


Hintergrund der ErfindungBackground of the invention
Aus dem Stand der Technik sind verschiedenste Netzwerksysteme bekannt.Various network systems are known from the prior art.
Insbesondere sind Netzwerksysteme bekannt, die eine Punkt-zu-Punkt-Verbindung, häufig auch als Point-to-Point (PtP) Verbindung bereitstellen. Herkömmliche lokale Kommunikationsnetze, die über die Funktionalität einer reinen Punkt-to-Punkt Verbindung hinausgehen, funktionieren meist wie in
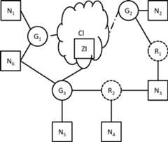
Ein notwendiger Bestandteil in solchen Netzwerken ist, dass das jeweilige Netzwerkprotokoll ein Verfahren zur Verfügung stellt, mit dem ein neu in das Netzwerksystem eintretender Endpunkt N4 das für ihn zuständige Gateway /den zuständigen Router – hier G1 – bestimmt, sich mit diesem Gateway / Router G1 verbindet und damit Teil des Netzwerksystems um G1 wird. Dies ist insbesondere bei drahtlosen Netzwerken der Fall. Beispielhalft könnten z.B. die Endpunkte N1, N2, N3, N4 WLAN-Clients sein, die sich mit einem Access Point verbinden und über diesen miteinander kommunizieren.A necessary component in such networks is that the respective network protocol provides a method with which an endpoint N4 newly entering the network system determines its responsible gateway / router - here G1 - to communicate with this gateway. Router G1 connects and thus becomes part of the network system by G1 . This is especially the case with wireless networks. By way of example, for example, the endpoints N1 , N2 , N3 , N4 could be WLAN clients that connect to an access point and communicate with each other via this.
Dabei ist festzustellen, dass die lokale Kommunikation auf das jeweilige Netzwerksystem des Access Points respektive des Gateways beschränkt ist. Im Beispiel der
Die Endpunkte der jeweiligen Netzwerksysteme können jeweils miteinander kommunizieren, d.h. N1 kann mit N2, N3 und N4 kommunizieren. Allerdings ist eine Kommunikation in andere Netzwerksysteme, d.h. von N1 nach N5 oder N6 nicht möglich. Typischerweise bedarf es hierzu weiterer Netzwerkkomponenten, die eine Verbindung zwischen den beiden Netzwerksystemen bereitstellen. Dies ist insbesondere dann nötig, wenn ein Endpunkt nicht die physikalische Fähigkeit besitzt sich in ein weiteres Netzwerk einzubinden, z.B. wegen fehlender Reichweite. Beispielsweise wäre N5 wie durch die gestrichelte Linie dargestellt in der Lage sich in das andere Netzwerksystem einzubinden, N6 hingegen nicht. Häufig besteht zudem eine Randbedingung im Netzwerkprotokoll, dass jeder Endpunkt zudem nur in einem Netzwerksystem eingebunden – häufig auch als eingebucht bezeichnet – sein darf.The endpoints of the respective network systems can each communicate with each other, ie N1 can communicate with N2 , N3 and N4 . However, a communication in other network systems, ie from N1 to N5 or N6 is not possible. Typically, this requires additional network components that provide a connection between the two network systems. This is especially necessary if an endpoint does not have the physical ability to connect to another network, eg due to lack of reach. For example, as shown by the dashed line, N5 would be able to integrate with the other network system, but N6 would not. In addition, there is often a constraint in the network protocol that each endpoint may only be included in a network system - often also referred to as logged in.
Obwohl dies zunächst in Bezug auf drahtlose Netzwerksysteme beschrieben ist können gleiche, gleichartige oder ähnliche Probleme auch bei drahtgebunden Netzwerksystemen, wie z.B. Powerline-Netzwerken, auftreten.Although initially described with respect to wireless network systems, similar, similar, or similar problems may also be experienced with wired network systems, such as e.g. Powerline networks, occur.
Weiterhin sind aus dem Stand der Technik auch Netzwerksysteme bekannt, die eine weitergehende Vermaschung erlauben, wie in
Allerdings haben diese bekannten Netzwerksysteme auch Nachteile. Zum einen ist der Aufbau der für die Kommunikation notwendigen Netzwerkprotokolle sehr aufwändig. Dies ist z.B. darin begründet, dass eine zentrale Koordination des Gesamtnetzwerkes nötig ist. Diese Aufgabe wird typischerweise von einem Router – hier G1 – als Koordinator – in der Figur durch C gekennzeichnet – wahrgenommen. Eine der zentralen Koordinierungsaufgaben ist dabei das Führen von Routing-Tabellen, die die physikalischen Gegebenheiten des Netzwerkes in Bezug auf die Erreichbarkeit der einzelnen Netzwerkelemente widerspiegeln. Dabei ist jedoch zu beachten, dass mit zunehmender Netzwerkkomplexität die Verwaltungsaufgaben dramatisch ansteigen. Wiederum kann es auch hier wieder zu dem Fall kommen das Teilsysteme gebildet werden, da es an der notwendigen Reichweite fehlt, d.h. eine Kommunikation von N1 nach N11 wäre nicht möglich.However, these known network systems also have disadvantages. On the one hand, the structure of the network protocols required for the communication is very complex. This is due, for example, to the fact that central coordination of the overall network is necessary. This task is typically performed by a router - here G1 - as a coordinator - indicated by C in the figure. One of the central coordination tasks is the routing of routing tables, which reflect the physical conditions of the network with respect to the accessibility of the individual network elements. It should be noted, however, that as network complexity increases, administrative tasks increase dramatically. Again, it can also come back to the case that subsystems are formed because it lacks the necessary range, ie, a communication from N1 to N11 would not be possible.
