






Stand der TechnikState of the art
Die Erfindung betrifft ein Verfahren zum berührungslosen Laden eines batteriebetriebenen Objekts über ein magnetisch gekoppeltes Spulenpaar. Weitere Aspekte der Erfindung betreffen ein Computerprogramm, ein System, eine Ladestation und ein batteriebetriebenes Objekt, welche zur Durchführung des Verfahrens eingerichtet sind.The invention relates to a method for contactless charging of a battery-operated object via a magnetically coupled coil pair. Further aspects of the invention relate to a computer program, a system, a charging station and a battery-operated object, which are set up to carry out the method.
Beim berührungslosen Laden eines batteriebetriebenen Objekts erfolgt eine Übertragung von elektrischer Leistung über einen Luftspalt. Hierzu wird ein Spulenpaar verwendet, das über ein magnetisches Wechselfeld induktiv miteinander gekoppelt ist. In das batteriebetriebene Objekt ist dabei eine der Spulen integriert, die andere Spule ist einer Ladestation zugeordnet. Bei dem batteriebetriebenen Objekt handelt es sich zum Beispiel um ein Elektrofahrzeug oder um ein Plug-in-Hybridfahrzeug, dessen Antrieb ganz oder zumindest teilweise mittels eines Elektromotors erfolgt. Weitere Anwendungsfälle können beispielsweise das berührungslose Aufladen von elektrischen Werkzeugen oder Consumer-Geräten betreffen.When a battery-powered object is charged without contact, electrical power is transmitted via an air gap. For this purpose, a coil pair is used, which is inductively coupled to each other via a magnetic alternating field. One of the coils is integrated into the battery-operated object, the other coil is assigned to a charging station. The battery-operated object is, for example, an electric vehicle or a plug-in hybrid vehicle whose drive is entirely or at least partially by means of an electric motor. Other applications may include, for example, the non-contact charging of electrical tools or consumer devices.
Aus dem Stand der Technik sind verschiedene Verfahren und Vorrichtungen zum berührungslosen Aufladen von Fahrzeugen bekannt, bei denen Energie aus dem magnetischen Wechselfeld einer Primärspule entnommen wird und in einer dem Fahrzeug zugeordneten Sekundärspule in elektrische Energie umgewandelt wird. Die elektrische Energie wird anschließend einem Energiespeicher des Fahrzeugs zugeführt. Dabei ist es jedoch erforderlich, dass das Fahrzeug möglichst präzise über der Ladestation angeordnet wird. In Abhängigkeit vom Abstand und Ausrichtung der Primärspule in der Ladestation und der Sekundärspule in dem Fahrzeug ergeben sich unterschiedliche Einflüsse auf das berührungslose Ladesystem. Dabei kann der Koppelfaktor des Spulensystems stark schwanken.Various methods and devices for contactless charging of vehicles are known from the prior art, in which energy is taken from the alternating magnetic field of a primary coil and is converted into electrical energy in a secondary coil associated with the vehicle. The electrical energy is then supplied to an energy storage of the vehicle. However, it is necessary that the vehicle is arranged as precisely as possible above the charging station. Depending on the distance and orientation of the primary coil in the charging station and the secondary coil in the vehicle, different influences on the non-contact charging system arise. The coupling factor of the coil system can vary greatly.
In diesem Fall besteht die Gefahr, dass das System zum berührungslosen Laden nicht in einem optimalen Arbeitspunkt betrieben wird, was in der Regel zu einem schlechteren Wirkungsgrad und/oder einem höheren magnetischen Wechselfeld im Luftspalt zwischen Primärspule und Sekundärspule führt.In this case, there is a risk that the non-contact charging system is not operated at an optimum operating point, which generally leads to a poorer efficiency and / or a higher alternating magnetic field in the air gap between the primary coil and secondary coil.
Aus
Nachteilig am Stand der Technik ist, dass entweder eine einseitige Leistungsregelung erfolgt, was zu einer erhöhten Verlustleistung in ungünstigen Arbeitspunkten führt, oder es werden zusätzliche Spannungswandler im System benötigt, wodurch der Gesamtwirkungsgrad reduziert und der Aufwand erhöht wird.A disadvantage of the prior art is that either a one-sided power control takes place, which leads to an increased power loss in unfavorable operating points, or additional voltage transformers are required in the system, whereby the overall efficiency is reduced and the cost is increased.
Offenbarung der ErfindungDisclosure of the invention
Es wird ein Verfahren zum berührungslosen Laden eines batteriebetriebenen Objekts über ein magnetisch gekoppeltes Spulenpaar vorgeschlagen. Das Spulenpaar umfasst eine Primärspulenanordnung einer Ladestation und eine Sekundärspulenanordnung des batteriebetriebenen Objekts, wobei ein Inverter über eine von einem ersten Gleichrichter erzeugte Zwischenkreisspannung gespeist wird und die Primärspulenanordnung anregt. Des Weiteren wird an der Sekundärspulenanordnung eine Wechselspannung zwischen zwei Anschlusspunkten bereitgestellt, wobei vorgesehen ist, dass die Anschlusspunkte während jeder Halbwelle der Wechselspannung für ein vorbestimmtes Zeitintervall miteinander verbunden werden und die Zwischenkreisspannung am Eingang so geregelt wird, dass die Schaltpunkte des Inverters im Bereich eines Nulldurchgangs eines Stroms der Primärspulenanordnung liegen, so dass der Inverter weichschaltend angesteuert wird.A method for non-contact charging of a battery operated object via a magnetically coupled coil pair is proposed. The coil pair comprises a primary coil arrangement of a charging station and a secondary coil arrangement of the battery-powered object, wherein an inverter is fed via an intermediate circuit voltage generated by a first rectifier and excites the primary coil arrangement. Furthermore, an alternating voltage is provided between two connection points on the secondary coil arrangement, it being provided that the connection points are connected to each other during each half cycle of the alternating voltage for a predetermined time interval and the DC link voltage at the input is controlled so that the switching points of the inverter in the range of a zero crossing a current of the primary coil arrangement, so that the inverter is driven soft switching.
