Movatterモバイル変換


[0]ホーム

URL:


DE102009019767A1 - Device and method for fall detection - Google Patents

Device and method for fall detection
Download PDF

Info

Publication number
DE102009019767A1
DE102009019767A1DE102009019767ADE102009019767ADE102009019767A1DE 102009019767 A1DE102009019767 A1DE 102009019767A1DE 102009019767 ADE102009019767 ADE 102009019767ADE 102009019767 ADE102009019767 ADE 102009019767ADE 102009019767 A1DE102009019767 A1DE 102009019767A1
Authority
DE
Germany
Prior art keywords
acceleration
fall
fall detection
solid angle
successive
Prior art date
Legal status (The legal status is an assumption and is not a legal conclusion. Google has not performed a legal analysis and makes no representation as to the accuracy of the status listed.)
Granted
Application number
DE102009019767A
Other languages
German (de)
Other versions
DE102009019767B4 (en
Inventor
Ralf Prof. Dr. Salomon
Marian Dipl.-Ing. Lüder
Gerald Dipl.-Ing. Bieber
Current Assignee (The listed assignees may be inaccurate. Google has not performed a legal analysis and makes no representation or warranty as to the accuracy of the list.)
Universitaet Rostock De
Original Assignee
Universitaet Rostock
Fraunhofer Gesellschaft zur Foerderung der Angewandten Forschung eV
Priority date (The priority date is an assumption and is not a legal conclusion. Google has not performed a legal analysis and makes no representation as to the accuracy of the date listed.)
Filing date
Publication date
Application filed by Universitaet Rostock, Fraunhofer Gesellschaft zur Foerderung der Angewandten Forschung eVfiledCriticalUniversitaet Rostock
Priority to DE102009019767.2ApriorityCriticalpatent/DE102009019767B4/en
Priority to PCT/EP2010/055706prioritypatent/WO2010125096A1/en
Publication of DE102009019767A1publicationCriticalpatent/DE102009019767A1/en
Application grantedgrantedCritical
Publication of DE102009019767B4publicationCriticalpatent/DE102009019767B4/en
Expired - Fee Relatedlegal-statusCriticalCurrent
Anticipated expirationlegal-statusCritical

Links

Classifications

Landscapes

Abstract

Translated fromGerman

Die vorliegende Erfindung betrifft eine Vorrichtung und Verfahren zur Sturzerkennung. Es ist Aufgabe der vorliegenden Erfindung, eine Vorrichtung zur Sturzerkennung anzugeben, die eine sichere Sturzerkennung zu einem möglichst frühen Zeitpunkt gewährleistet, wobei die erfindungsgemäße Vorrichtung möglichst kostengünstig ausgebildet sein soll und wobei weiterhin auf die Kenntnis der Richtung der Erdbeschleunigung verzichtet werden kann. Die erfindungsgemäße Vorrichtung zur Sturzerkennung weist einen dreidimensionalen Beschleunigungssensor auf, der ausgebildet ist, Beschleunigungsvektoren $I1 mit drei Beschleunigungskomponenten $I2 jeweils unterschiedlicher Raumrichtungen (x, y, z) zu unterschiedlichen Zeitpunkten (t-1, t) zu messen, wobei eine Auswerteeinheit, die ausgebildet ist, aus den Beschleunigungskomponenten $I3 unterschiedlicher Zeitpunkte (t-1, t) einen Raumwinkel (φ) zwischen zwei Beschleunigungsvektoren $I4 aufeinanderfolgender Zeitpunkte (t-1, t) zu bestimmen, wobei der Betrag des bestimmten Raumwinkels (φ) zur Sturzerkennung mit einem Grenzwert verglichen wird.The present invention relates to an apparatus and method for fall detection. It is an object of the present invention to provide a device for fall detection, which ensures safe fall detection at the earliest possible time, wherein the device according to the invention should be designed as inexpensively as possible and continue to dispense with the knowledge of the direction of gravity. The fall detection device according to the invention has a three-dimensional acceleration sensor which is designed to measure acceleration vectors $ I1 with three acceleration components $ I2 of different spatial directions (x, y, z) at different times (t-1, t), whereby an evaluation unit, which is designed to determine from the acceleration components $ I3 of different times (t-1, t) a solid angle (φ) between two acceleration vectors $ I4 of successive times (t-1, t), the magnitude of the determined solid angle (φ) being Fall detection is compared with a threshold.

Description

Translated fromGerman

Dievorliegende Erfindung betrifft eine Vorrichtung und ein Verfahrenmit den in den Patentansprüchen 1 und 16 genannten Merkmalen.TheThe present invention relates to an apparatus and a methodwith the features mentioned in claims 1 and 16.

Vorrichtungenund Verfahren zur Sturzerkennung werden verwendet, um Stürzevon Personen möglichst frühzeitig zu registrieren,um im Falle eines Sturzes rechtzeitig geeignete Maßnahmentreffen zu können. Solche geeigneten Maßnahmenkönnen beispielsweise im Aussenden eines Notrufs bestehen,wodurch für die gestürzte Person eine möglichstzeitnahe ärztliche Versorgung gewährleistet werdenkann. Sturzerkennungssysteme finden insbesondere bei älterenMenschen Anwendung, da diese sich nach einem Sturz häufignicht aus eigener Kraft aufhelfen bzw. einen Arzt rufen können.devicesand fall detection methods are used to prevent fallsto register people as early as possible,in case of a fall in time appropriate measuresto meet. Such appropriate measurescan be, for example, sending an emergency call,whereby for the fallen person one possibletimely medical carecan. Fall detection systems are found especially in older onesPeople use this as they often fall after a fallcan not help themselves or call a doctor.

EinDetektor zur Sturzerkennung ist beispielsweise ausDE 60 2004 006 803 T2 bekannt.Dort wird ein geeigneter Sensor auf die Haut einer Trägerpersonaufgeklebt, wodurch die drei Raumachsen des Sensors definiert zuden Körperachsen des Trägers ausgerichtet werden.Der Sensor weist sowohl einen dreidimensionalen Beschleunigungssensorals auch einen dreidimensionalen Sensor zur Messung des Erdmagnetfeldes auf.Ein Sturz der Trägerperson wird dann angenommen, wenn eineschnelle Rotationsbeschleunigung in Bezug auf das Erdschwerefeldgemessen wird. Die inDE60 2004 006 803 T2 offenbarte Lehre setzt zur Sturzerkennungnachteilhafterweise die Kenntnis der Richtung der Erdbeschleunigungbezüglich des Sensorsystems/der Trägerperson voraus.Ein weiterer Nachteil besteht darin, dass der Sturz gegebenenfallszu einem relativ späten Zeitpunkt erkannt wird.For example, a fall detection detector is off DE 60 2004 006 803 T2 known. There, a suitable sensor is adhered to the skin of a wearer, whereby the three spatial axes of the sensor are defined aligned to the body axes of the wearer. The sensor has both a three-dimensional acceleration sensor and a three-dimensional sensor for measuring the earth's magnetic field. A fall of the wearer is assumed when a fast rotational acceleration with respect to the earth's gravity field is measured. In the DE 60 2004 006 803 T2 disclosed teaching presupposes the fall detection disadvantageously the knowledge of the direction of gravitational acceleration with respect to the sensor system / the carrier person. Another disadvantage is that the lintel may be detected at a relatively late time.