Kurzdarstellung der ErfindungBrief description of the invention
Es ist daher Aufgabe der Erfindung ein alternatives Netzwerksystem anzugeben, dass einen Nachteil oder mehrere Nachteile aus dem Stand der Technik vermeidet.It is therefore an object of the invention to provide an alternative network system that avoids a disadvantage or several disadvantages of the prior art.
Die Aufgabe wird gelöst durch ein Netzwerksystem, welches zumindest einen ersten Endpunkt und einen zweiten Endpunkt und zumindest eine zentrale Instanz innerhalb des Netzwerkes aufweist. Die ersten Endpunkte haben über einen oder mehrere Zugangsknoten Zugang zum Netzwerksystem, wobei ein gleichzeitiger Zugang über mehr als einen Zugangsknoten durch Endpunkte möglich ist. Die zentrale Instanz innerhalb des Netzwerkes übernimmt das Routing von Daten dem ersten Endpunktes an den zweiten Endpunkt, wobei Daten des ersten Endpunktes, welche sowohl vom einem ersten Zugangsknoten als auch einem zweiten Zugangsknoten an die zentrale Instanz weitergeleitet wurden, von der zentralen Instanz als Doublette erkannt werden und nur einmal an den zweiten Endpunkt versandt werden.The object is achieved by a network system which has at least a first endpoint and a second endpoint and at least one central entity within the network. The first endpoints have access to the network system via one or more access nodes, with simultaneous access through more than one access node through endpoints. The central entity within the network handles the routing of data to the first endpoint to the second endpoint, with data of the first endpoint being sent from both a first access node and a second access node to the first endpoint central instance, be recognized by the central entity as a doublet, and sent only once to the second endpoint.
In einer Ausführungsform der Erfindung weist das Netzwerksystem zumindest einen Repeater auf, wobei der Repeater gegenüber einem Endpunkt wie ein Zugangsknoten erscheint.In one embodiment of the invention, the network system comprises at least one repeater, the repeater appearing like an access node to an endpoint.
Gemäß einer weiteren Ausführungsform der Erfindung werden Daten in Datenpaketen versandt werden, wobei die Datenpakete jeweils einen Bezeichner aufweisen an Hand dessen Doubletten erkannt werden können.According to a further embodiment of the invention, data will be sent in data packets, the data packets each having an identifier on the basis of which duplicates can be recognized.
In einer Fortbildung dieser Ausführungsform ist der Bezeichner eindeutig.In a further development of this embodiment, the identifier is unique.
Gemäß einer weiteren Ausführungsform der Erfindung erfolgt die Übertragung von den Endpunkten an die Zugangsknoten und umgekehrt zustandslos erfolgt.According to a further embodiment of the invention, the transmission from the end points to the access nodes and vice versa takes place stateless.
In noch einer weiteren Ausführungsform der Erfindung werden, im Falle dass der zweite Endpunkt über mehr als einen Zugangsknoten erreicht werden kann, Daten an den zweiten Endpunkt (N6, N3) über zumindest einen Teil der mehr als einen Zugangsknoten (G1, G2, G3) an den zweiten Endpunkt weitergeleitet.In yet another embodiment of the invention, in case the second endpoint can be reached via more than one access node, data is sent to the second endpoint (N6 , N3 ) over at least a portion of the more than one access node (G1 , G2 , G3 ) forwarded to the second endpoint.
Gemäß einer weiteren Ausführungsform der Erfindung erkennt der zweite Endpunkt Daten des ersten Endpunktes, welche sowohl vom einem ersten Zugangsknoten als auch einem zweiten Zugangsknoten weitergeleitet wurden als Doublette.According to a further embodiment of the invention, the second endpoint recognizes data of the first endpoint which has been forwarded by both a first access node and a second access node as a doublet.
In noch einer weiteren Ausführungsform der Erfindung tauschen Endpunkte, welche über einen gemeinsamen Zugangspunkt verfügen, Daten über diesen Zugangspunkt ohne Weiterleitung an die zentrale Instanz aus.In yet another embodiment of the invention, endpoints that have a common access point exchange data via this access point without forwarding to the central entity.
Gemäß einer noch weiteren Ausführungsform der Erfindung, übermitteln die Zugangsknoten und/oder Repeater Daten an die zentrale Instanz, welche eine Lokalisierung eines Endpunktes, der den Zugangspunkt und/oder Repeater nutzt, erlaubt, wobei die Daten ausgewählt sind aus einer Gruppe aufweisend Empfangsfeldstärke, Signalqualität, Bit-Error-Rate, Zeitstempel oder einer Kombination von einem oder mehreren der Vorgenannten.In accordance with yet another embodiment of the invention, the access nodes and / or repeaters communicate data to the central entity which permits localization of an endpoint using the access point and / or repeater, the data being selected from a group having reception field strength, signal quality , Bit error rate, timestamp, or a combination of one or more of the foregoing.
