Movatterモバイル変換


[0]ホーム

URL:


EP0345454B1 - Microstrip array antenna - Google Patents

Microstrip array antenna
Download PDF

Info

Publication number
EP0345454B1
EP0345454B1EP89107666AEP89107666AEP0345454B1EP 0345454 B1EP0345454 B1EP 0345454B1EP 89107666 AEP89107666 AEP 89107666AEP 89107666 AEP89107666 AEP 89107666AEP 0345454 B1EP0345454 B1EP 0345454B1
Authority
EP
European Patent Office
Prior art keywords
radiating elements
antenna
feed line
pairs
portions
Prior art date
Legal status (The legal status is an assumption and is not a legal conclusion. Google has not performed a legal analysis and makes no representation as to the accuracy of the status listed.)
Expired - Lifetime
Application number
EP89107666A
Other languages
German (de)
French (fr)
Other versions
EP0345454A1 (en
Inventor
Atsushi Kaise
Naoya Hirohara
Hiroshi Kasahara
Iichi Wakou
Yoichi Kaneko
Current Assignee (The listed assignees may be inaccurate. Google has not performed a legal analysis and makes no representation or warranty as to the accuracy of the list.)
Kokusai Denki Electric Inc
Original Assignee
Yagi Antenna Co Ltd
Priority date (The priority date is an assumption and is not a legal conclusion. Google has not performed a legal analysis and makes no representation as to the accuracy of the date listed.)
Filing date
Publication date
Priority claimed from JP63116360Aexternal-prioritypatent/JPH07101811B2/en
Priority claimed from JP63156530Aexternal-prioritypatent/JPH025604A/en
Application filed by Yagi Antenna Co LtdfiledCriticalYagi Antenna Co Ltd
Publication of EP0345454A1publicationCriticalpatent/EP0345454A1/en
Application grantedgrantedCritical
Publication of EP0345454B1publicationCriticalpatent/EP0345454B1/en
Anticipated expirationlegal-statusCritical
Expired - Lifetimelegal-statusCriticalCurrent

