compound ofFormula I- wherein X is carbon; R7, and R8 are hydrogen; R1 and R2 are methyl; one of R3and R4 is hydroxy (otherwise R3 and R4 are as defined above); and R5 and R6 are as above-viatreatment of compound of formula XL according to Step 12 ofScheme 1.
            • Scheme 5 describes preparation of compounds of Formula I compounds, wherein Xis nitrogen, R8 is not present, and R7 is a group of the formula:
              Figure 00430002
              wherein, Y is -NHCH3, and R1,R2,R3, R4, R5, and R6 have the meanings as defined above.
            • Protected amino acids of formula XLI, wherein P9 is a protecting group- such as,carbonyl methoxy, carbonyl ethoxy, carbonylt-butoxy, carbonyl benzyloxy, carbonyl trialkylsilyl, more preferably trioxabicyclooctane, most preferably 4-methyl-2,6,7-trioxabicyclo[2.2.2]octylgroup (commonly referred to as OBO)- are commercially available or canbe prepared by known methods, such as the procedures described in: Preparation 2, byWilliams in "Synthesis of Optically Active α-Amino Acids", Baldwin, J. E., Ed., PergamonPress, Oxford, 1989; Coppola and Schuster in "Asymmetric Synthesis. Construction of ChiralMolecules Using Amino Acids", John Wiley & Son; New York, 1987; Corey, E.J., Raju, N.,Tetrahedron Lett., 1983, 5571; or Blaskovich, M. A., Lajoie, G.A.,Tetrahedron Lett, 1993,3837 and references cited therein, all of which are incorporated herein by reference.
            • As outlined in Step 37 ofScheme 5, a compound of formula XLII, wherein R5 and R6are as defined above, may be prepared by reacting a protected amino acid of formula XLI,wherein P9 is a protecting group, preferably carbonyl methoxy, carbonyl ethoxy, carbonylt-butoxy,carbonyl benzyloxy, carbonyl trialkylsilyl, more preferably trioxabicyclooctane, mostpreferably 4-methyl-2,6,7-trioxa-bicyclo[2.2.2]octyl group (commonly referred to as OBO), witha sulfonyl chloride of the Formula:
              Figure 00440001
              wherein R5 and R6 are as above, in the presence of a base and an inert solvent. Suitablesolvents include methylene chloride, tetrahydrofuran,N,N-dimethylformamide, a 1,4-dioxaneand water mixture, or an ethyl acetate and water mixture. Suitable bases includetriethylamine, diisopropylethylamine, or an alkali earth carbonate or hydroxide. Methylenechloride is the preferred solvent and diisopropylethylamine is the preferred base. The reactionis stirred at a temperature between about 0°C to about 25°C, preferably at about 0°C, for atime period between about 10 minutes to about 1 day, preferably about 12 hours.
            • According to Step 38 ofScheme 5, a compound of formula XLIII containing anaziridine ring is prepared from a compound of formula XLII by hydroxyl group activation,followed by intramolecular cyclization. Preferably, this activation is achieved by theconversion of the alcohol to the corresponding sulfonate ester (methyl sulfonate commonlyknown as mesyl is preferred), or by a complex generated by mixing a trialkylphosphine and adialkyl azodicarboxylate (preferably triphenylphosphine and diethyl azodicarboxylate arepreferred) in a suitable solvent such as tetrahydrofuran. In the former sulfonate case, theaziridine ring is preferably formed by subsequent treatment with a base such asdiisopropylethylamine or potassiumtert-butoxide. In the latter case, the preferred sequence involves the addition of a compound of formula XLII to a pre-formed complex of thetrialkylphosphine and a dialkyl azodicarboxylate. The reaction is stirred at a temperaturebetween about 0°C to about 25°C, preferably at about 0°C for a period of time between about10 minutes to about 4 hours, followed by a period of about 16 hours at about 23°C.
            • Step 39 refers to the preparation of a compound of formula XLIV by reaction of acompound of formula XLIII with a compound of formula:
              Figure 00450001
              wherein M is halo or hydroxy and R3 and R4 have the meanings as defined above.Preferably, the reaction is run in a suitable solvent such as chloroform, methylene chloride,tetrahydrofuran, methanol, or benzene (methanol is preferred). In some instances a Lewisacid may be included,e.g., zinc chloride, magnesium chloride, or borontrifluoride etherate(borontrifluoride etherate is preferred). The reaction is stirred at a temperature between about0°C to about the solvent's boiling point, preferably in methanol at about 60°C, for a timeperiod between about 1 hour to about 4 days, preferably about 2 days.
            • As outlined in Step 40 ofScheme 5, a compound of formula XLV, is prepared from acompound of formula XLIV by intramolecular ring cyclization methods specific to the nature ofthe M group. That is, in cases where M is chloro or bromo, the ring can form spontaneouslyor upon treatment with a suitable base such as diisopropylethylamine or an alkali earthcarbonate. Preferably this ring closure is conducted in a solvent such as tetrahydrofuran,benzene, chloroform, orN,N-dimethylformamide (tetrahydrofuran is preferred). The reactionis preferably stirred at a temperature of about 20°C to about 25°C, preferably about 23°C toabout the solvent's boiling point for a period of time of from about 30 minutes to about 24hours (about 12 hours is preferred). In cases where M is hydroxy, the hydroxyl group ispreferably activated by a complex generated by mixing a trialkylphosphine and a dialkylazodicarboxylate (triphenylphosphine and dimethyl azodicarboxylate are preferred) in asuitable solvent such as tetrahydrofuran. The preferred sequence involves the addition ofXLIV to a the pre-formed complex of the trialkylphosphine and a dialkyl azodicarboxylate. Thereaction is stirred at a temperature between about 0°C to about 25°C, preferably at about 0°Cfor a period of time between about 10 minutes to about 4 hours, followed by a period of about16 hours at about 23°C.
            • According to Step 41 of Scheme 5, a compound of formula XLVI, wherein thepiperazine ring is 4-substituted is prepared by reaction of a compound of formula XLV with theappropriate isocyanate or carbamoyl chloride.
              Figure 00460001
            • For compounds of Formula I, wherein Y is NH-CH3, the preferred acylating agentreagent, for reaction with XLV, is methyl isocyanate, but the appropriate carbamoyl chloridescan also be used as acylating agents. When methyl isocyanate is the acylating agent, themethyl isocyanate is added to a cooled dichloromethane solution of XLV, then allowed to stirat a temperature of about 20°C to about 25°C, preferably about 23°C, followed by work up.
            • On the other hand, when the acylating agent is a carbamoyl chloride, preferablymethyl carbamoyl chloride, a compound of formula XLVI is prepared by standard addition ofthe appropriate carbamoyl chloride to a solution of a compound of formula XLV in chloroformor methylene chloride, at about 20 to about 25°C, preferably about 23°C, followed by a periodof stirring (generally about 1 to about 2 hours).
            • According to Step 42 of Scheme 5, a compound of formula XLVII can be preparedfrom a compound of formula XLVI by removal of the protective group P9 to form the carboxylicacid. In the case where the protecting group P9 is carbonylt-butoxy, this conversion isaccomplished with a suitably strong acid such as hydrochloric acid or trifluoroacetic acid(trifluoroacetic acid is preferred). Preferably this reaction is conducted in a solvent such asethyl acetate, 1,4-dioxane, or methylene chloride (methylene chloride is preferred). In caseswhere the protecting group P9 is carbonyl methoxy or carbonyl ethoxy, conversion is achievedby saponification with a suitable source of hydroxide such as sodium or lithium hydroxide(lithium hydroxide is preferred). Preferably the saponification is conducted with stirring, in anaqueous solvent mixture such as tetrahydrofuran-methanol-water or 1,4-dioxane-methanol-waterat a temperature between about 0°C to near the boiling point of the solvent system(about 60 °C is preferred). In cases where the protecting group P9 is carbonyl trialkylsilyl, thesilyl group can be removed by treatment with dilute aqueous acid such as dilute hydrochloricacid, in aqueous methanol or by heating in methanol at reflux. In cases where the protectinggroup P9 is carbonyl benzyloxy, conversion is achieved by hydrogenolysis of the benzylgroup. The hydrogenolysis is carried out in a suitable solvent such as ethanol, methanol, orethyl acetate under an atmosphere of hydrogen, in the presence of a catalyst such a 10%palladium on carbon. In cases where the protecting group P9 is a trioxabicyclooctane,conversion is achieved by the action of a suitable acid such as trifluoroacetic acid orhydrochloric acid in aqueous dichloromethane or dichloroethane at a temperature of frombetween about 0°C to about the boiling point of the solvent (trifluoroacetic acid indichloromethane at about 23°C is preferred) for a period of between about 30 minutes and about 8 hours (less than 1 hour is preferred). This reaction is followed by treatment with anappropriate base such as sodium or lithium hydroxide or cesium carbonate in aqueousmixtures of tetrahydrofuran or an alcoholic solvent such as methanol with stirring at atemperature of about 0°C to about the boiling point of the solvent (cesium carbonate inmethanol-water at about 40°C to about 60°C is preferred). Generally, reactions involving theremoval of protecting group P9 are run for periods of time between about 30 minutes to about8 hours, preferably about 4 hours. Unless otherwise mentioned, the aforesaid reactions areperformed at a temperature of from about 0°C to about 25°C, preferably about 23°C.
            • Finally, in Step 43 ofScheme 5, The 4-substituted piperazine carboxylichydroxamides of Formula I, wherein Y is NH-CH3, are prepared from a compound of formulaXLVII by activation of the carboxylic acid moiety followed by treatment with a hydroxylamineor a protected hydroxylamine that is then deprotected to form the hydroxamic acid. Activationof XLVII carboxyl group is achieved through the action of a suitable activating agent such asdialkyl carbodiimides, benzotriazol-1-yloxyl-tris(dialkylamino)-phosphonium salts, or oxalylchloride in the presence of a catalytic amount ofN,N-dimethylformamide. Preferably theactivating agent is benzotriazol-1-yloxy-tris(dimethylamino)phosphoniumhexafluorophosphate. Generally, the hydroxylamine or protected hydroxylamine is generatedin situ from the corresponding salt, such as hydroxylamine hydrochloride, in the presence ofan amine base such as triethylamine, or diisopropylethylamine. Suitable protectedhydroxylamines includeO-tert-butylhydroxylamine,O-allylhydroxylamine,O-tert-butyldimethylsilylhydroxylamine,O-trimethylsilylethylhydroxylamine,O-benzylhydroxylamine,orN,O-bis trimethylsilylhydroxylamine. WhereO-benzylhydroxylamine is used, thedeprotection is accomplished by hydrogenolysis (5% palladium on barium sulfate is thepreferred catalyst). On the other hand, whereO-tert-butylhydroxylamine or O-trimethylsilylethylhydroxylamineis used deprotection is achieved by treatment with a strongacid such as trifluoroacetic acid. And whenO-allylhydroxylamine is employed, the allyl groupis removed either by treatment with ammonium formate in the presence of a catalytic amountof tetrakis(triphenylphosphine)palladium(0) in aqueous acetonitrile at about 60°C or bytreatment with piperidine in the presence of a catalytic amount of allylpalladium chloride dimerand diphenylphosphinoethane in tetrahydrofuran at about 23°C. In the case whereN,O-bis-trimethylsilylhydroxylamineis used (preferably generatedin situ from trimethylsilylchloride andhydroxylamine hydrochloride in pyridine at about 0°C), the silyl protective groups are removedby treatment with dilute aqueous acid such as 1 N hydrochloric acid. Suitable solvents for theaforesaid activation and hydroxylamine reaction include methylene chloride,N,N-dimethylformamide,or tetrahydrofuran, preferably methylene chloride. The aforesaidactivation and hydroxylamine reactions are run at temperatures between about 0°C to about 60°C (about 23°C is preferred) for periods of time between about 1 hour and about 20 hours(about 4 hours is preferred).
            • If desired, general intermediate of the formula XLVIII may be prepared.
              Figure 00480001
              A compound of formula XLVIII may be prepared by treatment of a compound of formula XLVIwith hydrogen gas at a pressure between ambient and about 80 psi in the presence of acatalyst, such as palladium on charcoal, in a polar solvent, preferably methanol or ethanol ata temperature of about 20 to about 25°C, preferably about 23°C for a period of timenecessary to effect conversion. The compound of formula XLVIII can be converted tocompounds of formula I according to the methods of Steps 42 and 43.
            • Scheme 6 describes preparation of compounds of Formula I compounds wherein X isnitrogen, R8 is not present, and R7 is a group of the formula:
              Figure 00480002
              wherein, Y is CH2-NH2 and R1,R2,R3, R4, R5, and R6 have the meanings as defined above.
            • Referring toScheme 6, in Step 45, a compound of formula XLIX may be prepared bystandard coupling of a protected amino acid, wherein P10 represents the protecting group-preferablya butyloxycarbonyl protected aminoacid, wherein P10 is preferablybutyloxycarbonyl- with a compound of formula XLV (as prepared inScheme 5). The reactionis accomplished by addition of 1-hydroxybenzotriazole hydrate; an amine, preferablydiisopropylamine; a carbodiimide coupling agent, such as dicyclohexylcarbodiimide.preferably 1-(3-dimethylaminopropyl)-3-ethylcarbodiimide hydrochloride; and the appropriateN-protected aminoacid, preferablyN-t-butoxycarbonylglycine, to a solution of a compound offormula XLV in chloroform or methylene chloride, at about 20°C to about 25°C, preferably about 23°C, followed by a period of stirring (generally about 1 to about 2 hours). A compoundof formula XLIX may then be converted to a compound of formula L according to Steps 46and 47. The procedures of Steps 46 and 47 correspond to the procedures of Steps 42 and43, of Scheme 5, described above.
            • According to Step 48, a compound of formula L may be deprotected to thecorresponding Formula I compound. When the protection group, P10, is butyloxycarbonyl,deprotection may be accomplished by treatment with a dichloromethane solution oftrifluoroacetic acid to afford the trifluoroacetic acid salt. In the final step the trifluoroacetic acidsalt can be converted to the Formula I compound by standard neutralization procedures, suchas treatment with aqueous sodium bicarbonate.
            • Scheme 7 refers to the preparation of a compound of the formula LIV that can beconverted to a compound of Formula I, wherein X is nitrogen; R8 is not present; R7ishydrogen; R3 and R4 are taken together to form a carbonyl group; and R1, R2, R5, and R6 havethe meanings as defined above according to Steps 42 and 43 ofScheme 5.
            • Referring toScheme 7, a compound of the formula XLIII may be prepared accordingto the methodology disclosed in Scheme 5. As shown in Step 49, a compound of formula LImay be prepared from a compound of formula XLIII (as prepared inScheme 5) by treatmentwith ammonia or an alkyl amine. The protecting group, P9 (as defined inScheme 5), isselected such that attack on the aziridine occurs preferentially on the R1,R2-bearing carbonatom. Preferably, P9 is an ortho ester protecting group, such as a 4-methyl-2,6,7-trioxabicyclo[2.2.2]octylgroup (commonly referred to as OBO). According to Step 49, XLIII istreated with the appropriate alkylamine or ammonia in the presence of a polar solvent, suchas an alcoholic solvent, preferably methanol, in a sealed vessel at a temperature betweenabout 0°C and about 80°C, preferably about 50°C for a period of about 1 to about 24 hours,preferably about 15 hours.
            • As shown in Step 50, a compound of formula LII may be prepared from a compoundof formula LI by treatment with an appropriate acylating agent, such as benzylchloroformate,in a polar solvent, such as a mixture of dioxane and water, preferably a 2:1 mixture of 1,4-dioxaneand water, in the presence of a suitable base, such as an amine or hydroxide base,preferably triethylamine, at a temperature between about the freezing point of the solvent andabout 40°C, preferably about 0°C for about 1 to about 12 hours, preferably about 3 hours.
            • According to Step 51, a compound of formula LIII may be prepared from a compoundof formula LII by treatment with the appropriate alkylating agent, such as an α-haloaceticacidester, preferably methyl bromoacetate in a polar aprotic solvent, such as dimethylformamide,in the presence of a suitable base, such as a carbonate base, preferably cesium carbonate, ata temperature between about 20°C and about 50°C, preferably about 23°C.