Gemäß einer weiteren Ausführungsform ist vorgesehen, dass im Falle dass der zweite Endpunkt über mehr als einen Zugangsknoten erreicht werden kann, Daten an den zweiten Endpunkt über zumindest einen der Zugangsknoten an den zweiten Endpunkt weitergeleitet werden, wobei die Auswahl des Zugangsknoten oder der Zugangsknoten an Hand der von den Zugangsknoten oder Repeatern an die zentrale Instanz übermittelten Daten erfolgt.According to a further embodiment, if the second endpoint can be reached via more than one access node, data is forwarded to the second endpoint via at least one of the access nodes to the second endpoint, wherein the selection of the access node or the access node on hand the data transmitted by the access nodes or repeaters to the central entity takes place.
Kurzdarstellung der FigurenBrief description of the figures
Nachfolgend wir die Erfindung näher unter Bezugnahme auf die Figuren erläutert werden, in denHereinafter, the invention will be explained in more detail with reference to the figures, in which
Ausführliche BeschreibungDetailed description
Ausführungsformen und Aspekte der Erfindung werden nachfolgend unter Bezug auf
Soweit nachfolgend der Singular verwendet wird ist in aller Regel auch der Plural mit umfasst. Weiterhin, soweit nachfolgend Ausführungsformen dargestellt werden sind jegliche Aspekte einer Ausführungsform ohne weiteres auch in anderen Ausführungsformen verwendbar, soweit nichts explizit als Alternative ausgeschlossen.As far as the singular is used below, the plural is usually included. Furthermore, as far as embodiments are illustrated below, any aspects of an embodiment are readily usable in other embodiments as well, unless explicitly excluded as an alternative.
In einem Netzwerksystem gemäß Ausführungsformen der Erfindung können eine Vielzahl von Endpunkten N1, N2, N3, N4, N5, N6 miteinander verbunden werden.In a network system according to embodiments of the invention, a plurality of endpoints N1 , N2 , N3 , N4 , N5 , N6 may be interconnected.
Dabei ist in
Dabei wird in einem erfindungsgemäßen Netzwerksystem zumindest eine zentrale Instanz ZI vorgesehen, deren Funktion nachfolgend eingehender erläutert werden wird.At least one central entity ZI is provided in a network system according to the invention, the function of which will be explained in more detail below.
Die Endpunkte sind untereinander über Zugangsknoten G1, G2, G3 mit Zugang zum Netzwerksystem versehen. Dabei können die einzelnen Endpunkte mit einem oder mehreren Zugangsknoten G1, G2, G3 Verbindung zum Netzwerksystem aufnehmen.The endpoints are provided with each other via access nodes G1 , G2 , G3 with access to the network system. The individual endpoints can record with one or more access nodes G1 , G2 , G3 connection to the network system.
Beispielsweise kann in
Von besonderer Bedeutung ist, dass das Netzwerksystem einen gleichzeitigen Zugang zum Netzwerksystem über mehrere Zugangsknoten erlaubt. Dies hat einige Vorteile zur Folge, die ebenfalls nachfolgend näher erläutert werden. Of particular importance is that the network system allows simultaneous access to the network system via multiple access nodes. This has some advantages, which are also explained in more detail below.
Innerhalb des Netzwerksystems übernimmt die zentrale Instanz ZI im Allgemeinen das Routing von Daten irgendeinem der Endpunkte (Quellen-Endpunkt) an irgendeinen anderen Zielpunkt (Senken-Endpunkt). Beispielsweise kann von einem ersten Endpunkt N6 eine Nachricht an den zweiten Endpunkt N2 so vorgenommen werden, dass die Daten über die Zugangsknoten G1 als auch G3 entgegengenommen wird und an die zentrale Instanz ZI weitergereicht wird. Die zentrale Instanz erkennt das Ziel der Daten und leitet diese über den Zugangsknoten G2 an den zweiten Endpunkt N2 weiter. Dabei kommt es auf die weitere Gestaltung des Netzwerkes, welches als Wolke Cl dargestellt ist, für das weitere Verständnis der Erfindung nicht an.Within the network system, the central entity ZI generally handles the routing of data from any of the endpoints (source endpoint) to any other destination (sink endpoint). For example, from a first endpoint N6, a message to the second endpoint N2 can be made such that the data is received via the access nodes G1 and G3 and forwarded to the central entity ZI. The central entity recognizes the destination of the data and forwards it via the access node G2 to the second endpoint N2 . It depends on the further design of the network, which is shown as a cloud Cl, for the further understanding of the invention not.
Dabei werden Daten des ersten Endpunktes N6, welche sowohl vom einem ersten Zugangsknoten G1 als auch einem zweiten Zugangsknoten G3 an die zentrale Instanz ZI weitergeleitet wurden, von der zentralen Instanz ZI als Doublette erkannt werden. Wird eine Dublette erkannt, so wird die entsprechenden Daten nur einmal an den zweiten Endpunkt N2 versandt werden. Eine Dubletten Erkennung kann auf verschiedenste Weise vorgenommen werden, wobei es z.B. möglich ist eindeutige Bezeichner für einen bestimmten Zeitraum zu speichern oder aber einen Hash als Bezeichner zu generieren und für eine Zeit zu speichern oder aber die Daten selbst für eine gewisse Zeit zu speichern. Dabei können gewisse Lebensdauern vorgegeben sein, sodass Daten, die älter als ein bestimmter Zeitraum sind, als veraltet verworfen werden.In this case, data of the first end point N6 , which have been forwarded both from a first access node G1 and a second access node G3 to the central entity ZI, are recognized by the central entity ZI as a doublet. If a duplicate is detected, the corresponding data will only be sent once to the second endpoint N2 . Duplicate recognition can be carried out in a variety of ways, it being possible, for example, to store unique identifiers for a specific period of time or to generate a hash as an identifier and to save it for a time or to store the data itself for a certain period of time. Certain lifetimes may be predetermined, so that data older than a certain period of time may be discarded.
