
Die Erfindung betrifft ein Verfahren und ein System zur Bereitstellung von Informationen zur Verfügbarkeit von Ladestationen für Elektrofahrzeuge.The invention relates to a method and a system for providing information on the availability of charging stations for electric vehicles.
Der Anteil von Elektrofahrzeugen im Straßenverkehr nimmt stetig zu. Elektrofahrzeuge sind Fahrzeuge mit einem mindestens teilweise elektrischen Antrieb, bei welchen die Energiespeicher regelmäßig aufgeladen werden müssen und werden im Zusammenhang mit dieser Erfindung hierin als E-Fahrzeuge oder auch kurz als Fahrzeuge bezeichnet. Es muss daher auch die entsprechende Infrastruktur zur Aufladung der E-Fahrzeuge, insbesondere auch im öffentlichen Straßenland ausgebaut werden. Die Anzahl der Ladestationen steigt mit zunehmendem Verkauf von Elektrofahrzeugen oder deren Nutzung, insbesondere auch durch Carsharing. Der stetige Ausbau an Infrastruktur führt allerdings dazu, dass Karten im Internet und in Navigationsgeräten häufig veraltet sind. Zudem ist die Infrastruktur von Ladestationen sehr inhomogen. Ein kritischer Punkt ist, dass viele Ladestationen oftmals durch Verbrenner-Fahrzeuge, andere E-Fahrzeuge blockiert oder die Stationen defekt sind. Plant ein Fahrer eines E-Fahrzeugs eine Fahrt bei der er unbedingt auf dem Weg laden muss, ist heutzutage nicht gewährleistet, dass er eine freie Ladestation findet.The share of electric vehicles in road traffic is steadily increasing. Electric vehicles are vehicles with an at least partially electric drive, in which the energy storage must be charged regularly and are referred to herein in the context of this invention as e-vehicles or briefly as vehicles. Therefore, the corresponding infrastructure for charging the e-vehicles, especially in public roads, must be expanded. The number of charging stations increases with the sale of electric vehicles or their use, especially through car sharing. However, the constant expansion of infrastructure means that maps on the Internet and in navigation devices are often outdated. In addition, the infrastructure of charging stations is very inhomogeneous. A critical point is that many charging stations are often blocked by combustion vehicles, other e-vehicles or the stations are broken. If a driver of an e-vehicle is forced to load a drive on the way, nowadays he can not be sure that he will find a free charging station.
Im Stand der Technik sind bereits Lösungen beschrieben worden, welche aber erhebliche Nachteile aufweisen bzw. die Problematik des Findens einer Ladestation nicht vollständig lösen. In der
Es ist Aufgabe der vorliegenden Erfindung, ein verbessertes Verfahren zur Bereitstellung von Informationen zur Verfügbarkeit von Ladestationen zur Verfügung zu stellen.It is an object of the present invention to provide an improved method for providing information on the availability of charging stations.
Die Aufgabe wird durch ein Verfahren mit den Merkmalen des Hauptanspruchs gelöst. Vorteilhafte Weiterbildungen der vorliegenden Erfindung werden durch die Merkmale der abhängigen Unteransprüche gekennzeichnet.The object is achieved by a method having the features of the main claim. Advantageous developments of the present invention are characterized by the features of the dependent subclaims.
Die Aufgabe wird ferner durch ein Computerprogrammprodukt mit den Merkmalen des unabhängigen Anspruchs für ein Computerprogrammprodukt gelöst.The object is further achieved by a computer program product having the features of the independent claim for a computer program product.
Die Aufgabe wird ferner auch durch ein System mit den Merkmalen des unabhängigen Anspruchs für ein System gelöst. Vorteilhafte Weiterbildungen werden in abhängigen Ansprüchen hierzu gekennzeichnet.The object is further achieved by a system having the features of the independent claim for a system. Advantageous developments are characterized in dependent claims.
Die Erfindung schafft ein Verfahren zur Bereitstellung von Informationen zur Verfügbarkeit von Ladestationen, bei dem man
Eine vorteilhafte Ausgestaltung des erfindungsgemäßen Verfahrens sieht vor, dass die übermittelte Ladeanfrage des Fahrzeugs Daten der aktuellen Position, des gewünschten Ziels, des gewünschten Zielgebiets, der gewünschten Ankunftszeit, der ermittelten Ankunftszeit oder beliebige Kombinationen dieser Daten umfasst.An advantageous embodiment of the method according to the invention provides that the transmitted charging request of the vehicle includes data of the current position, the desired destination, the desired destination area, the desired arrival time, the determined time of arrival or any combination of these data.
In einer vorteilhaften Ausgestaltung des erfindungsgemäßen Verfahrens wird die Ladeanfrage des Fahrzeugs mittels eines Benutzerinterfaces an die Recheneinheit übermittelt.In an advantageous embodiment of the method according to the invention, the charging request of the vehicle is transmitted by means of a user interface to the arithmetic unit.