Esist daher Aufgabe der vorliegenden Erfindung, eine Vorrichtung undein Verfahren zur Sturzerkennung anzugeben, das eine sichere Sturzerkennungzu einem möglichst frühen Zeitpunkt gewährleistet,wobei die erfindungsgemäße Vorrichtung möglichstkostengünstig ausgebildet sein soll und wobei weiterhinauf die Kenntnis der Richtung der Erdbeschleunigung im Bezug zumSensor verzichtet werden kann. Dadurch soll es erfindungsgemäß möglichsein, die Erkennung eines Sturzes einer Trägerperson sicherfestzustellen, wobei die vorzugsweise tragbare erfindungsgemäßeVorrichtung nicht notwendigerweise definiert zur Trägerperson ausgerichtetwerden muss.Itis therefore an object of the present invention, an apparatus andto provide a fall detection method that provides safe fall detectionguaranteed at the earliest opportunitythe device according to the invention as possibleshould be designed inexpensively and continue toon the knowledge of the direction of gravitational acceleration in relation toSensor can be omitted. This should make it possible according to the inventionbe, the detection of a fall of a wearer safedetermine the preferably portable inventiveDevice not necessarily defined to the wearermust become.

DieseAufgaben werden erfindungsgemäß durch die Merkmaleim kennzeichnenden Teil des Anspruchs 1 (Vorrichtungsanspruch) sowiedes Anspruchs 16 (Verfahrensanspruch) im Zusammenwirken mit denMerkmalen im Oberbegriff gelöst. ZweckmäßigeAusgestaltungen der Erfindung sind in den Unteransprüchenenthalten.TheseTasks are according to the invention by the featuresin the characterizing part of claim 1 (device claim) andof claim 16 (method claim) in cooperation with theCharacteristics solved in the preamble. expedientEmbodiments of the invention are in the subclaimscontain.

Einbesonderer Vorteil der Erfindung besteht darin, dass fürdas Erkennen eines Sturzes keinerlei Orientierung bzw. Abgleichmit einem körperbezogenen Koordinatensystem erforderlichist. Vielmehr wird ein Sturz erfindungsgemäß lediglichdurch die Korrelation zeitlich aufeinanderfolgender, normierterBeschleunigungsvektoren erkannt. Weiterhin vorteilhaft ist, dasssich mit diesem Ansatz der Sturz in einem besonders frühenStadium erkennen lässt. Vorzugsweise wird ein vorzugsweisetragbares System verwendet, das einen handelsüblichen 3D-Beschleunigungssensoraufweist. Der Beschleunigungssensor liefert einen Vektor B → = (bx, by, bz)T, wobei die einzelnen, linear unabhängigenKomponenten des Beschleunigungsvektors sowohl von der Bewegung alsauch der Lage des Systems relativ zur Trägerperson abhängen.A particular advantage of the invention is that no orientation or matching with a body-related coordinate system is required for detecting a fall. Rather, according to the invention, a fall is only detected by the correlation of temporally successive, normalized acceleration vectors. It is furthermore advantageous that the lintel can be recognized at a particularly early stage with this approach. Preferably, a preferably portable system is used which comprises a commercially available 3D acceleration sensor. The acceleration sensor provides a vector B → = (bx , by , bz )T , wherein the individual, linearly independent components of the acceleration vector depend both on the movement and the position of the system relative to the wearer.

Dieerfindungsgemäße Vorrichtung zur Sturzerkennungweist einen dreidimensionalen Beschleunigungssensor auf, der ausgebildetist, Beschleunigungsvektoren mit drei zueinander linear unabhängigenBeschleunigungskomponenten jeweils unterschiedlicher Raumrichtungenzu unterschiedlichen Zeitpunkten zu messen, wobei erfindungsgemäß eineAuswerteeinheit vorgesehen ist, die ausgebildet ist, aus den Beschleunigungskomponentenunterschiedlicher Zeitpunkte ein Maß der räumlichenOrientierungsänderung (vorzugsweise einen Raumwinkel) zwischen zweiBeschleunigungsvektoren direkt aufeinanderfolgender Messzeitpunktezu bestimmen, wobei der Betrag des Maßes der Orientierungsänderung(vorzugsweise des bestimmten Raumwinkels) zur Sturzerkennung miteinem Grenzwert verglichen wird.TheInventive device for fall detectionhas a three-dimensional acceleration sensor, which is formedis, acceleration vectors with three mutually linearly independentAcceleration components of different spatial directionsto measure at different times, according to the invention aEvaluation unit is provided, which is formed from the acceleration componentsdifferent times a measure of spatialOrientation change (preferably a solid angle) between twoAcceleration vectors of directly successive measurement timesto determine, with the amount of the measure of orientation change(preferably the specific solid angle) for fall detection witha threshold is compared.

Vorzugsweiseerfolgt die Bestimmung des Maßes der Orientierungsänderung(des Raumwinkels) ohne Bezug zum Erdschwerefeld bzw. weist die Vorrichtungkeine Mittel zur Bestimmung der Richtung der Erdbeschleunigung auf.Vorzugsweise werden fortlaufend Beschleunigungsvektoren gemessen,wobei der zeitliche Abstand aufeinanderfolgender Messzeitpunktegeringer als 0.05 s, noch bevorzugter 0.01 s ist. Vorzugsweise wirdein Sturz angenommen, wenn der Betrag des Gradmaßes desRaumwinkels zweier Beschleunigungsvektoren (aufeinanderfolgenderMesszeitpunkte) größer als 15 Grad pro 0.1 Sekunde,noch bevorzugter größer als 30 Grad pro 0.1 Sekundeist.Preferablythe determination of the degree of orientation change takes place(the solid angle) without reference to the earth's gravity field or has the deviceno means of determining the direction of gravitational acceleration.Preferably, acceleration vectors are continuously measured,wherein the time interval of successive measuring timesless than 0.05 s, more preferably 0.01 s. Preferablya fall is assumed if the amount of the degree of theSolid angle of two acceleration vectors (successiveMeasurement times) greater than 15 degrees per 0.1 second,more preferably, greater than 30 degrees per 0.1 secondis.

DerErfindung liegt die Beobachtung zugrunde, dass ein Sturz häufigdurch eine plötzliche äußere Kraft undsomit ein äußeres Moment eingeleitet wird. Eineinfaches kanonisches Beispiel ist das Hängenbleiben mitdem Fuß an einer Teppichkante. Dieses eingeleitete (Dreh-)Momentführt zu einer veränderten Orientierung des Beschleunigungsvektors B →,was vorzugsweise mittels des normierten Skalarprodukts wie folgt

Figure 00030001
bestimmt werden kann. InGleichung (1) bezeichnen B →t und B →t-1 zweizeitlich aufeinanderfolgende Beschleunigungsvektoren. Der Winkel φ repräsentiertdabei das Maß der Orientierungsänderung bzw. diezeitliche Änderung der Orientierung zweier Beschleunigungsvektorenunmittelbar aufeinanderfolgender Messzeitpunkte.The invention is based on the observation that a fall is often initiated by a sudden external force and thus an external moment. A simple canonical example is getting your foot caught on a carpet edge. This introduced (rotational) moment leads to an altered orientation of the acceleration vector B →, which is preferably by means of the normalized scalar product as follows
Figure 00030001
can be determined. In equation (1), B →t and B →t-1 denote two temporally successive acceleration vectors. The angle φ in this case represents the degree of the orientation change or the temporal change in the orientation of two acceleration vectors of directly successive measuring times.

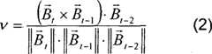
Ineiner weiteren bevorzugten Ausführungsvariante der Erfindungkann zur Sturzerkennung folgende Messgröße:

Figure 00040001
verwendet werden, wobei B →t, B →t-1 und B →t-2 in Gleichung (2) drei zeitlich direktaufeinanderfolgende Beschleunigungsvektoren bezeichnen und v dasSpatprodukt angibt und somit das Maß der Orientierungsänderungbzw. die zeitliche Änderung der Orientierung zweier Beschleunigungsvektorenunmittelbar aufeinanderfolgender Messzeitpunkte repräsentiert,wobei dieses Maß normalerweise nahe Null liegt und im Falleeines Sturzes signifikant ansteigt, d. h. v ist im Falle eines Sturzesvorzugsweise größer als 0.03, und noch bevorzugtergrößer als 0.05 pro 0.1 Sekunde.In a further preferred embodiment variant of the invention, the following measured variable can be used for fall detection:
Figure 00040001
where B →t , B →t-1 and B →t-2 in Equation (2) designate three temporally directly successive acceleration vectors and v indicates the spatiate product and thus the measure of the orientation change or the time change of the orientation of two acceleration vectors This measurement is normally close to zero and increases significantly in the event of a fall, ie v is preferably greater than 0.03 in the event of a fall, and more preferably greater than 0.05 per 0.1 second.