D.h. mit der vorgestellten Netzwerkarchitektur wird es ermöglicht eine Nachricht über mehrere Wege an die zentrale Instanz ZI zu leiten, ohne dass dieses zu einem Konflikt führt. Hiermit wird die Sicherheit, dass eine Nachricht an die zentrale Instanz ZI gelangt, deutlich erhöht. Dies ist insbesondere bei sogenannter verbindungsloser Übermittlung von Vorteil.That With the presented network architecture, it is possible to forward a message to the central entity ZI via several paths, without this leading to a conflict. This significantly increases the security that a message reaches the central instance ZI. This is particularly advantageous in so-called connectionless transmission.
Dabei macht sich die Erfindung zu Eigen, dass die zentrale Instanz ZI mit allen Zugangsknoten in Verbindung steht. Insofern kann die zentrale Instanz ZI Funktion klassischer lokaler Netzwerkprotokolle übernehmen als auch zusätzliche Funktionalitäten bereitstellen, die ansonsten in lokalen Netzen nicht zur Verfügung stehen würden. Insofern können die Endpunkte N1 und N6 und der Zugangspunkt G1 als ein erstes lokales Netz aufgefasst werden, während die Endpunkte N6, N5, N4 und N3 und der Zugangspunkt G3 als ein zweites lokales Netz und die Endpunkte N2 und N3 und der Zugangspunkt G2 als ein drittes lokales Netz aufgefasst werden können. D.h. während bisher die lokalen Netze nur eine Kommunikation innerhalb des eigenen Netzes erlaubten, ist es nun möglich die lokalen Netze über die zentrale Instanz miteinander zu verbinden.In this case, the invention adopts that the central entity ZI is connected to all access nodes. In this respect, the central instance ZI can perform functions of classical local network protocols as well as provide additional functionalities that would otherwise not be available in local networks. Thus, the endpoints N1 and N6 and the access point G1 can be considered as a first local area network, while the endpoints N6 , N5 , N4 and N3 and the access point G3 as a second local area network and the endpoints N2 and N3 and the access point G2 can be considered as a third local area network. This means that while previously the local networks only permitted communication within their own network, it is now possible to connect the local networks via the central instance.
D.h. die Erfindung beschreibt auch ein lokales Kommunikationsprotokoll, welches eine universelle, zentrale Kommunikationsanbindung über eine (oder mehrere) zentrale Instanz(en) aufweist. Durch das Vorhandensein der zentralen Instanz(en) entfallen einige Aufgeben klassischer lokale Kommunikationsprotokolle; andere Funktionen können zusätzlich oder erstmals effektiv realisiert werden.That The invention also describes a local communication protocol which has a universal, central communication connection via one (or more) central entity (s). The presence of the central entity (s) removes some of the abandonment of traditional local communication protocols; other functions can be realized additionally or for the first time effectively.
Das im Rahmen dieser Erfindung beschriebene Kommunikationsprotokoll bzw. Netzwerksystem basiert auf der Idee, dass die Zugangsknoten im Netzwerk die Verbindung zu einer zentralen Instanz besitzen. Jeder Zugangspunkt besitzt diese Verbindung, und als Konsequenz daraus weiß jeder Zugangspunkt implizit, dass jeder Endpunkt über das Netzwerk (vermittelt durch die zentrale Instanz) erreichbar ist, sofern der Endpunkt über mindestens einen Zugangspunkt erreichbar ist.The communication protocol or network system described in the context of this invention is based on the idea that the access nodes in the network have the connection to a central instance. Each access point has this connection, and as a consequence, each access point implicitly knows that each endpoint is reachable over the network (mediated by the central instance), as long as the endpoint is reachable via at least one access point.
Damit ist nun eine feste Zuordnung eines Endpunktes zu einem zuständigen Zugangspunkt, wie sie aus dem Stand der Technik bekannt ist, nicht mehr notwendig. Da prinzipiell jeder Zugangspunkt geeignet ist, um die Kommunikation zu einem beliebigen anderen Endpunkt herzustellen, ist es aus Sicht eines Endpunktes nur notwendig, „irgendeinen“ Zugangspunkt aufzufinden. Somit entfallen aufwändige Algorithmen zur Erkennung eines „zuständigen“ oder falls mehrere Zugangspunkte zuständig sein könnten, eines am besten erreichbaren oder sonst wie geeignetsten (beste QoS, etc.) Zugangsknotens.Thus, a fixed assignment of an end point to a competent access point, as is known from the prior art, no longer necessary. Since, in principle, each access point is suitable for communicating to any other endpoint, from an end point of view, it is only necessary to find "any" access point. Thus, elaborate algorithms for detecting a "competent" or if multiple access points could be responsible, a best accessible or otherwise most suitable (best QoS, etc.) access node omitted.
