

Technisches GebietTechnical area
Die Erfindung bezieht sich auf ein Verfahren zur Rollwinkel- und Nickwinkelfehlerkompensation bei einer Geländehöhenmessung mittels eines LiDAR-Sensorsystems.The invention relates to a method for roll angle and pitch angle error compensation in a terrain height measurement using a LiDAR sensor system.
Stand der TechnikState of the art
Zur Messung des Höhenprofils, insbesondere der Umgebung eines Fahrzeugs, ist eine genaue Erfassung desselben erforderlich. Mithilfe beispielsweise eines LiDAR-Messsystems werden zum Beispiel Neigungsmodellwerte eines Kalman-Filters korrigiert. Eine extrinsische Kalibrierung zwischen dem LiDAR-Messsystem und einer Inertialsensorik erfolgt im laufenden Betrieb im Wesentlichen auf kontinuierliche Art und Weise. Dadurch werden Zeit und Kosten für eine initiale und für regelmäßige Kalibrierungen eingespart.In order to measure the height profile, in particular the surroundings of a vehicle, an accurate recording of the same is required. With the help of a LiDAR measuring system, for example, inclination model values of a Kalman filter are corrected. An extrinsic calibration between the LiDAR measuring system and an inertial sensor system takes place essentially in a continuous manner during ongoing operation. This saves time and costs for initial and regular calibrations.
Darstellung der ErfindungPresentation of the invention
Die Erfindung offenbart ein Verfahren zur Rollwinkel - und Nickwinkelfehlerkompensation bei einer Geländehöhenmessung mit einem LiDAR-Sensorsystem mit zumindest nachfolgenden Verfahrensschritten:
Durch das erfindungsgemäße Verfahren kann in vorteilhafter Weise erreicht werden, dass eine preisgünstigere Sensorik eingesetzt werden kann, die größere Toleranzen aufweist, die durch das erfindungsgemäße Verfahren kompensiert werden können.The method according to the invention can advantageously achieve that a cheaper sensor system can be used which has larger tolerances, which can be compensated for by the method according to the invention.
In vorteilhafter Weiterbildung des erfindungsgemäß vorgeschlagenen Verfahrens wird gemäß Verfahrensschritt a) ein Prädiktionsschritt durchlaufen mit
In vorteilhafter Ausgestaltung des Verfahrens wird gemäß Verfahrensschritt b) für die Berechnung eines LiDAR-Sensormodells hr,i und eine Auswahl von LiDAR-Strahlen, welche auf einen Prüfpunkt auf einer ausgewählten horizontalen, ebenen Fläche in möglichst großer Entfernung gerichtet sind, eine Drehmatrix gemäß
In weiterer Ausgestaltung des erfindungsgemäßen Verfahrens wird gemäß Verfahrensschritt b) das LiDAR-Sensormodell hr,i(χ) eines Laserstrahls i zu dem Prüfpunkt aus Abständen r = [rx ry rz]T des Prüfpunkts in LiDAR-Koordinaten berechnet gemäß
In Weiterbildung des erfindungsgemäß vorgeschlagenen Verfahrens sind Drehwinkel und Koordinaten des LiDARs Teil eines Zustandsvektors χk|k-1 = [px py pz ϕ, θ und ψ]T und die Beobachtungsmatrix gemäß
Beim erfindungsgemäßen Verfahren erfolgt die Korrektur nach Verfahrensschritt c) gemäß
Beim vorgeschlagenen Verfahren werden in Verfahrensschritt c) ein oder mehrere Messpunkte i mit zugehörigen Größen Hr,i, zr,i und hr,i innerhalb eines Zeitschritts k berechnet.In the proposed method, in method step c), one or more measuring points i with associated variables Hr,i , zr,i and hr,i are calculated within a time step k.