Links

Images

Classifications

Definitions

Landscapes

Description

  • The invention relates to a planar microstrip array antenna according to the preamble ofclaim 1.
  • Conventionally, a parabolic antenna has been used to receive electromagnetic waves transmitted from a broadcast satellite. It is mounted on the roof or balcony of a building so as to be directed to the satellite. The parabolic antenna comprises a reflector, a radiating element, and a converter, the last two being disposed on the focal position of the reflector. Thus, an antenna of this type has a complicated construction, and is large and heavy. In strong winds, such as those of a typhoon, therefore, the parabolic antenna may quite possibly be broken. In snowy areas, moreover, snow may accumulate on the antenna, whereby the electromagnetic waves will be absorbed in it. The installation of the parabolic antenna, furthermore, spoils the external appearance of the building.
  • Besides the parabolic antenna described above, a planar microstrip array antenna is adapted to receive electromagnetic waves in a frequency band available for broadcast satellites, e. g., a band of about 12 GHz. Since this planar antenna can be mounted along the wall, or the like, of a building, it is less influenced by strong winds, and is less likely to spoil the external appearance of the building.
  • However, the direction of a beam radiated from the conventional planar microstrip array antenna of this type is perpendicular to the plane direction of the antenna. As shown in Fig. 1, therefore,planar antenna 1 is inclined if it is directed towardsbroadcast satellite 3. Accordingly,antenna 1 becomes susceptible to strong winds, and snow may accumulate on it, resulting in attenuation of the electromagnetic waves from the broadcast satellite. If the planar antenna is mounted aslant in this manner, moreover, it spoils the external appearance of building 2.
  • In order to eliminate such an awkward situation, the planar antenna is preferably given a beam tilt or a characteristic such that a beam radiated from the antenna is deviated From a direction perpendicular to the plane of the antenna. In typical latitudes in Japan,planar antenna 1 can be mounted substantially vertically along the wall ofbuilding 2, as shown in Fig. 2, by giving the antenna an upward beam tilt of 23°, for example. By installingantenna 1 in this way, the influence of strong winds can be reduced, snow can be prevented from accumulating on the antenna, and the effect on the appearance ofbuilding 2 can be lessened.
  • The aforesaid beam tilt can be obtained by giving phase differences to a plurality of radiating elements which constitute an array. Figs. 3 and 4 show part of the prior art planar microstrip array antenna for circularly polarized waves, constructed as follows. Fig. 3 is a partial plan view of the antenna, and Fig. 4 is a sectional view taken along line 4-4 of Fig. 3. This antenna is formed by superposing first and second printedboards 7 and 8 onearth plate 5, withdielectric layers 6 between them. Feedline 9 with a predetermined pattern is formed on first printedboard 7, while a conductor film is deposited on second printedboard 8. Part of the conductor film is removed so that a plurality ofradiation slots 10 are formed, each with a portion of the conductor film left in the center thereof, thus formingfeeding patch 11.Slots 10 andpatches 11 constitute a plurality of radiatingelements 13a to 13d.Feed line 9 is coupled electromagnetically to feedingpatches 11 of the radiating elements.Phase shift portions 12 are formed in the middle of the feed line, whereby a phase delay is caused between each two adjacent radiating elements. This phase delay is adjusted to, e.g., a quarter of wavelength λg of electromagnetic waves to be propagated. In this arrangement, the beam tilt of about 23° can be given to the antenna.
  • In order to maximize the antenna efficiency of the planar microstrip array antenna constructed in this manner, the distance between each two adjacent radiating elements must be set to 80 to 90 % of wavelength λo of electromagnetic waves in a free space. In the array antenna with the aforementioned beam tilt, moreover, substantial electromagnetic radiations or grating lobes are inevitably produced in undesired directions. In order to prevent these grating lobes, distance d between the radiating elements in each pair to be given a phase difference must be set to, e.g., 0.64λo or less. If the array antenna is designed so as to be best suited for the 12-GHz band, the frequency band for broadcasting via satellite, for example, in consideration of these requirements, the outside diameter ofradiating slot 10 of each radiating element is about 14 mm, and distance d is about 16 mm. Accordingly, the gap between the outer peripheral edges of the respective radiating slots of each pair of radiating elements to be given the phase difference is about 2 mm, which is not a very wide space. Sincephase shift portions 12 are formed in the middle of the terminal portions offeed line 9, moreover, the configuration of the feed line is complicated.
  • At such portions as those indicated by symbols A, B and C in Fig. 3, therefore, the feed line is situated so close to the radiating elements that undesired electromagnetic coupling are caused between them, thus lowering the gain of the antenna. If the width of the feed line is reduced to enlarge the distance between the feed line and the radiating elements, in order to prevent this undesired electromagnetic coupling, a great loss is produced in the feed line, so that the antenna gain is lowered.
  • As described above, the conventional planar array antenna with a beam tilt entails reduced gain. If the configuration of the feed line is thus complicated, moreover, the phase is asymmetrical at the diverging and bent portions. Accordingly, impedance matching is difficult, and again, the gain is lowered.