Da das Netzwerksystem äußerst robust und einfach ist, kann die Komplexität des Netzwerk-Protokolls, insbesondere in den Endpunkten aber auch in den Zugangsknoten, dramatisch reduziert. Da die Endpunkte in deutlich höherer Zahl vorhanden sind als Zugangspunkte bzw. als zentrale Instanzen macht sich dieser Vorteil stark bemerkbar. Insbesondere bei drahtlosen Endpunkten ist eine reduzierte Komplexität von Vorteil, da hierdurch weniger Energie für die Kommunikation verwendet werden muss und somit beispielsweise im Fall von batteriebetriebenen Komponenten die Lebensdauer verlängert werden kann.Since the network system is extremely robust and simple, the complexity of the network protocol, especially in the endpoints as well as in the access nodes, can be dramatically reduced. Since the endpoints are present in a much higher number than access points or as central instances, this advantage is very noticeable. Reduced complexity is particularly advantageous in the case of wireless end points, since in this way less energy has to be used for the communication and thus, for example, in the case of battery-operated components, the service life can be extended.
Dabei kann das Netzwerksystem und das entsprechende Netzwerkprotokoll so einfach gestaltet sein, dass ein Endgerät lediglich in irgendeiner Form Kontakt mit irgendeinem Endpunkt aufnehmen muss und keiner weiteren Anmeldung Bedarf. D.h. Anmeldeprozeduren, wie sie z.B. bei Bluetooth oder ähnlichen Protokollen benötigt werden, sind in der Erfindung allenfalls optional.In this case, the network system and the corresponding network protocol can be so simple that a terminal only has to make contact with some endpoint in some form and does not require further log-on. Ie login procedures, such as Bluetooth or similar protocols are required are optional in the invention at best.
Auch in den Zugangspunkten sinkt die Komplexität, da diese im Prinzip neben der Verbindung zur zentralen Instanz nur noch alle mit dem jeweiligen Zugangspunkt verbundenen Endpunkte verwalten muss. Dabei sind sowohl „direkt“ verbundene Endpunkte als auch weitere Endpunkte, die z.B. über einen Repeater eines Zugangspunktes, „indirekt“ verbunden sind, umfasst.Complexity is also reduced in the access points, since in addition to the connection to the central instance, this only has to manage all endpoints connected to the respective access point. Both "directly" connected endpoints and other endpoints, e.g. via a repeater of an access point, "indirectly" connected.
Da das Netzwerksystem zur Dubletten-Erkennung eingerichtet ist und den Zugang über eine Vielzahl von Zugangspunkten erlaubt, kann mit dem Einfügen weiterer Zugangspunkte die Robustheit / Ausfallsicherheit des Netzwerkssystems durch Redundanz verbessern. Dies ist insbesondere bei zeitkritischen und/oder systemkritischen Anwendungen ein entscheidender Vorteil. Somit können in geeigneter Ausformung sogar „Realtime“-Anforderungen erfüllbar sein.Since the network system is set up to detect duplicates and allows access via a large number of access points, adding additional access points can improve the robustness / reliability of the network system through redundancy. This is a decisive advantage, especially in time-critical and / or system-critical applications. Thus, in a suitable embodiment even "real-time" requirements can be fulfilled.
Doubletten-Versand ist bei Netzwerken aus dem Stand der Technik hingegen im Allgemeinen nicht möglich sondern im Gegenteil häufig auch kontraproduktiv, da nunmehr die Information zweimal vorhanden ist, wodurch die Netzwerkkapazität zumindest bis hin zur zentralen Instanz sinkt und wird deswegen in aller Regel so früh wie möglich (aktiv) verhindert.Duplicate mailing is generally not possible with state-of-the-art networks, but on the contrary often counterproductive, since now the information is present twice, reducing the network capacity at least down to the central instance and is therefore usually as early as possible (active) prevented.
In einem weiteren Aspekt der Erfindung wird es ermöglicht auch Repeater einzusetzen. Diese Repeater können relativ einfach aufgebaut sein, insofern, dass sie lediglich die empfangenen Signale wiederholen. D.h. ein Repeater leitet die Signale aller mit ihm kommunizierenden Endpunkte als auch aller mit ihm kommunizierenden Zugangsknoten jeweils wechselseitig weiter. Wegen dieser einfachen Ausgestaltung bedarf es auch keiner weiteren Logik, sodass diese Repeater kostengünstig bereitgestellt werden können.In a further aspect of the invention, it is also possible to use repeaters. These repeaters may be relatively simple in that they merely repeat the received signals. That a repeater forwards the signals of all end points communicating with it as well as all access nodes communicating with it alternately. Because of this simple design, there is no need for any further logic, so that these repeaters can be provided inexpensively.
Dabei erscheint der Repeater gegenüber den Endpunkten, die mit ihm verbunden sind, wie der vom Repeater erreichbare Zugangsknoten. D.h. der Endpunkt N4 sieht in dem Repeater R2 den Zugangsknoten G3 während der Endpunkt N3 in dem Repeaer R1 zusätzlich auch noch den Zugangsknoten G2 sieht.The repeater appears opposite the endpoints that are connected to it, such as the access node accessible by the repeater. That is, the end point N4 sees in the repeater R2 the access node G3 while the end point N3 in the repeater R1 additionally also sees the access node G2 .
