









La présente invention concerne un évacuateur de crues exceptionnelles pour barrages et ouvrages similaires du type comprenant deux dispositifs d'évacuation de crues, l'un des deux dispositifs étant constitué par un seuil déversant dont la crête est située à un premier niveau prédéterminé plus bas qu'un second niveau prédéterminé correspondant à un niveau maximal ou niveau des plus hautes eaux pour lequel le barrage est conçu, la différence desdits premier et second niveaux correspondant à un débit maximal prédéterminé d'une crue exceptionnelle, et une hausse mobile obturant ledit seuil.The present invention relates to an exceptional spillway for dams and similar works of the type comprising two flood evacuation devices, one of the two devices being constituted by a spillway threshold whose crest is located at a first predetermined level lower than 'a second predetermined level corresponding to a maximum level or highest water level for which the dam is designed, the difference of said first and second levels corresponding to a predetermined maximum flow of an exceptional flood, and a mobile rise closing said threshold.
L'état actuel de la pratique de la conception et de la construction des barrages conduit à dimensionner leurs ouvrages d'évacuation des eaux pour des conditions de crue importantes (millénale ou décamillénale par exemple). Par conséquent, la plupart du temps, seule une très faible partie des capacités d'évacuation desdits ouvrages est utilisée. De plus, il est connu de régler les débits évacués par le seuil déversant à l'aide de vannes, notamment pour augmenter la capacité de retenue ou d'écrètement des crues du barrage.The current state of practice in the design and construction of dams means that their drainage structures must be dimensioned for significant flood conditions (millennium or decamillenary for example). Consequently, most of the time, only a very small part of the evacuation capacities of said structures is used. In addition, it is known to regulate the discharges evacuated by the overflow threshold using valves, in particular to increase the capacity for retaining or blocking floods from the dam.
Dans ces conditions, il est clair que lesdites vannes doivent obturer la totalité du seuil déversant, mais que la plupart d'entre-elles pourraient rester fermées de façon quasi permanente en l'absence de crues exceptionnelles et ne s'ouvrir que tous les 20 ou 50 ans par exemple. Dans le cas où l'autre dispositif d'évacuation permet l'évacuation des crues les plus fréquentes (comme par exemple des évacuateurs de fond, de demi fond ou de surface, vannés ou non, où la prise d'eau d'une usine hydroélectrique, ou tout autre dispositif d'évacuation des eaux), il est également clair que la totalité desdites vannes pourraient rester fermées de façon quasi permanente.Under these conditions, it is clear that the said valves must close off the entire overflow threshold, but that most of them could remain closed almost permanently in the absence of exceptional floods and only open every 20 or 50 years for example. In the case where the other evacuation device allows the evacuation of the most frequent floods (such as for example bottom, middle bottom or surface evacuators, gated or not, where the water intake of a factory hydroelectric, or any other water drainage device), it is also clear that all of said valves could remain closed almost permanently.
Par ailleurs, la non ouverture des vannes, quelle que soit leur nature, reste une cause importante de rupture de barrages. Ces vannes présentent donc l'inconvénient d'une moins bonne sécurité de fonctionnement que les seuils libres déversants; de plus elles sont chères.Furthermore, the non-opening of the valves, whatever their nature, remains an important cause of dam failure. These valves therefore have the drawback of poorer operational safety than free overflow thresholds; moreover they are expensive.
Divers dispositifs économiques ont été proposés et existent déjà pour obturer un seuil déversant libre tels que des sacs de sable ou des batardeaux (également appelés Flashboards) ou d'autres dispositifs d'obturation semblables qui nécessitent une intervention humaine préalable à chaque crue et présentent donc un aléa de fonctionnement important.Various economic devices have been proposed and already exist for closing a free spillway threshold such as sandbags or cofferdams (also called Flashboards) or other similar shutter devices which require human intervention prior to each flood and therefore present a major operational hazard.
Il existe également, sur certains grands barrages en remblais, une section de digue fusible, arasée à une cote inférieure à celle du reste de l'ouvrage et fonctionnant suivant le principe de l'érosion de ses matériaux constitutifs, érosion qui est engendrée par une montée extrême du niveau de la retenue lors d'une crue d'importance très exceptionnelle. Cette digue fusible a en fait pour but d'éviter le déversement incontrôlé et catastrophique d'une crue extrême sur l'ensemble d'un ouvrage, en concentrant les effets de la crue sur une section spécialement aménagée pour se rompre par érosion et offrir ainsi une capacité d'évacuation supplémentaire. Après la rupture de la digue fusible, des travaux de réparation importants seraient nécessaires pour permettre à nouveau l'exploitation normale de l'ouvrage. D'autre part, l'ouverture d'une digue fusible peut conduire à une augmentation trop rapide du débit en aval.There is also, on certain large embankment dams, a section of fusible dam, leveled at a lower level than that of the rest of the structure and operating according to the principle of the erosion of its constituent materials, erosion which is generated by a extreme rise in the level of the reservoir during a flood of very exceptional importance. The purpose of this fuse dam is in fact to avoid the uncontrolled and catastrophic discharge of an extreme flood on the whole of a structure, by concentrating the effects of the flood on a section specially equipped to break by erosion and thus offer additional evacuation capacity. After the rupture of the fusible dike, major repair work would be necessary to allow normal operation of the structure again. On the other hand, opening a fusible dam can lead to too rapid an increase in the downstream flow.
On connaît par ailleurs les hausses fusibles telles que décrites dans les demandes de brevets antérieures de la demanderesse N°90 403 592.0 et N° 90 403 593.8 respectivement déposées le 14.12.90 et le 14.12.90 et intitulées toutes deux "Déversoir évacuateur de crues pour barrages et ouvrages similaires". Ces hausses présentent l'avantage de permettre l'obturation du seuil pour un faible coût. Toutefois, dans la mesure où elles sont dimensionnées pour évacuer les crues de faible ou moyen débit, elles doivent avoir une hauteur plus faible que le niveau des plus hautes eaux.We also know the fuses increases as described in the previous patent applications of the plaintiff N ° 90 403 592.0 and N ° 90 403 593.8 respectively filed on 14.12.90 and 14.12.90 and both entitled "Spillway spillway for dams and similar structures ". These increases have the advantage of allowing the threshold to be closed at low cost. However, insofar as they are sized to evacuate low or medium flow floods, they must have a lower height than the level of the highest waters.
Le problème que la présente invention cherche à résoudre est d'obturer de façon quasi-permanente, pour un coût très inférieur à celui des vannes et sur une hauteur plus élevée qu'auparavant, tout ou partie d'un seuil déversant libre tout en permettant, de façon totalement fiable, l'évacuation des crues exceptionnelles, sans intervention extérieure et sans modification majeure de l'ouvrage. La présente invention constitue donc un substitut économique à la fraction des vannes destinée uniquement à évacuer les crues les moins fréquentes.The problem that the present invention seeks to solve is to close almost permanently, at a cost much lower than that of the valves and at a higher height than before, all or part of a free overflow threshold while allowing , in a completely reliable manner, the evacuation of exceptional floods, without external intervention and without major modification of the structure. The present invention therefore constitutes an economical substitute for the fraction of valves intended solely for discharging the least frequent floods.
A la connaissance de la demanderesse, il semble donc qu'aucun dispositif existant ne réponde de manière satisfaisante aux objectifs indiqués plus haut, avec une exploitation simple et pour un coût d'investissement modéré.To the knowledge of the applicant, it therefore seems that no existing device satisfactorily meets the objectives indicated above, with simple operation and for a moderate investment cost.
Selon la présente invention, le problème susmentionné est résolu par le fait que la hausse comprend au moins un élément de hausse rigide et massif, qui est posé sur la crête du seuil déversant et est maintenu en place sur celui-ci par gravité, ledit élément de hausse ayant une hauteur prédéterminée au moins égale à la différence des premiers et seconds niveaux prédéterminés et étant dimensionné en taille et en poids pour que le moment des forces appliquées par l'eau à l'élément de hausse atteigne le moment des forces de pesanteur qui tendent à maintenir l'élément de hausse en place sur le seuil déversant, et qu'en conséquence ledit élément de hausse soit déséquilibré lorsque l'eau atteint un troisième niveau prédéterminé au plus égal au second niveau prédéterminé.According to the present invention, the above-mentioned problem is solved by the fact that the rise comprises at least one rigid and massive rise element, which is placed on the crest of the overflow threshold and is held in place thereon by gravity, said element having a predetermined height at least equal to the difference of the first and second predetermined levels and being dimensioned in size and weight so that the moment of the forces applied by the water to the riser reaches the moment of the forces of gravity which tend to keep the rising element in place on the overflow threshold, and that consequently said rising element is unbalanced when the water reaches a third predetermined level at most equal to the second predetermined level.
Dans ces conditions, il est clair que tout ou partie du seuil déversant peut être obturé par les éléments de hausse. Le ou les éléments de hausse peuvent être fabriqués à un coût modéré par rapport aux vannes et, dans le cas ou ils sont installés sur le seuil d'un barrage existant, cette installation, éventuellement jointe à l'installation des vannes, peut être faite sans qu'il soit apporté de modifications majeures au seuil déversant du barrage, comme on le verra plus loin. Il est également clair que pour des crues d'importance moyenne, tant que le niveau de l'eau n'atteint pas ledit troisième niveau prédéterminé, lequel peut être déterminé en pratique de façon à être égal ou légèrement plus bas que ledit second niveau prédéterminé, c'est à dire le niveau des plus hautes eaux, l'eau pourra être évacuée par les vannes ou autres dispositifs dimensionnés pour les débits les plus courants, sans qu'il en résulte une destruction de la hausse et, par suite, sans que le déversoir cesse d'être obturé par ladite hausse. En revanche, dans le cas d'une crue exceptionnelle, le niveau de l'eau atteint le troisième niveau prédéterminé, un ou des éléments de hausse sont automatiquement déséquilibrés et chassés par l'eau sous la seule action des forces de l'eau, donc sans qu'une intervention extérieure soit nécessaire, redonnant ainsi au seuil sa pleine capacité d'évacuation.Under these conditions, it is clear that all or part of the overflow threshold can be closed by the rising elements. The raising element (s) can be manufactured at a moderate cost compared to the valves and, in the case where they are installed on the threshold of an existing dam, this installation, possibly joined to the installation of the valves, can be made without major modifications to the overflow threshold of the dam, such as we will see it later. It is also clear that for medium-sized floods, as long as the water level does not reach said third predetermined level, which can be determined in practice so as to be equal to or slightly lower than said second predetermined level , i.e. the level of the highest water, the water can be evacuated by valves or other devices sized for the most common flow rates, without this resulting in destruction of the rise and, consequently, without that the spillway ceases to be blocked by said rise. On the other hand, in the case of an exceptional flood, the water level reaches the third predetermined level, one or more rising elements are automatically unbalanced and driven by the water under the sole action of the forces of water, therefore without any external intervention being necessary, thus restoring the threshold to its full evacuation capacity.
