Movatterモバイル変換


[0]ホーム

URL:


DE102015221985A1 - Imaging optics for imaging an object field in an image field and projection exposure apparatus with such an imaging optics - Google Patents

Imaging optics for imaging an object field in an image field and projection exposure apparatus with such an imaging optics
Download PDF

Info

Publication number
DE102015221985A1
DE102015221985A1DE102015221985.2ADE102015221985ADE102015221985A1DE 102015221985 A1DE102015221985 A1DE 102015221985A1DE 102015221985 ADE102015221985 ADE 102015221985ADE 102015221985 A1DE102015221985 A1DE 102015221985A1
Authority
DE
Germany
Prior art keywords
imaging
diaphragm
beam path
mirror
pupil
Prior art date
Legal status (The legal status is an assumption and is not a legal conclusion. Google has not performed a legal analysis and makes no representation as to the accuracy of the status listed.)
Ceased
Application number
DE102015221985.2A
Other languages
German (de)
Inventor
Markus Schwab
Hans-Jürgen Rostalski
Current Assignee (The listed assignees may be inaccurate. Google has not performed a legal analysis and makes no representation or warranty as to the accuracy of the list.)
Carl Zeiss SMT GmbH
Original Assignee
Carl Zeiss SMT GmbH
Priority date (The priority date is an assumption and is not a legal conclusion. Google has not performed a legal analysis and makes no representation as to the accuracy of the date listed.)
Filing date
Publication date
Application filed by Carl Zeiss SMT GmbHfiledCriticalCarl Zeiss SMT GmbH
Priority to DE102015221985.2ApriorityCriticalpatent/DE102015221985A1/en
Priority to PCT/EP2016/061516prioritypatent/WO2016188934A1/en
Priority to KR1020177036973Aprioritypatent/KR102868300B1/en
Publication of DE102015221985A1publicationCriticalpatent/DE102015221985A1/en
Priority to US15/816,325prioritypatent/US10527832B2/en
Ceasedlegal-statusCriticalCurrent

Links

Images

Classifications

Landscapes

Abstract

Translated fromGerman

Eine abbildende Optik für die Projektionslithographie hat eine Mehrzahl von Spiegeln (M9, M10) zur Abbildung eines Objektfeldes in einer Objektebene in ein Bildfeld (8) in einer Bildebene (9) mit längs eines Abbildungs-Strahlengangs zwischen dem Objektfeld und dem Bildfeld (8) geführtem Abbildungslicht (3). Der im Strahlengang vorletzte Spiegel (M9) hat keine Durchtrittsöffnung zum Durchtritt des Abbildungslichts (3). Die abbildende Optik hat mindestens eine Blende (AS) zur Vorgabe einer äußeren Randkontur einer Pupille der abbildenden Optik. Die Blende (AS) ist räumlich zwischen dem im Strahlengang vorletzten Spiegel (M9) und einem im Strahlengang letzten Spiegel (M10) angeordnet. Bei einem ersten Aspekt hat die abbildende Optik genau eine Blende zur Vorgabe zumindest eines Abschnitts der äußeren Pupillen-Randkontur. Bei einem weiteren Aspekt ist eine Eintrittspupille der abbildenden Optik im Strahlengang des Abbildungslichts (3) vor dem Objektfeld angeordnet. Es resultiert jeweils eine abbildende Optik, die hinsichtlich ihrer Pupille gut definiert und für die Projektionslithographie optimiert ist.An imaging optics for projection lithography has a plurality of mirrors (M9, M10) for imaging an object field in an object plane into an image field (8) in an image plane (9) along an imaging beam path between the object field and the image field (8). led picture light (3). The penultimate in the beam path mirror (M9) has no passage opening for the passage of the imaging light (3). The imaging optics has at least one diaphragm (AS) for specifying an outer edge contour of a pupil of the imaging optics. The diaphragm (AS) is spatially arranged between the mirror (M9) located in the beam path and a mirror (M10) last in the beam path. In a first aspect, the imaging optics have exactly one aperture for specifying at least a portion of the outer pupil edge contour. In a further aspect, an entrance pupil of the imaging optics is arranged in front of the object field in the beam path of the imaging light (3). The result is an imaging optics that is well defined in terms of its pupil and optimized for projection lithography.

Description

Translated fromGerman

Die Erfindung betrifft eine abbildende Optik zur Abbildung eines Objektfeldes in ein Bildfeld. Ferner betrifft die Erfindung ein optisches System mit einer derartigen abbildenden Optik, eine Projektionsbelichtungsanlage mit einem derartigen optischen System, ein Verfahren zur Herstellung eines mikro- beziehungsweise nanostrukturierten Bauteils mit einer derartigen Projektionsbelichtungsanlage sowie ein mit diesem Verfahren hergestelltes mikro- beziehungsweise nanostrukturiertes Bauelement.The invention relates to an imaging optics for imaging an object field in an image field. Furthermore, the invention relates to an optical system having such an imaging optical system, a projection exposure apparatus with such an optical system, a method for producing a microstructured or nanostructured component with such a projection exposure apparatus, and a microstructured or nanostructured component produced by this method.

Projektionsoptiken der eingangs genannten Art sind bekannt aus derDE 10 2015 209 827 A1, aus derDE 10 2012 212 753 A1, aus derUS 2010/0149509 A1 und aus derUS 4,964,706.Projection optics of the type mentioned are known from theDE 10 2015 209 827 A1 , from theDE 10 2012 212 753 A1 , from the US 2010/0149509 A1 and from the US 4,964,706 ,

Es ist eine Aufgabe der vorliegenden Erfindung, eine abbildende Optik der eingangs genannten Art derart weiterzubilden, dass eine hinsichtlich ihrer Pupille gut definierte und für die Projektionslithographie optimierte abbildende Optik resultiert.It is an object of the present invention to further develop an imaging optics of the type mentioned at the beginning in such a way that an imaging optics which is well-defined with regard to its pupil and optimized for projection lithography results.

Diese Aufgabe ist erfindungsgemäß gelöst nach einem ersten Aspekt durch eine abbildende Optik mit den im Anspruch 1 angegebenen Merkmalen und nach einem zweiten Aspekt durch eine abbildende Optik mit den im Anspruch 8 angegebenen Merkmalen.This object is achieved according to a first aspect by an imaging optics having the features specified inclaim 1 and according to a second aspect by an imaging optics with the features specified inclaim 8.

Erfindungsgemäß wurde erkannt, dass ein Bauraum zwischen dem im Strahlengang vorletzten Spiegel und dem im Strahlengang letzten Spiegel trotz der Tatsache, dass sich dort mehrere Abbildungslicht-Teilbündel durchdringen, zur Anordnung einer pupillendefinierenden Blende geeignet ist. Dabei wird der Umstand ausgenutzt, dass eines der sich im Bauraum zwischen dem vorletzten und dem letzten Spiegel durchdringenden Abbildungslicht-Teilbündel hinsichtlich seines Durchmessers in der Regel deutlich größer ist, als die anderen Abbildungslicht-Teilbündel, sodass dort eine randseitige Begrenzung jedenfalls eines äußeren Randkontur-Abschnitts der Pupille der abbildenden Optik möglich ist. Die abbildende Optik kann genau ein Objektfeld und kann genau ein Bildfeld aufweisen. Die abbildende Optik kann eine Eintrittspupille aufweisen, die im Strahlengang von Beleuchtungs- und Abbildungslicht vor dem Objektfeld angeordnet ist. Die abbildende Optik kann entsprechend eine negative Eingangsschnittweite beziehungsweise eine negative Eingangspupillenlage haben. Bei derartigen abbildenden Optiken hat sich die Anordnung einer Blende räumlich zwischen den beiden im Strahlengang letzten Spiegeln als besonders geeignet herausgestellt. Es lässt sich dann eine gut korrigierte abbildende Optik mit hoher bildseitiger numerischer Apertur realisieren. Die Blende kann einen abgeknickten Verlauf haben. Die abbildende Optik kann mindestens einen GI-Spiegel aufweisen, also einen Spiegel für streifenden Einfall mit einem Einfallswinkel, der größer ist als 45°. Der Einfallswinkel auf dem GI-Spiegel kann größer sein als 50°, kann größer sein als 55°, kann größer sein als 60°, kann größer sein als 65°, kann größer sein als 70°, kann größer sein als 75° und kann größer sein als 80°. Die Wirkung der Blende als Aperturblende kann durch Abschattung des Strahlengangs zwischen dem im Strahlengang vorletzten Spiegel und dem im Strahlengang letzten Spiegel der abbildenden Optik erfolgen. Die abbildende Optik kann genau eine Blende zur Vorgabe zumindest eines Abschnitts einer äußeren Randkontur einer Pupille der abbildenden Optik aufweisen. Alternativ können mehrere solcher Blenden zur Vorgabe einander insbesondere komplementär ergänzender Abschnitte der äußeren Randkontur der Pupille der abbildenden Optik vorgesehen sein. Zusätzlich zu dieser, die äußere Randkontur der Pupille vorgebenden Blende kann eine Obskurationsblende zur Vorgabe einer inneren Randkontur einer Obskuration der Pupille vorgesehen sein.According to the invention, it has been recognized that an installation space between the last-to-last mirror in the beam path and the last mirror in the beam path is suitable for arranging a pupil-defining diaphragm despite the fact that several imaging light sub-beams penetrate there. The fact is exploited that one of the in the space between the penultimate and the last mirror penetrating imaging light sub-beam is usually much larger in diameter than the other imaging light sub-beams, so there is an edge boundary in any case an outer edge contour. Section of the pupil of the imaging optics is possible. The imaging optics can be exactly one object field and can have exactly one image field. The imaging optics can have an entrance pupil, which is arranged in front of the object field in the beam path of illuminating and imaging light. The imaging optics can accordingly have a negative input slice width and a negative input pupil slice, respectively. In such imaging optics, the arrangement of a diaphragm spatially between the two last in the beam path has been found to be particularly suitable. It can then realize a well-corrected imaging optics with high image-side numerical aperture. The aperture may have a bent course. The imaging optics can have at least one GI mirror, that is to say a grazing incidence mirror with an angle of incidence which is greater than 45 °. The angle of incidence on the GI mirror can be greater than 50 °, greater than 55 °, greater than 60 °, greater than 65 °, greater than 70 °, greater than 75 °, and greater than 80 °. The effect of the diaphragm as an aperture stop can be done by shading the beam path between the penultimate in the beam path mirror and the last in the beam path mirror of the imaging optics. The imaging optics can have exactly one diaphragm for prescribing at least one section of an outer edge contour of a pupil of the imaging optics. Alternatively, a plurality of such diaphragms may be provided for prescribing each other in particular complementary complementary portions of the outer edge contour of the pupil of the imaging optics. In addition to this, the outer edge contour of the pupil predetermining diaphragm can be provided for setting an inner edge contour obscuration of the pupil obscuration.

Bei einer abbildenden Optik nach Anspruch 2 kommt die erfindungsgemäße Blendenanordnung ebenfalls besonders gut zum Tragen. Die Blende kann dann zusätzlich als Obskurationsblende dienen, also eine Obskuration der Pupille vorgeben. Eine Obskurationswirkung der Blende kann durch Abschattung des Abbildungslichts im Abbildungs-Strahlengang zwischen einem im Strahlengang vorvorletzten Spiegel und dem im Strahlengang vorletzten Spiegel erfolgen.In an imaging optical system according toclaim 2, the diaphragm arrangement according to the invention also comes particularly well to bear. In addition, the diaphragm can then serve as an obscuration diaphragm, ie pretend obscuration of the pupil. An obscuration effect of the diaphragm can be achieved by shading the imaging light in the imaging beam path between a mirror which is in the preceeding to the last in the beam path and the mirror which is at the bottom of the beam path.

Eine azimutale Abdeckung nach Anspruch 3 führt dazu, dass, falls überhaupt, nur ein kleiner, nicht durch die Blende vorgegebener Pupillen-Azimutbereich verbleibt. Der durch die Blende vorgegebene Azimutbereich kann 200°, 220°, 240° betragen oder noch größer sein. Im Extremfall beträgt der Azimutbereich 360°. In diesem Fall begrenzt die Blende die Pupillenrandkontur vollumfänglich.An azimuthal cover according toclaim 3 results in that, if at all, only a small pupil-azimuth range, not given by the diaphragm, remains. The azimuth range given by the diaphragm can be 200 °, 220 °, 240 ° or even greater. In extreme cases, the azimuth range is 360 °. In this case, the aperture limits the pupil edge contour completely.

Genau eine Blende nach Anspruch 4 führt zu einem kompakten Aufbau. Die genau eine Blende kann plan, also in genau einer Ebene liegend, ausgeführt sein.Exactly one panel according toclaim 4 leads to a compact construction. The exactly one aperture can be flat, ie lying in exactly one plane.

Eine zumindest abschnittsweise plan ausgeführte Blende nach Anspruch 5 ist konstruktiv wenig aufwändig. Die Blende kann insgesamt plan ausgeführt sein. Eine Anordnungsebene der Blende, die durch den zumindest abschnittsweisen planen Blendenverlauf vorgegeben ist, kann gegenüber der Objektebene und/oder gegenüber der Bildebene verkippt sein.An at least partially planar designed aperture according toclaim 5 is structurally less expensive. The aperture can be made overall plan. An arrangement plane of the diaphragm, which by the At least in sections, the plan of the diaphragm is predetermined, it can be tilted with respect to the object plane and / or with respect to the image plane.

Eine 3D-Randkontur der Blende nach Anspruch 6 erlaubt eine besonders präzise Pupillenvorgabe. Beim Design der abbildenden Optik muss dann nicht so sehr auf die Blende geachtet werden.A 3D edge contour of the diaphragm according toclaim 6 allows a particularly precise pupil specification. The design of the imaging optics does not have to pay much attention to the aperture.

Eine Randkontur-Begrenzung nach Anspruch 7 erhöht die Freiheitsgrade beim Blendendesign. Die Blende kann einen abgeknickten Verlauf haben und hierüber beispielsweise zwei, drei oder noch mehr Begrenzungsebenen definieren.An edge contour boundary according toclaim 7 increases the degrees of freedom in the diaphragm design. The aperture can have a bent course and define, for example, two, three or even more limiting levels.

Die Vorteile der abbildenden Optik gemäß dem zweiten Aspekt nach Anspruch 8 entsprechen denen, die vorstehend unter Bezugnahme auf die abbildende Optik gemäß dem ersten Aspekt mit zusätzlich negativer Eingangsschnittweite bereits erläutert wurden. Ein gegebenenfalls vorliegender, nicht durch die räumlich zwischen den im Strahlengang vorletzten Spiegel und dem im Strahlengang letzten Spiegel angeordnete Blende vorgegebener Pupillen-Azimut-Bereich kann mit Hilfe weiterer Blenden korrigiert werden. Soweit mindestens eine weitere Blende vorgesehen ist, kann diese beispielsweise auf dem im Strahlengang letzten Spiegel oder auf dem im Strahlengang vorletzten Spiegel angeordnet sein. Auch eine Anordnung der mindestens einen weiteren Blende an einem anderen Ort, beispielsweise im Strahlengang vor dem vorletzten Spiegel ist möglich, zum Beispiel auf einem anderen der Spiegel oder im Bereich anderer Abbildungslicht-Teilbündel.The advantages of the imaging optics according to the second aspect ofclaim 8 correspond to those which have already been explained above with reference to the imaging optics according to the first aspect with additional negative input incision. An optionally present, not by the spatially between the in the beam path penultimate mirror and arranged in the beam path last mirror aperture predetermined pupil-azimuth range can be corrected with the help of other apertures. Insofar as at least one further diaphragm is provided, it can be arranged, for example, on the last mirror in the beam path or on the mirror which is the penultimate in the beam path. An arrangement of the at least one further diaphragm at another location, for example in the beam path in front of the penultimate mirror, is also possible, for example on another of the mirrors or in the region of other imaging light partial beams.

Die Merkmale der abbildenden Optik gemäß den beiden Aspekten können miteinander kombiniert werden.The features of the imaging optics according to the two aspects can be combined with each other.

Die Vorteile eines optischen Systems nach Anspruch 9 entsprechen denen, die vorstehend unter Bezugnahme auf die erfindungsgemäße abbildende Optik bereits erläutert wurden.The advantages of an optical system according toclaim 9 correspond to those which have already been explained above with reference to the imaging optics according to the invention.

Die Vorteile eines optischen Systems nach Anspruch 10 entsprechen insbesondere denjenigen, die vorstehend unter Bezugnahme auf die abbildende Optik nach Anspruch 3 bereits erläutert wurden.The advantages of an optical system according toclaim 10 correspond in particular to those which have already been explained above with reference to the imaging optical system according toclaim 3.

Die Vorteile einer Projektionsbelichtungsanlage nach Anspruch 11, eines Herstellungsverfahrens nach Anspruch 12 sowie eines mikro- beziehungsweise nanostrukturierten Bauteils nach Anspruch 13 entsprechen denen, die vorstehend unter Bezugnahme auf die Projektionsoptik und das optische System und die Projektionsbelichtungsanlage bereits erläutert wurden.The advantages of a projection exposure apparatus according toclaim 11, a production method according toclaim 12 and a microstructured or nanostructured component according toclaim 13 correspond to those which have already been explained above with reference to the projection optics and the optical system and the projection exposure apparatus.

Hergestellt werden kann mit der Projektionsbelichtungsanlage insbesondere ein Halbleiter-Bauteil, beispielsweise ein Speicherchip.In particular, a semiconductor component, for example a memory chip, can be produced with the projection exposure apparatus.

