




Die Erfindung betrifft ein Verfahren zum Betreiben eines wenigstens teilweise automatisierten Fahrzeugs und insbesondere das Ermitteln einer von dem Fahrzeug zu fahrenden Trajektorie, ohne mit anderen Objekten in der Umgebung des Fahrzeugs zu kollidieren. Objekte, die sich in der Umgebung des Fahrzeugs befinden, werden im Rahmen der folgenden Beschreibung auch als Hindernisse oder Hindernisfahrzeuge bezeichnet. Der Begriff Hindernis erfasst alle Verkehrsteilnehmer, die im Allgemeinen beweglich sind, z.B. auch momentan an einer Ampel stehende Fußgänger. Das Fahrzeug, für welches die zu fahrende Trajektorie ermittelt wird, ist hier auch als Egofahrzeug bezeichnet. Die Begriffe Umgebungsmodell und Umfeldmodell werden synonym gebraucht.The invention relates to a method for operating an at least partially automated vehicle and, in particular, to ascertaining a trajectory to be driven by the vehicle without colliding with other objects in the surroundings of the vehicle. Objects that are in the vicinity of the vehicle are also referred to as obstacles or obstacle vehicles in the context of the following description. The term obstacle covers all road users who are generally mobile, e.g. also pedestrians currently standing at traffic lights. The vehicle for which the trajectory to be driven is determined is also referred to here as a first-person vehicle. The terms environment model and environment model are used synonymously.
In der Architektur moderner automatisierter Fahrzeuge spielen die Aufgaben Wahrnehmung, Planung und Steuerung eine wichtige Rolle. Komfortables und sicheres Fahren setzt Wissen über das umgebende Umfeld voraus. Ausgehend von dem Wissen über Umfeld des Fahrzeugs, also der derzeitigen Fahrsituation ist eine Trajektorie zu planen, entlang der das Fahrzeug automatisiert fahren kann. Bekannte Trajektorienplanungsverfahren können die Nachteile haben, dass es ihnen an einer Garantie für eine vollständige Lösung in einer Echtzeitanwendungen mangelt und mit ansteigender Komplexität der Rechenzeitbedarf unangemessen ansteigt.The tasks of perception, planning and control play an important role in the architecture of modern automated vehicles. Comfortable and safe driving requires knowledge of the surrounding environment. Based on the knowledge of the vehicle's surroundings, i.e. the current driving situation, a trajectory must be planned along which the vehicle can drive automatically. Known trajectory planning methods can have the disadvantages that they lack a guarantee of a complete solution in real-time applications and increase inappropriately with increasing complexity of the computing time requirement.
Es ist Aufgabe der Erfindung, die Nachteile des Standes der Technik zu überwinden.The object of the invention is to overcome the disadvantages of the prior art.
Gemäß dem erfindungsgemäßen Verfahren zum Betrieb eines zumindest teilautomatisierten Fahrzeugs wird aus Umfeldsensordaten wenigstens ein Objekt in der Umgebung des Fahrzeugs erkannt und ein Umgebungsmodell des Fahrzeugs erstellt. Dabei werden für das erkannte Objekt eine Objektposition und wenigstens ein Objektbewegungsmerkmal ermittelt und in das Umgebungsmodell übertragen. Mittels eines Optimierungsverfahrens wird eine Trajektorie für das Fahrzeug aus dem Umgebungsmodell berechnet und das Fahrzeug wird gemäß der berechneten Trajektorie angesteuert. Das Fahrzeug kann zum Bremsen, Beschleunigen und Lenken angesteuert werden.According to the inventive method for operating an at least partially automated vehicle, at least one object in the surroundings of the vehicle is recognized from environment sensor data and an environment model of the vehicle is created. In this case, an object position and at least one object movement feature are determined for the recognized object and transferred to the environmental model. Using an optimization method, a trajectory for the vehicle is calculated from the environmental model and the vehicle is controlled in accordance with the calculated trajectory. The vehicle can be controlled for braking, accelerating and steering.
Insbesondere wird die Trajektorie basierend auf Informationen berechnet, die durch Sensordaten wahrgenommen wird. Die Information, die durch Sensordaten wahrgenommen wird, wird an ein Planungsmodul übertragen. Dies wird dadurch erreicht, dass die Information, die durch Sensordaten wahrgenommen wird, in ein Umfeldmodell transformiert wird, welches fusionierte Informationen über die Straßengeometrie und Hindernisse, wie Fußgänger oder andere Fahrzeuge, enthält.In particular, the trajectory is calculated based on information that is perceived by sensor data. The information that is perceived by sensor data is transmitted to a planning module. This is achieved by transforming the information that is perceived by sensor data into an environment model that contains merged information about the road geometry and obstacles, such as pedestrians or other vehicles.
