Movatterモバイル変換


[0]ホーム

URL:


DE102018104020A1 - Apparatus for creating or expanding a wellbore - Google Patents

Apparatus for creating or expanding a wellbore
Download PDF

Info

Publication number
DE102018104020A1
DE102018104020A1DE102018104020.2ADE102018104020ADE102018104020A1DE 102018104020 A1DE102018104020 A1DE 102018104020A1DE 102018104020 ADE102018104020 ADE 102018104020ADE 102018104020 A1DE102018104020 A1DE 102018104020A1
Authority
DE
Germany
Prior art keywords
drilling
control unit
pump
rinsing liquid
volume flow
Prior art date
Legal status (The legal status is an assumption and is not a legal conclusion. Google has not performed a legal analysis and makes no representation as to the accuracy of the status listed.)
Withdrawn
Application number
DE102018104020.2A
Other languages
German (de)
Inventor
Dietmar Jenne
Current Assignee (The listed assignees may be inaccurate. Google has not performed a legal analysis and makes no representation or warranty as to the accuracy of the list.)
Terra AG fuer Tiefbautechnik
Original Assignee
Terra AG fuer Tiefbautechnik
Priority date (The priority date is an assumption and is not a legal conclusion. Google has not performed a legal analysis and makes no representation as to the accuracy of the date listed.)
Filing date
Publication date
Application filed by Terra AG fuer TiefbautechnikfiledCriticalTerra AG fuer Tiefbautechnik
Priority to DE102018104020.2ApriorityCriticalpatent/DE102018104020A1/en
Priority to EP19157706.3Aprioritypatent/EP3530871B1/en
Publication of DE102018104020A1publicationCriticalpatent/DE102018104020A1/en
Withdrawnlegal-statusCriticalCurrent

Links

Images

Classifications

Landscapes

Abstract

Translated fromGerman

Die Erfindung betrifft eine Vorrichtung (10, 12) und ein Verfahren zum Erzeugen und Aufweiten einer Erdbohrung im Erdreich (18), die ein Bohr- und/oder Aufweitwerkzeug (20, 24) hat, das über ein Zug- und/oder Druckelement (14) mit einer Antriebseinheit (52) verbunden ist und durch diese mit einer Vorschubgeschwindigkeit (v) durch das Erdreich (18) zur Antriebseinheit (52) hin oder von der Antriebseinheit (52) weg bewegbar ist. Ferner ist eine Pumpe (42) zum Fördern einer Spülflüssigkeit (46) zum Bohr- und/oder Aufweitwerkzeug vorgesehen, wobei die Spülflüssigkeit (46) am Bohr- und/oder Aufweitwerkzeug (20, 24) austritt. Ferner ist eine Steuereinheit (50) zum Steuern zumindest der Pumpe (42) vorgesehen. Die Steuereinheit (50) stellt den durch die Pumpe (42) erzeugten Volumenstrom ( V̇) der Spülflüssigkeit (46) abhängig von der Vorschubgeschwindigkeit (v) ein.

Figure DE102018104020A1_0000
The invention relates to a device (10, 12) and a method for generating and expanding a ground hole in the ground (18), which has a drilling and / or expansion tool (20, 24), which via a tensile and / or pressure element ( 14) is connected to a drive unit (52) and can be moved through it with a feed rate (v) through the ground (18) to the drive unit (52) or away from the drive unit (52). Furthermore, a pump (42) for conveying a rinsing liquid (46) to the drilling and / or expansion tool is provided, wherein the rinsing liquid (46) on the drilling and / or expansion tool (20, 24) emerges. Furthermore, a control unit (50) is provided for controlling at least the pump (42). The control unit (50) sets the volume flow (V̇) of the rinsing liquid (46) generated by the pump (42) as a function of the feed rate (v).
Figure DE102018104020A1_0000

Description

Translated fromGerman

Die Erfindung betrifft eine Vorrichtung zum Erzeugen oder Aufweiten einer Erdbohrung, die ein Bohr- und/oder Aufweitwerkzeug hat, das über ein Zug- und/oder Druckelement mit einer Antriebseinheit verbunden ist und durch diese mit einer Vorschubgeschwindigkeit durch das Erdreich zur Antriebseinheit hin oder von der Antriebseinheit weg bewegbar ist. Die Vorrichtung hat ferner eine Pumpe zum Fördern einer Spülflüssigkeit zum Bohr- und/oder Aufweitwerkzeug, wobei die Spülflüssigkeit am Bohr- und/oder Aufweitwerkzeug austritt. Eine Steuereinheit dient zum Steuern zumindest der Pumpe. Ferner betrifft die Erfindung ein Verfahren zum Erzeugen oder Aufweiten einer Erdbohrung im Erdreich.The invention relates to a device for generating or expanding a well bore, which has a drilling and / or expansion tool, which is connected via a tensile and / or pressure element with a drive unit and through this with a feed rate through the soil to the drive unit out or from the drive unit is movable away. The apparatus further includes a pump for conveying a flushing fluid to the drilling and / or expansion tool, the flushing fluid exiting the drilling and / or expansion tool. A control unit is used to control at least the pump. Furthermore, the invention relates to a method for generating or expanding a ground hole in the ground.

Aus dem DokumentDE 101 15 233 A1 ist eine Horizontalbohranlage bekannt, bei der eine Hochdruckpumpe zum Zuführen von Spülflüssigkeit zum Bohrgestänge und eine Mischeinrichtung zum Aufbereiten der Spülflüssigkeit mit einem eine Mischpumpe aufweisenden Mischaggregat auf dem Fahrwerk der Horizontalbohranlage angeordnet sind.From the document DE 101 15 233 A1 a horizontal drilling rig is known in which a high-pressure pump for supplying rinsing liquid to the drill pipe and a mixing device for treating the rinsing liquid with a mixing pump having a mixing unit are arranged on the chassis of the horizontal drilling rig.

Aus dem DokumentDE 10 2015 107 194 A1 ist eine Bohranlage zum Erzeugen oder Aufweiten einer Erdbohrung bekannt, bei der der Vortrieb des Gestänges abhängig vom Drehmoment zur Rotation des Gestänges geregelt wird. Beim Vorschub des Bohrwerkzeugs kann Spülflüssigkeit durch das Bohrgestänge zum Bohrkopf geleitet werden. Weitere Horizontalbohranlagen mit einem Vorschubantrieb zum Antrieb eines ein Bohrwerkzeug tragenden Bohrgestänges, das unter gleichzeitiger Drehung mit Hilfe eines Vorschubantriebs im Erdreich vorgeschoben wird, sind aus den DokumentenDE 10 2010 004 287 A1 undUS 6,189,628 B1 bekannt.From thedocument DE 10 2015 107 194 A1 is a drilling rig for generating or expanding a well bore known in which the propulsion of the linkage is controlled depending on the torque for rotation of the linkage. When advancing the drilling tool flushing fluid can be passed through the drill pipe to the drill head. Further horizontal drilling rigs with a feed drive for driving a drilling tool carrying a drill string, which is advanced with simultaneous rotation by means of a feed drive in the soil, are from thedocuments DE 10 2010 004 287 A1 and US 6,189,628 B1 known.

DokumentDE 199 01 001 A1 offenbart eine Erdbohranlage, bei der ein Antriebsschlitten zum Antrieb eines Bohrgestänges vorgesehen ist, der zum Zuführen von Spülflüssigkeit einen entsprechenden Anschluss hat.document DE 199 01 001 A1 discloses an earth boring machine, in which a drive carriage is provided for driving a drill string, which has a corresponding connection for supplying rinsing liquid.

Der im Stand der Technik mit Hilfe der Spülflüssigkeitspumpe erzeugte und durch das Bohrgestänge zum Bohr- und/oder Aufweitwerkzeug geleitete Volumenstrom der Spülflüssigkeit ist dabei unabhängig von der Vortriebsgeschwindigkeit konstant und kann durch eine Bedienperson manuell vorgegeben werden, beispielsweise durch eine Drehzahlvorgabe der Antriebseinheit der Pumpe zum Pumpen der Spülflüssigkeit.The volume flow of the rinsing liquid produced in the prior art with the aid of the rinsing liquid pump and conducted through the drill string to the drilling and / or expansion tool is constant regardless of the speed of advance and can be manually set by an operator, for example by a speed specification of the drive unit of the pump Pumping the rinsing liquid.

Es ist Aufgabe der Erfindung, eine Vorrichtung zum Erzeugen oder Aufweiten einer Erdbohrung im Erdreich sowie ein Verfahren zum Erzeugen oder Aufweiten einer Erdbohrung im Erdreich anzugeben, durch die eine Erdbohrung sowie das Aufweiten einer Erdbohrung unter Verwendung einer Spülflüssigkeit einfach und effizient möglich ist.It is an object of the invention to provide a device for generating or expanding a ground hole in the ground and a method for generating or expanding a hole in the ground, through which a hole and the expansion of a hole using a drilling fluid is simple and efficient.

Diese Aufgabe wird durch eine Vorrichtung mit den Merkmalen des Anspruchs 1 sowie durch ein Verfahren mit den Merkmalen des Anspruchs 15 gelöst. Vorteilhafte Weiterbildungen sind in den abhängigen Ansprüchen angegeben.This object is achieved by a device having the features ofclaim 1 and by a method having the features ofclaim 15. Advantageous developments are specified in the dependent claims.

Durch eine Vorrichtung mit den Merkmalen des Anspruchs 1 wird erreicht, dass der Volumenstrom der Spülflüssigkeit, d. h. die Menge der am Bohr- und/oder Aufweitwerkzeug bereitgestellten Spülflüssigkeit automatisch durch die Steuereinheit eingestellt wird. Dies erfolgt insbesondere dadurch, dass der Volumenstrom der Spülflüssigkeit abhängig von der Vorschubgeschwindigkeit, mit der das Bohr- und/oder Aufweitwerkzeug durch das Erdreich bewegt wird. Dadurch wird sichergestellt, dass das mit Hilfe des Bohr- und/oder Aufweitwerkzeugs gelöste Erdreich mit Hilfe ausreichend Spülflüssigkeit aus dem Bohr- und/oder Aufweitbereich entfernt und aus der Erdbohrung herausgespült wird. Ferner wird eine Verschwendung von Spülflüssigkeit in Folge eines zu hohen Volumenstroms bei geringer Vorschubgeschwindigkeit vermieden. Auch ist ein Eingriff einer Bedienperson nicht mehr zwingend erforderlich, um den Volumenstrom der Spülflüssigkeit an die Vorschubgeschwindigkeit des Bohr- und/oder Aufweitwerkzeugs anzupassen.By a device having the features ofclaim 1 it is achieved that the volume flow of the rinsing liquid, d. H. the amount of rinsing fluid provided on the drilling and / or expansion tool is automatically adjusted by the control unit. This occurs in particular in that the volume flow of the rinsing liquid is dependent on the feed rate at which the drilling and / or expansion tool is moved through the soil. This ensures that the soil dissolved with the aid of the drilling and / or expansion tool is removed from the drilling and / or expanding area with the aid of sufficient rinsing liquid and rinsed out of the borehole. Furthermore, a waste of rinsing liquid due to a high volume flow at low feed rate is avoided. Also, an intervention of an operator is no longer absolutely necessary in order to adapt the volume flow of the rinsing liquid to the feed rate of the drilling and / or expansion tool.

Besonders vorteilhaft ist es, wenn das Zug- und/oder Druckelement ein aus mehreren rohrförmigen Gestängeabschnitten zusammengesetztes Bohrgestänge ist und wenn die Pumpe die Spülflüssigkeit durch das Bohrgestänge hindurch zum Bohr- und/oder Aufweitwerkzeug fördert. Besonders vorteilhaft ist es, wenn die Pumpe einen maximalen Förderdruck im Bereich zwischen 50 bar und 150 bar, insbesondere von 75 bar erzeugt. Ferner ist es besonders vorteilhaft, wenn die Pumpe eine Förderleistung im Bereich von 50 bis 400 Liter Spülflüssigkeit pro Minute, insbesondere 95 bis 150 Liter Spülflüssigkeit pro Minute hat. Das Bohrgestänge hat durch die rohrförmigen Gestängeabschnitte im zusammengesetzten Durchgang eine durchgehende Öffnung von der dem Bohr- und/oder Aufweitwerkzeug entfernten Ende bis zum Bohr-und/oder Aufweitwerzeug zugewandten Ende, so dass die Spülflüssigkeit zum Bohr- und/oder Aufweitwerkzeug durch das Gestänge hindurch geleitet werden kann.It is particularly advantageous if the tension and / or pressure element is a drill pipe composed of a plurality of tubular pipe sections and if the pump delivers the drilling fluid through the drill pipe to the drilling and / or expansion tool. It is particularly advantageous if the pump generates a maximum delivery pressure in the range between 50 bar and 150 bar, in particular 75 bar. Furthermore, it is particularly advantageous if the pump has a delivery rate in the range of 50 to 400 liters of rinsing liquid per minute, in particular 95 to 150 liters of rinsing liquid per minute. The drill string has a through opening through the tubular boom sections in the assembled passageway from the end remote from the drilling and / or expansion tool to the end facing the drilling and / or flaring tool so that the drilling fluid to the drilling and / or flaring tool passes through the linkage can be directed.

Bei alternativen Ausführungsformen ist das Zugelement als Seil ausgebildet, wobei eine separate Zuführung zum Zuführen der Spülflüssigkeit zum Bohr- und/oder Aufweitwerkzeug vorgesehen ist. Die separate Zuführung erfolgt insbesondere über einen Schlauch.In alternative embodiments, the tension member is formed as a rope, wherein a separate feed for supplying the rinsing liquid to the drilling and / or expansion tool is provided. The separate supply takes place in particular via a hose.

Besonders vorteilhaft ist es, wenn die Steuereinheit den von der Pumpe erzeugten Volumenstrom direkt proportional, insbesondere linear, zur Vorschubgeschwindigkeit ändert. Hierdurch ist eine einfache Steuerung, insbesondere eine einfache Bestimmung der bereitzustellenden und zu fördernden Menge Spülflüssigkeit möglich. It is particularly advantageous if the control unit changes the volume flow generated by the pump directly proportional, in particular linear, to the feed rate. As a result, a simple control, in particular a simple determination of the amount of flushing liquid to be provided and to be conveyed is possible.