In Weiterbildung des erfindungsgemäßen Verfahrens wird eine Korrektur gemäß Verfahrensschritt c) auf jeden Messpunkt i einzeln durchgeführt, gemäß
Beim erfindungsgemäß vorgeschlagenen Verfahren werden zur Korrektur gemäß Verfahrensschritt c) n Messpunkte i eines Zeitschritts k in einen Vektor zr,k = [zr,1 zr,2 ... zr,n]T, die LiDAR-Modellwerte zu einem Vektor hr,k = [hr,1 hr,2 ... hr,n]T und der Jakobimatrix Hr,k = [Hr,1 Hr,2 ... Hr,n]T und ein Messrauschen Rk = diag(R1, R2, ... Rn) gemäß
In Weiterbildung des erfindungsgemäßen Verfahrens können anstelle von Eulerwinkeln auch Quaternionen für die Berechnung gewählt werden. Beim vorgeschlagenen Verfahren kann anstelle eines LiDAR-Sensorsystems eine Tiefenkamera, insbesondere eine Stereo-Kamera oder eine Time-of-Flight(ToF)-Kamera, eingesetzt werden.In a further development of the method according to the invention, quaternions can also be selected for the calculation instead of Euler angles. In the proposed method, a depth camera, in particular a stereo camera or a time-of-flight (ToF) camera, can be used instead of a LiDAR sensor system.
Vorteile der ErfindungAdvantages of the invention
Durch das erfindungsgemäß vorgeschlagene Verfahren kann eine häufige extrinsische Kalibrierung eines LiDAR-Messsystems zur Reduktion der Neigungsfehler vermieden werden. Damit sinkt die Anzahl der erforderlichen Kalibrierungen. Durch das erfindungsgemäß vorgeschlagene Verfahren lässt sich des Weiteren eine kostengünstigere Inertialsensorik einsetzen, die größere Fehlertoleranzen aufweist, die jedoch mittels des erfindungsgemäß vorgeschlagenen Verfahrens korrigiert werden können, wobei sich der zu leistende Rechenaufwand in erträglichen Grenzen hält.The method proposed according to the invention makes it possible to avoid frequent extrinsic calibration of a LiDAR measuring system to reduce tilt errors. This reduces the number of calibrations required. The method proposed according to the invention also makes it possible to use a more cost-effective inertial sensor system which has larger error tolerances, which, however, can be corrected using the method proposed according to the invention, whereby the computing effort required is kept within tolerable limits.
Durch das erfindungsgemäß vorgeschlagene Verfahren lässt sich ein sehr viele Messwerte lieferndes LiDAR-Sensorsystem dahingehend effektiver nutzen, dass aus der Vielzahl der Messwerte einige Messwerte für eine Korrektur besser geeignet sind, andere hingegen nicht. Zum Beispiel können Messwerte mittlerer Entfernung in flacher Umgebung mit niedriger Steigung besser verwendet werden. Hingegen sind Messwerte aus zu großer Entfernung weniger geeignet, da der Signalrauschabstand aufgrund der geringen Messintensität gegenüber dem Streulicht sehr groß ausfallen kann.The method proposed according to the invention allows a LiDAR sensor system that delivers a large number of measured values to be used more effectively in such a way that, out of the large number of measured values, some measured values are better suited for correction, while others are not. For example, medium distance readings may be better used in flat, low gradient environments. On the other hand, measurements from a distance that are too far away are less suitable because the signal-to-noise ratio can be very high due to the low measurement intensity compared to the scattered light.
Durch das erfindungsgemäß vorgeschlagene Verfahren kann im Gegensatz zum merkmalbasierten SLAM-Verfahren Rechenzeit gespart werden, da eine aufwändige Merkmalextrahierung nicht notwendig ist.In contrast to the feature-based SLAM method, the method proposed according to the invention can save computing time because complex feature extraction is not necessary.
Kurze Beschreibung der ZeichnungenBrief description of the drawings
Anhand der Zeichnungen wird die Erfindung nachstehend eingehender beschrieben.The invention is described in more detail below with reference to the drawings.