Bien que, théoriquement, cela ne soit pas absolument indispensable, une butée de hauteur prédéterminée est de préférence prévue sur le seuil déversant au pied de l'élément de hausse, du côté aval de celui-ci, pour l'empêcher de glisser vers l'aval sur le seuil, sans toutefois l'empêcher de basculer par-dessus la butée quand le niveau atteint ledit troisième niveau prédéterminé. Bien entendu, dans ce cas, la hauteur de la butée est prise en compte comme on le verra plus loin pour le dimensionnement en taille et en poids du ou des éléments de hausse.Although, theoretically, this is not absolutely essential, a stop of predetermined height is preferably provided on the threshold overflowing at the foot of the raising element, on the downstream side thereof, to prevent it from sliding towards the downstream on the threshold, without however preventing it from tipping over the stop when the level reaches said third predetermined level. Of course, in this case, the height of the stop is taken into account as will be seen below for the dimensioning in size and weight of the raising element or elements.
Un joint d'étanchéité peut être disposé entre le seuil déversant et la base de l'élément de hausse, près du bord amont de ladite base. Toutefois, un tel joint d'étanchéité n'est pas absolument indispensable si, en l'absence de joint d'étanchéité, les fuites d'eau entre l'élément de hausse et le seuil déversant sont faibles et si la zone du seuil déversant sur laquelle repose le ou lesdits éléments de hausse est convenablement drainée de telle façon qu'aucune sous-pression appréciable ne puisse s'établir sous le ou lesdits éléments de hausse. Par contre, comme on le verra plus loin, des moyens peuvent être prévus pour établir automatiquement une sous-pression sous le ou lesdits éléments de hausse quand le niveau d'eau atteint ledit troisième niveau prédéterminé, afin de favoriser le déséquilibre et le basculement dudit ou desdits éléments de hausse au moment où cela devient indispensable pour évacuer une crue exceptionnelle.A seal may be disposed between the overflow threshold and the base of the riser, near the upstream edge of said base. However, such a seal is not absolutely essential if, in the absence of a seal, water leaks between the raising element and the overflow threshold are low and if the area of the overflow threshold on which the said elevation element (s) rests is suitably drained so that no appreciable underpressure can be established under the said elevation element (s). However, as we will see further on, means may be provided for automatically establishing an underpressure under the said elevation element or elements when the water level reaches said third predetermined level, in order to promote the imbalance and tilting of said elevation element (s) at the time where it becomes essential to evacuate an exceptional flood.
L'invention peut être appliquée aussi bien au déversoir d'un barrage existant qu'à celui d'un barrage en cours de construction. Dans le premier cas, la crête du seuil déversant peut être dérasée à un niveau plus bas que ledit premier niveau prédéterminé et le ou lesdits éléments de hausse sont posés sur le seuil dérasé et l'obturent. On peut ainsi obtenir une sécurité plus grande qu'avec le seuil déversant non dérasé, étant donné que l'ouverture qui est obtenue après basculement du ou des éléments de hausse a une hauteur plus grande que dans le cas d'un seuil déversant non dérasé, permettant ainsi d'évacuer un débit de crue plus important que le débit maximal de la crue exceptionnelle pour laquelle le barrage avait été initialement conçu.The invention can be applied both to the spillway of an existing dam and to that of a dam under construction. In the first case, the crest of the overhanging threshold can be leveled off at a level lower than said first predetermined level and the one or more raising elements are placed on the leveled threshold and seal it off. It is thus possible to obtain greater security than with the undisturbed overflow threshold, since the opening which is obtained after tilting of the elevating element or elements has a greater height than in the case of an undisturbed overflow threshold. , thus allowing to evacuate a higher flood flow than the maximum flow of the exceptional flood for which the dam was originally designed.
De même, dans la conception d'un nouveau barrage, on pourra adopter une plus grande différence entre les premiers et seconds niveaux prédéterminés (ce qui contribue à augmenter la sécurité, ou à débit maximal égal, à diminuer le coût d'ouvrages tels que les coursiers) sans craindre que cela empèche la maîtrise des débits sortant du barrage, grâce à l'utilisation conjointe de dispositifs évacuant les débits les plus courants et d'un ou plusieurs éléments de hausse conformes à la présente invention.Similarly, in the design of a new dam, it will be possible to adopt a greater difference between the first and second predetermined levels (which contributes to increasing safety, or at equal maximum flow, to reducing the cost of works such as couriers) without fear that this would prevent the control of the flows leaving the dam, thanks to the joint use of devices evacuating the most common flows and one or more rising elements in accordance with the present invention.
Dans ces deux cas, le choix de la différence entre les premiers et seconds niveaux prédéterminés résultera d'une optimisation entre augmentation de la sécurité, diminution du coût des ouvrages et augmentation éventuelle du coût des vannes situées sur le déversoir.In these two cases, the choice of the difference between the first and second predetermined levels will result from an optimization between increase in safety, reduction in the cost of the works and possible increase in the cost of the valves located on the spillway.
Dans le cas où plusieurs éléments de hausse sont prévus, chaque élément de hausse ou un groupe d'éléments de hausse peut être dimensionné de façon à basculer pour un niveau d'eau prédéterminé plus bas que celui auquel un autre élément ou groupe d'éléments de hausse basculera, ce dernier étant lui-même dimensionné de façon à basculer pour un niveau d'eau plus bas que celui auquel basculera un troisième élément ou groupe d'éléments de hausse, et ainsi de suite. De cette manière, on obtient, si nécessaire, une augmentation progressive de la capacité d'évacuation suivant l'importance de la crue.If several augmentation elements are provided, each augmentation element or a group of elements of rise can be dimensioned so as to tilt for a predetermined water level lower than that to which another element or group of rise elements will tilt, the latter being itself dimensioned so as to tilt for a higher water level lower than that to which a third element or group of rising elements will switch, and so on. In this way, a progressive increase in the evacuation capacity is obtained, if necessary, depending on the extent of the flood.
On notera également que, si un ou plusieurs éléments de hausse ont été basculés et chassés par une crue exceptionnelle, ils peuvent être facilement et économiquement remplacés par d'autres éléments de hausse, sans avoir à effectuer des réparations importantes, après que la crue a été évacuée.It will also be noted that, if one or more rising elements have been tilted and driven out by an exceptional flood, they can be easily and economically replaced by other rising elements, without having to carry out major repairs, after the flood has been evacuated.
D'autres caractéristiques et avantages apparaîtront au cours de la description qui va suivre de diverses formes d'exécution de la présente invention données à titre d'exemple, en référence aux dessins annexés dans lesquels :Other characteristics and advantages will appear during the description which follows of various embodiments of the present invention given by way of example, with reference to the appended drawings in which:
La figure 1 est une vue en perspective montrant un ouvrage auquel l'invention peut être appliquée, tel qu'un barrage, son déversoir évacuateur de crues exceptionnelles à seuil déversant libre et un autre déversoir destiné à l'évacuation des crues courantes et muni de vannes.FIG. 1 is a perspective view showing a structure to which the invention can be applied, such as a dam, its exceptional spillway spillway with a free spillway threshold and another spillway intended for the evacuation of common floods and provided with valves.
La figure 2 est une vue en perspective montrant un ouvrage auquel l'invention peut être appliquée, tel qu'un barrage, son déversoir évacuateur de crues exceptionnelles à seuil déversant libre et un autre dispositif d'évacuation des eaux tel qu'un évacuateur de fond, vanné ou pas, ou une usine hydroélectrique.FIG. 2 is a perspective view showing a structure to which the invention can be applied, such as a dam, its exceptional spillway spillway with a free spillway threshold and another device for discharging water such as a spillway bottom, winnowed or not, or a hydroelectric plant.
La figure 3a est une vue en élévation du déversoir évacuateur de crues exceptionnelles de la figure 1 ou 2, du côté aval et équipé d'une hausse fusible conforme à la présente invention.FIG. 3a is an elevation view of the exceptional spillway spillway of FIG. 1 or 2, from the downstream side and equipped with a fusible link according to the present invention.
La figure 3b est une vue en plan du déversoir de la figure 3a.Figure 3b is a plan view of the weir of Figure 3a.
La figure 3c est une vue en élévation d'un autre déversoir équipé d'une hausse fusible conforme à la présente invention.Figure 3c is an elevational view of another weir equipped with a fusible link according to the present invention.
Les figures 4a et 4b sont des vues en coupe verticale expliquant le fonctionnement de la hausse fusible.Figures 4a and 4b are views in vertical section explaining the operation of the fusible link.
La figure 5 est un graphique montrant les différentes forces qui, en service peuvent être appliquées à un élément de hausse conforme à la présente invention.FIG. 5 is a graph showing the various forces which, in service, can be applied to a riser according to the present invention.
La figure 6 est un graphique représentant les variations des moments des forces motrices et résistantes en fonction de la hauteur d'eau au-dessus du seuil déversant.FIG. 6 is a graph representing the variations of the moments of the driving and resistant forces as a function of the height of water above the overflow threshold.
La figure 7 est une vue en coupe verticale montrant un élément de hausse de la présente invention, auquel est associé un dispositif déclencheur de basculement.Figure 7 is a vertical sectional view showing a lifting element of the present invention, which is associated with a tilt trigger device.
La figure 8 est une vue en plan d'un déversoir muni d'un autre dispositif déclencheur de basculement.FIG. 8 is a plan view of a weir provided with another tilt trigger device.
Les figures 9a à 9c montrent en perspective diverses formes d'exécution d'un élément de hausse conforme à la présente invention.Figures 9a to 9c show in perspective various embodiments of a rising element according to the present invention.
Les figures 10 et 11 montrent en coupe verticale deux autres variantes de réalisation de l'élément de hausse de l'invention.Figures 10 and 11 show in vertical section two other alternative embodiments of the raising element of the invention.