Weiterhin ist es vorteilhaft, wenn die Steuereinheit die Pumpe derart steuert, dass der Volumenstrom beim Betrieb der Vorrichtung einen voreingestellten Mindestvolumenstrom nicht unterschreitet. Hierdurch wird sichergestellt, dass immer Spülflüssigkeit am Bohr- und/oder Aufweitwerkzeug vorhanden ist bzw. austritt, damit das Bohr- und/oder Aufweitwerkzeug erforderlichenfalls ausreichend gekühlt und der Bohrkanal stabilisiert wird. Auch wird hierdurch sichergestellt, dass bei einer geringen Vorschubgeschwindigkeit oder bei Stillstand die durch die rohrförmigen Gestängeabschnitte gebildete Spülflüssigkeitszuleitung nicht leerläuft, so dass bei erneutem Beginn des Vorschubs des Bohr- und/oder Aufweitwerkzeugs ausreichend Spülflüssigkeit im Bereich des Bohr- und/oder Aufweitwerkzeugs austritt und bei steigender Vorschubgeschwindigkeit unmittelbarerhöht werden kann.Furthermore, it is advantageous if the control unit controls the pump such that the volume flow during operation of the device does not fall below a preset minimum volume flow. This ensures that flushing fluid is always present or exits at the drilling and / or expansion tool so that, if necessary, the drilling and / or expansion tool is sufficiently cooled and the bore channel is stabilized. This also ensures that at a low feed rate or at standstill the Spülflüssigkeitszuleitung formed by the tubular pipe sections does not run idle, so that when the start of the advance of the drilling and / or expansion tool sufficient flushing liquid in the area of the drilling and / or expansion tool emerges and can be increased immediately with increasing feed rate.

Ferner ist es vorteilhaft, wenn eine lineare Abhängigkeit des Volumenstroms der Spülflüssigkeit im Bereich zwischen einem voreingestellten Mindestvolumenstrom und einem voreingestellten maximalen Volumenstrom von der Vorschubgeschwindigkeit im Bereich vom Stillstand bis zu einer voreingestellten maximalen Vorschubgeschwindigkeit besteht. Alternativ oder in einer weiteren Betriebsart kann eine lineare Abhängigkeit des Volumenstroms der Spülflüssigkeit im Bereich zwischen einem voreingestellten Mindestvolumenstrom und einem voreingestellten maximalen Volumenstrom von der Vorschubgeschwindigkeit im Bereich zwischen einer voreingestellten unteren Vorschubgeschwindigkeit bis zu einer voreingestellten maximalen Vorschubgeschwindigkeit bestehen. Dabei kann es vorteilhaft sein, wenn der voreingestellte Mindestvolumenstrom, der voreingestellte maximale Volumenstrom, die voreingestellte untere Vorschubgeschwindigkeit und die voreingestellte maximale Vorschubgeschwindigkeit, beispielsweise über eine Bedieneinheit der Vorrichtung, einstellbar und/oder änderbar sind. Dadurch sind eine einfache Bedienung und ein sicherer Betrieb der Vorrichtung möglich. Insbesondere kann hierdurch einfach der Bereich der linearen Abhängigkeit des Volumenstroms von der Vorschubgeschwindigkeit eingestellt werden.Furthermore, it is advantageous if there is a linear dependence of the volume flow of the rinsing liquid in the range between a preset minimum volume flow and a preset maximum volume flow from the feed speed in the range from standstill to a preset maximum feed rate. Alternatively or in a further operating mode, a linear dependence of the volume flow of the rinsing liquid in the range between a preset minimum volume flow and a preset maximum volume flow of the feed rate in the range between a preset lower feed rate up to a preset maximum feed rate. It may be advantageous if the preset minimum volume flow, the preset maximum flow rate, the preset lower feed rate and the preset maximum feed rate, for example via an operating unit of the device, are adjustable and / or changeable. As a result, a simple operation and safe operation of the device are possible. In particular, this makes it easy to set the range of the linear dependence of the volume flow on the feed rate.

Weiterhin ist es vorteilhaft, wenn die Steuereinheit die Antriebseinheit zum Antrieb des Bohr- und/oder Aufweitwerkzeugs steuert. Die Steuereinheit kann die Antriebseinheit dann derart steuern, dass die Vorschubgeschwindigkeit des Bohrgestänges beim Erreichen des mit Hilfe der Pumpe maximal erreichbaren Volumenstroms der Spülflüssigkeit nicht weiter erhöht. Dadurch wird sichergestellt, dass ausreichend Spülflüssigkeit am Bohr- und/oder Aufweitwerkzeug zum Erzeugen oder Aufweiten der Erdbohrung verfügbar ist, insbesondere zum Transport von dem aus der Erdbohrung abzuführenden Erdreich.Furthermore, it is advantageous if the control unit controls the drive unit for driving the drilling and / or expansion tool. The control unit can then control the drive unit in such a way that the feed rate of the drill string does not increase further when the volume flow of the flushing fluid that can be achieved with the aid of the pump is reached. This ensures that sufficient rinsing fluid is available on the drilling and / or expansion tool for generating or expanding the earth hole, in particular for transporting the soil to be removed from the earth hole.

Weiterhin ist es vorteilhaft, wenn ein Sensor die Bohrgeschwindigkeit des Bohrwerkzeugs und/oder die Einzugsgeschwindigkeit des Aufweitwerkzeugs als Vorschubgeschwindigkeit ermittelt und eine Information über die Vorschubgeschwindigkeit zur Steuereinheit überträgt. Alternativ oder zusätzlich kann ein Sensor vorgesehen sein, der den mit Hilfe der Pumpe erzeugten Volumenstrom der Spülflüssigkeit ermittelt und eine Information über den Volumenstrom zur Steuereinheit überträgt. Hierdurch kann die Steuereinheit die Vorschubgeschwindigkeit korrekt ermitteln und/oder den durch die Pumpe erzeugten Volumenstrom der Spülflüssigkeit kann exakt eingestellt werden. Hierbei ist es besonders vorteilhaft, wenn die Steuereinheit die Vorschubgeschwindigkeit auf einen voreingestellten Sollwert regelt oder in Abhängigkeit eines zum Drehen des Zug- und/oder Druckelements beim Bohren oder Aufweiten aufgewendeten Drehmoments, wobei das Drehmoment insbesondere durch den für eine hydraulische Antriebseinheit zum Drehen des Zug- und/oder Druckelements erforderlichen Arbeitsdruck ermittelt wird. Dabei ist es besonders vorteilhaft, wenn das Drehmoment auf einem voreingestellten Drehmomentensollwert geregelt wird und die Vorschubgeschwindigkeit des Zug- und/oder Druckelements als Stellgröße dient. Hierdurch ist ein einfacher und insbesondere automatischer Betrieb der Vorrichtung möglich.Furthermore, it is advantageous if a sensor determines the drilling speed of the drilling tool and / or the feed speed of the expanding tool as the feed rate and transmits information about the feed rate to the control unit. Alternatively or additionally, a sensor may be provided which determines the volume flow of the rinsing liquid generated by means of the pump and transmits information about the volume flow to the control unit. As a result, the control unit can correctly determine the feed rate and / or the volume flow of the flushing liquid generated by the pump can be set exactly. It is particularly advantageous if the control unit controls the feed rate to a preset target value or depending on a torque used to rotate the tension and / or pressure element during drilling or expansion, wherein the torque in particular by that for a hydraulic drive unit for rotating the train - And / or pressure element required working pressure is determined. It is particularly advantageous if the torque is controlled to a preset torque setpoint and the feed rate of the tensile and / or pressure element serves as a manipulated variable. As a result, a simple and in particular automatic operation of the device is possible.

Ferner ist es vorteilhaft, wenn ein Spülflüssigkeitstank zum Bereitstellen der Spülflüssigkeit vorgesehen ist und wenn ein Sensor den Füllstand der Spülflüssigkeit im Spülflüssigkeitstank detektiert sowie eine Information über den Füllstand im Spülflüssigkeitstank zur Steuereinheit überträgt. Die Steuereinheit kann dann beim Erreichen eines voreingestellten unteren Grenzwerts des Füllstandes den Antrieb des Zug- und/oder Druckelements bzw. des Gestänges beim Erreichen oder Unterschreiten des unteren Grenzwerts stoppen. Dadurch wird sichergestellt, dass während des Bohrvorgangs ausreichend Spülflüssigkeit sowohl zum gegebenenfalls erforderlichen Kühlen des Bohr- und/oder Aufweitwerkzeugs und/oder zum Austrag des abzubauenden Erdreichs aus der Erdbohrung zur Verfügung steht.Furthermore, it is advantageous if a rinsing liquid tank is provided for providing the rinsing liquid and when a sensor detects the level of the rinsing liquid in the rinsing liquid tank and transmits information about the level in the rinsing liquid tank to the control unit. The control unit can then stop the drive of the tension and / or pressure element or the linkage upon reaching or falling below the lower limit value when reaching a preset lower limit of the level. This ensures that sufficient rinsing fluid is available for the optionally required cooling of the drilling and / or expansion tool and / or for the discharge of the soil to be excavated from the borehole during the drilling process.

Besonders vorteilhaft ist es, wenn die Spülflüssigkeit Wasser und Betonit, Wasser und Polymere oder Wasser, Betonit und Polymere enthält. Hierdurch ist der Einsatz von für Erdbohrungen günstigen Spülflüssigkeiten einfach möglich.It is particularly advantageous if the rinsing liquid contains water and concrete, water and polymers or water, Betonit and polymers. As a result, the use of cheap for drilling holes flushing liquids is easily possible.

Besonders vorteilhaft ist es, wenn ein Sensor den Druck der Spülflüssigkeit zwischen der Pumpe und dem Bohr- und/oder Aufweitwerkzeug ermittelt und eine dem Druck entsprechende Information zur Steuereinheit überträgt. Dann kann die Steuereinheit die Pumpe derart steuern, dass die Pumpe bis zum Erreichen eines voreingestellten Mindestdrucks der Spülflüssigkeit ihre maximale Förderleistung erzielt, so dass die Pumpe den mit Hilfe dieser Pumpe maximal möglichen Volumenstrom erzeugt. Dadurch ist ein sehr schnelles Befüllen der durch die Gestängeabschnitte gebildeten Leitung zwischen Pumpe und Bohr- und/oder Aufweitwerkzeug mit Spülflüssigkeit möglich, so dass nur geringe Stillstandszeiten erforderlich sind, in denen kein aktiver Bohrvorgang erfolgt. It is particularly advantageous if a sensor determines the pressure of the rinsing liquid between the pump and the drilling and / or expansion tool and transmits information corresponding to the pressure to the control unit. The control unit can then control the pump in such a way that the pump achieves its maximum delivery rate until a preset minimum pressure of the rinsing fluid is reached, so that the pump generates the maximum possible volume flow with the aid of this pump. As a result, a very rapid filling of the line formed by the rod sections between the pump and drilling and / or expansion tool with rinsing liquid is possible, so that only small downtime is required, in which no active drilling takes place.

Hierbei ist es vorteilhaft, wenn die Steuereinheit die Pumpe nach dem Erreichen des Mindestdrucks derart ansteuert, dass der Volumenstrom der Spülflüssigkeit auf einen voreingestellten Mindestvolumenstrom reduziert wird, wenn kein Vorschub des Bohr- und/oder Aufweitwerkzeugs erfolgt. Hierdurch wird erreicht, dass nur der Mindestvolumenstrom an Spülflüssigkeit austritt, wenn kein Vorschub erfolgt, so dass Spülflüssigkeit gespart werden kann.It is advantageous if the control unit controls the pump after reaching the minimum pressure such that the volume flow of the rinsing liquid is reduced to a preset minimum volume flow, if no feed of the drilling and / or expansion tool takes place. This ensures that only the minimum volume flow of flushing liquid exits when no feed, so that flushing liquid can be saved.

Ferner ist es besonders vorteilhaft, wenn ein Sensor den Druck der Spülflüssigkeit zwischen der Pumpe und dem Bohr- und/oder Aufweitwerkzeug ermittelt und eine dem Druck entsprechende Information zur Steuereinheit überträgt. Die Steuereinheit kann dann dem Antrieb zum Vorschub des Bohr- und/oder Aufweitwerkzeugs erst nach dem Erreichen des Mindestdrucks aktivieren. Hierdurch wird sichergestellt, dass kein Vorschub des Bohr- und/oder Aufweitwerkzeugs erfolgt, bis die Mindestmenge an Spülflüssigkeit am Bohr-und/oder Aufweitwerkzeug austritt. Hierdurch ist insbesondere ein einfacher, und falls gewünscht auch ein automatischer, Betrieb der Vorrichtung möglich.Furthermore, it is particularly advantageous if a sensor determines the pressure of the rinsing liquid between the pump and the drilling and / or expansion tool and transmits an information corresponding to the pressure to the control unit. The control unit can then activate the drive for advancing the drilling and / or expansion tool only after reaching the minimum pressure. This ensures that no advance of the drilling and / or expansion tool takes place until the minimum amount of flushing fluid emerges from the drilling and / or expansion tool. As a result, in particular a simple, and if desired also an automatic, operation of the device is possible.

Weiterhin ist es vorteilhaft, wenn die Steuereinheit die Vorrichtung erst in einer ersten Betriebsart derart steuert, dass der Volumenstrom der Spülflüssigkeit unabhängig von der Vorschubgeschwindigkeit insbesondere manuell durch eine Bedienperson einstellbar ist. Ferner kann die Steuereinheit die Vorrichtung in einer zweiten Betriebsart derart steuern, dass der Volumenstrom der Spülflüssigkeit proportional zur Vorschubgeschwindigkeit geändert wird, wobei vorzugsweise eine Umschaltung während des Betriebs der Vorrichtung zwischen der ersten Betriebsart und der zweiten Betriebsart erfolgt. Hierdurch kann die Vorrichtung einfach in der ersten Betriebsart in Betrieb gesetzt werden und anschließend in die zweite Betriebsart umgeschaltet werden, so dass die Vorrichtung sehr einfach und sicher bedient werden kann.Furthermore, it is advantageous if the control unit first controls the device in a first operating mode in such a way that the volume flow of the rinsing fluid can be set independently of the feed speed, in particular manually by an operator. Furthermore, the control unit can control the device in a second operating mode such that the volume flow of the rinsing fluid is changed proportionally to the feed rate, wherein preferably during the operation of the device between the first mode and the second mode of operation. As a result, the device can be easily put into operation in the first mode and then switched to the second mode, so that the device can be operated very easily and safely.

Weiterhin ist es vorteilhaft, wenn die Steuereinheit die für eine Erdbohrung oder die für eine Aufweitung einer Erdbohrung erforderliche Menge Spülflüssigkeit pro Streckenabschnitt ausgehend von mindestens einem Parameter der zu erzeugenden Bohrung oder Aufweitung ermittelt. Die Steuereinheit kann dann die Pumpe derart ansteuern, dass der Volumenstrom der Spülflüssigkeit in Abhängigkeit der Vorschubgeschwindigkeit so eingestellt wird, dass die ermittelte Menge Spülflüssigkeit pro Streckenabschnitt am Bohr- und/oder Aufweitwerkzeug austritt. Hierdurch ist eine automatisch gesteuerte Zufuhr von Spülflüssigkeit einfach möglich, so dass ein einfacher Betrieb der Vorrichtung möglich ist.Furthermore, it is advantageous if the control unit determines the quantity of flushing liquid required per borehole section for a borehole or for an expansion of a borehole starting from at least one parameter of the borehole or expansion to be generated. The control unit can then control the pump in such a way that the volume flow of the rinsing liquid is adjusted as a function of the feed rate such that the determined amount of rinsing liquid exits the drilling and / or expansion tool per section. As a result, an automatically controlled supply of rinsing liquid is easily possible, so that a simple operation of the device is possible.

