
Die Erfindung bezieht sich auf eine Antenne, die Signale gleichzeitig vertikal und zirkulär polarisiert in verschiedene Richtungen abstrahlen bzw. empfangen kann. Die Antenne wird beispielsweise auf einem Wasserfahrzeug verwendet.The invention relates to an antenna which can emit and receive signals in different directions simultaneously with vertical and circular polarization. The antenna is used, for example, on a watercraft.
Für bestimmte Anwendungen ist es notwendig, sowohl vertikal polarisierte Signale im Wesentlichen in horizontaler Richtung als auch zirkulär polarisierte Signale im Wesentlichen in den oberen Halbraum abstrahlen zu können. Dies ist z.B. bei maritimen Kommunikationssystemen der Fall. So wird eine Kommunikation im VHF (very high frequency, dt.: Meterwellen) bzw. UHF (ultra high frequency, dt.: Dezimeterwellen), also im Frequenzbereich zwischen 30 MHz (Megaherz) und 3000 MHz, mit horizontaler Abstrahlung verwendet. Ferner wird die Satellitenkommunikation verwendet. Hierbei wird im VHF und/oder UHF-Bereich das Signal zirkulär polarisiert in den oberen Halbraum (Richtung Himmel) abgestrahlt. Hierzu werden zwei verschiedene Antennensysteme verwendet, die jedoch entsprechend viel Platz benötigen. Platz ist jedoch auf Wasserfahrzeugen begrenzt.For certain applications it is necessary to be able to emit both vertically polarized signals essentially in the horizontal direction and circularly polarized signals essentially in the upper hemisphere. This is the case, for example, with maritime communication systems. Communication in VHF (very high frequency, dt.: meter waves) or UHF (ultra high frequency, dt.: decimeter waves), i.e. in the frequency range between 30 MHz (megahertz) and 3000 MHz, with horizontal radiation is used. Furthermore, satellite communication is used. Here, in the VHF and/or UHF range, the signal is radiated circularly polarized in the upper hemisphere (towards the sky). Two different antenna systems are used for this, which, however, require a correspondingly large amount of space. However, space is limited on watercraft.
Die Aufgabe der vorliegenden Erfindung besteht deshalb darin, ein verbessertes Konzept für die Kommunikation mittels Antennen, insbesondere der maritimen Kommunikation, zu schaffen.The object of the present invention is therefore to create an improved concept for communication by means of antennas, in particular maritime communication.
Die Aufgabe wird durch den Gegenstand der unabhängigen Patentansprüche gelöst. Weitere vorteilhafte Ausführungsformen sind der Gegenstand der abhängigen Patentansprüche.The object is solved by the subject matter of the independent patent claims. Further advantageous embodiments are the subject matter of the dependent patent claims.
Ausführungsbeispiele zeigen eine Antenne mit einem ersten und einem zweiten Strahler, die jeweils ausgebildet sind, elektromagnetische Strahlung auszusenden und/oder zu empfangen. Der erste und/oder der zweite Strahler sind beispielsweise als Rundstrahler ausgeführt. Abweichende Geometrien sind möglich, insbesondere können Teile des Rundstrahlers beispielsweise als Kegelstumpf geformt sein.Exemplary embodiments show an antenna with a first and a second radiator, which are each designed to emit and/or receive electromagnetic radiation. The first and/or the second radiator are designed, for example, as omnidirectional radiators. Different geometries are possible, in particular parts of the omnidirectional radiator can be shaped, for example, as a truncated cone.
Der erste Strahler weist N helixförmige Strahlerelemente auf, wobei N eine natürliche Zahl größer oder gleich eins ist. Ferner sind der erste und der zweite Strahler sequenziell angeordnet. D.h. in einer Draufsicht zentral von oben sind beide Strahler hintereinander angeordnet. Hierbei wird auf die typische Orientierung bei der Verwendung der Antenne im Betrieb Bezug genommen.The first radiator has N helical radiator elements, where N is a natural number greater than or equal to one. Furthermore, the first and second radiators are arranged sequentially. This means that both radiators are arranged one behind the other in a central plan view from above. Here reference is made to the typical orientation when using the antenna in operation.
Die Antenne weist einen ersten Einspeisepunkt für ein erstes Signal auf, wobei der erste Einspeisepunkt zwischen dem ersten und dem zweiten Strahler liegt. Der erste Einspeisepunkt weist einen ersten Kontakt auf, der den ersten Strahler kontaktiert und weist einen zweiten Kontakt auf, der den zweiten Strahler kontaktiert.The antenna has a first feed point for a first signal, the first feed point being between the first and second radiators. The first feed point has a first contact that contacts the first radiator and has a second contact that contacts the second radiator.
Als Einspeisepunkt wird eine Anzahl von Kontakten verstanden, in die das gleiche Signal eingespeist wird. Die Kontakte sind nicht direkt miteinander (elektrisch) verbunden, es besteht also kein Kurzschluss zwischen den Kontakten. So kann der erste Einspeisepunkt jeweils einen Kontakt aufweisen, an der das erste Signal in den ersten Strahler gespeist wird (erster Kontakt) und an der das erste Signal in den zweiten Strahler gespeist wird (zweiter Kontakt). Eine (Koaxial-) Leitung kann demnach mit dem ersten Leiter (z.B. Innenleiter) mit dem ersten Strahler verbunden sein (erster Kontakt) und der zweite Leiter (z.B. der Außenleiter) kann mit dem zweiten Strahler verbunden sein (zweiter Kontakt). Es ist aber auch möglich, den ersten Strahler mit einer ersten Leitung und den zweiten Strahler mit einer zweiten Leitung zu kontaktieren. Dann können die erste und die zweite Leitung das gleiche Signal um 180° phasenverschoben führen. D.h., der erste und der zweite Strahler werden mit einem differenziellen Signal gespeist. Das Signal ist auch dann noch das gleiche Signal, wenn das in zwei (oder mehrere) Kontakte eingespeiste Signal eine Phasenverschiebung zueinander aufweist.A feed point is understood to be a number of contacts into which the same signal is fed. The contacts are not directly (electrically) connected to each other, so there is no short circuit between the contacts. The first feed point can each have a contact at which the first signal is fed into the first radiator (first contact) and at which the first signal is fed into the second radiator (second contact). A (coaxial) line can therefore be connected to the first radiator with the first conductor (e.g. inner conductor) (first contact) and the second conductor (e.g. the outer conductor) can be connected to the second radiator (second contact). However, it is also possible to contact the first radiator with a first line and the second radiator with a second line. Then the first and the second line can carry the same signal 180° out of phase. That is, the first and second radiators are fed with a differential signal. The signal will still be the same signal even if the signal injected into two (or more) contacts is out of phase with each other.