Die Umfeldsensordaten werden von einem Umfeldsensor oder durch Fusion der Daten mehrerer Umfeldsensoren, wie einer Kamera, einem Radar, einem Lidar und/oder einer Ultraschallsensorik, bereitgestellt und von einem Objekterkennungsmodul verarbeitet, das Objekte, deren Position relativ zum Fahrzeug und Objektbewegungsmerkmale, wie Geschwindigkeit und Bewegungsrichtung ermittelt. Insbesondere ist das Umfeldmodell ein Potentialfeld, vorzugsweise ein Kostenpotentialfeld, in dem für befahrbare Bereiche niedrige Kosten angegeben sind und für Bereich, die nicht befahren werden sollen, höhere Kosten. Insbesondere wird jedes ermittelte Objekt durch Verarbeitung des wenigstens einen Objektbewegungsmerkmals nach einem vordefinierten Regelsatz in das Umfeldmodell transformiert. Insbesondere wird eine Zielposition des Fahrzeugs von einem anderen Modul, wie ein Navigationsmodul, vorgegeben und in das Umfeldmodell transformiert. Dabei und für die Optimierung wird vorzugsweise das aus „Spline-based motion planning for automated driving,“ von C. Götte, M. Keller, T. Nattermann, C. Haß, K.-H. Glander, T. Bertram in Proceedings of the 20th IFAC World Congress, 2017, pp. 9444-9449, bekannte Verfahren angewandt.The environment sensor data are provided by an environment sensor or by fusion of the data of several environment sensors, such as a camera, a radar, a lidar and / or an ultrasound sensor system, and processed by an object detection module that detects objects, their position relative to the vehicle and object movement characteristics such as speed and Direction of movement determined. In particular, the environment model is a potential field, preferably a cost potential field, in which low costs are specified for passable areas and higher costs for areas that are not to be driven on. In particular, each determined object is transformed into the environment model by processing the at least one object movement feature according to a predefined rule set. In particular, a target position of the vehicle is specified by another module, such as a navigation module, and transformed into the environment model. In doing so and for the optimization, the "Spline-based motion planning for automated driving," by C. Götte, M. Keller, T. Nattermann, C. Haß, K.-H. Glander, T. Bertram in Proceedings of the 20th IFAC World Congress, 2017, pp. 9444-9449, known methods used.
Die Berechnung der Trajektorie erfolgt in einem Egotrajektorienberechnungsmodul, das vorzugsweise auf einem Fahrzeugcomputer implementiert ist. Der Fahrzeugcomputer umfasst wenigstens einen Prozessor, der insbesondere mehrere Prozessorkerne aufweist, Speicher und Kommunikationsschnittstellen, wie Ethernet, CAN oder Flexray.The calculation of the trajectory takes place in an egotrajectory calculation module, which is preferably implemented on a vehicle computer. The vehicle computer comprises at least one processor, which in particular has a plurality of processor cores, memory and communication interfaces, such as Ethernet, CAN or Flexray.
Vorzugsweise wird die Trajektorie für einen vorbestimmten Prädiktionszeitraum, auch Prädiktionshorizont genannt, berechnet. Das erfindungsgemäßen Verfahren benötigt auch bei langem Prädiktionshorizont nur eine geringe Rechenzeit für die Ermittlung einer Trajektorie und erfasst dabei alle notwendigen Informationen hinsichtlich der erfassten Objekte. Insbesondere wird für jeden Zeitschritt des Prädiktionshorizonts, eine veränderte Position des erkannten Objekts unter Verwendung des Objektbewegungsmerkmals vorhergesagt und in das Umgebungsmodell entsprechend transformiert.The trajectory is preferably calculated for a predetermined prediction period, also called the prediction horizon. Even with a long prediction horizon, the method according to the invention requires only a small computing time for determining a trajectory and thereby captures all the necessary information with regard to the detected objects. In particular, for each time step of the prediction horizon, a changed position of the recognized object is predicted using the object movement feature and transformed accordingly into the environmental model.
In einer bevorzugten Ausführung umfasst das Umgebungsmodell eine statische und eine dynamische Umgebungsmodellkomponente. Abkürzend wird im Folgenden auch nur von dem statischen Umfeldmodell oder dem dynamischen Umfeldmodell gesprochen, wenn von der statischen Umgebungs- oder Umfeldmodellkomponente bzw. der dynamischen Umgebungs- oder Umfeldmodellkomponente die Rede ist. Insbesondere sind sowohl das statische und das dynamische Umfeldmodell Potentialfelder, vorzugsweise Kostenpotentialfelder, in denen zu meidende Bereiche durch hohe Kosten berücksichtigt sind und befahrbare Bereiche durch niedrige Kosten. Vorzugsweise werden erkannte Objekte und deren Objektbewegungsmerkmale mit einem vorbestimmten Regelsatz verarbeitet um das dynamische Umfeldmodell zu erstellen. Insbesondere werden die Objekte als Bereich hoher Kosten in das Umfeldmodell transformiert.In a preferred embodiment, the environment model comprises a static and a dynamic environment model component. In short, the following only speaks of the static environment model or the dynamic environment model when the static environment or environment model component or the dynamic environment or environment model component is mentioned. In particular, both the static and the dynamic environment model Potential fields, preferably cost potential fields, in which areas to be avoided are taken into account due to high costs and passable areas due to low costs. Detected objects and their object movement characteristics are preferably processed with a predetermined rule set in order to create the dynamic environment model. In particular, the objects are transformed into the environment model as an area of high costs.