  • Also a flat array antenna is known which allows a stable reception resulting from a device which regulates the antenna current both in amplitude and phase and which also allows the reception of several transmissions by electronic pointing (W. Tippe: Flache Gruppenantennen, eine Alternative zur Parabolantenne für den stationären und mobilen DBS-Empfang?, RTM-Rundfunktechnische Mitteilungen 32, 1988, März/April, Nr. 2, pp. 83 - 92). This array antenna shows an incremental phase shift between antenna elements as well as a scan angle of the phased array beam. However, this antenna does not disclose circularly polarized wave radiating elements which are grouped in a plurality of pairs, whereby one radiating element in each pair is oriented in a rotational angle to the other radiating element.
  • Further, a printed-circuit antenna array having broadcast linear polarization has been proposed which comprises a plurality of feedlines which are wider at one end than at the other and which also comprises a plurality of feeding elements, each coupled in contactless manner to at least a respective one of said plurality of feedlines at the wider end thereof (EP-A-0 271 458). This antenna, however, does not relate to beam tilt problems as described above.
  • Finally, a circular polarization antenna is known which comprises an array, formed of a plurality of circularly polarized wave radiating elements which are grouped in a plurality of pairs, whereby the angular orientation of individual elements is shifted at an interval of π/4 rad with respect to the orientation of another element (US-A-4 543 579). These radiating elements are electromagnetically coupled to a feeder line. This antenna, however, is intended to obtain wide-band circular polarization characteristics and does not disclose any teachings for obtaining a beam tilt.
  • It is, therefore, an object of the present invention to give a beam tilt to a planar microstrip array antenna, and to prevent lowering of the gain and characteristics of the antenna.
  • This object is achieved by means of the features disclosed inclaim 1.
  • According to the present invention, each pair of radiating elements for circularly polarized waves are arranged at a predetermined rotational angle to each other within the plane of a planar antenna. Terminal feeding portions of a feed line, which correspond individually to the radiating elements in pairs, are formed so that their electrical lengths, as measured from their diverging portions, are equal. With this arrangement, phase shifts are produced between the paired radiating elements, thus permitting a desired beam tilt. According to the present invention, moreover, phase shift portions need not be formed in the middle of the terminal feeding portions of the feed line which correspond to the radiating elements, so that the general configuration of the feed line is simple. Consequently, the gap between the feed line and the radiating elements can be made wide enough to prevent undesired electromagnetic coupling between the feeder line and the elements, thus ensuring improvement in the gain and characteristics of the antenna.
  • According to an aspect of the present invention, furthermore, the external configuration of each radiating element situated close to the feed line is partially modified so that the gap between the element and the line is widened. In this arrangement, although the characteristics of the radiating elements themselves are lowered, the undesired electromagnetic coupling between the elements and the feed line are reduced, so that the gain and characteristics of the antenna, as a whole, are improved.
  • The present invention will be apparent in the following detailed description of illustrative embodiments thereof which is to be read in connection with the accompanying drawings, in which:
    • Fig. 1 is a schematic view showing a state such that a planar antenna without a beam tilt is installed on a building;
    • Fig. 2 is a schematic view showing a state such that a planar antenna with a beam tilt is installed on a building;
    • Fig. 3 is a partial plan view of a prior art microstrip array antenna with a beam tilt;
    • Fig. 4 is a sectional view taken along line 4-4 of Fig. 3;
    • Fig. 5 is a perspective view showing an outline of a planar microstrip array antenna according to a first embodiment of the present invention;
    • Fig. 6 is an exploded perspective view of the antenna shown in Fig. 5;
    • Fig. 7 is a partial plan view of a printed feeder board;
    • Fig. 8 is a partial plan view of a printed radiation board;
    • Fig. 9 is a plan view showing the positional relationships between superposed radiating elements and a feed line;
    • Fig. 10 is a sectional view taken along line 10-10 of Fig. 9;
    • Fig. 11 is a partial plan view of an antenna according to a second embodiment of the invention;
    • Fig. 12 shows a characteristic curve of the antenna according to the first embodiment;
    • Fig. 13 shows a characteristic curve of the antenna according to the second embodiment; and
    • Fig. 14 is a plan view showing the positional relationships between radiating elements and a feed line according to a third embodiment of the present invention.