Dass der Einspeisepunkt zwischen den Strahlern liegt bezieht sich darauf, dass der erste und der zweite Strahler das erste Signal jeweils über ihre volle Länge abstrahlen sollen. D.h., der erste und der zweite Kontakt des ersten Einspeisepunkts sind vorteilhafterweise an den sich gegenüberliegenden Stirnseiten an den Strahlern und damit zwischen den Strahlern angeordnet. Die Strahler können differentiell, also mit einem um 180° phasenverschobenen Signal, gespeist werden. Dies kann mittels eines Symmetriernetzwerks, einem sogenannten Balun, erfolgen. In diesem Fall gibt es zwei separate Leitungen, jeweils eine pro Strahler, die das differentielle Signal führen. Alternativ wird kein Balun verwendet, sondern nur eine Koaxialleitung, wobei der Innenleiter mit einem Strahler und der Außenleiter mit dem anderen Strahler des Dipols verbunden ist. Dies wird auch als „Single Ended Anregung“ bezeichnet. Allerdings können jetzt auch Ströme über die Außenseite (statt der Innenseite) des Außenleiters fließen. Diese Ströme werden als Gleichtaktströme bezeichnet, die zwar abstrahlen aber unerwünscht sind. Insoweit bietet der Balun die technisch bessere Lösung, die Verwendung nur einer Koaxialleitung die kostengünstigere Lösung.The feed point being between the radiators refers to the fact that the first and second radiators should each radiate the first signal over their full length. That is, the first and the second contact of the first feed point are advantageously arranged on the opposite end faces of the radiators and thus between the radiators. The radiators can be fed differentially, i.e. with a 180° phase-shifted signal. This can be done by means of a balancing network, a so-called balun. In this case there are two separate lines, one per radiator, carrying the differential signal. Alternatively, no balun is used but only a coaxial line, with the inner conductor being connected to one radiator and the outer conductor being connected to the other radiator of the dipole. This is also known as "single ended excitation". However, currents can now also flow via the outside (instead of the inside) of the outer conductor. These currents are referred to as common-mode currents, which radiate but are undesirable. In this respect, the balun offers the technically better solution, the use of only one coaxial line is the more cost-effective solution.
Die Antenne weist ferner einen zweiten Einspeisepunkt für ein zweites Signal auf. Der zweite Einspeisepunkt unterscheidet sich von dem ersten Einspeisepunkt. D.h. ein Kontakt, der dem ersten Einspeisepunkt zugeordnet ist, kann nicht auch dem zweiten Einspeisepunkt zugeordnet sein. Ein n-ter Kontakt des zweiten Einspeisepunkts kontaktiert ein n-tes helixförmiges Strahlerelement der N helixförmigen Strahlerelemente. n ist ein Laufindex, d.h. eine natürliche Zahl, zwischen 1 und N (n=1..N).The antenna also has a second feed point for a second signal. The second feed point differs from the first feed point. Ie a contact that is assigned to the first feed point cannot also be assigned to the second feed point. An nth contact of the second feed point contacts an nth helical radiating element of the N helical radiating elements. n is a running index, ie a natural number between 1 and N (n=1..N).
Derart ausgebildet bilden der erste und der zweite Strahler bei einer Einspeisung des ersten Signals in den ersten Einspeisepunkt einen Dipol aus, der das erste Signal vertikal polarisiert im Wesentlichen horizontal abstrahlt. Der erste Strahler bildet bei entsprechender Einspeisung des zweiten Signals in den zweiten Einspeisepunkt ferner einen Strahler aus, der das zweite Signal zirkulär polarisiert abstrahlt. Die Abstrahlung des zweiten Signals erfolgt im Wesentlichen in den oberen Halbraum, also Richtung Himmel bzw., sofern der zweite Strahler unterhalb des ersten Strahlers angeordnet ist, in Richtung des zweiten Strahlers. In ihrer räumlichen Anordnung können die Strahler aber auch vertauscht werden, so dass der zweite Strahler oberhalb des ersten Strahlers angeordnet ist. Es wird wieder auf die typische Orientierung bei der Verwendung der Antenne im Betrieb (Hauptverwendungsrichtung) Bezug genommen.When the first signal is fed into the first feed point, the first and second radiators form a dipole that emits the first signal in a vertically polarized, substantially horizontal manner. When the second signal is correspondingly fed into the second feed point, the first radiator also forms a radiator which emits the second signal in a circularly polarized manner. The emission of the second signal takes place essentially in the upper hemisphere, ie in the direction of the sky or, if the second emitter is arranged below the first emitter, in the direction of the second emitter. However, the radiators can also be interchanged in terms of their spatial arrangement, so that the second radiator is arranged above the first radiator. Reference is again made to the typical orientation when using the antenna in service (principal direction of use).