La figure 12 est une vue en perspective montrant deux éléments adjacents de hausse selon une autre forme de réalisation de l'invention.Figure 12 is a perspective view showing two adjacent risers according to another embodiment of the invention.
La figure 13 est une vue en coupe verticale d'un des éléments de hausse de la figure 12.FIG. 13 is a vertical section view of one of the rising elements in FIG. 12.
Les figures 14 et 15 sont des vues de l'élément de hausse respectivement suivant les flèches F et G de la figure 13.FIGS. 14 and 15 are views of the raising element respectively according to the arrows F and G of FIG. 13.
Les figures 16a et 16b montrent à plus grande échelle et en coupe, un détail de l'élément de hausse de la figure 13.FIGS. 16a and 16b show on a larger scale and in section, a detail of the raising element of FIG. 13.
La figure 17 est une figure semblable à la figure 13 et montre une variante de réalisation.Figure 17 is a figure similar to Figure 13 and shows an alternative embodiment.
La figure 18 est une vue en plan d'une partie du seuil du déversoir dans le cas de la variante de la figure 17 et avant mise en place des éléments de hausse.Figure 18 is a plan view of part of the threshold of the spillway in the case of the variant of Figure 17 and before installation of the rising elements.
L'ouvrage 1 représenté dans la figure 1 et dans la figure 2 peut être un barrage en remblais ou un barrage en béton ou maçonnerie. Toutefois il y a lieu de noter que l'invention n'est pas limitée au type de barrage montré dans la figure 1 ou dans la figure 2, mais qu'au contraire elle peut s'appliquer à n'importe quel type de barrage connu doté d'un seuil déversant libre.The
Dans les figures 1 et 2 le numéro de référence 2 désigne la crête du barrage, le numéro 3 son parement aval, le numéro 4 son parement amont, le numéro 5 un déversoir évacuateur de crues, le numéro 6 le seuil du déversoir 5, le numéro de référence 7 désigne d'une manière générale un dispositif d'évacuation des crues courantes. Le déversoir 5 peut être implanté dans la partie centrale du barrage 1 ou en extrémité de celui-ci ou encore excavé sur une rive sans que cela n'altère la possibilité d'utilisation de l'invention. Dans la figure 2, le dispositif d'évacuation 7 est un dispositif classique d'évacuation des eaux de fond. Dans la figure 1, le dispositif d'évacuation 7 est un seuil déversant équipé de vannes de surface classiques. Cependant, il va de soi que le dispositif 7 pourrait être constitué par tout autre dispositif d'évacuation des crues connu sans que cela n'altère la possibilité d'utilisation de l'invention.In Figures 1 and 2 the
Dans un ouvrage du type de ceux auxquels s'applique l'invention, le niveau de la retenue en l'absence de crue est toujours inférieur ou égal au niveau RN de la crête 8 du déversoir 6. Le niveau de la retenue en cas de crue est toujours inférieur ou égal à RM ou niveau des plus hautes eaux (PHE).In a structure of the type to which the invention applies, the level of the reservoir in the absence of a flood is always less than or equal to the level RN of the
La présente invention permet de façon quasi permanente d'obturer le déversoir 6. A cet effet, l'invention prévoit de disposer sur le seuil déversant 6 une hausse 10 constituée par au moins un élément massif 11, par exemple cinq éléments 11a - 11e comme montré dans les figures 3a et 3b, ladite hausse 10 ou les éléments 11 étant rendus fusibles par basculement pour une charge d'eau prédéterminée correspondant à un niveau N au plus égal au niveau maximal RM et permettant alors le passage des plus fortes crues.The present invention makes it possible almost permanently to close the
Bien entendu, le nombre des éléments de hausse 11 n'est pas limité à cinq éléments comme montré dans les figures 3a et 3b, mais peut être plus petit ou plus grand selon la longueur du déversoir 5 (mesurée dans le sens longitudinal du barrage). De préférence, le nombre des éléments de hausse 11 est choisi de façon à obtenir des masses unitaires faibles permettant une mise en place et un remplacement aisé desdits éléments de hausse.Of course, the number of elevating
Chaque élément de hausse 11 a une hauteur H₁ supérieure à RM, est posé sur le seuil déversant 6 et est maintenu sur celui-ci par gravité. De préférence, chaque élément de hausse 11 est retenu contre tout glissement vers l'aval, par une butée 12 située au pied de l'élément 11, du côté aval de celui-ci. La butée 12 peut être par exemple encastrée dans le seuil 6, comme montré par exemple dans la figure 4a, et elle peut être discontinue comme montré dans les figures 3a et 3b. Toutefois, si on le désire, la butée 12 pourrait être continue. Comme on le verra plus loin, la hauteur de la butée 12 est prédéterminée, mais elle peut être variable suivant les efforts en jeu et suivant le niveau d'eau à partir duquel on souhaite amorcer le basculement de chaque élément de hausse 11.Each rising
Comme montré dans la figure 3b, un joint d'étanchéité classique 13, par exemple en caoutchouc, est prévu à chacune des deux extrémités de la hausse 10 entre celle-ci et les flancs latéraux 14 du déversoir 5. Quand la hausse 10 est constituée par plusieurs éléments 11, des joints d'étanchéité 13 sont également prévus entre les parois latérales verticales, deux à deux en vis à vis, des éléments adjacents de hausse 11 comme cela est également visible dans la figure 3b. De préférence un joint d'étanchéité 15 est aussi prévu entre le seuil déversant 6 et la base des éléments de hausse 11 près du bord amont 16 de ladite base comme cela est par exemple visible dans les figures 4a et 4b. Comme montré dans la figure 3b, les joints 13 et le joint 15, lorsque ce dernier est prévu, sont disposés dans un même plan vertical. Au lieu de prévoir le joint 15 ou en plus de celui-ci, un système de drainage peut être aménagé de façon continue dans le seuil déversant 6, dans la zone de celui-ci sous-jacente à la hausse 10, afin d'assècher cette zone et d'éviter que, en service normal, une sous-pression ne soit appliquée aux éléments de hausse 11.As shown in FIG. 3b, a
Comme montré dans la figure 3c, dans le cas où un barrage comporterait comme seul dispositif d'évacuation des crues un seuil déversant libre, on peut envisager d'équiper une partie seulement de ce seuil d'une ou plusieurs vannes v et la partie restante d'une hausse fusible 10 conforme à l'invention. On obtient ainsi un barrage conforme à l'invention à l'unique seuil déversant 6 duquel sont associés deux dispositifs d'évacuation, l'un (7) équipé d'au moins une vanne v pour l'évacuation des crues courantes, l'autre équipé de la hausse fusible 10 pour l'évacuation des crues exceptionnelles.As shown in FIG. 3c, in the case where a dam would have a free overflow threshold as the only device for discharging floods, it is possible to envisage equipping only part of this threshold with one or more valves v and the remaining part of a rising
Comme cela sera expliqué plus loin chaque élément de hausse 11 est dimensionné de manière à être autostable pour une charge d'eau inférieure à un niveau prédéterminé N, lui-même au plus égal au niveau maximal RM des plus hautes eaux admissibles dans le barrage. Ainsi en supposant par exemple que ledit niveau prédéterminé est égal au niveau RM, tant que le niveau de l'eau reste inférieur au niveau RM pour des crues de faible ou moyenne importance l'eau est retenue par les hausses comme montré figure 4a sans que la hausse ne soit détruite.As will be explained below, each rising
Par contre, si le niveau de l'eau atteint, dans l'hypothèse susmentionnée, un niveau prédéterminé N égal ou légèrement plus bas que le niveau maximal RM dans le cas d'une forte crue ou crue exceptionnelle ou d'une avarie dans le fonctionnement du dispositif 7, au moins un élément 11 de la hausse 10 est déséquilibré sous la poussée de l'eau et bascule autour de la butée 12 comme montré dans la figure 4b et le ou les éléments 11 qui sont basculés sont évacués par l'eau de la crue au moins jusqu'au pied du déversoir 5, permettant ainsi l'évacuation des crues les plus fortes. Après évacuation d'une forte crue ayant entrainé le basculement de la hausse 10, le niveau de l'eau revient au niveau de la retenue normale RN ou à un niveau plus bas encore. On peut éventuellement prévoir quelques éléments 11 de rechange, disponibles en permanence sur le site du barrage, pour permettre une réparation de la hausse 10 en cas de besoin. Il faut cependant noter que le non remplacement d'un ou plusieurs éléments 11, après une crue exceptionnelle ou une avarie dans le fonctionnement du dispositif 7 ayant entrainé le basculement d'au moins un élément 11, ne diminue pas la sécurité de fonctionnement de l'ouvrage.On the other hand, if the water level reaches, in the aforementioned hypothesis, a predetermined level N equal or slightly lower than the maximum level RM in the case of a heavy flood or exceptional flood or damage in the operation of the
On donnera maintenant un exemple numérique de dimensionnement d'une hausse fusible conforme à la présente invention. Habituellement, les barrages et les seuils déversants sont dimensionnés pour que le niveau du lac (niveau de la retenue) atteigne le niveau maximal RM pour la crue exceptionnelle envisagée (crue de projet). Cette crue peut être par exemple la crue ne se produisant qu'une année sur mille (crue millénale).We will now give a numerical example of the design of a fusible link according to the present invention. Usually, the dams and overflow weirs are sized so that the level of the lake (level of the reservoir) reaches the maximum level RM for the exceptional flood envisaged (project flood). This flood may for example be the flood occurring only one year in a thousand (millennial flood).