  • Figs. 5 to 10 show a first embodiment of the present invention.Antenna 30 of this embodiment is a planar microstrip array antenna for circularly polarized waves. Fig. 5 shows an outline ofantenna 30, and Fig. 6 is an exploded perspective view of the antenna.Antenna 30 comprisesmetallic body 31 in the form of a shallow tray, which doubles as an earth plate. Firstdielectric sheet 32, printedfeeder board 33,second dielectric sheet 34, printedradiation board 35,protector plate 36, and cover 37 are successively superposed in layers on the front face ofbody 31. The respective edge portions ofcover 37 andbody 31 are coupled together by means offrame members 38, 39 and 40, whereby the aforesaid individual members are assembled together. First and seconddielectric sheets 32 and 34 are formed of dielectric material, e.g., foaming polyethylene.Cover 37 is formed of synthetic resin or fiber-reinforced plastic material. Preferably, the surface ofcover 37 is coated with a film, such as fluorine-based resin or "TEDLER" film (trademark; produced by Du Pont de Nemours & Co., USA), which is highly weatherproof, sheds water, and cannot be easily soiled with snow, ice, or dirt.Protector plate 36 is formed relatively thick from highly adiabatic material, such as foaming polystyrene.Plate 35 serves to protect printedradiation board 35 and the like from a temperature rise caused by sunlight, and to prevent them from being mechanically damaged when some hard substance runs againstcover 37.
  • Converter 45 is attached to the rear face ofbody 31. It is coupled electromagnetically to printedfeeder board 33 by means offeed waveguide 46.Waveguide 46 is bent at an angle of 90° so thatconverter 45 is disposed parallel to the rear face ofbody 31. With this arrangement, the depth of the whole antenna structure can be reduced.
  • Figs. 7 and 8 show the arrangements of printedfeeder board 33 and printedradiation board 35, respectively. Infeeder board 33,feed line 51, composed of a conductor film having the pattern shown in Fig. 7, is formed ondielectric film substrate 50. As shown in Fig. 8, on the other hand, a plurality of pairs of circularly polarizedwave radiating elements 62a to 65a and 62b to 65b are arranged onradiation board 35. Each of these radiating elements is composed ofannular radiating slot 66 and substantiallycircular feeding patch 67.Slot 66 is formed by annularly removing part of the conductor film ondielectric film 60 so thatpatch 67 of the conductor film is left in the center. A pair ofnotches 68 are formed on the peripheral edge portion ofpatch 67 so as to diametrically face each other. Further, a plurality of pairs ofterminal feeding portions 52a to 55a and 52b to 55b are formed onfeed line 51 offeeder board 33, corresponding individually to the radiating elements. As shown in Figs. 9 and 10, printedboards 33 and 35 are superposed withsecond dielectric sheet 34 between them. The feeding portions are coupled electromagnetically to their corresponding radiating elements so as to correspond to the lower portions of the respective feeding patches of the elements. More specifically, first pairs 52 ofterminal feeding portions 52a and 52b are coupled tofirst pairs 62 of radiatingelements 62a and 62b, respectively; second pairs 53 ofportions 53a and 53b tosecond pairs 63 ofelements 63a and 63b,third pairs 54 ofportions 54a and 54b tothird pairs 64 ofelements 64a and 64b, andfourth pairs 55 ofportions 55a and 55b tofourth pairs 65 ofelements 65a and 65b. Each pair of terminal feeding portions are connected by means of first divergingportion 56, and each two adjacent pairs are connected by means of their respective second divergingportions 57. First andsecond pairs 52 and 53 and third andfourth pairs 54 and 55 are connected by means of their corresponding divergingportions 58. Each pair of radiating elements are arranged at a rotational angle of 90° to each other within the plane of the antenna. More specifically,elements 62b, 63b, 64b and 65b of first, second, third, andfourth pairs 62, 63, 64 and 65 are oriented at an angle of 90° toelements 62a, 63a, 64a and 65a, respectively. Also, the terminal feeding portions are oriented corresponding to the arrangement of the radiating elements. More specifically,portions 52b, 53b, 54b and 55b of first, second, third, andfourth pairs 52, 53, 54 and 55 are oriented at an angle of 90° toportions 52a, 53a, 54a and 55a, respectively.Notches 68 of each radiating element are arranged at an angle of 45° to the extending direction of each terminal feeding portion. Electromagnetic-wave beams of right-handed circularly polarized waves are emitted from the radiating elements.
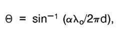
  • A phase shift of 90° is made between each pair of radiating elements, that is, betweenelements 62a and 62b, betweenelements 63a and 63b, betweenelements 64a and 64b, and betweenelements 65a and 65b. The individual terminal feeding portions of the feed line have the same electrical length, and the electrical distance between first and second divergingportions 56 and 57 is uniform.Phase shift portions 59 formed individually between sound and third divergingportions 57 and 58 of eachsecond pair 53 and between second and third divergingportions 57 and 58 of eachfourth pair 55.Portions 59 produce a phase delay of 180° each. Accordingly, radiatingelements 62b, 63a and 63b are subject to phase delays of 90°, 180°, and 270°, respectively, behind each corresponding radiatingelement 62a. Likewise,elements 64b, 65a and 65b are subject to phase delays of 90°, 180°, and 270°, respectively, behind eachcorresponding element 64a.Elements 62a and 64a are in the same phase, that is, the former is subject to a phase delay of 360° behind the latter. Sinceelement 63b is subject to a phase delay of 270° behindelement 62a, a phase delay of 90° is produced betweenelements 63b and 64a. Thus, there is a phase delay of 90° between each two adjacent radiating elements. A beam tilt is produced by the phase shifts between these adjacent radiating elements. If the wavelength of the electromagnetic waves within a free space, the rotational angle between each two adjacent radiating elements, and the distance between each two adjacent radiating elements are λo, α°, d, respectively, beam tilt angel ϑ° is given by