In einer bevorzugten Ausführung basiert das dynamische Umgebungsmodell auf einer physikalischen Interpretation eines erforderlichen Sicherheitsabstands. Insbesondere werden für den Prädiktionszeitraum Bewegungsmerkmale, wie Geschwindigkeit und Trajektorie, des Egofahrzeugs und/oder wenigstens eines Objekts vorhergesagt. Vorzugsweise werden Relativgeschwindigkeit und Sicherheitsabstand für den Prädiktionszeitraum vorhergesagt. Abhängig von den ermittelten Daten wird anhand eines vordefinierten Regelsatzes des jeweils notwenige Sicherheitsabstand bezüglich des erfassten Objekts in das dynamische Umgebungsmodell transformiert. Vorzugsweise umfasst das Transformieren mit dem vorbestimmten Regelsatz, das wenigstens eine Kostenfunktionen mit Objektdaten eines Objektes und Objektbewegungsmerkmale parametriert werden. Insbesondere wird die wenigstens eine Kostenfunktion durch vorhergesagte Abstände zwischen dem Egofahrzeug und dem Objekt parametriert.In a preferred embodiment, the dynamic environment model is based on a physical interpretation of a required safety distance. In particular, movement characteristics, such as speed and trajectory, of the first-person vehicle and / or at least one object are predicted for the prediction period. Relative speed and safety margin are preferably predicted for the prediction period. Depending on the determined data, the predefined rule set is used to transform the necessary safety distance with respect to the detected object into the dynamic environment model. The transformation with the predetermined rule set preferably comprises at least one cost function with object data of an object and object movement features. In particular, the at least one cost function is parameterized by predicted distances between the ego vehicle and the object.
In einer bevorzugten Ausführung enthält die statische Umgebungsmodellkomponente Randbedingungen oder Werte, die durch statische Objekte in der Umgebung des Fahrzeugs bestimmt sind. Als statische Objekte sind keine Verkehrsteilnehmer zu verstehen, sondern nicht bewegliche Hindernisse, wie Verkehrsinseln oder zeitweilige Baustellen, welche die Fahrbahn verengen. Insbesondere werden Informationen über statische Objekte von der Umfeldsensorik oder einem Car-
In einer bevorzugten Ausführung werden Begrenzung einer Fahrspur in das statische Umfeldmodell durch Verarbeitung von fahrspurbezogenen Umfeldsensordaten mit einem vorbestimmten Regelsatz transformiert. Insbesondere werden mittels eines Regelsatzes automatisiert Informationen bezüglich der Fahrbahnmarkierung in das statische Umfeldmodell transformiert. Insbesondere enthält der Regelsatz für jede Fahrbahnmarkierung einen Parameter, mittels dem ein gewünschter Abstand zur Fahrbahnmarkierung vorgebbar ist. Vorzugsweise werden Informationen bezüglich der Fahrbahnmarkierungen von einem Spurerkennungssystem übermittelt.In a preferred embodiment, delimitation of a lane is transformed into the static environment model by processing lane-related environment sensor data with a predetermined rule set. In particular, information relating to the lane marking is automatically transformed into the static environment model by means of a rule set. In particular, the rule set contains a parameter for each lane marking, by means of which a desired distance from the lane marking can be specified. Information relating to the lane markings is preferably transmitted by a lane detection system.
In einer bevorzugten Ausführung werden die Objektposition und das wenigstens eine Objektbewegungsmerkmal zur Parametrierung eines vorbestimmten Regelsatzes verwendet, um das Umgebungsmodell zu erstellen. Insbesondere umfasst der vorbestimmte Regelsatz das Berechnen von Abständen zwischen Egofahrzeug und einem erkannten Objekt umfasst.In a preferred embodiment, the object position and the at least one object movement feature are used to parameterize a predetermined rule set in order to create the environmental model. In particular, the predetermined rule set includes the calculation of distances between the ego vehicle and a recognized object.
In einer bevorzugten Ausführung wird die Trajektorie mittels einer Kombination aus Kurveninterpolation und numerischer Optimierung bestimmt wird, wobei insbesondere gradientenbasiert optimiert wird. Zum Beispiel kann ein Optimierungsverfahren angewandt werden, bei dem einer größten Steigung iterativ gefolgt wird.In a preferred embodiment, the trajectory is determined by means of a combination of curve interpolation and numerical optimization, with optimization based in particular on a gradient. For example, an optimization method can be used in which a greatest slope is followed iteratively.
In einer besonderen Ausführung wird die Trajektorie mittels splinebasierter Interpolation ermittelt wird.In a special embodiment, the trajectory is determined by means of spline-based interpolation.
In einer besonderen Ausführung wird das erkannte Objekt als ein potentielles Hindernis in der Umgebung des Fahrzeugs klassifiziert und aus dem wenigstens einen Objektbewegungsmerkmal und der Position des Objekts eine Trajektorie des Hindernisses berechnet. Typische Objektbewegungsmerkmale sind Momentangeschwindigkeiten in x-Richtung und/oder y-Richtung des Fahrzeugs. Vorzugsweise wird das wenigstens eine Objektbewegungsmerkmal sowohl für das Egofahrzeug als auch für ein Hindernisfahrzeug für den gesamten Prädiktionshorizont vorhergesagt. Insbesondere werden das Hindernis und die Trajektorie des Hindernisses in das Umgebungsmodell, insbesondere die dynamische Komponente des Umgebungsmodells, übertragen.In a special embodiment, the recognized object is classified as a potential obstacle in the vicinity of the vehicle and a trajectory of the obstacle is calculated from the at least one object movement feature and the position of the object. Typical object movement features are instantaneous speeds in the x direction and / or y direction of the vehicle. The at least one object movement feature is preferably predicted both for the first-person vehicle and for an obstacle vehicle for the entire prediction horizon. In particular, the obstacle and the trajectory of the obstacle are transferred to the environment model, in particular the dynamic component of the environment model.
In einer besonderen Ausführung wird aus den Umfeldsensordaten eine Straßengeometrie, eine Fahrbahnmarkierung und/oder wenigstens ein Hindernis, wie ein Fußgänger und/oder ein anderes Fahrzeug, eine Objektgeschwindigkeit und/oder Objektbewegungsrichtung ermittelt und in das Umgebungsmodell übertragen.In a special embodiment, a road geometry, a road marking and / or at least an obstacle, such as a pedestrian and / or another vehicle, an object speed and / or object movement direction are determined from the environment sensor data and transferred to the environment model.