In einer weiteren vorteilhaften Ausgestaltung des erfindungsgemäßen Verfahrens werden Zustandsinformationen des Fahrzeugs über den Ladezustand mittels eines Fahrzeuginterfaces an die Recheneinheit übermittelt.In a further advantageous embodiment of the method according to the invention, status information of the vehicle is transmitted to the arithmetic unit via the state of charge by means of a vehicle interface.
Eine weitere vorteilhafte Ausgestaltung des Verfahrens sieht vor, dass man die Übermittlung der Daten an die Recheneinheit mittels einer Schnittstelle ausführt, wobei die Schnittstelle mit der Recheneinheit und/oder dem Benutzerinterface und/oder dem Fahrzeuginterface in kommunikativer Verbindung steht. A further advantageous embodiment of the method provides that one carries out the transmission of the data to the arithmetic unit by means of an interface, wherein the interface with the arithmetic unit and / or the user interface and / or the vehicle interface is in communicative connection.
In einer weiteren vorteilhaften Ausgestaltung des erfindungsgemäßen Verfahrens werden die statischen Daten in einer POI-Datenbank abgelegt, wobei die POI-Datenbank eine externe Datenbank ist und/oder eine Komponente der Recheneinheit bildet.In a further advantageous embodiment of the method according to the invention, the static data are stored in a POI database, wherein the POI database is an external database and / or forms a component of the arithmetic unit.
In einer weiteren vorteilhaften Ausgestaltung des erfindungsgemäßen Verfahrens werden die Wahrscheinlichkeitsverteilung der Verfügbarkeit der Ladestationen visualisiert, indem man diese auf einem separaten Display im Fahrzeug oder mittels des Benutzerinterfaces darstellt.In a further advantageous embodiment of the method according to the invention, the probability distribution of the availability of the charging stations are visualized by representing them on a separate display in the vehicle or by means of the user interface.
Eine weitere vorteilhafte Ausgestaltung des vorliegenden Verfahrens sieht vor, dass man die Wahrscheinlichkeitsverteilung zum Zeitpunkt der Ladeanfrage des Fahrzeugs berechnet und/oder während des fortlaufenden Betriebs des Fahrzeugs die Berechnung zu bestimmten Zeitpunkten und/oder in zuvor definierten Zeitintervallen wiederholt, wobei man die jeweils zu diesem Zeitpunkt vorliegenden statischen und dynamischen Daten von Ladestationen am gewünschten Ziel und die jeweils aktuellen Zustandsinformationen des Fahrzeugs verwendet.A further advantageous embodiment of the present method provides that one calculates the probability distribution at the time of loading request of the vehicle and / or repeated during the continuous operation of the vehicle, the calculation at certain times and / or in previously defined time intervals, wherein each of this Time present static and dynamic data from charging stations at the desired destination and the current state information of the vehicle used.
Die vorliegende Erfindung stellt ferner ein Computerprogrammprodukt bereit, welches direkt in den internen Speicher der Recheneinheit ladbar ist und Softwarecode oder Teile davon umfasst, welche zur Ausführung der Verfahrensschritte gemäß einem der voranstehenden Ansprüche ausführbar sind, wenn das Computerprogrammprodukt auf der Recheneinheit ausgeführt wird.The present invention further provides a computer program product which is directly loadable into the internal memory of the arithmetic unit and comprises software code or parts thereof, which are executable for carrying out the method steps according to one of the preceding claims, when the computer program product is executed on the arithmetic unit.
Die vorliegende Erfindung schafft ferner ein System zur Bereitstellung von Informationen zur Verfügbarkeit von Ladestationen, umfassend
In einer weiteren vorteilhaften Ausgestaltung des erfindungsgemäßen Systems umfasst dieses weiterhin mindestens ein Fahrzeuginterface zur Erfassung und Bereitstellung von Zustandsinformationen des Fahrzeugs.In a further advantageous embodiment of the system according to the invention, this further comprises at least one vehicle interface for detecting and providing status information of the vehicle.
Weitere vorteilhafte Ausgestaltungen des erfindungsgemäßen Systems umfassen weitere Mittel zur Durchführung eines erfindungsgemäßen Verfahrens gemäß mindestens einem unabhängigen oder abhängigen Verfahrensansprüche.Further advantageous embodiments of the system according to the invention include further means for carrying out a method according to the invention in accordance with at least one independent or dependent method claims.