Idee ist es, mittels der geschickten Beschaltung der Antenne bzw. der entsprechend angeordneten Strahler zwei verschiedene Antennenfunktionen zu realisieren, für die sonst zwei verschiedene Antennen eingesetzt werden. So wird mittels Einspeisung eines Signals in den ersten Einspeisepunkt die Antenne als Dipol betrieben. Der erste und der zweite Strahler bilden jeweils einen Pol des Dipols. Beide Strahler strahlen das gleiche Signal zeitgleich ab. Mittels des Dipols kann ein vertikal polarisiertes Signal im Wesentlichen horizontal abgestrahlt werden. Weiterhin kann die Antenne aber auch mittels des zweiten Einspeisepunkts mit einem Signal gespeist werden. Dieses Signal wird aber nur in den ersten Strahler gespeist. Somit kann der erste Strahler unabhängig von dem ersten Signal parallel ein zweites Signal, insbesondere mit einer zirkulären Polarisation, abstrahlen bzw. empfangen.The idea is to implement two different antenna functions, for which two different antennas are otherwise used, by means of the clever wiring of the antenna or the appropriately arranged radiators. The antenna is operated as a dipole by feeding a signal into the first feed point. The first and the second radiator each form a pole of the dipole. Both radiators emit the same signal at the same time. A vertically polarized signal can be emitted essentially horizontally by means of the dipole. Furthermore, the antenna can also be fed with a signal by means of the second feed point. However, this signal is only fed into the first radiator. The first emitter can thus emit or receive a second signal, in particular with a circular polarization, in parallel, independently of the first signal.
In anderen Worten ermöglicht die Antenne in einem ersten Modus insbesondere den Empfang und die Abstrahlung von vertikal polarisierten Signalen aus bzw. in Horizontalrichtung. Ferner ermöglicht die Antenne in einem zweiten Modus insbesondere den Empfang und die Abstrahlung von zirkular polarisierten Signalen aus dem bzw. in den oberen Halbraum, z.B. für die Satellitenkommunikation. In Horizontalrichtung wie auch in den oberen Halbraum kann die Antenne beispielsweise im VHF und/oder UHF Bereich arbeiten, insbesondere in einem Frequenzband zwischen 20MHz und 350MHz, insbesondere zwischen 25 MHz und 170 MHz, beispielsweise zwischen 30 MHz und 165 MHz, für die VHF Kommunikation, zwischen 210 MHz und 520 MHz, beispielsweise zwischen 220 MHz und 512 MHz, für UHF LOS (line of sight propagation, dt.: etwa Sichtverbindungsausbreitung oder Direktwellenausbreitung) oder zwischen 230MHz und 330MHz, beispielsweise zwischen 240 MHz und 320 MHz, für UHFSatcom. Die Antenne kann zeitgleich in dem ersten und dem zweiten Modus betrieben werden. Ferner ist es auch möglich, die Antenne nur in einem der beiden Modi zu betreiben.In other words, in a first mode, the antenna enables in particular the reception and emission of vertically polarized signals from or in the horizontal direction. Furthermore, in a second mode, the antenna enables in particular the reception and transmission of circularly polarized signals from or into the upper hemisphere, e.g. for satellite communication. In the horizontal direction as well as in the upper hemisphere, the antenna can work, for example, in the VHF and/or UHF range, in particular in a frequency band between 20 MHz and 350 MHz, in particular between 25 MHz and 170 MHz, for example between 30 MHz and 165 MHz, for VHF communication , between 210 MHz and 520 MHz, for example between 220 MHz and 512 MHz, for UHF LOS (line of sight propagation) or between 230MHz and 330MHz, for example between 240 MHz and 320 MHz, for UHF Satcom. The antenna can be operated simultaneously in the first and the second mode. Furthermore, it is also possible to operate the antenna in only one of the two modes.
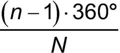
In Ausführungsbeispielen kann das zweite Signal mit einer Phasenverschiebung von (n-1) mal 360° geteilt durch N in den n-ten Kontakt eingespeist werden, um die zirkuläre Polarisation des zweiten Signals zu erzeugen.In exemplary embodiments, the second signal may be injected into the nth contact with a phase shift of (n-1) times 360° divided by N to generate the circular polarization of the second signal.
In Ausführungsbeispielen bilden die N helixförmigen Strahlerelemente eine äußere Begrenzung des ersten Strahlers. In anderen Worten ist der erste Strahler als Hohlkörper ausgebildet. Die äußere Begrenzung ist hierbei nicht als durchgehende Fläche zu verstehen, sondern weist vielmehr Öffnungen auf um die helixförmigen Strahlerelemente zu bilden.In exemplary embodiments, the N helical radiator elements form an outer boundary of the first radiator. In other words, the first radiator is designed as a hollow body. In this case, the outer boundary is not to be understood as a continuous surface, but rather has openings in order to form the helical radiator elements.
In einem Ausführungsbeispiel ist eine erste Signalleitung, die das erste Signal führt, durch einen Hohlraum innerhalb der äußeren Begrenzung des ersten Strahlers hindurchgeführt, um den ersten Einspeisepunkt zu kontaktieren. Vorteilhafterweise ist die erste Signalleitung auf der gesamten Länge des ersten Strahlers durch denselben hindurchgeführt. In einem weiteren Ausführungsbeispiel, ist eine zweite Signalleitung, die das zweite Signal führt, in den Hohlraum innerhalb der äußeren Begrenzung des ersten Strahlers hineingeführt, um den zweiten Einspeisepunkt zu kontaktieren. Die zweite Signalleitung ist beispielsweise zumindest zu einem Drittel der Länge des ersten Strahlers in denselben hineingeführt. In anderen Worten verläuft die zweite Signalleitung zumindest teilweise innerhalb des Hohlkörpers des ersten Strahlers. Entsprechend der Strecke, die die zweite Signalleitung in den ersten Strahler hineingeführt ist, sind auch die N-Kontakte des zweiten Einspeisepunkts angeordnet. Die Position des zweiten Einspeisepunkts hat ferner Einfluss auf die Impedanz des ersten Strahlers und kann somit zur Anpassung des ersten Strahlers genutzt werden. In anderen Worten kann die Position des zweiten Einspeisepunkts so gewählt werden, dass die Impedanz des zweiten Strahlers auf den Anwendungsfall der Antenne optimiert ist, z.B. zur Leitungsanpassung. Insoweit kann die Signalleitung auch weniger als zu einem Drittel in den ersten Strahler hineingeführt sein, wenn die Impedanz entsprechend gewählt werden soll. Ferner ist es auch möglich, die zweite Signalleitung durch den Hohlkörper des ersten Strahlers hindurchzuführen. Beide Ausführungsbeispiele sind kombinierbar.In one embodiment, a first signal line carrying the first signal is routed through a cavity within the perimeter of the first radiator to contact the first feed point. Advantageously, the first signal line is routed through the first radiator over the entire length of the same. In another embodiment, a second signal line carrying the second signal is routed into the cavity within the perimeter of the first radiator to contact the second feed point. The second signal line is routed into the first radiator, for example, at least to a third of the length of the latter. In other words, the second signal line runs at least partially within the hollow body of the first radiator. The N-contacts of the second feed point are also arranged in accordance with the route that the second signal line is routed into the first radiator. The position of the second feed point also influences the impedance of the first radiator and can therefore be used to adjust the first radiator. In other words, the position of the second feed point can be selected in such a way that the impedance of the second radiator is optimized for the antenna application, e.g. for line matching. In this respect, the signal line can also be routed less than a third into the first radiator if the impedance is to be chosen accordingly. Furthermore, it is also possible to route the second signal line through the hollow body of the first radiator. Both exemplary embodiments can be combined.