Ausführungsbeispiele der Erfindung werden nachfolgend anhand der Zeichnung näher erläutert. In dieser zeigen:Embodiments of the invention will be explained in more detail with reference to the drawing. In this show:

1 schematisch eine Projektionsbelichtungsanlage für die EUV-Mikrolithographie; 1 schematically a projection exposure system for EUV microlithography;

2 in einem Meridionalschnitt eine Ausführung einer abbildenden Optik, die als Projektionsobjektiv in der Projektionsbelichtungsanlage nach1 einsetzbar ist, wobei ein Abbildungsstrahlengang für Hauptstrahlen und für einen oberen und einen unteren Komastrahl mehrerer ausgewählter Feldpunkte dargestellt ist; 2 in a meridional section, an embodiment of an imaging optics, which according to the projection objective in theprojection exposure apparatus 1 can be used, wherein an imaging beam path for main beams and for an upper and a lower Komastrahl several selected field points is shown;

3 perspektivisch einen Ausschnitt der abbildenden Optik nach2, wobei der Abbildungsstrahlengang mit zusätzlichen Einzelstrahlen des Abbildungslichts verdeutlicht ist, im Bereich eines im Abbildungsstrahlengang vor einem Bildfeld vorletzten und eines letzten Spiegels; 3 in perspective, a section of theimaging optics 2 , wherein the imaging beam path is illustrated with additional individual beams of the imaging light, in the region of a penultimate in the imaging beam path in front of an image field and a last mirror;

4 einen Schnitt gemäß Ebene IV in3, wobei Einhüllende von Abbildungslicht-Teilbündeln im Strahlengang einerseits zwischen dem vorletzten Spiegel und andererseits zwischen dem letzten Spiegel und dem Bildfeld dargestellt sind; 4 a section according to level IV in 3 wherein envelopes of imaging light sub-beams are shown in the beam path on the one hand between the penultimate mirror and on the other hand between the last mirror and the field of view;

5 eine Ansicht der abbildenden Optik nach2, gesehen aus Blickrichtung V in2; 5 a view of the imaging optics behind 2 , seen from view V in 2 ;

5A in einer Aufsicht Randkonturen von auf den Spiegeln der abbildenden Optik nach2 jeweils mit dem Abbildungslicht beaufschlagten Reflexionsflächen; 5A in a planter contours of on the mirrors of theimaging optics 2 each with the imaging light acted upon reflection surfaces;

6 bis9 zu den2 bis5 ähnliche Darstellungen einer weiteren Ausführung einer abbildenden Optik, einsetzbar als Projektionsobjektiv in der Projektionsbelichtungsanlage nach1; 6 to 9 to the 2 to 5 Similar representations of another embodiment of an imaging optics, can be used as a projection lens in the projection exposure system according to 1 ;

10 bis12 zu den2,3 und5 ähnliche Darstellungen einer weiteren Ausführung einer abbildenden Optik, einsetzbar als Projektionsobjektiv in der Projektionsbelichtungsanlage nach1; 10 to 12 to the 2 . 3 and 5 Similar representations of another embodiment of an imaging optics, can be used as a projection lens in the projection exposure system according to 1 ;

13 bis15 zu den2,3 und5 ähnliche Darstellungen einer weiteren Ausführung einer abbildenden Optik, einsetzbar als Projektionsobjektiv in der Projektionsbelichtungsanlage nach1, 13 to 15 to the 2 . 3 and 5 Similar representations of another embodiment of an imaging optics, can be used as a projection lens in the projection exposure system according to 1 .

16 und17 zu den2 und5 ähnliche Darstellungen einer weiteren Ausführung einer abbildenden Optik, einsetzbar als Projektionsoptik in der Projektionsbelichtungsanlage nach1; 16 and 17 to the 2 and 5 Similar representations of a further embodiment of an imaging optics, can be used as projection optics in the projection exposure apparatus according to 1 ;

18 in einer Aufsicht Randkonturen von auf den Spiegeln der abbildenden Optik nach den16 und17 jeweils mit dem Abbildungslicht beaufschlagten Reflexionsflächen; 18 in a planter edge contours of on the mirrors of the imaging optics after the 16 and 17 each with the imaging light acted upon reflection surfaces;

19 perspektivisch einen Ausschnitt der abbildenden Optik nach den16 und17 im Bereich der in einem Abbildungslicht-Strahlengang letzten drei bildseitigen Spiegel; und 19 Perspective a section of the imaging optics after the 16 and 17 in the area of the last three image-side mirrors in an imaging light beam path; and

20 vergrößert eine Aufsicht auf eine Apertur- und Obskurationsblende der abbildenden Optik nach den16,17 und19, die räumlich zwischen dem im Strahlengang vorletzten Spiegel und dem im Strahlengang letzten Spiegel angeordnet ist. 20 enlarges a view of an aperture and Obskurationsbrende the imaging optics after the 16 . 17 and 19 , which is arranged spatially between the last in the beam path mirror and the last mirror in the beam path.

Eine Projektionsbelichtungsanlage1 für die Mikrolithographie hat eine Lichtquelle2 für Beleuchtungslicht beziehungsweise Abbildungslicht3. Bei der Lichtquelle2 handelt es sich um eine EUV-Lichtquelle, die Licht in einem Wellenlängenbereich beispielsweise zwischen 5 nm und 30 nm, insbesondere zwischen 5 nm und 15 nm, erzeugt. Bei der Lichtquelle2 kann es sich insbesondere um eine Lichtquelle mit einer Wellenlänge von 13,5 nm oder um eine Lichtquelle mit einer Wellenlänge von 6,9 nm handeln. Auch andere EUV-Wellenlängen sind möglich. Generell sind sogar beliebige Wellenlängen, zum Beispiel sichtbare Wellenlängen oder auch andere Wellenlängen, die in der Mikrolithographie Verwendung finden können (zum Beispiel DUV, tiefes Ultraviolett) und für die geeigneten Laserlichtquellen und/oder LED-Lichtquellen zur Verfügung stehen (beispielsweise 365 nm, 248 nm, 193 nm, 157 nm, 129 nm, 109 nm), für das in der Projektionsbelichtungsanlage1 geführte Beleuchtungslicht3 möglich. Ein Strahlengang des Beleuchtungslichts3 ist in der1 äußerst schematisch dargestellt.Aprojection exposure machine 1 for microlithography has alight source 2 for illumination light orimaging light 3 , At thelight source 2 it is an EUV light source that generates light in a wavelength range, for example between 5 nm and 30 nm, in particular between 5 nm and 15 nm. At thelight source 2 it may in particular be a light source with a wavelength of 13.5 nm or a light source with a wavelength of 6.9 nm. Other EUV wavelengths are possible. In general, even arbitrary wavelengths, for example visible wavelengths or also other wavelengths which can be used in microlithography (for example DUV, deep ultraviolet) and for the suitable laser light sources and / or LED light sources are available (for example 365 nm, 248 nm) nm, 193 nm, 157 nm, 129 nm, 109 nm) for the in theprojection exposure apparatus 1 ledlighting light 3 possible. A beam path of theillumination light 3 is in the 1 shown very schematically.

Zur Führung des Beleuchtungslichts3 von der Lichtquelle2 hin zu einem Objektfeld4 in einer Objektebene5 dient eine Beleuchtungsoptik6. Mit einer Projektionsoptik beziehungsweise abbildenden Optik7 wird das Objektfeld4 in ein Bildfeld8 in einer Bildebene9 mit einem vorgegebenen Verkleinerungsmaßstab abgebildet. Die Projektionsoptik7 hat genau ein Objektfeld4. Die Projektionsoptik7 hat genau ein Bildfeld8.For guiding theillumination light 3 from thelight source 2 towards anobject field 4 in anobject plane 5 serves alighting optics 6 , With a projection optics orimaging optics 7 becomes theobject field 4 in a picture field 8th in animage plane 9 mapped with a given reduction scale. Theprojection optics 7 has exactly oneobject field 4 , Theprojection optics 7 has exactly one image field 8th ,

Zur Erleichterung der Beschreibung der Projektionsbelichtungsanlage1 sowie der verschiedenen Ausführungen der Projektionsoptik7 ist in der Zeichnung ein kartesisches xyz-Koordinatensystem angegeben, aus dem sich die jeweilige Lagebeziehung der in den Figuren dargestellten Komponenten ergibt. In der1 verläuft die x-Richtung senkrecht zur Zeichenebene in diese hinein. Die y-Richtung verläuft nach links und die z-Richtung nach oben.To facilitate the description of theprojection exposure apparatus 1 as well as the different versions of theprojection optics 7 in the drawing, a Cartesian xyz coordinate system is given, from which the respective positional relationship of the components shown in the figures results. In the 1 the x-direction is perpendicular to the plane of the drawing. The y-direction runs to the left and the z-direction to the top.

Das Objektfeld4 und das Bildfeld8 sind rechteckförmig. Alternativ ist es auch möglich, das Objektfeld4 und Bildfeld8 gebogen beziehungsweise gekrümmt, also insbesondere teilringförmig auszuführen. Das Objektfeld4 und das Bildfeld8 haben ein xy-Aspektverhältnis größer als 1. Das Objektfeld4 hat also eine längere Objektfelddimension in der x-Richtung und eine kürzere Objektfelddimension in der y-Richtung. Diese Objektfelddimensionen verlaufen längs der Feldkoordinaten x und y.Theobject field 4 and the picture box 8th are rectangular. Alternatively, it is also possible to use theobject field 4 and picture box 8th curved or curved, so in particular perform part-ring. Theobject field 4 and the picture box 8th have an xy aspect ratio greater than 1. Theobject field 4 thus has a longer object field dimension in the x direction and a shorter object field dimension in the y direction. These object field dimensions run along the field coordinates x and y.

Für die Projektionsoptik7 kann eines der in den2 ff. dargestellten Ausführungsbeispiele eingesetzt werden. Die Projektionsoptik7 ist anamorphotisch, hat also in der x-Richtung (Verkleinerungsmaßstab in der xz-Ebene) einen anderen Verkleinerungsmaßstab als in der y-Richtung (Verkleinerungsmaßstab in der yz-Ebene). In der x-Richtung hat die Projektionsoptik7 einen Verkleinerungsmaßstab von 4. In der y-Richtung hat die Projektionsoptik7 einen Verkleinerungsmaßstab von 8. Auch andere Verkleinerungsmaßstäbe für die Verkleinerung in der x-Richtung beziehungsweise für die Verkleinerung in der y-Richtung sind möglich, zum Beispiel 4x, 5x oder auch Verkleinerungsmaßstäbe, die größer sind als 8x. Auch eine Ausführung der Projektionsoptik7 mit gleichen derartigen Verkleinerungsmaßstäben einerseits in der xz-Ebene und andererseits in der yz-Ebene ist möglich.For theprojection optics 7 can one of the in the 2 ff. Illustrated embodiments are used. Theprojection optics 7 is anamorphic, so it has a different reduction scale in the x direction (reduction scale in the xz plane) than in the y direction (reduction scale in the yz plane). In the x-direction has the projection optics 7 a reduction scale of 4. In the y-direction has the projection optics 7 A reduction scale of 8 is also possible. Other reduction criteria for the reduction in the x-direction or for the reduction in the y-direction are possible, for example 4x, 5x or even reduction scales which are larger than 8x. Also a version of theprojection optics 7 with same such reduction scales on the one hand in the xz plane and on the other hand in the yz plane is possible.

Die Bildebene9 ist bei der Projektionsoptik7 parallel zur Objektebene5 angeordnet. Abgebildet wird hierbei ein mit dem Objektfeld4 zusammenfallender Ausschnitt einer Reflexionsmaske10, die auch als Retikel bezeichnet wird. Das Retikel10 wird von einem Retikelhalter10a getragen. Der Retikelhalter10a wird von einem Retikelverlagerungsantrieb10b verlagert. Thepicture plane 9 is in theprojection optics 7 parallel to theobject plane 5 arranged. Here, one is shown with theobject field 4 coincident section of areflection mask 10 , which is also called reticle. Thereticle 10 is from areticle holder 10a carried. Thereticle holder 10a is powered by areticle displacement drive 10b relocated.

Die Abbildung durch die Projektionsoptik7 erfolgt auf die Oberfläche eines Substrats11 in Form eines Wafers, der von einem Substrathalter12 getragen wird. Der Substrathalter12 wird von einem Wafer- beziehungsweise Substratverlagerungsantrieb12a verlagert.The picture through theprojection optics 7 takes place on the surface of asubstrate 11 in the form of a wafer made by asubstrate holder 12 will be carried. Thesubstrate holder 12 is from a wafer orsubstrate displacement drive 12a relocated.

In der1 ist schematisch zwischen dem Retikel10 und der Projektionsoptik7 ein in diese einlaufendes Strahlenbündel13 des Beleuchtungslichts3 und zwischen der Projektionsoptik7 und dem Substrat11 ein aus der Projektionsoptik7 auslaufendes Strahlenbündel14 des Beleuchtungslichts3 dargestellt. Eine bildfeldseitige numerische Apertur (NA) der Projektionsoptik7 ist in der1 nicht maßstäblich wiedergegeben.In the 1 is schematically between thereticle 10 and theprojection optics 7 an incoming into this bundle ofrays 13 of theillumination light 3 and between theprojection optics 7 and thesubstrate 11 one from theprojection optics 7 leakingradiation beam 14 of theillumination light 3 shown. An image field-side numerical aperture (NA) of theprojection optics 7 is in the 1 not reproduced to scale.

Die Projektionsbelichtungsanlage1 ist vom Scannertyp. Sowohl das Retikel10 als auch das Substrat11 werden beim Betrieb der Projektionsbelichtungsanlage1 in der y-Richtung gescannt. Auch ein Steppertyp der Projektionsbelichtungsanlage1, bei dem zwischen einzelnen Belichtungen des Substrats11 eine schrittweise Verlagerung des Retikels10 und des Substrats11 in der y-Richtung erfolgt, ist möglich. Diese Verlagerungen erfolgen synchronisiert zueinander durch entsprechende Ansteuerung der Verlagerungsantriebe10b und12a.Theprojection exposure machine 1 is the scanner type. Both thereticle 10 as well as thesubstrate 11 be during operation of theprojection exposure system 1 scanned in the y direction. Also a stepper type of theprojection exposure system 1 in which between individual exposures of the substrate 11 a gradual shift of thereticle 10 and thesubstrate 11 in the y-direction is possible. These displacements are synchronized with each other by appropriate control of the displacement drives 10b and 12a ,

2 zeigt das optische Design einer ersten Ausführung der Projektionsoptik7. Dargestellt ist in der2 der Strahlengang jeweils dreier Einzelstrahlen15, die von mehreren in der2 zueinander in der y-Richtung beabstandeten Objektfeldpunkten ausgehen. Dargestellt sind Hauptstrahlen16, also Einzelstrahlen15, die durch das Zentrum einer Pupille in einer Pupillenebene der Projektionsoptik7 verlaufen, sowie jeweils ein oberer und ein unterer Komastrahl dieser beiden Objektfeldpunkte. Ausgehend vom Objektfeld4 schließt der Hauptstrahl16 eines zentralen Objektfeldpunktes mit einer Normalen auf die Objektebene5 einen Winkel CRAO von 5,5° ein. 2 shows the optical design of a first embodiment of theprojection optics 7 , Shown in the 2 the beam path in each case threeindividual beams 15 by several in the 2 go out to each other in the y-direction spaced object field points. Shown aremain rays 16 , soindividual rays 15 passing through the center of a pupil in a pupil plane of theprojection optics 7 run, and in each case an upper and a lower coma beam of these two object field points. Starting from theobject field 4 closes the main beam 16 a central object field point with a normal to theobject plane 5 an angle CRAO of 5.5 °.

Die Projektionsoptik7 hat eine bildseitige numerische Apertur von 0,55.Theprojection optics 7 has a picture-side numerical aperture of 0.55.

Eine Eintrittspupille EP ist im Strahlengang des Abbildungslichts3 vor dem Objektfeld4 angeordnet. Mögliche Positionen der Eintrittspupille EP bei Verwendung eines das Abbildungslicht3 durchlassenden Retikels10 oberhalb der Objektebene5 und bei Verwendung eines reflektierenden Retikels10 unterhalb der Objektebene5 sind in der2 jeweils angedeutet. Es resultiert ein divergenter Verlauf der Hauptstrahlen16 zwischen dem Objektfeld4 und dem Spiegel M1.An entrance pupil EP is in the beam path of theimaging light 3 in front of theobject field 4 arranged. Possible positions of the entrance pupil EP using a picture light 3 passingreticle 10 above theobject plane 5 and when using areflective reticle 10 below theobject plane 5 are in the 2 respectively indicated. This results in a divergent course of themain rays 16 between theobject field 4 and the mirror M1.

Die Projektionsoptik7 nach2 hat insgesamt zehn Spiegel, die in der Reihenfolge des Strahlengangs der Einzelstrahlen15, ausgehend vom Objektfeld4, mit M1 bis M10 durchnummeriert sind. Die Projektionsoptik7 ist eine rein katoptrische Optik. Die abbildende Optik7 kann auch eine andere Spiegelanzahl haben, beispielsweise vier Spiegel, sechs Spiegel oder acht Spiegel. Auch eine ungeradzahlige Spiegelanzahl ist bei der Projektionsoptik7 möglich.Theprojection optics 7 to 2 has a total of ten mirrors, in the order of the beam path of theindividual beams 15 , starting from theobject field 4 , numbered M1 to M10. Theprojection optics 7 is a purely catoptric look. Theimaging optics 7 can also have a different number of mirrors, for example four mirrors, six mirrors or eight mirrors. Even an odd number of mirrors is in theprojection optics 7 possible.