In einer weiteren Ausführungsform sind die Repeater jeweils genau einem Zugangsknoten zugeordnet. Ein solcher Fall kann z.B. in der
Auch hier erscheint der Repeater gegenüber den Endpunkten, die mit ihm verbunden sind, wie der vom Repeater erreichbare Zugangsknoten. D.h. der Endpunkt N4 sieht in dem Repeater R2 den Zugangsknoten G3 während der Endpunkt N3 in dem Repeater R1 zusätzlich auch noch den Zugangsknoten G2 sieht.Again, the repeater appears opposite the endpoints associated with it, such as the access node accessible by the repeater. That is, the end point N4 sees in the repeater R2 the access node G3 while the end point N3 in the repeater R1 additionally also sees the access node G2 .
Offensichtlich können auch mehrere Repeater eine Kette in Bezug auf einen oder mehrere Zugangsknoten bilden.Obviously, multiple repeaters may also form a chain with respect to one or more access nodes.
Eine eindeutige Zuordnung kann jedoch dann von Vorteil sein, wenn die Endpunkte eine Zugangsknotens und eines mit ihm verbundenen (zugeordneten) Repeaters ein lokales Routing zulassen. D.h. der Endpunkt N6 könnte über den zugangsknoten G3 und den Repeater R2 direkt, d.h. ohne Routing über die zentrale Instanz ZI, mit dem Endpunkt N4 Daten austauschen.However, an unambiguous assignment can be advantageous if the end points allow local access to an access node and to a (associated) repeater connected to it. This means that the end point N6 could exchange data directly with the end point N4 via the access node G3 and the repeater R2 , ie without routing via the central entity ZI.
Besonders vorteilhaft kann die Erfindung bei packet-orientierte Daten eingesetzt werden. Diese weisen in aller Regel einen Bezeichner auf, mit dessen Hilfe Doubletten erkannt werden können. Der Bezeichner muss dabei nicht notwendigerweise global eindeutig sein. Auch kann sich die Eindeutigkeit auch an Hand anderer Merkmale wie Quellen- und Zieladresse, Zeitstempel, Sequenznummer oder dergleichen ergeben.The invention can be used particularly advantageously with packet-oriented data. These usually have an identifier, with the help of doublets can be detected. The identifier does not necessarily have to be globally unique. Also, the uniqueness may also result from other features such as source and destination address, timestamp, sequence number or the like.
Besonders vorteilhaft kann die Erfindung eingesetzt werden, wenn die Übertragung von den Endpunkten N1, N2, N3, N4, N5, N6 an die Zugangsknoten G1, G2, G3 und umgekehrt zustandslos erfolgt. In diesem Fall kann durch die mögliche Redundanz die Sicherheit der Übertragung erhöht werden.The invention can be used particularly advantageously if the transmission from the end points N1 , N2 , N3 , N4 , N5 , N6 to the access nodes G1 , G2 , G3 and vice versa is stateless. In this case, the possible redundancy can increase the security of the transmission.
In einer Ausführungsform kann zudem vorgesehen sein, dass die zentrale Instanz Daten, die sie von einem Endpunkt über einen oder mehrere Zugangspunkt empfängt nun ebenfalls über mehr als einen Zugangsknoten an den Ziel-Endpunkt verteilt. Beispielsweise kann der Endpunkt N6 Daten an den Endpunkt N3 über den Zugangsknoten G1 oder G3 an die zentrale Instanz ZI leiten. Die zentrale Instanz ZI kann nun die Doublette erkennen und nachfolgende identische Daten verwerfen. Aus der Kenntnis, dass ein bestimmter Endpunkt über mehr als einen Zugangsknoten erreichbar ist, kann nun die zentrale Instanz auf Basis unterschiedlichster Parameter entscheiden, ob die Daten nur über einen oder eben über mehrere oder sogar alle Zugangspunkte an den Endpunkt weitergeleitet werden soll. Diese Entscheidung kann z.B. von der Priorität von Daten, dem Alter der Daten, Latenzzeiten, Übertragungsqualität, Service Level Agreements, etc. abhängen. D.h. im Beispiel der
Nunmehr sollte auch der Ziel-Endpunkt dazu in der Lage sein Daten des Quellen-Endpunktes, welche sowohl vom einem ersten Zugangsknoten als auch einem zweiten Zugangsknoten weitergeleitet wurden, als Doublette zu erkennen. Hier können dieselben Mechanismen wie zuvor in Bezug auf die zentrale Instanz ZI erläutert verwendet werden.Now, the destination endpoint should also be able to recognize data from the source endpoint, which has been forwarded by both a first access node and a second access node, as a doublet. Here, the same mechanisms as previously explained with respect to the central instance ZI can be used.