Ineiner weiteren bevorzugten Ausführungsvariante der Erfindungkann die Divergenz mindestens dreier Beschleunigungsvektoren unmittelbaraufeinanderfolgender Messzeitpunkte Maß für dieOrientierungsänderung verwendet und mit einem Grenzwertverglichen werden.Ina further preferred embodiment of the inventionthe divergence of at least three acceleration vectors can be immediatesuccessive measurement timesOrientation change used and with a limitbe compared.

Wiesich aus den oben genannten Ausführungen ergibt, kann dasMaß der räumlichen Orientierungsänderungdurch unterschiedliche mathematische Operationen von mindestenszwei Beschleunigungsvektoren direkt aufeinanderfolgender Messzeitpunkteerrechnet werden. Unter dem Begriff „Maß der räumlichenOrientierungsänderung” im Sinne der vorliegendenErfindung wird die zeitliche Änderungen der Raumrichtungder Beschleunigungsvektoren aufeinanderfolgender Messzeitpunktezueinander verstanden.Ascan be seen from the above statements, theMeasure of spatial orientation changethrough different mathematical operations of at leasttwo acceleration vectors of directly successive measurement timesbe calculated. Under the term "measure of spatialOrientation change "within the meaning of the presentInvention is the temporal changes of the spatial directionthe acceleration vectors of successive measurement timesunderstood each other.

Vorteilhafterweiselässt sich der Beschleunigungsvektor B → mit handelsüblichenBeschleunigungssensoren bestimmen. So können beispielsweisezur Bestimmung des Beschleunigungsvektors B → solche Beschleunigungssensorenverwendet werden, die in heute bereits handelsüblichenMobiltelefonen integriert sind. Damit ist es erfindungsgemäß möglich,die Funktionalität der erfindungsgemäßen Sturzerkennungin besonders preiswerter Weise in ein ohnehin einen Beschleunigungssensoraufweisendes Mobiltelefon zu integrieren.advantageously,can be the acceleration vector B → with commercially availableDetermine acceleration sensors. So, for examplefor determining the acceleration vector B → such acceleration sensorsused in today already commercially availableMobile phones are integrated. This makes it possible according to the inventionthe functionality of the fall detection according to the inventionin a particularly inexpensive way in anyway an acceleration sensorintegrated mobile phone.

Einweiterer Vorteil der Erfindung besteht darin, dass keine weiterenMittel zur Bestimmung physikalischer Referenzgrößenbenötigt werden und die mathematischen Berechnungen zurBestimmung des Winkels (bzw. der Korrelation der zeitlich aufeinanderfolgendenBeschleunigungsvektoren) relativ einfach sind. So reicht die Rechenleistungherkömmlicher Mobiltelefone für solche Berechnungenproblemlos aus, so dass gleichzeitig ein Notruf im Falle eines Sturzesintegriert werden kann. Aufgrund des geringen Aufwandes an Gerätekomponentenkann eine erfindungsgemäße Sturzerkennungsvorrichtungohne störende Eigenschaften von Personen mitgeführtwerden. Insbesondere vorteilhaft ist es, dass ein bestimmtes Ausrichtenvon Trägerperson zur Sturzerkennungsvorrichtung nicht notwendigsind. Weiterhin ist es bevorzugt, dass derjenige Grenzwert, ab welchemein Sturz angenommen wird, an die normalen Aktivitätenbzw. den Gesundheitszustand der Trägerperson angepasstwird. Neben den bereits genannten Anwendungsmöglichkeitenist es weiterhin möglich, die erfindungsgemäßeVorrichtung bzw. das erfindungsgemäße Verfahren,welches ohne Ausrichtung zu einem externen Bezugssystem auskommt,beispielweise für die Lageerhaltung zu verwenden, wobeidas Umkippen oder das Verrutschen von Containern oder anderen Behältnissenin einfacher Weise detektiert werden kann.OneAnother advantage of the invention is that no furtherMeans for determining physical reference quantitiesneeded and the mathematical calculations forDetermination of the angle (or the correlation of the temporally successiveAcceleration vectors) are relatively simple. So the computing power is enoughconventional mobile phones for such calculationstrouble-free, so that at the same time an emergency call in case of a fallcan be integrated. Due to the low cost of device componentsmay be a fall detection device according to the inventionwithout disturbing properties of persons carriedbecome. It is particularly advantageous that a specific alignmentfrom wearer to fall detection device not necessaryare. Furthermore, it is preferred that the limit from whicha fall is assumed to the normal activitiesor the state of health of the wearer adaptedbecomes. In addition to the applications already mentionedit is also possible, the inventiveDevice or the method according to the invention,which manages without orientation to an external frame of reference,For example, to use for the preservation of the location, wherethe overturning or slipping of containers or other containerscan be detected in a simple manner.

Vorzugsweiseweist die erfindungsgemäße Vorrichtung Mittelzum Auslösen eines Notrufs und/oder Mittel zum Auslöseneines Alarms auf. Vorzugsweise weist die erfindungsgemäßeVorrichtung genau einen dreidimensionalen Beschleunigungssensorauf. Vorzugsweise weist die erfindungsgemäße VorrichtungMittel zum Kompensation eines Sturzes auf, beispielsweise Mittelzur Befüllung eines (Gel-)Kissens oder eine aufblasbareHalskrause.Preferably, the device according to the invention comprises means for triggering an emergency call and / or means for triggering an alarm. Preferably, the device according to the invention has exactly one three-dimensional acceleration sensor. Preferably, the device according to the invention comprises means for compensating for a fall, for example means for filling a (gel) cushion or an inflatable neck brace.

Ineiner besonders bevorzugten Ausführungsvariante der Erfindungsind Mittel zur Bestimmung der Richtung des Falles bezogen auf mindestenseine Körperachse einer Trägerperson, wobei vorzugsweiseMittel zur selektiven Kompensation des Sturzes, beispielsweise Airbags,die lediglich in Fallrichtung auslösen, vorgesehen sind.Ina particularly preferred embodiment of the inventionare means of determining the direction of the case relative to at leasta body axis of a wearer, preferablyMeans for selectively compensating for the fall, for example airbags,which trigger only in the direction of fall, are provided.