Somit kann die Antenne unterhalb der Strahler eine zentrale Signaleinspeisung aufweisen. Leitungen und elektronische Bauteile außerhalb der Antenne stören dann nicht die Abstrahlcharakteristik der Antenne bzw. die Störungen werden auf ein Minimum reduziert.The antenna can thus have a central signal feed underneath the radiators. Cables and electronic components outside of the antenna then do not disturb the radiation characteristics of the antenna and the interference is reduced to a minimum.
D.h. die erste Signalleitung kann beide Kontakte des ersten Einspeisepunkts kontaktieren. In diesem Fall kann die Signalleitung ein Koaxialkabel sein, dessen Innenleiter einen Kontakt des ersten Einspeisepunkts kontaktiert und dessen Außenleiter den anderen Kontakt des ersten Einspeisepunkts kontaktiert. Der erste Einspeisepunkt kann auch eine Elektronikschaltung aufweisen, die die erste Signalleitung kontaktiert. Die Elektronikschaltung kann das erste Signal verarbeiten, beispielsweise eine Impedanztransformation durchführen oder das erste Signal in zwei Signale mit 180° Phasenverschiebung aufteilen und die zwei Signale in den ersten bzw. den zweiten Kontakt des ersten Einspeisepunkts speisen. Im letztgenannten Fall kann die Elektronikschaltung zur Verarbeitung des ersten Signals ein Symmetriernetzwerk (auch als Balun bezeichnet) sein. Dieses ermöglicht die Speisung des ersten und des zweiten Strahlers symmetrisch zwischen beiden Strahlern. Das Symmetriernetzwerk kann aber auch außerhalb der Antenne, beispielsweise unterhalb der Antenne, angeordnet sein. Dann kann eine weitere erste Signalleitung durch den Hohlraum des ersten Strahlers geführt sein. Die erste Signalleitung kann einen Kontakt des ersten Einspeisepunkts kontaktieren und die weitere erste Signalleitung den anderen Kontakt des ersten Einspeisepunkts. Die Elektronikschaltung ist ausgebildet, eine Impedanztransformation auszuführen, wenn die „Single Ended Anregung“ verwendet wird. Es versteht sich, dass die Varianten der Kontaktierung des ersten Einspeisepunkts nicht abschließend ist.This means that the first signal line can contact both contacts of the first feed point. In this case, the signal line can be a coaxial cable whose inner conductor contacts one contact of the first feed point and whose outer conductor contacts the other contact of the first feed point. The first feed point can also have an electronic circuit that contacts the first signal line. The electronic circuit can process the first signal, for example carry out an impedance transformation or split the first signal into two signals with a 180° phase shift and feed the two signals into the first and the second contact of the first feed point. In the latter case, the electronic circuit for processing the first signal can be a balancing network (also referred to as a balun). This enables the first and the second radiator to be fed symmetrically between the two radiators. However, the balancing network can also be arranged outside the antenna, for example below the antenna. A further first signal line can then be routed through the cavity of the first radiator. The first signal line can contact one contact of the first feed point and the further first signal line can contact the other contact of the first feed point. The electronic circuit is designed to carry out an impedance transformation when the "single ended excitation" is used. It goes without saying that the variants of contacting the first feed point are not final.
Die zweite Signalleitung kann eine weitere Elektronikschaltung kontaktieren. Die weitere Elektronikschaltung ist optional in dem Hohlraum innerhalb der äußeren Begrenzung des ersten Strahlers angeordnet. Die weitere Elektronikschaltung kann das zweite Signal erhalten und N mal duplizieren und mit einer individuellen Phasenverschiebung versehen. Die Phasenverschiebung zwischen den duplizierten Signalen beträgt vorteilhafterweise N/360° (ausgeschrieben: N geteilt durch 360 Grad). Es ist aber auch möglich, N zweite Signalleitungen in den Hohlraum hineinzuführen, so dass jede zweite Signalleitung ein helixförmiges Strahlerelement kontaktiert.The second signal line can contact a further electronic circuit. The further electronic circuit is optionally arranged in the cavity within the perimeter of the first radiator. The further electronic circuit can receive the second signal and duplicate it N times and provide it with an individual phase shift. The phase shift between the duplicated signals is advantageously N/360° (written out: N divided by 360 degrees). However, it is also possible to introduce N second signal lines into the cavity, so that every second signal line contacts a helical emitter element.
Es versteht sich, dass die Varianten der Kontaktierung des ersten bzw. zweiten Einspeisepunkts nicht abschließend sind.It goes without saying that the variants of the contacting of the first and second feed point are not final.