Pour fixer les idées, on supposera que le débit de cette crue de projet est par exemple de 900 m3/s, que le débit maximum atteint en moyenne sur 50 ans, beaucoup plus faible que celui de la crue de projet est de 100 m3/s, que le seuil déversant libre 6 sur lequel est posé la hausse 10 a une longueur de 40 m et que le dispositif 7 a une capacité d'évacuation de 100 m³/s.To fix the ideas, we will assume that the flow of this project flood is for example 900 m3 / s, that the maximum flow reached on average over 50 years, much lower than that of the project flood is 100 m3 / s, that the
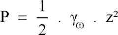
Dans ces conditions, la hauteur H de la lame d'eau nécessaire pour évacuer le débit de la fraction de la crue de projet que n'évacue pas le dispositif 7 correspond à 20 m³/s par mètre linéaire de seuil, Cette hauteur H peut être calculée par la formule suivante :
Le basculement du ou des éléments de hausse 11 et, par suite, leur destruction dépend de l'équilibre entre, d'une part, le moment moteur, c'est à dire le moment des forces qui tendent à renverser l'élément de hausse considéré, et, d'autre part, le moment résistant, c'est à dire le moment des forces qui tendent à stabiliser ledit élément de hausse. Si on ne prévoit pas un dispositif déclencheur directement lié au niveau d'eau, pour déclencher le basculement de l'élément de hausse avec précision pour un niveau d'eau prédéterminé, la hauteur d'eau correspondant à l'équilibre susmentionné ne peut être fixée qu'avec une marge d'incertitude pouvant atteindre 0,2 m. Dans ces conditions, il est nécessaire, par sécurité, de réduire la hauteur de basculement du ou des éléments de hausse 11 d'une quantité correspondant à cette marge d'incertitude, par exemple 0,2m. Toutefois, on peut diminuer cette incertitude en prévoyant un dispositif déclencheur qui sera décrit plus loin en faisant référence à la figure 7.The tilting of the elevating element or
La figure 5 montre les différentes forces qui, en service, peuvent être appliquées à un élément de hausse 11 de la présente invention. Pour la description qui va suivre on supposera que l'élément 11 a une forme parallélépipédique et a une largeur L et une hauteur H₁. Dans la figure 5, B désigne la hauteur de la butée 12 au-dessus du seuil 6, et z désigne le niveau de l'eau. Les forces motrices qui tendent à faire basculer l'élément de hausse 11 sont la poussé P de l'eau sur la face amont de l'élément de hausse 11 et la sous-pression U qui s'exerce éventuellement sur la surface de base dudit élément de hausse et qui est due à l'existence de fuites éventuelles aux joints d'étanchéité ou à la présence d'un dispositif déclencheur qui sera décrit plus loin. La force résistante qui tend à stabiliser l'élément de hausse 11 est son poids propre W.FIG. 5 shows the various forces which, in service, can be applied to a lifting
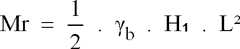
Pour calculer les valeurs de P, U et W ainsi que les valeurs des moments moteur et résistant correspondants par rapport à la butée 12, il y a lieu de considérer deux cas en fonction de la hauteur d'eau z au-dessus du seuil 6. Les valeurs P, U et W et des moments moteur et résistant correspondants sont résumées ci-dessous pour les différents cas, lesdites valeurs étant données par unité de longueur de l'élément de hausse 11.
Dans les formules sus-indiquées, P, U, W, L, H₁, B et z ont les significations déjà indiquées plus haut. Mm est le moment moteur en l'absence de sous-pression U, MmU est le moment moteur en présence d'une sous-pression U, γω est le poids volumique de l'eau et γb est le poids volumique moyen de l'élément de hausse, et Mr est le moment résistant.In the above-mentioned formulas, P, U, W, L, H₁, B and z have the meanings already indicated above. Mm is the motor moment in the absence of U pressure, MmU is the motor moment in the presence of U pressure, γω is the density of water and γb is the average density of l 'rising element, and Mr is the resistant moment.
Dans le graphique de la figure 6, les tracés A, C et D représentent respectivement les variations de Mr, Mm et MmU en fonction de la hauteur d'eau z au-dessus du seuil 6. Les tracés A, C et D ont été obtenus à partir des formules indiquées plus haut et pour H₁ = 5m, L = 2,6m, B = 0,15m, γω = 10 kNm⁻³ et γb = 24 kNm⁻³.In the graph in FIG. 6, the plots A, C and D respectively represent the variations of Mr, Mm and MmU as a function of the water height z above the
En considérant les tracés A et C on voit que le moment moteur Mm (sans sous-pression U) atteint la même valeur que le moment résistant Mr pour une valeur de z environ égale à 4,8m. Autrement dit, en l'absence d'une sous-pression U le basculement de l'élément de hausse 11 se produira quand le niveau de l'eau atteindra une hauteur de 4,8m au-dessus du seuil 6. De même, en considérant les tracés A et D, on voit qu'en présence d'une sous-pression U, le moment moteur MmU atteint la même valeur que le moment résistant Mr pour une valeur de z d'environ 4,4m. Les éléments de hausse ainsi dimensionnés s'adapteront à un seuil dont les plus hautes eaux correspondant au niveau RM sont de 5m. D'après les formules (11) et (13), on voit que si l'on avait voulu que, en l'absence de sous-pression U et sans changer la valeur de la hauteur H₁ de l'élément de hausse 11, le basculement de ce dernier se produise pour une valeur de z égale à 4,5m, il aurait fallu diminuer la valeur de γb et/ou la valeur de L et/ou la valeur de B par rapport aux valeurs indiquées plus haut.By considering the plots A and C we see that the motor moment Mm (without under-pressure U) reaches the same value as the resistive moment Mr for a value of z approximately equal to 4.8m. In other words, in the absence of an underpressure U the tilting of the rising
D'après ce qui précède, on voit que, par un dimensionnement approprié en taille et en poids de l'élément de hausse 11 et par un dimensionnement approprié de la butée 12, on peut faire en sorte que l'élément de hausse 11 bascule pour un niveau d'eau prédéterminé. On voit également que si l'élément de hausse 11 a été dimensionné pour basculer à un niveau d'eau prédéterminé en l'absence d'une sous-pression à sa base et si l'étanchéité entre l'élément de hausse et le seuil 6 n'est pas parfaite, une sous-pression s'exercera sur la base de l'élément de hausse, ce qui provoquera son basculement pour un niveau d'eau inférieur au niveau d'eau prédéterminé susmentionné. Un défaut d'étanchéité n'est donc pas catastrophique mais constitue plutôt un facteur de sécurité dans la mesure où il aide au basculement de l'élément de hausse.From the above, it can be seen that, by an appropriate dimensioning in size and weight of the lifting
Ceci peut être mis à profit pour provoquer le basculement de l'élément de hausse 11 de manière encore plus sûre et avec une plus grande précision en ce qui concerne le niveau d'eau auquel se produit le basculement. En effet, il peut être avantageux de prendre des dispositions pour que la sous-pression U appliquée à l'élément de hausse reste nulle ou très faible tant que le niveau de l'eau reste inférieur à un niveau prédéterminé, et pour qu'une sous-pression de valeur substantiellement plus forte soit brusquement appliquée à l'élément de hausse 11 à l'instant où le niveau de l'eau atteint ledit niveau prédéterminé, le dimensionnement des éléments étant tel qu'à cet instant le moment moteur passe brusquement d'une valeur Mm un peu plus petite que la valeur du moment résistant Mr à une valeur MmU substantiellement plus grande que la valeur dudit moment résistant Mr. A cet effet, on peut utiliser par exemple un dispositif déclencheur tel que celui montré dans la figure 7. Le dispositif déclencheur montré dans la figure 7 est essentiellement constitué par un tuyau de pressurisation 21 qui, en service normal, met la zone sous-jacente à l'élément de hausse 11 en relation avec l'atmosphère, l'extrémité supérieure 21a du tuyau de pressurisation 21 étant située à un niveau égal ou inférieur au niveau N pour lequel on désire que le basculement de l'élément de hausse 11 se produise (la différence entre le niveau du sommet du tuyau et le niveau N correspondant à la hauteur de la lame d'eau se déversant dans le tuyau et nécessaire à son remplissage), Le tuyau 21 peut passer à travers l'élément de hausse 11 comme montré en trait plein dans la figure 7, ou il peut passer à l'extérieur de l'élément 11 de hausse comme montré en trait mixte en 21′ dans la figure 7, de telle façon que son extrémité supérieure soit placée en dehors de l'élément de hausse 11. Le tuyau de pressurisation peut encore être en partie noyé dans le seuil 6 comme cela est également montré en trait mixte en 21˝ dans la figure 7. Dans le cas où plusieurs éléments de hausse 11 sont prévus et doivent basculer pour des niveaux d'eau différents, au moins un tuyau de pressurisation 21 est associé à chaque élément de hausse et chaque tuyau de pressurisation 21 s'étend vers le haut jusqu'au niveau pour lequel chaque élément doit basculer. Naturellement, dans ce cas, les zones du seuil 6 qui sont sous-jacentes à des éléments de hausse devant basculer pour des niveaux d'eau différents, doivent être isolées les unes des autres par des joints d'étanchéité disposés de manière appropriée.This can be used to bring about the tilting of the raising