DieVerwendung des Maßes der Orientierungsänderung(vorzugsweise Änderung des Raumwinkels) reicht prinzipiellzur Sturzerkennung aus. Vorzugsweise kann die Zuverlässigkeitder Sturzerkennung durch Hinzunahme weiterer Sensorinformationennoch weiter verbessert werden. In einer weiteren bevorzugten Ausführungsvariantewird daher zusätzlich der Betrag (die Länge) desBeschleunigungsvektors B →t ausgewertet. EinSturz ist erfindungsgemäß dann gegeben, wenn dasMaß der Orientierungsänderung einen definierten Schwellwert(beispielsweise größer als 15 Grad pro 0.1 Sekunde) überschrittenhat, sich jedoch der Betrag des Beschleunigungsvektors (bzw. derBeschleunigungsvektoren zu den unterschiedlichen Messzeitpunkten)nicht zu stark vergrößert. Dieser Ausführungsvarianteliegt folgende Beobachtung zugrunde: Das Auftreten externer (Dreh-)Momente,wie sie beim kanonischen Fall des Stolperns an einer Teppichkanteauftreten, führen in der Regel zu einer Orientierungsänderungaber nicht zu einer deutlichen Änderung des Betrages. Andererseits führtdas Loslaufen oder Anhalten zu einer zusätzlichen Beschleunigung,die i. d. R. senkrecht zur Erdgravitation steht, was auch zu einerVergrößerung des Gesamtbetrages des Beschleunigungsvektorsführt. Diese Betragsänderung wird gemäß einerbevorzugten Ausführungsvariante der Erfindung zur Vermeidungvon Fehlalarmen berücksichtigt. Der zu verwendende Schwellwertkann in Abhängigkeit des Alters und/oder der Mobilität desTrägers (welche durch einen Testlauf vorab bestimmt werdenkann) frei gewählt werden. Auch kann das tatsächlicheVerhalten des Trägers zur permanenten Justierung des Schwellwertsund/oder des Maßes der Orientierungsänderung verwendetwerden. In einer besonders bevorzugten Variante wird ein Sturz angenommen,wenn das Maß der Orientierungsänderung einen definiertenSchwellwert (beispielsweise größer als 15 Gradpro 0.1 Sekunde) überschritten hat, jedoch der Betrag derBeschleunigungsvektoren zu den unterschiedlichen Messzeitpunktenkleiner als 50% der Erdbeschleunigung (bevorzugter kleiner als 50%der Erdbeschleunigung und noch bevorzugter kleiner als 15% der Erdbeschleunigung)ist. Die Erdbeschleunigung beträgt i. S. d. vorliegendenErfindung 9,81 m/s2. Es ist besonders bevorzugt,dass der Schwellwert durch Auswertung des tatsächlichenVerhaltens des Trägers angepasst wird, beispielsweise durchMessung der absoluten Maximalbeschleunigung und Anpassung (Gleichsetzen)des Schwellwerts auf diese absoluten Maximalbeschleunigung, sofernnicht ein Sturz erfolgte, was vorzugsweise durch eine nachträglicheDateneingabe festgestellt werden kann.The use of the measure of the orientation change (preferably change of the solid angle) is sufficient in principle for fall detection. Preferably, the reliability of the fall detection can be further improved by adding further sensor information. In a further preferred embodiment, therefore, the amount (the length) of the acceleration vector B →t is additionally evaluated. A fall is inventively given when the degree of orientation change has exceeded a defined threshold (for example, greater than 15 degrees per 0.1 second), but the amount of the acceleration vector (or the acceleration vectors at the different measurement times) is not increased too much. This embodiment is based on the following observation: The occurrence of external (rotational) moments, as they occur in the canonical case of tripping on a carpet edge, usually lead to a change in orientation but not to a significant change in the amount. On the other hand, running loose or stopping leads to an additional acceleration, which is usually perpendicular to the earth's gravity, which also leads to an increase in the total amount of the acceleration vector. This amount change is considered according to a preferred embodiment of the invention to avoid false alarms. The threshold value to be used may be freely selected depending on the age and / or the mobility of the wearer (which may be predetermined by a test run). Also, the actual behavior of the wearer may be used to permanently adjust the threshold and / or the amount of orientation change. In a particularly preferred variant, a fall is assumed when the degree of orientation change has exceeded a defined threshold (eg greater than 15 degrees per 0.1 second), but the magnitude of the acceleration vectors at the different measurement times is less than 50% of the acceleration due to gravity (more preferably less than 50% of the gravitational acceleration, and more preferably less than 15% of the gravitational acceleration). The gravitational acceleration is i. P. D. present invention 9.81 m / s2 . It is particularly preferred that the threshold value is adjusted by evaluating the actual behavior of the carrier, for example by measuring the absolute maximum acceleration and adjusting (equalizing) the threshold value to this absolute maximum acceleration, unless a fall occurred, which is preferably detected by a subsequent data input can.

Ineiner weiteren bevorzugten Ausführungsvariante der Erfindungweist die Vorrichtung zur Sturzerkennung (bevorzugt zusätzlich)eine Druckmesseinheit auf, wobei die Druckmesseinheit mindestenszwei Drucksensoren zur Messung des Umgebungsluftdrucks aufweist,wobei jeder Drucksensor jeweils eine Sensorfläche aufweistund die Flächennormalen der mindestens zwei Sensorflächenunterschiedliche (Raum-)Richtungen aufweisen. Vorzugsweise sinddie Sensorflächen planar ausgebildet, alternativ ist esjedoch auch möglich, dass nicht planare Sensorflächenverwendet werden. Dann bezieht sich die Flächennormaleder Sensorfläche auf die Flächennormale im geometrischenSchwerpunkt der Sensorfläche. Als Sensorflächewird vorzugsweise diejenige Fläche angesehen, welche durchDruckänderungen entsprechende Änderungen in ihrerForm, Position, Leitfähigkeit oder sonstigen physikalischenParametern erfährt, so dass daraus der Umgebungsluftdruckabgeleitet werden kann. Mit der genannten Druckmesseinheit könnenweitere Störsignale, beispielsweise das Öffneneiner Tür, eliminiert werden, welche zu unerwünschtenBeschleunigungen des Beschleunigungssensors führen können.Ina further preferred embodiment of the inventionhas the device for fall detection (preferably in addition)a pressure measuring unit, wherein the pressure measuring unit at leasthas two pressure sensors for measuring the ambient air pressure,each pressure sensor each having a sensor surfaceand the surface normals of the at least two sensor surfaceshave different (spatial) directions. Preferablythe sensor surfaces are planar, alternatively it isHowever, it is also possible that non-planar sensor surfacesbe used. Then the surface normal refersthe sensor surface on the surface normal in the geometricCenter of gravity of the sensor surface. As a sensor surfaceis preferably considered that area, which byChanges in their print changesShape, position, conductivity or other physicalParameter experiences, so that from the ambient air pressurecan be derived. With the mentioned pressure measuring unit canother interference signals, such as openinga door, which is undesirableAccelerations of the acceleration sensor can lead.

DieVerwendung dieser Druckmesseinheit liegt folgende Beobachtung zugrunde:im Falle eines Sturzes ändert sich aufgrund der Fallhöheauch der messbare Luftdruck. Moderne Luftdrucksensoren könnenbereits einen Luftdruckunterschied detektieren, der einem Höhenunterschiedvon etwa 30 cm entspricht. Allerdings können diese Luftdruckschwankungenauch durch das Öffnen von Türen, einem Windstossetc. verursacht werden. Bei Verwendung der erfindungsgemäßen Druckmesseinheitwürden sich diese Luftdruckschwankungen quasi zeitgleichan allen Einzelsensoren bemerkbar machen. Diese zeitliche Quasiparallelität wäreaber nicht mehr im Falle eines Sturzes beobachtbar, da diejenigenSensorflächen, die in Fallrichtung zeigen, einen höherenLuftdruck messen (Staudruck), als diejenigen, die entgegengesetztder Fallrichtung liegen (Windschatten); Sensoren, die quer zur Fallrichtungangeordnet sind, zeigen aufgrund der Sogeffekte ebenfalls einenverringerten Luftdruck an. Aufgrund dieser Beobachtung kann beiVerwendung der Druckmesseinheit eine Fallrichtung bezüglichder Druckeinheit abgeleitet werden, die sich aus dem Gradientender ermittelten Druckwerte (Skalare) ergibt. Ein Sturz liegt vorzugsweisedann vor, wenn die aus der Druckmesseinheit abgeleitete Fallgeschwindigkeitmindestens 2 m/s entspricht. Vorzugsweise wird die überdie Druckmesseinheit ermittelte Fallrichtung und die abgeleiteteFallgeschwindigkeit mit den Messwerten des Beschleunigungssensorsabgeglichen. Dazu sind Druckmesseinheit und Beschleunigungssensorvorzugsweise definiert zueinander angeordnet.The use of this pressure measuring unit is based on the following observation: in the event of a fall, the measurable air pressure also changes due to the drop height. Modern air pressure sensors can already detect an air pressure difference, which corresponds to a height difference of about 30 cm. However, these air pressure fluctuations can also be caused by opening doors, a gust of wind, etc. When using the pressure measuring unit according to the invention, these air pressure fluctuations would make virtually noticeable at the same time on all individual sensors. However, this temporal quasi-parallelism would no longer be observable in the event of a fall, since those sensor surfaces which point in the direction of fall measure a higher air pressure (dynamic pressure) than those which are opposite to the direction of fall (slipstream); Sensors, which are arranged transversely to the direction of fall, also show a reduced air pressure due to the Sogeffekte. Due to this observation, when using the pressure measuring unit, a falling direction with respect to the printing unit, which is determined from the gradient of the printing unit, can be derived results in pressure values (scalars). A fall is preferably present when the rate of fall derived from the pressure measuring unit is at least 2 m / s. Preferably, the fall direction determined via the pressure measuring unit and the derived falling speed are adjusted with the measured values of the acceleration sensor. For this purpose, the pressure measuring unit and the acceleration sensor are preferably arranged to be mutually defined.