Dargestellt sind in der2 die berechneten Reflexionsflächen der Spiegel M1 bis M10. Genutzt wird, wie in der Darstellung nach2 ersichtlich ist, nur ein Teilbereich dieser berechneten Reflexionsflächen. Lediglich dieser tatsächlich genutzte Bereich der Reflexionsflächen ist bei den realen Spiegeln M1 bis M10 tatsächlich vorhanden. Diese Nutz-Reflexionsflächen werden in bekannter Weise von nicht dargestellten Spiegelkörpern getragen.Shown in the 2 the calculated reflection surfaces of the mirrors M1 to M10. Is used, as shown in theillustration 2 it can be seen, only a portion of these calculated reflection surfaces. Only this actually used area of the reflection surfaces is actually present in the real mirrors M1 to M10. This useful reflection surfaces are supported in a known manner by mirror bodies, not shown.

Bei der Projektionsoptik7 nach2 sind die Spiegel M1, M9 und M10 als Spiegel für normalen Einfall ausgeführt, also als Spiegel, auf die das Abbildungslicht3 mit einem Einfallswinkel trifft, der kleiner ist als 45°. Insgesamt hat die Projektionsoptik7 nach2 also drei Spiegel M1, M9 und M10 für normalen Einfall. Diese Spiegel werden nachfolgend auch als NI-Spiegel bezeichnet.In theprojection optics 7 to 2 the mirrors M1, M9 and M10 are designed as mirrors for normal incidence, ie as mirrors, onto which the imaging light isincident 3 with an angle of incidence less than 45 °. Overall, theprojection optics 7 to 2 So three mirrors M1, M9 and M10 for normal incidence. These mirrors are also referred to below as NI mirrors.

Die Spiegel M2 bis M8 sind Spiegel für streifenden Einfall des Beleuchtungslichts3, also Spiegel, auf die das Beleuchtungslicht3 mit Einfallswinkeln auftritt, die größer sind als 45°. Ein typischer Einfallswinkel der Einzelstrahlen15 des Abbildungslichts3 auf den Spiegeln M2 bis M8 für streifenden Einfall liegt im Bereich von 80°. Insgesamt hat die Projektionsoptik7 nach2 genau sieben Spiegel M2 bis M8 für streifenden Einfall. Diese Spiegel werden nachfolgend auch als GI-Spiegel bezeichnet.The mirrors M2 to M8 are mirrors for grazing incidence of theillumination light 3 , ie mirrors, on which theillumination light 3 with angles of incidence greater than 45 °. A typical angle of incidence ofindividual rays 15 of picture light 3 on the mirrors M2 to M8 for grazing incidence is in the range of 80 °. Overall, theprojection optics 7 to 2 exactly seven mirrors M2 to M8 for grazing incidence. These mirrors are also referred to below as GI mirrors.

Die Spiegel M2 bis M8 reflektieren das Abbildungslicht3 so, dass sich die Ausfallswinkel der Einzelstrahlen15 auf den jeweiligen Spiegeln M2 bis M8 addieren. The mirrors M2 to M8 reflect theimaging light 3 so that the angles of failure of theindividual rays 15 add on the respective mirrors M2 to M8.

Die Spiegel M1 bis M10 tragen eine die Reflektivität der Spiegel M1 bis M10 für das Abbildungslicht3 optimierende Beschichtung. Hierbei kann es sich, insbesondere für die GI-Spiegel, um eine Ruthenium-Beschichtung, um eine Molybdän-Beschichtung oder um eine Molybdän-Beschichtung mit einer obersten Schicht aus Ruthenium handeln. Auch andere Beschichtungsmaterialien können zum Einsatz kommen. Bei den Spiegeln M2 bis M8 für streifenden Einfall kann eine Beschichtung mit beispielsweise einer Lage aus Molybdän oder Ruthenium zum Einsatz kommen. Die hoch reflektierenden Schichten insbesondere der Spiegel M1, M9 und M10 für normalen Einfall können als Mehrlagen-Schichten ausgeführt sein, wobei aufeinanderfolgende Schichten aus unterschiedlichen Materialien gefertigt sein können. Auch alternierende Materialschichten können zum Einsatz kommen. Eine typische Mehrlagenschicht kann fünfzig Bilagen aus jeweils einer Schicht Molybdän und einer Schicht Silizium aufweisen.The mirrors M1 to M10 carry the reflectivity of the mirrors M1 to M10 for theimaging light 3 optimizing coating. These may be, in particular for the GI mirrors, a ruthenium coating, a molybdenum coating or a molybdenum coating with a topmost layer of ruthenium. Other coating materials can also be used. In the grazing incidence mirrors M2 to M8, a coating with, for example, a layer of molybdenum or ruthenium may be used. The highly reflective layers, in particular the mirrors M1, M9 and M10 for normal incidence, can be embodied as multilayer layers, wherein successive layers can be made of different materials. Alternate layers of material can also be used. A typical multi-layer layer may comprise fifty bilayers each of one layer of molybdenum and one layer of silicon.

Informationen zur Reflexion an einem GI-Spiegel (Spiegel für streifenden Einfall) finden sich in derWO 2012/126867 A. Weitere Informationen zur Reflektivität von NI-Spiegeln (Normal Incidence Spiegeln) finden sich in derDE 101 55 711 A.Information on reflection at a GI mirror (grazing incidence mirror) can be found in the WO 2012/126867 A , Further information on the reflectivity of NI mirrors (normal incidence mirrors) can be found in the DE 101 55 711 A ,

Eine Gesamt-Reflektivität beziehungsweise Systemtransmission der Projektionsoptik7, die sich als Produkt der Reflektivitäten aller Spiegel M1 bis M10 der Projektionsoptik7 ergibt, beträgt etwa R = 8,49%.An overall reflectivity or system transmission of theprojection optics 7 , which are the product of the reflectivities of all mirrors M1 to M10 of theprojection optics 7 is about R = 8.49%.

Der Spiegel M10, also der im Abbildungsstrahlengang letzte Spiegel vor dem Bildfeld8, hat eine Durchtrittsöffnung17 zum Durchtritt des Abbildungslichts3, das vom drittletzten Spiegel M8 hin zum vorletzten Spiegel M9 reflektiert wird. Der Spiegel M10 wird um die Durchtrittsöffnung17 herum reflektiv genutzt. Alle anderen Spiegel M1 bis M9 haben keine Durchtrittsöffnung und werden in einem lückenlos zusammenhängenden Bereich reflektiv genutzt.The mirror M10, so the last in the imaging beam path mirror in front of the image field 8th , has apassage opening 17 to the passage of theimaging light 3 which is reflected from the third last mirror M8 to the next to last mirror M9. The mirror M10 is around thepassage opening 17 around used reflectively. All other mirrors M1 to M9 have no passage opening and are used in a coherently coherent area reflective.

Die Spiegel M1 bis M10 sind als nicht durch eine rotationssymmetrische Funktion beschreibbare Freiformflächen ausgeführt. Es sind auch andere Ausführungen der Projektionsoptik7 möglich, bei denen mindestens einer der Spiegel M1 bis M10 als rotationssymmetrische Asphäre ausgeführt ist. Auch alle Spiegel M1 bis M10 können als derartige Asphären ausgeführt sein.The mirrors M1 to M10 are designed as freeform surfaces which can not be described by a rotationally symmetrical function. There are also other versions of theprojection optics 7 possible, in which at least one of the mirrors M1 to M10 is designed as a rotationally symmetric asphere. All mirrors M1 to M10 can also be designed as such aspheres.

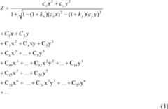
Eine Freiformfläche kann durch folgende Freiformflächengleichung (Gleichung 1) beschrieben werden:

Figure DE102015221985A1_0002
A free-form surface can be described by the following free-form surface equation (Equation 1):
Figure DE102015221985A1_0002

Für die Parameter dieser Gleichung (1) gilt:
Z ist die Pfeilhöhe der Freiformfläche am Punkt x, y, wobei x2 + y2 = r2. r ist hierbei der Abstand zur Referenzachse der Freiformflächengleichung (x = 0; y = 0).
For the parameters of this equation (1):
Z is the arrow height of the freeform surface at point x, y, where x2 + y2 = r2 . r is the distance to the reference axis of the freeform surface equation (x = 0, y = 0).

In der Freiformflächengleichung (1) bezeichnen C1, C2, C3... die Koeffizienten der Freiformflächen-Reihenentwicklung in den Potenzen von x und y.In the free-form surface equation (1), C1 , C2 , C3 ... designate the coefficients of the free-form surface series expansion in the powers of x and y.

Im Falle einer konischen Grundfläche ist cx, cy. eine Konstante, die der Scheitelpunktkrümmung einer entsprechenden Asphäre entspricht. Es gilt also cx = 1/Rx und cy = 1/Ry. kx und ky entsprechen jeweils einer konischen Konstante einer entsprechenden Asphäre. Die Gleichung (1) beschreibt also eine bikonische Freiformfläche. In the case of a conical base, cx , cy . a constant corresponding to the vertex curvature of a corresponding asphere. So cx = 1 / Rx and cy = 1 / Ry . kx and ky each correspond to a conical constant of a corresponding asphere. The equation (1) thus describes a biconical freeform surface.

Eine alternativ mögliche Freiformfläche kann aus einer rotationssymmetrischen Referenzfläche erzeugt werden. Derartige Freiformflächen für Reflexionsflächen der Spiegel von Projektionsoptiken von Projektionsbelichtungsanlagen für die Mikrolithographie sind bekannt aus derUS 2007 0 058 269 A1.An alternatively possible free-form surface can be generated from a rotationally symmetrical reference surface. Such free-form surfaces for reflecting surfaces of the mirrors of projection optics of projection exposure apparatuses for microlithography are known from US Pat US 2007 0 058 269 A1 ,

Alternativ können Freiformflächen auch mit Hilfe zweidimensionaler Spline-Oberflächen beschrieben werden. Beispiele hierfür sind Bezier-Kurven oder nicht-uniforme rationale Basis-Splines (non-uniform rational basis splines, NURBS). Zweidimensionale Spline-Oberflächen können beispielsweise durch ein Netz von Punkten in einer xy-Ebene und zugehörige z-Werte oder durch diese Punkte und ihnen zugehörige Steigungen beschrieben werden. Abhängig vom jeweiligen Typ der Spline-Oberfläche wird die vollständige Oberfläche durch Interpolation zwischen den Netzpunkten unter Verwendung zum Beispiel von Polynomen oder Funktionen, die bestimmte Eigenschaften hinsichtlich ihrer Kontinuität und Differenzierbarkeit haben, gewonnen. Beispiele hierfür sind analytische Funktionen.Alternatively, freeform surfaces can also be described using two-dimensional spline surfaces. Examples include Bezier curves or non-uniform rational base splines (NURBS). For example, two-dimensional spline surfaces may be described by a network of points in an xy plane and associated z-values or by these points and their associated slopes. Depending on the particular type of spline surface, the complete surface is obtained by interpolation between the mesh points using, for example, polynomials or functions that have certain continuity and differentiability properties. Examples of this are analytical functions.

Die5A zeigt Randkonturen der auf den Spiegeln M1 bis M10 der Projektionsoptik7 jeweils mit dem Abbildungslicht3 beaufschlagten Reflexionsflächen, also die sogenannten Footprints der Spiegel M1 bis M10. Dargestellt sind diese Randkonturen jeweils in einem x/y-Diagramm, welches den lokalen x- und y-Koordinaten des jeweiligen Spiegels M1 bis M10 entspricht. Die Darstellung sind maßstäblich in Millimetern. Bei der Darstellung zum Spiegeln M10 ist zudem die Form der Durchtrittsöffnung17 dargestellt.The 5A shows edge contours of the mirrors M1 to M10 of theprojection optics 7 each with theimaging light 3 acted upon reflection surfaces, so the so-called footprints of the mirror M1 to M10. These edge contours are each shown in an x / y diagram which corresponds to the local x and y coordinates of the respective mirror M1 to M10. The representation are to scale in millimeters. In the illustration for mirroring M10 is also the shape of thepassage opening 17 shown.

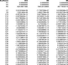
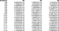
Die nachfolgenden beiden Tabelle fassen die Parameter „maximaler Einfallswinkel”, „Reflexionsflächenerstreckung in y-Richtung”, „Reflexionsflächenerstreckung in y-Richtung” und „maximaler Spiegeldurchmesser” für die Spiegel M1 bis M10 zusammen.M1M2M3M4M5maximaler Einfallswinkel [°]12.083.378.481.981.0Reflexionsflächenerstreckung in x-Richtung [mm]684.0419.4360.4310.9369.2Reflexionsflächen-erstreckung in y-Richtung [mm]278.6353.5256.2289.9340.8maximaler Spiegeldurchmesser [mm]684.3437.3364.4359.4398.8M6M7M8M9M10maximaler Einfallswinkel [°]81.780.878.821.28.1Reflexionsflächenerstreckung in x-Richtung [mm]387.2372.1322.2350.8924.0Reflexionsflächenerstreckung in y-Richtung [mm]195.6107.2208.7170.7897.6maximaler Spiegeldurchmesser [mm]388.2372.1322.3350.9924.2The following two tables summarize the parameters "maximum angle of incidence", "reflection surface extent in y-direction", "reflection surface extent in y-direction" and "maximum mirror diameter" for mirrors M1 to M10. M1 M2 M3 M4 M5 maximum angle of incidence [°] 12.0 83.3 78.4 81.9 81.0 Reflection surface extension in x-direction [mm] 684.0 419.4 360.4 310.9 369.2 Reflective surface extension in the y-direction [mm] 278.6 353.5 256.2 289.9 340.8 maximum mirror diameter [mm] 684.3 437.3 364.4 359.4 398.8 M6 M7 M8 M9 M10 maximum angle of incidence [°] 81.7 80.8 78.8 21.2 8.1 Reflection surface extension in x-direction [mm] 387.2 372.1 322.2 350.8 924.0 Reflection surface extension in the y-direction [mm] 195.6 107.2 208.7 170.7 897.6 maximum mirror diameter [mm] 388.2 372.1 322.3 350.9 924.2

Den größten maximalen Spiegeldurchmesser hat der die bildseitige numerische Apertur vorgebende Spiegel M10 mit einem Durchmesser von 924,2 mm. Keiner der anderen Spiegeln M1 bis M9 hat einen maximalen Durchmesser, der größer ist als 700 mm. Acht der zehn Spiegel, nämlich die Spiegeln M2 bis M9, haben einen maximalen Spiegeldurchmesser, der kleiner ist als 450 mm. Sieben der zehn Spiegel, nämlich die Spiegeln M3 bis M9, haben einen maximalen Spiegeldurchmesser, der kleiner ist als 400 mm.The largest maximum mirror diameter has the image-side numerical aperture predetermining mirror M10 with a diameter of 924.2 mm. None of the other mirrors M1 to M9 has a maximum diameter greater than 700 mm. Eight of the ten mirrors, namely mirrors M2 to M9, have a maximum mirror diameter that is less than 450 mm. Seven of the ten mirrors, mirrors M3 to M9, have a maximum mirror diameter that is less than 400 mm.

Die optischen Designdaten der Reflexionsflächen der Spiegel M1 bis M10 der Projektionsoptik7 können den nachfolgenden Tabellen entnommen werden. Diese optischen Designdaten gehen jeweils von der Bildebene9 aus, beschreiben die jeweilige Projektionsoptik also in umgekehrter Laufrichtung des Abbildungslichts3 zwischen der Bildebene9 und der Objektebene5.The optical design data of the reflection surfaces of the mirrors M1 to M10 of theprojection optics 7 can be found in the following tables. Each of these optical design data goes from theimage plane 9 from, describe the respective projection optics so in the reverse direction of theimaging light 3 between thepicture plane 9 and theobject plane 5 ,

Die erste dieser Tabellen gibt einen Überblick über die Designdaten der Projektionsoptik7 und fasst zusammen die numerische Apertur NA, die gerechnete Designwellenlänge für das Abbildungslicht, die Größen des Bildfeldes in x- und y-Richtung, eine Bildfeldkrümmung sowie Blendenorte. Diese Krümmung ist definiert als der inverse Krümmungsradius des Feldes. The first of these tables gives an overview of the design data of theprojection optics 7 and together summarizes the numerical aperture NA, the calculated design wavelength for the imaging light, the magnitudes of the image field in the x and y directions, a field curvature and aperture type. This curvature is defined as the inverse radius of curvature of the field.

Das Bildfeld8 hat eine x-Erstreckung von zweimal 13 mm und eine y-Erstreckung von 1 mm. Die Projektionsoptik7 ist optimiert für eine Betriebswellenlänge des Beleuchtungslichts3 von 13,5 nm.The image field 8th has an x-extension of twotimes 13 mm and a y-extension of 1 mm. Theprojection optics 7 is optimized for an operating wavelength of theillumination light 3 of 13.5 nm.