In einem dritten Ausführungsbeispiel ist der zweite Einspeisepunkt in dem Hohlkörper des ersten Strahlers angeordnet. Dies ermöglicht die Entkopplung des ersten Signals von dem zweiten Signal bei der Abstrahlung beider Signale. Somit ist es möglich, beide Signale zeitgleich und unabhängige voneinander zu senden bzw. zu empfangen.In a third exemplary embodiment, the second feed point is arranged in the hollow body of the first radiator. This enables the first signal to be decoupled from the second signal when both signals are radiated. It is thus possible to send and receive both signals at the same time and independently of one another.
In Ausführungsbeispielen weisen die N-helixförmigen Strahlerelemente jeweils eine Mehrzahl von parallel geführten Leitungsbändern auf. Durch Mehrzahl (typischerweise zwei) Leitungsbänder pro Strahlerelement weist der erste Strahler zwei Resonanzfrequenzen (Doppelresonanz) auf, wodurch ein breitbandigerer Empfang und eine breitbandigere Abstrahlung im Vergleich zu einem helixförmigen Strahlerelement mit einem Leitungsbändern möglich ist. Typischerweise weisen beide Leitungsbänder eine unterschiedliche Breite auf. Das erste Leitungsband eines helixförmigen Strahlerelements ist direkt mit dem zweiten Leitungsband eines benachbarten Strahlerelements der N-helixförmigen Strahlerelemente verbunden. D.h., eine elektrische Verbindung zwischen dem ersten Leitungsband und dem zweiten Leitungsband des gleichen Strahlerelements besteht nur über das zweite Leitungsband des benachbarten Strahlerelements. Ferner ist ein Abstand zwischen dem ersten und dem zweiten Leitungsband des gleichen Strahlerelements geringer als der Abstand zwischen dem ersten und dem zweiten Leitungsband zweier benachbarter Strahlerelemente. Es sind jedoch auch andere Ausführungsformen möglich. Beispielsweise ist ein Design möglich, bei dem beide Leitungsbänder des gleichen Strahlerelements miteinander verbunden sind. Dies hat zur Folge, dass die Abstände der beiden Leitungsbänder eines Strahlerelements auch größer oder kleiner sein können, als der Abstand zum benachbarten Strahlerelement.In exemplary embodiments, the N-helical radiator elements each have a plurality of line strips routed in parallel. Due to a plurality (typically two) conduction bands per radiator element, the first radiator has two resonant frequencies (double resonance), as a result of which broadband reception and broadband emission are possible in comparison to a helical radiator element with one conduction band. Typically, the two conductor strips have different widths. The first conduction band of a helical radiating element is directly connected to the second conduction band of an adjacent radiating element of the N-helical radiating elements. That is, an electrical connection between the first line band and the second line band of the same radiating element only exists via the second line band of the adjacent radiating element. Furthermore, a distance between the first and the second line band of the same radiating element is smaller than the distance between the first and the second line band of two adjacent radiating elements. However, other embodiments are also possible. For example, a design is possible in which both line strips of the same radiating element are connected to one another. The consequence of this is that the distances between the two line strips of a radiating element can also be larger or smaller than the distance to the adjacent radiating element.
Optional sind die zweiten Leitungsbänder miteinander verbunden, um ein Strahlerelement des Dipols zu bilden. Die Verbindung kann ferner einen Kontakt des ersten Strahlers für den ersten Einspeisepunkt bilden. Dies erfolgt vorteilhafterweise an einer Stirnseite des ersten Strahlers, die dem zweiten Strahler zugewandt ist. Die ersten Leitungsbänder sind beabstandet von der Verbindung (erster Kontakt) der zweiten Leitungsbänder angeordnet und weisen elektrisch keinen direkten Kontakt zu der Verbindung der zweiten Strahlerelemente auf. Der elektrische Kontakt der ersten Leitungsbänder zu der Verbindung (erster Kontakt) der zweiten Leitungsbänder erfolgt nur über die zweiten Leitungsbänder selbst.Optionally, the second conduction bands are connected to each other to form a radiating element of the dipole. The connection can also form a contact of the first radiator for the first feed point. This is advantageously done on an end face of the first radiator that faces the second radiator. The first line strips are arranged at a distance from the connection (first contact) of the second line strips and have no direct electrical contact with the connection of the second radiating elements. The electrical contact of the first tie straps to the connection (first contact) of the second tie straps takes place only via the second tie straps themselves.
Die Entkopplung zwischen den Signalen, die mittels der ersten Leitungsbänder abgestrahlt bzw. empfangen werden, und den Signalen, die mittels der zweiten Leitungsbänder abgestrahlt bzw. empfangen werden, entsteht unter anderem durch eine Gleichtaktunterdrückung des Einspeisenetzwerks, mit dem das zweite Signal in die N Kontakte des zweiten Einspeisepunkts eingespeist wird. In anderen Worten weist das Einspeisenetzwerk der Helix einen hohen Widerstand für die Ströme auf den Strahlerelementen des Dipols auf. Insbesondere bei höheren Frequenzen trägt auch der effektive Abstand zwischen den Einspeisepunkten, also der Laufzeit, die das erste bzw. das zweite Signal benötigen, bis sie den jeweils anderen Einspeisepunkt erreichen, zur Entkopplung bei. Der effektive Abstand ist dann am größten, wenn die N-Kontakte für die Einspeisung des zweiten Signals möglichst nah an der Stirnseite angeordnet sind, an der der Einspeisepunkt für das erste Signal angeordnet ist. Weiter optional kontaktiert der n-te Kontakt des zweiten Einspeisepunkts das erste Leitungsband des n-ten helixförmigen Strahlerelements. So kann das zweite Signal in die ersten Leitungsbänder eingespeist werden und das erste Signal in die zweiten Leitungsbänder, ohne dass sich die beiden Signale gegenseitig stören. Gleiches gilt für den Empfang der Signale.The decoupling between the signals that are radiated or received by means of the first line bands and the signals that are radiated or received by means of the second line bands be caught, arises, among other things, from a common-mode rejection of the feed network with which the second signal is fed into the N contacts of the second feed point. In other words, the helix's feed network presents a high resistance to the currents on the radiating elements of the dipole. Particularly at higher frequencies, the effective distance between the feed points, ie the transit time that the first and the second signal require until they reach the other feed point, also contributes to the decoupling. The effective distance is greatest when the N-contacts for feeding in the second signal are arranged as close as possible to the end face on which the feeding point for the first signal is arranged. Further optionally, the nth contact of the second feed point contacts the first conduction band of the nth helical radiating element. The second signal can thus be fed into the first line bands and the first signal into the second line bands without the two signals interfering with one another. The same applies to receiving the signals.