Vorzugsweiseweisen die Flächennormalen der mindestens zwei Sensorflächeneinen Raumwinkel größer als 30°, bevorzugtergrößer als 60° und noch bevorzugter vongenau 90° auf. Vorzugsweise weist die Druckmesseinheitsechs Drucksensoren auf, deren Sensorflächen jeweils entsprechendeiner Seitenfläche eines Würfels ausgerichtetsind. Vorzugsweise weisen die Sensorflächen eine Abschirmungmit einer Öffnung auf, wobei die Flächennormaleder Öffnung parallel zur Flächennormale der jeweiligenSensorfläche ist.Preferablyhave the surface normals of the at least two sensor surfacesa solid angle greater than 30 °, more preferablygreater than 60 °, and more preferably fromexactly 90 ° up. Preferably, the pressure measuring unitsix pressure sensors, the sensor surfaces respectivelyaligned to a side surface of a cubeare. Preferably, the sensor surfaces have a shieldwith an opening, the surface normalthe opening parallel to the surface normal of the respectiveSensor surface is.

DasVerfahren zur Sturzerkennung gemäß der vorliegendenErfindung weist folgende Verfahrensschritte auf: Messung von Beschleunigungsvektorenmit drei Beschleunigungskomponenten jeweils unterschiedlicher Raumrichtungenzu unterschiedlichen Zeitpunkten, wobei aus den Beschleunigungskomponenten unterschiedlicherZeitpunkte ein Raumwinkel zwischen zwei Beschleunigungsvektorenaufeinanderfolgender Zeitpunkte bestimmt wird, wobei der bestimmteRaumwinkel zur Sturzerkennung mit einem Grenzwert verglichen wird.Vorzugsweise erfolgt die Bestimmung des Raumwinkels ohne Bezug zumErdschwerefeld.TheA method for fall detection according to the presentThe invention comprises the following method steps: Measurement of acceleration vectorswith three acceleration components each of different spatial directionsat different times, wherein the acceleration components of differentTimes a solid angle between two acceleration vectorssuccessive time points is determined, wherein the determinedSolid angle to fall detection is compared with a limit.Preferably, the determination of the solid angle without reference toEarth's gravity.

DieErfindung wird nachfolgend anhand von in den Figuren dargestelltenAusführungsbeispielen näher erläutert.Es zeigen:TheInvention will be described below with reference to FIGSEmbodiments explained in more detail.Show it:

1 eineVorrichtung zur Sturzerkennung gemäß einer bevorzugtenAusführungsvariante der Erfindung mit einem dreidimensionalenBeschleunigungssensor, 1 a device for fall detection according to a preferred embodiment of the invention with a three-dimensional acceleration sensor,

2 und3 denzeitlichen Verlauf des Raumwinkels zeitlich aufeinanderfolgenderBeschleunigungsvektoren (Orientierungsänderung) bei einemSturz einer Trägerperson bei vorherigem Gehen sowie den absolutenmittels des Beschleunigungssensors gemessenen Betrag der Beschleunigung,und 2 and 3 the time course of the solid angle of temporally successive acceleration vectors (orientation change) in a fall of a wearer in previous go and the absolute amount of acceleration measured by the acceleration sensor, and

4 eineDruckmesseinheit gemäß einer bevorzugten Ausführungsvarianteder erfindungsgemäßen Vorrichtung zur Sturzerkennung. 4 a pressure measuring unit according to a preferred embodiment of the device according to the invention for fall detection.

1 zeigteine Vorrichtung zur Sturzerkennung gemäß einerbevorzugten Ausführungsvariante der Erfindung mit einemdreidimensionalen Beschleunigungssensor (als Quader dargestellt).Der Beschleunigungssensor liefert fortlaufend mit einer vorgebbarenFrequenz, unter anderem zu den aufeinanderfolgenden Zeitpunktent-1 und t, Beschleunigungswerte bx, by, bz in Richtung einzelner,linear unabhängiger Komponenten x, y, z, die sowohl vonder Bewegung als auch der Lage des Systems relativ zur Trägerpersonabhängen. Eine feste Fixierung des Sensors in Relationzum Trägersystem ist nicht erforderlich. Dabei wird einSturz erfindungsgemäß lediglich durch Korrelationzeitlich aufeinanderfolgender, normierter Beschleunigungsvektoren erkannt,also durch Korrelation der Beschleunigungswerte bx, by, bz zu denZeitpunkten t-1 und t, wobei die Beschleunigungswerte bx, by, bzim Zeitpunkt t-1 in Richtung der Komponenten xt-1,yt-1, zt-1 und dieBeschleunigungswerte bx, by, bz im Zeitpunkt t in Richtung der Komponentenxt, yt, zt ermittelt werden. Vorzugsweise wird ausden resultierenden Beschleunigungsvektoren B →t-1 bzw. B →t der Raumwinkel φ als Maß derOrientierungsänderung bestimmt, und der Betrag des bestimmtenRaumwinkels φ (der Orientierungsänderung) zur Sturzerkennungmit einem Grenzwert verglichen. Ist der Grenzwert – beispielsweise15 Grad pro 0.1 Sekunde – überschritten, wirdein Sturz angenommen. 1 shows a device for fall detection according to a preferred embodiment of the invention with a three-dimensional acceleration sensor (shown as a cuboid). The acceleration sensor continuously supplies at a predefinable frequency, inter alia at the successive times t-1 and t, acceleration values bx, by, bz in the direction of individual, linearly independent components x, y, z, which are dependent both on the movement and the position of the Systems depend on the carrier person. A fixed fixation of the sensor in relation to the carrier system is not required. In this case, a fall according to the invention is detected only by correlation of temporally successive, normalized acceleration vectors, ie by correlation of the acceleration values bx, by, bz at the times t-1 and t, wherein the acceleration values bx, by, bz at time t-1 in the direction of Components xt-1 , yt-1 , zt-1 and the acceleration values bx, by, bz are determined at the time t in the direction of the components xt , yt , zt . From the resulting acceleration vectors B →t-1 or B →t, the solid angle φ is preferably determined as a measure of the orientation change, and the amount of the determined solid angle φ (the orientation change) for the fall detection is compared with a limit value. If the limit is exceeded - for example, 15 degrees per 0.1 second - a fall is assumed.