    ϑ = sin⁻¹ (αλo/2πd).
    Figure imgb0001

  • In the embodiment described above, α = 90° andd = 0.64λo
    Figure imgb0002
    are given. In this case, beam tilt angle ϑ is about 23°.
  • Figs. 7 and 8 only partially show printedfeeder board 33 and printedradiation board 35. For other portions not shown, the feeder line and radiating elements are formed having the same pattern as aforesaid.
  • In this embodiment, moreover, the distance between each two adjacent radiating elements with a phase shift (e.g., between 62a and 62b or between 62b and 63a) is set at about 0.64λo, and the distance between each two adjacent radiating elements in the same phase (e.g., between 62a and 62a or between 65b and 65b) is set at about 0.8λo. By setting these distances in this manner, the efficiency of the antenna can be maximized, while production of undesired grating lobes can be minimized. In this embodiment, furthermore, the impedance offeed line 51 is set at 100 ohms. The width ofline 51 varies from one point to another, whereby the impedance of each radiating element is matched to the line impedance.
  • Fig. 12 comparatively shows characteristic curves of the antenna according to the aforementioned embodiment and the prior art antenna. In Fig. 12, curve P represents a characteristic of the 16-element planar microstrip array antenna for the 12-GHz band, having the conventional construction shown in Fig. 3. Curve E represents a characteristic of the 16-element microstrip array antenna according to the first embodiment of the present invention shown in Figs. 7 to 10. As seen from Fig. 12, the conventional antenna has an efficiency η of 46 %, while the antenna of the invention has 70 % efficiency η. Thus, the antenna of the present invention enjoys higher efficiency than the conventional one.
  • Fig. 11 shows a second embodiment of the present invention. An antenna of this second embodiment has substantially the same construction as the antenna of the first embodiment shown in Figs. 5 to 10. The second embodiment differs from the first embodiment in that the external configuration of radiating elements 72a, which, among other radiatingelements 72, are situated close to feedline 71, is partially modified. More specifically, each element 72a has astraight edge 73 on oneside 73 which is formed by cutting off that part of the outer peripheral edge portion of the element besideline 71.Edge 73 serves to maintain a wide gap between each element 72a andline 71. In this embodiment, the distance between the respective edges of each two adjacent elements 72a is set to, e.g., 6 mm. Although radiating elements 72a, constructed in this manner, are lower in radiation efficiency, undesired electromagnetic connections between elements 72a and feedline 71 are reduced. Thus, the whole antenna is improved in efficiency. Fig. 13 shows a characteristic curve indicative of the improvement of the efficiency of the antenna according to the second embodiment, compared to the first embodiment. As seen from Fig. 13, the gain is increased throughout the working frequency band for the antenna.
  • Fig. 14 shows a third embodiment of the present invention. In this arrangement,feed line 151 and circularly polarizedwave radiating elements 163a and 163b, each composed of a radiating patch, are formed on one and the same printed board.Elements 163a and 163b are formed having a pair ofnotches 168 each.Terminal feeding portions 153a and 153b ofline 151 are coupled directly to radiatingelements 163a and 163b, respectively.Adjacent feeding portions 153a and 153b are arranged at an angle of 90° to each other. For other arrangements, the second embodiment is constructed in the same manner as the first embodiment.
  • In the embodiments described above, a phase shift of 90° is given between each two adjacent circularly polarized wave radiating elements. The phase shift of this angle is best suited for antennas for the reception of broadcasting via satellite. Thus, with use of the phase difference of 90°, the phase angles of four radiating elements included in each two adjacent pairs can be set individually to 0°, 90°, 180°, and 270° by forming the feed line so that a phase difference of 180° is given between the adjacent pairs. In this case, therefore, the feed line must only be designed so as to give a phase shift of 180° between each two adjacent pairs. Thus, the feed line is simplified in construction. The phase shift of 90° results in a beam tilt of about 23°. In the temperate, the installation angle of the antenna with respect to a vertical line can be made narrow enough for practical use by giving the planar antenna the beam tilt of 23°. In Sapporo (substantially in lat. 44° N.), for example, the arrival angle (wave angle) of electromagnetic waves from a broadcast satellite in a geostationary orbit is 31.2°, so that the planar antenna can be installed at an angle of 8.2° to the vertical line. In Tokyo (substantially in lat. 36° N.), moreover, the the arrival angle (wave angle) of electromagnetic waves from a broadcast satellite is 38.0°, so that the planar antenna can be installed at an angle of 15° to the vertical line. In the temperate, therefore, the planar antenna can be mounted close to and substantially along the wall of a building or the like. Thus, the possibility of the antenna being influenced by strong winds is small, snow or the like cannot accumulate on the antenna, and the installed antenna is less likely to spoil the external appearance of the building. Naturally, it is advisable to make the beam tilt angles of antennas for the high latitudes narrower, and those of antennas for the low latitudes wider. The phase difference can be selected within a range of 30° to 150° to set the beam tilt angle at will.

Claims (5)

  1. A planar microstrip array antenna (30) comprising: an array formed of a plurality of circularly polarized radiating elements (62a, 62b, 63a, 63b...),
    said elements (62a, 62b, 63a,63b...) being grouped into a plurality of pairs (62a and 62b, 63a and 63b...),
    and a feeding line (51) coupled to said radiating elements (62a, 62b, 63a, 63b...)
    characterized in that
    each of said polarized radiating elements (62a, 62b, 63a, 63b...) includes a circular feeding patch (67) having a pair of diametrically opposed notches (68);
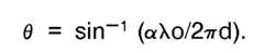
    the array is rectangular, and in that said pairs of wave radiating elements are arranged in the rows of the array, and in that the columns of the array contain wave radiating elements of same orientation;
    one radiating element of each pair of said plurality of pairs (62a and 62b, 63a and 63b...) being oriented with respect to said notches (68) at a rotational angle of α = 90° to the other radiating element of each pair, within the plane of the planar antenna (30);
    the distance d between the wave radiating elements in a row is set so as to satisfy an equation given by

