Movatterモバイル変換


[0]ホーム

URL:


EP0066343B1 - Method and apparatus for measuring ultrasonic attenuation characteristics - Google Patents

Method and apparatus for measuring ultrasonic attenuation characteristics
Download PDF

Info

Publication number
EP0066343B1
EP0066343B1EP82200647AEP82200647AEP0066343B1EP 0066343 B1EP0066343 B1EP 0066343B1EP 82200647 AEP82200647 AEP 82200647AEP 82200647 AEP82200647 AEP 82200647AEP 0066343 B1EP0066343 B1EP 0066343B1
Authority
EP
European Patent Office
Prior art keywords
region
signals
echoes
represent
pulses
Prior art date
Legal status (The legal status is an assumption and is not a legal conclusion. Google has not performed a legal analysis and makes no representation as to the accuracy of the status listed.)
Expired
Application number
EP82200647A
Other languages
German (de)
French (fr)
Other versions
EP0066343A1 (en
EP0066343B2 (en
Inventor
Jonathan Ophir
Nabil F. Maklad
Current Assignee (The listed assignees may be inaccurate. Google has not performed a legal analysis and makes no representation or warranty as to the accuracy of the list.)
Philips North America LLC
Original Assignee
North American Philips Corp
Priority date (The priority date is an assumption and is not a legal conclusion. Google has not performed a legal analysis and makes no representation as to the accuracy of the date listed.)
Filing date
Publication date
Application filed by North American Philips CorpfiledCriticalNorth American Philips Corp
Publication of EP0066343A1publicationCriticalpatent/EP0066343A1/en
Publication of EP0066343B1publicationCriticalpatent/EP0066343B1/en
Application grantedgrantedCritical
Publication of EP0066343B2publicationCriticalpatent/EP0066343B2/en
Expiredlegal-statusCriticalCurrent