Die zweite dieser Tabellen gibt zu den optischen Oberflächen der optischen Komponenten Scheitelpunktsradien (Radius_x = Rx, Radius_y = Ry) und Brechkraftwerte (Power_x, Power_y) an. Negative Radienwerte bedeuten zum einfallenden Beleuchtungslicht3 hin konkave Kurven im Schnitt der jeweiligen Oberfläche mit der betrachteten Ebene (xz, yz), die von einer Flächennormalen im Scheitelpunkt mit der jeweiligen Krümmungsrichtung (x, y) aufgespannt wird. Die beiden Radien Radius x, Radius y können explizit verschiedene Vorzeichen haben.The second of these tables are the optical surfaces of the optical components vertex radii at (Radius_x = Rx, Ry = Radius_y) and power values (Power_x, Power_y). Negative radii mean the incident illuminating light 3 concave curves in the section of the respective surface with the considered plane (xz, yz), which is spanned by a surface normal at the apex with the respective direction of curvature (x, y). The two radii radius x, radius y can explicitly have different signs.

Die Scheitelpunkte an jeder optischen Fläche sind definiert als Auftreffpunkte eines Führungsstrahls, der von einer Objektfeldmitte entlang einer Symmetrieebene x = 0, also der Zeichenebene der2 (Meridionalebene) hin zum Bildfeld8 geht.The vertices on each optical surface are defined as points of impingement of a guide beam, which originate from an object field center along a plane of symmetry x = 0, that is to say the plane of the drawing 2 (Meridional plane) towards the image field 8th goes.

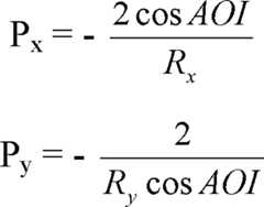
Die Brechkräfte Power_x (Px), Power_y (Py) an den Scheitelpunkten sind definiert als:

Figure DE102015221985A1_0003
The powers Power_x (Px ), Power_y (Py ) at the vertices are defined as:
Figure DE102015221985A1_0003

AOI bezeichnet hierbei einen Einfallswinkel des Führungsstrahls zur Oberflächennormalen.AOI here denotes an angle of incidence of the guide beam to the surface normal.

Die dritte Tabelle gibt für die Spiegel M1 bis M10 in mm die konischen Konstanten kx und ky den Scheitelpunktradius Rx (= Radius_x) und die Freiformflächen-Koeffizienten Cn an. Koeffizienten Cn, die nicht tabelliert sind, haben jeweils den Wert 0.The third table specifies for mirrors M1 to M10 in mm the conical constants kx and ky the vertex radius Rx (= radius_x) and the free-form surface coefficients Cn . Coefficients Cn , which are not tabulated, each have thevalue 0.

In der vierten Tabelle ist noch der Betrag angegeben, längs dem der jeweilige Spiegel, ausgehend von einer Bezugsfläche in der y-Richtung dezentriert (DCY), in der z-Richtung verschoben (DCZ) und verkippt (TLA, TLB, TLC) wurde. Dies entspricht einer Parallelverschiebung und einer Verkippung beim Freiformflächen-Designverfahren. Verschoben wird dabei in y- und in z-Richtung in mm und verkippt um die x-Achse, um die y-Achse und um die z-Achse. Der Verdrehwinkel ist dabei in Grad angegeben. Es wird zunächst dezentriert, dann verkippt. Die Bezugsfläche bei der Dezentrierung ist jeweils die erste Fläche der angegebenen optischen Designdaten. Auch für das Objektfeld4 ist eine Dezentrierung in y- und in z-Richtung in der Objektebene5 angegeben. Neben den den einzelnen Spiegeln zugeordneten Flächen sind in der vierten Tabelle auch die Bildebene als erste Fläche, die Objektebene als letzte Fläche sowie mehrere Blendenflächen (mit der Blendenbezeichnung „AS”) tabelliert.In the fourth table is still given the amount along which the respective mirror decentralized from a reference surface in the y direction (DCY) in the z direction (DCZ) and tilted (TLA, TLB, TLC) was. This corresponds to a parallel shift and a tilt in the freeform surface design process. It moves in y- and z-direction in mm and tilts around the x-axis, around the y-axis and around the z-axis. The twist angle is given in degrees. It is decentered first, then tilted. The reference surface at decentering is the first surface of the specified optical design data. Also for theobject field 4 is a decentering in the y- and z-direction in theobject plane 5 specified. In addition to the surfaces assigned to the individual mirrors, the fourth table also includes the image plane as the first surface, the object plane as the last surface and several diaphragm surfaces (with the diaphragm designation "AS").

Eine erste Blende AS2 ist in einer Ebene EAS2 im Abbildungslichtstrahlengang zwischen den Spiegeln M4 und M5 angeordnet. Eine weitere Blende AS (vergleiche3) ist im Abbildungslichtstrahlengang zwischen den Spiegeln M9 und M10 in einer Ebene EAS angeordnet. Weitere Blenden AS3 und AS4 sind auf den Spiegeln M9 und M10 angeordnet. Alternativ können die Blenden AS3 und AS4 auch benachbart und mit Abstand zu diesen Spiegeln angeordnet sein.A first diaphragm AS2 is arranged in a plane EAS2 in the imaginglight beam path between the mirrors M4 and M5. Another aperture AS (compare 3 ) is arranged in the imaging light beam path between the mirrors M9 and M10 in a plane EAS . Further diaphragms AS3 and AS4 are arranged on the mirrors M9 and M10. Alternatively, the diaphragms AS3 and AS4 can also be arranged adjacent to and at a distance from these mirrors.

Die fünfte Tabelle gibt die Transmissionsdaten der Spiegel M10 bis M1 an, nämlich deren Reflektivität für den Einfallswinkel eines zentral auf den jeweiligen Spiegel treffenden Beleuchtungslichtstrahls. Die Gesamttransmission wird als Anteilsfaktor angegeben, der von einer einfallenden Intensität nach Reflexion an allen Spiegeln der Projektionsoptik verbleibt.The fifth table indicates the transmission data of the mirrors M10 to M1, namely their reflectivity for the angle of incidence of an incident on the respective mirror illuminating light beam. The total transmission is given as a proportion factor remaining from an incident intensity after reflection at all mirrors of the projection optics.

Die sechste Tabelle gibt eine Berandung der Blende AS4 (Fläche M10) als Polygonzug in lokalen Koordinaten xyz an. Diese Blende ist am Ort des Spiegels M10 angeordnet. Die Blende wird noch wie oben beschrieben dezentriert und verkippt. In der letzten Spalte der Tabelle 6 ist noch der jeweilige Blendentyp des angegebenen Polygonzugs genannt. ”CLA” bedeutet dabei eine Blendenberandung, die nach innen, also zu einem Blendenzentrum hin, transparent und nach außen hin blockend ist (Typ Aperturblende). Der Blendentyp ”OBS” gibt eine Blendenberandung an, die nach innen, also zu einem Blendenzentrum hin, blockierend und nach außen hin transparent ist (Typ Obskurationsblende). Eine Aperturblendenberandung dient zur Definition einer äußeren Begrenzung einer Pupille der Projektionsoptik7. Eine Obskurationsblende dient zur Definition eines im Inneren der Pupille befindlichen obskurierten Bereichs. Die Blenden AS bis AS4 dienen gemeinsam zur Vorgabe sowohl der äußeren Berandung der Systempupille als auch zur Vorgabe der inneren Berandung des Obskurationsbereichs der Systempupille. Bei der Ausführung der Projektionsoptik7 nach den2 bis5 sind alle Blenden AS, AS2, AS3 und AS4 vom Typ Aperturblende. Die Blende AS4 ist zusätzlich vom Typ Obskurationsblende. Auch eine andere Verteilung der Typen „Aperturblende” und „Obskurationsblende” auf die Blenden der Projektionsoptik ist möglich.The sixth table indicates a boundary of the aperture AS4 (area M10) as a polygon in local coordinates xyz. This aperture is located at the location of the mirror M10. The aperture is still decentered and tilted as described above. In the last column of Table 6 is still the respective aperture type of the specified traverse called. "CLA" means a diaphragm boundary that is inward, ie too towards an aperture center, transparent and blocking towards the outside (type Aperture aperture). The aperture type "OBS" indicates a diaphragm boundary which is inward, ie towards a diaphragm center, blocking and transparent to the outside (type obscuration diaphragm). An aperture stop serves to define an outer boundary of a pupil of theprojection optics 7 , An obscuration diaphragm is used to define an obscured area inside the pupil. The diaphragms AS to AS4 together serve to specify both the outer boundary of the system pupil and also the specification of the inner boundary of the obscuration region of the system pupil. In the execution of theprojection optics 7 after the 2 to 5 are all apertures AS, AS2, AS3 and AS4 type aperture. The aperture AS4 is additionally of the obscuration type. Another distribution of the types "aperture diaphragm" and "obscuration diaphragm" on the screens of the projection optics is possible.

Die siebte Tabelle gibt entsprechend die Berandung der Blende AS3 (Fläche M9) als Polygonzug-Daten entsprechend der Tabelle 6 an.The seventh table accordingly indicates the boundary of the aperture AS3 (area M9) as traverse data according to Table 6.

Die achte Tabelle gibt entsprechend die Berandung der Blende AS2 im Abbildungslichtstrahlengang zwischen den Spiegeln M4 und M5 als Polygonzug-Daten entsprechend der Tabelle 6 an.The eighth table correspondingly indicates the boundary of the diaphragm AS2 in the imaging light beam path between the mirrors M4 and M5 as polygonal-train data according to Table 6.

Die neunte Tabelle gibt entsprechend die Berandung der Blende AS im Abbildungslichtstrahlengang zwischen den Spiegeln M9 und M10 als Polygonzug-Daten entsprechend der Tabelle 6 an.The ninth table correspondingly indicates the boundary of the aperture AS in the imaging light beam path between the mirrors M9 and M10 as traverse data corresponding to Table 6.

Eine Berandung einer Blendenfläche der Blenden AS bis AS4 (vgl. auch die Tabelle 6 ff. zur2) ergibt sich durch Durchstoßpunkte an der Blendenfläche aller Strahlen des Beleuchtungslichts3, die bildseitig an ausgewählten Feldpunkten mit einer vollen bildseitigen telezentrischen Apertur in Richtung der Blendenfläche propagieren. Zur Vorgabe der Berandung der Blendenfläche der Blende AS werden die Durchstoßpunkte an der Blendenfläche aller Strahlen des Beleuchtungslichts3 verwendet, die bildseitig vom Feldmittelpunkt aus mit einer vollen bildseitigen telezentrischen Apertur in Richtung der Blendenfläche propagieren. Bei den anderen Blenden AS2, AS3 und AS4 ergeben sich die Durchstoßpunkte durch Verwendung aller Strahlen des Beleuchtungslichts3, die bildseitig von allen Feldpunkten des Bildfeldes8 aus mit einer vollen bildseitigen telezentrischen Apertur in Richtung der Blendenfläche propagieren. Grundsätzlich kann bei der Blendendefinition auch eine andere Auswahl der verwendeten bildseitigen Feldpunkte erfolgen. Die vorstehend genannten Auswahlen „Feldmittelpunkt” und „gesamtes Feld” sind dabei die möglichen Extremsituationen.A boundary of a diaphragm surface of the diaphragms AS to AS4 (see also Table 6 et seq 2 ) results from puncture points on the diaphragm surface of all rays of theillumination light 3 , which propagate on the image side at selected field points with a full image-side telecentric aperture in the direction of the diaphragm surface. To specify the boundary of the diaphragm surface of the diaphragm AS, the puncture points at the diaphragm surface of all the rays of theillumination light 3 used, the image side propagate from the field center point with a full image-side telecentric aperture in the direction of the diaphragm surface. In the case of the other diaphragms AS2, AS3 and AS4, the puncture points result from the use of all the rays of theillumination light 3 , the image side of all field points of the image field 8th from propagate with a full image-side telecentric aperture in the direction of the diaphragm surface. In principle, a different selection of the image-side field points used can also be carried out in the case of the aperture definition. The above selections "field center" and "entire field" are the possible extreme situations.

Bei der Ausführung der Blende als Aperturblende handelt es sich bei der Berandung um eine innere Berandung. Bei der Ausführung als Obskurationsblende handelt es sich bei der Berandung um eine äußere Berandung.When the aperture is designed as an aperture diaphragm, the boundary is an inner boundary. When executed as Obskurationsbrende it is at the boundary to an outer boundary.

Die jeweilige Blende AS bis AS4 kann in einer Ebene liegen oder auch dreidimensional ausgeführt sein. Die Ausdehnung der Blende18 kann in Scanrichtung (y) kleiner sein als in cross-Scanrichtung (x).The respective aperture AS to AS4 can lie in one plane or can also be embodied in three dimensions. The extension of the aperture 18 can be smaller in the scan direction (y) than in the cross scan direction (x).

Der nicht beleuchtete Obskurationsbereich in der Systempupille kann rund, elliptisch, quadratisch oder rechteckig sein. Diese nicht beleuchtbare Fläche in der Systempupille kann zudem in Bezug auf ein Zentrum der Systempupille in der x-Richtung und/oder in der y-Richtung dezentriert sein.

Figure DE102015221985A1_0004
Tabelle 1 zu Fig. 2
Figure DE102015221985A1_0005
Tabelle 2 zu Fig. 2
Figure DE102015221985A1_0006
Figure DE102015221985A1_0007
Figure DE102015221985A1_0008
Tabelle 3a zu Fig. 2
Figure DE102015221985A1_0009
Figure DE102015221985A1_0010
Tabelle 3b zu Fig. 2
Figure DE102015221985A1_0011
Figure DE102015221985A1_0012
Tabelle 3c zu Fig. 2
Figure DE102015221985A1_0013
Figure DE102015221985A1_0014
Tabelle 3d zu Fig. 2
Figure DE102015221985A1_0015
Figure DE102015221985A1_0016
Tabelle 4a zu Fig. 2
Figure DE102015221985A1_0017
Tabelle 4b zu Fig. 2
Figure DE102015221985A1_0018
Tabelle 5 zu Fig. 2
Figure DE102015221985A1_0019
Figure DE102015221985A1_0020
Figure DE102015221985A1_0021
Figure DE102015221985A1_0022
Figure DE102015221985A1_0023
Figure DE102015221985A1_0024
Tabelle 6: Blenden-Polygon AS4 auf M10
Figure DE102015221985A1_0025
Figure DE102015221985A1_0026
Figure DE102015221985A1_0027
Figure DE102015221985A1_0028
Figure DE102015221985A1_0029
Figure DE102015221985A1_0030
Figure DE102015221985A1_0031
Figure DE102015221985A1_0032
Tabelle 7: Blenden-Polygon AS3 auf M9
Figure DE102015221985A1_0033
Figure DE102015221985A1_0034
Figure DE102015221985A1_0035
Figure DE102015221985A1_0036
Figure DE102015221985A1_0037
Figure DE102015221985A1_0038
Figure DE102015221985A1_0039
Tabelle 8: Blenden-Polygon AS2
Figure DE102015221985A1_0040
Figure DE102015221985A1_0041
Figure DE102015221985A1_0042
Figure DE102015221985A1_0043
Tabelle 9: Blenden-Polygon ASThe non-illuminated obscuration area in the system pupil may be round, elliptical, square or rectangular. This non-illuminable area in the system pupil may also be decentered with respect to a center of the system pupil in the x-direction and / or in the y-direction.
Figure DE102015221985A1_0004
Table 1 to Fig. 2
Figure DE102015221985A1_0005
Table 2 to Fig. 2
Figure DE102015221985A1_0006
Figure DE102015221985A1_0007
Figure DE102015221985A1_0008
Table 3a to Fig. 2
Figure DE102015221985A1_0009
Figure DE102015221985A1_0010
Table 3b to Fig. 2
Figure DE102015221985A1_0011
Figure DE102015221985A1_0012
Table 3c to Fig. 2
Figure DE102015221985A1_0013
Figure DE102015221985A1_0014
Table 3d to Fig. 2
Figure DE102015221985A1_0015
Figure DE102015221985A1_0016
Table 4a to FIG. 2
Figure DE102015221985A1_0017
Table 4b to Fig. 2
Figure DE102015221985A1_0018
Table 5 to Fig. 2
Figure DE102015221985A1_0019
Figure DE102015221985A1_0020
Figure DE102015221985A1_0021
Figure DE102015221985A1_0022
Figure DE102015221985A1_0023
Figure DE102015221985A1_0024
Table 6: Aperture polygon AS4 on M10
Figure DE102015221985A1_0025
Figure DE102015221985A1_0026
Figure DE102015221985A1_0027
Figure DE102015221985A1_0028
Figure DE102015221985A1_0029
Figure DE102015221985A1_0030
Figure DE102015221985A1_0031
Figure DE102015221985A1_0032
Table 7: Aperture polygon AS3 to M9
Figure DE102015221985A1_0033
Figure DE102015221985A1_0034
Figure DE102015221985A1_0035
Figure DE102015221985A1_0036
Figure DE102015221985A1_0037
Figure DE102015221985A1_0038
Figure DE102015221985A1_0039
Table 8: Aperture polygon AS2
Figure DE102015221985A1_0040
Figure DE102015221985A1_0041
Figure DE102015221985A1_0042
Figure DE102015221985A1_0043
Table 9: Aperture polygon AS

Die Projektionsoptik7 hat eine bildseitige numerische Apertur von 0,55. In einer Abbildungslicht-Ebene parallel zur xz-Ebene (Sagittalansicht nach5) hat die Projektionsoptik8 einen Verkleinerungsfaktor βx von 4,00. In der hierzu senkrechten yz-Ebene (Meridionalebene nach2) hat die Projektionsoptik7 einen Verkleinerungsfaktor βy von 8,00. Ein objektseitiger Hauptstrahlwinkel beträgt 5,1°. Dieser Winkel bezeichnet den Winkel eines Hauptstrahls eines zentralen Objektfeldpunktes zu einer Normalen auf die Objektebene5. Eine Pupillenobskuration der Projektionsoptik7 beträgt 13% der numerischen Apertur der Projektionsoptik7. Ein Flächenanteil von 0,132 einer Pupille der Projektionsoptik7 ist somit obskuriert. Ein Objekt-Bild-Versatz dOIS beträgt etwa 2050 mm. Die Spiegel der Projektionsoptik7 können in einem Quader mit xyz-Kantenlängen von 924 mm × 2452 mm × 1639 mm untergebracht werden.Theprojection optics 7 has a picture-side numerical aperture of 0.55. In an imaging light plane parallel to the xz-plane (Sagittal view after 5 ) has the projection optics 8th a reduction factor βx of 4.00. In the perpendicular yz-plane (Meridionalebene nach 2 ) has the projection optics 7 a reduction factor βy of 8.00. An object-side main beam angle is 5.1 °. This angle denotes the angle of a main ray of a central object field point to a normal to theobject plane 5 , A pupil obscuration of theprojection optics 7 is 13% of the numerical aperture of theprojection optics 7 , An area fraction of 0.132 of a pupil of theprojection optics 7 is thus obscured. An object-to-image offset dOIS is about 2050 mm. The mirrors of theprojection optics 7 can be accommodated in a cuboid with xyz edge lengths of 924 mm × 2452 mm × 1639 mm.