POI-Datenbanken im Sinne der Erfindung sind zunächst Datenbanken, welche die Geodaten von Ladestationen enthalten. Um das erfindungsgemäße Verfahren auszuführen werden beispielsweise POI-Datenbanken von Ladestationsbetreibern verwendet. Derartige Datenbanken können aber auch weitere Daten enthalten, beispielsweise Daten zu den Betriebszuständen der Ladestationen. Derartige Daten werden als dynamische Daten bezeichnet. Allerdings können diese (dynamischen) Daten auch in anderen Datenquellen gespeichert werden, da diese in aller Regel nur vorübergehend gespeichert und vorrätige gehalten werden müssen. Eine dauerhafte oder persistente Speicherung dieser Daten ist erfindungsgemäß nicht erforderlich. Es kann erfindungsgemäß also vorgesehen sein, dass mehrere Datenbanken und/oder Datenquellen verwendet werden, um die entsprechenden Berechnungen durchzuführen, die zur Ermittlung der Wahrscheinlichkeitsverteilung führen.POI databases within the meaning of the invention are initially databases which contain the geodata of charging stations. In order to carry out the method according to the invention, for example, POI databases are used by charging station operators. Such databases may also contain other data, such as data on the operating states of the charging stations. Such data is called dynamic data. However, this (dynamic) data can also be stored in other data sources, as they usually only have to be temporarily stored and kept in stock. A permanent or persistent storage of this data is not required according to the invention. It can thus be provided according to the invention that multiple databases and / or data sources are used to perform the corresponding calculations that lead to the determination of the probability distribution.
Statische Daten im Sinne der vorliegenden Erfindung umfassen neben den POI-Daten, also beispielsweise den Geodaten der Ladestationen, auch weitere Daten, die erfindungsgemäß zur Abschätzung der Wahrscheinlichkeitsverteilung benötigt werden. Zu diesen Daten, also zu den statischen Daten, gehören im Sinne der Erfindung auch die Modellparameter zur Darstellung der historischen Profile.Static data in the sense of the present invention, in addition to the POI data, that is, for example, the geodata of the charging stations, also include further data which are required according to the invention for estimating the probability distribution. Within the meaning of the invention, these data, that is to say the static data, also include the model parameters for displaying the historical profiles.
Es wird also ein Verfahren und ein System vorgeschlagen, welches auf der Basis von Datenquellen wie Content-Provider-Daten oder dynamischen Fahrzeuginformationen eine Schätzung zur Verfügbarkeit von Ladestationen visualisiert, nachdem eine entsprechende Ladeanfrage erfolgt ist. Diese Content-Provider-Daten können erfindungsgemäß POI-Datenbanken und/oder andere, auch temporäre Datenbanken sein, in welchen die Geodaten und/oder Betriebszustände von Ladestationen hinterlegt sind. Diese Daten können sowohl statische wie auch dynamische Daten umfassen.Thus, a method and a system is proposed which visualizes an estimate of the availability of charging stations on the basis of data sources such as content provider data or dynamic vehicle information after a corresponding charging request has been made. According to the invention, these content provider data can be POI databases and / or other, also temporary databases, in which the geodata and / or operating states of charging stations are stored. This data can include both static and dynamic data.
Das vom Nutzer des Systems gewählte Ziel kann erfindungsgemäß dazu verwendet werden, ein Zielgebiet zu definieren, innerhalb dessen nach geeigneten Ladestationen gesucht und deren Verfügbarkeit abgeschätzt wird. Somit kann der hierin verwendete Begriff Ziel auch die Bedeutung eines Zielgebietes haben, in welchem eine Ladestation verfügbar ist. Es kann erfindungsgemäß auch vorgesehen sein, dass der Nutzer des Systems das Zielgebiet in Form eines Radius um das gewählte Ziel herum, angibt.The target selected by the user of the system can be used according to the invention to define a destination within which searched for suitable charging stations and their availability is estimated. Thus, the term target as used herein may also have the meaning of a target area in which a charging station is available. It can also be provided according to the invention that the user of the system indicates the target area in the form of a radius around the selected target.
Das System weist im Wesentlichen die folgenden Komponenten auf:
Recheneinheit zur Verarbeitung von eingehenden Daten und Aufbereitung angeforderter Ladeinformationen.
Flexible Schnittstelle für eingehende, laderelevante Nachrichten.
Datenfusions-Modul zum Berechnen einer neuen Verfügbarkeitsschätzung (Mikromodell).
Makromodell zum Lernen neuer Ladestationen und Anpassen der Prognoseparameter.
Datenbank zur Speicherung der statischen Daten der Ladestationen (POI-Datenbank).
Benutzerfrontend (Fahrzeuginterface, Benutzerinterface) in Ausprägung eines Web-Servers mit spezifizierter Schnittstelle für den Zugriff auf die Recheneinheit.The system essentially has the following components:
 Arithmetic unit for processing incoming data and processing requested loading information.
 Flexible interface for incoming, load-related messages.
 Data fusion module for calculating a new availability estimate (micromodel).
 Macro model for learning new charging stations and adjusting the prognosis parameters.
 Database for storing the static data of the charging stations (POI database).
 User front end (vehicle interface, user interface) in the form of a web server with a specified interface for access to the computing unit.