            • Finally inScheme 7, Step 52, a compound of formula LIV is prepared by treatment ofa compound of formula LIII with a catalytic amount of a palladium catalyst, preferably 10%palladium on charcoal, in the presence of a stoichiometric amount of a tertiary amine base,such as triethylamine, in a polar solvent, such as an alcoholic solvent, preferably ethanol,under positive pressure of hydrogen gas, preferably atmospheric pressure, for about 0.5 toabout 6 hours, preferably about 2 hours at a temperature of about 20°C to about 25°C,preferably about 23°C. After isolation by filtration and concentration of the filtrate, the materialis dissolved in a polar solvent mixture, preferably a mixture of toluene and methanol, andstirred at about 50°C to about the boiling point of the solvent, preferably at reflux (about120°C) for about 1 to about 6 hours, more preferably about 1.5 hours then concentrated toafford the product.
            • A compound of formula LIV can be converted into a compound Formula I, wherein Xis nitrogen; R8 is not present; R7is hydrogen; R3 and R4 are taken together to form a carbonylgroup; and R1, R2, R5, and R6 have the meanings as defined above by treating LIV under theconditions of Steps 42 and 43 ofScheme 5.
            • Preparation of acid and base addition salts is well known in the art. The acids whichare used to prepare the pharmaceutically acceptable acid addition salts of the aforementionedbase compounds of this invention are those which form non-toxic acid addition salts,i.e., saltscontaining pharmacologically acceptable anions, such as the hydrochloride, hydrobromide,hydroiodide, nitrate, sulfate, bisulfate, phosphate, acid phosphate, acetate, lactate, citrate,acid citrate, tartrate, bitartrate, succinate, maleate, fumarate, gluconate, saccharate,benzoate, methanesulfonate, ethanesulfonate, benzenesulfonate, p-toluenesulfonate andpamoate[i.e., 1,1'-methylene-bis-(2-hydroxy-3-naphthoate)]salts.
            • The invention also relates to base addition salts of formula I. The chemical basesthat may be used as reagents to prepare pharmaceutically acceptable base salts of thosecompounds of formula I that are acidic in nature are those that form non-toxic base salts withsuch compounds. Such non-toxic base salts include, but are not limited to those derived fromsuch pharmacologically acceptable cations such as alkali metal cations (e.g., potassium andsodium) and alkaline earth metal cations (e.g., calcium and magnesium), ammonium orwater-soluble amine addition salts such as N-methylglucamine-(meglumine), and the loweralkanolammonium and other base salts of pharmaceutically acceptable organic amines.
            • The ability of the compounds of formula I or their therapeutically acceptable salts toinhibit aggrecanase, collagenase-1, collagenase-3, and TACE and, consequently,demonstrate their effectiveness for treating diseases involving these enzymes is shown by thefollowing in vitro assay tests. The IC50s for aggrecanase proteolytic activity were determinedwith an aggrecanase chondrocyte assay; the collagenase-1 IC50s were measured with arecombinant collagenase-1 assay; the collagenase-3 IC50s were determined with a recombinant collagenase-3 assay; and the TACE IC50s were determined with a TACE wholeblood assay. Note that the TACE whole blood assay, in general, gives values about 1000 foldgreater than the recombinant collagenase assays. Thus, a compound with a TACE IC50 of1000 nM (i.e., 1 µM) is approximately equipotent to a collagenase IC50 of 1 nM. Theseassays are defined below in the Biological Assay Section.
            • Biological Assays Used in The InventionInhibition of Human Collagenase-1 (recombinant collagenase-1 assay)
            • This assay is used in the invention to measure the potency (IC50s) of compounds forcollagenase-1.
            • Human recombinant collagenase-1 is activated with trypsin. The amount of trypsin isoptimized for each lot of collagenase-1, but a typical reaction uses the following ratio: 5 mgtrypsin per 100 mg of collagenase. The trypsin and collagenase are incubated at about 20°Cto about 25°C, preferably about 23°C for about 10 minutes then a five fold excess (50 mg/10mg trypsin) of soybean trypsin inhibitor is added.
            • Stock solutions (10 mM) of inhibitors are made up in dimethylsulfoxide and thendiluted using the following scheme:10 mM → 120 µM → 12 µM → 1.2 µM → 0.12 µM
            • Twenty-five microliters of each concentration is then added in triplicate to appropriatewells of a 96 well microfluor plate. The final concentration of inhibitor will be a 1:4 dilutionafter addition of enzyme and substrate. Positive controls (enzyme, no inhibitor) are set up inwells D7-D12 and negative controls (no enzyme, no inhibitors) are set in wells D1-D6.
            • Collagenase-1 is diluted to 240 ng/ml and 25 ml is then added to appropriate wells ofthe microfluor plate. Final concentration of collagenase in the assay is 60 ng/ml.
            • Substrate (DNP-Pro-Cha-Gly-Cys(Me)-His-Ala-Lys(NMA)-NH2) is made as a 5 mMstock in dimethylsulfoxide and then diluted to 20 µM in assay buffer. The assay is initiated bythe addition of 50 µl substrate per well of the microfluor plate to give a final concentration of10 µM.
            • Fluorescence readings (360 nM excitation, 460 nm emission) are taken at time 0 andthen at about 20 minute intervals. The assay is conducted at a temperature of about 20 toabout 25°C, preferably about 23°C with a typical assay time of about 3 hours.
            • Fluorescence versus time is then plotted for both the blank and collagenasecontaining samples (data from triplicate determinations is averaged). A time point thatprovides a good signal (at least five fold over the blank) and that is on a linear part of thecurve (usually around 120 minutes) is chosen to determine IC50 values. The zero time is usedas a blank for each compound at each concentration and these values are subtracted fromthe 120 minute data. Data is plotted as inhibitor concentration versus % control (inhibitor fluorescence divided by fluorescence of collagenase alone x 100). IC50s are determined fromthe concentration of inhibitor that gives a signal that is 50% of the control.
            • If IC50s are reported to be less than 0.03 mM, then the inhibitors are assayed atconcentrations of 0.3 µM, 0.03 µM, and 0.003 µM.
            • Using this assay, the following data was obtained for the hydroxamic derivativebelow.
              Figure 00520001
            • Inhibition of human Collagenase-3 (Recombinant collagenase-3 assay)
            • This assay is used in the invention to measure the potency (IC50s) of compounds forcollagenase-3.
            • Human recombinant collagenase-3 is activated with 2mM APMA (p-aminophenylmercuric acetate) for about 2.0 hours, at about 37°C and is diluted to about 240 ng/ml inassay buffer (50 mM Tris, pH 7.5, 200 mM sodium chloride, 5mM calcium chloride, 20mMzinc chloride, 0.02% BRIJ-35). Twenty-five micro-liters of diluted enzyme is added per well ofa 96 well microfluor plate. The enzyme is then diluted in a 1:4 ratio by inhibitor addition andsubstrate to give a final concentration in the assay of 60 ng/ml.
            • Stock solutions (10 mM) of inhibitors are made up in dimethylsulfoxide and thendiluted in assay buffer as per the inhibitor dilution scheme for inhibition of human collagenase-1:Twenty-five microliters of each concentration is added in triplicate to the microfluor plate.
            • The final concentrations in the assay are 30 µM, 3 µM, 0.3 µM, and 0.03 µM.
            • Substrate (Dnp-Pro-Cha-Gly-Cys(Me)-His-Ala-Lys(NMA)-NH2) is prepared as forinhibition of human collagenase (collagenase-1) and 50 ml is added to each well to give afinal assay concentration of 10 µM. Fluorescence readings (360 nm excitation; 450 nmemission) are taken at time 0 and about every 5 minutes for about 1 hour.
            • Positive controls and negative controls are set up in triplicate as outlined in thecollagenase-1 assay. IC50's are determined as per inhibition of human collagenase (collagenase-1). If IC50's are reported to be less than 0.03 mM, inhibitors are then assayed atfinal concentrations of 0.3 µM, 0.03 µM, 0.003 µM and 0.0003 µM.
            • All of the compounds that were tested had IC50 of less than 30 nM. Preferredcompounds of the invention had IC50 of less than about 10 nM.
            • Using this assay, the following data was obtained for the hydroxamic derivativebelow.
              Figure 00530001
            • Aggrecanase Chondrocyte Assay
            • This assay is used in the invention to measure the potency (IC50s) of compounds foraggrecanase.
            • Primary porcine chondrocytes from articular joint cartilage are isolated by sequentialtrypsin and collagenase digestion followed by collagenase digestion overnight and are platedat 2 X 105 cells per well into 48 well plates with 5 µCi / ml35S (1000 Ci/mmol) sulphur in type Icollagen coated plates. Cells are allowed to incorporate label into their proteoglycan matrix(approximately 1 week) at 37°C, under an atmosphere of 5% CO2.
            • The night before initiating the assay, chondrocyte monolayers are washed two timesin DMEM/ 1% PSF/G and then allowed to incubate in fresh DMEM /1% FBS overnight.
            • The following morning chondrocytes are washed once in DMEM/1%PSF/G. The finalwash is allowed to sit on the plates in the incubator while making dilutions. Media anddilutions can be made as described in theTable I below.
              Control MediaDMEM alone (control media)
              IL-1 MediaDMEM + IL-1 (5 ng/ml)
              Drug DilutionsMake all compounds stocks at 10 mM in DMSO.
              Make a 100 µM stock of each compound in DMEM in 96 well plate. Store in freezer overnight.
              The next day perform serial dilutions in DMEM with IL-1 to 5 µM, 500 nM, and 50 nM.
              Aspirate final wash from wells and add 50 µl of compound from above dilutions to 450 µl of IL-1 media in appropriate wells of the 48 well plates.
              Final compound concentrations equal 500 nM, 50 nM, and 5 nM. All samples completed in triplicate with Control and IL-1 alone samples on each plate.
            • Plates are labeled and only the interior 24 wells of the plate are used. On one of theplates, several columns are designated as IL-1 (no drug) and Control (no IL-1, no drug).These control columns are periodically counted to monitor 35S-proteoglycan release. Controland IL-1 media are added to wells (450 µl) followed by compound (50 µl) so as to initiate theassay. Plates are incubated at 37°C, with a 5% CO2 atmosphere.
            • At 40-50 % release (when CPM from IL-1 media is 4-5 times control media) asassessed by liquid scintillation counting (LSC) of media samples, the assay is terminated(about 9 to about 12 hours). Media is removed from all wells and placed in scintillation tubes.Scintillate is added and radioactive counts are acquired (LSC). To solubilize cell layers, 500µL of papain digestion buffer (0.2 M Tris, pH 7.0, 5 mM EDTA, 5 mM DTT, and 1 mg/mlpapain) is added to each well. Plates with digestion solution are incubated at 60°C overnight.The cell layer is removed from the plates the next day and placed in scintillation tubes.Scintillate is then added, and samples counted (LSC).
            • The percent of released counts from the total present in each well is determined.Averages of the triplicates are made with control background subtracted from each well. Thepercent of compound inhibition is based on IL-1 samples as 0% inhibition (100% of totalcounts).
            • Using this assay, the following data was obtained for the hydroxamic derivativebelow.
              Figure 00550001
            • Inhibition of Soluble TNF-α Production (TACE whole blood assay)
            • This assay is used in the invention to measure the potency (IC50s) of compounds forTACE.
            • The ability of the compounds or the therapeutically acceptable salts thereof to inhibitthe cellular release of TNF-α and, consequently, demonstrate their effectiveness for treatingdiseases involving the disregulation of soluble TNF-α is shown by the followingin vitro assay:
            • Human mononuclear cells are isolated from anti-coagulated human blood using aone-step Ficoll-hypaque separation technique. (2) The mononuclear cells are washed threetimes in Hanks balanced salt solution (HBSS) with divalent cations and re-suspended to adensity of 2 x 106 /ml in HBSS containing 1% BSA. Differential counts are determined usingthe Abbott Cell Dyn 3500 analyzer indicated that monocytes ranged from 17 to 24% of thetotal cells in these preparations.
            • 180 µL of the cell suspension was aliquoted into flat bottom 96 well plates (Costar).Additions of compounds and LPS (100 ng/ml final concentration) gives a final volume of 200µL. All conditions are performed in triplicate. After about a four hour incubation at about37°C in an humidified CO2 incubator, plates are removed and centrifuged (about 10 minutesat approximately 250 × g) and the supematants removed and assayed for TNF-α using theR&D ELISA Kit.
            • Using this assay, the following data was obtained for the hydroxamic derivativebelow.
              Figure 00560001
            • Table 2 below lists some examples of the compounds identified and synthesizedaccording to the above-described assays and synthetic methodology.
              Figure 00560002
              Figure 00570001
              Figure 00580001
              Figure 00590001
              Figure 00600001
              Figure 00610001
              Figure 00620001
              Figure 00630001
            • One of ordinary skill in the art will appreciate that the compounds of the invention areuseful in treating a diverse array of diseases in mammals such as humans, especiallydiseases characterized by joint inflammation and the destruction of articular cartilage, suchas: osteoarthritis, joint injury, reactive arthritis, acute pyrophosphate arthritis, psoriaticarthritis, and rheumatoid arthritis.
            • For administration to mammals, including humans a variety of conventional routesmay be used including oral, parenteral, intravenous, intramuscular, subcutaneous, buccal,anal, and topical. In general, the compounds of the invention (hereinafter also known as theactive compounds) will be administered at dosages to achieve maximum inhibition ofcollagenase-3 and aggrecanase without significant side effects, particularly side effectsresulting from systemic inhibition of collagenase-1.
            • Preferably the active compound will be administered orally or parenterally. Of course,some variation in dosage will necessarily occur depending on the condition of the subjectbeing treated. The person responsible for administration will determine the appropriate dosefor the individual subject.
            • The active compounds can be administered in a wide variety of different dosageforms, in general, the therapeutically effective compounds of this invention are present in such dosage forms at dosage levels between about 0.1 and 25 mg/kg body weight of thesubject per day, preferably of from about 0.3 to 5 mg/kg. But some variation in dosage willnecessarily occur depending on the condition of the subject to be treated. The personresponsible for administration will determine the appropriate dose for the individual subject.
            • For oral administration, tablets containing various excipinents, such as,microcrystalline cellulose, sodium citrate, calcium carbonate, dicalcium phosphate, andglycine may be employed along with various disintegrants, such as, starch (preferably com,potato, or tapioca starch), alginic acid, and certain complex silicates, together with granulationbinders like polyvinylpyrrolidone, sucrose, gelatin, and acacia. Additionally, lubricatingagents, such as, magnesium stearate, sodium lauryl sulfate, and talc are often very useful fortableting purposes. Solid compositions of a similar type may also be employed as fillers ingelatin capsules; preferred materials also include lactose or milk sugar as well as highmolecular polyethylene glycols. When aqueous suspensions or elixirs are desired for oraladministration, the active ingredient may be combined with various sweetening or flavoringagents, coloring matter or dyes, and, if so desired, emulsifying or suspending agents togetherwith diluents, such as, water, ethanol, propylene glycol, glycerin, and various combinationsthereof.
            • For parenteral administration (intramuscular, intraperitoneal, subcutaneous, andintravenous use) a sterile injectable solution of the active ingredient is usually prepared.Solutions of a therapeutic compound of the present invention in either sesame or peanut oil inaqueous propylene glycol may be employed. The aqueous solutions should be suitablyadjusted and buffered. These aqueous solutions are suitable for intraarticular, intramuscular,and subcutaneous injection purposes. The preparation of these solutions under sterileconditions is readily accomplished by standard pharmaceutical techniques well known tothose skilled in the art. In the case of animals, compounds can be administeredintramuscularly or subcutaneously in a singly dose or up to 3 divided doses.