Es zeigt:
Ausführungsformen der ErfindungEmbodiments of the invention
In der nachfolgenden Beschreibung der Ausführungsformen der Erfindung werden gleiche oder ähnliche Elemente mit gleichen Bezugszeichen bezeichnet, wobei auf eine wiederholte Beschreibung dieser Elemente in Einzelfällen verzichtet wird. Die Figuren stellen den Gegenstand der Erfindung nur schematisch dar.In the following description of the embodiments of the invention, the same or similar elements are referred to with the same reference numerals, with a repeated description of these elements being omitted in individual cases. The figures represent the subject matter of the invention only schematically.
Der Darstellung gemäß
Mithilfe des erfindungsgemäß vorgeschlagenen Verfahrens wird aus einer korrigierten Pose χk wird eine neue Poseninformation χk|k-1 prognostiziert. Dies erfolgt nach einem Initialisierungsschritt mit
Des Weiteren wird ein Prädiktionsschritt durchlaufen, anhand der nachfolgenden Gleichungen:
Mithilfe einer korrigierten Pose χk wird eine neue Poseninformation χk|k-1 gemäß Gleichung (1) prognostiziert und mithilfe der korrespondierenden korrigierten Kovarianz Pk wird die korrespondierende neue Kovarianz Pk|k-1 gemäß Gleichung (2) prognostiziert.Using a corrected pose χk, new pose information χk|k-1 is predicted according to equation (1) and using the corresponding corrected covariance Pk , the corresponding new covariance Pk|k-1 is predicted according to equation (2).
Aus der prognostizierten Pose χk|k-1 und einer Höhenkarte mi der Umgebung des LiDAR-Sensorsystems 20 lassen sich LiDAR-Messwerte hr,i schätzen. Für die Berechnung des LiDAR-Sensormodells hr,i und für die Auswahl der LiDAR-Strahlen, die auf einem Prüfpunkt auf einer ausgewählten horizontal ebenen Fläche in möglichst großer Entfernung gerichtet sind, wird zunächst die Drehmatrix anhand nachfolgender Gleichung
Mithilfe der Differenz zwischen den geschätzten LiDAR-Messwerten hr,i und gemessenen oder interpolierten LiDAR-Messwerten zr,i wird die prognostizierte Pose χk|k-1 korrigiert, was mittels der Gleichungen
Häufig kann die Position des LiDAR-Sensorsystems 20 mit GPS und anderen Einrichtungen sehr genau bestimmt werden, während eine Ausrichtung des LiDAR-Sensorsystems 20 häufig nicht derart genau bestimmt werden kann und demzufolge die ungewisse Ausrichtung den größten Fehler bei der Höhenkartenberechnung beisteuert. Aus diesem Grund werden mit der Korrektur gemäß dem erfindungsgemäß vorgeschlagenen Verfahren vor allem Ausrichtungsfehler des LiDAR-Sensorsystems 20 erheblich reduziert. In der Regel soll mittels des LiDAR-Sensorsystems 20 ein Gelände mit niedrigen Steigungswerten vermessen werden. Aus diesem Grund führen fehlerhafte Gierwinkel zu deutlich kleineren Höhenfehlern verglichen mit fehlerhaften Rollwinkeln und Nickwinkeln. Mittels des erfindungsgemäß vorgeschlagenen Verfahrens werden daher vor allem die Fehler aus Rollwinkeln und Nickwinkeln erheblich herabgesetzt.Often the position of the