Für die Durchführung des Verfahrens können folgende Datenquellen gegebenenfalls verwendet werden, nämlich statische POI-Daten der Content-Provider (z. B. Ladestationsbetreiber), dynamische Daten der Ladestationen und Echtzeit-Informationen der Fahrzeuge. Allerdings ist es auch möglich, dass die statischen Daten, also die Geoposition der Ladestationen, aus Fahrzeugrückmeldungen gelernt werden. Dadurch erzeugt das erfindungsgemäße System mittels des erfindungsgemäßen Verfahrens eine eigene Datenbasis.If necessary, the following data sources can be used for carrying out the method, namely static POI data of the content providers (eg charging station operators), dynamic data of the charging stations and real-time information of the vehicles. However, it is also possible that the static data, ie the geo position of the charging stations, be learned from vehicle feedback. As a result, the system according to the invention generates its own database by means of the method according to the invention.
Vorteilhafterweise bietet der Content-Provider eine Aussage zur Verfügbarkeit der Ladestation (StateCharging). Hieraus kann die Information „alle Ladesäulen verfügbar”, „nicht alle Ladesäulen sind besetzt aber auch nicht alle frei” oder „keine Ladesäule verfügbar” extrahiert werden.Advantageously, the content provider offers a statement on the availability of the charging station (StateCharging). From this the information "all charging stations available", "not all charging stations are occupied but not all free" or "no charging station available" can be extracted.
Die E-Fahrzeuge senden zu definierten Fahrzeugereignissen (z. B. Start Laden) bzw. bei Anfragen durch das Fahrzeuginterface Zustandsinformationen über eine Schnittstelle an die Recheneinheit. Aus diesen können Ereignisse „ChargingStart” und „ChargingEnd” extrahiert werden.The e-vehicles send to defined vehicle events (eg start charging) or, in the case of inquiries by the vehicle interface, status information via an interface to the arithmetic unit. From these events "ChargingStart" and "ChargingEnd" can be extracted.
Das Mikromodell, welches in der Recheneinheit als entsprechendes Computerprogramm ausgeführt wird, berechnet bei jeder neuen Anfrage eine Prognose für einen späteren Zeitpunkt t.The micromodel, which is executed in the arithmetic unit as a corresponding computer program, calculates a prognosis for a later time t for each new request.
In das Prognose-Modell gehen Events der Form ChargingStart (aus Meldung Fahrzeugdaten), ChargingEnd (aus Meldung Fahrzeugdaten) und StateCharging (aus Content-Provider-Daten) ein.Events of the form ChargingStart (from the message Vehicle Data), ChargingEnd (from the message Vehicle Data) and StateCharging (from Content Provider Data) enter the forecast model.
Im Mikromodell werden Objekte des Typs POItype=Laden verarbeitet. Ein POI ist die kleinste Einheit an Ladestationen, die der Algorithmus verarbeiten kann und besteht aus einer Zusammenfassung von n Ladesäulen. Damit kann ein POI n + 1 Zustände/Füllgrade annehmen. Für den POItype Laden besteht die Geometrie des POIs aus einer GeoPosition. Die genaue Anzahl der zur Verfügung stehenden Ladesäulen kann sich über die Zeit durch an- und wegfahrende Fahrzeuge verändern und ist in der Regel unbekannt. Die Modellierung der momentanen Anzahl an verfügbaren Ladesäulen findet somit mit dem Vektor
Zu diesem Zweck werden folgende Variablen definiert:
Ladeanfragerate λp,
Ladeenderate μpFor this purpose, the following variables are defined:
 Load request rate λp,
 Charge Rate μp
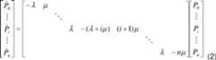
Bei unbekannten Ladevorgängen wird basierend auf historischen Daten (Ladeanfragerate λ, Ladeenderate μ) eine Differentialgleichung gelöst. Hierzu kann das Modell der Markow-Kette verwendet werden. Die Anwendung des Markow-Prozesses auf derartige Fragestellungen ist im Stand der Technik bekannt.With unknown charging processes, a differential equation is solved on the basis of historical data (charge request rate λ, charge end rate μ). For this the model of the Markow chain can be used. The application of the Markov process to such issues is known in the art.
Die Wahrscheinlichkeit Pi i freie Ladesäulen in einem Segment zu haben kann somit gemäß Formel (2) berechnet werden: The probability Pi i to have free charging stations in a segment can thus be calculated according to formula (2):
Zur Schätzung werden die Parameter λ(t) und μ(t) benötigt. Diese werden mit Hilfe eines unten beschriebenen Makromodells adaptiv gelernt.For estimation, the parameters λ (t) and μ (t) are required. These are learned adaptively using a macro model described below.
Bei bekannten Ladevorgängen werden die Ladevorgänge folgendermaßen modelliert.
ChargingStart (Fahrzeugmeldung):
Die Elemente des Vektors P(t2) werden um eins nach rechts verschoben und neu auf 1 normiert.