            • The active compounds may also be formulated in rectal compositions, such as,suppositories or retention enemas, e.g., containing conventional suppository bases, such as,cocoa butter or other glycerides.
            • For intranasal administration, or administration by inhalation, the active compoundsmay be administered by a standard dropper. Also, the active compounds can be convenientlydelivered in the form of a solution or suspension from a pump spray container that issqueezed or pumped by the patient or as an aerosol spray from a pressurized container ornebulizer, with the use of a suitable propellent,e.g., dichlorodifluoromethane,trichlorofluoromethane, dichlorotetrafluoroethane, carbon dioxide, or other suitable gas. Inthe case of a pressurized aerosol, the dosage unit may be determined by providing a valve todeliver a metered amount. The pressurized container or nebulizer may contain a solution or suspension of the active compound. Capsules and cartridges (made, for example, fromgelatin) for use in an inhaler or insufflator may be formulated containing a powder mix of acompound of the invention and a suitable powder base, such as, lactose or starch.
            • Although the present invention has been described in considerable detail withreference to certain preferred embodiments, other embodiments are possible. Therefore, thespirit and scope of the appended claims should not be limited to the description of thepreferred embodiments contained herein.
            • EXAMPLESGeneral Methods To Prepare Compounds Of Formula I
            • Unless otherwise specified, the starting materials were purchased from AldrichChemical Corporation. Isolation and purification was accomplished by well known methods,such as, chromatography, crystallization, and distillation. All products-were characterized byconventional methods such1H NMR and mass spectroscopy. The enantiomeric excesses,where determined, were obtained by chiral phase HPLC. All the compounds of Formula I,prepared according to the schemes below, had optical purities of at least 85% enantiomericexcess (ee).
            • The compounds of the invention may have one or more chiral centers. Therefore,one may selectively prepare the diastereomers or enantiomers. For example, by use of chiralstarting materials or catalysts. Also, since the compounds of the invention may exist asmixtures of diastereomers or enantiomers, the individual stereoisomers may be separatedand isolated in optically pure form, by well known methods, such as, chiral chromatography(e.g., chiral phase gas or liquid phase chromatography), selective crystallization, or use ofchiral salt complexes.
            • EXAMPLE 1PREPARATION OF A COMPOUND OF FORMULA I, WHEREIN X IS CARBON, R3, R4, R7,AND R8 ARE EACH HYDROGEN, AND R1, R2, R5, AND R6 ARE AS ABOVE, ACCORDINGTO GENERAL SCHEME 1Example of a preparation of a compound of formulaIII, Step 1, Scheme 1(2-Hydroxy-1-hydroxymethyl-2-methyl-but-3-enyl)-carbamic acidtert-butyl ester
            • To a solution of 4-(1-hydroxy-1-methyl-allyl)-2,2-dimethyl-oxazolidine-3-carboxylicacid tert-butyl ester (compound of formula II, 3.3 g, 12.1 mmol, prepared as in Ageno, G.;Banfi, L.; Cascio, G.; Guanti, G.; Manghisi, E.; Riva, R.; Rocca, V.Tetrahedron,1995,29,8121) in 100 ml of methanol was addedp-toluenesulfonic acid monohydrate (0.215 g, 1.1mmol). After stirring for about 30 minutes at a temperature of about 20°C to about 25°C, themixture was diluted with saturated aqueous sodium bicarbonate and was concentratedinvacuo. The residue was diluted with water and was extracted 3 times into ethyl acetate. Thecombined organic layers were dried over sodium sulfate, filtered and concentratedin vacuo to afford 2.8 g of (2-Hydroxy-1-hydroxymethyl-2-methyl-but-3-enyl)-carbamic acid tert-butyl ester(compound of formulaIII) as a colorless syrup.
            • Example of a preparation of a compound of formulaVI, Steps 2,3, and 4, Scheme 14-Benzyloxy-N-[1-(tent-butyl-diphenyl-silanyloxymethyl)-2-hydroxy-2-methyl-but-3-enyl]-benzenesulfonamide
            • To a solution of (2-hydroxy-1-hydroxymethyl-2-methyl-but-3-enyl)-carbamic acid tert-butylester (compound of formulaIII, 3 g, 13 mmol) in 13 ml of anhydrous dimethylformamidewas added imidazole (1.63 g, 24 mmol) andtert-butyl diphenylchlorosilane (3.4 ml, 3.6 g, 13mmol). After stirring at a temperature of about 20°C to about 25°C for about 24 hours, themixture was diluted with ethyl acetate, washed twice with water, twice with brine, dried oversodium sulfate, filtered and concentrated to afford the compound of structureIV.
            • The residue was dissolved in 20 ml of methylene chloride and was treated with 10 mlof trifluoroacetic acid at about 0°C. After stirring for about 1.5 hours, the mixture wasconcentrated to afford a compound of formulaV.
            • The compound of formulaV was dissolved in 65 ml of methylene chloride and wastreated with triethylamine (7.4 ml, 52 mmol) and 4-benzyloxy-benzenesulfonyl chloride (3.7 g,13 mmol). After stirring for about 24 hours at a temperature of about 20°C to about 25°C, themixture was diluted with ethyl acetate, washed twice with 1M hydrochloric acid, twice withsaturated aqueous sodium bicarbonate, twice with brine, dried over sodium sulfate andconcentratedin vacuo. Purification using a Flash 40 system (silica gel cartridge, eluting with20% ethyl acetate in hexane) afforded 3.5 g of 4-benzyloxy-N-[1-(tert-butyl-diphenylsilanyloxymethyl)-2-hydroxy-2-methyl-but-3-enyl]-benzenesulfonamide(compound of formulaVI) as a colorless syrup.
            • Example of a preparation of a compound of formulaVII, Step 5, Scheme 1N-Allyl-4-benzyloxy-N-[1-(tert-butyl-diphenyl-silanyloxymethyl)-2-hydroxy-2-methyl-but-3-enyl]-benzenesulfonamide
            • To a solution of 4-benzyloxy-N-[1-(tert-butyl-diphenyl-silanyloxymethyl)-2-hydroxy-2-methyl-but-3-enyl]-benzenesulfonamide(compound of formulaVI, 1.6 g, 2.6 mmol) in 5 ml ofdimethylformamide was added cesium carbonate (1.7 g, 5.2 mmol) and allyl bromide (0.63 g,5.2 mmol). After stirring at a temperature of about 20 to about 25°C for about 24 hours, anadditional 0.4 g of cesium carbonate and 0.2 ml of allyl bromide was added, and the mixturewas stirred at a temperature of about 20°C to about 25°C for about 24 hours. The mixturewas diluted with ethyl acetate, washed 4 times with water, dried over sodium sulfate, filteredand concentratedin vacuo to afford 1.75 g ofN-allyl-4-benzyloxy-N-[1-(tert-butyl-diphenylsilanyloxymethyl)-2-hydroxy-2-methyl-but-3-enyl]-benzenesulfonamide(compound of formulaVII) as a colorless syrup.
            • Example of a preparation of a compound of formulaVIII, Step 6, Scheme 11-(4-Benzyloxy-benzenesulfonyl)-2-(ten-butyl-diphenyl-silanyloxymethyl)-3-methyl-1,2,3,6-tetrahydro-pyridin-3-ol
            • A mixture ofN-allyl-4-benzyloxy-N-[1-(tert-butyl-diphenyl-silanyloxymethyl)-2-hydroxy-2-methyl-but-3-enyl]-benzenesulfonamide(compound of formulaVII, 4.0 g, 6.1 mmol), diallylether (0.82 ml, 0.66 g, 6.7 mmol), bis(tricyclohexylphosphine)benzylidine ruthenium(IV)dichloride (0.34 g, 0.4 mmol) and methylene chloride (116 ml) was stirred at reflux for about 3hours. The mixture was concentratedin vacuo then purified using a Flash 40 system (silicagel cartridge, eluting with 10% ethyl acetate in hexane) to afford 2.8 g of 1-(4-benzyloxybenzenesulfonyl)-2-(tert-butyl-diphenyl-silanyloxymethyl)-3-methyl-1,2,3,6-tetrahydro-pyridin-3-ol(compound of formulaVIII) as a colorless solid.
            • Example of a preparation of a compound of formulaIX, Step 7, Scheme 12-(tert-Butyl-diphenyl-silanyloxymethyl)-1-(4-hydroxy-benzenesulfonyl)-3-methylpiperidin-3-ol
            • A mixture of 1-(4-benzyloxy-benzenesulfonyl)-2-(tert-butyl-diphenyl-silanyloxymethyl)-3-methyl-1,2,3,6-tetrahydro-pyridin-3-ol(compound of formulaVIII, 0.40 g, 0.64 mmol), 10%palladium on charcoal (0.1 g) and 30 ml of methanol was stirred for about 16 hours underabout 1 atmosphere of hydrogen gas. The mixture was filtered through a pad of Celite®.Concentration of the filtrate afforded 0.35 g of 2-(tert-butyl-diphenyl-silanyloxymethyl)-1-(4-hydroxy-benzenesulfonyl)-3-methyl-piperidin-3-ol(compound of formulaIX) as a colorlesssolid.
            • General procedure for the preparation of a compound of formula XI, Steps 8 and 9,Scheme 1]
            • A mixture of 2-(tert-butyl-diphenyl-silanyloxymethyl)-1-(4-hydroxy-benzenesulfonyl)-3-methyl-piperidin-3-ol(compound of formulaIX, 0.35 g, 0.64 mmol), the appropriate benzylhalide (0.77 mmol), cesium carbonate (0.42 g, 1.28 mmol) and dimethylformamide (1.3 ml)was stirred at a temperature of about 20°C to about 25°C for about 24 hours. The mixturewas diluted with ethyl acetate, washed with 1 M hydrochloric acid, saturated aqueous sodiumbicarbonate, dried over sodium sulfate, filtered and concentrated to give a compound offormulaX.
            • The compound of formulaX was taken up in 4 ml of tetrahydrofuran and was treatedwith 1 ml of 1M tetrabutylammonium fluoride in tetrahydrofuran. After stirring for about 6hours at a temperature of about 20°C to about 25°C, the mixture was diluted with ethylacetate, washed twice with water, dried over sodium sulfate, filtered and concentratedinvacuo. Purification of the residue by silica gel chromatography afforded a compound offormulaXI as a colorless syrup.
            • General procedure for the preparation of a compound of formulaXII, Step 10,Scheme 1
            • A stock solution of periodic acid and chromium trioxide in acetonitrile was preparedas follows: 1.14 g of periodic acid and 5 mg of chromium (VI) oxide was dissolved in 11.4 mlof 0.75% water-acetonitrile. To a solution of a compound of formulaXI (0.16 g, 0.38 mmol) in1.88 ml of acetonitrile was added 2.14 ml of the periodic acid/chromic acid solution at about0°C. After stirring for about 5 to about 20 minutes, the mixture was diluted with ethyl acetate,washed once with water and twice with brine, dried over sodium sulfate, filtered andconcentrated, affording a compound of formulaXII as a colorless syrup.
            • General procedure for the preparation of Formula I, wherein X is carbon, and R3, R4,R7, and R8 are each hydrogen, and R1, R2, R5, and R6 are as above, Steps 11 and 12,Scheme 1
            • To a solution of a carboxylic acid of formulaXII (0.62 mmol) in methylene chloride(3.1 ml) was added 1-hydroxybenzotriazole hydrate ( 0.13 g, 0.94 mmol),diisopropylethylamine (0.22 ml, 0.16 g, 1.24 mmol), O-allylhydroxylamine (0.10 g, 0.94 mmol)and 1-(3-dimethylaminopropyl)-3-ethylcarbodiimide hydrochloride ( 0.18 g, 0.94 mmol). Afterstirring for about 24 hours at a temperature of about 20 to about 25°C, the mixture was dilutedwith ethyl acetate, washed once with 1M hydrochloric acid, twice with saturated sodiumbicarbonate solution and once with brine, dried over anhydrous sodium sulfate, filtered andconcentratedin vacuo to give a compound of formulaXIII.
            • The residue was dissolved 6 ml of 20% water in acetonitrile and was treated with 2.5g of 5:2 formic acid-triethyamine and 80 mg of tetrakis(triphenylphosphine)palladium(0). Afterbeing shaken at about 85°C to about 95°C for about 1 hour, the mixture was cooled to about20°C to about 25°C, diluted with ether and extracted 4 times into 1 M Sodium hydroxide. Thecombined aqueous layers were washed 4 times with ether, acidified to pH < 3 with 6Mhydrochloric acid and were extracted 3 times into ethyl acetate. The combined ethyl acetateextracts were dried over sodium sulfate, filtered and concentratedin vacuo to afford thecorresponding Formula I [(2R,3R) 1-[4-(4-benzyloxy)-benzenesulfonyl]-3-hydroxy-3-methylpiperidine-2-carboxylicacid hydroxyamide] compound, wherein the identity of the benzylhalide, used above, defines the substituents R5 and R6, as an optically pure, colorless solidafter trituration from methylene chloride-hexane or isopropyl ether-hexane.
            • Example of a preparation of a Formula I compound, wherein X is carbon, and R3, R4,R7, and R8 are each hydrogen, R1 is hydroxy, R2 is methyl, R5 is hydrogen, and R6 is methylaccording to Steps 8-11, Scheme 13-Hydroxy-3-methyl-1-[4-(2-methyl-benzyloxy)-benzenesulfonyl]-piperidine-2-carboxylicacid hydroxyamide
            • Following the above general procedure of Steps 8 and 9 for the alkylation anddesilylation of 2-(tert-butyl-diphenyl-silanyloxymethyl)-1-(4-hydroxy-benzenesulfonyl)-3-methyl-piperidin-3-ol,compound of formula IX (0.40 g, 0.74 mmol) was alkylated with 2-methylbenzylbromide to afford 310 mg of 2-hydroxymethyl-3-methyl-1-[4-(2-methylbenzyloxy)-benzenesulfonyl]-piperidin-3-ol(compound of formula XI) as a colorless syrup.
            • This material treated according to the general procedure of Step 10, to give 0.31 g of3-hydroxy-3-methyl-1-[4-(2-methyl-benzyloxy)-benzenesulfonyl]-piperidine-2-carboxylic acid(compound of formulaXII) as a colorless syrup.
            • This carboxylic acid of formulaXII was converted to the corresponding Formula Ihydroxamic acid following the general procedure of Steps 11 and 12, affording 150 mg of 3-hydroxy-3-methyl-1-[4-(2-methyl-benzyloxy)-benzenesulfonyl]-piperidine-2-carboxylicacidhydroxyamide (compound of Formula I)as a colorless solid.
            • EXAMPLE 2PREPARATION OF A COMPOUND OF FORMULA I, ACCORDING TO GENERAL SCHEME2, WHEREIN X IS CARBON, R3, R4, R7, AND R8 ARE HYDROGEN, R1 IS HYDROXY, ANDR2, R5, AND R6 ARE AS ABOVEExample of a preparation of a compound of formulaXV, Step 13, Scheme 2[4-Benzyloxybenzenesulfonylamino]-acetic acid tert-butyl ester
            • To a mixture of glycinetert butyl ester hydrochloride salt (compound of formulaXIV,50 g, 300 mmol) and dimethylformamide (400 ml) at about 0°C was added triethylamine (127ml, 885 mmol) and 4-benzyloxybenzenesulfonyl chloride (102 g, 357 mmol). After stirring forabout 1 hour, the mixture was warmed to a temperature of about 20°C to about 25°C, andstirred for about an additional 12 hours. The mixture was diluted with 1M hydrochloric acid,extracted twice with ethyl acetate, and the combined organic layers were dried over sodiumsulfate, filtered and concentratedin vacuo. Trituration of the residue with ether-hexaneafforded 91 g of [4-Benzyloxybenzenesulfonylamino]-acetic acid tert-butyl ester (compound offormulaXV) as a colorless solid.
            • Example of a preparation of a compound of formulaXVI, Step 14, Scheme 2[(4-Benzyloxy-benzenesulfonyl)-pent-4-enyl-amino]-acetic acid tert-butyl ester
            • To a mixture of [4-Benzyloxybenzenesulfonylamino]-acetic acid tert-butyl ester(compound of formulaXV, 91 g, 240 mmol), cesium carbonate (86 g, 264 mmol) anddimethylformamide (240 ml) was added 4-bromopentene (39 g, 264 mmol) and potassium iodide (39 g). After stirring at about 23°C for about 24 hours, the mixture was heated to about55°C. After stirring for about 4 hours, the mixture was treated with additional 4-bromopentene(3.94 g, 26.4 mmol) and cesium carbonate (8.61 g, 26.4 mmol) and was stirred at about 65°Cfor about 12 hours. The mixture was cooled to about 23°C, diluted with water and wasextracted with ethyl acetate. The organic phase was washed 3 times with water, dried oversodium sulfate, filtered and concentratedin vacuo to afford 89 g of [(4-benzyloxybenzenesulfonyl)-pent-4-enyl-amino]-aceticacid tert-butyl ester (compound of formulaXVI) asa colorless syrup
            • Example of a preparation of a compound of formulaXVII, Step 15, Scheme 2[(4-Benzyloxy-benzenesulfonyl)-(4-oxo-pentyl)-amino]-acetic acidtert-butyl ester
            • A mixture of [(4-benzyloxy-benzenesulfonyl)-pent-4-enyl-amino]-acetic acid tert-butylester (compound of formulaXVI, 89 g, 200 mmol), cuprous chloride (19.8 g, 200 mmol),palladium (II) chloride (6.9 g, 39 mmol), dimethylformamide (541 ml) and water (293 ml) wastreated with oxygen gas under vigorous stirring. After about 24 hours, an additional 4 g ofcuprous chloride and 2 g of palladium (II) chloride were added, and stirring was continued for2 days. The mixture was diluted with 1M hydrochloric acid, extracted 3 times with ethylacetate, and the organic phase was washed 5 times with water, dried over sodium sulfate,filtered and concentrated, giving 83 g of [(4-benzyloxy-benzenesulfonyl)-(4-oxo-pentyl)amino]-aceticacid tert-butyl ester (compound of formulaXVII) as a colorless syrup.
            • Example of a preparation of a compound of formulaXVIII, Step 16, Scheme 2]1-[4-benzyloxy)-benzenesulfonyl]-3-hydroxy-3-methyl-piperidine-2-carboxylic acidtert-butyl ester