Das Umfeldmodell wird als ein Potentialfeld repräsentiert, das aus einem statischen und einem dynamischen Teil zusammengesetzt wird. Der dynamische Teil stellt ein interpretierbares Modell bereit, das auf physikalischen Erwägungen basiert, wobei die Fahrzeugkinematik berücksichtigt wird. Die Neuheit, die den entwickelten Ansatz von anderen unterscheidet, liegt in der Tatsache, dass das Umfeldpotentialfeld Kenntnisse über die zukünftige Entwicklung der derzeitigen Situation durch die Verwendung von Trajektorienplanung und Hindernisprädiktion einbezieht, was zeitgleich den einzuhaltenden Sicherheitsabstand beeinflusst. Ein festgelegter, überdimensionierter Sicherheitsabstand, ohne Bezug zu der sich entwickelnden Situation, wird zu unnötig hohem Abbremsen führen, wohingegen ein vorbestimmter, unterdimensionierter Sicherheitsabstand zu riskantem Verhalten führt. Aufgrund seines prädiktiven Charakters verbessert das entwickelte Umfeldmodell erheblich Sicherheit und Komfort in komplexen Verkehrsszenarien. Die Analyse zeigt, dass das entwickelte Umfeldmodell für Autobahnszenarien uneingeschränkt geeignet ist. Darüber hinaus kann das Umfeldmodell durch eine fortgeschrittene Berechnung des Bremsabstands dahingehend weitergebildet werden, dass es zum Beispiel den Straßenzustand berücksichtigt.The environment model is represented as a potential field, which is composed of a static and a dynamic part. The dynamic part provides an interpretable model based on physical considerations, taking into account vehicle kinematics. The novelty that distinguishes the developed approach from others lies in the fact that the environment potential field includes knowledge about the future development of the current situation through the use of trajectory planning and obstacle prediction, which at the same time safety distance to be observed. A fixed, oversized safety distance, without reference to the developing situation, will lead to unnecessarily high braking, whereas a predetermined, undersized safety distance leads to risky behavior. Due to its predictive character, the developed environment model significantly improves safety and comfort in complex traffic scenarios. The analysis shows that the developed environment model is fully suitable for highway scenarios. In addition, the environment model can be further developed by an advanced calculation of the braking distance so that it takes into account the road conditions, for example.
Die Trajektorie des Fahrzeugs und/oder des Hindernisses kann durch eine Kombination aus Kurveninterpolation und numerischer Optimierung berechnet werden. Damit wird eine effiziente Trajektorienplanung sichergestellt. Der große Vorteil ist die Fähigkeit, eine optimale Lösung für verschiedene Manöver selbst in einem komplexen Szenario zu finden.The trajectory of the vehicle and / or the obstacle can be calculated by a combination of curve interpolation and numerical optimization. This ensures efficient trajectory planning. The big advantage is the ability to find an optimal solution for different maneuvers even in a complex scenario.
Das Umfeldmodell kann ein Potentialfeld mit hohen Potentialen für nicht verhandelbare Bereiche und niedrigen Potentialen für verhandelbare Bereiche umfassen. Das Umfeldmodell kann aus einem statischen und einem dynamischen Potentialfeld zusammengesetzt werden.The environment model can include a potential field with high potential for non-negotiable areas and low potential for negotiable areas. The environment model can be composed of a static and a dynamic potential field.
Eine statische Komponente des Umfeldmodells kann durch polynomiale Straßenmarkierungen bereitgestellt werden. Insbesondere wird die Straßenmarkierung als Polynom
Um eine holistische Beschreibung des Umfelds zu gewinnen, werden insbesondere beide Repräsentationen derart in ein Potentialfeld transformiert, dass diese zu einem umfassenden Umfeldmodell kombiniert werden. Damit wird das Umfeldmodell kombiniert, um die Aufgabe der Trajektorienplanung für automatisiertes Fahren auszuführen.In order to obtain a holistic description of the environment, both representations in particular are transformed into a potential field in such a way that they are combined to form a comprehensive environment model. This combines the environment model to carry out the task of trajectory planning for automated driving.
Insbesondere werden andere Objekte, die Hindernisse sein können, wenn die Trajektorie berechnet wird, durch eine Kreisform angenähert, wodurch ein vordefinierter Sicherheitsabstand eingehalten wird, um der räumlichen Ausdehnung des Egofahrzeugs und des Hindernisfahrzeugs Rechnung zu tragen. Das statische Umfeld wird mittels eines Abstands zur jeweiligen Straßenbegrenzung modelliert.In particular, other objects, which may be obstacles when the trajectory is calculated, are approximated by a circular shape, as a result of which a predefined safety distance is maintained in order to take into account the spatial extent of the ego vehicle and the obstacle vehicle. The static environment is modeled using a distance to the respective road boundary.
In einer bevorzugten Ausführung kann ein Hindernis in der Umgebung des Fahrzeugs detektiert und eine Trajektorie des Hindernisses berechnet werden. Das Hindernis und die berechnete Trajektorie werden in das Umfeldmodell transformiert, insbesondere in die dynamische Komponente des Umfeldmodells.In a preferred embodiment, an obstacle in the surroundings of the vehicle can be detected and a trajectory of the obstacle can be calculated. The obstacle and the calculated trajectory are transformed into the environment model, in particular into the dynamic component of the environment model.