Links

Images

Classifications

Definitions

Landscapes

Description

  • The invention relates to a method for measuring an attenuation characteristic in a region of interest in a body, the method comprising:
    • introducing pulses of ultrasound energy into the region;
    • detecting narrow-band signals which represent the amplitude of echoes of said pulses which are reflected from different depths along a plurality of propagation paths within said region.
  • The invention also relates to an apparatus for performing such a method.
  • The acoustic impedance of a material is the product of its density and the speed of acoustic waves therein. Whenever acoustic energy, such as ultrasound, passes through a boundary defined by a change in acoustic impedance, a portion of the energy is reflected, while the remainder passes through the boundary. In echo ultrasound technology, pulses of ultrasound energy are transmitted into a material for the purpose of producing echo signals for analysis. In medical diagnostics, ultrasound pulses are transmitted into the body. Internal tissue boundaries and inhomogeneities produce reflections of these pulses. The transit time of the reflected energy pulses and knowledge of the speed of sound propagation in tissue permit the determination of the depth of such reflections.
  • Aside from the echoes which are produced at boundaries where impedance changes, the tissue itself absorbs part of the ultrasound energy. The resultant attenuation of an ultrasound pulse as it passes through tissue is known to be roughly proportional to the frequency of the energy. Similarly structured boundaries and layers, located deeper in the tissue, thus produce weaker signals on account of the absorption of the incident as well as of the reflected signals. The local scattering in tissue varies in an unpredictable manner over small distances. The local attenuation of a single pulse of ultrasound energy is not, therefore, regarded as a meaningful or reproducible diagnostic measurement. Accepted ultrasound imaging techniques therefore rely on imaging boundaries, usually by modulating the intensity of pixels in a display in proportion to the intensity of reflected echoes from corresponding points in the body. Attenuation effects in tissue tend to distort such images. Most imaging systems incorporate some form of time-gain compensation to reduce artifacts attributable to tissue attenuation in the displayed images.
  • A first prior art technique for measuring ultrasound attenuation required that the material be placed between separate transmitting and receiving transducers. This technique is not considered practical for in vivo measurement in humans since ultrasound can not usually be propagated through the body. A second prior art technique utilized a known reflector to return pulses to a common trans- mitting/receiving transducer. It is not, however, considered a practical in vivo technique, since it is not usually practical or desirable to insert a reflector into the body. The above-described techniques further measure an attenuation value which characterizes the entire path of the propagating energy and are not suitable for measuring attenuation at a limited region of interest along the path of propagating energy.
  • A current summary of medical ultrasound imaging, including the discussion of attenuation characteristics and various scan techniques is described generally in an article entitled "Medical Ultrasonic Imaging: An Overview of Principals and Instrumentation" by James F. Havlice and John C. Taenzer, appearing in the Proceedings of the IEEE, Vol. 67, No. 4, April 1979.
  • Knowledge of the ultrasound attenuation characteristic within a limited region may have specific value for medical diagnostic purposes. It is known, for example, that diseased livers have different attenuation characteristics than healthy ones. Thus, a measure of attenuation within a region of interest including the liver may provide an indication of a diseased condition which is not otherwise detectable. In addition, attenuation values may be indicative of an origin of a tissue sample and may thus be useful for tissue identification. In tumor detection, the scattering of ultrasound by a tumor may be the same as that of healthy tissue, but the attenuation characteristics may be measurably different. Thus a measure of attenuation will provide additional data which is not utilized in current ultrasound images. Further, since in vivo study of tissue for absorption characteristics is not presently practical, the ability to make depthwise attenuation measurement with ultrasound scanner equipment may provide a further clinical basis for diagnosis.
  • It is an object of the invention to provide a method and an apparatus for making such depthwise attenuation measurement.
  • According to a first aspect the method according to the invention is characterized in that it further comprises:
    • accumulating a first statistically independent set of said signals which represent echoes from a first surface in said region;
    • accumulating a second statistically independent set of said signals which represent echoes from a second surface in said region which is spaced at a determined distance, along said paths, from said first surface; and
    • calculating an attenuation characteristic in said region as the difference between (1) a central tendency parameter, such as mean, median or mode, of the logarithms of the signals in said first set and (2) the same central tendency parameter of the logarithms at the signals in the second set.
  • According to a second aspect the method according to the invention is characterized in that it further comprises:
    • accumulating a set of statistically independent values which represent the difference between the logarithm of pairs of said signals, each pair of signals comprising echoes of the same pulse which propagate along a common path and which are separated from each other by a constant time interval; and
    • calculating the attenuation characteristic as a central tendency parameter, such as mean, median or mode, of said set of values.
  • A first embodiment of the apparatus according to the invention is characterized in that it comprises:
    • means for accumulating a first statistically independent set of said signals which represent echoes from a first surface in said region;