            • To a solution [(4-benzyloxy-benzenesulfonyl)-(4-oxo-pentyl)-amino]-acetic acidtert-butylester (compound of formulaXVII, 25 g, 56 mmol) in 200 ml of tetrahydrofuran wasadded potassium tert-butoxide (24 ml of a 1M solution in tetrahydrofuran, 24 mmol). Afterstirring for about 24 hours at a temperature of about 20°C to about 25°C, the mixture wasdiluted with water, acidified with 1 M hydrochloric acid and extracted 3 times into ethyl acetate.The combined organic layers were dried over sodium sulfate, filtered and concentratedinvacuo. The stereoisomers were separated by preparative HPLC on a Chiralpak AD column®eluting with 2-propanol-hexane, affording approximately 4 g of each stereoisomer of 1-[4-benzyloxy)-benzenesulfonyl]-3-hydroxy-3-methyl-piperidine-2-carboxylicacid tert-butyl ester(compound of formulaXVIII) as a colorless oil.
            • Example of a preparation of a compound of formulaXIX, Step 17, Scheme 23-Hydroxy-1-(4-hydroxy-benzenesulfonyl)-3-methyl-piperidine-2-carboxylic acid tertbutylester
            • A mixture of 1-[4-benzyloxy)-benzenesulfonyl]-3-hydroxy-3-methyl-piperidine-2-carboxylicacidtert-butyl ester (compound of formulaXVIII, 2.4 g), methanol (100 ml), ethyl acetate (100 ml) and 10% Palladium on carbon (0.47 g) was shaken under about 50 psi ofhydrogen gas for about 24 hours. The mixture was filtered through a pad of Celite® and wasconcentratedin vacuo to afford 3-Hydroxy-1-(4-hydroxy-benzenesulfonyl)-3-methylpiperidine-2-carboxylicacid tert-butyl ester (compound of formulaXIX) as a colorless solid.
            • General procedure for the preparation of a compound of formulaXII, wherein X iscarbon, R3, R4, R7, and R8 are hydrogen, R1 is hydroxy, and R2, R5, and R6 are as definedabove, Steps 18 and 19, Scheme 2
            • A mixture of 3-hydroxy-1-(4-hydroxy-benzenesulfonyl)-3-methyl-piperidine-2-carboxylicacid tert-butyl ester (XIX, 0.20 g, 0.54 mmol), the appropriate alkyl halide (0.81mmol), cesium carbonate (0.35 g, 1.1 mmol) and dimethylformamide (1 ml) was stirred atabout 23°C for about 24 hours. The mixture was diluted with ethyl acetate, washed 5 timeswith water, dried over sodium sulfate, filtered and concentrated. Trituration of the residuefrom isopropyl ether-hexane afforded the corresponding 3-hydroxy-1-(4-arylmethoxy-benzenesulfonyl)-3-methyl-piperidine-2-carboxylicacid tert-butyl ester (compound of formulaXX) as a colorless solid.
            • This material was dissolved in 2 ml of a 1:1 (v/v) solution of trifluoroacetic acid inmethylene chloride and was stirred for about 2 hours at about 23°C. Concentration of themixture afforded the corresponding 3-hydroxy-1-(4-arylmethoxy-benzenesulfonyl)-3-methylpiperidine-2-carboxylicacid (compound of formulaXII), as a colorless solid. This materialmay then be converted to the corresponding Formula I hydroxamic acid according to themethods described in Steps 11 and 12 of Scheme 1 outlined in Example 1.
            • EXAMPLE 3PREPARATION OF A COMPOUND OF FORMULA I, ACCORDING TO GENERALSCHEME 4, WHEREIN X IS CARBON; R3, R7, AND R8 ARE HYDROGEN; R1 AND R2 AREMETHYL; R4 IS HYDROXY; AND R5 AND R6 ARE AS ABOVEExample of a preparation of a compound of formulaXXXII, Step 28, Scheme 4(2R)-3,3-Dimethyl-2-(1-(R)phenyl-ethylamino)-hex-5-enenitrile
            • To a solution ofR-α-methylbenzylamine hydrochloride (14 g, 89 mmol) andpotassium cyanide (5.8 g, 89 mmol) in 90 ml of methanol at about 0°C was added a solutionof 2,2-dimethyl-4-pentenal (compound of formulaXXXI, 10 g, 89 mmol) in 10 ml of methanol.The resultant mixture was warmed to a temperature of about 20°C to about 25°C and wasstirred for about 48 hours. The mixture was filtered, and the filtrate was concentratedinvacuo. Crystallization from 3:1 methanol-water afforded 10.7 g ofR,R-3,3-dimethyl-2-(1-phenyl-ethylamino)-hex-5-enenitrile(compound of formulaXXXII) as a colorless solid.
            • Example of a preparation of a compound of formulaXXXIII, Step 29, Scheme 4R,R,R-5,6-Dihydroxy-3,3-dimethyl-2-(1-phenyl-ethylamino)-hexanenitrile
            • To a solution ofR,R-3,3-dimethyl-2-(1-phenyl-ethylamino)-hex-5-enenitrile(compound of formulaXXXII, 14 g, 51 mmol) in 640 ml of 1:1tert-butyl alcohol:water wasadded potassium ferricyanide (50 g, 152 mmol), potassium carbonate (21 g, 152 mmol andhydroquinidine-9-phenanthryl ether (0.25 g, 0.5 mmol). The mixture was cooled to about 4°C, and potassium osmate dihydrate (0.18 g, 0.5 mmol) was added. After stirring vigorouslyfor about 16 hours, an additional 0.13 g of potassium osmate dihydrate and 0.25 g ofhydroquinidine-9-phenanthryl ether were added. The mixture was stirred for about 48 hoursand was treated with sodium sulfite, extracted 3 times with ethyl acetate, and the combinedorganic extracts were dried over sodium sulfate, filtered and concentrated. Filtration of theresidue through a pad of silica gel eluting first with 10% ethyl acetate in hexane, followed by33% ethyl acetate in hexane afforded 11.5 g ofR,R,R-5,6-dihydroxy-3,3-dimethyl-2-(1-phenylethylamino)-hexanenitrile(compound of formulaXXXIII) as a colorless syrup.
            • Example of a preparation of a compound of formulaXXXIV, Step 30, Scheme 4(3R,6R)-6-Hydroxymethyl-4,4-dimethyl-3-(1-phenyl-ethylamino)-tetrahydro-pyran-2-one
            • A mixture ofR,R,R-5,6-dihydroxy-3,3-dimethyl-2-(1-phenyl-ethylamino)-hexanenitrile(compound of formulaXXXIII, 11.5 g) and 163 ml of concentrated aqueous hydrochloric acid(ca. 12 M) was heated to reflux for about 1.5 hours. The mixture was cooled to a temperatureof about 20°C to about 25°C and was concentrated. The residue was taken up in water,washed twice with ethyl acetate, and the aqueous layer was basified with solid Sodiumhydroxide at about 0°C. The aqueous mixture was extracted 3 times into ethyl acetate, andthe combined organic layers were dried over sodium sulfate, filtered and concentrated giving9.3 g of (3R,6R)-6-hydroxymethyl-4,4-dimethyl-3-(1-phenyl-ethylamino)-tetrahydro-pyran-2-one(compound of formulaXXXIV) as a colorless syrup.
            • Example of a preparation of a compound of formulaXXXV, Step 31, Scheme 4(1R,4R)-8,8-Dimethyl-5-(1-phenyl-ethyl)-2-oxa-5-aza-bicyclo[2.2.2]octan-3-one
            • To a solution of (3R,6R)-6-hydroxymethyl-4,4-dimethyl-3-(1-phenyl-ethylamino)-tetrahydro-pyran-2-one(compound of formulaXXXIV, 1.42 g, 5.14 mmol) in 45 ml ofmethylene chloride was added triethylamine (1.1 ml, 7.9 mmol) and p-toluenesulfonyl chloride(1.2 g, 6.2 mmol) at about 0°C. The mixture was warmed to a temperature of about 20°C toabout 25°C and was stirred for about 46 hours. The mixture was washed twice with water,and the aqueous layers were extracted with methylene chloride. The combined organiclayers were dried over MgSO4, filtered and concentrated. Purification of the residue byfiltration through a pad of silica gel eluting first with hexane followed by 20% ethyl acetate inhexane afforded 0.4 g of (1R,4R)-8,8-dimethyl-5-(1-phenyl-ethyl)-2-oxa-5-aza-bicyclo[2.2.2]octan-3-one (compound of formulaXXXV) as a colorless solid afterrecrystallization from methanol-water.
            • Example of a preparation of a compound of formulaXXXVI, Step 32, Scheme 4(1R,4R)-8,8-Dimethyl-2-oxa-5-aza-bicyclo[2.2.2]octan-3-one
            • To a small Parr shaker bottle was added of (1R,4R)-8,8-Dimethyl-5-(1-phenyl-ethyl)-2-oxa-5-aza-bicyclo[2.2.2]octan-3-one(compound of formulaXXXV, 1.04 g, 4.01 mmol),methanol (50 ml) and 0.12 g of 10% Palladium on charcoal. The mixture was shaken underabout 50 psi of hydrogen for about 19 hours. The mixture was filtered and concentrated,affording 0.59 g of (1R,4R)-8,8-dimethyl-2-oxa-5-aza-bicyclo[2.2.2]octan-3-one (compound offormulaXXXVI) as a filmy solid.
            • Example of a preparation of a compound of formulaXXXVII, Step 33, Scheme 4(1R,4R)-5-(4-Benzyloxy-benzenesulfonyl)-8,8-dimethyl-2-oxa-5-aza-bicyclo[2.2.2]octan-3-one
            • A solution of (1R,4R)-8,8-dimethyl-2-oxa-5-aza-bicyclo[2.2.2]octan-3-one (compoundof formulaXXXVI, 10 mmol) and dimethylformamide (20 ml) at about 0°C was treated withtriethylamine (10-20 mmol) and 4-benzyloxybenzenesulfonyl chloride (15 mmol). After stirringfor about 1 hours, the mixture is warmed to a temperature of about 20°C to about 25°C andstirred for about an additional 12 hours. The mixture is diluted with 1M hydrochloric acid,extracted twice with ethyl acetate, and the combined organic layers are dried over sodiumsulfate, filtered and concentratedin vacuo to give (1R,4R)-5-(4-benzyloxy-benzenesulfonyl)-8,8-dimethyl-2-oxa-5-aza-bicyclo[2.2.2]octan-3-oneas a colorless syrup.
            • Example of a preparation of a compound of formulaXXXVIII, Step 34, Scheme 4(1R,4R)-5(4-Hydroxy-benzenesulfonyl)-8,8-dimethyl-2-oxa-5-aza-bicyclo[2.2.2]octan-3-one
            • A mixture of (1R,4R)-5-(4-benzyloxy-benzenesulfonyl)-8,8-dimethyl-2-oxa-5-aza-bicyclo[2.2.2]octan-3-one(compound of formulaXXXVII, 3.7 g, 9.3 mmol), 10% palladium oncharcoal (0.8 g) and 470 ml of 1:1 ethyl acetate-methanol was stirred for about 1.5 hoursunder about 50 psi of hydrogen gas. The mixture was filtered through a pad of Celite®.Concentration of the filtrate afforded 2.4 g (1R,4R)-5-(4-hydroxy-benzenesulfonyl)-8,8-dimethyl-2-oxa-5-aza-bicyclo[2.2.2]octan-3-one(compound of formulaXXXVIII) as a colorlesssolid.
            • General procedure for the preparation of a compound of formulaXXXIX, Step 35,Scheme 4
            • A mixture of (1R,4R)-5-(4-hydroxy-benzenesulfonyl)-8,8-dimethyl-2-oxa-5-aza-bicyclo-[2.2.2]octan-3-one(compound of formulaXXXVIII, 0.15 g, 0.48 mmol), the appropriatealkyl halide (0.97 mmol), potassium carbonate (0.13 g, 0.97 mmol) and dimethylformamide (1ml) was shaken at about 50°C for about 24 hours. The mixture was diluted with ethyl acetate, washed 4 times with water, dried over sodium sulfate, filtered and concentrated. Trituration ofthe residue from isopropyl ether-hexane afforded the corresponding (1R,4R)-5-(4-arylmethoxy-benzenesulfonyl)-8,8-dimethyl-2-oxa-5-aza-bicyclo[2.2.2]octan-3-one(compoundof formulaXXXIX) as a colorless solid.
            • General procedure for the preparation of a compound of formulaXL, wherein X iscarbon; R3, R7, and R8 are hydrogen; R1 and R2 are methyl; R4 is hydroxy; and R5 and R6 areas above then conversion to the corresponding compound of Formula I, Steps 36 of Scheme4 and then reaction of XL under the conditions of Step 12 of Scheme 1
            • A stock solution of allylhydroxylamine-trimethylaluminum complex was prepared asfollows: To a suspension ofO-allylhydroxylamine hydrochloride (1.6 g, 11.3 mmol) in 24 ml oftoluene at about 0°C was added trimethylaluminum (5.7 ml of a 2M solution in toluene, 11.3mmol). The resulting mixture was warmed to about 20°C to about 25°C and stirred untilhomogeneous (about 1 to about 4 hours). A lactone of formulaXXXIX prepared as detailedabove (0.4 mmol) was treated with 4 ml of the above prepared solution and was shaken atabout 85°C to about 95°C for about 30 minutes. The mixture was cooled to about 20°C toabout 25°C, diluted with ethyl acetate and was washed once with 1 M hydrochloric acid, oncewith saturated sodium bicarbonate solution, dried over anhydrous sodium sulfate, filtered andconcentratedin vacuo to give a compound of formulaXL.
            • A compound of formula XL may be converted into a Formula I compound by usingStep 12 of Scheme 1. That is, the residue was dissolved 4 ml of 20% water in acetonitrileand was treated with 1.6 g of 5:2 formic acid-triethylamine and 44 mg oftetrakis(triphenylphosphine)palladium(0). After being shaken at about 85 to about 95°C forabout 1 hour, the mixture was cooled to about 20°C to about 25°C, diluted with ether andextracted 3 times into 1M Sodium hydroxide. The combined aqueous layers were washedwith ether, acidified to a pH of less than 3 with 1M hydrochloric acid and were extracted 3times into ethyl acetate. The combined ethyl acetate extracts were dried over sodium sulfate,filtered and concentratedin vacuo to afford the desired product as a colorless solid aftertrituration from methylene chloride-hexane or isopropyl ether-hexane to give thecorresponding Formula I compound.
            • Example of a preparation of a compound of Formula I, wherein X is carbon; R3, R7,and R8 are hydrogen; R1 and R2 are methyl; R4 is hydroxy; R5 is fluoro, and R6 istrifluoromethyl by treating a compound of the formulaXXXVIII according to steps 35, 36, ofScheme 4 and then reaction ofXL under the conditions of Step 12 of Scheme 1.(2R,5R)-1-[4-(5-Fluoro-2-trifluoromethyl-benzyloxy)-benzenesulfonyl]-5-hydroxy-3,3-dimethyl-piperidine-2-carboxylicacid hydroxyamide, compound of Formula I
            • Following the above general procedure for the alkylation of (1R,4R)-5-(4-hydroxy-benzenesulfonyl)-8,8-dimethyl-2-oxa-5-aza-bicyclo[2.2.2]octan-3-one(compound of formulaXXXVIII, 0.15 g, 0.48 mmol) using 2-trifluoromethyl-5-fluorobenzyl bromide as the alkylbromide afforded 170 mg of (1R,4R)-5-[4-(5-fluoro-2-trifluoromethyl-benzyloxy)-benzenesulfonyl]-8,8-dimethyl-2-oxa-5-aza-bicyclo[2.2.2]octan-3-one(compound of formulaXXXIX).This lactone was converted to the corresponding hydroxamic acid following thegeneral procedure of Steps 36 and 12 described above, affording 67 mg of the Formula Icompound (2R,5R)-1-[4-(5-fluoro-2-trifluoromethyl-benzyloxy)-benzenesulfonyl]-5-hydroxy-3,3-dimethyl-piperidine-2-carboxylicacid hydroxyamide (colorless solid).
            • EXAMPLE 4PREPARATION OF A COMPOUND OF FORMULA I, WHEREIN X IS NITROGEN, R8 ISNOT PRESENT, AND R7 IS A GROUP OF THE FORMULA:
            • Figure 00750001
            • ACCORDING TO GENERAL SCHEME 5, WHEREIN, Y is NH-CH3, AND R1,R2,R3,R4, R5, AND R6, HAVE THE MEANINGS AS DEFINED ABOVE.Example of a preparation of a compound of formulaXLI of Scheme 52-Benzyloxycarbonylamino-3-hydroxy-butyric acid
            • To a solution of D-threonine (50.7g, 0.426 mol) in water (800 ml) at about 0°C wasadded benzyl chloroformate (66 ml, 0.462 mol) dropwise over about 15 minutes. The reactionwas allowed to warm to about 23°C and was stirred at that temperature for about 18 hours.The reaction was cooled with ice and acidified with concentrated hydrochloric acid, extractedwith ether (3 times) and the organic layers were concentrated to give 110.9g of 2-benzyloxycarbonylamino-3-hydroxy-butyricacid as a colorless oil.
            • 2-Benzyloxycarbonylamino-3-hydroxy-butyric acid, cesium salt
            • 2-Benzyloxycarbonylamino-3-hydroxy-butyric acid (110.9g, 0.438 mol) was dilutedwith water (800 ml) and cesium carbonate (72.8 g, 0.224mol) was added slowly in portionsover about 15 minutes. The reaction was stirred at about 23°C for about 30 minutes and wasthen concentratedin vacuo and dried on a vacuum pump for about 18 hours to give 155.5 gof 2-benzyloxycarbonylamino-3-hydroxy-butyric acid, cesium salt as a white solid.
            • 3-Bromomethyl-3-methyl-oxetane
            • To a dichloromethane (600 ml) solution of (3-Methyl-oxetan-3-yl)-methanol (50 g,0.4896 mol, prepared as in Corey, E.J., Raju, N.,Tetrahedron Lett.,1983, 5571) at about 0°Cwas added carbon tetrabromide (165.35 g, 0.4986 mol) followed by the addition of triphenylphosphine (179 g, 0.683 mol) slowly in portions over about 20 minutes. The reaction wasallowed to warm to about 23°C and was stirred at that temperature for about 1 hour then wasconcentratedin vacuo. The residue was diluted with diethyl ether and cooled to about 0°C,then was filtered through Celite® and the organic layer was concentratedin vacuo. The residue was then diluted with hexanes and filtered then concentratedin vacuo and distilledunder vacuum to give 124.3 g of 3-bromomethyl-3-methyl-oxetane as a colorless oil.
            • 2-Benzyloxycarbonylamino-3-hydroxy-butyric acid 3-methyl-oxetan-3-ylmethyl ester
            • To a N,N-dimethylformamide (750 ml) solution 2-benzyloxycarbonylamino-3-hydroxybutyricacid, cesium salt (123.9g, 0.322 mol) at about 23°C was added 3-bromomethyl-3-methyl-oxetane(60 ml, 0.420 mol). The reaction was stirred at about 23°C for about 18 hoursand was then concentratedin vacuo. The residue was diluted with ethyl acetate andextracted with saturated sodium bicarbonate, washed with saturated ammonium chloride andsaturated sodium chloride, dried with sodium sulfate and concentrated to give 100 g of thetitle compound.
            • 2-Hydroxy-1-(4-methyl-2,6,7-trioxa-bicyclo[2.2.2]oct-1-yl)-propyl]-carbamic acidbenzyl ester
            • To a dichloromethane (1.5L) solution of 2-benzyloxycarbonylamino-3-hydroxy-butyricacid 3-methyl-oxetan-3-ylmethyl 84.76 g, 0.251 mol) at about 0°C was added boron trifluoridediethyl etherate (2 ml in 50 ml dichloromethane at about 0°C). The reaction mixture wasallowed to warm to about 23°C and was stirred at that temperature for about 6 hours. Thereaction was treated with triethylamine (8 ml) and stirred for about 30 minutes at about 23°C.The reaction mixture was then concentratedin vacuo. The residue was diluted with ethylacetate and then was extracted with saturated ammonium chloride, washed with saturatedsodium chloride, dried with sodium sulfate and concentratedin vacuo. Purification using silicagel chromatography eluting with 1:1 ethyl acetate:hexanes gave 30.45 g of the titlecompound.
            • 1-Amino-1-(4-methyl-2,6,7-trioxa-bicyclo[2.2.2]oct-1-yl)-propan-2-ol (compound offormulaXLI)