Damit wird durch Beeinflussung des dynamischen Potentialfelds die Information, die durch die Hindernistrajektorienprädiktion bereitgestellt wird, direkt im Egotrajektorienplanungsprozess berücksichtigt. Der Begriff festgelegt ist hier definiert als festgelegt bezüglich der Zeit innerhalb des Prädiktionshorizonts des Trajektorienplanungsalgorithmus, das heißt, dass die Sicherheitsabstände während der Planungsphase sich über die Zeit nicht ändern.By influencing the dynamic potential field, the information provided by the obstacle trajectory prediction is taken into account directly in the ego trajectory planning process. The term defined here is defined as defined with respect to the time within the prediction horizon of the trajectory planning algorithm, that is to say that the safety margins do not change over time during the planning phase.
Eine statische Komponente des Umfeldmodells oder ein statisches Umfeldmodell können durch polynomiale Straßenmarkierungen bereitgestellt werden. Die dynamische Komponente des Umfeldmodells oder das dynamische Umfeldmodell können durch eine Hindernisliste gebildet werden. Um beide Komponenten des Umfeldmodells zu kombinieren, können die Komponenten in ein Potentialfeld derart transformiert werden, dass ein umfassendes Umgebungsmodell gebildet wird.A static component of the environment model or a static environment model can be provided by polynomial road markings. The dynamic component of the environment model or the dynamic environment model can be formed by an obstacle list. In order to combine both components of the environment model, the components can be transformed into a potential field in such a way that a comprehensive environment model is formed.
Um eine holistische Beschreibung des Umfelds zu gewinnen, können beide Repräsentationen derart in ein Potentialfeld transformiert werden, dass sie in ein umfassendes Umfeldmodell kombiniert werden. Damit wurde das Umfeldmodell kombiniert, um die Aufgabe der Trajektorienplanung für automatisiertes Fahren zu ermöglichen.In order to obtain a holistic description of the environment, both representations can be transformed into a potential field in such a way that they are combined in a comprehensive environment model. This combined the environment model to enable the task of planning trajectories for automated driving.
Weitere Merkmale, Vorteile und Eigenschaften der Erfindung werden anhand der Beschreibung bevorzugter Ausführungen der Erfindung unter Verweis auf die Figuren erklärt, die zeigen:
Wie in
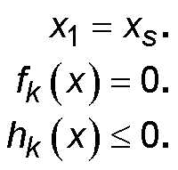
Die Lösung des in Gleichung 1 formulierten nichtlinearen Problems ist durch die Annäherung der harten Randbedingungen gegeben. Daher werden die Randbedingungen fk durch die Verwendung des Konzepts der weichen Randbedingungen in Strafterme transformiert. Dadurch wird eine effiziente echtzeitfähige Lösung erreicht. Aufgrund der Verwendung einer vereinfachten Fahrzeugdynamikbeschreibung sind Gleichheitsrandbedingungen kein Teil des Optimierungsproblems. Ungleichheitsrandbedingungen werden ersetzt durch
Damit ist der Gesamtfehlervektor e(B) : B → ℝd
Die Kostenfunktion kann dann wie folgt definiert werden
Ω ∈ ℝd
Die Grundgleichung des Levenberg-Marquardt-Algorithmus ist gegeben durch
Mit dem Dämpfungsfaktor λLM, der Identitätsmatrix I und dem Gradienten
Die Jacobi-Matrix J ∈ ℝd
Aus den Gleichungen (9) und (10) wird das Erfordernis einer differenzierbaren Umfeldmodellrepräsentation abgeleitet. Im Folgenden werden die Erd- und Fahrzeugkoordinatensysteme durch vorangestellte hochgestellte Buchstaben E und F gekennzeichnet. Der Prädiktionshorizont wird festgelegt als Tp mit konstanten Zeitintervallen t ∈ [tk tk+1]. Mit den Zuständen xk = [Fx
Bevor die obige gradientenbasierte Trajektorienplanung angewandt wird, wird das Umfeldmodell wie im Folgenden beschrieben gebildet. Das Umfeldmodell wird in vorbestimmter Repräsentation in einem Speicher eines Trajektorienplanungsmoduls oder Umfeldfusionsmoduls gespeichert. Das Trajektorienplanungsmodul oder Umfeldfusionsmodul kann auf einer elektronischen Kontrolleinheit oder einer anderen Recheneinheit an Bord des Fahrzeugs implementiert sein. Das jeweilige Modul wird mit anderen Fahrzeugsystemen verbunden, die Sensordateninformationen bereitstellen.Before the above gradient-based trajectory planning is applied, the environment model is created as described below. The environment model is stored in a predetermined representation in a memory of a trajectory planning module or environment fusion module. The trajectory planning module or environment fusion module can be implemented on an electronic control unit or another computing unit on board the vehicle. The respective module is connected to other vehicle systems that provide sensor data information.
In einer bevorzugten Ausführung wird ein Potentialfeld als Repräsentation des Umfelds gewählt. Damit wird ein differenzierbares Umfeldmodell erreicht. Beide, das statische und das dynamische Umfeldmodell können separat berücksichtigt werden. Allerdings werden sie in kombinierter Weise berechnet, um ein holistisches Umfeldmodell bereitzustellen. Zum Zwecke der Diskussion und Erklärung werden die Eigenschaften des entwickelten statischen und dynamischen Umfeldmodells anhand eines Beispiels mit drei geraden Fahrspuren und dem Ego- sowie dem Hindernisfahrzeug auf der Mittelspur der Straße illustriert (z.B.