Die Objektebene5 verläuft parallel zur Bildebene9.Theobject plane 5 runs parallel to theimage plane 9 ,

Ein Arbeitsabstand zwischen dem wafernächsten Spiegel M9 und der Bildebene9 beträgt 90 mm. Ein mittlerer Wellenfrontfehler rms beträgt 5,80 mλ, ist also abhängig von der Designwellenlänge definiert.A working distance between the wafer-near mirror M9 and theimage plane 9 is 90 mm. A mean wavefront error rms is 5.80 mλ, ie it is defined as a function of the design wavelength.

Die Spiegel M1, M5, M6, M8 und M10 haben negative Radiuswerte, sind also grundsätzlich Konkavspiegel. Die Spiegel M2 und M9 haben positive Radiuswerte, sind grundsätzlich also Konvexspiegel.The mirrors M1, M5, M6, M8 and M10 have negative radius values, ie are basically concave mirrors. The mirrors M2 and M9 have positive radii, are therefore basically convex.

Die Spiegel M3, M4 und M7 haben unterschiedliche Vorzeichen hinsichtlich ihrer x- und y-Radiuswerte, haben also eine Sattelflächen-Grundform.The mirrors M3, M4 and M7 have different signs with regard to their x and y radius values, and thus have a basic saddle surface shape.

Die Blende AS ist räumlich zwischen dem im Strahlengang vorletzten Spiegel M9 und dem im Strahlengang letzten Spiegel M10 angeordnet.The diaphragm AS is arranged spatially between the mirror M9 in the beam path and the last mirror M10 in the beam path.

Die Blende AS dient zur Vorgabe eines Abschnitts18 einer äußeren Randkontur19 der Pupille der Projektionsoptik7. Diese Randkontur19 der Pupille liegt in der Blendenebene EAS und ist in der Schnittdarstellung nach4 gezeigt. Der durch die Blende AS vorgesehene Randkonturabschnitt18 überdeckt dabei einen Azimutwinkel B um einen Durchstoßpunkt Z der Koordinatenachse z durch die Blendenebene EAS, der bei einem Pupillenzentrum liegt. In diesem Azimut-Winkelbereich B begrenzt die Blende AS ein Abbildungslicht-Teilbündel3M9M10 im Strahlengang zwischen den Spiegeln M9 und M10 (vergleiche2 und3). Im sonstigen Azimut-Winkelbereich M (vergleiche4) hat die Blende AS keine Blendenwirkung für das Abbildungslicht3, begrenzt also insbesondere nicht ein Abbildungslicht-Teilbündel3M10W zwischen dem Spiegel M10 und dem Bildfeld8, also dem Wafer11. In diesem verbleibenden Azimut-Winkelbereich M wird die Systempupille begrenzt durch die anderen Blenden AS2 bis AS4.The shutter AS is used to specify a section 18 an outer edge contour 19 the pupil of theprojection optics 7 , This edge contour 19 the pupil lies in the diaphragm plane EAS and is in the sectional view to 4 shown. The intended by the aperture AS edge contour portion 18 It covers an azimuth angle B about a penetration point Z of the coordinate axis z through the diaphragm plane EAS , which lies at a pupil center. In this azimuth angular range B, the diaphragm AS limits animaging light sub-beam 3M9M10 in the beampath between mirrors M9 and M10 (see 2 and 3 ). In the other azimuth angle range M (cf. 4 ), the diaphragm AS has no dazzling effect for theimaging light 3 in particular does not limit animaging light sub-beam 3M10W between the mirror M10 and the image field 8th that is thewafer 11 , In this remaining azimuth angular range M, the system pupil is limited by the other diaphragms AS2 to AS4.

Der Blenden-Azimutbereich B entspricht einem Azimutbereich um ein Zentrum der Pupille, der größer ist als 180°. Bei der Ausführung nach4 beträgt der von der Blende AS die äußere Randkontur der Pupille abdeckende Azimutbereich um das Zentrum der Pupille etwa 240°. Dieser Azimutbereich kann alternativ auch 200°, 210°, 220° oder 230° betragen und kann auch größer sein als 240°, beispielsweise 250°, 260°, 280°, 300°, 320°, 340° und kann auch noch größer sein. Insbesondere kann der Azimutbereich 360° betragen, sodass bei einer Ausrührung der Blende AS die gesamte äußere Randkontur der Pupille der abbildenden Optik vorgegeben wird. The aperture azimuth area B corresponds to an azimuth area about a center of the pupil which is larger than 180 °. In the execution after 4 the azimuth area covering the outer edge contour of the pupil is about 240 ° around the center of the pupil. This azimuth range may alternatively be 200 °, 210 °, 220 ° or 230 ° and may also be greater than 240 °, for example 250 °, 260 °, 280 °, 300 °, 320 °, 340 ° and may be even greater , In particular, the azimuth range can be 360 °, so that when the aperture AS is guided, the entire outer edge contour of the pupil of the imaging optics is predetermined.

Die Blende AS ist plan, also in genau einer Ebene liegend ausgeführt.The aperture AS is flat, so running in exactly one plane running.

Die Blende AS begrenzt in der der x-Richtung senkrecht zur Objektverlagerungsrichtung y beide extremen Randpositionen E(–x) und E(x) der äußeren Randkontur19 der Pupille (vergleiche4).The aperture AS delimits in the x-direction perpendicular to the object displacement direction y both extreme edge positions E (-x) and E (x) of the outer edge contour 19 the pupil (compare 4 ).

5 zeigt eine sagittale Ansicht der Projektionsoptik7. 5 shows a sagittal view of theprojection optics 7 ,

Anhand der6 wird nachfolgend eine weitere Ausführung einer Projektionsoptik20 erläutert, die anstelle der Projektionsoptik7 bei der Projektionsbelichtungsanlage1 nach1 zum Einsatz kommen kann. Komponenten und Funktionen, die vorstehend im Zusammenhang mit den1 bis5 bereits erläutert wurden, tragen gegebenenfalls die gleichen Bezugsziffern und werden nicht nochmals im Einzelnen diskutiert.Based on 6 Below is another embodiment of aprojection optics 20 explains that instead of theprojection optics 7 at theprojection exposure machine 1 to 1 can be used. Components and functions discussed above in connection with the 1 to 5 have already been explained, if applicable, have the same reference numbers and will not be discussed again in detail.

Die Spiegel M1 bis M10 sind wiederum als Freiformflächen-Spiegel ausgeführt, für die die vorstehend angegebene Freiformflächengleichung (1) gilt. Die optischen Designdaten der Projektionsoptik20 können den nachfolgenden Tabellen entnommen werden, die in ihrem Aufbau den Tabellen zur Projektionsoptik7 nach2 entsprechen.

Figure DE102015221985A1_0044
Tabelle 1 zu Fig. 6
Figure DE102015221985A1_0045
Tabelle 2 zu Fig. 6
Figure DE102015221985A1_0046
Figure DE102015221985A1_0047
Tabelle 3a zu Fig. 6
Figure DE102015221985A1_0048
Figure DE102015221985A1_0049
Tabelle 3b zu Fig. 6
Figure DE102015221985A1_0050
Figure DE102015221985A1_0051
Tabelle 3c zu Fig. 6
Figure DE102015221985A1_0052
Figure DE102015221985A1_0053
Tabelle 3d zu Fig. 6
Figure DE102015221985A1_0054
Tabelle 4a zu Fig. 6
Figure DE102015221985A1_0055
Figure DE102015221985A1_0056
Tabelle 4b zu Fig. 6
Figure DE102015221985A1_0057
Tabelle 5 zu Fig. 6
Figure DE102015221985A1_0058
Figure DE102015221985A1_0059
Figure DE102015221985A1_0060
Figure DE102015221985A1_0061
Tabelle 6: Blenden-Polygon AS im Abbildungsstrahlengang zwischen M9 und M10The mirrors M1 to M10 are again embodied as free-form surface mirrors, for which the free-form surface equation (1) specified above applies. The optical design data of theprojection optics 20 can be taken from the following tables, which in their structure the tables forprojection optics 7 to 2 correspond.
Figure DE102015221985A1_0044
Table 1 to Fig. 6
Figure DE102015221985A1_0045
Table 2 to Fig. 6
Figure DE102015221985A1_0046
Figure DE102015221985A1_0047
Table 3a to Fig. 6
Figure DE102015221985A1_0048
Figure DE102015221985A1_0049
Table 3b to Fig. 6
Figure DE102015221985A1_0050
Figure DE102015221985A1_0051
Table 3c to Fig. 6
Figure DE102015221985A1_0052
Figure DE102015221985A1_0053
Table 3d to Fig. 6
Figure DE102015221985A1_0054
Table 4a to FIG. 6
Figure DE102015221985A1_0055
Figure DE102015221985A1_0056
Table 4b to Fig. 6
Figure DE102015221985A1_0057
Table 5 to Fig. 6
Figure DE102015221985A1_0058
Figure DE102015221985A1_0059
Figure DE102015221985A1_0060
Figure DE102015221985A1_0061
Table 6: Aperture polygon AS in the imaging beam path between M9 and M10

Eine Gesamt-Reflektivität der Projektionsoptik20 beträgt etwa 8,49%.A total reflectivity of theprojection optics 20 is about 8.49%.

Die Projektionsoptik20 hat eine bildseitige numerische Apertur von 0,55. Das Bildfeld8 hat eine x-Erstreckung von zweimal 13,0 mm und eine y-Erstreckung von 1 mm. Die Projektionsoptik20 ist optimiert für eine Betriebswellenlänge des Beleuchtungslichts3 von 13,5 nm. Theprojection optics 20 has a picture-side numerical aperture of 0.55. The image field 8th has an x-extension of twice 13.0 mm and a y-extension of 1 mm. Theprojection optics 20 is optimized for an operating wavelength of theillumination light 3 of 13.5 nm.

Anstelle von vier Blenden AS bis AS4 bei der Projektionsoptik7 nach den2 bis5 hat die Projektionsoptik20 genau eine Blende AS (vergleiche7), die räumlich zwischen dem im Strahlengang vorletzten Spiegel M9 und dem im Strahlengang letzten Spiegel M10 angeordnet ist.Instead of four apertures AS to AS4 in theprojection optics 7 after the 2 to 5 has theprojection optics 20 exactly one aperture AS (compare 7 ), which is spatially arranged between the mirror M9 in the beam path and the last in the beam path mirror M10.

Die Blende AS der Projektionsoptik20 begrenzt die äußere Randkontur der Pupille der Projektionsoptik20 in einem Azimutbereich von 360°, also vollumfänglich. Die Blende AS der Projektionsoptik20 gibt also die gesamte äußere Randkontur der Pupille vor.The aperture AS of theprojection optics 20 limits the outer edge contour of the pupil of theprojection optics 20 in an azimuth range of 360 °, so in full. The aperture AS of theprojection optics 20 So gives the entire outer edge contour of the pupil.

Die Blende AS der Projektionsoptik20 ist abschnittsweise plan ausgeführt und umfasst zwei plane Blendenabschnitte21,22 und einen weiteren planen Tragabschnitt23. Die Blende AS der Projektionsoptik20 begrenzt eine Randkontur24 der Pupille der Projektionsoptik20 in mehr als einer Ebene, nämlich in Blendenebenen EAS1 und EAS2.The aperture AS of theprojection optics 20 is executed in sections plan and includes twoflat aperture sections 21 . 22 and anotherplane support section 23 , The aperture AS of theprojection optics 20 limits a border contour 24 the pupil of theprojection optics 20 in more than one plane, namely in aperture planes EAS1 and EAS2 .

8 zeigt eine Projektion der Randkontur24 der Pupille der Projektionsoptik20 auf die Blendenebene EAS1. Eine äußere Randkontur der Blende AS, also eine Kontur dieser Blende AS dort, wo sie nicht bündelbegrenzend ist, ist nicht näher dargestellt, sondern durch eine Bruchlinie angedeutet. 8th shows a projection of the edge contour 24 the pupil of theprojection optics 20 on the diaphragm level EAS1 . An outer edge contour of the diaphragm AS, ie a contour of this diaphragm AS, where it is not bundle-limiting, is not shown in detail, but indicated by a break line.

In der ersten Blendenebene EAS1 begrenzt die Blende AS die Pupillen-Randkontur24 durch Abblenden des Abbildungslicht-Teilbündels3M9M10 zwischen den Spiegeln M9 und M10 mit dem Blendenabschnitt21.In the first diaphragm plane EAS1 , the diaphragm AS limits the pupil edge contour 24 by dimming the imagelight sub-beam 3M9M10 between mirrors M9 and M10 with theaperture section 21 ,

Zwischen den Blendenabschnitten21 und22 verläuft die Blende AS der Projektionsoptik20 abgeknickt. Die Abschnitte21,22 einerseits und die Abschnitte22,23 andererseits der Blende AS der Projektionsoptik20 verlaufen stumpfwinklig zueinander. Die extremen Randpositionen E(x), E(–x) der äußeren Pupillen-Randkontur24 liegen im Knickbereich zwischen den Blendenabschnitten21 und22.Between thepanel sections 21 and 22 runs the diaphragm AS of theprojection optics 20 kinked. Thesections 21 . 22 on the one hand and thesections 22 . 23 on the other hand, the aperture AS of theprojection optics 20 run obtusely to each other. The extreme edge positions E (x), E (-x) of the outer pupil edge contour 24 lie in the kink area between thepanel sections 21 and 22 ,

In der zweiten Blendenebene EAS2 begrenzt die Blende AS die Pupillen-Randkontur der Projektionsoptik20 durch äußeres Abblenden ebenfalls des Abbildungslicht-Teilbündels3M9M10. Im Bereich kleinster y-Werte, nämlich genau zwischen den beiden Abbildungslicht-Teilbündeln3M9M10 und3M10W, ist die Blende AS der Projektionsoptik20 schmal ausgeführt, sodass sie das Abbildungslicht-Teilbündel3M10W nicht begrenzt. In dem Bereich zwischen den Abbilddungslicht-Teilbündeln3M9M10 und3M10W ist die Blende AS der Projektionsoptik20 als schmaler Steg S ausgeführt. Der Tragabschnitt23 ist an beiden Seiten, also bei negativen und bei positiven x-Werten, am Abbildungslicht-Teilbündel3M10W vorbeigeführt.In the seconddiaphragm plane EAS 2, the diaphragm AS limits the pupil edge contour of theprojection optics 20 by externally dimming also theimaging light sub-beam 3M9M10 . In the range of smallest y values, namely exactly between the twoimaging light sub-beams 3M9M10 and 3M10W , is the aperture AS of theprojection optics 20 made narrow so that they theimaging light sub-beam 3M10W not limited. In the area between theimaging light sub-beams 3M9M10 and 3M10W is the aperture AS of theprojection optics 20 designed as a narrow bridge S The supportingsection 23 is on both sides, ie negative and positive x-values, on theimaging light sub-beam 3M10W passed.

9 ist wiederum eine sagittale Ansicht der Projektionsoptik20. 9 again is a sagittal view of theprojection optics 20 ,

Anhand der10 wird nachfolgend eine weitere Ausführung einer Projektionsoptik25 erläutert, die anstelle der Projektionsoptik7 bei der Projektionsbelichtungsanlage1 nach1 zum Einsatz kommen kann. Komponenten und Funktionen, die vorstehend im Zusammenhang mit den1 bis9 bereits erläutert wurden, tragen gegebenenfalls die gleichen Bezugsziffern und werden nicht nochmals im Einzelnen diskutiert.Based on 10 Below is another embodiment of aprojection optics 25 explains that instead of theprojection optics 7 at theprojection exposure machine 1 to 1 can be used. Components and functions discussed above in connection with the 1 to 9 have already been explained, if applicable, have the same reference numbers and will not be discussed again in detail.