2 und3 zeigendie Orientierungsänderung φ bei einem Sturz einerTrägerperson der erfindungsgemäßen Vorrichtungbei vorherigem Gehen im Vergleich zur absolut gemessenen Beschleunigungdes Sensors, wobei die Abzisse die Zeitachse darstellt. Der Sturzfindet in1 bei t ≈ 275 stattund kann durch die erfindungsgemäße Auswertungder Orientierungsänderung φ deutlich frühererkannt werden (cos φ ≈ 0.6) als durch Auswertungder absoluten Beschleunigung, die erst bei t ≈ 290 einendeutlichen Ausschlag zeigt. Eine Einheit auf der Zeitachse (Abzisse)beträgt in beiden Ausführungsbeispielen je 1/30s. Durch das frühere Erkennen kann der Sturz effektiververhindert – denkbar ist eine Gewichtsverlagerung einesentsprechenden Sicherheitssystems – bzw. könnendie Folgen des Sturzes effektiver abgemildert werden, beispielsweisedurch Auslösen von in der Bekleidung integrierten Schutzmechanismen(Airbag etc.). Im Beispiel der2 findetder Sturz bei t ≈ 695 statt (cos φ ≈ 0.1). 2 and 3 show the orientation change φ in case of a fall of a wearer of the device according to the invention when walking in front of the absolute measured acceleration of the sensor, wherein the abscissa represents the time axis. The fall takes place in 1 at t ≈ 275 and can be detected much earlier by the inventive evaluation of the orientation change φ (cos φ ≈ 0.6) than by evaluation of the absolute acceleration, which only at t ≈ 290 shows a significant rash. A unit on the time axis (abscissa) in both embodiments is 1/30 s each. The earlier recognition of the fall can be prevented more effective - is conceivable a weight shift of a corresponding security system - or the consequences of the fall can be mitigated more effectively, for example by triggering integrated in the garment protection mechanisms (airbag, etc.). In the example of 2 the fall takes place at t ≈ 695 (cos φ ≈ 0.1).

4 zeigteine Druckmesseinheit1 einer der erfindungsgemäßenVorrichtung zur Sturzerkennung. Die Druckmesseinheit1 weistsechs Drucksensoren auf, deren Sensorflächen2 jeweilsFlächennormalen3 mit unterschiedlichen Raumrichtungenaufweisen. Die von den einzelnen Sensoren2 gemessene Änderungder Druckwerte hängen von der Fallgeschwindigkeit und demWinkel zwischen Fallrichtung und Flächennormale3 desSensors2 ab. Je nach Ausführung der Messeinheit1 ergebensich verschiedene Messwerte, aus denen sowohl die relative Fallrichtungals auch die Fallgeschwindigkeit abgeleitet werden kann. Es istbekannt, dass sich die vektorielle Fallrichtung aus den paarweisenDifferenzen der Messwerte ergeben. Die so ermittelten Werte könnenzusätzlich zur Sturzerkennung verwendet werden, insbesondere,um Störsignale zu unterdrücken. 4 shows a pressure measuring unit 1 one of the device according to the invention for fall detection. The pressure measuring unit 1 has six pressure sensors, their sensor surfaces 2 each surface normal 3 With have different spatial directions. The from the individual sensors 2 Measured change of the pressure values depend on the falling speed and the angle between fall direction and surface normal 3 of the sensor 2 from. Depending on the version of the measuring unit 1 This results in different measured values, from which both the relative fall direction and the fall speed can be derived. It is known that the vectorial fall direction results from the pairwise differences of the measured values. The values thus determined can be used in addition to the fall detection, in particular in order to suppress interference signals.

ZITATE ENTHALTEN IN DER BESCHREIBUNGQUOTES INCLUDE IN THE DESCRIPTION

Diese Listeder vom Anmelder aufgeführten Dokumente wurde automatisierterzeugt und ist ausschließlich zur besseren Informationdes Lesers aufgenommen. Die Liste ist nicht Bestandteil der deutschenPatent- bzw. Gebrauchsmusteranmeldung. Das DPMA übernimmtkeinerlei Haftung für etwaige Fehler oder Auslassungen.This listThe documents listed by the applicant have been automatedgenerated and is solely for better informationrecorded by the reader. The list is not part of the GermanPatent or utility model application. The DPMA takes overno liability for any errors or omissions.

Zitierte PatentliteraturCited patent literature

  • - DE 602004006803T2[0003, 0003]- DE 602004006803 T2[0003, 0003]

Claims (18)