Bei dem Verfahren befindet sich das batteriebetriebene Objekt mit seiner Sekundärspulenanordnung im Bereich eines von der Primärspulenanordnung der Ladestation erzeugten magnetischen Wechselfeldes. Der Wirkungsgrad der Energieübertragung ist dabei von verschiedenen Parametern abhängig. Diese Parameter umfassen insbesondere die Größe des Luftspalts zwischen der Primärspulenanordnung und der Sekundärspulenanordnung sowie Strom und Spannung auf der Sekundärseite. Da die Sekundärseite in der Regel mit einem elektrischen Energiespeicher wie eine Batterie verbunden ist, ist der Arbeitspunkt von einer Spannung dieses Energiespeichers und somit vom Ladezustand des elektrischen Energiespeichers abhängig. Im Fall einer Batterie als elektrischen Energiespeicher steigt mit zunehmendem Ladestand eine Spannung Ubat der Batterie an, während der Ladestrom der Batterie sinkt. Wird die Batterie über einen zweiten Gleichrichter, beispielsweise über einen Brückengleichrichter, mit der Sekundärspulenanordnung verbunden, so ist dadurch auch die Ausgangsspannung der fahrzeugseitigen Spulenanordnung festgelegt.In the method, the battery-operated object with its secondary coil arrangement is located in the region of an alternating magnetic field generated by the primary coil arrangement of the charging station. The efficiency of energy transfer depends on various parameters. In particular, these parameters include the size of the air gap between the primary coil assembly and the secondary coil assembly as well as current and voltage on the secondary side. Since the secondary side is usually connected to an electrical energy storage such as a battery, the operating point of one Voltage of this energy storage and thus the state of charge of the electrical energy storage dependent. In the case of a battery as an electrical energy storage increases with increasing charge a voltage Ubat the battery, while the charging current of the battery decreases. If the battery is connected via a second rectifier, for example via a bridge rectifier, to the secondary coil arrangement, this also determines the output voltage of the vehicle-side coil arrangement.
Um den elektrischen Arbeitspunkt und damit das berührungslose Laden unabhängig vom elektrischen Energiespeicher, insbesondere unabhängig von Ladezustand und Ladeleistung der Batterie, einstellen zu können, ist vorgesehen, dass für ein vorbestimmtes Zeitintervall während jeder Halbwelle der Wechselspannung die Anschlusspunkte der Sekundärspulenanordnung miteinander verbunden werden. Während die Anschlusspunkte miteinander verbunden sind, kann ein Strom durch die Sekundärspulenanordnung fließen, ohne dass der elektrische Energiespeicher beteiligt ist. Die Dioden des Brückengleichrichters verhindern hierbei, dass der elektrische Energiespeicher kurz geschlossen wird.In order to set the electrical operating point and thus the non-contact charging independent of the electrical energy storage, in particular independent of state of charge and charging power of the battery, it is provided that for a predetermined time interval during each half cycle of the AC voltage, the connection points of the secondary coil assembly are interconnected. While the connection points are connected to each other, a current can flow through the secondary coil arrangement, without the electrical energy storage being involved. The diodes of the bridge rectifier prevent this, that the electrical energy storage is shorted.
Durch das Verbinden der Anschlusspunkte der Sekundärspulenanordnung während jeder Halbwelle der Wechselspannung für ein vorbestimmtes Zeitintervall kann der Strom durch die Sekundärspule und damit der Arbeitspunkt insbesondere unabhängig vom Ladezustand des Energiespeichers eingestellt werden. Dieser Freiheitsgrad kann somit eingesetzt werden, um den Wirkungsgrad der induktiven Energieübertragung zu steigern.By connecting the connection points of the secondary coil arrangement during each half-wave of the alternating voltage for a predetermined time interval, the current through the secondary coil and thus the operating point can be adjusted in particular independently of the state of charge of the energy store. This degree of freedom can thus be used to increase the efficiency of the inductive energy transfer.
Ferner ist bei dem vorgeschlagenen Verfahren vorgesehen, dass der Inverter, der zur Anregung der Primärspulenanordnung verwendet wird, von dem Zwischenkreis versorgt wird. Der Zwischenkreis wiederum wird über den ersten Gleichrichter mit elektrischer Energie versorgt, der an das Stromnetz angeschlossen ist. Das Stromnetz ist beispielsweise ein einphasiges oder dreiphasiges Wechselstromnetz, wobei der erste Gleichrichter den Inverter derart vom Wechselstromnetz entkoppelt, dass dieser als Leistungsfaktorkorrektureinrichtung (power factor correction PFC) fungiert.Furthermore, it is provided in the proposed method that the inverter which is used to excite the primary coil arrangement is supplied by the intermediate circuit. The DC link in turn is supplied via the first rectifier with electrical energy, which is connected to the mains. The power grid is, for example, a single-phase or three-phase alternating current network, the first rectifier decoupling the inverter from the alternating current network in such a way that it acts as a power factor correction device (PFC).