Analog ist ein Verfahren zur Herstellung einer Antenne mit folgenden Schritten offenbart: Bereitstellen eines ersten und eines zweiten Strahlers, die jeweils ausgebildet sind, elektromagnetische Strahlung auszusenden und/oder zu empfangen, wobei der erste Strahler N helixförmige Strahlerelemente aufweist und wobei der erste und der zweite Strahler sequenziell angeordnet sind; Anordnen eines ersten Einspeisepunkt der Antenne für ein erstes Signal derart, dass der erste Einspeisepunkt zwischen dem ersten und dem zweiten Strahler liegt und einen ersten Kontakt aufweist, der den ersten Strahler kontaktiert und einen zweiten Kontakt aufweist, der den zweiten Strahler kontaktiert; Anordnen eines zweiten Einspeisepunkts der Antenne für ein zweites Signal derart, dass sich der zweite Einspeisepunkt von dem ersten Einspeisepunkt unterscheidet, wobei der zweite Einspeisepunkt N Kontakte aufweist, wobei ein n-ter Kontakt des zweiten Einspeisepunkts ein n tes helixförmiges Strahlerelement der N helixförmigen Strahlerelemente kontaktiert, wobei N eine natürliche Zahl größer oder gleich eins (als Formel: N≥1) ist und wobei n ein Laufindex zwischen 1 und N ist (als Formel: n=1..N).Analogously, a method for producing an antenna is disclosed with the following steps: providing a first and a second radiator, each designed to emit and/or receive electromagnetic radiation, the first radiator having N helical radiator elements and the first and second radiators are arranged sequentially; arranging a first feed point of the antenna for a first signal such that the first feed point is between the first and second radiators and has a first contact contacting the first radiator and has a second contact contacting the second radiator; Arranging a second feed point of the antenna for a second signal such that the second feed point differs from the first feed point, the second feed point having N contacts, an nth contact of the second feed point contacting an nth helical radiating element of the N helical radiating elements , where N is a natural number greater than or equal to one (as a formula: N≥1) and where n is a running index between 1 and N (as a formula: n=1..N).
Bevorzugte Ausführungsbeispiele der vorliegenden Erfindung werden nachfolgend Bezug nehmend auf die beiliegenden Zeichnungen erläutert. Es zeigen:
Bevor nachfolgend Ausführungsbeispiele der vorliegenden Erfindung im Detail anhand der Zeichnungen näher erläutert werden, wird darauf hingewiesen, dass identische, funktionsgleiche oder gleichwirkende Elemente, Objekte und/oder Strukturen in den unterschiedlichen Figuren mit den gleichen Bezugszeichen versehen sind, so dass die in unterschiedlichen Ausführungsbeispielen dargestellte Beschreibung dieser Elemente untereinander austauschbar ist bzw. aufeinander angewendet werden kann.Before exemplary embodiments of the present invention are explained in more detail below with reference to the drawings, it is pointed out that identical elements, objects and/or structures that have the same function or have the same effect are provided with the same reference symbols in the different figures, so that the elements shown in different exemplary embodiments Description of these elements is interchangeable or can be applied to each other.
Die Antenne 20 weist einen ersten Einspeisepunkt 28 auf. Der erste Einspeisepunkt 28 umfasst einen ersten Kontakt 28a und einen zweiten Kontakt 28b. Die Kontakte 28a, 28b ermöglichen eine elektrische Verbindung zwischen einer ersten Signalleitung 34 und den Strahlern 22. Pfeile 32a, 32b stellen den Signalfluss eines ersten Signals dar, wenn das erste Signal gesendet wird. In anderen Worten, aus Sicht der Hochfrequenztechnik, wird das speisende Ende einer Koaxialleitung durch eine Spannungsquelle repräsentiert. Gemäß dieser Betrachtung können die Pfeile 32a, 32b auch eine Quelle des ersten Signals symbolisieren. Die erste Signalleitung 34a kann im Inneren des ersten Strahlers 22a durch denselben hindurch verlaufen um den zweiten Strahler 22b an der Stirnseite 26b zu kontaktieren. Im Inneren des ersten Strahlers 22a wurde, aus Gründen der Übersichtlichkeit, die erste Signalleitung 34a nur angedeutet. Zwischen den Strahlern 22 ist jedoch ein Teil der ersten Signalleitung 34 dargestellt. Der Pfeil 32b deutet den Signalfluss des ersten Signals, bzw. die Quelle des ersten Signals, zum Senden desselben durch den zweiten Strahler 22b an. Weiterhin kann im Inneren des ersten Strahlers 22a eine weitere erste Signalleitung verlaufen (nicht gezeigt). Pfeil 32a deutet jedoch den Signalfluss, bzw. die Quelle, des ersten Signals zum Senden desselben durch den ersten Strahler 22a an. Der erste Kontakt 28a des ersten Einspeisepunkts 28 ist stirnseitig an dem ersten Strahler 22a ausgeführt und verbindet die (Enden der) N=4 helixförmigen Strahlerelemente 24 elektrisch miteinander. Auf der Stirnseite des ersten Strahlers 22a, die der Stirnseite 26a des ersten Strahlers 22a gegenüberliegt, können die N=4 helixförmigen Strahlerelemente 24 mittels einer elektrischen Verbindung 25 ebenfalls elektrisch miteinander verbunden sein.The
Ferner weist die Antenne 20 einen zweiten Einspeisepunkt 30 für ein zweites Signal auf. Der zweite Einspeisepunkt 30 weist N Kontakte auf, die hier aus Gründen der Übersichtlichkeit nicht dargestellt sind.Furthermore, the