En plus ou en remplacement du dispositif déclencheur 21 de la figure 7, on peut envisager de mettre en oeuvre un autre dispositif déclencheur (fig. 8) constitué essentiellement par un tuyau 22 qui est disposé selon l'une des modalités indiquées plus haut pour le tuyau 21 et dont l'extrémité 23 qui est éloigné de la zone sous-jacente à l'élément de hausse 11 est reliée à un dispositif de mise en pression 24 qui peut être commandé par un robinet 25 commandé par un dispositif de commande 26 automatique et/ou manuel et qui permet de provoquer le basculement des hausses alors qu'elles seraient restées stables. Le dispositif de mise en pression 24 peut être par exemple un réservoir, plus haut que le seuil 6, contenant de l'eau dont la surface libre est en contact avec l'atmosphère. Le dispositif 24 peut aussi être une réserve de fluide maintenu sous pression. Le dispositif 26 peut être par exemple un volant de manoeuvre du robinet 25, ou une commande automatique du robinet 25 reliée à un capteur du niveau de la retenue ou du débit à l'amont de la retenue, ou une combinaison de ces éléments. Il est clair que selon la valeur de la pression appliquée par le dispositif 24, le basculement de l'un au moins des éléments de hausse 11 n'est possible qu'à partir du moment où l'eau a atteint un certain niveau dans la retenue. Ce dispositif facilite un basculement prématuré sélectif des éléments de hausse 11 pour prévenir une très forte crue par exemple.In addition to or as a replacement for the
Cette solution doit notamment permettre, lorsqu'une crue exceptionnelle est annoncée, de commencer à vider le réservoir en avance en provoquant volontairement et/ou automatiquement le basculement d'au moins un élément de hausse 11 et de réduire d'une part le nombre des éléments qui devront basculer lors du plein effet de la crue sur la hausse 10, et d'autre part le débit maximum de la crue en aval.This solution must in particular allow, when an exceptional flood is announced, to start emptying the tank in advance by voluntarily and / or automatically causing the tilting of at least one rising
Il peut être avantageux, pour améliorer la sécurité d'un ouvrage existant dont le seuil déversant 6 avait été initialement arasé, en fonction d'une crue exceptionnelle initialement choisie, à un niveau déterminant le niveau de la retenue normale RN, de déraser le seuil 6 de quelques décimètres en-dessous de sa cote actuelle (correspondant à RN) et de poser sur le seuil dérasé 6 une hausse fusible 10 conforme à la présente invention, composée d'au moins un élément de hausse 11 dimensionné en taille et en poids de la manière décrite plus haut pour basculer autour de la butée 12 lorsque le niveau de l'eau atteint un niveau prédéterminé. Dans ces conditions, la probabilité d'ouverture de la hausse 10 n'est pas modifiée mais, en cas de crue exceptionnelle, la section d'écoulement disponible après destruction totale de la hausse 10 est notablement augmentée pour un même niveau d'eau dans la retenue, ce qui permet d'évacuer sans risque une crue ayant un débit très supérieur à celui de la crue pour laquelle l'ouvrage avait été initialement dimensionné.It may be advantageous, in order to improve the safety of an existing structure whose
Dans la description qui précède, on a supposé que chaque élément de hausse 11 est constitué par un bloc ayant en gros une forme parallélépipédique. Chaque élément de hausse 11 peut être constitué par un bloc creux comme montré dans la figure 9a, comportant un ou plusieurs alvéoles remplis d'un lest 32, comme par exemple du sable, des graviers ou autres matériaux pesant en vrac. Un couvercle (non montré) peut être prévu pour obturer le ou les alvéoles 31 après qu'ils ont été remplis d'un lest. La forme d'exécution de la figure 9a convient particulièrement bien quand la hausse 10 doit comporter plusieurs éléments de hausse ayant tous la même hauteur, mais devant basculer pour des niveaux d'eau différents. Dans ce cas, il suffit en effet de régler le poids de chacun des éléments de hausse 11 par une quantité de lest 32 appropriée pour obtenir le basculement de l'élément de hausse 11 correspondant pour le niveau d'eau N prédéterminé désiré. Elle présente également l'avantage de faciliter la mise en place des hausses 11, qui peuvent être posées vides de leur lest sur le déversoir 6 afin de faciliter leur manutention. Elle permet enfin d'améliorer l'évacuation des hausses lors de leur basculement puisque la force de l'eau peut les vider de leur lest et diminuer ainsi leur poids.In the above description, it has been assumed that each raising
Suivant une autre forme d'exécution de la présente invention, chaque élément de hausse 11 peut être constitué par un assemblage de plaques, en béton, en acier ou en tout autre matière appropriée rigide et pesante. Comme montré dans la figure 9b, l'assemblage de plaques peut comporter une plaque rectangulaire de base 33, horizontale ou sensiblement horizontale, et une plaque rectangulaire frontale 34, verticale ou faisant avec la verticale un angle α pouvant atteindre 30 degrés, qui se dresse à partir du bord aval de la plaque de base 33. On notera que, dans ce cas, le poids de la colonne d'eau située au-dessus de la plaque de base 33 contribue, comme effort résistant, à stabiliser l'élément de hausse tant que le niveau de l'eau n'a pas atteint le niveau prédéterminé auquel se produit le basculement dudit élément de hausse.According to another embodiment of this Invention, each elevating
Comme montré figure 9c, l'assemblage de plaques peut comporter en plus des plaques 33 et 34 deux plaques latérales 30 qui sont jointes par leur bord inférieur à la plaque de base 33 et par un de leurs bords verticaux à la plaque frontale 34. Dans la disposition particulière de la figure 9c les plaques latérales 30 présentent l'avantage de limiter les pertes d'eau latérales au début du basculement, liées à la rupture du joint 13. Elle améliore en conséquence la précision du basculement et évite tout phénomène oscillatoire.As shown in FIG. 9c, the plate assembly can comprise, in addition to the
La figure 10 représente en coupe verticale un élément de hausse 11 semblable à ceux de la figure 9b ou 9c équipé en plus d'un tuyau de pressurisation 21 ayant la même fonction que celui de la figure 7. Dans la figure 10, la plaque horizontale 33 est fixée à la plaque frontale 34 de façon à se trouver à distance au-dessus du seuil 6, et elle comporte, du côté amont, un rebord 33a dirigé vers le bas. Le joint d'étanchéité 15 est disposé entre le rebord 33a et le seuil 6. Au-dessous de la plaque 33 est ainsi formée une chambre 35, dans laquelle débouche le tuyau 21 à sa partie inférieure. Un orifice 36 est prévu à la base de la plaque 34, l'orifice 36 ayant une section plus petite que celle du tuyau 21.10 shows in vertical section an
Avec l'élément de hausse de la figure 10, quand, en service, le niveau de l'eau est voisin du niveau N, mais plus bas que celui-ci, les vagues éventuelles en surface peuvent provoquer des entrées d'eau dans le tuyau 21. Ces entrées d'eau rempliront partiellement la chambre 35 qui, en même temps se videra par l'orifice 36. On évité ainsi qu'une sous-pression ne soit appliquée à la plaque 33 à cause des vagues, tant que le niveau d'eau n'a pas atteint le niveau N auquel on désire que le basculement de l'élément de hausse 11 se produise. La chambre 35 et l'orifice 36 permettent donc d'augmenter la précision du niveau auquel se produit le basculement. Bien entendu, on peut prévoir sous l'élément 11 de la figure 7 une chambre semblable à la chambre 35, ainsi qu'un orifice de drainage de cette chambre semblable à l'orifice 36.With the rising element of figure 10, when, in service, the water level is close to the level N, but lower than this, the possible waves on the surface can cause water to enter the
La figure 11 montre, en coupe verticale, un élément de hausse 11 composé de plusieurs modules 11g à 11j qui sont empilés les uns sur les autres. Lesdits modules sont rendus solidaires deux à deux par un dispositif de liaison 38 empêchant le glissement des modules supérieurs vers l'aval. Le dispositif 38 peut par exemple être constitué par des crochets, ou par un emboitement des modules les uns sur les autres. Les modules peuvent avoir tous la même dimension verticale ou des dimensions verticales différentes; par exemple, le module supérieur 11j a une dimension verticale plus faible que celles des autres modules. Avec une telle construction de l'élément de hausse, les opérations de mise en place de la hausse sont facilitées. Avantageusement le dispositif 38 peut être conçu de manière à permettre aux modules de se désolidariser automatiquement en cas de basculement ou sous l'action extérieure de poussoirs ou de câbles qui peuvent être manoeuvrés, par exemple à partir d'une passerelle (non montrée) enjambant le déversoir. Les deux formes possibles d'éxécution du dispositif 38 déja citées peuvent remplir ces conditions.Figure 11 shows, in vertical section, an
Dans la forme d'exécution présentée figures 12 à 15, les parties de l'élément de hausse 11 qui sont identiques ou ont le même objet que celles décrites précédemment, sont désignées par le même numéro de référence.In the embodiment shown in Figures 12 to 15, the parts of the raising
Comme indiqué dans les figures 12 et 13, l'assemblage de plaques peut comporter une plaque de base 33, sensiblement rectangulaire ou trapézoïdale, horizontale ou sensiblement horizontale, et une plaque frontale 34, rectangulaire ou trapézoïdale, verticale ou faisant avec la verticale un angle α pouvant atteindre 30 degrés. Comme cela est mieux visible dans la figure 13a, le bord inférieur de la plaque frontale 34 est librement engagé dans une rainure 40 pratiquée dans la plaque de base 33 de préférence près de son bord aval. Un joint d'étanchéité 41 est disposé dans la rainure 40 entre les plaques 33 et 34. Bien entendu, la plaque frontale 34 peut aussi être fixée rigidement à la plaque de base 33.As indicated in FIGS. 12 and 13, the assembly of plates may comprise a