ChargingEnd (Fahrzeugmeldung):
Die Elemente des Vektors P(t2) werden um eins nach links verschoben und neu auf 1 normiert.
StateCharging (Zustandsinformationen Ladestationsbetreiber):
StateCharging = 1 (frei):
P0(t) = 1
StateCharging = 2 (teilweise frei):
P0(t) = 0 und Pn(t) = 0:
Die restlichen Elemente werden neu auf 1 normiert.
StateCharging = 3 (besetzt):
Pn(t) = 1For known loads, the loads are modeled as follows.
 ChargingStart (vehicle message):
 The elements of the vector P (t2 ) are shifted by one to the right and normalized to 1.
 ChargingEnd (vehicle message):
 The elements of the vector P (t2 ) are shifted by one to the left and normalized to 1.
 StateCharging (state information charging station operator):
 StateCharging = 1 (free):
 P0 (t) = 1
 StateCharging = 2 (partially free):
 P0 (t) = 0 and Pn (t) = 0:
 The remaining elements are normalized to 1 again.
 StateCharging = 3 (busy):
 Pn (t) = 1
Das Makromodell schließlich stellt die statistischen Zusammenhänge der Ladevorgänge in Abhängigkeit des Tages und der Zeit dar. Diese werden über die Parameter Ladeanfragerate λ(t) und Ladeenderrate μ(t) beschrieben.Finally, the macromodel represents the statistical relationships of the loading processes as a function of the day and the time. These are described using the parameters Load Request Rate λ (t) and Load Send Rate μ (t).
Die Funktionen λ(t) und μ(t) werden aus den Parametern
Param = a1, ..., an wie folgt gebildet:mit der radialen Basisfunktion,und den vorläufigen Definitionen
σ = 3
sowie
t1 = 1, t2 = 2, ..., t24 = 24The functions λ (t) and μ (t) become the parameters
 Param = a1 , ..., an formed as follows: with the radial basis function, and the preliminary definitions
 σ = 3
 such as
 t1 = 1, t2 = 2, ..., t24 = 24
In diesem Zusammenhang ist t als die Uhrzeit in Stunden pro Tag zu interpretieren. Analog dazu wird μ(t) gebildet. Die Ladedauerrate μ(t) ist folgendermaßen definiert:
Die durchschnittlichen Ladedauerzeiten sind abhängig von Datum, Zeit, Ladezustand und Ladestation. The average charging duration depends on the date, time, state of charge and charging station.
Das erfindungsgemäße Makromodell ermöglicht eine verbesserte Prognose, indem die Parameter der Ladeanfragerate λ und der Ladeenderrate μ anhand neuer Messungen adaptiv geschätzt werden. So können im Laufe der Zeit die Parameter in Abhängigkeit bestimmter Kriterien wie Wochentag, Uhrzeit, etc. an die Gegebenheiten der Ladestation gelernt bzw. angepasst werden. Dies gilt auch für die Einführung neuer Ladestationen bzw. für die Änderungen der Ladegewohnheiten der Nutzer des Systems.The macromodel according to the invention makes possible an improved prognosis by adaptively estimating the parameters of the charge request rate λ and of the load sending rate μ on the basis of new measurements. In the course of time, the parameters can be learned or adapted to the conditions of the charging station depending on certain criteria such as the day of the week, the time of day, etc. This also applies to the introduction of new charging stations or changes in the charging habits of users of the system.
Die unbekannten Parameter Ladeanfragerate λ und Ladeenderate μ können mit im Stand der Technik bekannten Methoden und Verfahren abgeschätzt werden. Dies kann beispielsweise durch die Lösung eines Optimierungsproblems wie etwa einer Maximum-Likelihood-Methode geschätzt werden. Eine weitere Möglichkeit besteht darin, die Anzahl der besetzten Ladestationen anhand des Verhältnisses des Ladedrucks und der Ladestationsdichte zu ermitteln. Eine Schätzung des Ladedrucks kann anhand des Makromodells und der Ladeanfragerate λp ermittelt werden. Die Ladestationsdichte ist durch ein geographisches Kartenmodell gegeben.The unknown parameters charge request rate λ and charge rate μ can be estimated by methods and methods known in the art. This can be estimated, for example, by the solution of an optimization problem such as a maximum likelihood method. Another possibility is to determine the number of occupied charging stations on the basis of the ratio of the boost pressure and the charging station density. An estimate of the boost pressure can be determined from the macro model and the load request rate λp. The charging station density is given by a geographical map model.