Ein zweiter Aspekt der Erfindung betrifft ein Verfahren zur Steuerung einer Vorrichtung zum Erzeugen oder Aufweiten einer Erdbohrung im Erdreich, bei dem ein mit einem Bohr- und/oder Aufweitwerkzeug verbindendes Zug- und/oder Druckelement mit Hilfe einer Antriebseinheit mit einer Vorschubgeschwindigkeit in Richtung seiner Längsachse von der Antriebseinheit weg oder zur Antriebseinheit hin bewegt wird. Bei dem Verfahren wird eine Spülflüssigkeit zum Bohr- und/oder Aufweitwerkzeug gefördert, die am Bohr- und/oder Aufweitwerkzeug austritt. Der Volumenstrom der am Bohr- und/oder Aufweitwerkzeug austretenden Spülflüssigkeit wird abhängig von der Vorschubgeschwindigkeit eingestellt. Besonders vorteilhaft ist es, wenn der Volumenstrom der am Bohr- und/oder Aufweitwerkzeug austretenden Spülflüssigkeit abhängig von der Vorschubgeschwindigkeit geregelt wird. Hierdurch ist ein einfacher und sicherer Betrieb der Vorrichtung zum Erzeugen oder Aufweiten einer Erdbohrung im Erdreich möglich. Das Verfahren kann dabei in gleicher Weise weitergebildet werden wie die Vorrichtung, insbesondere mit den Merkmalen der abhängigen Ansprüche.A second aspect of the invention relates to a method for controlling a device for creating or expanding a ground hole in the ground, in which a tension and / or pressure element connecting with a drilling and / or expansion tool is moved by means of a drive unit at a feed rate in the direction of its longitudinal axis away from the drive unit or to the drive unit is moved. In the method, a rinsing liquid is conveyed to the drilling and / or expansion tool, which emerges from the drilling and / or expansion tool. The volume flow of the drilling fluid exiting at the drilling and / or expansion tool is set as a function of the feed rate. It is particularly advantageous if the volume flow of the rinsing liquid leaving the drilling and / or expanding tool is regulated as a function of the feed rate. As a result, a simple and safe operation of the device for generating or expanding a hole in the ground is possible. The method can be developed in the same way as the device, in particular with the features of the dependent claims.

Weitere Merkmale und Vorteile ergeben sich aus der folgenden Beschreibung, die die Erfindung anhand von Ausführungsbeispielen im Zusammenhang mit den beigefügten Figuren näher erläutert.Further features and advantages will become apparent from the following description, which illustrates the invention with reference to embodiments in conjunction with the accompanying figures.

Es zeigen:

  • 1A eine schematische Darstellung einer Bohranlage zum gesteuerten Bohren einer Pilotbohrung, mit der eine Durchgangsöffnung im Erdreich erzeugt wird, die nachfolgend mithilfe eines Aufweitwerkzeugs aufweitbar ist;
  • 1B einen vergrößerten Ausschnitt der Bohranlage nach1A, wobei der Bohrkopf zum Erzeugen der Pilotbohrung dargestellt ist;
  • 1C eine schematische Darstellung einer Bohranlage zum Aufweiten der mit der Bohranlage nach1A erzeugten Pilotbohrung mithilfe eines Aufweitwerkzeugs;
  • 1D einen vergrößerten Ausschnitt der Bohranlage nach1C, wobei das Aufweitwerkzeug zum Aufweiten der Pilotbohrung dargestellt ist;
  • 2 ein Blockschaltbild mit Steuerkomponenten zum Steuern der an einem Bohr- oder Aufweitwerkzeug der Bohranlage nach den1A bis1D austretenden Menge Spülflüssigkeit;
  • 3 einen Ablaufplan zum Steuern des Volumenstroms der am Bohr- oder Aufweitwerkzeug nach den1A bis1D austretenden Spülflüssigkeit; und
  • 4 ein Diagramm mit dem Verlauf des Volumenstroms der Spülflüssigkeit in Abhängigkeit der Vorschubgeschwindigkeit des Bohr- oder Aufweitwerkzeugs der Bohranlage gemäß einer Ausführungsform.
Show it:
  • 1A a schematic representation of a drilling rig for controlled drilling a pilot hole, with which a passage opening in the soil is produced, which is subsequently expandable by means of a Aufweitwerkzeugs;
  • 1B an enlarged section of the drill after 1A wherein the drill head is shown for generating the pilot hole;
  • 1C a schematic representation of a drilling rig for expanding with the drilling rig after 1A created pilot hole using a flaring tool;
  • 1D an enlarged section of the drill after 1C wherein the expansion tool for expanding the pilot hole is shown;
  • 2 a block diagram with control components for controlling the drilling or Aufweitwerkzeug the rig after the 1A to 1D escaping amount of rinsing liquid;
  • 3 a flow chart for controlling the volume flow of the drilling or expansion tool after the 1A to 1D exiting rinsing liquid; and
  • 4 a diagram with the course of the volume flow of the washing liquid as a function of the feed rate of the drilling or Aufweitwerkzeugs the drilling rig according to one embodiment.

In1A ist eine Bohranlage10 zum gesteuerten Bohren einer Pilotbohrung gezeigt. Die Bohranlage10 arbeitet nach einem Horizontalbohrverfahren, das auch als Horizontal Directional Drilling (HDD) Verfahren bezeichnet wir. Im vorliegenden Ausführungsbeispiel wird hierzu eine unter der Handelsbezeichnung Terra-Jet erhältliche Horizontalbohranlage eingesetzt. Eine solche Horizontalbohranlage ist beispielsweise aus dem DokumentDE 101 15 233 A1 bekannt. Beim HDD-Verfahren wird ein aus mehreren Gestängeabschnitten13 zusammengesetztes Gestänge14 mithilfe eines Horizontalbohrgerätes12 an einem Startpunkt16 mit einem an dem Horizontalbohrgerät12 entfernten Ende des Gestänges14 angeordneten Bohrkopf20 in Richtung des PfeilsP0 in das Erdreich18 eingebracht. Das Horizontalbohrgerät12 hat eine Pumpe42, die über einen Schlauch48 Spülflüssigkeit46 aus einem Spülflüssigkeitsbehälter40 ansaugt und mit hohem Druck in das hohle Gestänge14 fördert. Die Spülflüssigkeit46 tritt mit hohem Druck am Bohrkopf20 aus. Durch den hohen Druck und durch Hartmetallzähne des Bohrkopfs20 wird ein Bohrloch ins Erdreich18 geschnitten.In 1A is adrilling rig 10 shown for the controlled drilling of a pilot hole. Thedrilling rig 10 works according to a horizontal drilling method, which we also call Horizontal Directional Drilling (HDD). In the present embodiment, a horizontal drilling rig available under the trade name Terra-Jet is used for this purpose. Such a horizontal drilling rig is for example from the document DE 101 15 233 A1 known. The HDD method is one ofseveral linkage sections 13composite linkage 14 using a horizontalboring machine 12 at astarting point 16 with one on thehorizontal drill 12 distant end of thelinkage 14 arrangeddrill head 20 in the direction of the arrow P0 in thesoil 18 brought in. Thehorizontal drill 12 has apump 42 that have a hose 48 rinse 46 from a rinsingfluid container 40 sucks and with high pressure in thehollow rod 14 promotes. The rinsingliquid 46 occurs at high pressure on thedrill head 20 out. Due to the high pressure and carbide teeth of thedrill head 20 becomes a hole in theground 18 cut.

Der Bohrkopf20 ist an seinem vorderen Ende asymmetrisch abgeflacht und wird mithilfe des Gestänges14 zum Erzeugen eines geraden Bohrlochs kontinuierlich gedreht. Bei einer gewünschten seitlichen Bewegung, Aufwärtsbewegung oder Abwärtsbewegung wird der Bohrkopf20 in einer für diese gewünschte Bewegung geeigneten Position angehalten und nicht weitergedreht, so dass aufgrund der asymmetrisch abgeflachten Form des vorderen Endes des Bohrkopfs20 eine entsprechende Ablenkbewegung des Bohrkopfs20 im Erdreich18 erfolgt. In1B ist eine Detailansicht des von dem Horizontalbohrgerät12 entfernten Endes des Gestänges14 zusammen mit dem Bohrkopf20 gezeigt. Im Bohrkopf20 ist eine elektronische Sonde angeordnet, die mithilfe eines entsprechenden Ortungsgerätes jederzeit von der Erdoberfläche aus exakt geortet werden kann, so dass die Position des Bohrkopfs20 im Erdreich18 jederzeit exakt bestimmbar ist.Thedrill head 20 is asymmetrically flattened at its front end and is using thelinkage 14 continuously rotated to produce a straight borehole. Upon a desired lateral movement, upward movement or downward movement, the drill head becomes 20 stopped in a suitable position for this desired movement and not further rotated, so that due to the asymmetrically flattened shape of the front end of the drill head 20 a corresponding deflection movement of thedrill head 20 in thesoil 18 he follows. In 1B is a detail of that of the horizontalboring machine 12 distant end of thelinkage 14 together with thedrill head 20 shown. In thedrill head 20 an electronic probe is arranged, which can be located with the help of a suitable locating device at any time from the earth's surface exactly, so that the position of thedrill head 20 in thesoil 18 can be determined exactly at any time.

Die Bewegungsbahn des Bohrkopfs20 und damit der Verlauf des Bohrkanals15 der Pilotbohrung wird einfach durch kontrolliertes Stoppen der Drehung des Bohrkopfs20 über das Gestänge14 gesteuert, so dass die Steuerfläche des Bohrkopfs20 in eine für die gewünschte Bewegung erforderliche Stellung gebracht wird. Auch nach dem gezielten Stoppen der Drehung des Bohrkopfs20 wird mit Hilfe der Pumpe42 weiterhin Spülflüssigkeit46 durch das Gestänge14 gefördert und der Bohrkopf20 wird weiter über das Gestänge14 vorangetrieben, so dass mithilfe der Spülflüssigkeit46 und des Vortriebs des Bohrkopfs20 der Bohrvorgang des gewünschten Verlaufs des Bohrlochs fortgesetzt wird.The trajectory of thedrill head 20 and thus the course of thedrilling channel 15 the pilot hole is easily controlled by stopping the rotation of thedrill bit 20 over thelinkage 14 controlled so that the control surface of thedrill head 20 is brought into a required position for the desired movement. Even after the targeted stopping of the rotation of thedrill head 20 is using thepump 42 continue rinsingfluid 46 through thelinkage 14 promoted and thedrill head 20 will continue over thelinkage 14 driven forward, so using the rinsingfluid 46 and the propulsion of thedrill head 20 the drilling process of the desired course of the borehole is continued.

Nach Erreichen des Zielpunkts22, der beispielsweise in einer Zielgrube vorgesehen ist, wird der Bohrkopf20 durch einen Aufweitkopf24 ersetzt, der beim Zurückziehen des Gestänges14 die zuvor erzeugte Pilotbohrung aufweitet und gleichzeitig ein HDPE-Rohr26 einzieht, wie dies in den1C und1D gezeigt ist. HDPE-Rohre sind aus High-Density-Polyethylen hergestellt, wobei dieses High-Density-Polyethylen ein thermoplastischer Kunststoff mit hoher Dichte ist, so dass die aus HDPE hergestellten Rohre eine hohe Zähigkeit und Steifigkeit, eine sehr gute chemische Beständigkeit, gute Gleiteigenschaften, geringe Feuchtigkeitsaufnahme, sehr gute Verarbeitungseigenschaften, sehr gut verschweißbar sind und physiologisch unbedenklich sind. Bei anderen Ausführungsformen können auch Rohre26 aus anderen Materialien, insbesondere aus Metall, eingezogen werden.After reaching thedestination 22 which is provided in a target pit, for example, becomes thedrill bit 20 through a wideninghead 24 replaced when retracting thelinkage 14 the previously created pilot hole widens and at the same time aHDPE pipe 26 moves in, like this in the 1C and 1D is shown. HDPE pipes are made of high density polyethylene, this high density polyethylene being a high density thermoplastic so that the pipes made of HDPE have high toughness and rigidity, very good chemical resistance, good sliding properties, low density Moisture absorption, very good processing properties, are very good weldable and are physiologically harmless. In other embodiments, tubes may also be used 26 be drawn from other materials, in particular metal.

Das Horizontalbohrgerät12 erzeugt die für den Aufweitvorgang erforderliche Zugkraft am Gestänge14 und leitet weiterhin Spülflüssigkeit46 zum Aufweitkopf24. Die Spülflüssigkeit46 unterstützt zumindest das Aufweiten der Pilotbohrung und dient ferner zum Ableiten und Austragen des beim Aufweitvorgang gelösten überschüssigen Erdreichs18. Insbesondere bei steinigem Erdreich18, Geröll und Fels muss zumindest ein Teil des mithilfe des Aufweitwerkzeugs24 beim Aufweitvorgang kontaktierten Erdreichs18 abgeführt werden. Dies kann insbesondere durch den Ringspalt zwischen dem als Bohrkanal15 bezeichneten bereits aufgeweiteten Bereich der Pilotbohrung und dem eingezogenen Rohr26 erfolgen. Die in den Ringspalt eingebrachte Spülflüssigkeit46 verringert auch die Mantelreibung zwischen dem Rohr26 und dem Bohrkanal15.Thehorizontal drill 12 generates the pulling force required for the expansion process on theboom 14 and also passes flushingfluid 46 to theexpansion head 24 , The rinsingliquid 46 supports at least the expansion of the pilot hole and also serves to drain and discharge the excess soil dissolved during theexpansion process 18 , Especially instony soil 18 Scree and rock must be at least part of using theexpansion tool 24 during the expansion process contactedsoil 18 be dissipated. This can in particular by the annular gap between the as adrill channel 15 designated already flared area of the pilot hole and the retractedtube 26 respectively. The rinsing liquid introduced into theannular gap 46 also reduces the jacket friction between thetube 26 and thedrilling channel 15 ,

Zur Vermeidung einer nicht zentrischen Aufweitung der Pilotbohrung, insbesondere in Folge einer Ablenkung des Aufweitwerkzeugs24 durch inhomogenes Erdreich, hat das Aufweitwerkzeug24 einen Zentrierbereich25, der in Bezug auf den Aufweitbereich31 des Aufweitwerkzeugs24 in Bewegungsrichtung des Aufweitwerkzeugs24 stromaufwärts angeordnet ist und im Wesentlichen dem Durchmesser der aufgeweiteten Öffnung entspricht. Dadurch hat das Aufweitwerkzeug24 über den Zentrierbereich25 eine große Abstützfläche, über die eine Gegenkraft zu den auf den Aufweitbereich31 quer zur BewegungsrichtungP1 wirkenden Querkräfte bereitgestellt werden kann. Dadurch wird eine Ablenkung des Aufweitwerkzeugs24 auf einfache Art und Weise wirkungsvoll vermieden, so dass die Pilotbohrung bzw. eine bereits im Erdreich18 vorhandene Durchgangsöffnung mithilfe des Aufweitwerkzeugs24 zentrisch aufgeweitet werden kann.To avoid a non-centric widening of the pilot bore, in particular as a result of a deflection of theexpansion tool 24 by inhomogeneous soil, has the expansion tool 24 a centering area 25 who in relation to theexpansion area 31 of theexpansion tool 24 in the direction of movement of theexpansion tool 24 is arranged upstream and substantially corresponds to the diameter of the flared opening. This has theexpansion tool 24 over the centering area 25 a large support surface, over which a counterforce to the on theAufweitbereich 31 transverse to the direction of movement P1 acting transverse forces can be provided. This will cause a deflection of theexpansion tool 24 effectively avoided in a simple manner, so that the pilot hole or one already in theground 18 existing through hole using theexpansion tool 24 can be widened centrally.