            • A solution of 2-hydroxy-1-(4-methyl-2,6,7-trioxa-bicyclo[2.2.2]oct-1-yl)-propyl]-carbamicacid benzyl ester (38.5 g) in ethyl alcohol (120 ml) was treated with 10%Palladium/C (1.17 g) and subjected to an atmosphere of hydrogen (about 15 psi) for about 35hours. The reaction mixture was then filtered through Celite® and concentratedin vacuo togive 7.65 g of a compound of formula XLI.
            • Example of a preparation of a compound of formulaXLII, Step 37, Scheme 54-Benzyloxy-N-[2-hydroxy-1-(4-methyl-2,6,7-trioxa-bicyclo[2.2.2]oct-1-yl)-propyl]-benzenesulfonamide
            • To a solution of 1-amino-1-(4-methyl-2,6,7-trioxa-bicyclo[2.2.2]oct-1-yl)-propan-2-ol(XLI, 7.65 g, 37.6 mmol) inN,N-dimethylformamide (85 ml) at about 0°C was addedtriethylamine (10.6 ml, 114.3 mmol) and 4-benzyloxy-benzenesulfonyl chloride (10.7 g, 37.8mmol). The reaction was stirred at about 23°C for about 4 hours prior to the addition of ethylacetate and water. The mixture was washed with water (3 times), brine (once) and the organic layer was dried with sodium sulfate and concentratedin vacuo to give 13.6 g of acompound of formulaXLII.
            • Example of a preparation of a compound of formulaXLV, Step 38, Scheme 51-(4-Benzyloxy-benzenesulfonyl)-2-methyl-3-(4-methyl-2,6,7-trioxa-bicyclo[2.2.2]oct-1-yl)-aziridine
            • To a tetrahydrofuran (400 ml) solution of 4-benzyloxy-N-[2-hydroxy-1-(4-methyl-2,6,7-trioxa-bicyclo[2.2.2]oct-1-yl)-propyl]-benzenesulfonamide(compound of formulaXLII, 13.62 g,27.6 mmol) was added triphenylphosphine (12.3 g, 46.9 mmol). The reaction mixture wascooled to about 0°C and diethylazodicarboxylate (7 ml, 44.5 mmol) was added dropwise. Thereaction mixture was stirred for about 18 hours at about 23°C, then was poured onto ethylacetate and washed with water (twice), brine (once) and the organic layer was dried oversodium sulfate and concentratedin vacuo to give 15 g of a compound of formulaXLVcontaining a small amount of impurities due to the triphenylphosphine anddiethylazodicarboxylate.
            • Example of a preparation of a compound of formulaXLIV, Step 39, Scheme 51-(4-Benzyloxy-N-[2-(2-hydroxy-ethylamino)-1-(4-methyl-2,6,7-trioxa-bicyclo[2.2.2joct-1-yl)-propyl]-benzenesulfonamide
            • To a solution of 1-(4-benzyloxy-benzenesulfonyl)-2-methyl-3-(4-methyl-2,6,7-trioxabicyclo[2.2.2]oct-1-yl)-aziridine(compound of formulaXLV, 9.18 g, 21.3 mmol) in methanol(40 ml) was added ethanolamine (20 ml). The reaction mixture was heated to about 62 °C forabout 18 hours then was cooled to about 23°C, was diluted with ethyl acetate, extracted withwater, washed with brine and the organic layer was dried with sodium sulfate andconcentratedin vacuo to give 10.8 g of a compound of formulaXLIV containing a smallamount of impurities due to the triphenylphosphine and diethylazodicarboxylate.
            • Example of a preparation of a compound of formulaXLV, Step 40, Scheme 51-(4-Benzyloxy-benzenesulfonyl)-3-methyl-2-(4-methyl-2,6,7-trioxa-bicyclo[2.2.2]oct-1-yl)-piperazine
            • 4-Benzyloxy-N-(2-(2-hydroxy-ethylamino)-1-(4-methyl-2,6,7-trioxa-bicyclo[2.2.2]oct-1-yl)-propyl]-benzenesulfonamide(compound of formulaXLIV, 10.6 g, 21.5 mmol) was dilutedwith tetrahydrofuran (400 ml) and cooled to about 0°C prior to the addition oftriphenylphosphine (6.69 g, 25.5 mmol) and diethylazodicarboxylate (4.2 ml, 26.7 mmol). Themixture was allowed to stir at about 0°C for about 2 hours then was concentratedin vacuoand diluted with ethyl acetate and extracted with water. The organic layer was dried withsodium sulfate and concentratedin vacuo. Silica gel chromatography using ethyl acetatefollowed by 10% methanol in chloroform containing 0.1% ammonium hydroxide gave 6.8 g ofa compound of formulaXLV.
            • Example of a preparation of a compound of formulaXLIX, Step 44, Scheme 5(2-[2-Methyl-4-[4-(2-methyl-benzyloxy)-benzenesulfonyl]-3-(4-methyl-2,6,7-trioxa-bicyclo[2.2.2]oct-1-yl)-piperazin-1-yl]-2-oxo-ethyl}-carbamicacid tert-butyl ester
            • To a dichloromethane (12 ml) solution of 1-(4-benzyloxy-benzenesulfonyl)-3-methyl-2-(4-methyl-2,6,7-trioxa-bicyclo(2.2.2]oct-1-yl)-piperazine(XLV, 1.16g, 2.37 mmol) at about23°C was added 1-hydroxybenzotriazole hydrate (481 mg, 3.56 mmol), diisopropylethylamine(1.0 ml, 5.94 mmol),N-t-butoxycarbonylglycine; and 1-(3-dimethylaminopropyl)-3-ethylcarbodiimidehydrochloride (683 mg, 3.56 mmol). The reaction mixture was stirred atabout 23°C for about 16 hours then was diluted with ethyl acetate and saturated aqueoussodium bicarbonate and extracted. The organic layer was dried with sodium sulfate andconcentratedin vacuo to give 1.53 g of a compound of formulaXLIX.
            • General procedure for the preparation of a compound of formulaXLIV, Step 41,Scheme 54-[4-(2-methyl-benzyloxy)-benzenesulfonyl]-2-methyl-3-(4-methyl-2,6,7-trioxa-bicyclo[2.2.2]oct-1-yl)-piperazine-1-carboxylic acid methylamide
            • To a dichloromethane (5 ml) solution of 1-[4-(2-methyl-benzyloxy)-benzenesulfonyl]-3-methyl-2-(4-methyl-2,6,7-trioxa-bicyclo[2.2.2]oct-1-yl)-piperazine(compound of formulaXLV, 1.78 g, 3.64 mmol) at about 0°C was added methyl isocyanate (0.24 ml, 4.0 mmol). Thereaction was allowed to stir for about 0.5 hour at about 23°C, was diluted with ethyl acetateand extracted with water. The organic layer was dried with sodium sulfate and then wasconcentrated to give 1.927 g of a compound of formulaXLIV.
            • General Procedure for the preparation of a compound of formulaXLVIII, by reacting acompound of the formula XLVI of Scheme 5 under the conditions of Step 44 of Scheme 14-(4-Hydroxy-benzenesulfonyl)-2-methyl-3-(4-methyl-2,6,7-trioxa-bicyclo[2.2.2]oct-1-yl)-piperazine-1-carboxylicacid methylamide
            • To an ethanol (15 ml) solution of 4-[4-(2-methyl-benzyloxy)-benzenesulfonyl]-2-methyl-3-(4-methyl-2,6,7-trioxa-bicyclo[2.2.2]oct-1-yl)-piperazine-1-carboxylicacidmethylamide (1.9 g, 3.48 mmol) was added 10% palladium hydroxide on carbon (370 mg).The mixture was shaken under about 20 psi hydrogen gas for about 1.5 hours. The resultingmixture was filtered through Celite® and concentratedin vacuo to give 1.55 g of the titlecompound (compound of formulaXLV).
            • General Procedure for the preparation of a compound of formulaXLIV, by reaction ofa compound of the formulaXLV under the conditions of Step 8 of Scheme 14-[4-(5-Fluoro-2-methyl-benzyloxy)-benzenesulfonyl]-2-methyl-3-(4-methyl-2,6,7-trioxa-bicyclol2.2.2]oct-1-yl)-piperazine-1-carboxylicacid methylamide
            • To aN,N-dimethylformamide (1.5 ml) solution of 4-(4-Hydroxy-benzenesulfonyl)-2-methyl-3-(4-methyl-2,6,7-trioxa-bicyclo[2.2.2]oct-1-yl)-piperazine-1-carboxylicacid methylamide (compound of formulaXLV, 0.31 g, 0.7 mmol) was added cesium carbonate(0.45 g) and 2-bromomethyl-4-fluoro-1-methyl-benzene ( 0.214 g, 1.05 mmol). The reactionmixture was stirred at about 45°C for about 16 hours and then was allowed to cool and wasdiluted with ethyl acetate and washed with water. The organic layer was dried with sodiumsulfate and concentratedin vacuo to give 0.377 g of a compound of formulaXLIV.
            • General Procedure for the preparation of a compound of formulaXLVI, Step 42, Scheme 51-[4-(5-Fluoro-2-methyl-benzyloxy)-benzenesulfonyl]-3-methyl-4-methylcarbamoyl-piperazine-2-carboxylicacid
            • To a dichloromethane (7 ml) solution of 4-[4-(5-fluoro-2-methyl-benzyloxy)-benzenesulfonyl]-2-methyl-3-(4-methyl-2,6,7-trioxa-bicyclo[2.2.2]oct-1-yl)-piperazine-1-carboxylicacid methylamide (compound of formulaXLIV, 376 mg, 0.67 mmol) at about 23°Cwas added water (0.14 ml) and trifluoroacetic acid (0.14 ml). The reaction mixture was stirredfor about 0.5 hour then was concentratedin vacuo. The residue was diluted with methanol(20 ml) and water (6 ml) and cesium carbonate (45 ml of a 10% solution in water) was addedto the mixture. The reaction mixture was heated to about 40°C for about 24 hours then wascooled to about 23°C, acidified with hydrochloric acid and extracted with ethyl acetate. Theorganic layer was washed with brine and dried with sodium sulfate and concentratedin vacuoto give 330 mg of a compound of formulaXLVI.
            • General Procedure for the preparation of a compound of Formula I, wherein X isnitrogen, R8 is not present, and R7 is a group of the formula:wherein, Y is NH-CH3, R1 is methyl,R2 is hydrogen,R3 and R4 are hydrogen, R5 ismethyl and R6 is fluoro, Steps 42 and 43 of Scheme 54-[4-(5-Fluoro-2-methyl-benzyloxy)-benzenesulfonyl]-2-methyl-4-carboxylic acidmethylamide-piperazine-2-carboxylic acid-allyloxyamide
            • To a dichloromethane (3.5 ml) solution of 1-[4-(5-Fluoro-2-methyl-benzyloxy)benzenesulfonyl]-3-methyl-4-methylcarbamoyl-piperazine-2-carboxylicacid (compound offormulaXLVI, 320 mg, 0.67 mmol) at about 23°C was added allylhydroxyl aminehydrochloride (110 mg, 1.0 mmol), 1-hydroxybenzotriazole hydrate (137 mg, 1.0 mmol),diisopropylethyl amine (0.30 ml, 1.68 mmol) and 1-(3-dimethylaminopropyl)-3-ethylcarbodiimidehydrochloride (193 mg, 1.0 mmol). The mixture was stirred for about 24hours at about 23°C then was diluted with ethyl acetate and dilute aqueous sodiumbicarbonate and extracted. The organic layer was dried with sodium sulfate and concentratedin vacuo. Silica gel chromatography gave 290 mg of the title Formula I compound.
            • EXAMPLE 5GENERAL PROCEDURE FOR THE PREPARATION OF A COMPOUND OF FORMULA I,WHEREIN X IS NITROGEN, R8 IS NOT PRESENT, AND R7 IS A GROUP OF THEFORMULA:
            • Figure 00800001
            • WHEREIN, Y IS CH2-NH2 AND R1,R2,R3, R4, R5, R6, HAVE THE MEANINGS ASDEFINED ABOVE ACCORDING TO SCHEME 64-[4-(5-Fluoro-2-methyl-benzyloxy)-benzenesulfonyl]-2-methyl-4-carboxylic acidmethylamide-piperazine-2-carboxylic acid hydroxyamide
            • To an acetonitrile:water (4:1, 2.75 ml) solution of 4-[4-(5-fluoro-2-methyl-benzyloxy)benzenesulfonyl]-2-methyl-piperazine-1,3-dicarboxylicacid 3-(allyloxy-amide) 1-methylamide(290 mg, 0.55 mmol) was added triethyl ammonium formate (0.22 ml) and palladium tetrakistriphenylphosphine (63 mg). The reaction mixture was heated to about 85°C for about 30minutes then was cooled to about 23°C and extracted with ethyl acetate and dilute aqueoussodium bicarbonate. The organic layer was dried with sodium sulfate and concentratedinvacuo. Chromatography on silica gel using ethyl acetate then 10% methanol:ethyl acetategave 149.8 mg of the title Formula I compound.
            • Example of a preparation of a compound of formula L, wherein P10 isbutyloxycarbonyl, Steps 42 and 43, Scheme 6(2-{3-Hydroxycarbamoyl-2-methyl-4-[4-(2-methyl-benzyloxy)-benzenesulfonyl]-piperazin-1-yl}-2-oxo-ethyl)-carbamicacid tert-butyl ester
            • The title compound was prepared from {2-[2-Methyl-4-[4-(2-methyl-benzy)oxy)-benzenesulfonyl]-3-(4-methyl-2,6,7-trioxa-bicyclo[2.2.2]oct-1-yl)-piperazin-1-yl]-2-oxo-ethyl}-carbamicacid tert-butyl ester according to steps 42 and 43 of Scheme 6 (i.e., the sameprocedure described above for 4-[4-(5-fluoro-2-methyl-benzyloxy)-benzenesulfonyl]-2-methyl-piperazine-1,3-dicarboxylicacid 3-hydroxyamide 1-methylamide).
            • Example of a preparation of a compound of Formula I wherein X is nitrogen, R8 is notpresent, and R7 is a group of the formula:wherein, Y is CH2-NH2 and R1 is methyl, R5 is ethyl, and R2,R3, R4, R6 are hydrogenaccording to Step 45, Scheme 61-[4-(2-methyl-benzyloxy)-benzenesulfonyl]-4-aminoacetyl-3-methyl-piperazine-2-carboxylicacid hydroxyamide, trifluoroacetate salt
            • To a dichloromethane (4.3 ml) solution of (2-{3-Hydroxycarbamoyl-2-methyl-4-[4-(2-methyl-benzyloxy)-benzenesulfonyl]-piperazin-1-yl}-2-oxo-ethyl)-carbamicacid tert-butyl ester(compound of formula
              Figure 00810001
                 L, 0.25 g, 0.43 mmol) at about 23°C was added trifluoroacetic acid (0.4 ml). Thereaction was stirred for about 10 minutes then was concentratedin vacuo to give 180 mg ofthe title compound. This compound can be neutralized according to standard methods to givethe corresponding Formula I compound as the free amine.
            • 1-[4-(2-Ethyl-benzyloxy)-benzenesulfonyl]-2-methyl-4-aminoacetyl-piperazine-2-carboxylicacid hydroxyamide
            • The title compound was prepared using the procedures described for 4-[4-(5-fluoro-2-methyl-benzyloxy)-benzenesulfonyl]-2-methyl-piperazine-1,3-dicarboxylicacid 3-hydroxyamide1-methylamide (i.e., reaction of a compound of formulaXLV with 1-bromomethyl-2-ethyl-benzeneunder the conditions of Step 8 of Scheme 1 to obtain acompound of formulaXLV with a 1-bromomethyl-2-ethyl-benzyl group. Steps 41-43 ofScheme 5 then provided 4-[4-(2-ethyl-benzyloxy)-benzenesulfonyl]-2-methyl-piperazine-1,3-dicarboxylicacid 3-hydroxyamide-1-methylamide, 149.8 mg (56% yield).
            • EXAMPLE 6PREPARATION OF A COMPOUND OF FORMULA I WHEREIN X IS NITROGEN; R8IS NOT PRESENT; R7IS HYDROGEN; R3 AND R4 ARE TAKEN TOGETHER TO FORM ACARBONYL GROUP; AND R1, R2, R5, AND R6 HAVE THE MEANINGS AS DEFINEDABOVE ACCORDING TO GENERAL SCHEME 7Example of a preparation of a compound of formula LI, Step 46, Scheme 7N-[2-Amino-1-(4-methyl-2,6,7-trioxa-bicyclo[2.2.2]oct-1-yl)-propyl]-4-benzyloxy-benzenesulfonamide
            • A solution of 1-(4-benzyloxy-benzenesulfonyl)-2-methyl-3-(4-methyl-2,6,7-trioxa-bicyclo[2.2.2]oct-1-yl)-aziridine(compound of formulaXLV, 3.0 g, 7.0 mmol) prepared asoutlined in Scheme 5, in methanol (15 ml, saturated with ammonia gas at about 0 °C) washeated to about 50 °C for about 24 hours. The mixture was concentratedin vacuo to afford2.8 g of N-[2-Amino-1-(4-methyl-2,6,7-trioxa-bicyclo(2.2.2]oct-1-yl)-propyl]-4-benzyloxybenzenesulfonamide(compound of formulaLI) as a colorless solid.
            • Example of a preparation of a compound of formulaLII, Step 47, Scheme 7[2-(4-Benzyloxy-benzenesulfonylamino)-1-methyl-2-(4-methyl-2,6,7-trioxa-bicyclo[2.2.2]oct-1-yl)-ethyl]-carbamicacid benzyl ester
            • A solution of N-[2-amino-1-(4-methyl-2,6,7-trioxa-bicyclo[2.2.2]oct-1-yl)-propyl]-4-benzyloxy-benzenesulfonamide(compound of formulaLI, 2.5 g, 5.6 mmol), triethyl amine(1.01 ml, 0.73 g, 7.22 mmol) in 31 ml of 2:1 (v/v) 1,4-dioxane-water was treated with benzylchloroformate (1.20 ml, 1.43 g, 8.40 mmol) at about 0 °C. After stirring for about 3 hours at about 0°C, the mixture was diluted with ethyl acetate, washed twice with water, once withbrine, dried over sodium sulfate, filtered and concentratedin vacuo. The residue was purifiedby silica gel chromatography eluting with 2:1 hexane-ethyl acetate, affording 2.0 g of [2-(4-benzyloxy-benzenesulfonylamino)-1-methyl-2-(4-methyl-2,6,7-trioxa-bicyclo[2.2.2]oct-1-yl)-ethyl]-carbamicacid benzyl ester (compound of formulaLII) as a colorless syrup.
            • Example of a preparation of a compound of formulaLIII, Step 48, Scheme 7{(4-Benzyloxy-benzenesulfonyl)-[2-benzyloxycarbonylamino-1-(4-methyl-2,6,7-trioxa-bicyclo[2.2.2]oct-1-yl)-propyl]-amino}-aceticacid methyl ester
            • A solution of [2-(4-benzyloxy-benzenesulfonylamino)-1-methyl-2-(4-methyl-2,6,7-trioxa-bicyclo[2.2.2]oct-1-yl)-ethyl]-carbamicacid benzyl ester (compound of formulaLII, 1.2g, 2.0 mmol) in 2 ml of dimethylformamide was treated with cesium carbonate (1.12 g, 3.4mmol) and methyl bromoacetate (0.2 ml, 0.32 g, 2.1 mmol). After stirring for about 2 hours,the mixture was diluted with ethyl acetate, washed 5 times with water, and the organic phasewas dried over sodium sulfate, filtered and concentrated, affording 1.3 g of {(4-benzyloxy-benzenesulfonyl)-[2-benzyloxycarbonylamino-1-(4-methyl-2,6,7-trioxa-bicyclo[2.2.2]oct-1-yl)-propyl]-amino}-aceticacid methyl ester (compound of formulaLIII) as a colorless syrup.
            • Example of a preparation of a compound of formulaLIV, wherein X is nitrogen; R8 isnot present; R7is hydrogen; R3 and R4 are taken together to form a carbonyl group; and R1 ishydrogen, R2 is methyl, R5 is hydroxy, and R6 is hydrogen according to Step 49, Scheme 74-(4-Hydroxy-benzenesulfonyl)-6-methyl-5-(4-methyl-2,6,7-trioxa-bicyclo[2.2.2]oct-1-yl)-piperazin-2-one
            • A solution of {(4-benzyloxy-benzenesulfonyl)-[2-benzyloxycarbonylamino-1-(4-methyl-2,6,7-trioxa-bicyclo[2.2.2]oct-1-yl)-propyl]-amino}-aceticacid methyl ester (compound offormulaLIII, 1.3 g, 2.0 mmol) in 75 ml of ethanol was treated with triethylamine (0.28 ml, 0.20g, 2.0 mmol) and 0.2 g of 10% palladium on carbon. After stirring for about 2 hours under 1atmosphere of hydrogen, the mixture was filtered through a pad of Celite® and concentratedin vacuo. The residue was dissolved in 10 ml of toluene, diluted with 3 ml of methanol andwas refluxed for about 1.5 hours. Concentration of the mixturein vacuo afforded 0.6 g of 4-(4-hydroxy-benzenesulfonyl)-6-methyl-5-(4-methyl-2,6,7-trioxa-bicyclo[2.2.2]oct-1-yl)-piperazin-2-one(compound of formulaLIV). A compound of the formulaLI can be convertedto a compound of the formulaLIII by the method of Step 42 that, in tum, can be converted toa compound of Formula I according to the procedure of Step 43.