Der Inverter umfasst elektronische Schalter, die bevorzugt als Halbleiterschaltelemente ausgeführt sind. Über die elektronischen Schalter erzeugt der Inverter aus der Zwischenkreisspannung die Wechselspannung, mit der die Primärspulenanordnung angeregt wird. Dabei wird die Wechselspannung so eingestellt, dass die gewünschte Leistung übertragen wird. Für den Fall, dass die elektrischen Schalter an einem Punkt betätigt werden, in dem entweder der Schalter selbst oder seine gegenüberliegende Freilaufdiode gerade von einem Strom durchflossen ist, treten Schaltverluste in den Schaltern auf. Um die elektrisch betätigbaren Schalter bevorzugt an den Punkten zu schalten, an denen der Stromfluss einen Nulldurchgang aufweist, ist vorgesehen, zur Regelung auch die Zwischenkreisspannung zu beeinflussen. Somit stehen zur Regelung insgesamt drei Parameter zur Verfügung, nämlich die Zwischenkreisspannung, eine primäre Pulsweite und eine sekundäre Pulsweite. Die Pulsweiten können dabei durch das Ansteuern der elektrisch betätigbaren Schalter eingestellt werden. Wird der Inverter so betrieben, dass das Schalten der elektrisch betätigbaren Schalter ausschließlich bei einem Nulldurchgang des Stroms erfolgt, so wird der Inverter "weichschaltend" betrieben. Wird das Schalten hingegen so betrieben, dass der Strom beim Schalten keinen Nulldurchgang aufweist, so wird der Inverter „hartschaltend“ betrieben.The inverter comprises electronic switches, which are preferably designed as semiconductor switching elements. Via the electronic switches, the inverter generates the AC voltage with which the primary coil arrangement is excited from the intermediate circuit voltage. The AC voltage is adjusted so that the desired power is transmitted. In the event that the electrical switches are operated at a point in which either the switch itself or its opposite freewheeling diode is currently flowing through a current, switching losses occur in the switches. In order to switch the electrically actuated switch preferably at the points at which the current flow has a zero crossing, it is provided to influence the control circuit and the DC link voltage. Thus, a total of three parameters are available for control, namely the intermediate circuit voltage, a primary pulse width and a secondary pulse width. The pulse widths can be adjusted by controlling the electrically actuated switch. If the inverter is operated so that the switching of the electrically actuated switch takes place exclusively at a zero crossing of the current, the inverter is operated "soft switching". On the other hand, if the switching is operated in such a way that the current does not have a zero crossing during switching, then the inverter is operated "hard-switching".
In einer Ausführungsform des Verfahrens ist vorgesehen, dass das Zeitintervall, in dem die zwei Anschlusspunkte der Sekundärspulenanordnung miteinander verbunden werden, zumindest basierend auf einer gemessenen elektrischen Größe in der Primärspulenanordnung und/oder der Sekundärspulenanordnung bestimmt wird. Diese gemessenen elektrischen Größen können insbesondere eine Spannung und einen Strom eines elektrischen Energiespeichers, insbesondere eine Batteriespannung und einen Ladestrom einer Batterie umfassen.In one embodiment of the method, it is provided that the time interval in which the two connection points of the secondary coil arrangement are connected to one another is determined based at least on a measured electrical variable in the primary coil arrangement and / or the secondary coil arrangement. These measured electrical variables may in particular comprise a voltage and a current of an electrical energy store, in particular a battery voltage and a charging current of a battery.
Zusätzlich oder alternativ hierzu wird in einer Ausführungsform des Verfahrens das Zeitintervall, in dem die Anschlusspunkte miteinander verbunden werden, basierend auf einem Ladezustand einer Batterie bestimmt.Additionally or alternatively, in one embodiment of the method, the time interval in which the connection points are connected to each other, determined based on a state of charge of a battery.
Zusätzlich oder alternativ hierzu ist es bevorzugt, wenn das Zeitintervall, in dem die Anschlusspunkte miteinander verbunden werden, in Abhängigkeit eines gemessenen Kopplungsfaktors des magnetisch gekoppelten Spulenpaars bestimmt wird. Dieser Kopplungsfaktor beschreibt die Qualität der magnetischen Kopplung des Spulenpaars und ist unter anderem abhängig von der Ausrichtung der Spulen zueinander und von der Größe eines Luftspalts zwischen den beiden Spulen. Der Kopplungsfaktor kann beispielsweise mittels einer Strom- und/oder Spannungsmessung bei Beaufschlagung durch ein Referenzsignal gemessen werden.Additionally or alternatively, it is preferable if the time interval in which the connection points are connected to one another is determined as a function of a measured coupling factor of the magnetically coupled coil pair. This coupling factor describes the quality of the magnetic coupling of the coil pair and is dependent inter alia on the orientation of the coil to each other and the size of an air gap between the two coils. The coupling factor can be measured, for example, by means of a current and / or voltage measurement when subjected to a reference signal.