Statisches UmfeldmodellStatic environment model
Das statische Umfeldmodell kann als ein erweiterter Fahrkorridor betrachtet werden, der den verhandelbaren Raum anzeigt, das heißt die verfügbaren Spuren, die dem Egofahrzeug erlauben, in die beabsichtigte Fahrtrichtung zu fahren. Es werden höchstens drei Spuren berücksichtigt, sodass, falls verfügbar, die möglichen Spuren sich aus der Egospur und der rechten und linken Nachbarspur zusammensetzen.The static environment model can be viewed as an extended driving corridor that indicates the negotiable space, that is, the available lanes that allow the first-person vehicle to drive in the intended direction of travel. A maximum of three tracks are taken into account, so that, if available, the possible tracks are composed of the ego track and the right and left neighboring track.
Dies bedeutet keine Beschränkung hinsichtlich der Leistungsfähigkeit für Szenarien mit mehr als drei Spuren, da immer noch genügend Information vorhanden ist, um das Egofahrzeug in die Lage zu versetzen, vollständige Basismanöver wie Spurwechsel und Spurhalten auszuführen. Es ist zu bemerken, dass außerdem Hindernisse, die in dem dynamischen Umfeldmodell eingeschlossen sind, unabhängig von der Anzahl der detektierten Spuren prädiziert werden. Informationen über die vorhandenen Spuren werden durch an Bord befindliche Kamerasensoren gewonnen, wobei die Gestalt einer jeweiligen Spur als Polynom dritter Ordnung pro Spurmarkierung angegeben wird. Um das statische Potentialfeld zu erzeugen, wird der Modelltyp für jede Spurmarkierung abhängig vom Typ der Spurmarkierung gewählt, sodass zwischen Spurmarken, die überfahren werden dürfen, und solchen, die nicht überfahren werden dürfen, unterschieden wird. Zweckmäßigerweise werden alle Spurmarkierungstypen, die vom Egofahrzeug nicht überfahren werden dürfen, kopiert und als durchgezogene Spurmarkierungen gekennzeichnet, wohingegen alle überfahrbaren Spurmarkierungstypen als gestrichelte Spurmarkierungen gekennzeichnet werden.This does not imply a limitation in performance for scenarios with more than three lanes, since there is still enough information to enable the first-person vehicle to perform complete basic maneuvers such as lane changing and lane keeping. Note that obstacles included in the dynamic environment model are also predicted regardless of the number of lanes detected. Information about the existing tracks is obtained by on-board camera sensors, the shape of each track being specified as a third-order polynomial per track marking. In order to generate the static potential field, the model type for each lane marking is selected depending on the type of lane marking, so that a distinction is made between lane marks that can be passed over and those that cannot be passed over. Appropriately, all lane marking types that the ego vehicle must not drive over are copied and marked as solid lane markings, whereas all lane marking types that can be driven over are marked as dashed lane markings.
Spurmarkierungen werden im Egofahrzeugkoordinatensystem F von links nach rechts gezählt, beginnend mit Index I = 0 für die linke Spurmarkierung der linken Spur, Index I = 1 für die linke und Index I = 2 für die rechte Spurmarkierung, sowie Index I = 3 für die rechte Spurmarkierung der benachbarten rechten Spur. Das Polynom wird für FXk eines jeden Trajektorienpunkts ausgewertet und der Abstand zur Straßenbegrenzung wird durch den Abstand
In Abhängigkeit vom Spurmarkierungstyp ist
Das statische Potentialfeld mit den Kosten ΦS wird aus der Superposition aller χ(hℓ) unter Verwendung der Gleichung (3), der Gleichung (4) und der Gleichung (5) erzeugt. Dabei hl die vektorisierte Form von hl,k. Das resultierende Potentialfeld für das statische Umfeld wird in
Dynamisches Umfeldmodell Dynamic environment model
Um dynamische Hindernisse zu berücksichtigen, werden die Hindernisse unter Verwendung einer Spurwechselerkennung und der prädizierten Zeit bis zum Spurwechsel tttlc für die Trajektorienprädiktion prädiziert. Im Folgenden werden die Hindernisgrößen mit ϱ gekennzeichnet. Für ϱ = 1 ... ρ Hindernisse wird der Lateral- und Longitudinalabstand zwischen den Ego- und Hindernisfahrzeugtrajektorien separat berechnet
Auch Sicherheitsgründen wird der zu erfüllende notwendige Abstand durch die Annäherung der Bremsdistanz gegeben
Im Fall geringer Relativgeschwindigkeiten sollte zutreffen, dass ein minimaler Längsabstand
Mit Gleichung (17) wird der Sicherheitsabstand σϱ bezüglich eines jeweiligen Hindernisses ϱ berechnet. Für die richtungsabhängige Komponente des dynamischen Umfeldmodells wird für die Längs- und Lateralrichtung das algebraische Vorzeichen berücksichtigt.