Wie bereits angedeutet, kann es zudem vorteilhaft sein ein lokales Routing zuzulassen. Beispielsweise könnte der Endpunkt N6 dann über den Zugangsknoten G3 und den Repeater R2 Daten an den Endpunkt N4 senden. Hierdurch könnte die Netzwerklast innerhalb des Netzwerkes als auch in der zentralen Instanz ZI vermindert werden. Zudem wäre es innerhalb des hiermit gebildeten lokalen Netzes nicht notwendig eine Doubletten-Erkennung durchzuführen.As already indicated, it may also be advantageous to allow local routing. For example, the endpoint N6 could then send data to the endpoint N4 via the access node G3 and the repeater R2 . This could reduce the network load within the network as well as in the central instance ZI. In addition, it would not be necessary to perform a doublet recognition within the local network formed herewith.
Weiterhin kann vorgesehen sein, dass die jeweiligen Zugangsknoten und/oder Repeater Daten an die zentrale Instanz übermitteln, die eine Lokalisierung der Zugangsknoten ermöglichen. Beispielsweise können hier Latenzdaten, Zeitstempel, Bit-Error-Raten, Anzahl der Hops bzw. bei drahtlosen Verbindungen auch Empfangsfeldstärke, Signalqualität bzw. Kombinationen hiervon herangezogen werden, wobei die List nicht abschließend ist.Furthermore, it can be provided that the respective access nodes and / or repeaters transmit data to the central entity, which make it possible to localize the access nodes. For example, latency data, time stamps, bit error rates, number of hops or, in the case of wireless connections, reception field strength, signal quality or combinations thereof can be used, the list not being conclusive.
Die Lokalisierung kann dabei für unterschiedlichste Zwecke verwendet werden. Zum einen erlaubt sie es z.B. mobile Endpunkte zu lokalisieren, was z.B. bei Machine-to-Machine-Kommunikation interessant ist, oder sie ermöglicht die Lokalisierung von Personen oder die Ableitung von Personendichten, die Erzeugung von Positions- bezogenen Diensten, zum anderen kann sie aber auch für das Routing eingesetzt werden.The localization can be used for a wide variety of purposes. First, it allows it e.g. to locate mobile endpoints, e.g. In the case of machine-to-machine communication it is of interest, or it can be used to localize people or to derive personal densities, the generation of position-related services, but it can also be used for routing.
Dabei kann die Qualität von Lokalisierungsdaten verbessert werden, indem die Anzahl und damit Dichte der Zugangsknoten und Repeater (sofern vorgesehen) erhöht wird. Da im Unterschied zu herkömmlichen Netzen nicht unmittelbar die Routing-Logik innerhalb des Netzes beeinflusst wird ist dies ohne weiteres möglich.The quality of localization data can be improved by increasing the number and thus the density of the access nodes and repeaters (if provided). Since, in contrast to conventional networks, the routing logic within the network is not directly influenced, this is easily possible.
Die Erfindung kann dabei sowohl für drahtlose als auch drahtgebundene Netzwerke eingesetzt werden. Insbesondere ist auch neben einem originären Betrieb auch ein Overlay-Betrieb über bestehende Netzwerke und Netzwerkprotokolle möglich.The invention can be used for both wireless and wired networks. In particular, in addition to an original operation, an overlay operation over existing networks and network protocols is possible.
Ohne weiteres kann die zentrale Instanz ZI und das Netzwerk Cl wie in
Soweit vorstehend ein „gleichzeitiger“ Zugang beschrieben ist, ist hieraus nicht zu schließen, dass auch tatsächlich ein Zugang zu exakt gleicher Zeit gemeint ist.As far as a "simultaneous" access has been described above, it can not be concluded from this that actually access to exactly the same time is meant.
Vielmehr ist der Begriff dahingehend zu verstehen, dass es Prinzip-bedingt erlaubt ist über mehrere Zugänge auf das Netzwerk zugreifen zu können. Dies kann sowohl zur gleichen Zeit als auch zeitlich aufeinanderfolgend ausgestaltet sein.Rather, the term is to be understood as meaning that it is allowed by principle to be able to access the network via several accesses. This can be configured both at the same time and in chronological succession.
Weiterhin, obwohl vorstehend in aller Regel eine Kommunikation hin zu einem Endpunkt am Rande des Netzes über einen weiteren Zugangsknoten vorgestellt wurde, ist es in gleicher Weise möglich mit Endpunkten innerhalb des Netzwerkes, d.h. innerhalb der Wolke Cl, Daten auszutauschen.Furthermore, although communication to an endpoint on the edge of the network has generally been presented above another access node, it is equally possible with endpoints within the network, i. within the cloud Cl, to exchange data.