    • means for accumulating a second statistically independent set of said signals which represent echoes from a second surface in said region which is spaced at a determined distance, along said paths, from said first surface; and
    • means for calculating an attenuation characteristic in said region as the difference between (1) a central tendency parameter, such as mean, median or mode, of the logarithms of the signals in said first set and (2) the same central tendency parameter of the logarithms at the signals in the second set.
  • A second embodiment of the apparatus according to the invention is characterized in that it comprises:
    • means for accumulating a set of statistically independent values which represent the difference between the logarithm of pairs of said signals, each pair of signals comprising echoes of the same pulse which propagate along a common path and which are separated from each other by a constant time interval; and
    • means for calculating the attenuation characteristic as a central tendency parameter, such as mean, median or mode, of said set of values.
  • The present invention measures local ultrasound attenuation within a region of interest. The rate at which ultrasound echoes decay with range along a given path is not in itself indicative of attenuation of the tissue in a region. It has been found, however, that the average rate at which statistically independent ultrasonic echoes decay in a region with range is indeed indicative of the attenuation coefficient of the tissue in that region. The present invention utilizes a technique of averaging a set of independent measurements of the logarithms of differential attenuation in the region, to produce the desired attenuation value. This may be done, in a C-scan configuration, by moving a transducer over a raster pattern in a single plane to acquire a statistical accumulation of data, resetting the transducer position to a lower depth, repeating the raster scan, applying logarithmic correction, calculating the mean value of each corrected data set, finding the difference between the means and dividing the difference by the interplanar spacing. The invention may also be practiced in a B-scan mode by taking a series of differences between logarithms of the amplitude of echoes from pairs of points on B-scan lines and generating the mean of the series divided by the range between the points.
  • This invention will now be explained more in detail with reference to the attached drawings in which:
    • Fig. 1 is a mechanical configuration of a C-scanner;
    • Fig. 2 illustrates the motion of a transducer during a C-scan of a plane.
    • Fig. 3 illustrates the propagation of ultrasound in the C-scanner;
    • Fig. 4 shows electrical signals corresponding to echoes produced in the scanner of Fig. 3;
    • Fig. 5 shows a distribution of data gathered by the scanner of Figs. 1-4;
    • Fig. 6 is a block diagram of electronics for a C-scanner of the invention;
    • Fig. 7 illustrates a technique using a B-scan mode;
    • Fig. 8 is apparatus using a paired-pulse technique in a B-scan mode.
  • With reference to Fig. 1, a mechanical configuration of a C-scanner is shown in detail. A tissue under examination, designated T, having a region of interest, R is positioned in general proximity of a single ultrasound transducer 1. The transducer 1 moves in a lateral direction, indicated by the arrow M, in a suitable acoustic medium such aswater 2, which is contained within aflexible membrane 3, suspended from a collar 4. The transducer 1 is attached by means of anadjustable joint 5 to avertical rod 6. Therod 6 contains a plurality of notches 7 at pre-set increments for the purpose of allowing therod 6 and transducer 1 to have a vertical motion which is controlled by the retraction of thepin 8 into the solenoid 9. Thevertical rod 6 is supported by asteel plate 10 andsteel carriage 11, between which there is positioned acoil spring 12 for the purpose of applying a force against thesolenoid pin 8. A steppingmotor 13 provides the lateral drive to the transducer 1 and thevertical rod 6. Themotor 13 is attached to thecarriage 11 by abracket 14. Apinion gear 15 is driven by the stepping motor in cooperation with arack 16 which is in turn fastened to acarriage 17 and which rests on asupport plate 18. Thesupport plate 18 and its associated carriage are driven in a horizontal direction, normal to the lateral motion by asecond stepping motor 19, driving a threadedshaft 20 upon which aplate 18 rides. The steppingmotor 20 is supported within aframe 21 which is fixed to the overall mechanism of the scanner.
  • The transducer is utilized as both a pulse transmitter and a receiver. The pulse of energy propagates along a line through the tissue; echoes from increasing depths in the tissue are sequentially received by the transducer. The transducer converts the echoes into a sequence of electrical signals which represent the amplitude of corresponding echoes.
  • The speed of propagation of ultrasound in tissue may, for the purpose of this invention, be assumed to be constant. The time of arrival of an echo signal (measured with respect to the transmitted pulse), or range, thus corresponds to the depth of the echo-producing structure in the tissue. The signals from the transducer are time gated by a circuit which only passes signals from a predetermined depth in the region of interest. If the transducer is of the focussed type, the time-gate is preferably adjusted to only pass signals from echoes generated near the focal point of the transducer.
  • Ultrasound attenuation varies with frequency. The present invention characterizes attenuation in a narrow frequency band. Ideally the transmitted pulse should be narrow-band. However, this condition implies a relatively long pulse width, which inherently reduces the depth resolution. In a preferred embodiment a narrow-band pulse which consists of, for example, eight uniform cycles of radio-frequency ultrasound energy is utilized in conjunction with a wide- band receiver circuit. Alternatively a wide-band, short pulse which comprises for example, a single cycle of radio frequency ultrasound energy may be utilized in conjunction with a receiver which incorporates a narrow band-pass filter. The receiver may also be built with multiple narrow band-pass filters to simultaneously measure attenuation at several different frequencies.