Bevorzugt ist bei dem Verfahren vorgesehen, dass für den Fall, dass die Zwischenkreisspannung den kleinsten Wert annimmt, den der erste Gleichrichter einstellen kann, das Zeitintervall, in dem die Anschlusspunkte miteinander verbunden werden so gewählt ist, dass der Inverter weichschaltend angesteuert wird. Alternativ dazu ist es denkbar, dass für den Fall, dass die Zwischenkreisspannung den kleinsten Wert annimmt, den der erste Gleichrichter einstellen kann, den Inverter hartschaltend anzusteuern und das Zeitintervall, in dem die Anschlusspunkte miteinander verbunden werden, abhängig vom Kopplungsfaktor, dem Ladezustand der Batterie oder anderen elektrischen Parametern zu wählen. In the method, it is preferably provided that, in the event that the intermediate circuit voltage assumes the smallest value that the first rectifier can set, the time interval in which the connection points are connected to one another is selected so that the inverter is activated in a soft-switching manner. Alternatively, it is conceivable that in the event that the intermediate circuit voltage assumes the smallest value that the first rectifier can set, the inverter hard switching to control and the time interval in which the connection points are interconnected, depending on the coupling factor, the state of charge of the battery or other electrical parameters.
Erfindungsgemäß wird weiterhin ein Computerprogramm vorgeschlagen, gemäß dem eines der hier beschriebenen Verfahren durchgeführt wird, wobei das Computerprogramm auf einer programmierbaren Computereinrichtung ausgeführt wird. Bei dem Computerprogramm kann es sich beispielsweise um ein Software-Modul, eine Software-Routine oder eine Software-Subroutine zur Implementierung eines Ladesystems mit einem batteriebetriebenen Objekt und einer Ladestation handeln. Das Computerprogramm kann auf dem batteriebetriebenen Objekt als auch auf der Ladestation oder auf diesen verteilt gespeichert sein, insbesondere auf permanenten oder wiederbeschreibbaren maschinenlesbaren Speichermedien oder in Zuordnung zu einer Computereinrichtung, beispielsweise auf einem tragbaren Speicher wie einer CD-ROM, DVD, Blu-ray-Disc, einem USB-Stick oder einer Speicherkarte. Zusätzlich oder alternativ dazu kann das Computerprogramm auf einer Computereinrichtung wie etwa einem Server oder einem Cloud-Server zum Herunterladen bereitgestellt werden, beispielsweise über ein Datennetzwerk wie das Internet oder über eine Kommunikationsverbindung wie eine Telefonleitung oder eine Drahtlosverbindung. Im Falle eines Elektrofahrzeugs kann das Computerprogramm auf einem Steuergerät im Fahrzeug gespeichert sein.According to the invention, a computer program is also proposed according to which one of the methods described here is carried out, wherein the computer program is executed on a programmable computer device. The computer program may be, for example, a software module, a software routine or a software subroutine for implementing a charging system with a battery-operated object and a charging station. The computer program can be stored on the battery-operated object as well as on the charging station or distributed on it, in particular on permanent or rewritable machine-readable storage media or in association with a computer device, for example on a portable storage such as a CD-ROM, DVD, Blu-ray Disc, a USB stick or a memory card. Additionally or alternatively, the computer program may be provided for download on a computing device such as a server or a cloud server, for example via a data network such as the Internet or via a communication link such as a telephone line or a wireless connection. In the case of an electric vehicle, the computer program may be stored on a control device in the vehicle.
Gemäß einem weiteren Aspekt der Erfindung wird ein System mit einer Ladestation, einem batteriebetriebenen Objekt und einem Steuergerät bereitgestellt, wobei das Steuergerät eingerichtet ist, eines der hierin beschriebenen Verfahren auszuführen. Dementsprechend gelten im Rahmen des Verfahrens beschriebene Merkmale entsprechend für das System und umgekehrt die im Rahmen des Systems beschriebenen Merkmale entsprechend für das Verfahren.According to another aspect of the invention, there is provided a system including a charging station, a battery operated object, and a controller, wherein the controller is configured to perform one of the methods described herein. Accordingly, features described in the context of the method correspondingly apply to the system and, conversely, the features described within the framework of the system correspondingly apply to the method.
Das Steuergerät kann dabei der Ladestation oder dem batteriebetriebenen Objekt zugeordnet sein. Alternativ kann vorgesehen sein, dass sowohl das batteriebetriebene Objekt als auch die Ladestation mit Steuergeräten ausgestattet sind, welche gemeinsam das erfindungsgemäße Verfahren durchführen.The control unit can be assigned to the charging station or the battery-powered object. Alternatively, it can be provided that both the battery-operated object and the charging station are equipped with control units which jointly carry out the method according to the invention.
Gemäß weiteren Aspekten der Erfindung werden eine Ladestation sowie ein batteriebetriebenes Objekt zur Verwendung mit einem derartigen Systemen bereitgestellt.In accordance with further aspects of the invention, a charging station and a battery operated object for use with such systems are provided.