Selon la forme d'exécution montrée figures 12 à 15, l'assemblage de plaques comporte au moins un tirant, par exemple deux tirants 30a qui sont joints par leurs extrémités à la plaque de la base 33 et à la plaque frontale 34. La mise en oeuvre de deux tirants 30a est préférable pour les éléments de hausse 11 de grande hauteur, car elle permet de mieux transmettre les efforts de la plaque frontale 34 à la plaque de base 33. Les tirants peuvent être réalisés en acier ou en tout autre matière appropriée. Bien entendu, le ou les tirants 30a peuvent être remplacés par une ou plusieurs plaques de renfort analogues aux plaques 30 de la figure 9c.According to the embodiment shown in Figures 12 to 15, the plate assembly comprises at least one tie rod, for example two
Comme indiqué dans les figures 12 et 13, la plaque de base 33 se trouve à une certaine distance au-dessus du seuil 6 et comporte, côté amont, un rebord 33a dirigé vers le bas, côté aval, un rebord 33b dirigé vers le bas, et sur les côtés latéraux, deux rebords 33c également dirigés vers le bas, ces quatre rebords reposant sur un cadre préfabriqué 42 posé sur le seuil 6 préalablement dérasé ou conçu de manière appropriée. Une couche de mortier 6a d'épaisseur appropriée est ensuite versée sur le seuil 6 pour enrober le cadre 42 de telle sorte que sa surface supérieure affleure le niveau final du seuil, prêt à recevoir l'élément de hausse 11. Bien entendu, les quatre rebords 33a, 33b, 33c peuvent aussi reposer directement sur le seuil 6 si ce dernier a été préalablement aménagé ou conçu de manière appropriée.As shown in Figures 12 and 13, the
Un joint d'étanchéité 15 est disposé entre les rebords 33a, 33c et le cadre 42 ou le seuil 6 selon les cas. Au-dessous de la plaque 33 est ainsi formée une chambre 35, dans laquelle débouche à sa partie inférieure 21b un tuyau de pressurisation 21 et qui permet de favoriser le basculement avec précision de l'élément de hausse 11, pour un niveau d'eau égal au niveau N prédéterminé, grâce à la mise en sous-pression de la chambre 35, comme décrit plus haut en référence aux figures 7 et 10.A
Un orifice 36 est prévu à la base du rebord aval 33b de la plaque de base 33 pour drainer la chambre 35, lorsque celle-ci est remplie partiellement par les entrées d'eau provoquées par les vagues submergeant temporairement l'extrémité supérieure 21a du tuyau 21 ou par des fuites au niveau du joint d'étanchéité 15.An
Selon la forme d'exécution montrée figures 12, 14 et 15, des joints d'étanchéité 13, en caoutchouc ou en toute autre matière adéquate, sont prévus à chacune des extrémités latérales des éléments de hausse 11. La conception du joint d'étanchéité 13 doit être telle que le basculement d'un élément de hausse 11, au cas où la hausse 10 serait constituée de plusieurs éléments de hausse 11 basculant pour des niveaux d'eau différents, n'entraine pas le basculement des autres éléments de hausse 11.According to the embodiment shown in FIGS. 12, 14 and 15, seals 13, made of rubber or any other suitable material, are provided at each of the lateral ends of the lifting
Les figures 16a et 16b montrent en coupe transversale deux formes possibles pour le joint 13 répondant à cette nécessité.Figures 16a and 16b show in cross section two possible shapes for the
Le tuyau de pressurisation 21 peut se dresser verticalement au-dessus de la plaque de base 33, comme montré dans les figures 12 et 13 ou obliquement vers l'amont comme le tuyau 21′ de la figure 7. Le tuyau 21 peut encore être en partie noyé dans le seuil 6 comme le tuyau 21˝ de la figure 7.The
En plus ou en remplacement du tuyau 21 des figures 12 à 15, on peut envisager de mettre en oeuvre un autre dispositif déclencheur (fig. 17 et 18) analogue à celui de la figure 8 et constitué essentiellement par un tuyau 22 dont l'extrémité 22a débouche dans la chambre 35 et dont l'extrémité éloignée 23 est reliée à un dispositif de mise en pression 24. Le tuyau 22 peut être équipé d'un robinet 25 commandé par un dispositif de commande 26 automatique et/ou manuel comme mentionné plus haut. Le dispositif de mise en pression 24 peut être par exemple un réservoir, plus haut que le seuil 6, contenant de l'eau dont la surface libre est en contact avec l'atmosphère, ou encore la retenue d'eau du barrage, ce qui constitue la solution la plus simple à mettre en oeuvre.In addition to or as a replacement for the
Comme montré dans les figures 12, 13 et 17, chaque élément de hausse 11 est de préférence retenu contre tout glissement vers l'aval, par une ou des butées 12 fixées ou scellées dans le seuil 6 ou solidaire du cadre 42. Comme montré notamment figures 12 et 17, ce dispositif peut être complété par la mise en place sur la plaque 33 d'un lest 32 constitué, soit d'un élément monobloc, soit de plusieurs éléments empilés ou de matériaux en vrac disposés dans un réceptacle prévu à cet effet. Ce lest 32 permet d'optimiser l'équilibre entre le moment moteur et le moment résistant, tout en favorisant la réalisation d'éléments de hausse 11 dont chaque partie présente un poids unitaire peu élevé facilitant les manutentions et l'assemblage.As shown in Figures 12, 13 and 17, each raising
Bien qu'après assemblage, l'élément de hausse 11 soit rigide et massif, les liaisons entre ses diverses parties constitutives peuvent être conçues et réalisées de manière à ce qu'après le basculement d'un élément de hausse 11, chaque partie constitutive puisse se séparer des autres de façon à n'avoir à l'aval que des pièces peu volumineuses et plus faciles à récupérer ou à laisser perdues. C'est ainsi notamment que dans les formes de réalisation des figures 12 à 18, les tirants 30a peuvent être attachés aux plaques 33 et 34, par exemple par des ensembles d'anneaux et de crochets se détachant lors du basculement de l'élément de hausse. Cette conception est particulièrement intéressante pour les éléments de hausse de grandes dimensions car elle est aussi de nature à en faciliter la manutention et l'assemblage par mise en oeuvre d'éléments de faible poids unitaire.Although after assembly, the raising
Le dispositif de hausses de l'invention présente de nombreux avantages :
Il est bien entendu que les formes d'exécution de la présente invention qui ont été décrites ci-dessus ont été données à titre purement indicatif et nullement limitatif, et que de nombreuses modifications peuvent être facilement apportées par l'homme de l'art sans pour autant sortir du cadre de la présente invention.It is understood that the embodiments of the present invention which have been described above have been given for purely indicative and in no way limitative, and that many modifications can be easily made by those skilled in the art without departing from the scope of the present invention.
| Application Number | Priority Date | Filing Date | Title |
|---|---|---|---|
| FR9016430 | 1990-12-28 | ||
| FR9016430AFR2671116B1 (en) | 1990-12-28 | 1990-12-28 | EXCEPTIONAL FLOOD SPRINKLER FOR DAM COMPRISING AT LEAST TWO FLOOD SPRAYING DEVICES. |
| Publication Number | Publication Date |
|---|---|
| EP0493183A1true EP0493183A1 (en) | 1992-07-01 |
| EP0493183B1 EP0493183B1 (en) | 1994-03-02 |
| Application Number | Title | Priority Date | Filing Date |
|---|---|---|---|
| EP91403403AExpired - LifetimeEP0493183B1 (en) | 1990-12-28 | 1991-12-16 | Spillway for exceptional floods for barrages comprising et least two spillways |
| Country | Link |
|---|---|
| US (1) | US5195846A (en) |
| EP (1) | EP0493183B1 (en) |
| JP (1) | JPH0774497B2 (en) |
| KR (1) | KR0183992B1 (en) |
| CN (1) | CN1023723C (en) |
| AT (1) | ATE102273T1 (en) |
| AU (1) | AU646997B2 (en) |
| BR (1) | BR9105627A (en) |
| CA (1) | CA2057772C (en) |
| DE (1) | DE69101309T2 (en) |
| DK (1) | DK0493183T3 (en) |
| DZ (1) | DZ1547A1 (en) |
| ES (1) | ES2052347T3 (en) |
| FR (1) | FR2671116B1 (en) |
| MA (1) | MA22374A1 (en) |
| MX (1) | MX9102787A (en) |
| MY (1) | MY111628A (en) |
| OA (1) | OA09414A (en) |
| PT (1) | PT99946B (en) |
| RO (1) | RO112372B1 (en) |
| RU (1) | RU2080433C1 (en) |
| TN (1) | TNSN91125A1 (en) |
| TR (1) | TR26482A (en) |
| ZA (1) | ZA9110024B (en) |
| ZW (1) | ZW18691A1 (en) |
| Publication number | Priority date | Publication date | Assignee | Title |
|---|---|---|---|---|
| DE4301137C1 (en)* | 1993-01-18 | 1994-07-07 | Michael Kreuzer | Weir dam |
| WO1996033312A1 (en)* | 1995-04-19 | 1996-10-24 | Hydroplus, Societe Anonyme | Device for triggering the destruction of a selected part of a hydraulic structure, such as a levee, a dike or a backfilled dam, and a hydraulic structure comprising such a device |
| WO1997026412A1 (en)* | 1996-01-19 | 1997-07-24 | Hydroplus | Automatic wicket for a hydraulic structure such as a river sill, a dam spillway or a protective dyke |
| WO2009050342A1 (en)* | 2007-10-19 | 2009-04-23 | Hydroplus | Fusegate |
| WO2011131886A1 (en)* | 2010-04-21 | 2011-10-27 | Hydroplus | Fusegate for a hydraulic construction, in particular a dam |
| WO2014086402A1 (en)* | 2012-12-05 | 2014-06-12 | Raycap Intellectual Proterty Ltd. | Gate for free spillway weirs |
| FR3062406A1 (en)* | 2017-01-31 | 2018-08-03 | Hydroplus | FLUSH EVAPORATOR DEVICE FOR DAMS AND SIMILAR WORKS HAVING AN INTEGRATED DEVICE FOR AERATION OF THE DOWNWATER. |
| FR3101363A1 (en) | 2019-10-01 | 2021-04-02 | Hydroplus | Fuse rise with icebreaker system |
| Publication number | Priority date | Publication date | Assignee | Title |
|---|---|---|---|---|
| ES2272102B1 (en)* | 2000-02-28 | 2008-04-01 | Ramon Rodriguez Garcia | DOOR RELIEF COMPOSER, THAT OPENS AND CLOSES ONLY, WITHOUT NEEDING SUPPLY OF EXTERNAL ENERGY. |
| DE10010152A1 (en)* | 2000-03-03 | 2001-09-06 | Hartmut Langhans | Method to remove undesired solutes, e.g. alkali, salts or acids, from lake water; involves separating part of lake off using dam or wall and having pipe in lower part of dam to connect lake parts |
| US6715960B2 (en) | 2001-08-14 | 2004-04-06 | Donald H. Metz | Collapsible and re-usable flood barrier |
| SI21104B (en)* | 2001-11-27 | 2011-01-31 | Dušan CIUHA | Power plant, dam or similar water management facility flow area with enhanced dissipation effect |