  • Measuring the local attenuation also requires that the effects of overlying tissue be compensated. In typical ultrasound scanners using time-gain compensation methods it is not possible to compensate for overlying tissue effects, except for the possibility of compensating for initial overlying tissue boundaries, such as the abdominal wall. This invention therefore employs the concept of differential measurements wherein multiple readings on different depths are taken. In operation the transducer is moved in a raster pattern to gather a first set of statistically independent signals which represent the amplitudes of echoes reflected from a first flat surface in the region of interest. The solenoid is operated to release the pin so that the transducer is lowered a predetermined distance into the water. The scanning operation is then repeated to measure a second set of statistically independent signals representing echoes from a second surface which is spaced at a constant depth, measured along the propagation path of the pulses, from the first surface. Thus, with reference to Fig. 3, a plurality of readings are taken along a planar section DT1 at thefocal point 30 of a beam generated by atransducer 32 and a second scan is employed in a different plane, designated DT2. This is effected simply by re-positioning thetransducer 32 at a different depth, with a differential d, thereby causing afocal point 30 of the beam to be positioned along the plane DT2. It is also evident that a second data set can be derived from the echo train supply by recycling the lateral scan of the transducer and delaying the time-gate from T, to T21 as shown in Fig. 4. However, this would not produce results as accurate as the former method since the beam may be of different intensity at the second position. In this case, use of delayed time-gating requires correction for transducer beam intensity. Re-positioning of thefocal point 30 of the beam to a new depth provides the highest accuracy for data received for each plane.
  • The statistical distribution of measurement data at points along the plane DT1 is generally illustrated in Fig. 5 by thefirst curve 40. Thecurve 40 is a histogram, having acentral tendency area 42. A second statistical distribution of data at points in the plane DT2 is illustrated by thesecond curve 44 having a central tendency atarea 46. Thecurves 40 and 42 should be similar since they both represent a statistical distribution of points about two areas, one slightly displaced from the other in depth. The two curves are shifted, one from the other, along an axis representing echo intensity due to the added attenuation, resulting from the increase in penetration depth. A calculation of the difference between the statistical distribution of points oncurves 40 and 44 over the dimensional depth d results in a normalized attenuation reading for the tissue between the two planes DT1 and DT2. Typical dimensional configurations for the respective planar areas of the region of interest can be a one centimeter by two centimeter rectangle, with data samples taken on two millimeter centers. The distance between data points should be no less than one half the focal spot size. In this example, as many as 1000 data points can be taken.
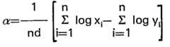
  • The number of points taken to determine an average sufficiently accurate for accuracy is a function of a number of parameters, such as focal spot size or sampling spot size, variation in echo intensity, total sample size, and the like. The distribution of data points in each plane can be characterized by any of the known statistical parameters which characterize central tendency, for example the mean (average), median, or mode. However, for ease of calculation, the mean (average) of the data points is the preferred central tendency parameter. If the samples from the first plane are designated X; where i equals 1, 2, 3 ... n, and the samples from the second plane are designated Y; where i equals 1, 2, 3 ... n, then the algorithm used to find the attenuation coefficient of the material contained between the planes is:
    Figure imgb0001
    where:
    • a=the attenuation coefficient of the material and
    • d=the spacing between the planes.
  • As shown in Fig. 6, amaster clock circuit 100 provides driving pulses for the steppingmotors 13 and 19, shown in Fig. 1, for the purpose of driving them in accordance with the desired scan pattern, such as shown, for example, in Fig. 2. Simultaneously, the master clock provides driving pulses for energizing apulse generator 102. The driving pulses may be of approximately 1 or 2 microsecond duration and are spaced about one millisecond apart. This interpulse spacing is sufficient to allow a complete train of echoes to be received prior to transmitting the next pulse, and for all reverberation artifacts to subside. As a result of applying the drive pulses to thepulse generator 102, a burst of sinusoidal waves having a frequency in the range from 1 to 7 MHz, with 3 MHz to 5 MHz being preferable, is released to thepower amplifier 104 which may be a conventional wide band power amplifier such as an EN 14201, capable of handling a ten megahertz bandwidth. The output of the power amplifier is coupled to a matching andprotection network 106, such as a transformer and diode array, conventionally designed, for the purpose of optimizing the power transferred between thepower amplifier 104 and thetransducer 108 and protecting the input of the receiving circuits from the output of the amplifier. For B-scan operation, it should be noted the burst sinusoidal waves produced by the pulse generator may be confined to a single cycle for the purpose of providing the necessary image quality required for B-scans.
  • Thetransducer 108 transmits the ultrasonic sound energy into the region of interest in the object and receives echoes based upon reflections within the region of interest. Thematching network 106 provides the received signals to thepreamplifier 110. Typically, the pre- amplifier has a wide dynamic range, in the range of 70 to 90 db, and is broadband. The output of preamplifier is fed into alog amplifier 112. A typical example of a log amplifier may be found in U.S. Patent No. 4,145,741. It is important that the amplifier closely follow an ideal logarithmic gain characteristic. This may be assured by the manufacturer or the amplifier may be calibrated by pretesting and providing software corrections for each signal level over the entire dynamic range of the log amplifier to ensure that any deviation is compensated in the production data. The output of thelog amplifier 112 is coupled to a demodulator andfilter 114, which removed the high frequency component of the echo signals and leaves an envelope signal. The resulting envelope is conducted to the sample and holdcircuit 116 which is timegated by means of the predetermined delay set in thedelay circuit 118 for gating the envelope at the desired intervals. These intervals represent the level equivalent of a depth of penetration from which echo signals have been received.