    Θ = sin⁻¹ (αλo/2πd),
    Figure imgb0003


    where Θ is a desired beam tilt angle and λo is the wavelength of electromagnetic waves within a free space;
    said feed line (51) is provided with a plurality of pairs of first feeding portions (52a and 52b, 53a and 53b), corresponding respectively to the pairs of circularly polarized wave radiating elements diverging respectively from a first diverging portion (56),
    said first feeding portions (52a and 52b, 53a and 53b) being equal in electrical length;
    said feed line (51) being further provided with second feeding portions connecting the first diverging portions (56) of adjacent pairs of radiating elements to a second diverging portion (57) in a column, said second feeding portions being equal in electrical length;
    said feed line (51) being further provided with third feeding portions connecting adjacent two second diverging portions (57) to a third diverging portion (58) in a row,
    one of said third feeding portions including a phase shift portion (59) for producing a phase difference of 180°.
  2. The antenna according to claim 1,characterized in that said feed line (51) is formed on a printed feeder board (33), and said radiating elements (62a, 62b, 63a, 63b...) are formed on a printed radiation board (35).
  3. The antenna according to claim 1,characterized in that those radiating elements (62a, 62b, 63a, 63b...) which, among said plurality of circularly polarized wave radiating elements, are situated close to the feed line (51) have their external configuration partially cut (73), whereby the gap between each said circularly polarized wave radiating element and the feed line is increased.
  4. The antenna according to claim 3,characterized by further comprising a shallow tray-shaped body (31) made of electrically conductive material; a first dielectric sheet (32) made of synthetic resin foam being superposed on the front face of the body, said printed feeder board (33) being superposed on the front face of the first dielectric sheet (32); a second dielectric sheet (34) made of synthetic resin foam being superposed on the front face of the printed feeder board (33), said printed radiation board (35) being superposed on the front face of the second dielectric sheet (34); a protector plate (36) made of synthetic resin foam being superposed on the printed radiation board (35); and a cover (37) being superposed on the front face of the protector plate (36), the respective edge portions of said cover (37) and said body (31) being joined together.
  5. The antenna according to claim 1,characterized in that said feed line (51) and said circularly polarized wave radiating elements (62a, 62b, 63a, 63b...) are formed on one and the same printed board so as to be coupled directly to one another.
EP89107666A1988-05-131989-04-27Microstrip array antennaExpired - LifetimeEP0345454B1 (en)

Applications Claiming Priority (4)

Application NumberPriority DateFiling DateTitle
JP63116360AJPH07101811B2 (en)1988-05-131988-05-13 Beam tilt plane antenna
JP116360/881988-05-13
JP63156530AJPH025604A (en)1988-06-241988-06-24Plane antenna
JP156530/881988-06-24

Publications (2)

Publication NumberPublication Date
EP0345454A1 EP0345454A1 (en)1989-12-13
EP0345454B1true EP0345454B1 (en)1993-11-18

Family

ID=26454706

Family Applications (1)

Application NumberTitlePriority DateFiling Date
EP89107666AExpired - LifetimeEP0345454B1 (en)1988-05-131989-04-27Microstrip array antenna

Country Status (4)

CountryLink
EP (1)EP0345454B1 (en)
KR (1)KR920002227B1 (en)
CN (1)CN1011168B (en)
DE (1)DE68910728T2 (en)

Cited By (3)

* Cited by examiner, † Cited by third party
Publication numberPriority datePublication dateAssigneeTitle
RU2246156C1 (en)*2003-08-182005-02-10Федеральное государственное унитарное предприятие "Научно-производственное предприятие "Исток"Slotted waveguide antenna array
RU2258285C1 (en)*2003-11-212005-08-10Самсунг Электроникс Ко., Лтд.Planar antenna
RU2316857C1 (en)*2006-04-142008-02-10Учреждение образования "Гомельский государственный университет имени Франциска Скорины"Device for transforming electromagnetic wave polarization

Families Citing this family (26)