            Claims (19)

            1. A compound represented by formula I:
              Figure 00830001
              or a therapeutically acceptable salt thereof, wherein
              X is carbon or nitrogen;
              R1 and R2 are independently selected from the group consisting of hydrogen, hydroxy,and methyl, wherein at least one of R1 and R2 is methyl;
              R3 and R4 are independently selected from the group consisting of hydrogen, hydroxy,and methyl, or R3 and R4 may be taken together to form a carbonyl group; and
              R5 and R6 are independent substituents in the ortho, meta, or para positions and areindependently selected from the group consisting of hydrogen, halogen, cyano, methyl, andethyl;
                 with the provisos:
              when X is carbon, then R7 and R8 are both hydrogen and at least one of R1, R2, R3,and R4 is hydroxy;
              when X is carbon and R5 is para-halo, then at least one of R6, R3, and R4 is nothydrogen;
              when X is nitrogen, then R8 is not present and R7 is hydrogen or a group of theformula:
              Figure 00830002
              wherein, Y is -CH2-NH2 or -NH-CH3; and
              when X is nitrogen and R7 is H, then R3 and R4 are taken together to form a carbonylgroup.
            2. The compound represented by formula I of claim 1, wherein the X is carbon.
            3. The compound represented by formula I of claim 1, wherein the X is nitrogen.
            4. The compound according to claims 2 or 3 wherein the compound exhibits anaggrecanase IC50 of less than about 20 nM, said aggrecanase IC50 measured by anaggrecanase chondrocyte assay.
            5. The compound according to claim 4, wherein the aggrecanase IC50 is lessthan about 10 nM.
            6. The compound according to claim 4, wherein the compound exhibits acollagenase-1 IC50 of greater than about 200 nM, said collagenase-1 IC50 measured by arecombinant collagenase-1 assay.
            7. The compound according to claim 6, wherein the collagenase-1 IC50 isgreater than about 1000nM.
            8. The compound according to claim 6, wherein the compound exhibits acollagenase-3 IC50 of less than about 20 nM, said collagenase-3 IC50 measured by arecombinant collagenase-3 assay.
            9. The compound according to claim 8, wherein the collagenase-3 IC50 is lessthan about 10 nM.
            10. The compound according to claim 8, wherein the compound exhibits a TACEIC50 of less than about 40 µM, said TACE IC50 measured by a TACE whole blood assay.
            11. The compound according to claim 10, wherein the TACE IC50 is less thanabout 10 µM.
            12. The compound according to claim 8, wherein the compound exhibits a TACEIC50 of greater than about 40 µM, said TACE IC50 measured by a TACE whole blood assay.
            13. The compound according to claim 1, wherein the compound is selected fromthe group consisting of:
              (2R,3R) 1-[4-(2,4-dichloro-benzyloxy)-benzenesulfonyl]-3-hydroxy-3-methyl-piperidine-2-carboxylicacid hydroxyamide;
              (2R,5R) 1-[4-(2,4-dichloro-benzyloxy)-benzenesulfonyl]-5-hydroxy-3,3-dimethyl-piperidine-2-carboxylicacid hydroxyamide;
              (2R,3S) 1-[4-(2-methyl-benzyloxy)-benzenesulfonyl]-4-aminoacetyl-3-methyl-piperazine-2-carboxylicacid hydroxyamide;
              (2R,3S) 1-[4-(4-fluoro-2-methyl-benzyloxy)-benzenesulfonyl]-3-methyl-5-oxo-piperazine-2-carboxylicacid hydroxyamide;
              (2R,3S) 4-[4-(2-ethyl-benzyloxy)-benzenesulfonyl]-3-methyl-4-carboxylic acidmethylamide-piperazine-2-carboxylic acid hydroxyamide;
              (2R,3R) 1-[4-(4-fluoro-2-methyl-benzyloxy)-benzenesulfonyl]-3-hydroxy-3-methyl-piperidine-2-carboxylic acid hydroxyamide;
              (2R,5R) 1-[4-(2-chloro-4-fluoro-benzyloxy)-benzenesulfonyl]-5-hydroxy-3,3-dimethyl-piperidine-2-carboxylicacid hydroxyamide;
              (2R,3s) 4-[4-(5-fluoro-2-methyl-benzyloxy)-benzenesulfonyl]-3-methyl-4-carboxylicacid methylamide-piperazine-2-carboxylic acid hydroxyamide;
              (2R,3R) 1-[4-(2-chloro-4-fluoro-benzyloxy)-benzenesulfonyl]-3-hydroxy-3-methyl-piperidine-2-carboxylicacid hydroxyamide;
              (2R,3R) 1-[4-(2-fluoro-4-chloro-benzyloxy)-benzenesulfonyl]-3-hydroxy-3-methyl-piperidine-2-carboxylicacid hydroxyamide;
              (2R,5R) 1-[4-(4-fluoro-benzyloxy)-benzenesulfonyl]-5-hydroxy-3,3-dimethyl-piperidine-2-carboxylicacid hydroxyamide;
              (2R,3S) 1-[4-(2-methyl-5-fluoro-benzyloxy)-benzenesulfonyl]-3-methyl-5-oxo-piperazine-2-carboxylicacid hydroxyamide;
              (2R,3S) 1-[4-(2-methyl-benzyloxy)-benzenesulfonyl]-3-hydroxy-3-methyl-piperidine-2-carboxylicacid hydroxyamide;
              (2R,5R) 1-[4-(4-fluoro-2-methyl-benzyloxy)-benzenesulfonyl]-5-hydroxy-3,3-dimethyl-piperidine-2-carboxylicacid hydroxyamide;
              (2R,5R) 1-[4-(2-methyl-3-fluoro-benzyloxy)-benzenesulfonyl]-5-hydroxy-3,3-dimethylpiperidine-2-carboxylicacid hydroxyamide;
              (2R,3R) 1-[4-(2-fluoro-benzyloxy)-benzenesulfonyl]-3-hydroxy-3-methyl-piperidine-2-carboxylicacid hydroxyamide;
              (2R,3R) 1-[4-(2-chloro-benzyloxy)-benzenesulfonyl]-3-hydroxy-3-methyl-piperidine-2-carboxylicacid hydroxyamide;
              (2R,3R) 1-[4-(2-methyl-3-fluorobenzyloxy)-benzenesulfonyl]-3-hydroxy-3-methyl-piperidine-2-carboxylicacid hydroxyamide;
              (2R,5R) 1-[4-(2-methyl-5-chloro-benzyloxy)-benzenesulfonyl]-5-hydroxy-3,3-dimethyl-piperidine-2-carboxylicacid hydroxyamide;
              (2R,3R) 1-[4-(2-methyl-benzyloxy)-benzenesulfonyl]-3-hydroxy-3-methyl-piperidine-2-carboxylicacid hydroxyamide;
              (2R,3R) 1-[4-(2,4-difluoro-benzyloxy)-benzenesulfonyl]-3-hydroxy-3-methyl-piperidine-2-carboxylicacid hydroxyamide;
              (2R,5R) 1-[4-(2-fluoro-5-chloro-benzyloxy)-benzenesulfonyl]-5-hydroxy-3,3-dimethyl-piperidine-2-carboxylicacid hydroxyamide;
              (2R,3R) 1-[4-(2-methyl-5-fluorobenzyloxy)-benzenesulfonyl]-3-hydroxy-3-methyl-piperidine-2-carboxylicacid hydroxyamide;
              (2R,5R) 1-[4-(2-bromo-benzyloxy)-benzenesulfonyl]-5-hydroxy-3,3-dimethyl-piperidine-2-carboxylicacid hydroxyamide; and
              (2R,3S) 4-[4-(2,4-difluoro-benzyloxy)-benzenesulfonyl]-3-methyl-4-carboxylic acidmethylamide-piperazine-2-carboxylic acid hydroxyamide.
            14. A compound as claimed in any of claims 1-13 for use as a medicament.
            15. The use of a compound as claimed in any of claims 1 -13 in the preparation of amedicament for the treatment of a condition characterised by the destruction of articularcartilage in a mammalian subject.
            16. Use according to claim 15 wherein said condition is osteoarthritis, joint injury,reactive arthritis, acute pyrophosphate arthritis (pseudogout), psoriatic arthritis, juvenilerheumatoid arthritis, inflammatory bowel disease, Crohn's disease, emphysema, acuterespiratory distress syndrome, asthma, chronic obstructive pulmonary disease, Alzheimer'sdisease, organ transplant toxicity, cachexia, allergic reactions, allergic contacthypersensitivity, cancer, tissue ulceration, restenosis, periodontal disease, epidermolysisbullosa, osteoporosis, loosening of artificial joint implants, atherosclerosis, aortic aneurysm,congestive heart failure, myocardial infarction, stroke, cerebral ischemia, head trauma, spinalcord injury, neuro-degenerative disorders, autoimmune disorders, Huntington's disease,Parkinson's disease, migraine, depression, peripheral neuropathy, pain, cerebral amyloidangiopathy, nootropic or cognition enhancement, amyotrophic lateral sclerosis, multiplesclerosis, ocular angiogenesis, corneal injury, macular degeneration, abnormal woundhealing, burns, diabetes, corneal scarring, scleritis, AIDS, sepsis or septic shock.
            17. A compound represented by the formula:
              Figure 00860001
              wherein R1, R2, R3, and R4 are selected from the group consisting of hydrogen, hydroxy, andmethyl and R5 and R6 are independent substituents in the ortho, meta, or para positions andare independently selected from the group consisting of hydrogen, halogen, cyano, methyl,and ethyl.
            18. A pharmaceutical composition which comprises an amount effective to treat amedical condition of the type that is characterized by the destruction of articular cartilage in amammalian subject of a compound of formula I below:
              Figure 00870001
              or a therapeutically acceptable salt thereof, wherein
              X is carbon or nitrogen;
              R1 and R2 are independently selected from the group consisting of hydrogen, hydroxy,and methyl, wherein at least one of R1 and R2 is methyl;
              R3 are R4 are independently selected form the group consisting of hydrogen, hydroxy,and methyl, or R3 and R4 may be taken together to form a carbonyl group; and
              R5 and R6 are independent substituents in the ortho, meta, or para positions and areindependently selected from the group consisting of hydrogen, halogen, cyano, methyl, andethyl;
                 with the provisos:
              when X is carbon, then R7 and R8 are both hydrogen and at least one of R1, R2, R3, andR4 is hydroxy;
              when X is carbon and R5 is para-halo, then at least one of R6, R3, and R4 is nothydrogen;
              when X is nitrogen, then R8 is not present and R7 is hydrogen or a group of the formula;
              Figure 00870002
              wherein, Y is -CH2-NH2 or -NH-CH3; and
              when X is nitrogen and R7 is H, then R3 and R4 are taken together to form a carbonylgroup and a pharmaceutically acceptable carrier.
            19. A pharmaceutical composition for the treatment of a condition selected from thegroup consisting of osteoarthritis, joint injury, reactive arthritis, acute pyrophosphate arthritis(pseudogout), psoriatic arthritis, juvenile rheumatoid arthritis, inflammatory bowel disease,Crohn's disease, emphysema, acute respiratory distress syndrome, asthma, chronic obstructive pulmonary disease, Alzheimer's disease, organ transplant toxicity, cachexia,allergic reactions, allergic contact hypersensitivity, cancer, tissue ulceration, restenosis,periodontal disease, epidermolysis bullosa, osteoporosis, loosening of artificial joint implants,atherosclerosis, aortic aneurysm, congestive heart failure, myocardial infarction, stroke,cerebral ischemia, head trauma, spinal cord injury, neuro-degenerative disorders, autoimmunedisorders, Huntington's disease, Parkinson's disease, migraine, depression peripheralneuropathy, pain, cerebral amyloid angiopathy, nootropic or cognition enhancementamyotrophic lateral sclerosis, multiple sclerosis, ocular angiogenesis, corneal injury, maculardegeneration, abnormal wound healing, burns, diabetes, corneal scarring, scleritis, AIDS,sepsis or septic shock, in a mammal, comprising an amount of a compound of claim 1effective in such treatment and a pharmaceutically acceptable carrier.
            EP00306745A1999-08-122000-08-08Selective inhibitors of aggrecanase in osteoarthritis treatmentWithdrawnEP1081137A1 (en)