Die Spiegel M1 bis M10 sind wiederum als Freiformflächen ausgestaltet, für die die oben angegebene Freiformflächengleichung (1) gilt. Die optischen Designdaten der Projektionsoptik21 können den nachfolgenden Tabellen entnommen werden, die in ihrem Aufbau den Tabellen zur Projektionsoptik7 nach2 entsprechen.

Figure DE102015221985A1_0062
Figure DE102015221985A1_0063
Tabelle 1 zu Fig. 10
Figure DE102015221985A1_0064
Tabelle 2 zu Fig. 10
Figure DE102015221985A1_0065
Figure DE102015221985A1_0066
Tabelle 3a zu Fig. 10
Figure DE102015221985A1_0067
Figure DE102015221985A1_0068
Figure DE102015221985A1_0069
Tabelle 3b zu Fig. 10
Figure DE102015221985A1_0070
Figure DE102015221985A1_0071
Tabelle 3c zu Fig. 10
Figure DE102015221985A1_0072
Figure DE102015221985A1_0073
Tabelle 3d zu Fig. 10
Figure DE102015221985A1_0074
Tabelle 4a zu Fig. 10
Figure DE102015221985A1_0075
Figure DE102015221985A1_0076
Tabelle 4b zu Fig. 10
Figure DE102015221985A1_0077
Tabelle 5 zu Fig. 10
Figure DE102015221985A1_0078
Figure DE102015221985A1_0079
Figure DE102015221985A1_0080
Figure DE102015221985A1_0081
Figure DE102015221985A1_0082
Tabelle 6 zu Fig. 10: Blenden-Polygon AS im Abbildungsstrahlengang zwischen M9 und M10The mirrors M1 to M10 are in turn configured as free-form surfaces, for which the free-form surface equation (1) given above applies. The optical design data of theprojection optics 21 can be taken from the following tables, which in their structure the tables forprojection optics 7 to 2 correspond.
Figure DE102015221985A1_0062
Figure DE102015221985A1_0063
Table 1 to FIG. 10
Figure DE102015221985A1_0064
Table 2 to FIG. 10
Figure DE102015221985A1_0065
Figure DE102015221985A1_0066
Table 3a to Fig. 10
Figure DE102015221985A1_0067
Figure DE102015221985A1_0068
Figure DE102015221985A1_0069
Table 3b to FIG. 10
Figure DE102015221985A1_0070
Figure DE102015221985A1_0071
Table 3c to Fig. 10
Figure DE102015221985A1_0072
Figure DE102015221985A1_0073
Table 3d to Fig. 10
Figure DE102015221985A1_0074
Table 4a to FIG. 10
Figure DE102015221985A1_0075
Figure DE102015221985A1_0076
Table 4b to Fig. 10
Figure DE102015221985A1_0077
Table 5 to FIG. 10
Figure DE102015221985A1_0078
Figure DE102015221985A1_0079
Figure DE102015221985A1_0080
Figure DE102015221985A1_0081
Figure DE102015221985A1_0082
Table 6 to FIG. 10: Aperture polygon AS in the imaging beam path between M9 and M10

Eine Gesamt-Reflektivität der Projektionsoptik25 beträgt etwa 8,49%.A total reflectivity of theprojection optics 25 is about 8.49%.

Das Bildfeld8 hat eine x-Erstreckung von zweimal 13,0 mm und eine y-Erstreckung von 1,0 mm. Die Projektionsoptik25 ist optimiert für eine Betriebswellenlänge des Beleuchtungslichts3 von 13,5 nm.The image field 8th has an x-extension of twice 13.0 mm and a y-extension of 1.0 mm. Theprojection optics 25 is optimized for an operating wavelength of theillumination light 3 of 13.5 nm.

11 zeigt den Verlauf der Blende AS bei der Projektionsoptik25. Nachfolgend werden die Unterschiede dieser Blende AS der Projektionsoptik25 zu derjenigen der Blende AS der Projektionsoptik20 erläutert. 11 shows the course of the aperture AS in theprojection optics 25 , Hereinafter, the differences of this aperture AS of theprojection optics 25 to that of the aperture AS of theprojection optics 20 explained.

Zwischen den Blendenabschnitten21 und22 einerseits und dem Blendenabschnitt22 und dem Tragabschnitt23 andererseits ist die Blende AS der Projektionsoptik25 jeweils wesentlich stärker abgeknickt als bei der Blende AS der Projektionsoptik20. Die Abknickwinkel sind bei der Blende AS der Projektionsoptik25 jeweils so, dass die Abschnitte21,22 einerseits und die Abschnitte22,23 andererseits spitzwinklig zueinander verlaufen.Between thepanel sections 21 and 22 on the one hand and thediaphragm section 22 and thesupport section 23 On the other hand, the diaphragm AS of theprojection optics 25 in each case much more bent than in the aperture AS of theprojection optics 20 , The Abknickwinkel are at the aperture AS of theprojection optics 25 each so that thesections 21 . 22 on the one hand and thesections 22 . 23 on the other hand extend at an acute angle to each other.

Der Blendenabschnitt21 begrenzt die Pupillen-Randkontur der Projektionsoptik25 über die beiden extremen Randpositionen E(x), E(–x) hinaus, bis etwa zu maximalen Randpositionen Rmax(x) und Rmax(–x) (vergleiche4). Ab diesen maximalen Randpositionen Rmax(x) und Rmax(–x) weicht die Blendenkontur einerseits in negativer z-Richtung und andererseits in positiver y-Richtung dem Abbildungslicht-Teilbündel3M10W aus und begrenzt die restliche Pupillen-Randkontur entsprechend der Blende AS der Projektionsoptik21. Die Blende AS der Projektionsoptik25 geht nach den Randpositionen Rmax(x) und Rmax(–x) also in den Stegbereich S der Blendenausführung der Projektionsoptik20 nach den7 und8 über.Theaperture section 21 limits the pupil edge contour of theprojection optics 25 beyond the two extreme edge positions E (x), E (-x), up to approximately maximum edge positions Rmax (x) and Rmax (-x) (cf. 4 ). From these maximum edge positions Rmax (x) and Rmax (-x) , the diaphragm contour deviates on the one hand in the negative z-direction and on the other hand in the positive y-direction the imaging lightpartial beam 3M10W and limits the rest of the pupil edge contour according to the aperture AS of theprojection optics 21 , The aperture AS of theprojection optics 25 after the edge positions Rmax (x) and Rmax (-x) thus goes into the land area S of the aperture design of theprojection optics 20 after the 7 and 8th above.

Die Randkonturen der Blenden AS der Projektionsoptiken20 und25 haben einen dreidimensionalen Verlauf. Die Randkonturen der Blenden AS der Projektionsoptiken20 und25 sind jeweils abschnittsweise plan ausgeführt. Die Blenden AS der Projektionsoptiken20 und25 begrenzen die Pupillen-Randkontur24 in mehr als einer Ebene.The edge contours of the aperture AS of theprojection optics 20 and 25 have a three-dimensional course. The edge contours of the aperture AS of theprojection optics 20 and 25 Each of them is executed in sections. Apertures AS ofprojection optics 20 and 25 limit the pupil edge contour 24 in more than one level.

Die12 zeigt eine Sagittalansicht der Projektionsoptik25.The 12 shows a sagittal view of theprojection optics 25 ,

Anhand der13 bis15 wird nachfolgend eine weitere Ausführung einer Projektionsoptik26 erläutert, die anstelle der Projektionsoptik7 bei der Projektionsbelichtungsanlage1 nach1 zum Einsatz kommen kann. Komponenten und Funktionen, die vorstehend im Zusammenhang mit den1 bis12 bereits erläutert wurden, tragen gegebenenfalls die gleichen Bezugsziffern und werden nicht nochmals im Einzelnen diskutiert.Based on 13 to 15 Below is another embodiment of aprojection optics 26 explains that instead of theprojection optics 7 at theprojection exposure machine 1 to 1 can be used. Components and functions discussed above in connection with the 1 to 12 have already been explained, if applicable, have the same reference numbers and will not be discussed again in detail.

Die Spiegel M1 bis M10 sind wiederum als Freiformflächen ausgestaltet, für die die oben angegebene Freiformflächengleichung (1) gilt. Die optischen Designdaten der Projektionsoptik26 können den nachfolgenden Tabellen entnommen werden, die in ihrem Aufbau den Tabellen zur Projektionsoptik7 nach2 entsprechen.

Figure DE102015221985A1_0083
Tabelle 1 zu Fig. 13
Figure DE102015221985A1_0084
Figure DE102015221985A1_0085
Tabelle 2 zu Fig. 13
Figure DE102015221985A1_0086
Figure DE102015221985A1_0087
Tabelle 3a zu Fig. 13
Figure DE102015221985A1_0088
Figure DE102015221985A1_0089
Tabelle 3b zu Fig. 13
Figure DE102015221985A1_0090
Figure DE102015221985A1_0091
Figure DE102015221985A1_0092
Tabelle 3c zu Fig. 13
Figure DE102015221985A1_0093
Figure DE102015221985A1_0094
Tabelle 3d zu Fig. 13
Figure DE102015221985A1_0095
Tabelle 4a zu Fig. 13
Figure DE102015221985A1_0096
Tabelle 4b zu Fig. 13
Figure DE102015221985A1_0097
Tabelle 5 zu Fig. 13
Figure DE102015221985A1_0098
Figure DE102015221985A1_0099
Figure DE102015221985A1_0100
Figure DE102015221985A1_0101
Tabelle 6: Blenden-Polygon AS im Abbildungsstrahlengang zwischen M9 und M10The mirrors M1 to M10 are in turn configured as free-form surfaces, for which the free-form surface equation (1) given above applies. The optical design data of theprojection optics 26 can be taken from the following tables, which in their structure the tables forprojection optics 7 to 2 correspond.
Figure DE102015221985A1_0083
Table 1 to FIG. 13
Figure DE102015221985A1_0084
Figure DE102015221985A1_0085
Table 2 to FIG. 13
Figure DE102015221985A1_0086
Figure DE102015221985A1_0087
Table 3a to FIG. 13
Figure DE102015221985A1_0088
Figure DE102015221985A1_0089
Table 3b to FIG. 13
Figure DE102015221985A1_0090
Figure DE102015221985A1_0091
Figure DE102015221985A1_0092
Table 3c to FIG. 13
Figure DE102015221985A1_0093
Figure DE102015221985A1_0094
Table 3d to Fig. 13
Figure DE102015221985A1_0095
Table 4a to FIG. 13
Figure DE102015221985A1_0096
Table 4b to FIG. 13
Figure DE102015221985A1_0097
Table 5 to FIG. 13
Figure DE102015221985A1_0098
Figure DE102015221985A1_0099
Figure DE102015221985A1_0100
Figure DE102015221985A1_0101
Table 6: Aperture polygon AS in the imaging beam path between M9 and M10

Eine Gesamt-Reflektivität der Projektionsoptik26 beträgt etwa 8,49%.A total reflectivity of theprojection optics 26 is about 8.49%.

Das Bildfeld8 hat eine x-Erstreckung von zweimal 13 mm und eine y-Erstreckung von 1 mm. Die Projektionsoptik26 ist optimiert für eine Betriebswellenlänge des Beleuchtungslichts3 von 13,5 nm.The image field 8th has an x-extension of twotimes 13 mm and a y-extension of 1 mm. Theprojection optics 26 is optimized for an operating wavelength of theillumination light 3 of 13.5 nm.

Die Blende AS der Projektionsoptik26 ist wiederum räumlich zwischen dem im Strahlengang vorletzten Spiegel M9 und dem im Strahlengang letzten Spiegel M10 angeordnet und begrenzt die Systempupille vollumfänglich im Bereich des Abbildungslicht-Teilbündels3M9A10. Die Blende AS ist die einzige Blende zur Vorgabe der äußeren Pupillen-Randkontur. Die Blende AS ist insgesamt plan ausgeführt und liegt in der Blendenebene EAS (vergleiche14). Diese Blendenebene EAS schließt mit der Bildebene9 einen Winkel von etwa 55° ein. Eine Schnittlinie SL zwischen der Blendenebene EAS und der Bildebene9 verläuft im Bereich des Bildfeldes8. Auch die Blende AS der Projektionsoptik26 hat einen Stegabschnitt S zwischen den Abbildungslicht-Teilbündeln3M9M10 und3M10W, der ebenfalls in der Ebene EAS nach14 liegt.The aperture AS of theprojection optics 26 is in turn arranged spatially between the last in the beam path mirror M9 and the last in the beam path mirror M10 and limits the system pupil fully in the region of the imaging lightpartial beam 3M9A10 . The aperture AS is the only aperture for specifying the outer pupil edge contour. The diaphragm AS is overall flat and lies in the diaphragm plane EAS (compare 14 ). This aperture plane EAS closes with theimage plane 9 an angle of about 55 °. A section line SL between the diaphragm plane EAS and theimage plane 9 runs in the area of the image field 8th , Also the aperture AS of theprojection optics 26 has a land portion S between the imagelight sub-beams 3M9M10 and 3M10W , which is also in the level EAS after 14 lies.

Anhand der16 bis20 wird nachfolgend eine weitere Ausführung einer Projektionsoptik27 erläutert, die anstelle der Projektionsoptik7 bei der Projektionsbelichtungsanlage1 nach1 zum Einsatz kommen kann. Komponenten und Funktionen, die vorstehend im Zusammenhang mit den1 bis15 bereits erläutert wurden, tragen gegebenenfalls die gleichen Bezugsziffern und werden nicht nochmals im Einzelnen diskutiert.Based on 16 to 20 Below is another embodiment of aprojection optics 27 explains that instead of theprojection optics 7 at theprojection exposure machine 1 to 1 can be used. Components and functions discussed above in connection with the 1 to 15 have already been explained, if applicable, have the same reference numbers and will not be discussed again in detail.

Die Spiegel M1 bis M10 sind wiederum als Freiformflächen ausgestaltet, für die oben angegebene Freiformflächengleichung (1) gilt.The mirrors M1 to M10 are in turn configured as free-form surfaces, for the free-form surface equation (1) given above applies.

Die nachfolgenden beiden Tabellen fassen die Parameter „maximaler Einfallswinkel”, „Reflexionsflächenerstreckung in x-Richtung”, „Reflexionsflächenerstreckung in y-Richtung” und „maximaler Spiegeldurchmesser” für die Spiegel M1 bis M10 der Projektionsoptik27 zusammen.M1M2M3M4M5maximaler Einfallswinkel [°]13.281.178.282.582.1Reflexionsflächenerstreckung in x-Richtung [mm]626.4459.1411.9375.1422.4Reflexionsflächenerstreckung in y-Richtung [mm]258.8310.4381.0315.7304.6maximaler Spiegeldurchmesser [mm]626.5459.6464.1414.1423.5M6M7M8M9M10maximaler Einfallswinkel [°]82.180.178.622.015.8Reflexionsflächenerstreckung in x-Richtung [mm]439.4420.9365.3389.8699.5Reflexionsflächenerstreckung in y-Richtung [mm]201.093.9174.2205.1689.9maximaler Spiegeldurchmesser [mm]439.4420.9365.3389.9700.6The following two tables summarize the parameters "maximum angle of incidence", "reflection surface extent in x-direction", "reflection surface extent in y-direction" and "maximum mirror diameter" for the mirrors M1 to M10 of theprojection optics 27 together. M1 M2 M3 M4 M5 maximum angle of incidence [°] 13.2 81.1 78.2 82.5 82.1 Reflection surface extension in x-direction [mm] 626.4 459.1 411.9 375.1 422.4 Reflection surface extension in the y-direction [mm] 258.8 310.4 381.0 315.7 304.6 maximum mirror diameter [mm] 626.5 459.6 464.1 414.1 423.5 M6 M7 M8 M9 M10 maximum angle of incidence [°] 82.1 80.1 78.6 22.0 15.8 Reflection surface extension in x-direction [mm] 439.4 420.9 365.3 389.8 699.5 Reflection surface extension in the y-direction [mm] 201.0 93.9 174.2 205.1 689.9 maximum mirror diameter [mm] 439.4 420.9 365.3 389.9 700.6

Den größten maximalen Spiegeldurchmesser hat der die bildseitige numerische Apertur vorgebende Spiegel M10 mit einem Durchmesser von 700,6 mm. Keiner der anderen Spiegel M1 bis M9 hat einen maximalen Durchmesser, der größer ist als 630 mm. Acht der zehn Spiegel, nämlich die Spiegel M2 bis M9 haben einen maximalen Spiegeldurchmesser, der kleiner ist als 470 mm. Zwei der zehn Spiegel, nämlich die Spiegel M8 und M9 haben einen maximalen Spiegeldurchmesser, der kleiner ist als 400 mm.The largest maximum mirror diameter has the image-side numerical aperture predetermining M10 mirror with a diameter of 700.6 mm. None of the other mirrors M1 to M9 has a maximum diameter greater than 630 mm. Eight of the ten mirrors, namely mirrors M2 to M9, have a maximum mirror diameter that is less than 470 mm. Two of the ten mirrors, mirrors M8 and M9, have a maximum mirror diameter that is less than 400 mm.

Die optischen Designdaten der Projektionsoptik27 können den nachfolgenden Tabellen entnommen werden.The optical design data of theprojection optics 27 can be found in the following tables.