Gleichzeitig mit dem Aufweitvorgang wird das neu zu verlegende Rohr26, im vorliegenden Fall ein HDPE-Rohr, eingezogen. Je nach Untergrund können auch zwei oder mehr Aufweitwerkzeuge24 nacheinander mit bis zu einem Durchmesser von 1000 mm eingesetzt werden. Üblicherweise werden dann Rohre26 bis zu einem Durchmesser von 800 mm oder ein Rohrbündel aus mehreren Rohren eingezogen. Als Spülflüssigkeit46 kann Wasser mit Betonit oder Polymeren eingesetzt werden. Solche Spülflüssigkeiten46 stabilisieren den Bohrkanal15, vermindern die Reibung zwischen Bohrgestänge14 und Erdreich18 sowie die Reibung zwischen dem einzuziehenden Rohr26 und dem Erdreich18. Ferner wird mithilfe der Spülflüssigkeit46 Erdreich18 durch das bereits zum Teil eingezogene Rohr26 aus dem Bohrkanal15 herausgefördert.Simultaneously with the expansion process, the new pipe to be laid 26 , in this case a HDPE pipe, retracted. Depending on the substrate, two or more expansion tools can also be used 24 be used in succession up to a diameter of 1000 mm. Usually thenpipes 26 drawn up to a diameter of 800 mm or a tube bundle of several tubes. As rinsingfluid 46 Water can be used with Betonit or polymers.Such rinsing liquids 46 stabilize thedrill channel 15 , reduce the friction betweendrill pipe 14 andsoil 18 and the friction between the pipe to be recovered 26 and thesoil 18 , Further, using the rinse liquid 46soil 18 through the already partially retractedpipe 26 from thedrilling channel 15 conveyed out.

1D zeigt einen vergrößerten Ausschnitt der in1C gezeigten Anordnung10. In diesem Ausschnitt sind das von dem Horizontalbohrgerät12 entfernte Ende des Gestänges14, der Aufweitkopf24 und das bereits zum Teil ins Erdreich18 eingezogene Rohr26 dargestellt. 1D shows an enlarged section of the in 1C shownarrangement 10 , In this section are those of thehorizontal drill 12 distant end of thelinkage 14 , theexpansion head 24 and that already partly into thesoil 18 retractedpipe 26 shown.

Eine Steuereinheit50 des Horizontalbohrgeräts12, insbesondere eine speicherprogrammierbare Steuereinheit (SPS), steuert die Pumpe42 zum Fördern der Spülflüssigkeit46 durch das Gestänge14 an. Die Pumpe42 ist durch die Steuereinheit50 insbesondere derart ansteuerbar, dass der Volumenstrom der durch die Pumpe42 geförderten und somit der am Bohr- bzw. Aufweitkopf20,24 austretenden Spülflüssigkeit46 steuerbar ist.Acontrol unit 50 of the horizontalboring machine 12 , in particular a programmable logic controller (PLC), controls thepump 42 for conveying the rinsingliquid 46 through thelinkage 14 on. Thepump 42 is through thecontrol unit 50 in particular so controllable that the flow through thepump 42 funded and thus the at the drilling orexpander 20 . 24 exiting rinseliquid 46 is controllable.

Das Horizontalbohrgerät12 hat vorzugsweise einen Drehantrieb zum Drehen des Gestänges14 um eine Längsachse und den Vorschubantrieb zum Bewegen des Gestänges14 entlang seiner Längsachse durch das Erdreich18 zusammen mit dem an dem vom Vorschubantrieb entfernten Ende des Gestänges14 mit diesem verbundenen Bohrkopf20 oder Aufweitkopf24.Thehorizontal drill 12 preferably has a rotary drive for rotating thelinkage 14 about a longitudinal axis and the feed drive for moving thelinkage 14 along its longitudinal axis through thesoil 18 together with the end of the linkage remote from thefeed drive 14 with thisconnected drill head 20 orexpander 24 ,

2 zeig ein Blockschaltbild mit Steuerkomponenten zum Steuern der an einem Bohr- oder Aufweitwerkzeug20,24 der Bohranlage10 nach den1A bis1D austretenden Menge Spülflüssigkeit46. Die Steuereinheit50 ist mit einer ersten Antriebseinheit52 zum Vortrieb des Gestänges14 verbunden. Die Antriebseinheit52 ist vorzugsweise eine hydraulische Antriebseinheit, wobei eine erste Sensoreinheit54 den Arbeitsdruck, mit dem die erste Antriebseinheit52 betrieben wird, erfasst und eine Information über den Druck an die Steuereinheit50 übermittelt. Mit Hilfe der Information über den ermittelten Druck kann die Steuereinheit50 unmittelbar die Kraft ermitteln, mit der das Gestänge14 und das mit dem Gestänge14 verbundene Bohr- und/oder Aufweitwerkzeug20,24 durch das Erdreich18 bewegt wird. Die Steuereinheit50 ist ferner mit einer zweiten Antriebseinheit56 zum Drehen des Gestänges14 verbunden. Auch die zweite Antriebseinheit56 zum Drehen des Gestänges14 ist vorzugsweise eine hydraulische Antriebseinheit. Ferner ist eine zweite Sensoreinheit58 zum Erfassen des durch die Antriebseinheit56 erzeugten Drehmoments zum Drehen des Gestänges14 vorgesehen. Bei der Ausführung der zweiten Antriebseinheit56 als hydraulische Antriebseinheit kann die zweite Sensoreinheit58 einen Drucksensor umfassen, der den Arbeitsdruck der zweiten Antriebseinheit56 erfasst. Über den auf das Gestänge14 wirkenden bekannten Hebelarm kann einfach das am Bohr- und/oder Aufweitkopf20,24 übermittelte Drehmoment ermittelt werden. Die zweite Sensoreinheit58 ermittelt somit eine Information über die am Gestänge14 zu dessen Drehung wirkende Kraft, das am Gestänge14 wirkende Moment und/oder den zum Betrieb der zweiten Antriebseinheit56 wirkenden Arbeitsdruck, wenn die zweite Antriebseinheit56 als hydraulische Antriebseinheit ausgebildet ist. 2 show a block diagram with control components for controlling the on a drilling orAufweitwerkzeug 20 . 24 thedrilling rig 10 after the 1A to 1D escaping amount of rinsingliquid 46 , Thecontrol unit 50 is with afirst drive unit 52 for propulsion of thelinkage 14 connected. Thedrive unit 52 is preferably a hydraulic drive unit, wherein afirst sensor unit 54 the working pressure with which thefirst drive unit 52 is operated, recorded and information about the pressure to thecontrol unit 50 transmitted. With the help of the information about the determined pressure the control unit can 50 Immediately determine the force with which thelinkage 14 and that with thelinkage 14 connected drilling and / orexpansion tool 20 . 24 through thesoil 18 is moved. Thecontrol unit 50 is also with asecond drive unit 56 for turning thelinkage 14 connected. Also thesecond drive unit 56 for turning thelinkage 14 is preferably a hydraulic drive unit. Furthermore, asecond sensor unit 58 for detecting by thedrive unit 56 generated torque for rotating thelinkage 14 intended. In the execution of thesecond drive unit 56 as a hydraulic drive unit, the second sensor unit 58 a pressure sensor, the working pressure of thesecond drive unit 56 detected. About the force acting on the Gestänge14 known lever arm can easily on the drilling and / orexpander 20 . 24 transmitted torque can be determined. Thesecond sensor unit 58 thus determines information about the on thelinkage 14 force acting on its rotation, that on thelinkage 14 acting moment and / or the operation of thesecond drive unit 56 acting working pressure when thesecond drive unit 56 is designed as a hydraulic drive unit.

Ferner ist die Pumpe42 zum Pumpen der Spülflüssigkeit mit der Steuereinheit50 verbunden und wird durch die Steuereinheit50 angesteuert. Ferner kann eine dritte Sensoreinheit60 zur Ermittlung der Drehzahl der Pumpe42 und/oder des Volumenstroms der Spülflüssigkeit46 vorgesehen sein, die eine Information über die Drehzahl und/oder den Volumenstrom der Spülflüssigkeit46 durch das Gestänge14 an die Steuereinheit50 übermittelt, die dann den ermittelten Istwert des Volumenstroms mit einem voreingestellten Sollwert des Volumenstroms der Spülflüssigkeit46 vergleicht und bei einer Abweichung des Istwerts vom Sollwert die Pumpe42 derart ansteuert, dass die Sollwertabweichung des Istwerts eine Antriebseinheit der Pumpe42 derart ansteuert, dass die Sollwertabweichung verringert oder beseitigt wird. Somit erfolgt eine Regelung des Volumenstroms der Spülflüssigkeit auf einen voreingestellten bzw. zuvor von der Steuereinheit50 ermittelten Sollwert. Die Ermittlung des Sollwerts für den Volumenstrom der Spülflüssigkeit46 erfolgt erfindungsgemäß dadurch, dass die Steuereinheit50 abhängig von der mit Hilfe einer sechsten Sensoreinheit64 ermittelten Vorschubgeschwindigkeit des Gestänges14 den erforderlichen Volumenstrom der Spülflüssigkeit46 ermitelt. Somit wird bei einer Änderung der Vorschubgeschwindigkeit automatisch der Sollwert für den Volumenstrom der Spülflüssigkeit46 verändert. Ferner ist der Füllstandssensor44 zum Ermitteln des Füllstands der Spülflüssigkeit im Spülflüssigkeitsbehälter40 als vierte Sensoreinheit mit der Steuereinheit50 verbunden und übermittelt eine Information über den Füllstand der Spülflüssigkeit46 im Spülflüssigkeitbehälter40 an die Steuereinheit50, so dass diese bei Unterschreiten eines voreingestellten Sollwerts sowohl die erste Antriebseinheit52 als auch die zweite Antriebseinheit56 stoppt. Eine fünfte Sensoreinheit62 ermittelt den Druck, mit dem die Pumpe42 die Spülflüssigkeit46 durch das Gestänge14 fördert.Further, thepump 42 for pumping the flushing liquid with thecontrol unit 50 connected and is controlled by thecontrol unit 50 driven. Furthermore, athird sensor unit 60 to determine the speed of thepump 42 and / or the volume flow of the rinsingliquid 46 be provided, the information about the speed and / or the flow rate of the rinsingliquid 46 through thelinkage 14 to thecontrol unit 50 which then transmits the determined actual value of the volume flow with a preset desired value of the volume flow of the rinsingliquid 46 compares and in case of a deviation of the actual value from the setpoint thepump 42 such that the setpoint deviation of the actual value is a drive unit of thepump 42 such that the setpoint deviation is reduced or eliminated. Thus, a control of the volume flow of the rinsing liquid is carried out to a pre-set or previously by thecontrol unit 50 determined setpoint. The determination of the setpoint for the volume flow of the rinsingliquid 46 takes place according to the invention in that thecontrol unit 50 depends on the with the help of asixth sensor unit 64 determined feed rate of thelinkage 14 the required volume flow of the rinsingliquid 46 ermitelt. Thus, when changing the feed speed automatically the setpoint for the flow rate of thewashing liquid 46 changed. Further, thelevel sensor 44 for determining the filling level of the rinsing liquid in the rinsingliquid container 40 as a fourth sensor unit with thecontrol unit 50 connected and transmits information about the level of the rinsingliquid 46 in the rinsingliquid container 40 to thecontrol unit 50 so that these falls below a preset setpoint, both thefirst drive unit 52 as well as thesecond drive unit 56 stops. Afifth sensor unit 62 determines the pressure with which thepump 42 the rinsingliquid 46 through thelinkage 14 promotes.

3 zeigt einen Ablaufplan zum Steuern der am Bohr- und/oder Aufweitwerkzeug der1a bis1d austretenden Menge Spülflüssigkeit46. Der Ablauf wird im SchrittS10 gestartet. Anschließend wird im SchrittS12 geprüft, ob ein Spülvorgang aktiv ist, d. h. ob die Pumpe42 Spülflüssigkeit46 durch das Gestänge14 zum Bohr- und/oder Aufweitkopf20,24 fördert. Ist dies nicht der Fall, so wird SchrittS12 erneut ausgeführt. Wird im SchrittS12 jedoch festgestellt, dass der Spülvorgang aktiv ist, so wird anschließend im SchrittS14 geprüft, ob der mit Hilfe der Sensoreinheit62 ermittelte Druck der Spülflüssigkeit46 im Gestänge14 einen voreingestellten Mindestdruck erreicht oder überschritten hat. Ist das nicht der Fall, so wird anschließend im SchrittS16 die Pumpe42 durch die Steuereinheit50 derart angesteuert, dass diese Spülflüssigkeit46 mit maximalem Volumenstrom in das rohrförmige Gestänge14 fördert. Anschließend wird SchrittS14 erneut ausgeführt. 3 shows a flow chart for controlling the drilling and / or Aufweitwerkzeug the 1a to 1d escaping amount of rinsingliquid 46 , The process is in step S10 started. Subsequently, in step S12 Checks whether a flushing process is active, ie whether thepump 42 rinse 46 through thelinkage 14 for drilling and / or expandinghead 20 . 24 promotes. If this is not the case, then step S12 run again. Will in step S12 However, if it is determined that the flushing process is active, then in step S14 Checked whether the with the help of thesensor unit 62 determined pressure of the rinsingliquid 46 in thelinkage 14 has reached or exceeded a preset minimum pressure. If this is not the case, then in step S16 thepump 42 through thecontrol unit 50 activated such that this rinsingliquid 46 with maximum flow in thetubular rod 14 promotes. Subsequently, step S14 run again.