| FR2865226B1 (en)* | 2004-01-19 | 2007-04-13 | Cismac Electronique | PREFABRICATED MODULAR HYDROELECTRIC DAM INCORPORATING ALL OR PART OF THE HYDRAULIC AND ELECTRICAL EQUIPMENT NECESSARY FOR ITS OPERATION. |
| US7422392B2 (en)* | 2004-10-06 | 2008-09-09 | Obermeyer Henry K | Water control structure |
| CN101538841B (en)* | 2009-03-20 | 2011-05-11 | 四川大学 | Differential trajectory jet energy dissipater in absorption basin |
| US10760233B2 (en)* | 2010-04-23 | 2020-09-01 | French Development Enterprises, LLC | Precast dam structure with flowpath |
| ES2397726B1 (en)* | 2010-06-08 | 2014-01-16 | Saúl Díez Valbuena | WATER COLLECTION SYSTEM FOR MINI-HYDRAULIC POWER STATIONS. |
| US8876431B1 (en) | 2012-02-29 | 2014-11-04 | J.F. Brennan Co., Inc. | Submersible bulkhead system and method of operating same |
| US9689130B1 (en) | 2012-02-29 | 2017-06-27 | J.F. Brennan Co., Inc. | Submersible bulkhead system and method of operating system |
| WO2014086403A1 (en)* | 2012-12-05 | 2014-06-12 | Raycap Intellectual Property Ltd. | Gate for free spillway weirs |
| RU2539143C1 (en)* | 2013-09-10 | 2015-01-10 | федеральное государственное бюджетное образовательное учреждение высшего профессионального образования "Южно-Российский государственный политехнический университет (НПИ) имени М.И. Платова" | System of mobile dams and method for its erection |
| CN106149647B (en)* | 2015-04-03 | 2018-11-09 | 中国电建集团贵阳勘测设计研究院有限公司 | Method and structure for releasing ecological flow without artificial control |
| RU2616380C1 (en)* | 2016-01-25 | 2017-04-14 | Михаил Иванович Голубенко | Draining and humidifying polder system |
| CN105544476B (en)* | 2016-02-01 | 2017-12-15 | 邓翔宇 | One kind has pressure discharge orifice flow control facility |
| CN108755612B (en)* | 2018-04-23 | 2020-12-22 | 中国水利水电第九工程局有限公司 | An automatic tipping flood gate system |
| IT201800009417A1 (en)* | 2018-10-12 | 2020-04-12 | Sws Eng Spa | WATER SYSTEM WITH OVERFLOW THRESHOLD |
| US12180665B2 (en) | 2019-02-14 | 2024-12-31 | W.L. French Hydropower Holdings Llc | Modular precast pumped storage hydro system for power generation |
| CN110232479B (en)* | 2019-06-13 | 2021-09-28 | 福州市规划设计研究院集团有限公司 | Flood control compensation optimization scheduling method for urban reservoir |
| CN110230291B (en)* | 2019-06-14 | 2021-04-06 | 张鹏 | Reservoir flood discharge device |
| CN110284468A (en)* | 2019-07-12 | 2019-09-27 | 中国电建集团北京勘测设计研究院有限公司 | A kind of flood-discharge energy-dissipating structure for high flow rate non-pressure tunnel |
| WO2021222467A1 (en)* | 2020-04-28 | 2021-11-04 | Obermeyer Henry K | Water control gate abutment air vent |
| CN112729852B (en)* | 2020-12-22 | 2023-08-04 | 西安精密机械研究所 | Combined test device and test method for power combustion subsystem of three-component turbine |
| CN112796287B (en)* | 2021-02-04 | 2025-04-08 | 中国电建集团成都勘测设计研究院有限公司 | Totally-enclosed transparent shed tunnel in flood discharge atomization area of power station |
| Publication number | Priority date | Publication date | Assignee | Title |
|---|---|---|---|---|
| FR966470A (en)* | 1948-05-11 | 1950-10-11 | Improvement of embankments against floods or rising tides as well as elements for the construction of these embankments | |
| GB731313A (en)* | 1953-03-04 | 1955-06-08 | Frederick William Rowbotham | Improvements in, or relating to, floodbanks and similar structures |
| DE2511408A1 (en)* | 1975-03-15 | 1976-09-23 | Erich Bacher | Dam for protection against high water level - has separate section lifted to raise dam as necessary |
| DE8808124U1 (en)* | 1988-06-24 | 1988-10-20 | Lohmar, Hans Josef, 5000 Köln | Protective wall, especially for protection against flooding |
| US4787774A (en)* | 1987-07-01 | 1988-11-29 | Grove William M | Fluid control apparatus |
| DE9004646U1 (en)* | 1990-04-25 | 1990-06-28 | Lohmar, Hans Josef, 5000 Köln | Mountable wall, especially flood protection wall |
| Publication number | Priority date | Publication date | Assignee | Title |
|---|---|---|---|---|
| US565019A (en)* | 1896-08-04 | Newbueg | ||
| US972059A (en)* | 1910-05-11 | 1910-10-04 | Thomas Curtis Clarke | Temporary wall. |
| US2118535A (en)* | 1937-08-27 | 1938-05-24 | Betts Clifford Allen | Hinged automatic flashboard gate |
| US2961731A (en)* | 1953-02-20 | 1960-11-29 | Dow A Buzzell | Means and method for molding concrete sections of hydraulic concrete structures |
| US3342033A (en)* | 1965-04-08 | 1967-09-19 | Layne Texas Company Inc | Method of providing a sealed joint employing a flexible bag |
| FR2129082A5 (en)* | 1971-03-15 | 1972-10-27 | Marseille Grands Travaux | |
| FR2557172B1 (en)* | 1983-12-23 | 1987-04-24 | Aubert J | PREFABRICATED CIVIL ENGINEERING STRUCTURE, APPLICATION TO THE CONSTRUCTION OF A STRUCTURE AND STRUCTURE THEREOF |
| US4650368A (en)* | 1985-05-10 | 1987-03-17 | American Threshold Industries, Inc. | Flood water containment bag |
| FR2656354B1 (en)* | 1989-12-21 | 1992-03-06 | Gtm Batiment Travaux Publics S | FLOOD SPRINKLER FOR DAMS AND SIMILAR WORKS. |
| Publication number | Priority date | Publication date | Assignee | Title |
|---|---|---|---|---|
| FR966470A (en)* | 1948-05-11 | 1950-10-11 | Improvement of embankments against floods or rising tides as well as elements for the construction of these embankments | |
| GB731313A (en)* | 1953-03-04 | 1955-06-08 | Frederick William Rowbotham | Improvements in, or relating to, floodbanks and similar structures |
| DE2511408A1 (en)* | 1975-03-15 | 1976-09-23 | Erich Bacher | Dam for protection against high water level - has separate section lifted to raise dam as necessary |
| US4787774A (en)* | 1987-07-01 | 1988-11-29 | Grove William M | Fluid control apparatus |
| DE8808124U1 (en)* | 1988-06-24 | 1988-10-20 | Lohmar, Hans Josef, 5000 Köln | Protective wall, especially for protection against flooding |
| DE9004646U1 (en)* | 1990-04-25 | 1990-06-28 | Lohmar, Hans Josef, 5000 Köln | Mountable wall, especially flood protection wall |
| Publication number | Priority date | Publication date | Assignee | Title |
|---|---|---|---|---|
| DE4301137C1 (en)* | 1993-01-18 | 1994-07-07 | Michael Kreuzer | Weir dam |
| WO1996033312A1 (en)* | 1995-04-19 | 1996-10-24 | Hydroplus, Societe Anonyme | Device for triggering the destruction of a selected part of a hydraulic structure, such as a levee, a dike or a backfilled dam, and a hydraulic structure comprising such a device |
| FR2733260A1 (en)* | 1995-04-19 | 1996-10-25 | Hydroplus | DEVICE FOR TRIGGERING THE DESTRUCTION OF A SELECTED PART OF A HYDRAULIC STRUCTURE SUCH AS A LIFTING, A DYK OR A DAM IN FILLING, AND HYDRAULIC STRUCTURE CONTAINING SUCH A DEVICE |
| WO1997026412A1 (en)* | 1996-01-19 | 1997-07-24 | Hydroplus | Automatic wicket for a hydraulic structure such as a river sill, a dam spillway or a protective dyke |
| FR2743829A1 (en)* | 1996-01-19 | 1997-07-25 | Hydroplus | AUTOMATIC RISE FOR HYDRAULIC WORK SUCH AS THRESHOLD IN RIVER, OVERFLOW ON A DAM OR ON A PROTECTION DYE |
| AP3040A (en)* | 2007-10-19 | 2014-11-30 | Hydroplus | Secured fusible |
| WO2009050342A1 (en)* | 2007-10-19 | 2009-04-23 | Hydroplus | Fusegate |
| WO2009090340A1 (en)* | 2007-10-19 | 2009-07-23 | Hydroplus | Secured fusible |
| AU2008347687B2 (en)* | 2007-10-19 | 2013-12-19 | Hydroplus | Secured fusible |
| US8591149B2 (en) | 2007-10-19 | 2013-11-26 | Sebastien Lacroix | Secured fusegate for flood control |
| FR2959252A1 (en)* | 2010-04-21 | 2011-10-28 | Hydroplus | FUSH INCREASE FOR HYDRAULIC WORKING PARTICULARLY OF DAM TYPE. |
| WO2011131886A1 (en)* | 2010-04-21 | 2011-10-27 | Hydroplus | Fusegate for a hydraulic construction, in particular a dam |
| WO2014086402A1 (en)* | 2012-12-05 | 2014-06-12 | Raycap Intellectual Proterty Ltd. | Gate for free spillway weirs |
| FR3062406A1 (en)* | 2017-01-31 | 2018-08-03 | Hydroplus | FLUSH EVAPORATOR DEVICE FOR DAMS AND SIMILAR WORKS HAVING AN INTEGRATED DEVICE FOR AERATION OF THE DOWNWATER. |
| WO2018142059A1 (en) | 2017-01-31 | 2018-08-09 | Hydroplus | High water spillway for barrages and similar structures, comprising an integrated device for aerating the downstream body of water |
| US10815632B2 (en) | 2017-01-31 | 2020-10-27 | Hydroplus | High water spillway for barrages and similar structures, comprising an integrated device for aerating the downstream body of water |
| FR3101363A1 (en) | 2019-10-01 | 2021-04-02 | Hydroplus | Fuse rise with icebreaker system |
| WO2021064302A1 (en) | 2019-10-01 | 2021-04-08 | Hydroplus | Fusegate with ice-breaking system |
| US11708675B2 (en) | 2019-10-01 | 2023-07-25 | Hydroplus | Fusegate with ice-breaking system |
| Publication number | Publication date |
|---|---|
| FR2671116B1 (en) | 1993-05-07 |
| JPH04293811A (en) | 1992-10-19 |
| FR2671116A1 (en) | 1992-07-03 |
| ES2052347T3 (en) | 1994-07-01 |
| ATE102273T1 (en) | 1994-03-15 |
| DE69101309D1 (en) | 1994-04-07 |
| DZ1547A1 (en) | 2002-02-17 |
| KR0183992B1 (en) | 1999-04-01 |
| CN1023723C (en) | 1994-02-09 |
| OA09414A (en) | 1992-09-15 |
| AU8977891A (en) | 1992-07-02 |
| MA22374A1 (en) | 1992-07-01 |
| AU646997B2 (en) | 1994-03-10 |
| MY111628A (en) | 2000-09-27 |
| PT99946B (en) | 1999-09-30 |
| JPH0774497B2 (en) | 1995-08-09 |
| CA2057772C (en) | 1995-11-14 |
| EP0493183B1 (en) | 1994-03-02 |
| TR26482A (en) | 1995-03-15 |
| MX9102787A (en) | 1992-06-01 |
| TNSN91125A1 (en) | 1992-10-25 |
| DE69101309T2 (en) | 1994-06-09 |
| ZW18691A1 (en) | 1992-12-09 |
| US5195846A (en) | 1993-03-23 |
| PT99946A (en) | 1994-01-31 |
| RO112372B1 (en) | 1997-08-29 |
| ZA9110024B (en) | 1992-10-28 |
| CA2057772A1 (en) | 1992-06-29 |
| RU2080433C1 (en) | 1997-05-27 |
| DK0493183T3 (en) | 1994-03-28 |
| CN1062942A (en) | 1992-07-22 |
| BR9105627A (en) | 1992-09-01 |
| Publication | Publication Date | Title |
|---|---|---|