Die Begriffe "Batterie" und "batteriebetrieben" werden in der vorliegenden Beschreibung wie im allgemeinen Sprachgebrauch üblich auch für Akkumulator beziehungsweise akkumulatorbetrieben verwendet. In der Batterie können mehrere Batteriezellen vorzugsweise räumlich zusammengefasst und schaltungstechnisch miteinander verbunden, beispielsweise seriell oder parallel zu Modulen verschaltet verwendet werden, um die geforderten Leistungsdaten bereitstellen zu können. Prinzipiell ist aber auch jeder andere elektrische Energiespeicher denkbar, beispielsweise Superkondensatoren.The terms "battery" and "battery-powered" are used in the present description as common in common usage also for accumulator or Akkumumulatorbetrieben. In the battery, a plurality of battery cells can preferably be spatially combined and interconnected in terms of circuitry, for example connected in series or in parallel to modules in order to be able to provide the required performance data. In principle, however, any other electrical energy storage is conceivable, for example supercapacitors.
In einer Ausführungsform der Ladestation ist vorgesehen, dass der erste Gleichrichter eingerichtet ist, eine Leistungsfaktorkorrektur vorzunehmen.In one embodiment of the charging station, it is provided that the first rectifier is set up to perform a power factor correction.
Vorteile der ErfindungAdvantages of the invention
Mit dem erfindungsgemäßen Verfahren beziehungsweise entsprechend mit dem durch die Erfindung bereitgestellten System werden zusätzliche regelungstechnische Freiheitsgrade geschaffen, die zur Optimierung des jeweiligen Arbeitspunktes genutzt werden können, und somit den Wirkungsgrad der induktiven Energieübertragung steigern können. Dabei ist insbesondere vorgesehen, dass Anschlusspunkte an der Sekundärspulenanordnung miteinander verbunden werden können, um die fundamentale Ausgangsspannung der Sekundärspulenanordnung unabhängig von einem angeschlossenen elektrischen Energiespeicher wie einer Batterie einstellen zu können.With the method according to the invention or correspondingly with the system provided by the invention, additional control-engineering degrees of freedom are created which can be used to optimize the respective operating point, and thus can increase the efficiency of the inductive energy transfer. In this case, provision is made in particular for connection points on the secondary coil arrangement to be connected to one another in order to be able to set the fundamental output voltage of the secondary coil arrangement independently of a connected electrical energy store such as a battery.
Des Weiteren wird ein in der Regel zur Realisierung einer Leistungsfaktorkorrektur ohnehin notwendiger Gleichrichter eingesetzt, um Schaltverluste im Inverter zu reduzieren. Dazu wird die vom Gleichrichter bereitgestellte Zwischenkreisspannung so geregelt, dass die im Inverter angeordneten Schalter weichschaltend und damit verlustarm betrieben werden können.Furthermore, a rectifier, which is in any case generally necessary for realizing a power factor correction, is used in order to reduce switching losses in the inverter. For this purpose, the intermediate circuit voltage provided by the rectifier is controlled such that the switches arranged in the inverter can be operated in a soft-switching manner and thus with low losses.
Besonders vorteilhaft ist es, wenn die Regelung der Zwischenkreisspannung mit dem zeitweiligen Verbinden der Anschlusspunkte an der Sekundärseite kombiniert wird. Üblicherweise können die Gleichrichter die von ihnen bereitgestellte Zwischenkreisspannung nur über einen begrenzten Spannungsbereich einstellen, so dass ein weichschaltender Betrieb des Inverters nicht für jeden bereitgestellten Strom möglich wäre. Durch die Verbindung der Anschlusspunkte auf der Sekundärseite kann der in der Sekundärspulenanordnung fließende Strom und damit auch der in der Primärspulenanordnung fließende Strom ebenfalls beeinflusst werden, so dass ein weichschaltender Betrieb der Schalter im Inverter gewährleistet werden kann. Dadurch wird das Auftreten elektrischer Leistungsverluste minimiert und insgesamt der Wirkungsgrad des berührungslosen Ladens eines batteriebetriebenen Objekts erheblich verbessert. It is particularly advantageous if the regulation of the intermediate circuit voltage is combined with the temporary connection of the connection points on the secondary side. Typically, the rectifiers can adjust the DC link voltage provided by them only over a limited voltage range, so that a soft-switching operation of the inverter would not be possible for each provided current. By connecting the connection points on the secondary side, the current flowing in the secondary coil arrangement and thus also the current flowing in the primary coil arrangement can likewise be influenced, so that a soft switching operation of the switches in the inverter can be ensured. As a result, the occurrence of electrical power losses is minimized and the overall efficiency of the contactless charging of a battery-operated object is significantly improved.
Auch wenn in einigen Arbeitspunkten ein hartschaltender Betrieb des Inverters notwendig ist, so lassen sich durch ein Herabsetzen der Zwischenkreisspannung durch die vorgeschaltete Gleichrichterstufe die Schaltverluste im Inverter in diesen Arbeitspunkten zumindest reduzieren.Even if a hard-switching operation of the inverter is necessary in some operating points, the switching losses in the inverter can at least be reduced in these operating points by reducing the intermediate circuit voltage through the upstream rectifier stage.
Kurze Beschreibung der ZeichnungenBrief description of the drawings
Ausführungsbeispiele der Erfindung sind in den Zeichnungen dargestellt und werden in der nachfolgenden Beschreibung näher erläutert.Embodiments of the invention are illustrated in the drawings and are explained in more detail in the following description.