Wird im SchrittS14 jedoch festgestellt, dass der ermittelte Druck der Spülflüssigkeit46 im Gestänge14 den voreingestellten Wert für den Mindestdruck erreicht oder überschritten hat, so wird anschließend im SchrittS18 die Pumpe42 durch die Steuereinheit50 derart angesteuert, dass die Pumpe lediglich einen voreingestellten Mindestvolumenstrom Spülflüssigkeit46 in das Gestänge14 fördert. Anschließend erfolgt im SchrittS20 eine Freigabe der ersten Antriebseinheit52 und der zweiten Antriebseinheit56. Dadurch kann die Steuereinheit50 die erste Antriebseinheit52 sowie die zweite Antriebseinheit56 automatisch aktivieren oder alternativ durch eine Bedieneingabe einer Bedienperson an einem Bedienpult des Bohrgeräts12 aktivieren. Anschließend wird im SchrittS22 mit Hilfe der sechsten Sensoreinheit64 die Vorschubgeschwindigkeit des Gestänges14 ermittelt. Ausgehend von der im SchrittS22 ermittelten Vorschubgeschwindigkeit berechnet die Steuereinheit50 den Wert des mit Hilfe der Pumpe42 zu erzeugenden Volumenstroms der Spülflüssigkeit46. Dabei erfolgt die Berechnung auf der Grundlage der direkten Abhängigkeit des zu erzeugenden Volumenstroms von der ermittelten Vorschubgeschwindigkeit. Vorzugsweise handelt es sich hierbei um eine lineare Abhängigkeit, zumindest in einem Bereich der Vorschubgeschwindigkeit.Will in step S14 However, found that the determined pressure of the rinsingliquid 46 in thelinkage 14 has reached or exceeded the preset value for the minimum pressure, then in step S18 thepump 42 through thecontrol unit 50 controlled so that the pump only a preset minimum volumeflow rinsing fluid 46 in thelinkage 14 promotes. Subsequently, in the step S20 a release of thefirst drive unit 52 and thesecond drive unit 56 , This allows thecontrol unit 50 thefirst drive unit 52 as well as thesecond drive unit 56 automatically activate or, alternatively, by an operator input on a control panel of thedrill 12 activate. Subsequently, in step S22 with the help of thesixth sensor unit 64 the feed rate of thelinkage 14 determined. Starting from the in step S22 calculated feed rate calculated by thecontrol unit 50 the value of using thepump 42 to be generated volume flow of thewashing liquid 46 , The calculation is based on the direct dependence of the volume flow to be generated on the determined feed rate. This is preferably a linear dependence, at least in a range of the feed rate.

Ausgehend vom ermittelten zu erzeugenden Volumenstrom wird anschließend im SchrittS26 die Pumpe42 durch die Steuereinheit50 derart angesteuert, dass die Pumpe42 mit einer dem zu erzeugenden Volumenstrom entsprechenden Drehzahl betrieben wird. Im SchrittS28 wird dann geprüft, ob die erste Antriebseinheit52 und die zweite Antriebseinheit56 gestoppt worden sind. Ist das nicht der Fall, so wird der Ablauf im SchrittS22 fortgesetzt, wobei die SchritteS22 bisS28 erneut abgearbeitet werden.Based on the determined volume flow to be generated is then in step S26 thepump 42 through thecontrol unit 50 so controlled that thepump 42 is operated with a corresponding to the volume flow to be generated speed. In step S28 is then checked to see if thefirst drive unit 52 and thesecond drive unit 56 have been stopped. If this is not the case, then the process in step S22 continued, taking the steps S22 to S28 be processed again.

Wird im SchrittS28 jedoch festgestellt, dass sowohl die erste Antriebseinheit52 als auch die zweite Antriebseinheit56 gestoppt worden sind, so wird anschließend im SchrittS30 geprüft, ob der Bohrvorgang beendet werden soll. Ist das nicht der Fall, d. h. wenn der Bohrvorgang nur kurzzeitig unterbrochen worden ist und ohne Gestängewechsel weitergeführt werden soll, wird der Ablauf im SchrittS18 fortgesetzt und die Pumpe42 durch die Steuereinheit50 derart angesteuert, dass der voreingestellte Mindestvolumenstrom an Spülflüssigkeit46 in das Gestänge14 gefördert wird.Will in step S28 However, found that both thefirst drive unit 52 as well as thesecond drive unit 56 have been stopped, then in step S30 checked whether the drilling process should be terminated. If this is not the case, ie if the drilling process has been interrupted only for a short time and should continue without linkage change, the process in step S18 continued and thepump 42 through thecontrol unit 50 controlled such that the preset minimum volume flow of flushingfluid 46 in thelinkage 14 is encouraged.

Wird im SchrittS30 jedoch festgestellt, dass ein Ende des Bohrvorgangs erfolgen soll, insbesondere weil die Erdbohrung bzw. der Aufweitvorgang beendet ist oder ein Gestängeabschnitt zum Gestänge14 hinzugefügt werden soll oder ein Gestängeabschnitt vom Gestänge14 entfernt werden soll, so wird der Ablauf im SchrittS32 beendet. Nach einem Gestängewechsel oder nach einem Austausch des Bohrwerkzeugs20 gegen das Aufweitwerkzeug24 wird der Ablauf erneut gestartet.Will in step S30 However, it has been found that an end of the drilling operation is to take place, in particular because the borehole or the expansion process has ended or a linkage section to thelinkage 14 to be added or a linkage section from thelinkage 14 should be removed, then the process in step S32 completed. After a linkage change or after an exchange of thedrilling tool 20 against theexpansion tool 24 the process is started again.

Bei anderen Ausführungsformen wird die Vorschubgeschwindigkeit in Abhängigkeit der Vorschubkraft und/oder des Vorschubdrehmoments geregelt. Bei weiteren Ausführungsformen kann der mit Hilfe der Pumpe42 geförderte Volumenstrom der Spülflüssigkeit46 erfasst und auf den im SchrittS24 berechneten Sollwert geregelt werden. Bei weiteren Ausführungsformen kann anstatt des Gestänges14 auch ein Zugseil eingesetzt werden, wobei die Spülflüssigkeit dann durch einen zusätzlich zum Aufweitwerkzeug24 verlaufenden Schlauch geleitet wird und im Bereich des Aufweitwerkzeugs24 austritt.In other embodiments, the feed rate is controlled in dependence on the feed force and / or the feed torque. In other embodiments, the by means of thepump 42 delivered volume flow of the rinsingliquid 46 captured and on the in step S24 calculated setpoint. In further embodiments, instead of thelinkage 14 Also, a pull rope are used, the rinse liquid then by an addition to theexpansion tool 24 running hose and in the area of theexpansion tool 24 exit.

Bei den beschriebenen Ausführungsformen kann eine Bedienperson, insbesondere ein Bohrmeister, aufgrund ihrer/seiner Erfahrung den aus seiner Sicht optimalen Volumenstrom der Spülflüssigkeit46 für den konkret vorliegenden bzw. zu erwartenden Untergrund bei einer relativ geringen Vorschubgeschwindigkeit einstellen. Der Volumenstrom der Spülflüssigkeit wird auch als Spülleistung bezeichnet. Der Volumenstrom ist zumindest dann korrekt eingestellt, wenn am Ende des Bohrkanals15 ein kontinuierlicher Austrag von Bohrschlamm, d. h. von Spülflüssigkeit gemischt mit abgebauten Erdreich18, stattfindet. In diesem Fall startet die Steuereinheit50 mit dem Ablauf nach3 erst im SchrittS22, d. h. die SchritteS12 bisS20 werden nicht ausgeführt. Wie bereits erwähnt, kann die Vorschubgeschwindigkeit mit Hilfe eines durch die Steuereinheit50 bereitgestellten Assistenzsystem automatisch dem Untergrund angepasst werden, insbesondere mit Hilfe der bereits erwähnten drehmomentabhängigen Regelung der Vorschubgeschwindigkeit. Eine solche Regelung wird auch als Bohrautomatik bezeichnet. Dadurch wird die Vorschubgeschwindigkeit automatisch reduziert, wenn der Untergrund härter wird, und automatisch erhöht, wenn das Erdreich weicher wird.In the embodiments described, an operator, in particular a drill master, can, on the basis of his / her experience, determine the optimal volume flow of the rinsing liquid from his point ofview 46 for the concrete or expected underground with a relatively low Adjust feed rate. The volume flow of the rinsing liquid is also referred to as flushing power. The volume flow is adjusted correctly at least at the end of the drilling channel 15 a continuous discharge of drilling mud, ie of drilling fluid mixed withdegraded soil 18 , takes place. In this case, the control unit starts 50 with the process after 3 only in the step S22 ie the steps S12 to S20 are not executed. As already mentioned, the feed rate can be controlled by means of acontrol unit 50 provided assistance system are automatically adapted to the ground, in particular by means of the already mentioned torque-dependent control of the feed rate. Such a regulation is also referred to as automatic drilling. This automatically reduces the feed rate as the ground gets harder and increases automatically as the soil softens.

Der wiederholte Ablauf der SchritteS22 bisS24 führt dazu, dass bei zunehmender Vorschubgeschwindigkeit auch die Spülleistung, d. h. der Volumenstrom der Spülflüssigkeit46, zunimmt. Ausgehend von der Einstellung der Spülflüssigkeitsmenge durch eine Bedienperson erfolgt bei einer Erhöhung der Geschwindigkeit eine gleichzeitige Erhöhung der Spülleistung vorzugsweise um denselben Prozentsatz, d. h. wenn die Vorschubgeschwindigkeit um 20 % zunimmt, wird die Spülleistung ebenfalls um 20 % erhöht. Nimmt die Geschwindigkeit um 50 % ab, wird auch die Spülleistung um 50 % reduziert. Das Reduzieren der Spülleistung erfolgt vorzugsweise nur bis zu einem voreingestellten Mindestvolumenstrom. Kann der Volumenstrom der Spülflüssigkeit46 aufgrund des Erreichens des durch die Pumpe46 maximal erzeugten Volumenstroms nicht weiter erhöht werden, so wird die Vorschubgeschwindigkeit nicht weiter erhöht.The repeated sequence of steps S22 to S24 As a result, as the feed rate increases, so does the rinsing capacity, ie, the volume flow of the rinsingliquid 46 , increases. On the basis of the setting of the amount of rinsing liquid by an operator, an increase in speed simultaneously increases the rinsing capacity by the same percentage, ie if the feeding speed increases by 20%, the rinsing power is also increased by 20%. If the speed decreases by 50%, the flushing capacity is also reduced by 50%. The reduction of the flushing power is preferably only up to a preset minimum volume flow. Can the volume flow of the rinsingfluid 46 due to reaching thepump 46 maximum generated volume flow can not be increased further, the feed rate is not further increased.

Durch das Vorsehen eines Mindestvolumenstroms wird sichergestellt, dass selbst dann Spülflüssigkeit42 am Bohr- und/oder Aufweitkopf20,24 austritt, wenn das Bohr- und/oder Aufweitwerkzeug20,24 insbesondere an Fels nur mit sehr geringer Geschwindigkeit gedreht werden kann oder ein Stillstand des Bohr- und/oder Aufweitwerkzeugs20,24 auftritt. Die Vorschubgeschwindigkeit des Gestänges14 kann insbesondere mit einem Wegsensor oder anhand der zum Vorschub des Gestänges14 eingesetzten Menge an Hydraulikflüssigkeit ermittelt werden, wenn es sich bei der Antriebseinheit56 zum Vorschub des Gestänges um einen Hydraulikantrieb handelt. Der Spülflüssigkeitsbehälter40 hat insbesondere ein Fassungsvolumen im Bereich von 1 bis 5 m3. Wird mehr Spülflüssigkeit46 benötigt, können auch mehrere Spülflüssigkeitsbehälter40 vorgesehen sein, die vorzugsweise miteinander verbunden sind oder die umschaltbar mit der Pumpe42 über den Schlauch48 verbunden werden können.The provision of a minimum volume flow ensures that even then rinsingliquid 42 at the drilling and / or expandinghead 20 . 24 emerges when the drilling and / orexpansion tool 20 . 24 especially at rock can be rotated only at very low speed or a stoppage of the drilling and / orAufweitwerkzeugs 20 . 24 occurs. The feed rate of thelinkage 14 can in particular with a displacement sensor or on the basis of the feed of thelinkage 14 used amount of hydraulic fluid can be determined when it comes to thedrive unit 56 to advance the linkage to a hydraulic drive is. The rinsingfluid container 40 in particular has a capacity in the range of 1 to 5 m3 . Will more rinse liquid 46 needed, can also have several rinsingfluid container 40 be provided, which are preferably connected to each other or the switchable with thepump 42 over the hose 48 can be connected.

Der Füllstandssensor44 kann so ausgebildet sein, dass er eine Information über die aktuelle Füllhöhe der Spülflüssigkeit46 im Spülflüssigkeitsbehälter40 angibt, wobei die Steuereinheit50 dann mit Hilfe eines voreingestellten Grenzwerts überprüft, ob dieser erreicht oder unterschritten ist. Bei anderen Ausführungsformen kann der Sensor lediglich ein Signal beim Unterschreiten eines voreingestellten Grenzwerts an die Steuereinheit50 übertragen, so dass die Steuereinheit über das Unterschreiten des voreingestellten Grenzwerts informiert wird. Bei Unterschreiten des voreingestellten Grenzwerts werden die erste Antriebseinheit52 und die zweite Antriebseinheit56 gestoppt, bis wieder ausreichend Spülflüssigkeit46 im Behälter ist oder ein weiterer Spülflüssigkeitsbehälter40 mit der Pumpe42 verbunden worden ist.Thelevel sensor 44 can be designed so that it provides information about the current filling level of the rinsingliquid 46 in the rinsetank 40 indicating, thecontrol unit 50 then checked with the help of a preset limit, whether this is reached or fallen below. In other embodiments, the sensor may only provide a signal to the control unit when it falls below apreset threshold 50 transmitted, so that the control unit is informed of the falling below the preset limit. Falling below the preset limit, thefirst drive unit 52 and thesecond drive unit 56 stopped until again sufficient rinsingfluid 46 in the container or another rinsingfluid container 40 with thepump 42 has been connected.

Beim Unterschreiten des unteren Grenzwerts des Füllstands im Spülflüssigkeitsbehälter40 wird vorzugsweise eine Information über eine Bedieneinheit der Bohreinheit an eine Bedienperson ausgegeben.When falling below the lower limit of the level in the rinsetank 40 For example, information about an operating unit of the drilling unit is output to an operator.