  • The amplitude of the log converted sample signals at each of the sample intervals is then digitized in a conventional manner by means of an analog todigital conversion circuit 120, and placed in a conventional 8 bit data word format. The data word is placed in a 1kx8 buffer 122, from which it is retrieved bycomputer 124 for data manipulation in accordance with the procedures previously discussed.
  • The measurement of data at predetermined time instants, based upon the previously noted assumption of a substantially constant speed of sound through the medium under examination, thereby provides an echo signal representative of a condition at a predetermined depth.
  • The data set is maintained by the computer until all of the data on a common plane represented by changing lateral positions of the transducer is collected. The computer then determines central tendency parameters, which are characteristic of the data set measured in plane DT1, The entire operation is repeated again with the transducer head repositioned for the plane DT2. A central tendency parameter for that data is then derived, and the attenuation in the region calculated, in accordance with the algorithm set forth above, by subtracting or determining the difference between the central tendency parameter and in essence dividing by a time derived factor which represents the distance between the planes DT1 and DT2:
    • It is noted in accordance with the foregoing concept that all of the data at a predetermined depth is obtained, logarithmically corrected, and then averaged for a particular depth. Then a second set of data is defined for a different depth, logarithmically corrected, and a corresponding average performed. As a final step, the two averages are differenced and divided over the distance therebetween for determination of the attenuation characteristic. This technique is particularly adaptable to the C scan mechanism shown in connection with Figure 1.
  • The correction of thelogarithmic amplifier 112, noted above may be effected by means of software. A logarithmic amplifier may be analyzed over its entire dynamic range and each deviation, as well as interpolation points, calculated by appropriate digitization along the entire range.
  • The master clock and scanning motors may also operate under the control of thecomputer 124.
  • The accumulation of data along each surface, at a common time interval, and a plot in the nature of a histogram having a central tendency, such as is shown in its envelope form in Fig. 5, may be also effected by means of appropriate programming for the computer.
  • It is also possible to use the above described technique in a B-scan mode. If for example, the method is utilized with a B-scan mode sector scanner 300 (Figure 7) the scanned surfaces are portions ofcylinders 310 and 320. It is usually impractical to move the transducer to different depths in a B-scan environment so that a variable time gate, and if necessary compensation for transducer focus effects, should be provided. The sector scan transducer described in U.S. patent 4,092,867 is, for example, useful for a B-scan embodiment of the present invention.
  • It is also possible to collect multiple sets of data points along a single line generated by B-scanner transducer. In that case, the echo signals returned from a single pulse are sorted as a function of their time of arrival using range gating techniques. The signals are then paired; the signals in each pair representing two echoes whose times of arrival differ by a constant amount. The amplitudes of signals in each pair are logarithmically converted and the later signal subtracted from the earlier signal in the pair. A set of statistically independent difference values are collected along one or more lines in the region of interest and a central tendency parameter is determined for the distribution of values in the set. The attenuation characteristic is then calculated by dividing the value of the central tendency parameter by the difference in arrival times of the echoes in the pairs.
  • Figure 8, illustrates apparatus for practicing the above-described method. Atransducer 350 projects pulses and receives echoes along a B-scan line 355, echoes received by the transducer are processed in apre-amplifier 400,log amp 410 andA-D converter 420 which may be the same units described in previous embodiments. Data words produced by the A-D converter are stored in abuffer 430 in separate locations which correspond to their range along the B-scan line 355 under control of arange gate 400. The computer 450 selects pairs of words from the buffer which are, each time, separated by a constant range t along the line. Thuswords representing echoes 360 and 380 constitute a first pair andwords representing echoes 370 and 390 represent a second pair. The computer subtracts the word values and determines a central tendency parameter in a manner analogous to that described previously.
  • The data accumulated in computer will thus represent a plurality of data values representing attenuations due to absorption characteristics at various points within the region under examination. The data may be employed as an attenuation map, thus providing a printout of attenuation differences, or may be employed as a table of values. Alternatively, the data may be employed on displays, in the nature of a B scan or brightness modulated display for indicating an attenuation distribution throughout a given region of interest. For example, by assigning different levels of attenuation to a 64 position gray scale, a contrast display may be provided on the face of the CRT. Alternatively, hard copy displays in the nature of x-ray images may be employed.
  • Other forms of utilization of data derived in accordance with the claims will be apparent to those skilled in the art.