* Cited by examiner, † Cited by third party
Publication numberPriority datePublication dateAssigneeTitle
JP2846081B2 (en)*1990-07-251999-01-13日立化成工業株式会社 Triplate type planar antenna
US5278569A (en)*1990-07-251994-01-11Hitachi Chemical Company, Ltd.Plane antenna with high gain and antenna efficiency
GB9027776D0 (en)*1990-12-211991-06-12Marconi Gec LtdPatch antenna
DE4139245A1 (en)*1991-11-261993-05-27Ekkehard Dr Ing RichterSmall flat microwave slot aerial - has sec. transmitter structure of alternate dielectric and conductive layers
BR9507694A (en)*1994-05-231997-09-23Minnesota Mining & Mfg Modular microtape antenna systems and integrated retro-reflective modular electronic signal
CN1063328C (en)*1995-05-102001-03-21刘喜廷Medicine for removing tumour and preparing process thereof
US5923296A (en)*1996-09-061999-07-13Raytheon CompanyDual polarized microstrip patch antenna array for PCS base stations
EP1012911A1 (en)*1997-09-262000-06-28Raytheon CompanyDual polarized microstrip patch antenna array for pcs base stations
RU2133531C1 (en)*1998-01-191999-07-20Товарищество с ограниченной ответственностью "ФАРКОМ"Phased array
RU2129746C1 (en)*1998-07-061999-04-27Сестрорецкий Борис ВасильевичPlane collapsible double-input antenna
DE19845868A1 (en)1998-10-052000-04-06Pates Tech Patentverwertung Dual focus planar antenna
RU2159488C1 (en)*2000-01-242000-11-20Управление государственного надзора за связью по Санкт-Петербургу и Ленинградской областиPhased annular antenna array
RU2170997C1 (en)*2000-04-122001-07-20Управление государственного надзора за связью по Свердловской областиSubsurface phased-array antenna
RU2185697C1 (en)*2001-01-292002-07-20Фитенко Николай ГригорьевичUnderground phased antenna array
RU2201020C2 (en)*2001-02-272003-03-20Реньш Юрий АлексеевичStripline antenna array
ES2311589T3 (en)*2002-03-062009-02-16Atrax As ANTENNA.
RU2334317C1 (en)*2007-03-152008-09-20ФГУ 16 Центральный научно-исследовательский испытательный институт Министерства обороны Российской ФедерацииFlat surface-trailing antenna-stub
WO2008142900A1 (en)*2007-05-172008-11-27Omron CorporationArray antenna
RU2441301C1 (en)*2010-10-182012-01-27Открытое акционерное общество Центральное конструкторское бюро аппаратостроенияPhased array
RU2447552C1 (en)*2010-10-182012-04-10Российская Федерация, от имени которой выступает государственный заказчик - Государственная корпорация по атомной энергии "Росатом"Planar radiator
CN104282997B (en)*2013-10-232017-06-16林伟Efficient antenna array means
CN111290035B (en)*2020-03-252025-04-29深圳迈睿智能科技有限公司 Microwave Doppler detection module and equipment
CN111525280B (en)*2020-04-102021-08-17上海交通大学 Circularly polarized scanning array antenna based on Rotman lens
CN112952404B (en)*2021-01-282022-09-30东南大学Millimeter wave dual circularly polarized lens antenna and electronic equipment
CN113078482B (en)*2021-03-022022-07-29电子科技大学Antenna array for C-band dual-port circularly polarized high isolation
CN115275643B (en)*2022-08-292024-07-19重庆大学Microstrip antenna with customizable beam tilt angle and design method thereof

Family Cites Families (4)

* Cited by examiner, † Cited by third party
Publication numberPriority datePublication dateAssigneeTitle
JPS59178002A (en)*1983-03-291984-10-09Radio Res LabCircularly polarized wave antenna
AU603103B2 (en)*1986-06-051990-11-08Sony CorporationMicrowave antenna
JPS6365703A (en)*1986-09-051988-03-24Matsushita Electric Works LtdPlanar antenna
US5005019A (en)*1986-11-131991-04-02Communications Satellite CorporationElectromagnetically coupled printed-circuit antennas having patches or slots capacitively coupled to feedlines

Non-Patent Citations (1)

* Cited by examiner, † Cited by third party
Title
RTM-RUNDFUNKTECHNISCHE MITTEILUNGEN vol.32,no.2,March/April 1988,pages 83-92,Norderstedt,DE; W.TIPPE: "Flache Gruppenantennen,eine Alternative zur Parabolantenne für den stationären und mobilen DBS-Empfang"*

Cited By (3)

* Cited by examiner, † Cited by third party
Publication numberPriority datePublication dateAssigneeTitle
RU2246156C1 (en)*2003-08-182005-02-10Федеральное государственное унитарное предприятие "Научно-производственное предприятие "Исток"Slotted waveguide antenna array
RU2258285C1 (en)*2003-11-212005-08-10Самсунг Электроникс Ко., Лтд.Planar antenna
RU2316857C1 (en)*2006-04-142008-02-10Учреждение образования "Гомельский государственный университет имени Франциска Скорины"Device for transforming electromagnetic wave polarization

Also Published As

Publication numberPublication date
CN1037803A (en)1989-12-06
KR890017824A (en)1989-12-18
CN1011168B (en)1991-01-09
DE68910728D1 (en)1993-12-23
KR920002227B1 (en)1992-03-20
DE68910728T2 (en)1994-06-23
EP0345454A1 (en)1989-12-13