Abhängig von dem Bohrgerät12 werden Gestängeabschnitte von 3 m oder 4,5 m Länge eingesetzt. Bei Großbohranlagen können auch Gestängeabschnitte bis zu 10 m eingesetzt werden. Zum Gestängewechsel stoppt die Bedienperson die erste Antriebseinheit52 und die zweite Antriebseinheit56 und stoppt dann die Pumpe42. Bei anderen Ausführungsformen kann ein automatischer Stopp der ersten Antriebseinheit und der zweiten Antriebseinheit52,56 beim Erreichen eines zum Antrieb des Gestänges14 dienenden Antriebsschlitten des Bohrgeräts12 und die anschließende Abschaltung der Pumpe42. Während des Gestängewechsels wird die Pumpe42 nicht aktiviert, d. h. es erfolgt keine Förderung von Spülflüssigkeit46. Nach dem Gestängewechsel wird die Pumpe42 durch die Steuereinheit50 derart angesteuert, dass sie mit 100 % ihrer Förderleistung betrieben wird. Dies wird solange beibehalten, bis das Gestänge14 wieder mit Spülflüssigkeit46 gefüllt ist und ein voreingestellter Mindestspüldruck erreicht worden ist. Der Mindestspüldruck kann fest voreingestellt sein oder ist über eine Bedieneinheit des Bohrgeräts12, insbesondere durch eine Bedieneingabe einer Bedienperson, änderbar. Der Mindestspüldruck kann bei einer Pilotbohrung nach den1A und1B auf 20 bar voreingestellt sein und für eine Aufweitung einer bereits vorhandenen Erdbohrung nach den1C und1D vorzugsweise bei 10 bar liegen. Somit ist der voreingestellte Mindestspüldruck bei Pilotbohrungen höher als bei Aufweitungen.Depending on thedrill 12 Rod sections of 3 m or 4.5 m in length are used. With large drilling rigs, boom sections up to 10 m can also be used. To change the linkage, the operator stops thefirst drive unit 52 and thesecond drive unit 56 and then stop thepump 42 , In other embodiments, an automatic stop of the first drive unit and thesecond drive unit 52 . 56 when reaching a to drive thelinkage 14 serving drive carriage of thedrill 12 and the subsequent shutdown of thepump 42 , During the linkage change, the pump becomes 42 not activated, ie there is no promotion of rinsingliquid 46 , After the rod change thepump 42 through thecontrol unit 50 controlled so that it is operated at 100% of its capacity. This is maintained until thelinkage 14 again with rinsingliquid 46 is filled and a preset Mindestspüldruck has been achieved. The minimum flushing pressure can be preset or is via a control unit of thedrill 12 , in particular by an operator input of an operator, changeable. The minimum flushing pressure may be at a pilot hole after the 1A and 1B be preset to 20 bar and for an expansion of an existing hole after the 1C and 1D preferably at 10 bar. Thus, the preset Mindestspüldruck pilot holes is higher than at widening.

Nachdem der Mindestspüldruck erreicht worden ist, wird die erste Antriebseinheit52 aktiviert und das Gestänge14 wird gedreht. Sobald die Drehzahl der ersten Antriebseinheit52 den Drehzahlwert des Gestänges14 vor dem Gestängewechsel erreicht hat, wird die zweite Antriebseinheit56 aktiviert und die Vorschubgeschwindigkeit vorzugsweise auf den Vorschubgeschwindigkeitswert vor dem Gestängewechsel eingestellt. Anschließend wird die Bohrautomatik aktiviert, so dass insbesondere eine drehmomentabhängige Einstellung der Vorschubgeschwindigkeit erfolgt.After the minimum scavenging pressure has been reached, the first drive unit becomes 52 activated and thelinkage 14 is turned. As soon as the speed of thefirst drive unit 52 the speed value of thelinkage 14 reached before the boom change has, becomes thesecond drive unit 56 activated and the feed rate preferably adjusted to the feed speed value before the linkage change. Subsequently, the automatic drilling is activated, so that in particular a torque-dependent adjustment of the feed rate.

Bei anderen Ausführungsformen kann die Steuereinheit50 vor dem Start des Bohrvorgangs die zum Durchführen der Bohrung und/oder Aufweitung erforderliche Menge an Spülflüssigkeit berechnen. Hierbei dient die Steuereinheit50 als Bordcomputer der Bohrvorrichtung12.In other embodiments, thecontrol unit 50 Calculate the amount of flushing fluid required to complete the drilling and / or expansion prior to starting the drilling operation. Here, the control unit is used 50 as on-board computer of thedrilling device 12 ,

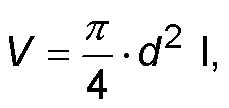
Das korrekte erforderliche Spülvolumen ergibt sich aus dem Volumen der zu erzeugenden Erdbohrung bzw. aus dem Volumen des beim Erzeugen der Erdbohrung oder Aufweiten der Erdbohrung abzubauenden Erdreichs18 und einem Spülungsfaktor. Der Spülungsfaktor wird auch als Mudfaktor bezeichnet. Im Folgenden wird die Berechnung einer für eine konkrete Erdbohrung benötigte Gesamtmenge an Spülflüssigkeit46 erläutert. Es soll ein Bohrkanal15 mit einer Länge von 120 m und einem Durchmesser von 260 mm im Horizontalbohrverfahren hergestellt werden. Das Volumen des zu erzeugenden Bohrkanals15 berechnet sich wie folgt:V=π4d2 l,

Figure DE102018104020A1_0001
wobeiV das Volumen des Bohrkanals15 ist, d der Durchmesser des Bohrkanals15 undI die Länge des Bohrkanals15. Für den 120 m langen Bohrkanal15 mit einem Durchmesser von 260 mm ergibt sich ein Gesamtvolumen von 6.371 l. Dieses Ergebnis kann beispielsweise auf den nächsten 100 l aufgerundet werden. Das VolumenV wird dann mit einem Spülungsfaktor multipliziert. Es wurde erkannt, dass der Spülungsfaktor von den Untergrundverhältnissen, d. h. vom Erdreich18, abhängig ist. Für Kies hat sich ein Spülungsfaktor von3 als günstig erwiesen. Bei speziellen Kiesarten haben sich auch Spülungsfaktoren von4 oder5 als günstig erwiesen. Bei Sand hat sich ein Spülungsfaktor von4 als günstig erwiesen, bei Lehm von5. Bei speziellen Lehmarten waren auch schon Spülungsfaktoren von1 bis2 ausreichend. Bei Ton hat sich ein Spülungsfaktor von6 als günstig erwiesen. Bei sandigem Erdreich18 mit einem Spülungsfaktor von4 ergibt sich bei dem aufgerundeten Volumen des Bohrkanals28 von 6.400 l und einem Spülungsfaktor von4 ein Gesamtbedarf an Spülflüssigkeit46 von 25.600 l. Es ist vorteilhaft, die Spülflüssigkeit46 bereits vor Beginn der Bohrung als Gesamtmenge bereitzustellen. Es sind jedoch auch Mischanlagen bekannt, bei denen die Spülflüssigkeit46 kontinuierlich durch Zuführen von Wasser und Spülflüssigkeitszusätzen, wie Betonit oder Polymere, erzeugt werden. Zum Aufbereiten der Spülflüssigkeit46 sind verschiedene Mischstationen bekannt. Es ist auch möglich, die Spülflüssigkeit nach Gebrauch zu recyceln. Insbesondere kann ein Absetzbehälter vorgesehen sein, in dem sich der Bohrschlamm absetzt und die oben befindliche Spülflüssigkeit der Bohrvorrichtung wieder zugeführt wird.The correct required flushing volume results from the volume of the well bore to be generated or from the volume of the soil to be excavated when creating the wellbore or expanding thewellbore 18 and a mud factor. The mud factor is also called the mud factor. The following is the calculation of a total amount of flushing liquid needed for aspecific wellbore 46 explained. It's supposed to be adrill channel 15 produced with a length of 120 m and a diameter of 260 mm in the horizontal drilling method. The volume of the drilling channel to be created 15 is calculated as follows: V =π 4 d 2 l .
Figure DE102018104020A1_0001
in which V the volume of thedrilling channel 15 is, d is the diameter of thedrilling channel 15 and I the length of thedrilling channel 15 , For the 120 mlong drill channel 15 with a diameter of 260 mm results in a total volume of 6,371 l. For example, this result can be rounded up to the nearest 100 l. The volume V is then multiplied by a mud factor. It was recognized that the rinsing factor of the substrate conditions, ie from thesoil 18 , is dependent. For gravel, a flushing factor of 3 proved favorable. For special types of gravel, mud factors of 4 or 5 proved favorable. Sand has a mud factor of 4 proved to be favorable in loam of 5 , For special types of clay were already flushing factors of 1 to 2 sufficient. When clay has a flushing factor of 6 proved favorable. Insandy soil 18 with a flushing factor of 4 results from the rounded volume of the drilling channel 28 of 6,400 liters and a rinsing factor of 4 a total need for rinsingfluid 46 of 25,600 l. It is beneficial to the rinsingfluid 46 already provide before the start of drilling as a total amount. However, mixing plants are also known in which the rinsingliquid 46 continuously by supplying water and rinse liquid additives, such as Betonit or polymers. For preparing the rinsingliquid 46 Different mixing stations are known. It is also possible to recycle the rinse fluid after use. In particular, a settling tank can be provided, in which the drilling mud settles and the flushing liquid located above is returned to the drilling apparatus.

Das Erzeugen einer HDD-Bohrung mit einem Durchmesser von 260 mm erfolgt üblicherweise in mehreren Schritten. Beispielsweise wird eine Pilotbohrung mit einem Durchmesser von 100 mm erzeugt, wie dies in den1A und1B gezeigt ist. Anschließend erfolgt eine Zwischenaufweitung auf den Durchmesser 200 mm. Nachfolgend erfolgt eine Aufweitung mit gleichzeitigem Rohreinzug auf den Durchmesser von 260 mm, wie dies in den1C und1D gezeigt ist. Vorzugsweise berechnet die Steuereinheit50 für die Pilotbohrung, die Zwischenaufweitung und die Endaufweitung jeweils das konkrete erforderliche Volumen der einzusetzenden Spülflüssigkeit46. Hierzu wird das Volumen des Bohrkanals15 der Pilotbohrung nach oben angegebener Formel berechnet, wodurch sich ein Volumen von 942 l ergibt. Dieses Volumen kann beispielsweise auf 950 l aufgerundet werden. Das erforderliche Spülvolumen an Spülflüssigkeit46 beträgt bei sandigem Boden 3.800 l.Creating an HDD bore with a diameter of 260 mm is usually done in several steps. For example, a pilot hole is produced with a diameter of 100 mm, as in the 1A and 1B is shown. This is followed by an intermediate expansion to the diameter of 200 mm. Subsequently, a widening with simultaneous pipe pulling on the diameter of 260 mm, as in the 1C and 1D is shown. Preferably, the control unit calculates 50 for the pilot hole, the intermediate widening and the final widening, in each case the concrete required volume of the rinsing liquid to be used 46 , For this purpose, the volume of thedrilling channel 15 calculated pilot hole according to the formula given above, resulting in a volume of 942 l. This volume can be rounded up to 950 l, for example. The required flush volume of flushingfluid 46 is 3,800 l in sandy soil.

Zur Berechnung der für die Zwischenaufweitung erforderlichen Spülflüssigkeitsmenge, d. h. dem Spülvolumen, wird zuerst das hinzukommende Volumen durch die Zwischenaufweitung ausgehend von der Pilotbohrung nach folgender Formel berechnet:V=π4(dzwischen2dpilot2) l,

Figure DE102018104020A1_0002
wobei dpilot der Durchmesser der Pilotbohrung ist und dzwischen der Durchmesser der Zwischenaufweitung ist.To calculate the amount of flushing liquid required for the intermediate expansion, ie the flushing volume, first the volume added by the intermediate expansion from the pilot hole is calculated according to the following formula: V =π 4 ( d z w i s c H e n 2 - d p i l O t 2 ) l .
Figure DE102018104020A1_0002
where dpilot is the diameter of the pilot bore and d isbetween the diameter of the intermediate widening.

Ausgehend von der Pilotbohrung ergibt sich somit ein Vergrößerungsvolumen von 2.827 l. Bei einer Aufrundung auf 2.850 l ergibt sich ein Spülvolumen bei sandigem Boden von 11.400 l. Das zusätzliche Volumen der Endaufweitung errechnet sich wie folgt:V=π4(dend2dzwischen2) l,

Figure DE102018104020A1_0003
wobei dend der Durchmesser der Endaufweitung ist. Für das vorliegende Ausführungsbeispiel mit einem Durchmesser der Zwischenaufweitung von 200 mm und einem Durchmesser der Endaufweitung von 260 mm ergibt sich ein zusätzliches Volumen der Endaufweitung von 2.601 l. Bei einer Rundung auf 2.600 l und einem Spülungsfaktor4 bei sandigen Böden ergibt sich ein Gesamtspülvolumen für die Endaufweitung von 10.400 l.Starting from the pilot bore, this results in a magnification volume of 2,827 l. Rounding up to 2,850 l results in a flush volume of 11,400 l for sandy soil. The additional volume of the final expansion is calculated as follows: V =π 4 ( d e n d 2 - d z w i s c H e n 2 ) l .
Figure DE102018104020A1_0003
where d is the diameter of theend end flare. For the present embodiment with a diameter of the intermediate expansion of 200 mm and a diameter of the final expansion of 260 mm results in an additional volume of the final expansion of 2,601 l. With a rounding to 2,600 l and aflushing factor 4 in sandy soil results in a total flushing volume for the final expansion of 10,400 l.

Damit die Steuereinheit50 für jeden Bohrvorgang (Pilotbohrung, Zwischenaufweitung, Endaufweitung) das erforderliche Spülvolumen, d. h. die erforderliche Menge Spülflüssigkeit, ermitteln kann, muss eine Bedienperson über eine Bedienoberfläche des Bohrgeräts12 den Durchmesser des bereits vorhandenen Bohrkanals15 (bei Pilotbohrung ist d = 0), den Durchmesser des im nächsten Schritt zu bohrenden Bohrkanals15 und/oder den Enddurchmesser des zu erzeugenden Bohrkanals, die Länge des zu erzeugenden Bohrkanals15 und den Spülungsfaktor bzw. die Art des Untergrunds eingeben Zur Vereinfachung der weiteren Betrachtung wird angenommen, dass zum Herstellen der Pilotbohrung ein Spülvolumen von 12.000 l ermittelt wird. Die Steuereinheit50 berechnet dann das konkret erforderliche Spülvolumen pro Meter Bohrkanal15 bzw. pro Meter Vortrieb. Hierzu wird das ermittelte Spülvolumen durch die Länge des Bohrkanals15 geteilt. Im vorliegenden Ausführungsbeispiel mit einer Länge des Bohrkanals15 von 120 m ergibt sich somit:1.200 l120 m=100lm.