In einem Ausführungsbeispiel weist die Antenne im Inneren eine zweite Signalleitung 34b (aus Gründen der Übersichtlichkeit nur andeutungsweise dargestellt) auf, die das zweite Signal führt und eine elektrische Schaltung 36 kontaktiert. Die elektrische Schaltung 36 ist überwiegend von dem vierten Strahlerelement 24d verdeckt. Die elektrische Schaltung bildet N=4 phasenverschobene Abbildungen des zweiten Signals. Bei N=4 Strahlerelementen beträgt die Phasenverschiebung vorteilhafterweise 90°. Pfeile 38a, 38b deuten den Signalfluss bzw. die Einspeisung der phasenverschobenen zweiten Signale in das zweite Strahlerelement 24b und das dritte Strahlerelement 24c an. An den Pfeilspitzen der Pfeile 38a, 38b befinden sich die genannten Kontakte des zweiten Einspeisepunkts. Die Kontaktierung des ersten Strahlerelements 24a und des vierten Strahlerelements 24d ist von dem vierten Strahlerelement 24d verdeckt.In one exemplary embodiment, the antenna has a
Der zweite Einspeisepunkt befindet sich deutlich im Inneren des ersten Strahlers, beispielsweise etwa ein Viertel der Strahlerlänge (Entfernung zwischen den Stirnseiten des ersten Strahlers, von der Stirnseite 26a entfernt. Dies ermöglicht das gleichzeitige, unabhängige Senden bzw. Empfangen von zwei Signalen mit dem gezeigten Strahler. Hier weist der erste Strahler ein Leitungsband pro Strahlerelement auf.The second feed point is well inside the first radiator, for example about a quarter of the radiator length (distance between the faces of the first radiator, away from the
Pfeil 40 zeigt die Orientierung der Antenne an. In Hauptverwendungsrichtung zeigt der Pfeil 40 nach oben oder nach unten. D.h. der zweite Strahler 22b ist oberhalb oder unterhalb des ersten Strahlers 22a angeordnet, wenn die Antenne in Hauptverwendungsrichtung angeordnet ist.
Aus
Weiterhin sind die ersten Leitungsbänder nicht direkt mit dem ersten Kontakt 28a elektrisch verbunden, sondern weisen einen Abstand hierzu auf. Der erste Kontakt 28a verbindet jedoch die zweiten Leitungsbänder elektrisch miteinander. Somit ist es möglich, die N Kontakte des zweiten Einspeisepunkts nahezu an der Stirnseite 26a des ersten Strahlerelements anzuordnen, ohne dass sich das erste und das zweite Signal gegenseitig beeinflussen. Die Pfeile 38a, 38b sowie 32a, 32b sind entsprechend eingezeichnet. Somit bleibt die größtmögliche Freiheit zur Einstellung der Impedanz des ersten Strahlers für das zweite Signal erhalten. Ferner weist der Strahler durch die parallelen Leitungsbänder pro Strahlerelement zwei verschiedene Resonanzfrequenzen auf, so dass eine breitbandigere Abstrahlung und ein breitbandigerer Empfang im Vergleich zu dem in
Die Ausführungsbeispiele sind überwiegend bezugnehmend auf das Senden des ersten und des zweiten Signals mit der Antenne ausgelegt. Es versteht sich aber, dass die Antenne ebenso das erste und das zweige Signal empfangen kann. Der Signalfluss verläuft dann in umgekehrter Richtung.The exemplary embodiments are designed predominantly with reference to the transmission of the first and second signals with the antenna. However, it goes without saying that the antenna can also receive the first and the second signal. The signal flow then runs in the opposite direction.
Obwohl manche Aspekte im Zusammenhang mit einer Vorrichtung beschrieben wurden, versteht es sich, dass diese Aspekte auch eine Beschreibung des entsprechenden Verfahrens darstellen, sodass ein Block oder ein Bauelement einer Vorrichtung auch als ein entsprechender Verfahrensschritt oder als ein Merkmal eines Verfahrensschrittes zu verstehen ist. Analog dazu stellen Aspekte, die im Zusammenhang mit einem oder als ein Verfahrensschritt beschrieben wurden, auch eine Beschreibung eines entsprechenden Blocks oder Details oder Merkmals einer entsprechenden Vorrichtung dar.Although some aspects have been described in the context of a device, it is understood that these aspects also represent a description of the corresponding method, so that a block or a component of a device is also to be understood as a corresponding method step or as a feature of a method step. Similarly, aspects described in connection with or as a method step also constitute a description of a corresponding block or detail or feature of a corresponding device.
Die oben beschriebenen Ausführungsbeispiele stellen lediglich eine Veranschaulichung der Prinzipien der vorliegenden Erfindung dar. Es versteht sich, dass Modifikationen und Variationen der hierin beschriebenen Anordnungen und Einzelheiten anderen Fachleuten einleuchten werden. Deshalb ist beabsichtigt, dass die Erfindung lediglich durch den Schutzumfang der nachstehenden Patentansprüche und nicht durch die spezifischen Einzelheiten, die anhand der Beschreibung und der Erläuterung der Ausführungsbeispiele hierin präsentiert wurden, beschränkt sei.The embodiments described above are merely illustrative of the principles of the present invention. It is understood that modifications and variations to the arrangements and details described herein will occur to those skilled in the art. Therefore, it is intended that the invention be limited only by the scope of the following claims and not by the specific details presented in the description and explanation of the embodiments herein.