Translated fromGerman
Vorrichtung zur Sturzerkennung, aufweisend: einendreidimensionalen Beschleunigungssensor, der ausgebildet ist, Beschleunigungsvektoren(B →t-1, B →t) mit dreiBeschleunigungskomponenten (b →x, b →y, b →z) jeweils unterschiedlicher Raumrichtungen(x, y, z) zu unterschiedlichen Zeitpunkten (t-1, t) zu messen, gekennzeichnetdurch eine Auswerteeinheit, die ausgebildet ist, aus den Beschleunigungskomponenten(b →x, b →y, b →z)unterschiedlicher Zeitpunkte (t-1, t) ein Maß (φ)der Orientierungsänderung zweier Beschleunigungsvektoren(B →t-1, B →t) aufeinanderfolgenderZeitpunkte (t-1, t) zu bestimmen, wobei der Betrag des Maßes(φ) der Orientierungsänderung zur Sturzerkennungmit einem Grenzwert verglichen wird.Device for the fall detection, comprising: a three-dimensional acceleration sensor, which is formed, acceleration vectors (B →t-1 , B →t ) with three acceleration components (b →x , b →y , b →z ) respectively different spatial directions (x, y, z) at different times (t-1, t), characterized by an evaluation unit which is formed from the acceleration components (b →x , b →y , b →z ) of different points in time (t-1, t) Measure (φ) the orientation change of two acceleration vectors (B →t-1 , B →t ) of consecutive times (t-1, t), wherein the magnitude of the measure (φ) of the orientation change for the fall detection is compared with a limit value.Vorrichtung nach Anspruch 1, dadurch gekennzeichnet,dass als Maß der Orientierungsänderung ein Raumwinkel(φ) zwischen zwei Beschleunigungsvektoren (B →t-1, B →t) aufeinanderfolgender Zeitpunkte (t-1,t) bestimmt wird, und der Betrag des bestimmten Raumwinkels (φ)zur Sturzerkennung mit einem Grenzwert verglichen wird.Apparatus according to claim 1, characterized in that as a measure of the orientation change, a solid angle (φ) between two acceleration vectors (B →t-1 , B →t ) successive times (t-1, t) is determined, and the amount of the determined solid angle (φ) is compared to fall detection with a limit.Vorrichtung nach einem der vorhergehenden Ansprüche,dadurch gekennzeichnet, dass die Vorrichtung derart ausgebildetist, dass die Bestimmung des Raumwinkels (φ) ohne Bezugzum Erdschwerefeld erfolgt.Device according to one of the preceding claims,characterized in that the device is designed in this wayis that the determination of the solid angle (φ) without referenceto the earth's gravity field.Vorrichtung nach einem der vorhergehenden Ansprüche,dadurch gekennzeichnet, dass die Vorrichtung keine Mittel zur Bestimmungder Richtung der Erdbeschleunigung aufweist.Device according to one of the preceding claims,characterized in that the device has no means for determininghas the direction of gravitational acceleration.Vorrichtung nach einem der vorhergehenden Ansprüche,dadurch gekennzeichnet, dass sukzessive Beschleunigungsvektoren(B →t-1, B →t) gemessenwerden, wobei der zeitliche Abstand aufeinanderfolgender Messzeitpunkte(t-1, t) geringer als 0.5 s ist.Device according to one of the preceding claims, characterized in that successive acceleration vectors (B →t-1 , B →t ) are measured, wherein the time interval of successive measuring times (t-1, t) is less than 0.5 s.Vorrichtung nach einem der Ansprüche 2–5,dadurch gekennzeichnet, dass ein Sturz angenommen wird, wenn derBetrag des Gradmaßes des Raumwinkels (φ) zweierBeschleunigungsvektoren (B →t-1, B →t)aufeinanderfolgender Messzeitpunkte (t-1, t) größerals 10 Grad ist.Device according to one of claims 2-5, characterized in that a fall is assumed when the magnitude of the degree of the solid angle (φ) of two acceleration vectors (B →t-1 , B →t ) successive measuring times (t-1, t) is greater than 10 degrees.Vorrichtung nach Anspruch 6, dadurch gekennzeichnet,dass ein Sturz angenommen wird, wenn der Betrag des Gradmaßesdes Raumwinkels (φ) zweier Beschleunigungsvektoren (B →t-1, B →t) aufeinanderfolgender Messzeitpunkte(t-1, t) größer als 30 Grad ist.Apparatus according to claim 6, characterized in that a fall is assumed if the magnitude of the degree of the solid angle (φ) of two acceleration vectors (B →t-1 , B →t ) successive measurement times (t-1, t) greater than 30 degrees is.Vorrichtung nach einem der vorhergehenden Ansprüche,dadurch gekennzeichnet, dass die Auswerteeinheit zusätzlichausgebildet ist, den Betrag mindestens eines Beschleunigungsvektors(B →t-1, B →t) zu bestimmen,wobei der Betrag des Beschleunigungsvektors (B →t-1, B →t) zur Sturzerkennung mit einem Grenzwertverglichen wird.Device according to one of the preceding claims, characterized in that the evaluation unit is additionally designed to determine the amount of at least one acceleration vector (B →t-1 , B →t ), wherein the magnitude of the acceleration vector (B →t-1 , B →t ) is compared to the fall detection with a limit value.Vorrichtung nach Anspruch 8, dadurch gekennzeichnet,dass ein Sturz angenommen wird, wenn der Betrag des mindestens einenBeschleunigungsvektors (B →t-1, B →t)kleiner als 20% der Erdbeschleunigung ist.Apparatus according to claim 8, characterized in that a fall is assumed if the magnitude of the at least one acceleration vector (B →t-1 , B →t ) is less than 20% of the gravitational acceleration.Vorrichtung nach einem der vorhergehenden Ansprüche,dadurch gekennzeichnet, dass Mittel zum Auslösen einesNotrufs und/oder Mittel zum Auslösen eines Alarms vorgesehensind, und anhand der ermittelten Beschleunigungsvektoren (B →t-1, B →t) und/odereiner ermittelten Fallhöhe einer Trägerpersoneine Klassifizierung über Risiko einer potentiellen Schwereeiner Verletzung erfolgt, und die potentielle Schwere der Verletzung überden Notrufs übermittelt wird.Device according to one of the preceding claims, characterized in that means for triggering an emergency call and / or means for triggering an alarm are provided, and based on the determined acceleration vectors (B →t-1 , B →t ) and / or a determined drop height of a Carrier is classified according to the risk of a potential severity of an injury, and the potential severity of the injury is transmitted via the emergency call.Vorrichtung nach einem der vorhergehenden Ansprüche,dadurch gekennzeichnet, dass eine Druckmesseinheit (1)mit mindestens zwei Drucksensoren zur Messung des Umgebungsluftdrucksvorgesehen ist, wobei jeder Drucksensor jeweils eine Sensorfläche(2) aufweist und die Flächennormalen (3)der mindestens zwei Sensorflächen (2) unterschiedlicheRaumrichtungen aufweisen.Device according to one of the preceding claims, characterized in that a pressure measuring unit ( 1 ) is provided with at least two pressure sensors for measuring the ambient air pressure, each pressure sensor each having a sensor surface ( 2 ) and the surface normals ( 3 ) of the at least two sensor surfaces ( 2 ) have different spatial directions.Vorrichtung nach einem der vorhergehenden Ansprüche,dadurch gekennzeichnet, dass Mittel zum Kompensation eines Sturzesvorgesehen sind.Device according to one of the preceding claims,characterized in that means for compensating for a fallare provided.Mobiltelefon mit einer integrierten Vorrichtungzur Sturzerkennung nach einem der Ansprüche 1–12, wobei überdas Mobiltelefon im Falle eines Sturzes automatisch einen Alarmausgelöst und/oder eine Notrufnummer gewählt wird.Mobile phone with an integrated devicefor falling detection according to any one of claims 1-12, wherein overthe mobile phone in case of a fall automatically an alarmtriggered and / or an emergency number is dialed.Mobiltelefon nach Anspruch 13, dadurch gekennzeichnet,dass das Mobiltelefon weiterhin Mittel zur Positionsbestimmung aufweistund im Falle eines Sturzes eine Notrufnummer gewählt wirdund an den Gesprächsteilnehmer der Notrufnummer die aktuellenPositionsdaten übermittelt werden.Mobile telephone according to claim 13, characterizedthat the mobile telephone further comprises means for determining positionand in case of a fall, an emergency number is dialedand to the call participant of the emergency number the currentPosition data are transmitted.Mobiltelefon nach einem der Ansprüche 13bis 14, dadurch gekennzeichnet, dass der dreidimensionale Beschleunigungssensorneben der Sturzerkennung auch für weitere Anwendungen genutztwird.Mobile telephone according to one of claims 13to 14, characterized in that the three-dimensional acceleration sensorused in addition to the fall detection for other applicationsbecomes.Verfahren zur Sturzerkennung, mit folgenden Verfahrensschritten: Messungvon Beschleunigungsvektoren (B →t-1, B →t) mit drei Beschleunigungskomponenten (b →x, b →y, b →z)jeweils unterschiedlicher Raumrichtungen (x, y, z) zu unterschiedlichenZeitpunkten (t-1, t), dadurch gekennzeichnet, dass ausden Beschleunigungskomponenten (b →x, b →y, b →z) unterschiedlicherZeitpunkte (t-1, t) ein Maß (φ) der Orientierungsänderungzwischen zwei Beschleunigungsvektoren (B →t-1, B →t) aufeinanderfolgender Zeitpunkte (t-1,t) bestimmt wird, wobei der Betrag des Maßes (φ)der Orientierungsänderung zur Sturzerkennung mit einem Grenzwertverglichen wird.Fall detection method, comprising the following method steps: Measurement of acceleration vectors (B →t-1 , B →t ) with three acceleration components (b →x , b →y , b →z ) of different spatial directions (x, y, z), respectively Times (t-1, t), characterized in that from the acceleration components (b →x , b →y , b →z ) of different times (t-1, t) a measure (φ) of the orientation change between two acceleration vectors (B →t-1 , B →t ) successive times (t-1, t) is determined, wherein the amount of the measure (φ) of the orientation change to the fall detection is compared with a limit value.Verfahren nach Anspruch 16, dadurch gekennzeichnet,dass als Maß der Orientierungsänderung ein Raumwinkel(φ) zwischen zwei Beschleunigungsvektoren (B →t-1, B →t) aufeinanderfolgender Zeitpunkte (t-1,t) bestimmt wird, und der Betrag des bestimmten Raumwinkels (φ)zur Sturzerkennung mit einem Grenzwert verglichen wird.A method according to claim 16, characterized in that as a measure of the orientation change, a solid angle (φ) between two acceleration vectors (B →t-1 , B →t ) successive time points (t-1, t) is determined, and the amount of the determined solid angle (φ) is compared to fall detection with a limit.Verfahren nach einem der Ansprüche 16 und17, dadurch gekennzeichnet, dass dass die Bestimmung des Raumwinkels(φ) ohne Bezug zum Erdschwerefeld erfolgt.A method according to any one of claims 16 and17, characterized in that that the determination of the solid angle(φ) without reference to the Earth's gravity field.
DE102009019767.2A2009-04-282009-04-28 Device and method for fall detectionExpired - Fee RelatedDE102009019767B4 (en)

Priority Applications (2)

Application NumberPriority DateFiling DateTitle
DE102009019767.2ADE102009019767B4 (en)2009-04-282009-04-28 Device and method for fall detection
PCT/EP2010/055706WO2010125096A1 (en)2009-04-282010-04-28Device and method for detecting falls

Applications Claiming Priority (1)

Application NumberPriority DateFiling DateTitle
DE102009019767.2ADE102009019767B4 (en)2009-04-282009-04-28 Device and method for fall detection

Publications (2)

Publication NumberPublication Date
DE102009019767A1true DE102009019767A1 (en)2010-11-04
DE102009019767B4 DE102009019767B4 (en)2017-07-20