Figure DE102018104020A1_0004
So that the control unit 50 For each drilling operation (pilot hole, intermediate widening, end widening) the required flushing volume, ie the required amount of flushing liquid, can be determined by an operator via a user interface of the drill 12 the diameter of the existing drill channel 15 (For pilot drilling, d = 0), the diameter of the drilling channel to be drilled in the next step 15 and / or the final diameter of the drilling channel to be created, the length of the drilling channel to be created 15 and enter the mud factor or the type of substrate For the sake of further consideration, it is assumed that a mud volume of 12,000 l is determined to make the pilot hole. The control unit 50 then calculates the actual required flushing volume per meter of drilling channel 15 or per meter propulsion. For this purpose, the determined flushing volume through the length of the drilling channel 15 divided. In the present embodiment with a length of the drilling channel 15 of 120 m results thus: 1200 l 120 m = 100 l m ,
Figure DE102018104020A1_0004

Wird von einer konstanten Vorschubgeschwindigkeit von 2 m/min ausgegangen, so kann die erforderliche Menge an Spülflüssigkeit wie folgt berechnet werden:100lm2mmin=200lmin.

Figure DE102018104020A1_0005
If a constant feed rate of 2 m / min is assumed, the required amount of rinse liquid can be calculated as follows: 100 l m 2 m m i n = 200 l m i n ,
Figure DE102018104020A1_0005

Die Steuereinheit50 steuert die Pumpe42 so an, dass diese bei einer Vorschubgeschwindigkeit von 2 m/min ein Volumenstrom der Spülflüssigkeit46 von 200 l/min erzeugt.Thecontrol unit 50 controls thepump 42 so that they at a feed rate of 2 m / min, a volume flow of the rinsingliquid 46 produced by 200 l / min.

Die Steuereinheit50 berechnet fortlaufend bei sich ändernder Vorschubgeschwindigkeit den von der Pumpe42 zu erzeugenden Volumenstrom der Spülflüssigkeit46. Die Steuereinheit50 kann dabei als Regler dienen, der die Pumpe42 als Stellglied derart ansteuert, dass dem Gestänge14 und somit dem Bohr- und/oder Aufweitkopf20,24 die ermittelte Menge Spülflüssigkeit46 pro Meter zugeführt wird.Thecontrol unit 50 continuously calculates that from the pump as the feed rate changes 42 to be generated volume flow of thewashing liquid 46 , Thecontrol unit 50 can serve as a regulator, thepump 42 as an actuator so controls that thelinkage 14 and thus the drilling and / orexpander head 20 . 24 the determined amount of rinsing liquid 46 per meter is supplied.

Hat die Pumpe42 ihre maximale Förderleistung erreicht, steuert die Steuereinheit50 die zweite Antriebseinheit56 derart an, dass diese die Vorschubgeschwindigkeit nicht weiter erhöht.Has thepump 42 reaches its maximum capacity, controls thecontrol unit 50 thesecond drive unit 56 such that it does not further increase the feed rate.

Verringert sich die Geschwindigkeit unter einen voreingestellten Wert, so wird die Pumpe42 von der Steuereinheit50 derart angesteuert, dass diese eine voreingestellte Mindestmenge bzw. einen voreingestellten Mindestvolumenstrom in das Gestänge14 fördert. Ändert sich die Zusammensetzung des Erdreichs18 bzw. der Untergrund, kann eine Bedienperson den Spülungsfaktor vorzugswiese über eine Bedieneinheit der Bohrvorrichtung12 ändern, vorzugsweise in Schritten von 0,1.If the speed drops below a preset value, the pump becomes 42 from thecontrol unit 50 controlled such that these a preset minimum amount or a preset minimum volume flow in thelinkage 14 promotes. Changes the composition of thesoil 18 or the ground, an operator can vorzugsswiese the flushing factor via an operating unit of thedrilling device 12 change, preferably in increments of 0.1.

Allgemein hat die Spülflüssigkeit folgende Aufgaben:

  1. 1. Das abgebauteErdreich18 wird ausdem Bohrkanal15 ausgetragen.
  2. 2.Der Bohrkanal15 wird durch Bildung einer aus den Spülflüssigkeitszusätzen der Spülflüssigkeit46 gebildeten Wandung stabilisiert. Eine solche Wandung wird auch als Filterkuchenwandung bezeichnet.
  3. 3. Die Mantelreibung zwischen einem einzuziehenden Rohrund dem Erdreich18 wird auf etwa 10 % der Trockenreibung zwischenRohr und Erdreich18 verringert.
Generally, the rinsing liquid has the following tasks:
  1. 1. The minedsoil 18 gets out of thedrilling channel 15 discharged.
  2. 2. Thedrilling channel 15 is formed by forming one of the rinse liquid additives of the rinse liquid 46 stabilized wall stabilized. Such a wall is also referred to as filter cake wall.
  3. 3. The skin friction between a pipe to be recovered and thesoil 18 is about 10% of the dry friction between pipe andsoil 18 reduced.

Die Spülflüssigkeit46 besteht üblicherweise aus Wasser und Betonit. Statt Betonit oder zusätzlich können dem Wasser Polymere zugemischt werden. Dabei ist es vorteilhaft, wenn die Spülflüssigkeit46 zum Erfüllen der oben genannten Aufgaben entsprechend den Untergrundverhältnissen angemischt wird.The rinsingliquid 46 usually consists of water and concrete. Instead of Betonit or in addition to the water polymers can be added. It is advantageous if the rinsingliquid 46 to perform the above tasks according to the background conditions.

4 zeigt ein Diagramm mit dem Verlauf der eingesetzten Menge an Spülflüssigkeit in Abhängigkeit der Vorschubgeschwindigkeit des Bohr- oder Aufweitwerkzeugs20,24 der Bohranlage10 gemäß einer Ausführungsform. Die Vorschubgeschwindigkeit ist hierbei auf derx-Achse und der Volumenstrom der Spülflüssigkeit auf dery-Achse angetragen. Bis zu einer Vorschubgeschwindigkeitv1 wird mit Hilfe der Pumpe42 ein Mindestvolumenstrom V̇min erzeugt. Nach Erreichen der Vorschubgeschwindigkeitv1 und bei einer weiteren Erhöhung der Vorschubgeschwindigkeitv wird der Volumenstrom V̇ linear erhöht, bis die Pumpe42 ihre maximale Förderleistung erreicht hat. Im vorliegenden Ausführungsbeispiel ist der mit Hilfe der Pumpe42 maximal erzeugbare Volumenstrom V̇max. Dies ist im vorliegenden Ausführungsbeispiel bei einer Vorschubgeschwindigkeitv2 der Fall. 4 shows a diagram with the course of the amount of flushing liquid used as a function of the feed rate of the drilling orAufweitwerkzeugs 20 . 24 thedrilling rig 10 according to one embodiment. The feed rate is on the x -Axis and the volume flow of the rinsing liquid on the y Axis. Up to a feed rate v1 is using thepump 42 generates a minimum volume flow V̇min . After reaching the feed speed v1 and at a further increase in the feed rate v the volume flow V̇ is increased linearly until thepump 42 has reached its maximum capacity. In the present embodiment, the by means of thepump 42 maximum volume flow V̇max . This is in the present embodiment at a feed rate v2 the case.

ZITATE ENTHALTEN IN DER BESCHREIBUNG QUOTES INCLUDE IN THE DESCRIPTION

Diese Liste der vom Anmelder aufgeführten Dokumente wurde automatisiert erzeugt und ist ausschließlich zur besseren Information des Lesers aufgenommen. Die Liste ist nicht Bestandteil der deutschen Patent- bzw. Gebrauchsmusteranmeldung. Das DPMA übernimmt keinerlei Haftung für etwaige Fehler oder Auslassungen.This list of the documents listed by the applicant has been generated automatically and is included solely for the better information of the reader. The list is not part of the German patent or utility model application. The DPMA assumes no liability for any errors or omissions.

Zitierte PatentliteraturCited patent literature

  • DE 10115233 A1 [0002, 0026]DE 10115233 A1 [0002, 0026]
  • DE 102015107194 A1 [0003]DE 102015107194 A1 [0003]
  • DE 102010004287 A1 [0003]DE 102010004287 A1 [0003]
  • US 6189628 B1 [0003]US 6189628 B1 [0003]
  • DE 19901001 A1 [0004]DE 19901001 A1 [0004]

Claims (15)