            Applications Claiming Priority (2)

            Application NumberPriority DateFiling DateTitle
            US14846499P1999-08-121999-08-12
            US1484641999-08-12

            Publications (1)

            Publication NumberPublication Date
            EP1081137A1true EP1081137A1 (en)2001-03-07

            Family

            ID=22525896

            Family Applications (1)

            Application NumberTitlePriority DateFiling Date
            EP00306745AWithdrawnEP1081137A1 (en)1999-08-122000-08-08Selective inhibitors of aggrecanase in osteoarthritis treatment

            Country Status (6)

            CountryLink
            US (1)US7030242B2 (en)
            EP (1)EP1081137A1 (en)
            JP (3)JP2001114765A (en)
            BR (1)BR0003568A (en)
            CA (1)CA2315481C (en)
            MX (1)MXPA00007911A (en)

            Cited By (20)

            * Cited by examiner, † Cited by third party
            Publication numberPriority datePublication dateAssigneeTitle
            EP1138680A1 (en)*2000-03-292001-10-04Pfizer Products Inc.Gem substituted sulfonyl hydroxamic acids as MMP inhibitors
            WO2003018019A3 (en)*2001-08-242003-12-04Fujisawa Pharmaceutical CoNew use of cyclic compounds
            WO2004002959A1 (en)*2002-06-262004-01-08Carna Biosciences Inc.Novel azasugar derivative and drug containing the same as the active ingredient
            US6683093B2 (en)2000-05-122004-01-27Pharmacia CorporationAromatic sulfone hydroxamic acids and their use as protease inhibitors
            US6683078B2 (en)2001-07-192004-01-27Pharmacia CorporationUse of sulfonyl aryl or heteroaryl hydroxamic acids and derivatives thereof as aggrecanase inhibitors
            US6686355B2 (en)2001-02-142004-02-03Warner-Lambert CompanyBiphenyl sulfonamides useful as matrix metalloproteinase inhibitors
            US6689794B2 (en)2001-05-112004-02-10Pharmacia CorporationAromatic sulfone hydroxamates and their use as protease inhibitors
            US6696449B2 (en)1997-03-042004-02-24Pharmacia CorporationSulfonyl aryl hydroxamates and their use as matrix metalloprotease inhibitors
            US6747027B1 (en)1996-07-222004-06-08Pharmacia CorporationThiol sulfonamide metalloprotease inhibitors
            US6794511B2 (en)1997-03-042004-09-21G. D. SearleSulfonyl aryl or heteroaryl hydroxamic acid compounds
            US6800646B1 (en)1999-02-082004-10-05Pharmacia CorporationSulfamato hydroxamic acid metalloprotease inhibitor
            US6833373B1 (en)1998-12-232004-12-21G.D. Searle & Co.Method of using an integrin antagonist and one or more antineoplastic agents as a combination therapy in the treatment of neoplasia
            US6838466B2 (en)2001-12-202005-01-04Schering CorporationCompounds for the treatment of inflammatory disorders
            US6858598B1 (en)1998-12-232005-02-22G. D. Searle & Co.Method of using a matrix metalloproteinase inhibitor and one or more antineoplastic agents as a combination therapy in the treatment of neoplasia
            WO2005058808A1 (en)*2003-12-152005-06-30Japan Tobacco Inc.N-substituted-n-sulfonylaminocyclopropane compounds and pharmaceutical use thereof
            WO2005058884A3 (en)*2003-12-152005-09-09Japan Tobacco IncCyclopropane compounds and pharmaceutical use thereof
            US7053107B2 (en)2002-12-192006-05-30Agouron Pharmaceuticals, Inc.Indazole compounds and pharmaceutical compositions for inhibiting protein kinases, and methods for their use
            US7115632B1 (en)1999-05-122006-10-03G. D. Searle & Co.Sulfonyl aryl or heteroaryl hydroxamic acid compounds
            US7119203B2 (en)2002-04-252006-10-10Pharmacia CorporationPiperidinyl- and piperazinyl-sulfonylmethyl hydroxamic acids and their use as protease inhibitors
            US7595327B2 (en)2005-03-212009-09-29WyethBeta-sulfonamide hydroxamic acid inhibitors of tace/matrix metalloproteinase

            Families Citing this family (62)