Mit den hierin beschriebenen Parametern und Berechnungsmethoden kann ein Computerprogramm erzeugt werden, welches auf einem Rechner oder einen Recheneinheit ausgeführt wird, um das hierin beschriebene erfindungsgemäße Verfahren auszuführen. Unter Verwendung der hierin angegebenen Beschreibung des erfindungsgemäßen Verfahrens und in Kombination mit dem erfindungsgemäßen System zur Durchführung des Verfahren kann der Fachmann Softwarecode erstellen, um die Erfindung auszuführen.With the parameters and calculation methods described herein, a computer program may be generated which is executed on a computer or a computing unit to carry out the inventive method described herein. Using the description herein of the method of the invention and in combination with the inventive system for carrying out the method, those skilled in the art can create software code to practice the invention.
Das aus dem Softwarecode gebildete Computerprogrammprodukt ist direkt in den internen Speicher der Recheneinheit ladbar und bewirkt dann die Ausführung der Verfahrensschritte gemäß der vorliegenden Erfindung, wenn das Computerprogrammprodukt auf der Recheneinheit ausgeführt wird.The computer program product formed from the software code can be loaded directly into the internal memory of the arithmetic unit and then causes the execution of the method steps according to the present invention when the computer program product is executed on the arithmetic unit.
Die vorliegende Erfindung wird mit der beigefügten Zeichnung näher erläutert. Es zeigt:The present invention will be explained in more detail with the accompanying drawing. It shows:
Die nachfolgende Beschreibung erläutert unter Bezugnahme auf die Figur die Erfindung näher, ohne den Umfang der Erfindung zu beschränken.
Die Recheneinheit
Eine derartige Datenbank kann von einem externen Content-Provider unterhalten und gepflegt werden, der beispielsweise auch die Ladestationen betreibt bzw. zur Verfügung stellt. Es können aber mehrere derartige POI-Datenbanken von unterschiedlichen Content-Provider verwendet werden. Je nach Angebot der Content-Provider werden entsprechende statische und/oder dynamisch Daten zur Verfügung gestellt. Content-Provider kann natürlich auch ein Automobilhersteller sein.Such a database can be maintained and maintained by an external content provider who also operates or provides the charging stations, for example. However, several such POI databases can be used by different content providers. Depending on the content provider's offer, appropriate static and / or dynamic data will be made available. Of course, content providers can also be an automobile manufacturer.
Als Recheneinheit im Sinne der Erfindung umfasst einen oder mehrere Rechner. Derartige geeignete Rechner sind dem Fachmann bekannt und sind in der Lage, komplizierte Berechnungen im Bereich der Statistik und Wahrscheinlichkeitsrechung auszuführen. Diese Rechner verfügen ferner über die entsprechenden Schnittstellen
Die Recheneinheit
Die Recheneinheit
Es ist erfindungsgemäß auch vorgesehen die ermittelten Informationen für eine Reservierung einer Ladestation im Zielgebiet des Fahrzeugs zu berücksichtigen. Damit wird die Wahrscheinlichkeitsaussage sicherer, dass das Fahrzeug zur vorhergesehenen Ankunftszeit eine freie Ladestation vorfindet. Dies ist insbesondere vorteilhaft, wenn die Fahrt nur fortgesetzt werden kann, wenn eine Ladung der Energiespeicher des Fahrzeugs dringend notwendig ist. In gleicher Weise können die ermittelten Informationen auch dafür verwendet werden, eine Reservierung einer bestimmten Ladestation im Zielgebiet durchzuführen.It is also provided according to the invention to consider the information obtained for a reservation of a charging station in the target area of the vehicle. This makes the probability statement more certain that the vehicle finds a free charging station at the foreseen arrival time. This is particularly advantageous if the journey can be continued only if a charge of the energy storage of the vehicle is urgently necessary. In the same way, the information obtained can also be used to make a reservation of a specific charging station in the destination area.
BezugszeichenlisteLIST OF REFERENCE NUMBERS
ZITATE ENTHALTEN IN DER BESCHREIBUNG QUOTES INCLUDE IN THE DESCRIPTION
Diese Liste der vom Anmelder aufgeführten Dokumente wurde automatisiert erzeugt und ist ausschließlich zur besseren Information des Lesers aufgenommen. Die Liste ist nicht Bestandteil der deutschen Patent- bzw. Gebrauchsmusteranmeldung. Das DPMA übernimmt keinerlei Haftung für etwaige Fehler oder Auslassungen.This list of the documents listed by the applicant has been generated automatically and is included solely for the better information of the reader. The list is not part of the German patent or utility model application. The DPMA assumes no liability for any errors or omissions.