Similar Documents

PublicationPublication DateTitle
EP0345454B1 (en)Microstrip array antenna
US5181042A (en)Microstrip array antenna
US7102571B2 (en)Offset stacked patch antenna and method
US7298333B2 (en)Patch antenna element and application thereof in a phased array antenna
US8830133B2 (en)Circularly polarised array antenna
US6856300B2 (en)Feed network and method for an offset stacked patch antenna array
EP0406563A1 (en)Broadband microstrip-fed antenna
EP0891643A1 (en)Dual polarization antenna array with very low cross polarization and low side lobes
JPH09326631A (en)Microwave planar array antenna
JP2846081B2 (en) Triplate type planar antenna
WO2009037716A2 (en)High-gain wideband planar microstrip antenna for space borne application
CA2182334C (en)Mini-cap radiating element
JPH05308223A (en) Dual frequency antenna
US6930647B2 (en)Semicircular radial antenna
JPH1032418A (en)Flat antenna
EP1488477B1 (en)Antenna
JP3185406B2 (en) Planar antenna
EP0156549B1 (en)Antenna for circularly polarised radiation
JP2591806B2 (en) Microstrip array antenna
JPH04121110U (en) planar antenna
JPH04121111U (en) planar antenna
RU8165U1 (en) ANTENNA ARRAY WITH REJECTED BEAM OF THE DIRECTION DIAGRAM
Maddocks et al.Flat-plate steerable antennas for satellite communications and broadcast reception
JPH05259735A (en)Plane antenna
JPH04154305A (en)Triplet type plane antenna

Legal Events

DateCodeTitleDescription
PUAIPublic reference made under article 153(3) epc to a published international application that has entered the european phase

Free format text:ORIGINAL CODE: 0009012

17PRequest for examination filed

Effective date:19890427

AKDesignated contracting states

Kind code of ref document:A1

Designated state(s):DE FR GB IT NL

17QFirst examination report despatched

Effective date:19920609

GRAA(expected) grant

Free format text:ORIGINAL CODE: 0009210

AKDesignated contracting states

Kind code of ref document:B1

Designated state(s):DE FR GB IT NL

PG25Lapsed in a contracting state [announced via postgrant information from national office to epo]

Ref country code:IT

Free format text:LAPSE BECAUSE OF FAILURE TO SUBMIT A TRANSLATION OF THE DESCRIPTION OR TO PAY THE FEE WITHIN THE PRE;WARNING: LAPSES OF ITALIAN PATENTS WITH EFFECTIVE DATE BEFORE 2007 MAY HAVE OCCURRED AT ANY TIME BEFORE 2007. THE CORRECT EFFECTIVE DATE MAY BE DIFFERENT FROM THE ONE RECORDED.SCRIBED TIME-LIMIT

Effective date:19931118

REFCorresponds to:

Ref document number:68910728

Country of ref document:DE

Date of ref document:19931223

ETFr: translation filed
PLBENo opposition filed within time limit

Free format text:ORIGINAL CODE: 0009261

STAAInformation on the status of an ep patent application or granted ep patent

Free format text:STATUS: NO OPPOSITION FILED WITHIN TIME LIMIT

26NNo opposition filed
REGReference to a national code

Ref country code:GB

Ref legal event code:IF02

PGFPAnnual fee paid to national office [announced via postgrant information from national office to epo]

Ref country code:FR

Payment date:20030314

Year of fee payment:15

PGFPAnnual fee paid to national office [announced via postgrant information from national office to epo]

Ref country code:DE

Payment date:20030410

Year of fee payment:15

PGFPAnnual fee paid to national office [announced via postgrant information from national office to epo]

Ref country code:GB

Payment date:20030423

Year of fee payment:15

PGFPAnnual fee paid to national office [announced via postgrant information from national office to epo]

Ref country code:NL

Payment date:20030428

Year of fee payment:15

PG25Lapsed in a contracting state [announced via postgrant information from national office to epo]

Ref country code:GB

Free format text:LAPSE BECAUSE OF NON-PAYMENT OF DUE FEES

Effective date:20040427

PG25Lapsed in a contracting state [announced via postgrant information from national office to epo]

Ref country code:NL

Free format text:LAPSE BECAUSE OF NON-PAYMENT OF DUE FEES

Effective date:20041101

PG25Lapsed in a contracting state [announced via postgrant information from national office to epo]

Ref country code:DE

Free format text:LAPSE BECAUSE OF NON-PAYMENT OF DUE FEES

Effective date:20041103

GBPCGb: european patent ceased through non-payment of renewal fee

Effective date:20040427

PG25Lapsed in a contracting state [announced via postgrant information from national office to epo]

Ref country code:FR

Free format text:LAPSE BECAUSE OF NON-PAYMENT OF DUE FEES

Effective date:20041231

NLV4Nl: lapsed or anulled due to non-payment of the annual fee

Effective date:20041101

REGReference to a national code

Ref country code:FR

Ref legal event code:ST


[8]ページ先頭

©2009-2025 Movatter.jp