Claims (12)

1. A method of measuring an attenuation characteristic in a region of interest in a body, the method comprising:
introducing pulses of ultrasound energy into the region;
detecting narrow-band signals which represent the amplitude of echoes of said pulses which are reflected from different depths along a plurality of propagation paths within said region;

characterized in that the method further comprises:
accumulating a first statistically independent set of said signals which represent echoes from a first surface in said region;
accumulating a second statistically independent set of said signals which represent echoes from a second surface in said region which is spaced at a determined distance, along said paths, from said first surface; and
calculating an attenuation characteristic in said region as the difference between (1) a central tendency parameter, such as mean, median or mode, of the logarithms of the signals in said first set and (2) the same central tendency parameter of the logarithms at the signals in the second set.
2. A method of measuring an attenuation characteristic in a region of interest in a body, the method comprising:
introducing pulses of ultrasound energy into said region;
detecting narrow-band signals which represent the amplitude of echoes of said pulses which are reflected from different depths along one or more propagation paths within said region; characterized in that the method further comprises:
accumulating a set of statistically independent values which represent the difference between the logarithm of pairs of said signals, each pair of signals comprising echoes of the same pulse which propagate along a common path and which are separated from each other by a constant time interval; and
calculating the attenuation characteristic as a central tendency parameter, such as mean, median or mode of said set of values.
3. A method as claimed in claim 1 or 2, characterized in that the central tendency parameter is the statistical mean.
4. A method as claimed in claim 1 or 2 characterized in that the energy is introduced in a B-scan mode.
5. A method as claimed in claim 1 or 2 characterized in that the energy is introduced in a C-scan mode.
6. A method as claimed in claim 1 characterized in that the surfaces are planar and are separated by a constant distance.
7. A method as claimed in claim 1 or 2 characterized in that the pulse comprises a plurality of cycles of ultrasound energy at a constant frequency.
8. An apparatus for measuring an attenuation characteristic in a region of interest in a body, the apparatus comprising:
means for introducing pulses of ultrasound energy into the region;
means for detecting narrow-band signals which represent the amplitude of echoes of said pulses which are reflected from different depths along a plurality of propagation paths within said region; characterized in that the apparatus further comprises:
means for accumulating a first statistically independent set of said signals which represent echoes from a first surface in said region;
means for accumulating a second statistically independent set of said signals which represent echoes from a second surface in said region which is spaced at a determined distance, along said paths, from said first surface; and
means for calculating an attenuation characteristic in said region as the difference between (1) a central tendency parameter, such as mean, median or mode, of the logarithms of the signals in said first set and (2) the same central tendency parameter of the logarithms at the signals in the second set.
9. An apparatus for measuring an attenuation characteristic in a region of interest in a body, the apparatus comprising:
means for introducing pulses of ultrasound energy into said region;
means for detecting narrow-band signals which represent the amplitude of echoes of said pulses which are reflected from different depths along one or more propagation paths within said region; characterized in that the apparatus further comprises:
means for accumulating a set of statistically independent values which represent the difference between the logarithm of pairs of said signals, each pair of signals comprising echoes of the same pulse which propagate along a common path and which are separated from each other by a constant time interval; and
means for calculating the attenuation characteristic as a central tendency parameter, such as mean, median or mode, of said set of values.
10. An apparatus as claimed in claim 8 or 9 characterized in that the energy introduced comprises a wideband pulse and in that the means for detecting comprise at least one narrow-band filter.
11. An apparatus as claimed in claim 8 or 9 characterized in that the means for introducing comprises a sector scanner.
12. An apparatus as claimed in claim 8 characterized in that the means for detecting comprise a transducer, means for scanning a surface by moving the transducer in a raster pattern in a first plane, means for shifting the transducer to a second plane which is parallel to the first plane, and means for moving the transducer in a raster pattern in the second plane.
EP82200647A1981-06-011982-05-27Method and apparatus for measuring ultrasonic attenuation characteristicsExpiredEP0066343B2 (en)