| EP0493183B1 (en) | Spillway for exceptional floods for barrages comprising et least two spillways | |
| EP0434521B1 (en) | High water spillway for barriers and similar works | |
| EP2215308B1 (en) | Fusegate | |
| EP0147311B1 (en) | Prefabricated civil engineering element, application to the construction of a structure and resulting structure | |
| EP0874941B1 (en) | Automatic wicket for a hydraulic structure such as a river sill, a dam spillway or a protective dyke | |
| FR2656638A1 (en) | FLARE EXTINGUISHING DEVICE FOR DAMS AND SIMILAR WORKS. | |
| FR3062406A1 (en) | FLUSH EVAPORATOR DEVICE FOR DAMS AND SIMILAR WORKS HAVING AN INTEGRATED DEVICE FOR AERATION OF THE DOWNWATER. | |
| EP2948959B1 (en) | Apparatus for supplying water for cooling a nuclear power station, and nuclear power station comprising such an apparatus | |
| WO2007000508A1 (en) | Automatic water gate | |
| CA2219576C (en) | Device for triggering the destruction of a selected part of a hydraulic structure, such as a levee, a dike or a backfilled dam, and a hydraulic structure comprising such a device | |
| EP0028558B1 (en) | Method of improving the sliding resistance of a civil engineering construction and its foundation | |
| EP1793043A1 (en) | Mobile flood protection wall | |
| FR2990965A1 (en) | AUTOMATIC VALVE ADJUSTABLE. | |
| FR2792661A1 (en) | Barrage assembly for controlling the flow of water through a channel, into and out of a main body of water and other such applications, utilizes piles driven through the bed and lower substrata supporting rotating vanes | |
| FR2545516A1 (en) | Device for protecting an offshore structure and for breaking up the pack ice | |
| FR2744147A1 (en) | Rocking overflow for drainage systems and storm overflows | |
| EP0688904B1 (en) | Lock gate | |
| FR2850433A1 (en) | HYDRAULIC UNIT, ESPECIALLY HYDROELECTRIC | |
| FR2709314A1 (en) | Automatic, autonomous and lifting sluicegate | |
| WO1996001925A1 (en) | Automatic self-contained tilt-up gate | |
| BE1004982A5 (en) | Process for constructing a dam or dyke structure and structure obtainedusing this process | |
| WO1999040261A1 (en) | Structure and method for crossing a head drop, and navigation canal | |
| FR3105273A1 (en) | Ready-to-assemble set of parts for barring a torrent to maintain a fixed level ford. | |
| FR2708013A1 (en) | Automatic sluice for spillways constructed without sluices with a view to raising the normal barrage or for new spillways | |
| FR2814767A1 (en) | Regulation of water level in a dam, uses a valve, and gate in dam that opens progressively in response to water level in the dam, slowing the filling of the dam |
| Date | Code | Title | Description |
|---|---|---|---|
| PUAI | Public reference made under article 153(3) epc to a published international application that has entered the european phase | Free format text:ORIGINAL CODE: 0009012 | |
| 17P | Request for examination filed | Effective date:19920424 | |
| AK | Designated contracting states | Kind code of ref document:A1 Designated state(s):AT BE CH DE DK ES FR GB GR IT LI NL SE | |
| 17Q | First examination report despatched | Effective date:19930208 | |
| GRAA | (expected) grant | Free format text:ORIGINAL CODE: 0009210 | |
| AK | Designated contracting states | Kind code of ref document:B1 Designated state(s):AT BE CH DE DK ES FR GB GR IT LI NL SE | |
| REF | Corresponds to: | Ref document number:102273 Country of ref document:AT Date of ref document:19940315 Kind code of ref document:T | |
| REG | Reference to a national code | Ref country code:DK Ref legal event code:T3 | |
| REF | Corresponds to: | Ref document number:69101309 Country of ref document:DE Date of ref document:19940407 | |
| ITF | It: translation for a ep patent filed | ||
| GBT | Gb: translation of ep patent filed (gb section 77(6)(a)/1977) | Effective date:19940314 | |
| REG | Reference to a national code | Ref country code:FR Ref legal event code:TP | |
| REG | Reference to a national code | Ref country code:ES Ref legal event code:FG2A Ref document number:2052347 Country of ref document:ES Kind code of ref document:T3 | |
| REG | Reference to a national code | Ref country code:GR Ref legal event code:FG4A Free format text:3012010 | |
| PLBE | No opposition filed within time limit | Free format text:ORIGINAL CODE: 0009261 | |
| STAA | Information on the status of an ep patent application or granted ep patent | Free format text:STATUS: NO OPPOSITION FILED WITHIN TIME LIMIT | |
| EAL | Se: european patent in force in sweden | Ref document number:91403403.8 | |
| 26N | No opposition filed | ||
| REG | Reference to a national code | Ref country code:FR Ref legal event code:CL | |
| REG | Reference to a national code | Ref country code:GB Ref legal event code:IF02 | |
| PGFP | Annual fee paid to national office [announced via postgrant information from national office to epo] | Ref country code:GR Payment date:20021129 Year of fee payment:12 Ref country code:CH Payment date:20021129 Year of fee payment:12 Ref country code:AT Payment date:20021129 Year of fee payment:12 | |
| PGFP | Annual fee paid to national office [announced via postgrant information from national office to epo] | Ref country code:SE Payment date:20021203 Year of fee payment:12 | |
| PGFP | Annual fee paid to national office [announced via postgrant information from national office to epo] | Ref country code:BE Payment date:20021209 Year of fee payment:12 | |
| PGFP | Annual fee paid to national office [announced via postgrant information from national office to epo] | Ref country code:DK Payment date:20021212 Year of fee payment:12 | |
| PGFP | Annual fee paid to national office [announced via postgrant information from national office to epo] | Ref country code:DE Payment date:20021219 Year of fee payment:12 | |
| PGFP | Annual fee paid to national office [announced via postgrant information from national office to epo] | Ref country code:NL Payment date:20021223 Year of fee payment:12 | |
| PG25 | Lapsed in a contracting state [announced via postgrant information from national office to epo] | Ref country code:AT Free format text:LAPSE BECAUSE OF NON-PAYMENT OF DUE FEES Effective date:20031216 | |
| PG25 | Lapsed in a contracting state [announced via postgrant information from national office to epo] | Ref country code:SE Free format text:LAPSE BECAUSE OF NON-PAYMENT OF DUE FEES Effective date:20031217 | |
| PG25 | Lapsed in a contracting state [announced via postgrant information from national office to epo] | Ref country code:LI Free format text:LAPSE BECAUSE OF NON-PAYMENT OF DUE FEES Effective date:20031231 Ref country code:CH Free format text:LAPSE BECAUSE OF NON-PAYMENT OF DUE FEES Effective date:20031231 Ref country code:BE Free format text:LAPSE BECAUSE OF NON-PAYMENT OF DUE FEES Effective date:20031231 | |
| PG25 | Lapsed in a contracting state [announced via postgrant information from national office to epo] | Ref country code:DK Free format text:LAPSE BECAUSE OF NON-PAYMENT OF DUE FEES Effective date:20040102 | |
| BERE | Be: lapsed | Owner name:*GTM-ENTREPOSE Effective date:20031231 | |
| PG25 | Lapsed in a contracting state [announced via postgrant information from national office to epo] | Ref country code:NL Free format text:LAPSE BECAUSE OF NON-PAYMENT OF DUE FEES Effective date:20040701 Ref country code:DE Free format text:LAPSE BECAUSE OF NON-PAYMENT OF DUE FEES Effective date:20040701 | |
| PG25 | Lapsed in a contracting state [announced via postgrant information from national office to epo] | Ref country code:GR Free format text:LAPSE BECAUSE OF NON-PAYMENT OF DUE FEES Effective date:20040705 | |
| EUG | Se: european patent has lapsed | ||
| REG | Reference to a national code | Ref country code:DK Ref legal event code:EBP | |
| REG | Reference to a national code | Ref country code:CH Ref legal event code:PL | |
| NLV4 | Nl: lapsed or anulled due to non-payment of the annual fee | Effective date:20040701 | |
| PGFP | Annual fee paid to national office [announced via postgrant information from national office to epo] | Ref country code:GB Payment date:20051214 Year of fee payment:15 | |
| PG25 | Lapsed in a contracting state [announced via postgrant information from national office to epo] | Ref country code:IT Free format text:LAPSE BECAUSE OF NON-PAYMENT OF DUE FEES Effective date:20051216 | |
| GBPC | Gb: european patent ceased through non-payment of renewal fee | Effective date:20061216 | |
| PG25 | Lapsed in a contracting state [announced via postgrant information from national office to epo] | Ref country code:GB Free format text:LAPSE BECAUSE OF NON-PAYMENT OF DUE FEES Effective date:20061216 | |
| PGFP | Annual fee paid to national office [announced via postgrant information from national office to epo] | Ref country code:IT Payment date:20081125 Year of fee payment:18 | |
| PGRI | Patent reinstated in contracting state [announced from national office to epo] | Ref country code:IT Effective date:20091201 | |
| PG25 | Lapsed in a contracting state [announced via postgrant information from national office to epo] | Ref country code:IT Free format text:LAPSE BECAUSE OF NON-PAYMENT OF DUE FEES Effective date:20091216 | |
| PGFP | Annual fee paid to national office [announced via postgrant information from national office to epo] | Ref country code:FR Payment date:20110204 Year of fee payment:20 | |
| PGFP | Annual fee paid to national office [announced via postgrant information from national office to epo] | Ref country code:ES Payment date:20101202 Year of fee payment:20 | |
| REG | Reference to a national code | Ref country code:ES Ref legal event code:FD2A Effective date:20120305 | |
| PG25 | Lapsed in a contracting state [announced via postgrant information from national office to epo] | Ref country code:ES Free format text:LAPSE BECAUSE OF EXPIRATION OF PROTECTION Effective date:20111217 |