Ein LiDAR-Sensorsystem 20 kann bei seinem Einsatz beispielsweise in Fahrzeugen 10 sehr viele Messwerte liefern, wobei einige Messwerte für die Korrektur besser, schlechter oder gar nicht geeignet sind. Zum Beispiel sind Messwerte in mittlerer Entfernung in flacher Umgebung mit niedriger Steigung besser geeignet. Messwerte, die aus großen Entfernungen herrühren, sind hingegen weniger geeignet, da der Signal-Rausch-Abstand aufgrund der geringen Messintensität gegenüber dem Streulicht sehr groß werden kann. Auch Sonnenlicht, Staub, Regen und Nebel haben auf größere Entfernungen gesehen ein erheblich größeres Störpotential. Messwerte aus zu nahen Entfernungen werden hingegen nur gering von fehlerhaften Neigungswerten beeinflusst, sofern das LiDAR-Sensorsystem 20 annähernd senkrecht auf den Boden trifft. Vom LiDAR-Sensorsystem 20 ausgesandte LiDAR-Strahlen, die auf Teile des eigenen Fahrzeugs 10 treffen, sind nicht geeignet.When used in
Des Weiteren hat sich herausgestellt, dass die Korrektur der sehr vielen Messwerte, die ein LiDAR-Sensorsystem 20 zu liefern imstande ist, sehr rechenintensiv sein kann. Darum kann es von Vorteil sein, zur Begrenzung der Rechenintensität und der Rechenzeit nur einen Teil der Messwerte zur Korrektur heranzuziehen. Es kann des Weiteren günstig sein, mindestens zwei Messwerte heranzuziehen, wobei sich deren Richtung und deren um plus/minus 180° gedrehte Richtungen möglichst stark unterscheiden, d. h. entgegengesetzt zueinander verlaufen. Für zwei Messwerte ist eine Unterscheidung von 90°, zum Beispiel Norden und Osten, und für drei Messwerte ist eine Unterscheidung von 60°, zum Beispiel West-Nord-West, Norden und Ost-Nord-Ost, hingegen optimal.Furthermore, it has been found that correcting the large number of measured values that a
Die Rollwinkelfehler sowie die Nickwinkelfehler wirken sich vor allem auf Messungen mit großer Entfernung aus. Aus diesem Grunde wird es bevorzugt, vor allem Messpunkte zur Korrektur heranzuziehen, die sehr weit vom LiDAR-Sensorsystem 20 entfernt angeordnet sind. Die Reichweite des LiDAR-Sensorsystems 20 kann durch die Lichtleistung eines LiDAR-Sensors, durch die Empfindlichkeit, durch Umwelteinflüsse wie Sonnenlicht, Staub, Regen oder Nebel, begrenzt sein. In diesem Falle werden Messpunkte herangezogen, die noch auf zuverlässige Weise in großer Entfernung erfasst werden können.The roll angle errors and the pitch angle errors primarily affect measurements at large distances. For this reason, it is preferred to use measurement points for correction that are located very far away from the
Weist das Gelände um den Messpunkt herum keine Steigung auf, dann hat auch ein Gierwinkelfehler wenig bis keinen Einfluss auf die Korrektur der Rollwinkelfehler sowie der Nickwinkelfehler; die Korrekturkann besonders gut durchgeführt werden. Aus diesem Grunde werden Messpunkte für die Korrektur bevorzugt, die von Messpunkten mit gleicher Höhe umgeben sind. Zu den umgebenden Messpunkten werden alle Punkte gezählt, die durch den berechneten Gierwinkelfehler im Intervall von +/- einer Standardabweichung fälschlicherweise gemessen werden.If the terrain around the measuring point has no slope, then a yaw angle error has little to no influence on the correction of the roll angle errors and the pitch angle errors; the correction can be carried out particularly well. For this reason, measurement points that are surrounded by measurement points of the same height are preferred for correction. The surrounding measurement points include all points that are incorrectly measured due to the calculated yaw angle error in the interval of +/- one standard deviation.