Applications Claiming Priority (2)

Application NumberPriority DateFiling DateTitle
US2688821981-06-01
US06/268,882US4389893A (en)1981-06-011981-06-01Precision ultrasound attenuation measurement

Publications (3)

Publication NumberPublication Date
EP0066343A1 EP0066343A1 (en)1982-12-08
EP0066343B1true EP0066343B1 (en)1985-01-16
EP0066343B2 EP0066343B2 (en)1987-02-04

Family

ID=23024916

Family Applications (1)

Application NumberTitlePriority DateFiling Date
EP82200647AExpiredEP0066343B2 (en)1981-06-011982-05-27Method and apparatus for measuring ultrasonic attenuation characteristics

Country Status (9)

CountryLink
US (1)US4389893A (en)
EP (1)EP0066343B2 (en)
JP (1)JPS5824824A (en)
AU (1)AU550209B2 (en)
BR (1)BR8203154A (en)
CA (1)CA1165856A (en)
DE (1)DE3261928D1 (en)
ES (2)ES512616A0 (en)
IL (1)IL65919A (en)

Families Citing this family (37)

* Cited by examiner, † Cited by third party
Publication numberPriority datePublication dateAssigneeTitle
JPS5855850A (en)*1981-09-301983-04-02Fujitsu Ltd Method for measuring medium characteristics using reflected ultrasound
US4569353A (en)*1982-06-031986-02-11The Regents Of The University Of CaliforniaSound attenuation measurement system
US4542744A (en)*1983-03-231985-09-24North American Philips CorporationMethod and apparatus for remote tissue identification by statistical modeling and hypothesis testing of echo ultrasound signals
FI71018C (en)*1983-07-061986-10-27Valmet Oy FOERFARANDE BASERANDE SIG PAO EKOLODNING MED ULTRALJUD FOER AT FOELJA MED BANBILDNINGEN OCH / ELLER MASSASUSPENSIONSSTROE MMN PAO EN VIRADEL OCH / ELLER I EN INLOPPSLAODA I EN PAPPERS MAKIN OCH ANORDNING FOER TIL
US4546772A (en)*1983-08-081985-10-15General Electric CompanyMethod and means for determining ultrasonic wave attenuation in tissue using phase locked loop
FR2556845B1 (en)*1983-12-161986-04-11Cgr Ultrasonic METHOD FOR CHARACTERIZING THE STRUCTURE OF A MEDIUM BY ACOUSTIC WAVES AND DEVICE USING THE SAME
JPS6080442A (en)*1983-10-061985-05-08テルモ株式会社Ultrasonic measuring method and apparatus
JPS60122367A (en)*1983-12-071985-06-29Terumo CorpMethod and device for ultrasonic measurement
JPS60176629A (en)*1984-02-231985-09-10テルモ株式会社Ultrasonic measuring method and apparatus
US4621645A (en)*1984-09-141986-11-11General Electric CompanyMethod of estimating tissue attenuation using wideband ultrasonic pulse and apparatus for use therein
US4669482A (en)*1985-10-281987-06-02Board Of Regents, The University Of Texas SystemPulse echo method and apparatus for sound velocity estimation in vivo
US4982339A (en)*1985-11-181991-01-01The United States Of America As Represented By Department Of Health And Human ServiceHigh speed texture discriminator for ultrasonic imaging
US4817015A (en)*1985-11-181989-03-28The United States Government As Represented By The Secretary Of The Health And Human ServicesHigh speed texture discriminator for ultrasonic imaging
US4836210A (en)*1987-06-151989-06-06Fujitsu LimitedUltrasonic analyzer
US4953147A (en)*1987-11-041990-08-28The Stnadard Oil CompanyMeasurement of corrosion with curved ultrasonic transducer, rule-based processing of full echo waveforms
US4893286A (en)*1987-11-041990-01-09Standard Oil CompanySystem and method for preprocessing and transmitting echo waveform information
US4993416A (en)*1989-04-251991-02-19Board Of Reagents The University Of Texas SystemSystem for ultrasonic pan focal imaging and axial beam translation
US5579768A (en)*1995-03-211996-12-03Acuson CorporationAutomatic gain compensation in an ultrasound imaging system
JP3514544B2 (en)*1995-04-182004-03-31フクダ電子株式会社 Ultrasound diagnostic equipment
US5595179A (en)*1995-05-021997-01-21Acuson CorporationAdaptive persistence processing
US5579770A (en)*1995-05-021996-12-03Acuson CorporationMultiple transmit zone splicing
US5642732A (en)*1995-05-031997-07-01Acuson CorporationApparatus and method for estimating missing doppler signals and spectra
US5737238A (en)*1996-08-281998-04-07Hyde Park Electronics, Inc.Method and apparatus for ply discontinuity detection
US6030345A (en)1997-05-222000-02-29Acuson CorporationMethod and system for ultrasound enhanced-resolution spectral Doppler
WO1999032035A1 (en)*1997-12-221999-07-01Klaus VammenA method and an apparatus for investigating material properties of bone using ultrasound
WO1999034638A1 (en)1997-12-231999-07-08Nokia Networks OyClock generating method and apparatus for an asynchronous transmission
JP4713921B2 (en)*2005-04-152011-06-29株式会社東芝 Ultrasonic diagnostic apparatus and ultrasonic signal processing program
DE102005024102A1 (en)2005-05-252006-11-30Atotech Deutschland Gmbh Method, clamp and device for transporting a material to be treated in an electrolysis plant
CA2760691A1 (en)*2009-05-012010-11-04Visualsonics Inc.System for photoacoustic imaging and related methods
FR2949965B1 (en)*2009-09-172012-09-28Echosens PROCESS FOR MEASURING AT LEAST ONE PROPERTY OF BIOLOGICAL TISSUE
US8409102B2 (en)*2010-08-312013-04-02General Electric CompanyMulti-focus ultrasound system and method
WO2015034156A1 (en)*2013-09-032015-03-12Samsung Electronics Co., Ltd.Methods and apparatuses for controlling ultrasound wave
US10338036B2 (en)*2014-05-012019-07-02TecScan Systems Inc.Method and apparatus for scanning a test object and correcting for gain
CA2972274C (en)*2015-01-142022-12-06Qi2 Elements, LlcAutomatic transducer operating parameter selection
JP6635766B2 (en)*2015-11-262020-01-29キヤノンメディカルシステムズ株式会社 Ultrasound diagnostic apparatus, signal processing apparatus, and analysis program
US11166699B2 (en)2017-03-282021-11-09Siemens Medical Solutions Usa, Inc.Diffraction correction for attenuation estimation in medical diagnostic ultrasound
US11717967B2 (en)2021-03-042023-08-08TecScan Systems Inc.System and method for scanning an object using an array of ultrasonic transducers

Family Cites Families (5)

* Cited by examiner, † Cited by third party
Publication numberPriority datePublication dateAssigneeTitle
US3346067A (en)*1966-03-161967-10-10Bell Telephone Labor IncSystem for determining acoustic reflection coefficients
GB1534366A (en)*1976-07-231978-12-06Emi LtdSignal processing arrangements
US4138999A (en)*1976-10-291979-02-13Thomas D. EckhartAnatomy testing and measuring device
US4202215A (en)*1978-10-261980-05-13Kurt Orban Company, Inc.Sonic pulse-echo method and apparatus for determining attenuation coefficients
DE2853170A1 (en)*1978-12-081980-06-19Deutsch Pruef MessgeraeteUltrasonic technique for metrology - using peak value sensors responding to test piece end surfaces to operate flip=flop, gate element and counter

Also Published As

Publication numberPublication date
IL65919A (en)1987-10-30
CA1165856A (en)1984-04-17
EP0066343A1 (en)1982-12-08
DE3261928D1 (en)1985-02-28
ES8306586A1 (en)1983-06-01
BR8203154A (en)1983-05-17
EP0066343B2 (en)1987-02-04
AU550209B2 (en)1986-03-06
ES512616A0 (en)1983-06-01
ES8403019A1 (en)1984-03-01
JPH0136903B2 (en)1989-08-03
AU8428982A (en)1982-12-09
ES519439A0 (en)1984-03-01
JPS5824824A (en)1983-02-14
US4389893A (en)1983-06-28