Zitierte PatentliteraturCited patent literature
| Application Number | Priority Date | Filing Date | Title | 
|---|---|---|---|
| DE102014225122.2ADE102014225122A1 (en) | 2014-12-08 | 2014-12-08 | Method and system for providing information on the availability of charging stations | 
| Application Number | Priority Date | Filing Date | Title | 
|---|---|---|---|
| DE102014225122.2ADE102014225122A1 (en) | 2014-12-08 | 2014-12-08 | Method and system for providing information on the availability of charging stations | 
| Publication Number | Publication Date | 
|---|---|
| DE102014225122A1true DE102014225122A1 (en) | 2016-06-09 | 
| Application Number | Title | Priority Date | Filing Date | 
|---|---|---|---|
| DE102014225122.2ACeasedDE102014225122A1 (en) | 2014-12-08 | 2014-12-08 | Method and system for providing information on the availability of charging stations | 
| Country | Link | 
|---|---|
| DE (1) | DE102014225122A1 (en) | 
| Publication number | Priority date | Publication date | Assignee | Title | 
|---|---|---|---|---|
| DE102017212930A1 (en)* | 2017-07-27 | 2019-01-31 | Bayerische Motoren Werke Aktiengesellschaft | A method for determining an availability of an electrical charging station for an electrical charging of a motor vehicle and associated server device | 
| DE102019001892A1 (en) | 2019-03-18 | 2019-09-05 | Daimler Ag | Method for selecting service providers | 
| CN111401696A (en)* | 2020-02-28 | 2020-07-10 | 国网浙江省电力有限公司台州供电公司 | Power distribution system coordination planning method considering renewable resource uncertainty | 
| DE102019205713A1 (en)* | 2019-04-18 | 2020-10-22 | Volkswagen Aktiengesellschaft | Method for predicting the availability of at least one charging station for an electric vehicle | 
| US11654788B2 (en) | 2017-11-20 | 2023-05-23 | Audi Ag | Method for operating a charging station, for a motor vehicle, and corresponding charging station | 
| WO2023247089A1 (en)* | 2022-06-22 | 2023-12-28 | Bayerische Motoren Werke Aktiengesellschaft | Method and device for predicting the waiting time at a charging station | 
| DE102023200019A1 (en)* | 2023-01-03 | 2024-07-04 | Volkswagen Aktiengesellschaft | Procedure for assigning transport orders to electrically operated transport vehicles, as well as electronic transport assignment system | 
| Publication number | Priority date | Publication date | Assignee | Title | 
|---|---|---|---|---|
| DE19519107C1 (en)* | 1995-05-24 | 1996-04-04 | Daimler Benz Ag | Travel route guidance device for electric vehicle | 
| DE19502223A1 (en)* | 1995-01-25 | 1996-08-14 | Daimler Benz Ag | Battery charging centre for use by electric vehicles | 
| DE102009042627A1 (en) | 2009-09-23 | 2011-04-28 | Daimler Ag | Charging station locating method for e.g. electric vehicle, involves displaying charging station in display unit of vehicle based on position/condition data such that charging station is available in predetermined range | 
| EP2362362A1 (en)* | 2010-02-18 | 2011-08-31 | Kapsch TrafficCom AG | Method for charging electric vehicles in geographically distributed charging stations | 
| DE102012203127A1 (en) | 2011-03-07 | 2012-09-13 | GM Global Technology Operations LLC (n. d. Ges. d. Staates Delaware) | System and method for reserving an electrical charging station | 
| WO2013057587A2 (en)* | 2011-10-19 | 2013-04-25 | Zeco Systems Pte Ltd | Methods and apparatuses for charging of electric vehicles | 
| DE102012204850A1 (en)* | 2012-03-27 | 2013-10-02 | Ford Global Technologies, Llc | Method and device for managing charging stations for electric vehicles | 
| US20140316939A1 (en)* | 2013-04-19 | 2014-10-23 | Honda Motor Co., Ltd. | System and method for selecting an electric vehicle charging station | 
| Publication number | Priority date | Publication date | Assignee | Title | 
|---|---|---|---|---|
| DE19502223A1 (en)* | 1995-01-25 | 1996-08-14 | Daimler Benz Ag | Battery charging centre for use by electric vehicles | 
| DE19519107C1 (en)* | 1995-05-24 | 1996-04-04 | Daimler Benz Ag | Travel route guidance device for electric vehicle | 
| DE102009042627A1 (en) | 2009-09-23 | 2011-04-28 | Daimler Ag | Charging station locating method for e.g. electric vehicle, involves displaying charging station in display unit of vehicle based on position/condition data such that charging station is available in predetermined range | 
| EP2362362A1 (en)* | 2010-02-18 | 2011-08-31 | Kapsch TrafficCom AG | Method for charging electric vehicles in geographically distributed charging stations | 
| DE102012203127A1 (en) | 2011-03-07 | 2012-09-13 | GM Global Technology Operations LLC (n. d. Ges. d. Staates Delaware) | System and method for reserving an electrical charging station | 
| WO2013057587A2 (en)* | 2011-10-19 | 2013-04-25 | Zeco Systems Pte Ltd | Methods and apparatuses for charging of electric vehicles | 
| DE102012204850A1 (en)* | 2012-03-27 | 2013-10-02 | Ford Global Technologies, Llc | Method and device for managing charging stations for electric vehicles | 