Das erfindungsgemäß vorgeschlagene Verfahren zur Kompensation von Gier- und Nickwinkelfehlern wird bevorzugt in einem Kalman-Filter durchgeführt. Die Durchführung des Verfahrens wird im Wesentlichen anhand der nachfolgenden Gleichungssysteme beschrieben:
Die Berechnung erfolgt mittels Rollwinkel ϕ, Nickwinkel θ und Gierwinkel ip des LiDAR-Sensorsystems 20 bezüglich eines Weltkoordinatensystems. Dadurch lassen sich die Abstände rx, ry und rz des jeweiligen Prüfpunkts in LiDAR-Koordinaten aus den Koordinaten des Prüfpunkts mi = [mx my mz]T in Weltkoordinaten und den Koordinaten des LiDARs pi = [px py pz]T in Weltkoordinaten berechnen. Dabei können die Drehwinkel und Koordinaten des LiDARs Teil des Zustandsvektors χk|k-1 = [px py pz ϕ, θ und ψ]T sein:
Das LiDAR-Sensormodell hr,i (χ) des Laserstrahls i zu dem ausgebildeten Prüfpunkt berechnet sich aus den Abständen r = [rx ry rz]T des Prüfpunkts in LiDAR-Koordinaten gemäß der Gleichung
Die Beobachtungsmatrix Hr,i (χ) berechnet sich aus dem LiDAR-Sensormodell hr,i (χ) durch die partielle Ableitung mit dem Zustandsvektor x = [px py pz ϕ, θ und ψ]T zu
Für die Auswahl der LiDAR-Messpunkte, die zum Prüfpunkt i passen, werden zunächst die Azimutwinkel θi zu
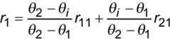
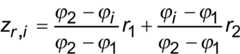
Die gemessenen Abstände der umliegenden gemessenen LiDAR-Abstände r11(θ1, φ1), r21(θ2, φ1), r12(θ1, φ2), r22 (θ2, φ2) θi um θi und φi herum können herangezogen werden, um den Abstand ri per zweidimensional erfolgender linearer Interpolation zu berechnen gemäß den nachfolgenden Beziehungen.
Die jeweiligen Größen r1 und r2 gemäß den Gleichungen (15) und (16) stellen dabei Zwischengrößen dar, die zur besseren Veranschaulichung herangezogen werden können. Der Korrekturschritt der Kalman-Filterberechnungen kann analog zu den Rechenschritten gemäß den Gleichungen (6) bis (8) gemäß den nachfolgenden Beziehungen berechnet werden:
Es werden ein oder mehrere Messpunkte i mit den zugehörigen Größen Hr,i, zr,i und hr,i wie zuvor beschrieben innerhalb eines Zeitschritts k berechnet. Die Korrektur kann für jeden der Messpunkte i einzeln durchgeführt werden, wobei die Gleichungen
Insbesondere bei einer sich ergebenden großen Anzahl von Systemzuständen lässt sich durch das Zusammenfassen mehrerer Messpunkte i und einer gemeinsamen Korrektur der Kovarianzmatrix Pk Rechenzeit einsparen. Werden sehr viele Messpunkte i zur Korrektur eingesetzt, dann kann es auch günstig sein, einen Informationsfilter zur Prädiktion und Korrektur der entsprechenden Messwerte einzusetzen. Der Informationsfilter weist genauso wie ein in Rede stehender Kalman-Filter einen Prädiktionsschritt und einen Korrekturschritt auf, nutzt allerdings für die Berechnung eine invertierte Kovarianzmatrix. Dadurch ist zwar die Prädiktion rechenintensiver, jedoch kann erheblich Rechenzeit gespart werden, wenn sehr viele Messwerte für die Korrektur herangezogen werden sollten.Particularly when there is a large number of system states, computing time can be saved by combining several measurement points i and a joint correction of the covariance matrix Pk . If a large number of measuring points i are used for correction, then it can also be beneficial to use an information filter to predict and correct the corresponding measured values. The information filter, like a Kalman filter in question, has a prediction step and a correction step, but uses an inverted covariance matrix for the calculation. This means that the prediction is more computationally intensive, but considerable computing time can be saved if a large number of measured values are to be used for the correction.