Es zeigen:Show it:
In der nachfolgenden Beschreibung der Ausführungsbeispiele der Erfindung werden gleiche oder ähnliche Komponenten mit gleichen oder ähnlichen Bezugszeichen bezeichnet, wobei in Einzelfällen auf eine wiederholte Beschreibung dieser Komponente verzichtet wird. Die Figuren stellen den Gegenstand der Erfindung nur schematisch dar.In the following description of the embodiments of the invention, the same or similar components are denoted by the same or similar reference numerals, and in individual cases dispensed with a repeated description of this component. The figures illustrate the subject matter of the invention only schematically.
In
Der Inverter
Über ein Steuergerät
Die Sekundärseite
Wie aus
Für eine induktive Energieübertragung von der Primärseite
Im Folgenden wird für die Beschreibung als Vereinfachung nur die sinusförmige Grundwelle der rechteckförmigen Spannung betrachtet. Diese Vereinfachung ist gerechtfertigt, da höhere Frequenzen stark gedämpft werden. Die Amplitude der Grundwelle der Spannung U1 berechnet sich bei der Resonanzfrequenz ω = ω0 dabei zu:
In einem ersten Betriebsmodus bleiben dabei die beiden Schaltelemente S5 und S6 der Sekundärseite
Dabei ist der Primärstrom I1 nur von der am Ausgang der Sekundärseite
In
In der
Im Folgenden wird für die Betrachtung zur Vereinfachung nur die Amplitude der Grundwelle der sekundärseitigen Spannung U2 betrachtet. Die Amplitude der Grundwelle der sekundärseitigen Spannung U2 berechnet sich damit zu:
Die Amplitude der Grundwelle der primärseitigen Spannung U1 ergibt sich weiterhin zu:
Somit ergeben sich die Scheitelwerte des Sekundärstroms I2 und des Primärstroms I1 betragsmäßig zu:Thus, the peak values of the secondary current I2 and the primary current I1 amount to:
Durch den neu eingeführten Freilaufzustand auf der Sekundärseite
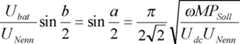
Zur Bestimmung der Pulsweite b, also der Zeitdauer, während der die Schaltelemente S5 und S6 geöffnet sind, sind dabei verschiedene Betriebsstrategien möglich. Für eine erste Betriebsstrategie können beispielsweise auf der Primärseite
Gemäß einer weiteren Betriebsstrategie wird das Verhältnis des Primärstroms I1 zum Sekundärstrom I2 auf einen konstanten Wert eingeregelt. Dabei werden die Pulsweiten a und b beispielsweise so gewählt, dass für das Aufladen einer Batterie
Neben den zuvor bereits beschriebenen Vorteilen wird dabei die tatsächliche Batteriespannung Ubat durch die Sekundärseite
In einer weiteren Betriebsstrategie ist es möglich, den Arbeitspunkt adaptiv anzupassen. Dabei wird ein optimaler Arbeitspunkt adaptiv so eingestellt, dass eine geforderte Leistung PSoll bei einem gegebenen Koppelfaktor und einer gegebenen Batteriespannung Ubat übertragen werden kann und gleichzeitig eine Optimierungsgröße maximiert bzw. minimiert wird. Eine solche adaptive Anpassung des Arbeitspunktes kann aufgrund des zusätzlichen Freiheitsgrades erreicht werden, den die erfindungsgemäße beidseitige Regelung ermöglicht. Als Optimierungsgröße kann beispielsweise der (gemessene) Systemwirkungsgrad dienen, aber auch andere Optimierungsgrößen sind denkbar.In a further operating strategy, it is possible to adjust the operating point adaptively. In this case, an optimum operating point is adaptively adjusted such that a required power Pdesired can be transmitted for a given coupling factor and a given battery voltage Ubat and at the same time an optimization variable is maximized or minimized. Such adaptive adjustment of the operating point can be achieved due to the additional degree of freedom that allows the two-sided control according to the invention. For example, the (measured) system efficiency can serve as an optimization variable, but other optimization variables are also conceivable.
Ferner ist es auch möglich, den Arbeitspunkt so anzupassen, dass in dem Luftspalt zwischen Primärspule L1 und Sekundärspule L2 das magnetische Feld möglichst minimal wird. Das magnetische Wechselfeld im Luftspalt des Spulenpaars
In einer weiteren Betriebsstrategie ist es möglich, den Arbeitsbereich des Systems
In bevorzugten Ausführungsvarianten der Erfindung werden sowohl eine Regelung der Pulsweiten a und b durchgeführt als auch eine Regelung der Zwischenkreisspannung Udc.In preferred embodiments of the invention, both a control of the pulse widths a and b are performed as well as a regulation of the intermediatecircuit voltage Udc.
In einer weiteren bevorzugten Ausführungsvariante, übernimmt der erste Gleichrichter eine Korrektur des Leistungsfaktors, als sogenannte PFC-Stufe. Dabei sind sowohl Ausführungsformen zum Betrieb am einphasigen Wechselspannungsnetz, wie auch am dreiphasigen Wechselspannungsnetz vorgesehen.In a further preferred embodiment variant, the first rectifier adopts a correction of the power factor, as a so-called PFC stage. Both embodiments are provided for operation on the single-phase AC voltage network as well as on the three-phase AC voltage network.