Similar Documents

PublicationPublication DateTitle
EP0066343B1 (en)Method and apparatus for measuring ultrasonic attenuation characteristics
EP0064399B1 (en)Ultrasonic measuring method
AU689570B2 (en)Method and device for estimating and characterising bone properties
US4075883A (en)Ultrasonic fan beam scanner for computerized time-of-flight tomography
EP0146707B1 (en)Ultrasonic measurement method, and apparatus therefor
EP0154869B1 (en)Ultrasonic measurement apparatus
EP0123427B1 (en)Ultrasonic medium characterization
EP0139235B1 (en)Ultrasonic measurement method and apparatus therefor
EP0008517A1 (en)Duplex ultrasonic imaging system with repetitive excitation of common transducer in Doppler modality
US20110063950A1 (en)Vibration generation and detection in shear wave dispersion ultrasound vibrometry with large background motions
US5247937A (en)Transaxial compression technique for sound velocity estimation
Zagzebski et al.Quantitative backscatter imaging
Boote et al.Backscatter coefficient imaging using a clinical scanner
US4938225A (en)Ultrasonic echograph utilizing at least one piezoelectric transducer with an associated random phase screen, and method of scanning an object by means of such an echograph
US4475396A (en)Method of determining ultrasonic attenuation of tissue using reflective tomographic reconstruction
EP0092191A2 (en)Method and means for determining ultrasonic wave attenuation in tissue
US4475395A (en)Method for recognizing different frequency dependent scatter mechanisms in non-homogeneous tissues
JPH0525493B2 (en)
JPH0713630B2 (en) Method and apparatus for inspecting object by ultrasonic echography
CA1075354A (en)Multiple line of sight ultrasonic apparatus
Peters et al.Estimation of local attenuation from multiple views using compensated video signals
JPS6029137A (en) Ultrasound diagnostic equipment
Green et al.Reflex transmission imaging
JPS61154546A (en)Ultrasonic diagnostic apparatus
Gärtner et al.A soundfield correction method by means of reference phantoms in the investigation of acoustical attenuation and backscattering of human tissue

Legal Events

DateCodeTitleDescription
PUAIPublic reference made under article 153(3) epc to a published international application that has entered the european phase

Free format text:ORIGINAL CODE: 0009012

17PRequest for examination filed

Effective date:19820527

AKDesignated contracting states

Designated state(s):BE DE FR GB SE

GRAA(expected) grant

Free format text:ORIGINAL CODE: 0009210

AKDesignated contracting states

Designated state(s):BE DE FR GB SE

REFCorresponds to:

Ref document number:3261928

Country of ref document:DE

Date of ref document:19850228

ETFr: translation filed
PLBIOpposition filed

Free format text:ORIGINAL CODE: 0009260

26Opposition filed

Opponent name:SIEMENS AKTIENGESELLSCHAFT, BERLIN UND MUENCHEN

Effective date:19851015

PUAHPatent maintained in amended form

Free format text:ORIGINAL CODE: 0009272

STAAInformation on the status of an ep patent application or granted ep patent

Free format text:STATUS: PATENT MAINTAINED AS AMENDED

27APatent maintained in amended form

Effective date:19870204

AKDesignated contracting states

Kind code of ref document:B2

Designated state(s):BE DE FR GB SE

ET3Fr: translation filed ** decision concerning opposition
PG25Lapsed in a contracting state [announced via postgrant information from national office to epo]

Ref country code:SE

Effective date:19880528

BEREBe: lapsed

Owner name:NORTH AMERICAN PHILIPS CORP.

Effective date:19880531

PG25Lapsed in a contracting state [announced via postgrant information from national office to epo]

Ref country code:BE

Effective date:19890531

PGFPAnnual fee paid to national office [announced via postgrant information from national office to epo]

Ref country code:GB

Payment date:19940503

Year of fee payment:13

PGFPAnnual fee paid to national office [announced via postgrant information from national office to epo]

Ref country code:FR

Payment date:19940526

Year of fee payment:13

REGReference to a national code

Ref country code:FR

Ref legal event code:CD

PGFPAnnual fee paid to national office [announced via postgrant information from national office to epo]

Ref country code:DE

Payment date:19940726

Year of fee payment:13

EUGSe: european patent has lapsed

Ref document number:82200647.4

Effective date:19890510

PG25Lapsed in a contracting state [announced via postgrant information from national office to epo]

Ref country code:GB

Effective date:19950527

GBPCGb: european patent ceased through non-payment of renewal fee

Effective date:19950527

PG25Lapsed in a contracting state [announced via postgrant information from national office to epo]

Ref country code:DE

Effective date:19960201

PG25Lapsed in a contracting state [announced via postgrant information from national office to epo]

Ref country code:FR

Effective date:19960229

REGReference to a national code

Ref country code:FR

Ref legal event code:ST

REGReference to a national code

Ref country code:FR

Ref legal event code:ST


[8]ページ先頭

©2009-2025 Movatter.jp