Vorstehend ist das erfindungsgemäß vorgeschlagene Verfahren anhand des Einsatzes eines LiDAR-Sensorsystems 20 dargestellt. Anstelle eines LiDAR-Sensors oder eines LiDAR-Sensorsystems 20 könnte auch eine Tiefenkamera, so zum Beispiel eine Stereo-Kamera oder eine Time-of-Flight(ToF)-Kamera, eingesetzt werden. Des Weiteren ist anzumerken, dass alternativ zur beschriebenen Berechnung unter Einsatz der Eulerwinkel ϕ, θ und ip auch Quaternionen für die Berechnung eingesetzt werden könnten.The method proposed according to the invention is shown above using a
Die Erfindung ist nicht auf die hier beschriebenen Ausführungsbeispiele und die darin hervorgehobenen Aspekte beschränkt. Vielmehr ist innerhalb des durch die Ansprüche angegebenen Bereichs eine Vielzahl von Abwandlungen möglich, die im Rahmen fachmännischen Handelns liegen.The invention is not limited to the exemplary embodiments described here and the aspects highlighted therein. Rather, within the range specified by the claims, a large number of modifications are possible, which are within the scope of professional action.
ZITATE ENTHALTEN IN DER BESCHREIBUNGQUOTES INCLUDED IN THE DESCRIPTION
Diese Liste der vom Anmelder aufgeführten Dokumente wurde automatisiert erzeugt und ist ausschließlich zur besseren Information des Lesers aufgenommen. Die Liste ist nicht Bestandteil der deutschen Patent- bzw. Gebrauchsmusteranmeldung. Das DPMA übernimmt keinerlei Haftung für etwaige Fehler oder Auslassungen.This list of documents listed by the applicant was generated automatically and is included solely for the better information of the reader. The list is not part of the German patent or utility model application. The DPMA assumes no liability for any errors or omissions.
Zitierte PatentliteraturCited patent literature
| Application Number | Priority Date | Filing Date | Title |
|---|---|---|---|
| DE102022208972.3ADE102022208972A1 (en) | 2022-08-30 | 2022-08-30 | Method for roll angle and pitch angle error compensation in a terrain height measurement with a LiDAR sensor system |
| Application Number | Priority Date | Filing Date | Title |
|---|---|---|---|
| DE102022208972.3ADE102022208972A1 (en) | 2022-08-30 | 2022-08-30 | Method for roll angle and pitch angle error compensation in a terrain height measurement with a LiDAR sensor system |
| Publication Number | Publication Date |
|---|---|
| DE102022208972A1true DE102022208972A1 (en) | 2024-02-29 |
| Application Number | Title | Priority Date | Filing Date |
|---|---|---|---|
| DE102022208972.3APendingDE102022208972A1 (en) | 2022-08-30 | 2022-08-30 | Method for roll angle and pitch angle error compensation in a terrain height measurement with a LiDAR sensor system |
| Country | Link |
|---|---|
| DE (1) | DE102022208972A1 (en) |
| Publication number | Priority date | Publication date | Assignee | Title |
|---|---|---|---|---|
| EP2273334A1 (en)* | 2009-06-22 | 2011-01-12 | BAE Systems PLC | Terrain sensing |
| US20130041549A1 (en) | 2007-01-05 | 2013-02-14 | David R. Reeve | Optical tracking vehicle control system and method |
| US20140270744A1 (en) | 2013-03-15 | 2014-09-18 | Freefly Systems, Inc. | Method and system for correcting camera pointing angle in an actively stabilized system to compensate for translational movements |
| US20160005164A1 (en)* | 2013-02-21 | 2016-01-07 | Regents Of The University Of Minnesota | Extrinsic parameter calibration of a vision-aided inertial navigation system |
| US20170276783A1 (en)* | 2016-03-28 | 2017-09-28 | United States Of America, As Represented By The Secretary Of The Navy | Covariance Matrix Technique for Error Reduction |