Damit muss für den Fall, dass sich das Ego- und das Hindernisfahrzeug voneinander wegbewegen, lediglich der Minimalabstand
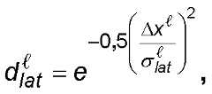
Auf Basis der Eigenschaften der Gauss-Funktion führt die Kombination von Längs- und Lateralpotentialkosten zu
Die Kosten ΦD, welche das dynamische Potentialfeld repräsentieren, werden mit vektorisierten hϱ,k für jedes λ(h
Wie in
UmfeldpotentialfeldEnvironment potential field
Das resultierende Umfeldmodell ergibt sich durch die Superposition des statischen und des dynamischen Potentialfelds. Das statische Potentialfeld teilt sich in verhandelbaren und nicht verhandelbaren Raum basierend auf der Straßengeometrie auf, wohingegen das dynamische Potentialfeld ein potenzielles Kollisionsrisiko mit dynamischen Hindernissen repräsentiert. In
In dem in den
Um die Charakteristiken des Umfeldmodells in Zusammenarbeit mit dem optimierungsbasierten Trajektorienplanungsansatz in den Beispielen der
Das Egofahrzeug, das durch das prädiktive Potentialfeld unterstützt wird, kann unmittelbar ein optimales Nachfolgemanöver auslösen. Durch Ausführen eines weiteren Spurwechsels nach links überholt das Egofahrzeug das Hindernisfahrzeug
In
In
Die ermittelte Trajektorie
Ein Vorteil einer oder mehrerer Ausführungsformen ist, dass eine allgemeine Repräsentation des Umfelds gewonnen wird, ohne das gewünschte Verhalten in das Umfeldmodell einzubeziehen. Ein anderer Vorteil einer oder mehrerer Ausführungen ist, dass der Sicherheitsabstand zwischen dem Fahrzeug, für das die Trajektorie geplant wird (Egofahrzeug oder Ego) und anderen Fahrzeugen, die Hindernisse (Alter) repräsentieren können, entsprechend der vorhergesagten Situation in Abhängigkeit von Relativgeschwindigkeit und Relativorientierung berechnet wird. Damit passt sich das Umfeldmodell an die prädizierte Zukunftsentwicklung der derzeitigen Situation an.An advantage of one or more embodiments is that a general representation of the environment is obtained without including the desired behavior in the environment model. Another advantage of one or more versions is that the safety distance between the vehicle for which the trajectory is planned (ego vehicle or ego) and other vehicles that can represent obstacles (age) is calculated in accordance with the predicted situation as a function of relative speed and relative orientation becomes. The environment model thus adapts to the predicted future development of the current situation.
BezugszeichenlisteLIST OF REFERENCE NUMBERS
| Application Number | Priority Date | Filing Date | Title |
|---|---|---|---|
| DE102018115253 | 2018-06-25 | ||
| DE102018115253.1 | 2018-06-25 |
| Publication Number | Publication Date |
|---|---|
| DE102018123896A1true DE102018123896A1 (en) | 2020-01-02 |
| Application Number | Title | Priority Date | Filing Date |
|---|---|---|---|
| DE102018123896.7APendingDE102018123896A1 (en) | 2018-06-25 | 2018-09-27 | Method for operating an at least partially automated vehicle |
| Country | Link |
|---|---|
| DE (1) | DE102018123896A1 (en) |
| WO (1) | WO2020002100A1 (en) |
| Publication number | Priority date | Publication date | Assignee | Title |
|---|---|---|---|---|
| DE102019125817A1 (en)* | 2019-09-25 | 2021-03-25 | AVL Software und Functions GmbH | Method for planning one or more trajectories of a vehicle and system for carrying out the method |
| DE102020202476A1 (en) | 2020-02-26 | 2021-08-26 | Volkswagen Aktiengesellschaft | Method and device for estimating at least one object state of a moving object in the vicinity of a vehicle |
| DE102020120401A1 (en) | 2020-08-03 | 2022-02-03 | Valeo Schalter Und Sensoren Gmbh | DRIVER ASSISTANCE FOR A MOTOR VEHICLE |
| DE102021203809A1 (en) | 2021-03-16 | 2022-09-22 | Continental Autonomous Mobility Germany GmbH | Driving course estimation in an environment model |
| Publication number | Priority date | Publication date | Assignee | Title |
|---|---|---|---|---|
| US20230375692A1 (en)* | 2020-10-13 | 2023-11-23 | Dr. Ing. H.C. F. Porsche Aktiengesellschaft | Device for and method of predicting a trajectory of a vehicle |
| Publication number | Priority date | Publication date | Assignee | Title |
|---|---|---|---|---|
| DE102004062504A1 (en)* | 2004-12-24 | 2006-07-06 | Daimlerchrysler Ag | Method and system for operating a motor vehicle |
| DE102007013303A1 (en)* | 2007-03-16 | 2008-09-18 | Robert Bosch Gmbh | Method for calculating a collision avoiding trajectory for a driving maneuver of a vehicle |
| US9120485B1 (en)* | 2012-09-14 | 2015-09-01 | Google Inc. | Methods and systems for smooth trajectory generation for a self-driving vehicle |
| DE102016009762A1 (en)* | 2016-08-11 | 2018-02-15 | Trw Automotive Gmbh | Control system and control method for determining a likelihood of a lane change of a preceding motor vehicle |
| Publication number | Priority date | Publication date | Assignee | Title |
|---|---|---|---|---|
| EP2848487B1 (en)* | 2013-09-12 | 2020-03-18 | Volvo Car Corporation | Manoeuvre generation for automated drive |
| DE102015221481A1 (en)* | 2015-11-03 | 2017-05-04 | Continental Teves Ag & Co. Ohg | Device for environment modeling for a driver assistance system for a motor vehicle |
| DE102016205442B4 (en)* | 2016-04-01 | 2025-06-18 | Bayerische Motoren Werke Aktiengesellschaft | Method for optimizing a vehicle's path planning |
| Publication number | Priority date | Publication date | Assignee | Title |