BezugszeichenlisteLIST OF REFERENCE NUMBERS
| Application Number | Priority Date | Filing Date | Title |
|---|---|---|---|
| DE102014212037.3ADE102014212037A1 (en) | 2014-06-24 | 2014-06-24 | Network system |
| DE112015002970.2TDE112015002970A5 (en) | 2014-06-24 | 2015-06-24 | Network system |
| PCT/EP2015/064181WO2015197658A1 (en) | 2014-06-24 | 2015-06-24 | Network system |
| Application Number | Priority Date | Filing Date | Title |
|---|---|---|---|
| DE102014212037.3ADE102014212037A1 (en) | 2014-06-24 | 2014-06-24 | Network system |
| Publication Number | Publication Date |
|---|---|
| DE102014212037A1true DE102014212037A1 (en) | 2015-12-24 |
| Application Number | Title | Priority Date | Filing Date |
|---|---|---|---|
| DE102014212037.3AWithdrawnDE102014212037A1 (en) | 2014-06-24 | 2014-06-24 | Network system |
| DE112015002970.2TWithdrawnDE112015002970A5 (en) | 2014-06-24 | 2015-06-24 | Network system |
| Application Number | Title | Priority Date | Filing Date |
|---|---|---|---|
| DE112015002970.2TWithdrawnDE112015002970A5 (en) | 2014-06-24 | 2015-06-24 | Network system |
| Country | Link |
|---|---|
| DE (2) | DE102014212037A1 (en) |
| WO (1) | WO2015197658A1 (en) |
| Publication number | Priority date | Publication date | Assignee | Title |
|---|---|---|---|---|
| DE102014212038A1 (en) | 2014-06-24 | 2015-12-24 | Qsc Ag | Network system with end-to-end encryption |
| Publication number | Priority date | Publication date | Assignee | Title |
|---|---|---|---|---|
| US6751746B1 (en)* | 2000-07-31 | 2004-06-15 | Cisco Technology, Inc. | Method and apparatus for uninterrupted packet transfer using replication over disjoint paths |
| EP1608116A1 (en)* | 2004-06-18 | 2005-12-21 | Agere Systems, Inc. | Method and apparatus for per-service fault protection and restoration in a packet network |
| EP2568673A1 (en)* | 2011-08-30 | 2013-03-13 | ABB Technology AG | Parallel Redundancy Protocol, PRP, packet duplication over VLANs based on Spanning Tree instances. |
| Publication number | Priority date | Publication date | Assignee | Title |
|---|---|---|---|---|
| US7342890B1 (en)* | 2002-12-20 | 2008-03-11 | Juniper Networks, Inc. | Data duplication for transmission over computer networks |
| HUE035913T2 (en)* | 2011-05-10 | 2018-05-28 | Airbus Defence & Space Oy | An intermediate network node in a telecommunications system |
| Publication number | Priority date | Publication date | Assignee | Title |
|---|---|---|---|---|
| US6751746B1 (en)* | 2000-07-31 | 2004-06-15 | Cisco Technology, Inc. | Method and apparatus for uninterrupted packet transfer using replication over disjoint paths |
| EP1608116A1 (en)* | 2004-06-18 | 2005-12-21 | Agere Systems, Inc. | Method and apparatus for per-service fault protection and restoration in a packet network |
| EP2568673A1 (en)* | 2011-08-30 | 2013-03-13 | ABB Technology AG | Parallel Redundancy Protocol, PRP, packet duplication over VLANs based on Spanning Tree instances. |
| Publication number | Priority date | Publication date | Assignee | Title |
|---|---|---|---|---|
| DE102014212038A1 (en) | 2014-06-24 | 2015-12-24 | Qsc Ag | Network system with end-to-end encryption |
| Publication number | Publication date |
|---|---|
| DE112015002970A5 (en) | 2017-04-20 |
| WO2015197658A1 (en) | 2015-12-30 |
| Publication | Publication Date | Title |
|---|---|---|
| DE102013209118B4 (en) | Maintaining and changing network congestion notifications while transferring network data between a physical network and a virtual network | |
| EP2413538B1 (en) | Prevention of transmission loops in a redundant ring network | |
| DE102015102871A1 (en) | Distributed routing table lookup technologies | |
| EP3577871A1 (en) | Method and device for the modular orientation of an avb stream | |
| DE102014219472A1 (en) | Method for transmitting data, network nodes and network | |
| WO2015031926A1 (en) | Method for transmitting messages in a computer network and computer network | |
| EP3172869B1 (en) | Method for reproducing delays in networks and corresponding gateway | |
| DE102014212037A1 (en) | Network system | |
| EP3525476B1 (en) | Method to determine the topology of a mobile communication site and corresponding mobile communication site | |
| DE112017003386B4 (en) | Communication system and communication method | |
| EP2564576B1 (en) | Method for establishing a communication for at least one device | |
| DE102019114307A1 (en) | Automation network, network distributor and method for data transmission | |
| DE10339280B4 (en) | Selection procedure for message paths in communication systems | |
| DE102007043707B4 (en) | communication system | |
| EP2933985B1 (en) | Use of multicast DNS | |
| DE102011088812A1 (en) | Method for transmitting user data | |
| EP2263399B1 (en) | Method and communication system for determining the quality of at least one ip connection between a mobile device and a server connected to a public ip based communication network | |
| EP2159959B1 (en) | Method for calculating a topology, network components and central unit | |
| DE102008017192A1 (en) | Network i.e. computer network, configuring method, involves switching port in set of ports, sending test messages over port, switching port in set of ports and forwarding messages received over port in set of ports | |
| EP3716550A1 (en) | Method for communicating data, in an industrial network, control, network, computer program and computer-readable medium | |
| DE10343796B4 (en) | Procedure for managing a group of network access servers | |
| WO2019145297A1 (en) | Method for data communication in an ethernet-based, in particular industrial, network, device for carrying out the method, computer program and computer-readable medium | |
| DE102010042601A1 (en) | network | |
| EP2649751B1 (en) | Method and system for monitoring a communication system | |
| WO2017063996A1 (en) | Method for generating a secret in a network comprising at least two transmission channels |
| Date | Code | Title | Description |
|---|---|---|---|
| R163 | Identified publications notified | ||
| R118 | Application deemed withdrawn due to claim for domestic priority |