| Publication number | Priority date | Publication date | Assignee | Title |
|---|---|---|---|---|
| US20130041549A1 (en) | 2007-01-05 | 2013-02-14 | David R. Reeve | Optical tracking vehicle control system and method |
| EP2273334A1 (en)* | 2009-06-22 | 2011-01-12 | BAE Systems PLC | Terrain sensing |
| US20160005164A1 (en)* | 2013-02-21 | 2016-01-07 | Regents Of The University Of Minnesota | Extrinsic parameter calibration of a vision-aided inertial navigation system |
| US20140270744A1 (en) | 2013-03-15 | 2014-09-18 | Freefly Systems, Inc. | Method and system for correcting camera pointing angle in an actively stabilized system to compensate for translational movements |
| US20170276783A1 (en)* | 2016-03-28 | 2017-09-28 | United States Of America, As Represented By The Secretary Of The Navy | Covariance Matrix Technique for Error Reduction |
| Publication | Publication Date | Title |
|---|---|---|
| DE112006002723B4 (en) | METHOD AND DEVICE FOR ASSESSING RELATIVE COORDINATES BETWEEN AT LEAST TWO PARTS OF A SYSTEM | |
| DE102007005121B4 (en) | Method and apparatus for in-vehicle calibration and orientation of object tracking systems | |
| DE112012003467B4 (en) | lane storage device | |
| DE3686213T2 (en) | NAVIGATION DEVICE. | |
| DE102009030672B3 (en) | Method for determining the geographic coordinates of pixels in SAR images | |
| DE69929525T2 (en) | METHOD AND DEVICE FOR GENERATING NAVIGATION DATA | |
| DE19962997A1 (en) | Calibrating a sensor system involves detecting sensor data as static or quasi-static objects taking into account object movement, feeding data to calibration unit for correction | |
| DE10228639A1 (en) | Long term inertial navigation method for vehicle in which two inertial navigation units are used with resulting state vectors combined to yield instantaneous vector value | |
| DE3436839A1 (en) | STEERING PROCESSOR | |
| DE112018007660T5 (en) | CALIBRATION DEVICE FOR IMAGING DEVICE, MONITORING DEVICE, WORKING MACHINE AND CALIBRATION METHOD | |
| DE102018200060B4 (en) | Method for operating a mobile work machine and mobile work machine | |
| DE69117896T2 (en) | Method and device for improving the reliability of aircraft flight data | |
| DE102019132150A1 (en) | Method for automatically calibrating an environment sensor, in particular a lidar sensor, of a vehicle on the basis of occupancy cards and computing device | |
| DE102020215420A1 (en) | Method for calibrating at least one camera | |
| DE102021121363A1 (en) | Navigation device and positioning method | |
| DE102020131130A1 (en) | lane marking detection | |
| DE102022208972A1 (en) | Method for roll angle and pitch angle error compensation in a terrain height measurement with a LiDAR sensor system | |
| DE102022208937A1 (en) | Method for pitch angle error and yaw angle error compensation in a terrain height measurement with a LiDAR sensor system | |
| DE102014117277B4 (en) | carrier system | |
| DE102021202641A1 (en) | Method for determining a state of motion of a rigid body | |
| DE102020200728A1 (en) | Reconstructing elevation information from radar data | |
| EP0207521B1 (en) | Target measurement system | |
| EP3922526B1 (en) | Determination of a roll angle or pitch angle of a mode of transport | |
| DE102019202299B4 (en) | On-line calibration and calibration setup procedures | |
| DE102021133091A1 (en) | Method for determining an alignment of a camera unit of a detection device, detection device and vehicle |
| Date | Code | Title | Description |
|---|---|---|---|
| R163 | Identified publications notified |