| US20140316939A1 (en)* | 2013-04-19 | 2014-10-23 | Honda Motor Co., Ltd. | System and method for selecting an electric vehicle charging station | 
| Publication number | Priority date | Publication date | Assignee | Title | 
|---|---|---|---|---|
| DE102017212930A1 (en)* | 2017-07-27 | 2019-01-31 | Bayerische Motoren Werke Aktiengesellschaft | A method for determining an availability of an electrical charging station for an electrical charging of a motor vehicle and associated server device | 
| US11654788B2 (en) | 2017-11-20 | 2023-05-23 | Audi Ag | Method for operating a charging station, for a motor vehicle, and corresponding charging station | 
| DE102019001892A1 (en) | 2019-03-18 | 2019-09-05 | Daimler Ag | Method for selecting service providers | 
| DE102019205713A1 (en)* | 2019-04-18 | 2020-10-22 | Volkswagen Aktiengesellschaft | Method for predicting the availability of at least one charging station for an electric vehicle | 
| EP3726455A3 (en)* | 2019-04-18 | 2021-06-16 | Volkswagen Ag | Method for forecasting availability of at least one charging station for an electric vehicle | 
| CN111401696A (en)* | 2020-02-28 | 2020-07-10 | 国网浙江省电力有限公司台州供电公司 | Power distribution system coordination planning method considering renewable resource uncertainty | 
| CN111401696B (en)* | 2020-02-28 | 2023-09-22 | 国网浙江省电力有限公司台州供电公司 | A distribution system coordination planning method taking into account the uncertainty of renewable resources | 
| WO2023247089A1 (en)* | 2022-06-22 | 2023-12-28 | Bayerische Motoren Werke Aktiengesellschaft | Method and device for predicting the waiting time at a charging station | 
| DE102023200019A1 (en)* | 2023-01-03 | 2024-07-04 | Volkswagen Aktiengesellschaft | Procedure for assigning transport orders to electrically operated transport vehicles, as well as electronic transport assignment system | 
| Publication | Publication Date | Title | 
|---|---|---|
| DE102017201789B4 (en) | Method for operating a motor vehicle and motor vehicle | |
| DE102014225122A1 (en) | Method and system for providing information on the availability of charging stations | |
| DE112018004000T5 (en) | MONITORING A VEHICLE OPERATION RISK USING SENSOR UNITS | |
| EP3807121A1 (en) | Charging system for dynamic charging of electric vehicles | |
| DE202015009120U1 (en) | Integration of online navigation data with cached navigation data during active navigation | |
| DE102013211632A1 (en) | Method for providing parking information about free parking spaces | |
| DE102013202643A1 (en) | PROCESS AND DEVICE FOR THE PRESENTATION OF A DRIVER DESTINATION | |
| DE202015009117U1 (en) | Integration of online navigation data with cached navigation data during active navigation | |
| EP3899430B1 (en) | Method for vehicle navigation | |
| DE102015225893A1 (en) | Method and system for optimizing the parking space search of a vehicle and a computer program product | |
| DE102013000385A1 (en) | Method for determining travel route proposal for upcoming trip, involves providing description of particular traffic event together with typical environment feature given during particular traffic event | |
| DE102012004625A1 (en) | Method for creating and updating map information for use in driver assistance system in motor vehicle, involves determining attribute from driving history data, which is assigned defined route section determined by route section information | |
| DE102022115574A1 (en) | Method and device for predicting the waiting time at a charging station | |
| EP3472820A1 (en) | Updating a digital map | |
| EP3616182A1 (en) | Computing system and method for operating a computing system | |
| DE102015208253A1 (en) | VEHICLE-SIDED MICRO-INTERACTIONS | |
| DE102017213512A1 (en) | Estimating a probable travel time of a rail vehicle | |
| DE102024106051A1 (en) | CUSTOMER-ORIENTED DYNAMIC ASSESSMENT OF CHARGING POINTS | |
| EP4350660A1 (en) | System and method for predicting a future position of a traffic participant | |
| DE102006013297B4 (en) | Method for operating a navigation system | |
| DE112021006733T5 (en) | METHOD AND DEVICE FOR GENERATING A TRAVEL ROUTE TAKING INTO ACCOUNT A DEPARTURE-ARRIVAL RELATIONSHIP | |
| DE102019213561A1 (en) | Method for calculating a function for a vehicle | |
| DE102020133937A1 (en) | Method and device for determining a driving route for an automated vehicle | |
| DE102023202623B3 (en) | Method for using navigation data in a driver assistance system | |
| DE102024117992B3 (en) | System and method for actor-based card attribute generation | 
| Date | Code | Title | Description | 
|---|---|---|---|
| R163 | Identified publications notified | ||
| R012 | Request for examination validly filed | ||
| R016 | Response to examination communication | ||
| R082 | Change of representative | Representative=s name:MUELLER, THOMAS, DIPL.-ING., DE | |
| R002 | Refusal decision in examination/registration proceedings | ||
| R003 | Refusal decision now final |