In einer weiteren Ausführungsvariante, ist der erste Gleichrichter als dreiphasige, gesteuerte B6-Brücke ausgeführt, was eine kostengünstige Realisierung insbesondere für große Leistungen ermöglicht.In a further embodiment, the first rectifier is designed as a three-phase, controlled B6 bridge, which allows a cost-effective implementation, especially for high power.
Die Erfindung ist nicht auf die hier beschriebenen Ausführungsbeispiele und die darin hervorgehobenen Aspekte beschränkt. Vielmehr sind innerhalb des durch die Ansprüche angegebenen Bereichs eine Vielzahl von Abwandlungen möglich, die im Rahmen fachmännischen Handelns liegen.The invention is not limited to the embodiments described herein and the aspects highlighted therein. Rather, within the scope given by the claims a variety of modifications are possible, which are within the scope of expert action.
ZITATE ENTHALTEN IN DER BESCHREIBUNG QUOTES INCLUDE IN THE DESCRIPTION
Diese Liste der vom Anmelder aufgeführten Dokumente wurde automatisiert erzeugt und ist ausschließlich zur besseren Information des Lesers aufgenommen. Die Liste ist nicht Bestandteil der deutschen Patent- bzw. Gebrauchsmusteranmeldung. Das DPMA übernimmt keinerlei Haftung für etwaige Fehler oder Auslassungen.This list of the documents listed by the applicant has been generated automatically and is included solely for the better information of the reader. The list is not part of the German patent or utility model application. The DPMA assumes no liability for any errors or omissions.
Zitierte PatentliteraturCited patent literature
| Application Number | Priority Date | Filing Date | Title |
|---|---|---|---|
| DE102014220224.8ADE102014220224A1 (en) | 2014-10-07 | 2014-10-07 | Method and system for the contactless charging of a battery-operated object |
| PCT/EP2015/067231WO2016055180A1 (en) | 2014-10-07 | 2015-07-28 | Method and system for the contactless charging of a battery-operated object |
| Application Number | Priority Date | Filing Date | Title |
|---|---|---|---|
| DE102014220224.8ADE102014220224A1 (en) | 2014-10-07 | 2014-10-07 | Method and system for the contactless charging of a battery-operated object |
| Publication Number | Publication Date |
|---|---|
| DE102014220224A1true DE102014220224A1 (en) | 2016-04-07 |
| Application Number | Title | Priority Date | Filing Date |
|---|---|---|---|
| DE102014220224.8APendingDE102014220224A1 (en) | 2014-10-07 | 2014-10-07 | Method and system for the contactless charging of a battery-operated object |
| Country | Link |
|---|---|
| DE (1) | DE102014220224A1 (en) |
| WO (1) | WO2016055180A1 (en) |
| Publication number | Priority date | Publication date | Assignee | Title |
|---|---|---|---|---|
| DE102017210409A1 (en) | 2017-06-21 | 2018-12-27 | Audi Ag | Component of an inductive energy transfer device with object recognition and method for operating an inductive energy transfer device |
| CN109552086A (en)* | 2018-12-18 | 2019-04-02 | 深圳市信维通信股份有限公司 | A kind of wireless charging system for electric automobile and its control method |
| DE102018214783A1 (en)* | 2018-08-30 | 2020-03-05 | Continental Automotive Gmbh | Device for the inductive transmission of electrical energy from a primary circuit to a secondary circuit and method for operating such a device |
| CN114364570A (en)* | 2019-08-16 | 2022-04-15 | 奥克兰大学服务有限公司 | Vehicle-grid-home power interface |
| Publication number | Priority date | Publication date | Assignee | Title |
|---|---|---|---|---|
| KR101764496B1 (en)* | 2015-11-02 | 2017-08-02 | 현대자동차주식회사 | Active rectifier for wireless power transfer system and vehicle assembly using same and operating method thereof |
| JP7275648B2 (en)* | 2018-06-26 | 2023-05-18 | 株式会社デンソー | In-motion wireless power supply system |
| Publication number | Priority date | Publication date | Assignee | Title |
|---|---|---|---|---|
| US20110231029A1 (en) | 2008-09-25 | 2011-09-22 | Toyota Jidosha Kabushiki Kaisha | Power feeding system and electrical powered vehicle |
| DE102010055696A1 (en) | 2010-12-22 | 2012-06-28 | Airbus Operations Gmbh | A system for contactless energy transfer, use of a system for contactless energy transfer and vehicle with a system for contactless energy transfer between a first vehicle part and a second vehicle part |
| Publication number | Priority date | Publication date | Assignee | Title |
|---|---|---|---|---|
| US6301128B1 (en)* | 2000-02-09 | 2001-10-09 | Delta Electronics, Inc. | Contactless electrical energy transmission system |
| CN102387935A (en)* | 2009-04-09 | 2012-03-21 | 西门子公司 | Transmission of power bidirectionally and without contact to charge electric vehicles |
| DE102010054472A1 (en)* | 2010-12-14 | 2012-06-14 | Conductix-Wampfler Ag | Device for inductive transmission of electrical energy |
| GB2499452A (en)* | 2012-02-17 | 2013-08-21 | Bombardier Transp Gmbh | Receiving device for an inductively charged electric vehicle |
| JP6047442B2 (en)* | 2013-03-29 | 2016-12-21 | 富士電機株式会社 | Power supply device |