In der Tabelle 1 sind zusätzlich die beiden Abbildungsmaßstäbe βx, βy der Projektionsoptik27 in der xz-Ebene und in der yz-Ebene angegeben. Das Vorzeichen des jeweiligen Abbildungsmaßstabs β gibt an, ob eine Bildumkehr stattfindet (negatives Vorzeichen) oder nicht (positives Vorzeichen). In der Tabelle 1 zur Ausführung nach16 ist zudem ein maximaler Wellenfrontfehler rms über das Bildfeld von 6,5 mλ angegeben.In addition, the two magnifications βx , βy of the projection optics are shown in Table 1 27 specified in the xz plane and in the yz plane. The sign of the respective magnification β indicates whether an image reversal takes place (negative sign) or not (positive sign). In Table 1 forexecution 16 In addition, a maximum wavefront error rms over the field of view of 6.5 mλ is indicated.

Ähnlich wie bei der Ausführung nach den13 bis15 weist auch die abbildende Optik27 eine Blende AS auf, die räumlich zwischen dem im Abbildungslicht-Strahlengang vorletzten Spiegel M9 und dem im Abbildungslicht-Strahlengang letzten Spiegel M10 angeordnet ist. Die Blende AS dient gleichzeitig als Aperturblende und als Obskurationsblende. Die Blende AS schattet das Abbildungslicht3 bei der Wirkung als Aperturblende im Teilstrahlengang3M9M10 ab. Bei der Wirkung als Obskurationsblende schattet die Blende AS das Abbildungslicht3 in einem vorgelagerten Teilstrahlengang3M8M9, also dem Teilstrahlengang zwischen dem vorvorletzten bzw. drittletzten Spiegel M8 und dem vorletzten Spiegel M9 der abbildenden Optik27. Je nachdem, ob die Blende AS als Aperturblende oder als Obskurationsblende wirkt, schattet die Blende AS also einen anderen Teilstrahlengang des Abbildungslichts3 ab.Similar to the execution after the 13 to 15 also has the imaging optics 27 a diaphragm AS, which is spatially arranged between the mirror M9 in the imaging light beam path and the mirror M10 last in the imaging light beam path. The aperture AS simultaneously serves as an aperture diaphragm and as an obscuration diaphragm. The shutter AS shadows theimage light 3 in the effect as an aperture in thepartial beam path 3M9M10 off. When operated as Obskurationsbrende the aperture AS shadows theimaging light 3 in an upstreampartial beam path 3M8M9 , so the partialbeam path between the pre-penultimate or third last mirror M8 and the penultimate mirror M9 of theimaging optics 27 , Depending on whether the aperture AS acts as an aperture diaphragm or as an obscuration diaphragm, the diaphragm AS thus shadows another partial beam path of theimaging light 3 from.

Die sechste Tabelle gibt eine Berandung dieser Blende AS als Polygonzug in lokalen Koordinaten xyz an, wobei einerseits (Typ „CLA”) eine äußere Apertur-Blendenberandung und andererseits (Typ „OBS”) eine innere Obskurations-Blendenberandung angegeben ist.

Figure DE102015221985A1_0102
Tabelle 1 zu Fig. 16
Figure DE102015221985A1_0103
Tabelle 2 zu Fig. 16
Figure DE102015221985A1_0104
Figure DE102015221985A1_0105
Tabelle 3a zu Fig. 16
Figure DE102015221985A1_0106
Figure DE102015221985A1_0107
Tabelle 3b zu Fig. 16
Figure DE102015221985A1_0108
Figure DE102015221985A1_0109
Tabelle 3c zu Fig. 16
Figure DE102015221985A1_0110
Figure DE102015221985A1_0111
Tabelle 3d zu Fig. 16
Figure DE102015221985A1_0112
Tabelle 4a zu Fig. 16
Figure DE102015221985A1_0113
Tabele 4b zu Fig. 16
Figure DE102015221985A1_0114
Tabelle 5 zu Fig. 16
Figure DE102015221985A1_0115
Figure DE102015221985A1_0116
Figure DE102015221985A1_0117
Tabelle 6 zu Fig. 16: Blenden-Polygon AS im Abbildungsstrahlengang zwischen M9 und M10The sixth table indicates a boundary of this diaphragm AS as a polygon in local coordinates xyz, where on the one hand (type "CLA") an outer aperture diaphragm boundary and on the other hand (type "OBS") an inner obscuration diaphragm boundary is indicated.
Figure DE102015221985A1_0102
Table 1 to FIG. 16
Figure DE102015221985A1_0103
Table 2 to FIG. 16
Figure DE102015221985A1_0104
Figure DE102015221985A1_0105
Table 3a to FIG. 16
Figure DE102015221985A1_0106
Figure DE102015221985A1_0107
Table 3b to Fig. 16
Figure DE102015221985A1_0108
Figure DE102015221985A1_0109
Table 3c to FIG. 16
Figure DE102015221985A1_0110
Figure DE102015221985A1_0111
Table 3d to FIG. 16
Figure DE102015221985A1_0112
Table 4a to FIG. 16
Figure DE102015221985A1_0113
Table 4b to Fig. 16
Figure DE102015221985A1_0114
Table 5 to FIG. 16
Figure DE102015221985A1_0115
Figure DE102015221985A1_0116
Figure DE102015221985A1_0117
Table 6 to FIG. 16: Aperture polygon AS in the imaging beam path between M9 and M10

Eine Gesamt-Reflektivität der Projektionsoptik27 beträgt etwa 7,29%.A total reflectivity of theprojection optics 27 is about 7.29%.

Das Bildfeld8 hat eine x-Erstreckung von 2 × 13 mm und eine y-Erstreckung von 1,2 mm. Die Projektionsoptik27 ist optimiert für eine Betriebswellenlänge des Beleuchtungslichts3 von 13,5 nm.The image field 8th has an x-extension of 2 × 13 mm and a y-extension of 1.2 mm. Theprojection optics 27 is optimized for an operating wavelength of theillumination light 3 of 13.5 nm.

Die Blende AS der Projektionsoptik27 begrenzt mit ihrer Apertur-Blendenberandung28 (vergleiche zum Beispiel20) vollumfänglich die Systempupille der Projektionoptik27 im Bereich des Abbildungslicht-Teilbündels3M9M10. Die Blende AS ist die einzige Blende zur Vorgabe dieser äußeren Pupillen-Randkontur. Die Blende AS ist insgesamt plan ausgeführt und liegt in einer Blendenebene EAS (vergleiche16). Diese Blendenebene EAS schließt mit der Bildebene9 einen Winkel von etwa 37° ein. Diese Winkel weicht nur unwesentlich von einem Kippwinkel des Spiegels M9 um die x-Achse relativ zu Bildebene9 ab.The aperture AS of theprojection optics 27 limited with its aperture aperture 28 (compare for example 20 ) fully the system pupil of theprojection optics 27 in the area of the imagelight sub-beam 3M9M10 . The aperture AS is the only aperture for specifying this outer pupil edge contour. The diaphragm AS is overall flat and lies in a diaphragm plane EAS (cf. 16 ). This aperture plane EAS closes with theimage plane 9 an angle of about 37 °. This angle deviates only insignificantly from a tilt angle of the mirror M9 about the x-axis relative to theimage plane 9 from.

19 verdeutlicht eine räumliche Anordnung der Blende AS zwischen den Spiegeln M9 und M10. Ein zentraler Obskurationsbereich29 der Blende AS mit der Obskurations-Blendenberandung30 wird von in der Zeichnung nicht dargestellten Steg- beziehungsweise Drahtstrukturen über einen äußeren Ringbereich31 der Blende AS getragen. Alternativ kann der zentrale Obskurationsbereich29 von einer in der Zeichnung nicht dargestellten Haltestruktur getragen werden, die sich am benachbarten Spiegel M9 abstützt und von diesem getragen wird. Eine entsprechende, vom Spiegel M9 ausgehende Haltestruktur kann vollständig im Abbildungslicht-Schatten des zentralen Obskurationsbereichs29 liegen, sodass die Haltestruktur nicht unerwünscht das Abbildungslicht3 abschattet. 19 illustrates a spatial arrangement of the aperture AS between the mirrors M9 and M10. Acentral obscuration area 29 the aperture AS with theobscuration aperture 30 is made of web or wire structures, not shown in the drawing via anouter ring area 31 worn the aperture AS. Alternatively, thecentral obscuration area 29 be supported by a support structure, not shown in the drawing, which is supported on the adjacent mirror M9 and is supported by this. A corresponding support structure emanating from the mirror M9 may be completely in the imaging light shadow of thecentral obscuration area 29 lie so that the support structure is not undesirable theimaging light 3 shades.

Entsprechend einem äußeren Bündelquerschnitt des Abbildungslicht-Teilbündels3M9M10 ist die Apertur-Blendenberandung in Bezug auf die lokale xz-Ebene der Blende AS nicht spiegelsymmetrisch ausgeführt, sondern ist dort, wo die Blende AS dem Abbildungslicht-Teilbündel3M10W nächst benachbart ist, in einem Apertur-Blendenberandungsabschnitt28a flacher ausgeführt als in einem gegenüberliegenden Apertur-Blendenberandungsabschnitt28b. In dem vom Abbildungslicht-Teilbündel3M10W entfernt liegenden Apertur-Blendenberandungsabschnitt28b verläuft die Apertur-Blendenberandung28 angenähert kreisförmig. Zur Verdeutlichung ist in der20 die Apertur-Blendenberandung28 in einen Kreis K eingeschrieben. Ein Mittelpunkt dieses Kreises K fällt mit einem Zentrum Z des zentralen Obskurations-Bereichs29 der Blende AS zusammen. Ein Maximaldurchmesser D der Apertur-Blendenberandung28, der in x-Richtung verläuft, stimmt mit dem Kreisdurchmesser überein.Corresponding to an outer bundle cross section of theimaging light sub-beam 3M9M10 , the aperture aperture is not mirror-symmetric with respect to the local xz plane of the aperture AS, but is where the aperture AS is theimaging light sub-beam 3M10W next toeach other in an aperturediaphragm boundary portion 28a made flatter than in an opposite aperturediaphragm boundary portion 28b , In the picturelight sub-bunch 3M10W removes the aperturediaphragm overlay portion 28b runs theaperture Aperture boundary 28 approximately circular. For clarification is in the 20 theaperture aperture 28 inscribed in a circle K. A center of this circle K coincides with a center Z of thecentral obscuration area 29 the aperture AS together. A maximum diameter D of theaperture diaphragm boundary 28 , which runs in the x-direction, coincides with the circle diameter.

Ein objektseitiger Hauptstrahlwinkel beträgt bei der Projektionsoptik27 5,1°. Eine Pupillenobskuration der Projektionsoptik27 beträgt 19% der numerischen Apertur der Projektionsoptik27. Ein Flächenanteil von 0,192 einer Pupille der Projektionsoptik27 ist somit obskuriert. Ein Objekt-Bild-Versatz dOIS beträgt etwa 2000 mm. Die Spiegel der Projektionsoptik27 können in einem Quader mit xyz-Kantenlängen von 699 mm × 2275 mm × 1434 mm untergebracht werden.An object-side main beam angle is in theprojection optics 27 5.1 °. A pupil obscuration of theprojection optics 27 is 19% of the numerical aperture of theprojection optics 27 , An area share of 0.192 of a pupil of theprojection optics 27 is thus obscured. An object-to-image offset dOIS is about 2000 mm. The mirrors of theprojection optics 27 can be accommodated in a cuboid with xyz edge lengths of 699 mm × 2275 mm × 1434 mm.

Die Objektebene5 verläuft parallel zur Bildebene9.Theobject plane 5 runs parallel to theimage plane 9 ,

Ein Arbeitsabstand zwischen dem wafernächsten Spiegel M9 und der Bildebene9 beträgt 121 mm.A working distance between the wafer-near mirror M9 and theimage plane 9 is 121 mm.

Die Spiegel M1, M5, M6, M7 und M10 haben negative Radiuswerte, sind also grundsätzlich Konkavspiegel. Der Spiegel M2 hat positive Radiuswerte, ist grundsätzlich also ein Konvexspiegel. Die weiteren Spiegel M3, M4, M8 und M9 haben unterschiedliche Vorzeichen hinsichtlich ihrer x- und y-Radiuswerte, haben also eine Sattelflächen-Grundform.The mirrors M1, M5, M6, M7 and M10 have negative radius values, ie are basically concave mirrors. The mirror M2 has positive radius values, so basically it is a convex mirror. The further mirrors M3, M4, M8 and M9 have different signs with regard to their x and y radius values, ie they have a saddle surface basic shape.

Eine Spiegelabfolge hinsichtlich einer Einfallswinkel-Klassifizierung (N:NI-Spiegel; G:GI-Spiegel) ist bei den Spiegeln M1 bis M10 der Projektionsoptik27 NGGGGGGGNN. Eine Abfolge umlenkender Wirkungen für den Abbildungslicht-Hauptstrahl eines zentralen Feldpunktes (L: Umlenkungswirkung im Uhrzeigersinn; R: Umlenkungswirkung entgegen dem Uhrzeigersinn) ist bei den Spiegeln M1 bis M10 der Projektionsoptik27 LRRRRRRR0R. Die GI-Spiegel M2 bis M8 haben also alle die gleiche Orientierung ihrer umlenkenden Wirkung.A mirror sequence with respect to an angle of arrival classification (N: NI mirror, G: GI mirror) is at the mirrors M1 to M10 of theprojection optics 27 NGGGGGGGNN. A sequence of redirecting effects for the imaging light main beam of a central field point (L: clockwise deflection effect, R: counterclockwise deflection action) is for the mirrors M1 to M10 of theprojection optics 27 LRRRRRRR0R. The GI mirrors M2 to M8 all have the same orientation of their deflecting effect.

Zur Herstellung eines mikro- oder nanostrukturierten Bauteils wird die Projektionsbelichtungsanlage1 folgendermaßen eingesetzt: Zunächst werden die Reflexionsmaske10 beziehungsweise das Retikel und das Substrat beziehungsweise der Wafer11 bereitgestellt. Anschließend wird eine Struktur auf dem Retikel10 auf eine lichtempfindliche Schicht des Wafers11 mithilfe der Projektionsbelichtungsanlage1 projiziert. Durch Entwicklung der lichtempfindlichen Schicht wird dann eine Mikro- oder Nanostruktur auf dem Wafer11 und somit das mikrostrukturierte Bauteil erzeugt.The projection exposure apparatus is used to produce a microstructured ornanostructured component 1 used as follows: First, thereflection mask 10 or the reticle and the substrate or thewafer 11 provided. Subsequently, a structure on thereticle 10 on a photosensitive layer of thewafer 11 using theprojection exposure system 1 projected. By developing the photosensitive layer, a micro or nanostructure is then formed on thewafer 11 and thus produces the microstructured component.

ZITATE ENTHALTEN IN DER BESCHREIBUNG QUOTES INCLUDE IN THE DESCRIPTION

Diese Liste der vom Anmelder aufgeführten Dokumente wurde automatisiert erzeugt und ist ausschließlich zur besseren Information des Lesers aufgenommen. Die Liste ist nicht Bestandteil der deutschen Patent- bzw. Gebrauchsmusteranmeldung. Das DPMA übernimmt keinerlei Haftung für etwaige Fehler oder Auslassungen.This list of the documents listed by the applicant has been generated automatically and is included solely for the better information of the reader. The list is not part of the German patent or utility model application. The DPMA assumes no liability for any errors or omissions.