Bezugszeichenlistereference list
| Application Number | Priority Date | Filing Date | Title | 
|---|---|---|---|
| DE102020210511.1ADE102020210511A1 (en) | 2020-08-19 | 2020-08-19 | Antenna with a first and a second feed point | 
| KR1020237002453AKR102737223B1 (en) | 2020-08-19 | 2021-08-10 | Antenna with first and second feed points | 
| EP21758117.2AEP4200937A1 (en) | 2020-08-19 | 2021-08-10 | Antenna having a first and a second feed point | 
| PCT/EP2021/072320WO2022038002A1 (en) | 2020-08-19 | 2021-08-10 | Antenna having a first and a second feed point | 
| Application Number | Priority Date | Filing Date | Title | 
|---|---|---|---|
| DE102020210511.1ADE102020210511A1 (en) | 2020-08-19 | 2020-08-19 | Antenna with a first and a second feed point | 
| Publication Number | Publication Date | 
|---|---|
| DE102020210511A1true DE102020210511A1 (en) | 2022-02-24 | 
| Application Number | Title | Priority Date | Filing Date | 
|---|---|---|---|
| DE102020210511.1APendingDE102020210511A1 (en) | 2020-08-19 | 2020-08-19 | Antenna with a first and a second feed point | 
| Country | Link | 
|---|---|
| EP (1) | EP4200937A1 (en) | 
| KR (1) | KR102737223B1 (en) | 
| DE (1) | DE102020210511A1 (en) | 
| WO (1) | WO2022038002A1 (en) | 
| Publication number | Priority date | Publication date | Assignee | Title | 
|---|---|---|---|---|
| US3852759A (en) | 1960-04-01 | 1974-12-03 | Itt | Broadband tunable antenna | 
| Publication number | Priority date | Publication date | Assignee | Title | 
|---|---|---|---|---|
| KR100458310B1 (en)* | 1996-03-29 | 2005-04-21 | 사란텔 리미티드 | Wireless communication device | 
| US6289225B1 (en)* | 1998-08-17 | 2001-09-11 | Ericsson Inc. | Retractable and pivotable multiple frequency band antenna | 
| GB9828768D0 (en)* | 1998-12-29 | 1999-02-17 | Symmetricom Inc | An antenna | 
| US6483471B1 (en)* | 2001-06-06 | 2002-11-19 | Xm Satellite Radio, Inc. | Combination linearly polarized and quadrifilar antenna | 
| US6720935B2 (en)* | 2002-07-12 | 2004-04-13 | The Mitre Corporation | Single and dual-band patch/helix antenna arrays | 
| Publication number | Priority date | Publication date | Assignee | Title | 
|---|---|---|---|---|
| US3852759A (en) | 1960-04-01 | 1974-12-03 | Itt | Broadband tunable antenna | 
| Publication number | Publication date | 
|---|---|
| KR20230025479A (en) | 2023-02-21 | 
| EP4200937A1 (en) | 2023-06-28 | 
| WO2022038002A1 (en) | 2022-02-24 | 
| KR102737223B1 (en) | 2024-12-02 | 
| Publication | Publication Date | Title | 
|---|---|---|
| DE60006132T2 (en) | APERTURE COUPLED SLOT RADIATOR GROUP ANTENNA | |
| DE69512831T2 (en) | antenna | |
| DE60009874T2 (en) | V-slot antenna for circular polarization | |
| DE69920084T2 (en) | Antenna arrangement and radio with such an antenna | |
| DE10247543B4 (en) | loop antenna | |
| DE69604583T2 (en) | PRINTED MULTI-BAND MONOPOLAR ANTENNA | |
| EP2256864B1 (en) | Antenna for circular polarisation with a conductive base | |
| DE69016746T2 (en) | Helical resonance antenna, consisting of four spiral conductors one above the other. | |
| DE69930407T2 (en) | ANTENNA | |
| DE69121352T2 (en) | Device for feeding a radiation element for two orthogonal polarizations | |
| DE69617947T2 (en) | PRINTED MULTI-BAND MONOPOLAN ANTENNA | |
| DE69936903T2 (en) | Antenna for two frequencies for radio communication in the form of a microstrip antenna | |
| DE60035003T2 (en) | Dual polarized printed antenna and corresponding array antenna | |
| EP2664025B1 (en) | Multiband reception antenna for the combined reception of satellite signals and terrestrially emitted radio signals | |
| DE69707845T2 (en) | COOLING ANTENNA WITH INTEGRATED BROADBAND POWER AND METHOD FOR THE PRODUCTION THEREOF | |
| DE102014220107A1 (en) | ANTENNA SYSTEM AND ANTENNA UNIT | |
| DE1002828B (en) | Directional coupler in the microwave range for asymmetrical ribbon cables | |
| DE10304911A1 (en) | Combination antenna arrangement for several radio services for vehicles | |
| DE112019000636T5 (en) | Antenna device, window glass for a vehicle, and window glass structure | |
| DE102016204868A1 (en) | antenna device | |
| DE19512003B4 (en) | Antenna for the emission and / or reception of electromagnetic signals, in particular ultra-high frequencies, and apparatus using such an antenna | |
| DE102012207954B4 (en) | Antenna device | |
| DE102004045707A1 (en) | antenna | |
| DE102007055327A1 (en) | External multi-band radio antenna module | |
| DE102020210511A1 (en) | Antenna with a first and a second feed point | 
| Date | Code | Title | Description | 
|---|---|---|---|
| R012 | Request for examination validly filed | ||
| R081 | Change of applicant/patentee | Owner name:TKMS HAGENUK MARINEKOMMUNIKATION GMBH, DE Free format text:FORMER OWNERS: HAGENUK MARINEKOMMUNIKATION GMBH, 24220 FLINTBEK, DE; THYSSENKRUPP AG, 45143 ESSEN, DE Owner name:THYSSENKRUPP AG, DE Free format text:FORMER OWNERS: HAGENUK MARINEKOMMUNIKATION GMBH, 24220 FLINTBEK, DE; THYSSENKRUPP AG, 45143 ESSEN, DE |