| Publication number | Priority date | Publication date | Assignee | Title |
|---|---|---|---|---|
| US20110231029A1 (en) | 2008-09-25 | 2011-09-22 | Toyota Jidosha Kabushiki Kaisha | Power feeding system and electrical powered vehicle |
| DE102010055696A1 (en) | 2010-12-22 | 2012-06-28 | Airbus Operations Gmbh | A system for contactless energy transfer, use of a system for contactless energy transfer and vehicle with a system for contactless energy transfer between a first vehicle part and a second vehicle part |
| Publication number | Priority date | Publication date | Assignee | Title |
|---|---|---|---|---|
| DE102017210409A1 (en) | 2017-06-21 | 2018-12-27 | Audi Ag | Component of an inductive energy transfer device with object recognition and method for operating an inductive energy transfer device |
| WO2018233926A1 (en) | 2017-06-21 | 2018-12-27 | Audi Ag | ELEMENT OF AN OBJECT DETECTION INDUCTION ENERGY TRANSMISSION DEVICE AND A METHOD FOR OPERATING AN INDUCTION ENERGY TRANSMISSION DEVICE |
| US11046194B2 (en) | 2017-06-21 | 2021-06-29 | Audi Ag | Component of an inductive energy transmission apparatus with object recognition and method for operating an inductive energy transmission apparatus |
| DE102018214783A1 (en)* | 2018-08-30 | 2020-03-05 | Continental Automotive Gmbh | Device for the inductive transmission of electrical energy from a primary circuit to a secondary circuit and method for operating such a device |
| DE102018214783B4 (en) | 2018-08-30 | 2025-10-02 | Schaeffler Technologies AG & Co. KG | Device for inductive transmission of electrical energy from a primary circuit to a secondary circuit and method for operating such a device |
| CN109552086A (en)* | 2018-12-18 | 2019-04-02 | 深圳市信维通信股份有限公司 | A kind of wireless charging system for electric automobile and its control method |
| CN109552086B (en)* | 2018-12-18 | 2024-03-19 | 深圳市信维通信股份有限公司 | Wireless charging system of electric automobile and control method thereof |
| CN114364570A (en)* | 2019-08-16 | 2022-04-15 | 奥克兰大学服务有限公司 | Vehicle-grid-home power interface |
| EP4013642A4 (en)* | 2019-08-16 | 2023-09-27 | Auckland UniServices Limited | Vehicle-grid-home power interface |
| US12316121B2 (en) | 2019-08-16 | 2025-05-27 | Auckland Uniservices Limited | Vehicle-grid-home power interface |
| Publication number | Publication date |
|---|---|
| WO2016055180A1 (en) | 2016-04-14 |
| Publication | Publication Date | Title |
|---|---|---|
| EP3042431B1 (en) | Apparatus for inductive energy transfer and operation method therefor | |
| DE102006010694B4 (en) | Inverter circuit for extended input voltage range | |
| DE112015001844B4 (en) | Charging device for electric vehicles | |
| DE112015002279B4 (en) | ENERGY CONVERSION DEVICE | |
| EP3134952B1 (en) | Transmission system, method for inductively charging an electrically driven vehicle, and vehicle assembly | |
| DE102014220224A1 (en) | Method and system for the contactless charging of a battery-operated object | |
| DE102014102593A1 (en) | Power supply means | |
| DE102010031615A1 (en) | Charger with galvanic isolation and various operating modes | |
| DE112015001920T5 (en) | Power source means | |
| DE112010001775T5 (en) | Control device of a transformer coupling type booster | |
| WO2015063683A1 (en) | Method for regulating the energy transmitted between resonators of a system for contactless energy transmission, and resonator arrangement | |
| DE102021121325A1 (en) | CHARGER | |
| DE102012014178A1 (en) | Device and method for charging at least one traction battery of an electric vehicle | |
| DE102018221195A1 (en) | Bidirectional DC / DC converter and method for operating the DC / DC converter | |
| DE102018121246A1 (en) | Adapter device for bidirectional operation | |
| DE102016109316A1 (en) | RESONANCE CONVERTER SYSTEM | |
| DE102014222475A1 (en) | Transmission system, method and vehicle arrangement | |
| DE102014012703B4 (en) | Receiving unit, inductive energy transmission system, method for inductive energy transmission and use | |
| EP2730013B1 (en) | Control circuit and method for controlling an input switching stage of a transformer circuit | |
| WO2016020099A1 (en) | Method for the contactless charging or discharging of a battery-operated object | |
| EP2820752B1 (en) | Semi-active front end converter with vector control of reactive power | |
| EP3539814A1 (en) | Loading assembly for motor vehicles with shift control on the receiver side | |
| EP3043461B1 (en) | Supply circuit for supplying a welding device | |
| DE102016207929A1 (en) | Secondary unit with voltage adjustment for inductive charging | |
| DE102015205789A1 (en) | Inverter, power supply circuit and method for generating an alternating voltage |
| Date | Code | Title | Description |
|---|---|---|---|
| R079 | Amendment of ipc main class | Free format text:PREVIOUS MAIN CLASS: H02J0007000000 Ipc:H02J0050100000 | |
| R012 | Request for examination validly filed |