|---|---|---|---|---|
| DE102004062504A1 (en)* | 2004-12-24 | 2006-07-06 | Daimlerchrysler Ag | Method and system for operating a motor vehicle |
| DE102007013303A1 (en)* | 2007-03-16 | 2008-09-18 | Robert Bosch Gmbh | Method for calculating a collision avoiding trajectory for a driving maneuver of a vehicle |
| US9120485B1 (en)* | 2012-09-14 | 2015-09-01 | Google Inc. | Methods and systems for smooth trajectory generation for a self-driving vehicle |
| DE102016009762A1 (en)* | 2016-08-11 | 2018-02-15 | Trw Automotive Gmbh | Control system and control method for determining a likelihood of a lane change of a preceding motor vehicle |
| Publication number | Priority date | Publication date | Assignee | Title |
|---|---|---|---|---|
| DE102019125817A1 (en)* | 2019-09-25 | 2021-03-25 | AVL Software und Functions GmbH | Method for planning one or more trajectories of a vehicle and system for carrying out the method |
| DE102019125817B4 (en) | 2019-09-25 | 2023-11-30 | AVL Software und Functions GmbH | Method for planning one or more trajectories of a vehicle and system for carrying out the method |
| DE102020202476A1 (en) | 2020-02-26 | 2021-08-26 | Volkswagen Aktiengesellschaft | Method and device for estimating at least one object state of a moving object in the vicinity of a vehicle |
| DE102020202476B4 (en)* | 2020-02-26 | 2025-08-07 | Volkswagen Aktiengesellschaft | Method and device for estimating at least one object state of a moving object in the environment of a vehicle |
| DE102020120401A1 (en) | 2020-08-03 | 2022-02-03 | Valeo Schalter Und Sensoren Gmbh | DRIVER ASSISTANCE FOR A MOTOR VEHICLE |
| WO2022028943A1 (en)* | 2020-08-03 | 2022-02-10 | Valeo Schalter Und Sensoren Gmbh | Motor vehicle driver assistance method |
| DE102021203809A1 (en) | 2021-03-16 | 2022-09-22 | Continental Autonomous Mobility Germany GmbH | Driving course estimation in an environment model |
| DE102021203809B4 (en) | 2021-03-16 | 2023-05-04 | Continental Autonomous Mobility Germany GmbH | Driving course estimation in an environment model |
| US12359937B2 (en) | 2021-03-16 | 2025-07-15 | Conti Temic Microelectronic Gmbh | Driving profile estimation in an environment model |
| Publication number | Publication date |
|---|---|
| WO2020002100A1 (en) | 2020-01-02 |
| Publication | Publication Date | Title |
|---|---|---|
| EP3873784B1 (en) | Control system and control method for sampling-based planning of possible trajectories for motor vehicles | |
| DE102019201124A1 (en) | A system for a vehicle | |
| DE102018123896A1 (en) | Method for operating an at least partially automated vehicle | |
| DE102019103106A1 (en) | Control system and control method for the interaction-based long-term determination of trajectories for motor vehicles | |
| DE102014114827A9 (en) | Path planning for evasive steering maneuvers in the presence of a target vehicle and surrounding objects | |
| DE102015114464A9 (en) | Uniform motion planner for an autonomous vehicle while avoiding a moving obstacle | |
| DE102014114608A1 (en) | Path planning for evasive maneuvers using a virtual potential field technique | |
| DE102016111691A1 (en) | Semi-autonomous vehicle and method of controlling a semi-autonomous vehicle | |
| DE102015108605A9 (en) | Lane change path planning algorithm for an autonomous vehicle | |
| DE102016007899B4 (en) | Method for operating a device for traffic situation analysis, motor vehicle and data processing device | |
| DE102016201667A1 (en) | Method for determining a desired trajectory for a first road user, in particular for a motor vehicle for a road section | |
| DE102020200169B3 (en) | Method for merging several data sets for the generation of a current lane model of a roadway and device for data processing | |
| DE112021006846T5 (en) | Systems and methods for scenario-dependent trajectory evaluation | |
| DE102015015302A1 (en) | Method for partially or fully autonomous operation of a vehicle and driver assistance device | |
| DE112022001133T5 (en) | Systems and methods for vehicle movement planning | |
| WO2022128012A1 (en) | Method for planning an at least partly automated driving process by means of a driver assistance system | |
| DE102020215771A1 (en) | Method for determining a trajectory of a vehicle | |
| DE102022212567A1 (en) | Procedure for controlling a lane change of a vehicle | |
| DE102023200639A1 (en) | Trajectory planning method, control device and vehicle | |
| DE102021211164A1 (en) | Method for planning a trajectory of a driving maneuver of a motor vehicle, computer program product, computer-readable storage medium and vehicle | |
| DE102021121950A1 (en) | DRIVER ASSISTANCE FOR A MOTOR VEHICLE | |
| DE102013219414A1 (en) | Method and device for providing predictive vehicle movement information for a driver assistance system of a vehicle | |
| WO2024115473A1 (en) | Method, control device and computer program for position-based determining of a region of interest, and computer-readable storage medium | |
| WO2024115472A1 (en) | Method, control device and computer program for preventing or reducing a collision of an autonomous vehicle with an object and computer-readable storage medium | |
| DE102022212874A1 (en) | Method, control device and computer program for avoiding or reducing a collision of an autonomous motor vehicle, and computer-readable storage medium |
| Date | Code | Title | Description |
|---|---|---|---|
| R163 | Identified publications notified |