            * Cited by examiner, † Cited by third party
            Publication numberPriority datePublication dateAssigneeTitle
            ES2242402T3 (en)*1998-08-122005-11-01Pfizer Products Inc. TACE INHIBITORS.
            EP2436676A1 (en)*2002-06-122012-04-04Symphony Evolution, Inc.Human adam-10 inhibitors
            CA2495432A1 (en)*2002-07-172004-01-22Warner-Lambert Company LlcCombination of an allosteric carboxylic inhibitor of matrix metalloproteinase-13 with celecoxib or valdecoxib
            CN101023064B (en)2004-08-262011-02-16辉瑞大药厂Enantiomerically pure aminoheteroaryl compounds as protein kinase inhibitors
            GEP20094845B (en)*2004-08-262009-11-25PfizerPyrazole-substituted aminoheteroaryl compounds as protein kinase inhibitors
            JP2008510792A (en)*2004-08-262008-04-10ファイザー・インク Amino heteroaryl compounds as protein tyrosine kinase inhibitors
            BRPI0613030A2 (en)*2005-07-112012-01-03Wyeth Corp compound of formula i; compound or pharmaceutically acceptable salt of the compound; Method for modulating metalloproteinase activity in animals in need thereof; composition; Method for treating a metalloproteinase-related disorder in an animal in need thereof; Method of synthesizing a compound; compound of formula ii
            JP2007254411A (en)*2006-03-242007-10-04Tokyo Univ Of Pharmacy & Life Science Aggrecanase production inhibitor
            RU2326646C2 (en)*2006-08-012008-06-20Федеральное государственное учреждение "Томский научно-исследовательский институт курортологии и физиотерапии Федерального агентства по здравоохранению и социальному развитию" (ФГУ "ТНИИКиФ Росздрава)Method of osteoarthrosis medical treatment
            UA97834C2 (en)2007-04-182012-03-26Пфайзер Продактс Инк.Sulfonyl amide derivatives for the treatment of abnormal cell growth
            RU2344849C1 (en)*2007-08-152009-01-27Федеральное государственное учреждение "Томский научно-исследовательский институт курортологии и физиотерапии Федерального агентства по здравоохранению и социальному развитию" (ФГУ "ТНИИКиФ Росздрава")Treatment method for osteoarthrosis in aged patients
            US8193182B2 (en)2008-01-042012-06-05Intellikine, Inc.Substituted isoquinolin-1(2H)-ones, and methods of use thereof
            RU2406546C1 (en)*2009-09-282010-12-20Открытое акционерное общество "Санаторий "Анапа"Method of treating osteoarthrosis patients with predominant lesion of knee and ankle joints
            NZ612909A (en)2011-01-102015-09-25Infinity Pharmaceuticals IncProcesses for preparing isoquinolinones and solid forms of isoquinolinones
            US20130336989A1 (en)*2011-02-242013-12-19Glaxo Group LimitedMethods of identifying a patient population
            US9630979B2 (en)2011-09-292017-04-25Infinity Pharmaceuticals, Inc.Inhibitors of monoacylglycerol lipase and methods of their use
            WO2014028334A1 (en)*2012-08-112014-02-20Symphony Evolution, Inc.Selective mmp inhibitors
            EP2953932B1 (en)2013-02-062017-03-01Merck Patent GmbHSubstituted carboxylic acid derivatives as aggrecanase inhibitors for the treatment of osteoarthritis
            KR20210149232A (en)2013-03-142021-12-08스미토모 다이니폰 파마 온콜로지, 인크.Jak2 and alk2 inhibitors and methods for their use
            WO2014143659A1 (en)2013-03-152014-09-18Araxes Pharma LlcIrreversible covalent inhibitors of the gtpase k-ras g12c
            US9227978B2 (en)2013-03-152016-01-05Araxes Pharma LlcCovalent inhibitors of Kras G12C
            JO3805B1 (en)2013-10-102021-01-31Araxes Pharma LlcInhibitors of kras g12c
            JO3556B1 (en)2014-09-182020-07-05Araxes Pharma LlcCombination therapies for treatment of cancer
            AR102094A1 (en)2014-09-252017-02-01Araxes Pharma Llc KRAS PROTEIN INHIBITORS WITH A G12C MUTATION
            US10011600B2 (en)2014-09-252018-07-03Araxes Pharma LlcMethods and compositions for inhibition of Ras
            US10246424B2 (en)2015-04-102019-04-02Araxes Pharma LlcSubstituted quinazoline compounds and methods of use thereof
            CA2982360A1 (en)2015-04-152016-10-20Liansheng LiFused-tricyclic inhibitors of kras and methods of use thereof
            US10144724B2 (en)2015-07-222018-12-04Araxes Pharma LlcSubstituted quinazoline compounds and methods of use thereof
            US10975071B2 (en)2015-09-282021-04-13Araxes Pharma LlcInhibitors of KRAS G12C mutant proteins
            EP3356347A1 (en)2015-09-282018-08-08Araxes Pharma LLCInhibitors of kras g12c mutant proteins
            US10689356B2 (en)2015-09-282020-06-23Araxes Pharma LlcInhibitors of KRAS G12C mutant proteins
            US10647703B2 (en)2015-09-282020-05-12Araxes Pharma LlcInhibitors of KRAS G12C mutant proteins
            WO2017058792A1 (en)2015-09-282017-04-06Araxes Pharma LlcInhibitors of kras g12c mutant proteins
            EP3356354A1 (en)2015-09-282018-08-08Araxes Pharma LLCInhibitors of kras g12c mutant proteins
            WO2017058728A1 (en)2015-09-282017-04-06Araxes Pharma LlcInhibitors of kras g12c mutant proteins
            WO2017070256A2 (en)2015-10-192017-04-27Araxes Pharma LlcMethod for screening inhibitors of ras
            EP3377481A1 (en)2015-11-162018-09-26Araxes Pharma LLC2-substituted quinazoline compounds comprising a substituted heterocyclic group and methods of use thereof
            WO2017100546A1 (en)2015-12-092017-06-15Araxes Pharma LlcMethods for preparation of quinazoline derivatives
            US10822312B2 (en)2016-03-302020-11-03Araxes Pharma LlcSubstituted quinazoline compounds and methods of use
            WO2017197240A1 (en)2016-05-122017-11-16The Regents Of The University Of MichiganAsh1l inhibitors and methods of treatment therewith
            US10646488B2 (en)2016-07-132020-05-12Araxes Pharma LlcConjugates of cereblon binding compounds and G12C mutant KRAS, HRAS or NRAS protein modulating compounds and methods of use thereof
            CN110036010A (en)2016-09-292019-07-19亚瑞克西斯制药公司 Inhibitors of KRAS G12C muteins
            US10377743B2 (en)2016-10-072019-08-13Araxes Pharma LlcInhibitors of RAS and methods of use thereof
            AU2018213718B2 (en)2017-01-262022-08-25Zlip Holding LimitedCD47 antigen binding unit and uses thereof
            WO2018140512A1 (en)2017-01-262018-08-02Araxes Pharma LlcFused bicyclic benzoheteroaromatic compounds and methods of use thereof
            EP3573970A1 (en)2017-01-262019-12-04Araxes Pharma LLC1-(6-(3-hydroxynaphthalen-1-yl)quinazolin-2-yl)azetidin-1-yl)prop-2-en-1-one derivatives and similar compounds as kras g12c inhibitors for the treatment of cancer
            WO2018140599A1 (en)2017-01-262018-08-02Araxes Pharma LlcBenzothiophene and benzothiazole compounds and methods of use thereof
            JP7327802B2 (en)2017-01-262023-08-16アラクセス ファーマ エルエルシー Fused hetero-heterobicyclic compounds and methods of use thereof
            US11279689B2 (en)2017-01-262022-03-22Araxes Pharma Llc1-(3-(6-(3-hydroxynaphthalen-1-yl)benzofuran-2-yl)azetidin-1 yl)prop-2-en-1-one derivatives and similar compounds as KRAS G12C modulators for treating cancer
            EP3601249A4 (en)2017-03-242020-12-16Kura Oncology, Inc.Methods for treating hematological malignancies and ewing's sarcoma
            MX2019013954A (en)2017-05-252020-08-31Araxes Pharma Llc KRAS COVALENT INHIBITORS.
            CN110869357A (en)2017-05-252020-03-06亚瑞克西斯制药公司Compounds and methods of use thereof for treating cancer
            WO2018218069A1 (en)2017-05-252018-11-29Araxes Pharma LlcQuinazoline derivatives as modulators of mutant kras, hras or nras
            WO2018226976A1 (en)2017-06-082018-12-13Kura Oncology, Inc.Methods and compositions for inhibiting the interaction of menin with mll proteins
            US11649251B2 (en)2017-09-202023-05-16Kura Oncology, Inc.Substituted inhibitors of menin-MLL and methods of use
            US11110177B2 (en)2017-11-102021-09-07The Regents Of The University Of MichiganASH1L degraders and methods of treatment therewith
            EP3773591A4 (en)2018-04-052021-12-22Sumitomo Dainippon Pharma Oncology, Inc. AXL KINASE INHIBITORS AND THEIR USES
            AU2019310590A1 (en)2018-07-262021-01-14Sumitomo Pharma Oncology, Inc.Methods for treating diseases associated with abnormal acvr1 expression and acvr1 inhibitors for use in the same
            CA3107168A1 (en)2018-08-012020-02-06Araxes Pharma LlcHeterocyclic spiro compounds and methods of use thereof for the treatment of cancer
            CN113747895A (en)2019-03-222021-12-03大日本住友制药肿瘤公司Compositions comprising PKM2 modulators and methods of treatment therewith
            CN116113406B (en)2020-07-102025-08-29密歇根大学董事会 GAS41 inhibitors and methods of use
            US12037346B2 (en)2021-04-132024-07-16Nuvalent, Inc.Amino-substituted heteroaryls for treating cancers with EGFR mutations

            Citations (3)

            * Cited by examiner, † Cited by third party
            Publication numberPriority datePublication dateAssigneeTitle
            WO1996033172A1 (en)*1995-04-201996-10-24Pfizer Inc.Arylsulfonyl hydroxamic acid derivatives as mmp and tnf inhibitors
            WO1998034918A1 (en)*1997-02-111998-08-13Pfizer Inc.Arylsulfonyl hydroxamic acid derivatives
            WO2000009485A1 (en)*1998-08-122000-02-24Pfizer Products Inc.Hydroxy pipecolate hydroxamic acid derivatives as mmp inhibitors

            Family Cites Families (7)

            * Cited by examiner, † Cited by third party
            Publication numberPriority datePublication dateAssigneeTitle
            US5455258A (en)1993-01-061995-10-03Ciba-Geigy CorporationArylsulfonamido-substituted hydroxamic acids
            US5753653A (en)*1995-12-081998-05-19Agouron Pharmaceuticals, Inc.Metalloproteinase inhibitors, pharmaceutical compositions containing them and their pharmaceutical uses
            KR100339296B1 (en)1996-08-282002-06-03데이비드 엠 모이어Heterocyclic metalloprotease inhibitors
            CZ63199A3 (en)1996-08-281999-08-11The Procter & Gamble Company Substituted cyclic amine-type compounds as metalloprotease inhibitors, methods for their preparation and use as pharmaceuticals
            EP1077974A1 (en)1998-05-142001-02-28Du Pont Pharmaceuticals CompanySubstituted aryl hydroxamic acids as metalloproteinase inhibitors
            EP1077978A1 (en)1998-05-142001-02-28Du Pont Pharmaceuticals CompanyNovel substituted aryl hydroxamic acids as metalloproteinase inhibitors
            ES2242402T3 (en)1998-08-122005-11-01Pfizer Products Inc. TACE INHIBITORS.

            Patent Citations (3)

            * Cited by examiner, † Cited by third party
            Publication numberPriority datePublication dateAssigneeTitle
            WO1996033172A1 (en)*1995-04-201996-10-24Pfizer Inc.Arylsulfonyl hydroxamic acid derivatives as mmp and tnf inhibitors
            WO1998034918A1 (en)*1997-02-111998-08-13Pfizer Inc.Arylsulfonyl hydroxamic acid derivatives
            WO2000009485A1 (en)*1998-08-122000-02-24Pfizer Products Inc.Hydroxy pipecolate hydroxamic acid derivatives as mmp inhibitors

            Cited By (28)

            * Cited by examiner, † Cited by third party
            Publication numberPriority datePublication dateAssigneeTitle
            US6747027B1 (en)1996-07-222004-06-08Pharmacia CorporationThiol sulfonamide metalloprotease inhibitors
            US6696449B2 (en)1997-03-042004-02-24Pharmacia CorporationSulfonyl aryl hydroxamates and their use as matrix metalloprotease inhibitors
            US6794511B2 (en)1997-03-042004-09-21G. D. SearleSulfonyl aryl or heteroaryl hydroxamic acid compounds
            US6858598B1 (en)1998-12-232005-02-22G. D. Searle & Co.Method of using a matrix metalloproteinase inhibitor and one or more antineoplastic agents as a combination therapy in the treatment of neoplasia
            US6833373B1 (en)1998-12-232004-12-21G.D. Searle & Co.Method of using an integrin antagonist and one or more antineoplastic agents as a combination therapy in the treatment of neoplasia
            US7067670B2 (en)1999-02-082006-06-27Warner Lambert CompanySulfamato hydroxamic acid metalloprotease inhibitor
            US6800646B1 (en)1999-02-082004-10-05Pharmacia CorporationSulfamato hydroxamic acid metalloprotease inhibitor
            US7115632B1 (en)1999-05-122006-10-03G. D. Searle & Co.Sulfonyl aryl or heteroaryl hydroxamic acid compounds
            EP1138680A1 (en)*2000-03-292001-10-04Pfizer Products Inc.Gem substituted sulfonyl hydroxamic acids as MMP inhibitors
            US6683093B2 (en)2000-05-122004-01-27Pharmacia CorporationAromatic sulfone hydroxamic acids and their use as protease inhibitors
            US6686355B2 (en)2001-02-142004-02-03Warner-Lambert CompanyBiphenyl sulfonamides useful as matrix metalloproteinase inhibitors
            US6689794B2 (en)2001-05-112004-02-10Pharmacia CorporationAromatic sulfone hydroxamates and their use as protease inhibitors
            US6890928B2 (en)2001-05-112005-05-10Pharmacia CorporationAromatic sulfone hydroxamic acids and their use as protease inhibitors
            US6683078B2 (en)2001-07-192004-01-27Pharmacia CorporationUse of sulfonyl aryl or heteroaryl hydroxamic acids and derivatives thereof as aggrecanase inhibitors
            WO2003018019A3 (en)*2001-08-242003-12-04Fujisawa Pharmaceutical CoNew use of cyclic compounds
            US6838466B2 (en)2001-12-202005-01-04Schering CorporationCompounds for the treatment of inflammatory disorders
            US7598242B2 (en)2001-12-202009-10-06Schering CorporationCompounds for the treatment of inflammatory disorders
            US7034057B2 (en)2001-12-202006-04-25Schering CorporationCompounds for the treatment of inflammatory disorders
            US7119203B2 (en)2002-04-252006-10-10Pharmacia CorporationPiperidinyl- and piperazinyl-sulfonylmethyl hydroxamic acids and their use as protease inhibitors
            WO2004002959A1 (en)*2002-06-262004-01-08Carna Biosciences Inc.Novel azasugar derivative and drug containing the same as the active ingredient
            JPWO2004002959A1 (en)*2002-06-262005-10-27カルナバイオサイエンス株式会社 Novel azasugar derivatives and drugs containing them as active ingredients
            CN1325473C (en)*2002-06-262007-07-11卡尔那生物科学株式会社 Acridine derivatives and pharmaceuticals containing them as active ingredients
            JP4565996B2 (en)*2002-06-262010-10-20カルナバイオサイエンス株式会社 Novel azasugar derivatives and drugs containing them as active ingredients
            US7053107B2 (en)2002-12-192006-05-30Agouron Pharmaceuticals, Inc.Indazole compounds and pharmaceutical compositions for inhibiting protein kinases, and methods for their use
            WO2005058884A3 (en)*2003-12-152005-09-09Japan Tobacco IncCyclopropane compounds and pharmaceutical use thereof
            US7351825B2 (en)2003-12-152008-04-01Japan Tobacco Inc.Cyclopropane compounds and pharmaceutical use thereof
            WO2005058808A1 (en)*2003-12-152005-06-30Japan Tobacco Inc.N-substituted-n-sulfonylaminocyclopropane compounds and pharmaceutical use thereof
            US7595327B2 (en)2005-03-212009-09-29WyethBeta-sulfonamide hydroxamic acid inhibitors of tace/matrix metalloproteinase

            Also Published As

            Publication numberPublication date
            US7030242B2 (en)2006-04-18
            BR0003568A (en)2001-04-03
            MXPA00007911A (en)2005-07-25
            CA2315481A1 (en)2001-02-12
            CA2315481C (en)2005-07-26
            US20050227997A1 (en)2005-10-13
            JP2004168786A (en)2004-06-17
            JP2001114765A (en)2001-04-24
            JP2003040800A (en)2003-02-13

            Similar Documents

            PublicationPublication DateTitle
            US7030242B2 (en)Selective inhibition of aggrecanase in osteoarthritis treatment
            US6156798A (en)Cyclobutyl-aryloxyarylsulfonylamino hydroxamic acid derivatives
            CA2288445C (en)5-oxo-pyrrolidine-2-carboxylic acid hydroxamide derivatives
            KR100390118B1 (en)Bicyclic hydroxamic acid derivatives
            US6608104B2 (en)Gem substituted hydroxamic acids
            US6329397B1 (en)Hydroxy pipecolate hydroxamic acid derivatives
            EP1070058B1 (en)(4-arylsulfonylamino)-tetrahydropyran-4-carboxylic acid hydroxamides
            EP1104412B1 (en)Tace inhibitors
            CA2340138C (en)2-oxo-imidazolidine-4-carboxylic acid hydroxamide compounds that inhibit matrix metalloproteinases
            US6387901B1 (en)Alkyne containing metalloproteinase inhibitors
            US6342521B1 (en)3-(arylsulfonylamino)-tetrahydrofuran-3-carboxylic acid hydroxamides
            US6197810B1 (en)3-(arylsulfonylamino)-tetrahydropyran-3-carboxylic acid hydroxamides
            MXPA01002603A (en)2-oxo-imidazolidine-4-carboxylic acid hydroxamine compounds that inhibit matrix metalloproteinases
            MXPA99003372A (en)Derivatives of ciclobutil acid-ariloxiarilsulfonilamino hidroxam
            MXPA00003181A (en)Dioxocyclopentyl hydroxamic acids

            Legal Events

            DateCodeTitleDescription
            PUAIPublic reference made under article 153(3) epc to a published international application that has entered the european phase

            Free format text:ORIGINAL CODE: 0009012

            17PRequest for examination filed

            Effective date:20000821

            AKDesignated contracting states

            Kind code of ref document:A1

            Designated state(s):AT BE CH CY DE DK ES FI FR GB GR IE IT LI LU MC NL PT SE

            AXRequest for extension of the european patent

            Free format text:AL;LT;LV;MK;RO;SI

            AKXDesignation fees paid

            Free format text:AT BE CH CY DE DK ES FI FR GB GR IE IT LI LU MC NL PT SE

            17QFirst examination report despatched

            Effective date:20020830

            STAAInformation on the status of an ep patent application or granted ep patent

            Free format text:STATUS: THE APPLICATION IS DEEMED TO BE WITHDRAWN

            18DApplication deemed to be withdrawn

            Effective date:20051123


            [8]ページ先頭

            ©2009-2025 Movatter.jp