Zitierte PatentliteraturCited patent literature

  • DE 102015209827 A1[0002]DE 102015209827 A1[0002]
  • DE 102012212753 A1[0002]DE 102012212753 A1[0002]
  • US 2010/0149509 A1[0002]US 2010/0149509 A1[0002]
  • US 4964706[0002]US 4964706[0002]
  • WO 2012/126867 A[0050]WO 2012/126867 A[0050]
  • DE 10155711 A[0050]DE 10155711 A[0050]
  • US 20070058269 A1[0058]US 20070058269 A1[0058]

Claims (13)

Translated fromGerman
Abbildende Optik (7;20;25;26) für die Projektionslithographie – mit einer Mehrzahl von Spiegel (M1 bis M10) zur Abbildung eines Objektfeldes (4) in einer Objektebene (5) in ein Bildfeld (8) in einer Bildebene (9) mit längs eines Abbildungs-Strahlengangs zwischen dem Objektfeld (4) und dem Bildfeld (8) geführtem Abbildungslicht (3), – mit einem im Strahlengang vorletzten Spiegel (M9) ohne Durchtrittsöffnung zum Durchtritt des Abbildungslichts (3), – mit einer Blende (AS) zur Vorgabe zumindest eines Abschnitts (18) einer äußeren Randkontur (19;24) einer Pupille der abbildenden Optik (7;20;25;26), – wobei die Blende (AS) räumlich zwischen dem im Strahlengang vorletzten Spiegel (M9) und einem im Strahlengang letzten Spiegel (M10) angeordnet ist.Imaging optics ( 7 ; 20 ; 25 ; 26 ) for projection lithography - with a plurality of mirrors (M1 to M10) for imaging an object field ( 4 ) in an object plane ( 5 ) in an image field ( 8th ) in an image plane ( 9 ) along an imaging beam path between the object field ( 4 ) and the image field ( 8th ) guided imaging light ( 3 ), - with a penultimate in the beam path mirror (M9) without passage opening for the passage of the imaging light ( 3 ), - with an aperture (AS) for specifying at least one section (AS) 18 ) an outer edge contour ( 19 ; 24 ) a pupil of the imaging optics ( 7 ; 20 ; 25 ; 26 ), - wherein the diaphragm (AS) is arranged spatially between the penultimate in the beam path mirror (M9) and one in the beam path last mirror (M10).Abbildende Optik nach Anspruch 1,dadurch gekennzeichnet, dass der im Strahlengang letzte Spiegel (M10) eine Durchtrittsöffnung (17) zum Durchtritt des Abbildungslichts (3) hat.Imaging optics according to claim 1,characterized in that the last mirror in the beampath (M10) has a passage opening ( 17 ) for the passage of the imaging light ( 3 ) Has.Abbildende Optik nach Anspruch 1 oder 2,dadurch gekennzeichnet, dass die Blende (AS) die äußere Randkontur (19;24) der Pupille in einem Azimutbereich (B) um ein Zentrum (Z) der Pupille abdeckt, der größer ist als 180°.Imaging optics according to claim 1 or 2,characterized in that the diaphragm (AS) the outer edge contour ( 19 ; 24 ) of the pupil in an azimuthal region (B) around a center (Z) of the pupil which is larger than 180 °.Abbildende Optik nach einem der Ansprüche 1 bis 3, gekennzeichnet durch genau eine Blende (AS) zur Vorgabe der vollständigen äußeren Randkontur (24) der Pupille der abbildenden Optik (7;20;25;26).Imaging optics according to one of claims 1 to 3, characterized by exactly one diaphragm (AS) for specifying the complete outer edge contour ( 24 ) of the pupil of the imaging optics ( 7 ; 20 ; 25 ; 26 ).Abbildende Optik nach einem der Ansprüche 1 bis 4,dadurch gekennzeichnet, dass die Blende (AS) zumindest abschnittsweise plan ausgeführt ist.Imaging optics according to one of claims 1 to 4,characterized in that the diaphragm (AS) is at least partially planar.Abbildende Optik nach einem der Ansprüche 1 bis 5,dadurch gekennzeichnet, dass eine Randkontur der Blende (AS) einen dreidimensionalen Verlauf hat.Imaging optics according to one of claims 1 to 5,characterized in that an edge contour of the diaphragm (AS) has a three-dimensional course.Abbildende Optik nach einem der Ansprüche 1 bis 6,dadurch gekennzeichnet, dass die Blende (AS) die Randkontur (24) der Pupille in mehr als einer Ebene (EAS1, EAS2) begrenzt.Imaging optics according to one of claims 1 to 6,characterized in that the diaphragm (AS) the edge contour ( 24 ) of the pupil is limited in more than one plane (EAS1 , EAS2 ).Abbildende Optik (7;20;25;26) für die Projektionslithographie – mit einer Mehrzahl von Spiegel (M1 bis M10) zur Abbildung eines Objektfeldes (4) in einer Objektebene (5) in ein Bildfeld (8) in einer Bildebene (9) mit längs eines Abbildungs-Strahlengangs zwischen dem Objektfeld (4) und dem Bildfeld (8) geführtem Abbildungslicht (3), – mit einem im Strahlengang vorletzten Spiegel (M9) ohne Durchtrittsöffnung zum Durchtritt des Abbildungslichts (3), – mit mindestens einer Blende (AS) zur Vorgabe zumindest eines Abschnitts (18) einer äußeren Randkontur (19;24) einer Pupille der abbildenden Optik (7;20;25;26), – wobei die Blende (AS) räumlich zwischen dem im Strahlengang vorletzten Spiegel (M9) und einem im Strahlengang letzten Spiegel (M10) angeordnet ist, – wobei eine Eintrittspupille (EP) der abbildenden Optik (7;20;25;26) im Strahlengang des Abbildungslichts (31) vor dem Objektfeld (4) angeordnet ist.Imaging optics ( 7 ; 20 ; 25 ; 26 ) for projection lithography - with a plurality of mirrors (M1 to M10) for imaging an object field ( 4 ) in an object plane ( 5 ) in an image field ( 8th ) in an image plane ( 9 ) along an imaging beam path between the object field ( 4 ) and the image field ( 8th ) guided imaging light ( 3 ), - with a penultimate in the beam path mirror (M9) without passage opening for the passage of the imaging light ( 3 ), - with at least one shutter (AS) for specifying at least one section ( 18 ) an outer edge contour ( 19 ; 24 ) a pupil of the imaging optics ( 7 ; 20 ; 25 ; 26 ), - wherein the diaphragm (AS) is arranged spatially between the mirror (2) in the beam path last mirror (M9) and a last in the beam path mirror (M10), - wherein an entrance pupil (EP) of the imaging optics ( 7 ; 20 ; 25 ; 26 ) in the beam path of the imaging light ( 31 ) in front of the object field ( 4 ) is arranged.Optisches System – mit einer Beleuchtungsoptik (6) zur Beleuchtung des Objektfeldes (4) mit dem Abbildungslicht (3), – mit einer abbildenden Optik (7;20;25;26) nach einem der Ansprüche 1 bis B.Optical system - with illumination optics ( 6 ) for illuminating the object field ( 4 ) with the picture light ( 3 ), - with an imaging optic ( 7 ; 20 ; 25 ; 26 ) according to one of claims 1 to B.Optisches System – mit einer abbildenden Optik (7;20;25;26) nach einem der Ansprüche 1 bis 8, – mit einem Waferhalter (12) zur Verlagerung eines Wafers (11) längs einer Objektverlagerungsrichtung (y), – wobei die Blende (AS) in einer Richtung (x) senkrecht zur Objektverlagerungsrichtung (y) beide extremen Randpositionen (E(x), E(–x)) der äußeren Randkontur (19;24) der Pupille der abbildenden Optik (7;20;25;26) begrenzt.Optical system - with an imaging optic ( 7 ; 20 ; 25 ; 26 ) according to one of claims 1 to 8, - with a wafer holder ( 12 ) for relocating a wafer ( 11 ) along an object displacement direction (y), - wherein the diaphragm (AS) in a direction (x) perpendicular to the object displacement direction (y) both extreme edge positions (E (x), E (-x)) of the outer edge contour ( 19 ; 24 ) of the pupil of the imaging optics ( 7 ; 20 ; 25 ; 26 ) limited.Projektionsbelichtungsanlage mit einem optischen System nach Anspruch 9 oder 10 und mit einer EUV-Lichtquelle (2).A projection exposure apparatus comprising an optical system according to claim 9 or 10 and having an EUV light source ( 2 ).Verfahren zur Herstellung eines strukturierten Bauteils mit folgenden Verfahrensschritten: – Bereitstellen eines Retikels (10) und eines Wafers (11), – Projizieren einer Struktur auf dem Retikel (10) auf eine lichtempfindliche Schicht des Wafers (11) mithilfe der Projektionsbelichtungsanlage nach Anspruch 11, – Erzeugen einer Mikro- beziehungsweise Nanostruktur auf dem Wafer (11).Method for producing a structured component with the following method steps: Providing a reticle ( 10 ) and a wafer ( 11 ), - projecting a structure on the reticle ( 10 ) on a photosensitive layer of the wafer ( 11 ) using the projection exposure apparatus according to claim 11, - generating a microstructure or nanostructure on the wafer ( 11 ).Strukturiertes Bauteil, hergestellt nach einem Verfahren nach Anspruch 12.A structured component produced by a method according to claim 12.
DE102015221985.2A2015-05-282015-11-09 Imaging optics for imaging an object field in an image field and projection exposure apparatus with such an imaging opticsCeasedDE102015221985A1 (en)

Priority Applications (4)

Application NumberPriority DateFiling DateTitle
DE102015221985.2ADE102015221985A1 (en)2015-11-092015-11-09 Imaging optics for imaging an object field in an image field and projection exposure apparatus with such an imaging optics
PCT/EP2016/061516WO2016188934A1 (en)2015-05-282016-05-23Imaging optical unit for imaging an object field into an image field as well as projection exposure system having such an imaging optical unit
KR1020177036973AKR102868300B1 (en)2015-05-282016-05-23 An imaging optical unit for imaging an object field into an image field, and a projection exposure device including the imaging optical unit
US15/816,325US10527832B2 (en)2015-05-282017-11-17Imaging optical unit and projection exposure apparatus including same

Applications Claiming Priority (1)

Application NumberPriority DateFiling DateTitle
DE102015221985.2ADE102015221985A1 (en)2015-11-092015-11-09 Imaging optics for imaging an object field in an image field and projection exposure apparatus with such an imaging optics

Publications (1)

Publication NumberPublication Date
DE102015221985A1true DE102015221985A1 (en)2017-05-11

Family

ID=58584831

Family Applications (1)

Application NumberTitlePriority DateFiling Date
DE102015221985.2ACeasedDE102015221985A1 (en)2015-05-282015-11-09 Imaging optics for imaging an object field in an image field and projection exposure apparatus with such an imaging optics

Country Status (1)

CountryLink
DE (1)DE102015221985A1 (en)

Cited By (8)

* Cited by examiner, † Cited by third party
Publication numberPriority datePublication dateAssigneeTitle
US10795168B2 (en)2017-08-312020-10-06Metalenz, Inc.Transmissive metasurface lens integration
US11906698B2 (en)2017-05-242024-02-20The Trustees Of Columbia University In The City Of New YorkBroadband achromatic flat optical components by dispersion-engineered dielectric metasurfaces
US11927769B2 (en)2022-03-312024-03-12Metalenz, Inc.Polarization sorting metasurface microlens array device
US11978752B2 (en)2019-07-262024-05-07Metalenz, Inc.Aperture-metasurface and hybrid refractive-metasurface imaging systems
US12140778B2 (en)2018-07-022024-11-12Metalenz, Inc.Metasurfaces for laser speckle reduction
DE102023211589A1 (en)*2023-11-212025-05-22Carl Zeiss Smt Gmbh Imaging optics for imaging an object field into an image field and projection exposure system with such imaging optics
WO2025108821A2 (en)2023-11-212025-05-30Carl Zeiss Smt GmbhImaging optical unit for imaging an object field into an image field, and projection exposure apparatus having such an imaging optical unit
US12416752B2 (en)2018-01-242025-09-16President And Fellows Of Harvard CollegePolarization state generation with a metasurface

Citations (7)

* Cited by examiner, † Cited by third party
Publication numberPriority datePublication dateAssigneeTitle
US4964706A (en)1988-10-171990-10-23Hughes Aircraft CompanyMulti-focal length, multi-field of view three mirror anastrigmat
DE10155711A1 (en)2001-11-092003-05-22Fraunhofer Ges ForschungMirror for the EUV spectral region used in X-ray techniques comprises a layer arrangement having a number of partial layer systems applied on a substrate
US20070058269A1 (en)2005-09-132007-03-15Carl Zeiss Smt AgCatoptric objectives and systems using catoptric objectives
US20100149509A1 (en)2008-09-182010-06-17Nikon CorporationOptical system, exposure apparatus, and method of manufacturing electronic device
WO2012126867A1 (en)2011-03-222012-09-27Carl Zeiss Smt GmbhDeflection mirror and projection exposure apparatus for microlithography comprising such a deflection mirror
DE102012212753A1 (en)2012-07-202014-01-23Carl Zeiss Smt GmbhProjection optics for forming object field of optics plane in projection exposure system for microlithography, has blinding unit presetting outer boundary of optics with respect to diaphragm direction that is set parallel to planes
DE102015209827A1 (en)2015-05-282015-09-10Carl Zeiss Smt Gmbh Imaging optics for imaging an object field in an image field and projection exposure apparatus with such an imaging optics

Patent Citations (7)

* Cited by examiner, † Cited by third party
Publication numberPriority datePublication dateAssigneeTitle
US4964706A (en)1988-10-171990-10-23Hughes Aircraft CompanyMulti-focal length, multi-field of view three mirror anastrigmat
DE10155711A1 (en)2001-11-092003-05-22Fraunhofer Ges ForschungMirror for the EUV spectral region used in X-ray techniques comprises a layer arrangement having a number of partial layer systems applied on a substrate
US20070058269A1 (en)2005-09-132007-03-15Carl Zeiss Smt AgCatoptric objectives and systems using catoptric objectives
US20100149509A1 (en)2008-09-182010-06-17Nikon CorporationOptical system, exposure apparatus, and method of manufacturing electronic device
WO2012126867A1 (en)2011-03-222012-09-27Carl Zeiss Smt GmbhDeflection mirror and projection exposure apparatus for microlithography comprising such a deflection mirror
DE102012212753A1 (en)2012-07-202014-01-23Carl Zeiss Smt GmbhProjection optics for forming object field of optics plane in projection exposure system for microlithography, has blinding unit presetting outer boundary of optics with respect to diaphragm direction that is set parallel to planes
DE102015209827A1 (en)2015-05-282015-09-10Carl Zeiss Smt Gmbh Imaging optics for imaging an object field in an image field and projection exposure apparatus with such an imaging optics

Cited By (14)

* Cited by examiner, † Cited by third party
Publication numberPriority datePublication dateAssigneeTitle
US11906698B2 (en)2017-05-242024-02-20The Trustees Of Columbia University In The City Of New YorkBroadband achromatic flat optical components by dispersion-engineered dielectric metasurfaces
US11579456B2 (en)2017-08-312023-02-14Metalenz, Inc.Transmissive metasurface lens integration
US10795168B2 (en)2017-08-312020-10-06Metalenz, Inc.Transmissive metasurface lens integration
US11988844B2 (en)2017-08-312024-05-21Metalenz, Inc.Transmissive metasurface lens integration
US12411348B2 (en)2017-08-312025-09-09Metalenz, Inc.Transmissive metasurface lens integration
US12416752B2 (en)2018-01-242025-09-16President And Fellows Of Harvard CollegePolarization state generation with a metasurface
US12140778B2 (en)2018-07-022024-11-12Metalenz, Inc.Metasurfaces for laser speckle reduction
US12389700B2 (en)2019-07-262025-08-12Metalenz, Inc.Aperture-metasurface and hybrid refractive-metasurface imaging systems
US11978752B2 (en)2019-07-262024-05-07Metalenz, Inc.Aperture-metasurface and hybrid refractive-metasurface imaging systems
US11927769B2 (en)2022-03-312024-03-12Metalenz, Inc.Polarization sorting metasurface microlens array device
US12276807B2 (en)2022-03-312025-04-15Metalenz, Inc.Polarization sorting metasurface microlens array device
WO2025108821A2 (en)2023-11-212025-05-30Carl Zeiss Smt GmbhImaging optical unit for imaging an object field into an image field, and projection exposure apparatus having such an imaging optical unit
WO2025108821A3 (en)*2023-11-212025-09-04Carl Zeiss Smt GmbhImaging optical unit for imaging an object field into an image field, and projection exposure apparatus having such an imaging optical unit
DE102023211589A1 (en)*2023-11-212025-05-22Carl Zeiss Smt Gmbh Imaging optics for imaging an object field into an image field and projection exposure system with such imaging optics

Similar Documents

PublicationPublication DateTitle
DE102015209827B4 (en) Imaging optics for imaging an object field in an image field, optical system and projection exposure apparatus with such an imaging optics
WO2016188934A1 (en)Imaging optical unit for imaging an object field into an image field as well as projection exposure system having such an imaging optical unit
DE102015226531A1 (en) Imaging optics for imaging an object field in an image field and projection exposure apparatus with such an imaging optics
DE102015221985A1 (en) Imaging optics for imaging an object field in an image field and projection exposure apparatus with such an imaging optics
DE102014208770A1 (en) Projection optics for imaging an object field in an image field and projection exposure apparatus with such a projection optics
DE102010040811A1 (en) Imaging optics
DE102016212578A1 (en) Projection optics for EUV projection lithography
DE102009008644A1 (en) Imaging optics and projection exposure system for microlithography with such an imaging optics
DE102016218996A1 (en) Imaging optics for projection lithography
DE102010039745A1 (en) Imaging optics
DE102012208793A1 (en) Imaging optics and projection exposure equipment for projection lithography with such an imaging optics
WO2010099807A1 (en)Illumination optics unit and optical systems for microlithography
DE102008043162A1 (en) Imaging optics and projection exposure system for microlithography with such an imaging optics
DE102015221984A1 (en) Imaging optics for imaging an object field in an image field and projection exposure apparatus with such an imaging optics
DE102009030501A1 (en) Imaging optics for imaging an object field in an image field and illumination optics for illuminating an object field
DE102007051671A1 (en) Imaging optics and projection exposure system for microlithography with such an imaging optics
DE102014223811A1 (en) Imaging optics for EUV projection lithography
DE102008033341A1 (en) projection lens
DE102015212619A1 (en) Imaging optics for imaging an object field in an image field and projection exposure apparatus with such an imaging optics
DE102015221983A1 (en) Imaging optics for imaging an object field in an image field and projection exposure apparatus with such an imaging optics
DE102007051669A1 (en) Imaging optics, projection exposure apparatus for microlithography with such an imaging optical system and method for producing a microstructured component with such a projection exposure apparatus
DE102017216458A1 (en) A method for producing a mirror as an optical component for an optical system of a projection exposure apparatus for projection lithography
DE102018214437A1 (en) Imaging optics for imaging an object field in an image field and projection exposure apparatus with such an imaging optics
DE102016205617A1 (en) Projection exposure method and projection exposure apparatus
DE102015217603A1 (en) Illumination optics for projection lithography

Legal Events

DateCodeTitleDescription
R012Request for examination validly filed
R079Amendment of ipc main class

Free format text:PREVIOUS MAIN CLASS: G03F0007200000

Ipc:G02B0017060000

R002Refusal decision in examination/registration proceedings
R003Refusal decision now final

[8]ページ先頭

©2009-2025 Movatter.jp