Translated fromGerman
Vorrichtung zum Erzeugen oder Aufweiten einer Erdbohrung im Erdreich,mit einem Bohr- und/oder Aufweitwerkzeug (20, 24), das über ein Zug- und/oder Druckelement (14) mit einer Antriebseinheit (56) verbunden ist und durch diese mit einer Vorschubgeschwindigkeit (v) durch das Erdreich (18) zur Antriebseinheit (56) hin oder von der Antriebseinheit (56) weg bewegbar ist,mit einer Pumpe (42) zum Fördern einer Spülflüssigkeit (46) zum Bohr- und/oder Aufweitwerkzeug (20, 24), wobei die Spülflüssigkeit (46) am Bohr- und/oder Aufweitwerkzeug (20, 24) austritt,mit einer Steuereinheit (50) zum Steuern zumindest der Pumpe (42),dadurch gekennzeichnet,dass die Steuereinheit (50) den durch die Pumpe (42) erzeugten Volumenstrom ( V̇) der Spülflüssigkeit 46 abhängig von der Vorschubgeschwindigkeit (v) einstellt. Device for generating or expanding a ground hole in the ground, with a drilling and / or expansion tool (20, 24), which is connected via a tensile and / or pressure element (14) with a drive unit (56) and through this with a feed rate (v) being movable toward or away from the drive unit (56) through the soil (18) to the drive unit (56), with a pump (42) for conveying a rinse fluid (46) to the drilling and / or expansion tool (20, 24) ), wherein the flushing liquid (46) at the drilling and / or expansion tool (20, 24) emerges, with a control unit (50) for controlling at least the pump (42),characterized in that the control unit (50) by the pump (42) generates the volume flow (V̇) of the rinsing liquid 46 as a function of the feed rate (v).Vorrichtung nachAnspruch 1,dadurch gekennzeichnet, dass das Zug- und/oder Druckelement ein aus mehreren rohrförmigen Gestängeabschnitten zusammengesetztes Bohrgestänge (14) ist, und dass die Pumpe (42) die Spülflüssigkeit(46) durch das Bohrgestänge (14) hindurch zum Bohr- und/oder Aufweitwerkzeug fördert, wobei die Pumpe (42) vorzugsweise einen maximalen Förderdruck im Bereich zwischen 50 bar und 150 bar, insbesondere 75 bar, erzeugt und vorzugsweise eine maximale Förderleistung im Bereich von 50 bis 400 Liter pro Minute, vorzugsweise 95 oder 300 Liter pro Minute, hat. Device after Claim 1characterized in that the pulling and / or pushing element is a drill pipe (14) composed of a plurality of tubular pipe sections, and that the pump (42) passes the drilling fluid (46) through the drill pipe (14) to the drilling and / or flaring tool wherein the pump (42) preferably produces a maximum delivery pressure in the range between 50 bar and 150 bar, in particular 75 bar, and preferably has a maximum delivery rate in the range of 50 to 400 liters per minute, preferably 95 or 300 liters per minute ,Vorrichtung nach einem der vorhergehenden Ansprüche,dadurch gekennzeichnet, dass die Steuereinheit (50) den von der Pumpe (42) erzeugten Volumenstrom ( V̇) direkt proportional, vorzugsweise linear, zur Vorschubgeschwindigkeit (v) ändert. Device according to one of the preceding claims,characterized in that the control unit (50) changes the volume flow (V̇) generated by the pump (42) directly proportional, preferably linear, to the feed rate (v).Vorrichtung nachAnspruch 3,dadurch gekennzeichnet, dass die Steuereinheit (50) die Pumpe (42) derart steuert, dass der Volumenstrom ( V̇) beim Betrieb der Vorrichtung (10, 12) einen voreingestellten Mindestvolumenstrom (V̇min) nicht unterschreitet. Device after Claim 3 ,characterized in that the control unit (50) controls the pump (42) such that the volume flow (V̇) during operation of the device (10, 12) does not fall below a preset minimum volume flow (V̇min ).Vorrichtung nachAnspruch 3 oder4, dass die Steuereinheit die Pumpe derart ansteuert, dass eine lineare Abhängigkeit des Volumenstroms ( V̇) im Bereich zwischen einem voreingestellten Mindestvolumenstrom und einem voreingestellten maximalen Volumenstrom von der Vorschubgeschwindigkeit (v) im Bereich vom Stillstand bis zu einer voreingestellten maximalen Vorschubgeschwindigkeit oder im Bereich zwischen einer voreingestellten unteren Vorschubgeschwindigkeit bis zu einer voreingestellten maximalen Vorschubgeschwindigkeit besteht, wobei vorzugsweise der voreingestellte Mindestvolumenstrom, der voreingestellte maximale Volumenstrom, die voreingestellte untere Vorschubgeschwindigkeit und die voreingestellte maximale Vorschubgeschwindigkeit insbesondere über eine Bedieneinheit einstellbar und/oder änderbar sind. Device after Claim 3 or 4 in that the control unit controls the pump such that a linear dependence of the volume flow (V̇) in the range between a preset minimum volume flow and a preset maximum volume flow from the feed speed (v) in the range from standstill to a preset maximum feed rate or in the range between a preset lower feed rate up to a preset maximum feed rate, wherein preferably the preset minimum volume flow, the preset maximum flow, the preset lower feed rate and the preset maximum feed rate are adjustable and / or changeable in particular via an operating unit.Vorrichtung nach einem der vorhergehendenAnsprüche 2 bis5,dadurch gekennzeichnet, dass die Steuereinheit (50) die Antriebseinheit (56) zum Antrieb des Bohr- und/oder Aufweitwerkzeugs (20, 24) steuert, wobei die Steuereinheit (50) die Antriebseinheit (56) derart steuert, dass die Vorschubgeschwindigkeit (v) des Bohrgestänges (14) beim Erreichen des mit Hilfe der Pumpe (42) maximal erreichbaren Volumenstroms (V̇max) der Spülflüssigkeit (46) nicht weiter erhöht wird. Device according to one of the preceding Claims 2 to 5 ,characterized in that the control unit (50) controls the drive unit (56) for driving the drilling and / or expansion tool (20, 24), wherein the control unit (50) controls the drive unit (56) such that the feed rate (v ) of the drill pipe (14) when reaching the maximum attainable by means of the pump (42) volume flow (V̇max ) of the washing liquid (46) is not further increased.Vorrichtung nach einem der vorhergehenden Ansprüche,dadurch gekennzeichnet, dass ein Sensor die Vorschubgeschwindigkeit des Bohrwerkzeugs (20) und/oder die Einzugsgeschwindigkeit des Aufweitwerkzeugs (24) als Vorschubgeschwindigkeit (v) ermittelt und eine Information über die Vorschubgeschwindigkeit (v) zur Steuereinheit (50) überträgt und/oder dass ein Sensor den mit Hilfe der Pumpe (42) erzeugten Volumenstrom der Spülflüssigkeit (46) ermittelt und eine Information über den Volumenstrom zur Steuereinheit (50) überträgt. Device according to one of the preceding claims,characterized in that a sensor determines the feed rate of the drilling tool (20) and / or the feed rate of the expansion tool (24) as the feed rate (v) and information about the feed rate (v) to the control unit (50). transmits and / or that a sensor determines the volume flow of the rinsing liquid (46) generated by means of the pump (42) and transmits information about the volume flow to the control unit (50).Vorrichtung nach einem der vorhergehenden Ansprüche,dadurch gekennzeichnet, dass ein Spülflüssigkeitsbehälter (40) zum Bereitstellen der Spülflüssigkeit (46) vorgesehen ist, dass ein Sensor (44) den Füllstand der Spülflüssigkeit (46) im Spülflüssigkeitsbehälter (40) detektiert und eine Information über den Füllstand im Spülflüssigkeitsbehälter (40) zur Steuereinheit (50) überträgt, dass die Steuereinheit (50) beim Erreichen eines voreingestellten unteren Grenzwerts des Füllstandes den Antrieb zum Vorschub des Zug- und/oder Druckelements (14) beim Erreichen oder Unterschreiten des unteren Grenzwerts stoppt. Device according to one of the preceding claims,characterized in that a rinsing liquid container (40) for providing the rinsing liquid (46) is provided, that a sensor (44) detects the level of rinsing liquid (46) in the rinsing liquid container (40) and information about the Level in the rinsing liquid container (40) to the control unit (50) transmits that the control unit (50) stops the drive for advancing the tension and / or pressure element (14) when reaching or falling below the lower limit value when reaching a preset lower limit of the level.Vorrichtung nach einem der vorhergehenden Ansprüche,dadurch gekennzeichnet, dass die Spülflüssigkeit (46) Wasser und Betonit und/oder ein Polymer enthält. Device according to one of the preceding claims,characterized in that the rinsing liquid (46) contains water and concrete and / or a polymer.Vorrichtung nach einem der vorhergehenden Ansprüche,dadurch gekennzeichnet, dass ein Sensor den Druck der Spülflüssigkeit zwischen der Pumpe (42) und dem Bohr- und/oder Aufweitwerkzeug (20, 24) ermittelt und eine dem Druck entsprechende Information zur Steuereinheit (50) überträgt, dass die Steuereinheit (50) die Pumpe (42) derart steuert, dass die Pumpe (42) bis zum Erreichen eines voreingestellten Mindestdrucks der Spülflüssigkeit (46) mit ihre maximale Förderleistung betrieben wird.Device according to one of the preceding claims,characterized in that a sensor determines the pressure of the rinsing liquid between the pump (42) and the drilling and / or expansion tool (20, 24) and transmits an information corresponding to the pressure to the control unit (50), in that the control unit (50) controls the pump (42) in such a way that the pump (42) is operated at its maximum delivery rate until a preset minimum pressure of the rinsing liquid (46) has been reached.Vorrichtung nachAnspruch 10,dadurch gekennzeichnet, dass die Steuereinheit (50) die Pumpe (42) nach dem Erreichen des Mindestdrucks derart ansteuert, dass der Volumenstrom ( V̇) der Spülflüssigkeit (46) auf einen voreingestellten Mindestvolumenstrom reduziert wird, wenn kein Vorschub des Bohr- und/oder Aufweitwerkzeugs (20, 24) erfolgt.Device after Claim 10 ,characterized in that the control unit (50) the Pump (42) after reaching the minimum pressure such that the volume flow (V̇) of the rinsing liquid (46) is reduced to a preset minimum volume flow when no advance of the drilling and / or expansion tool (20, 24).Vorrichtung nach einem der vorhergehenden Ansprüche,dadurch gekennzeichnet, dass ein Sensor den Druck der Spülflüssigkeit (46) zwischen der Pumpe (42) und dem Bohr- und/oder Aufweitwerkzeug (20, 24) ermittelt und eine dem Druck entsprechende Information zur Steuereinheit (50) überträgt, dass die Steuereinheit (50) die Antriebseinheit (52) zum Vorschub des Bohr- und/oder Aufweitwerkzeugs (20, 24) erst nach dem Erreichen des Mindestdrucks aktiviert.Device according to one of the preceding claims,characterized in that a sensor determines the pressure of the rinsing liquid (46) between the pump (42) and the drilling and / or expansion tool (20, 24) and a pressure corresponding information to the control unit (50 ) transmits that the control unit (50) activates the drive unit (52) for advancing the drilling and / or expansion tool (20, 24) only after reaching the minimum pressure.Vorrichtung nach einem der vorhergehenden Ansprüche,dadurch gekennzeichnet, dass die Steuereinheit (50) die Vorrichtung (10, 12) in einer ersten Betriebsart derart steuert, dass der Volumenstrom ( V̇) der Spülflüssigkeit (46) unabhängig von der Vorschubgeschwindigkeit (v) einstellbar ist, und dass die Steuereinheit (50) die Vorrichtung (10, 12) in einer zweiten Betriebsart derart steuert, dass der Volumenstrom ( V̇) der Spülflüssigkeit (46) proportional zur Vorschubgeschwindigkeit geändert (v) wird, wobei vorzugsweise eine Umschaltung während des Betriebs der Vorrichtung (10, 12) zwischen der ersten und der zweiten Betriebsart erfolgt.Device according to one of the preceding claims,characterized in that the control unit (50) controls the device (10, 12) in a first operating mode such that the volume flow (V̇) of the rinsing liquid (46) is adjustable independently of the feed rate (v) , and in that the control unit (50) controls the device (10, 12) in a second operating mode such that the volume flow (V̇) of the rinsing liquid (46) is changed (v) in proportion to the feed rate, wherein preferably a changeover during operation of the Device (10, 12) takes place between the first and the second mode.Vorrichtung nach einem der vorhergehenden Ansprüche,dadurch gekennzeichnet, dass die Steuereinheit (50) die für eine Erdbohrung oder für eine Aufweitung einer Erdbohrung erforderliche Menge Spülflüssigkeit (46) pro Streckenabschnitt ausgehend von mindestens einem Parameter der zu erzeugenden Bohrung oder Aufweitung ermittelt und dass die Steuereinheit (50) die Pumpe (42) derart ansteuert, dass der Volumenstrom ( V̇) der Spülflüssigkeit (46) in Abhängigkeit der Vorschubgeschwindigkeit (v) so eingestellt wird, dass die ermittelte Menge Spülflüssigkeit pro Streckenabschnitt am Bohr- und/oder Aufweitwerkzeug (20, 24) austritt.Device according to one of the preceding claims,characterized in that the control unit (50) determines the amount of flushing liquid (46) required per borehole section for a borehole or for a widening of a borehole starting from at least one parameter of the borehole or expansion to be generated, and in that the control unit (50) controls the pump (42) in such a way that the volume flow (V̇) of the rinsing liquid (46) is set as a function of the feed rate (v) such that the determined amount of rinsing liquid per section on the drilling and / or expansion tool (20, 24) leaves.Verfahren zur Steuerung einer Vorrichtung zum Erzeugen oder Aufweiten einer Erdbohrung im Erdreich,bei dem ein mit einem Bohr- und/oder Aufweitwerkzeug (20, 24) verbundenes Zug- und/oder Druckelement (14) mit Hilfe einer Antriebseinheit (52) mit einer Vorschubgeschwindigkeit (v) in Richtung seiner Längsachse von der Antriebseinheit (52) weg oder zur Antriebseinheit (52) hin bewegt wird, bei dem eine Spülflüssigkeit (46) zum Bohr- und/oder Aufweitwerkzeug (20, 24) gefördert wird, die am Bohr- und/oder Aufweitwerkzeug (20, 24) austritt,dadurch gekennzeichnet, dass der Volumenstrom ( V̇) der am Bohr- und/oder Aufweitwerkzeug (20, 24) austretenden Spülflüssigkeit (46) abhängig von der Vorschubgeschwindigkeit (v) eingestellt wird.Method for controlling a device for generating or expanding a ground hole in the ground, in which a tension and / or pressure element (14) connected to a drilling and / or expansion tool (20, 24) is moved at a feed speed by means of a drive unit (52) (v) is moved in the direction of its longitudinal axis away from the drive unit (52) or towards the drive unit (52), in which a rinsing fluid (46) is conveyed to the drilling and / or expansion tool (20, 24) and / or expansion tool (20, 24),characterized in that the volume flow (V̇) of the drilling and / or expansion tool (20, 24) emerging rinsing liquid (46) is set depending on the feed rate (v).
DE102018104020.2A2018-02-222018-02-22 Apparatus for creating or expanding a wellboreWithdrawnDE102018104020A1 (en)

Priority Applications (2)

Application NumberPriority DateFiling DateTitle
DE102018104020.2ADE102018104020A1 (en)2018-02-222018-02-22 Apparatus for creating or expanding a wellbore
EP19157706.3AEP3530871B1 (en)2018-02-222019-02-18Device for generating or extending a borehole

Applications Claiming Priority (1)

Application NumberPriority DateFiling DateTitle
DE102018104020.2ADE102018104020A1 (en)2018-02-222018-02-22 Apparatus for creating or expanding a wellbore

Publications (1)

Publication NumberPublication Date
DE102018104020A1true DE102018104020A1 (en)2019-08-22

Family

ID=65493890

Family Applications (1)

Application NumberTitlePriority DateFiling Date
DE102018104020.2AWithdrawnDE102018104020A1 (en)2018-02-222018-02-22 Apparatus for creating or expanding a wellbore

Country Status (2)

CountryLink
EP (1)EP3530871B1 (en)
DE (1)DE102018104020A1 (en)

Citations (6)

* Cited by examiner, † Cited by third party
Publication numberPriority datePublication dateAssigneeTitle
DE19901001A1 (en)1999-01-132000-10-19Terra Ag Fuer Tiefbautechnik SBorehole drilling device has frame supporting rotary drive provided with drill rod magazine for interchangable drill rods handled via transport arm with drill rod release device
US6315062B1 (en)*1999-09-242001-11-13Vermeer Manufacturing CompanyHorizontal directional drilling machine employing inertial navigation control system and method
DE10115233A1 (en)2000-05-112001-11-15Terra Ag Fuer Tiefbautechnik SHorizontal drilling system has mixing unit mounted on running gear with inlet for connection to liquid source, output connector(s) for reversible connection to flushing liquid sink
US20040028476A1 (en)*2000-01-122004-02-12The Charles Machine Works, Inc.System and method for automatically drilling and backreaming a horizontal bore underground
DE102010004287A1 (en)2010-01-112011-07-14TERRA AG für Tiefbautechnik Method and arrangement for producing and / or expanding a bore hole
DE102015107194A1 (en)2015-05-082016-11-10TERRA AG für Tiefbautechnik Drilling rig for generating or expanding a ground hole in the ground and method for controlling a feed drive of such a rig

Patent Citations (7)

* Cited by examiner, † Cited by third party
Publication numberPriority datePublication dateAssigneeTitle
DE19901001A1 (en)1999-01-132000-10-19Terra Ag Fuer Tiefbautechnik SBorehole drilling device has frame supporting rotary drive provided with drill rod magazine for interchangable drill rods handled via transport arm with drill rod release device
US6189628B1 (en)1999-01-132001-02-20Terra Ag Fuer TiefbautechnikEarth borer system with drill-rod changer
US6315062B1 (en)*1999-09-242001-11-13Vermeer Manufacturing CompanyHorizontal directional drilling machine employing inertial navigation control system and method
US20040028476A1 (en)*2000-01-122004-02-12The Charles Machine Works, Inc.System and method for automatically drilling and backreaming a horizontal bore underground
DE10115233A1 (en)2000-05-112001-11-15Terra Ag Fuer Tiefbautechnik SHorizontal drilling system has mixing unit mounted on running gear with inlet for connection to liquid source, output connector(s) for reversible connection to flushing liquid sink
DE102010004287A1 (en)2010-01-112011-07-14TERRA AG für Tiefbautechnik Method and arrangement for producing and / or expanding a bore hole
DE102015107194A1 (en)2015-05-082016-11-10TERRA AG für Tiefbautechnik Drilling rig for generating or expanding a ground hole in the ground and method for controlling a feed drive of such a rig

Also Published As

Publication numberPublication date
EP3530871A1 (en)2019-08-28
EP3530871B1 (en)2020-09-23

Similar Documents

PublicationPublication DateTitle
DE3035876C2 (en)
EP3081737B1 (en)Drilling apparatus for making a borehole with pipe and method for operating a drilling apparatus
DE3225808C2 (en) Tool and method for making a hardened wall borehole
DE60218282T2 (en) expander
DE2824915C2 (en) Method for producing earth bores open on both sides
EP2505762A2 (en)Drilling device and method for horizontal drilling
DE102013111350A1 (en) Expander tool and device for expanding a passage opening present in the ground
DE19918775A1 (en)Mixing apparatus for the production of a drilling fluid for horizontal boring has a high pressure pump and a pipe for addition medium
EP3091173B1 (en)Drilling system for generating or extending a borehole in the ground and method for controlling an advance of such a drilling system
WO2009095046A1 (en)Method for trenchless laying of pipelines
EP3530871B1 (en)Device for generating or extending a borehole
EP3513039A1 (en)Measurement signal evaluation method
DE10325576B4 (en) Guide head for earth boring and earth boring machine
DE10325560A1 (en) boring machine
EP3112580B1 (en)Method and device for forming an underground pipeline
EP3415708A1 (en)Drilling device
EP4100611B1 (en)Device for laying pipes in the ground
EP1407112A1 (en)Method for producing earth boreholes
DE102007015088B4 (en) Method for the multi-stage production of a bore and apparatus for carrying out the method
DE102017005798B3 (en) A mixing plant and method for producing a drilling fluid for a wellbore and use in producing a drilling fluid for a wellbore
EP3387208B1 (en)Method and device for trenchless laying of a cable or pipe in the ground
EP4368809B1 (en)Flushing device, in particular for installation in a drill string
DE19503177C1 (en)Method of mfr. of concrete posts submerged in ground
DE102020127156B4 (en) Device for drilling a horizontal borehole
EP1785580B1 (en)Process for laying pipes, reamer, boring machine and pipe

Legal Events

DateCodeTitleDescription
R079Amendment of ipc main class

Free format text:PREVIOUS MAIN CLASS: E21B0007280000

Ipc:E21B0007040000

R163Identified publications notified
R119Application deemed withdrawn, or ip right lapsed, due to non-payment of renewal fee

[8]ページ先頭

©2009-2025 Movatter.jp