Family

ID=42289093

Family Applications (1)

Application NumberTitlePriority DateFiling Date
DE102009019767.2AExpired - Fee RelatedDE102009019767B4 (en)2009-04-282009-04-28 Device and method for fall detection

Country Status (2)

CountryLink
DE (1)DE102009019767B4 (en)
WO (1)WO2010125096A1 (en)

Cited By (6)

* Cited by examiner, † Cited by third party
Publication numberPriority datePublication dateAssigneeTitle
WO2012140571A1 (en)*2011-04-112012-10-18Transrex AgFall detection methods and devices
WO2013030703A1 (en)*2011-09-022013-03-07Koninklijke Philips Electronics N.V.Bed exit monitoring apparatus.
FR2983332A1 (en)*2011-11-252013-05-31AttendancePortable alerting device for use in cell phone for alerting fall and/or discomfort of e.g. elder person, has transmitter/receiver sending warning message to monitoring device when acceleration value exceeds threshold limit value
DE102015219511A1 (en)2015-10-082017-04-13Zf Friedrichshafen Ag Portable device
WO2019233644A1 (en)*2018-06-072019-12-12Robert Bosch GmbhMethod for determining the orientation of a movable apparatus
DE102024104975A1 (en)2024-02-222025-08-28Vincent Dern Shoe insole and locating device comprising a shoe insole and locating method for locating persons using such a shoe insole or locating device

Families Citing this family (22)

* Cited by examiner, † Cited by third party
Publication numberPriority datePublication dateAssigneeTitle
CN102626312B (en)*2012-04-012013-11-13浙江大学城市学院Fall detection method and device and wearable device
AT513882A2 (en)2013-01-082014-08-15Pajestka Kevin Device for detecting an environment
CN104173057B (en)*2014-08-182016-04-13复旦大学Based on the wearable fall detection system of mobile communication
KR102612874B1 (en)2015-08-312023-12-12마시모 코오퍼레이션 Wireless patient monitoring systems and methods
JP7197473B2 (en)2016-10-132022-12-27マシモ・コーポレイション System and method for patient fall detection
JP6698727B2 (en)*2018-03-122020-05-27ファナック株式会社 Emergency stop system
USD998630S1 (en)2018-10-112023-09-12Masimo CorporationDisplay screen or portion thereof with a graphical user interface
USD999246S1 (en)2018-10-112023-09-19Masimo CorporationDisplay screen or portion thereof with a graphical user interface
USD916135S1 (en)2018-10-112021-04-13Masimo CorporationDisplay screen or portion thereof with a graphical user interface
USD1041511S1 (en)2018-10-112024-09-10Masimo CorporationDisplay screen or portion thereof with a graphical user interface
USD917564S1 (en)2018-10-112021-04-27Masimo CorporationDisplay screen or portion thereof with graphical user interface
USD998631S1 (en)2018-10-112023-09-12Masimo CorporationDisplay screen or portion thereof with a graphical user interface
US11406286B2 (en)2018-10-112022-08-09Masimo CorporationPatient monitoring device with improved user interface
USD917550S1 (en)2018-10-112021-04-27Masimo CorporationDisplay screen or portion thereof with a graphical user interface
CN111383420A (en)*2018-12-292020-07-07深圳市华赢飞沃科技有限公司Fall detection method and equipment
CN109893137B (en)*2019-03-072021-09-03山东科技大学Method for improving gait detection based on mobile terminal at different carrying positions
US12390114B2 (en)2020-03-202025-08-19Masimo CorporationWearable device for monitoring health status
USD974193S1 (en)2020-07-272023-01-03Masimo CorporationWearable temperature measurement device
USD980091S1 (en)2020-07-272023-03-07Masimo CorporationWearable temperature measurement device
USD1072837S1 (en)2020-10-272025-04-29Masimo CorporationDisplay screen or portion thereof with graphical user interface
USD1000975S1 (en)2021-09-222023-10-10Masimo CorporationWearable temperature measurement device
USD1048908S1 (en)2022-10-042024-10-29Masimo CorporationWearable sensor

Citations (6)

* Cited by examiner, † Cited by third party
Publication numberPriority datePublication dateAssigneeTitle
US20050110648A1 (en)*1999-09-152005-05-26Ilife Systems, Inc.System and method for detecting motion of a body
US20070038268A1 (en)*2005-08-092007-02-15Weinberg Marc SMulti-axis tilt estimation and fall remediation
DE102005047983A1 (en)*2005-10-062007-04-19Actimon Gmbh & Co. KgAnimal physical constitution detection system, for indication of e.g. animal`s foot injury, has signal transmission unit controlled based on result of comparing motion pattern detected by motion sensor with preset motion pattern of database
DE602004005596T2 (en)*2003-06-252007-12-13Ist International Security Technology Oy DEVICE FOR DISPLAYING A CASE
DE602004006803T2 (en)2003-07-022008-02-07Commissariat à l'Energie Atomique Portable detector for measuring movement of persons
WO2008129451A1 (en)*2007-04-192008-10-30Koninklijke Philips Electronics N.V.Fall detection system

Family Cites Families (5)

* Cited by examiner, † Cited by third party
Publication numberPriority datePublication dateAssigneeTitle
US6160478A (en)*1998-10-272000-12-12Sarcos LcWireless health monitoring system
DE202005017224U1 (en)*2004-11-052006-02-02Steinert, WaldemarMobile telephone for an emergency call/position-fixing system uses a mobile telephone network with a micro-processor, a data store, a transmitter, a battery and an aerial
US20080016962A1 (en)*2006-07-242008-01-24Honeywell International Inc,Medical use angular rate sensor
US8260570B2 (en)*2007-01-222012-09-04National University Of SingaporeMethod and system for fall-onset detection
US9295412B2 (en)*2007-08-152016-03-29Integrity Tracking, LlcWearable health monitoring device and methods for step detection

Patent Citations (6)

* Cited by examiner, † Cited by third party
Publication numberPriority datePublication dateAssigneeTitle
US20050110648A1 (en)*1999-09-152005-05-26Ilife Systems, Inc.System and method for detecting motion of a body
DE602004005596T2 (en)*2003-06-252007-12-13Ist International Security Technology Oy DEVICE FOR DISPLAYING A CASE
DE602004006803T2 (en)2003-07-022008-02-07Commissariat à l'Energie Atomique Portable detector for measuring movement of persons
US20070038268A1 (en)*2005-08-092007-02-15Weinberg Marc SMulti-axis tilt estimation and fall remediation
DE102005047983A1 (en)*2005-10-062007-04-19Actimon Gmbh & Co. KgAnimal physical constitution detection system, for indication of e.g. animal`s foot injury, has signal transmission unit controlled based on result of comparing motion pattern detected by motion sensor with preset motion pattern of database
WO2008129451A1 (en)*2007-04-192008-10-30Koninklijke Philips Electronics N.V.Fall detection system

Cited By (10)

* Cited by examiner, † Cited by third party
Publication numberPriority datePublication dateAssigneeTitle
WO2012140571A1 (en)*2011-04-112012-10-18Transrex AgFall detection methods and devices
US9427177B2 (en)2011-04-112016-08-30Fidelity Investment CorporationFall detection methods and devices
WO2013030703A1 (en)*2011-09-022013-03-07Koninklijke Philips Electronics N.V.Bed exit monitoring apparatus.
FR2983332A1 (en)*2011-11-252013-05-31AttendancePortable alerting device for use in cell phone for alerting fall and/or discomfort of e.g. elder person, has transmitter/receiver sending warning message to monitoring device when acceleration value exceeds threshold limit value
DE102015219511A1 (en)2015-10-082017-04-13Zf Friedrichshafen Ag Portable device
US9892624B2 (en)2015-10-082018-02-13Zf Friedrichshafen AgPortable device
DE102015219511B4 (en)2015-10-082019-06-19Zf Friedrichshafen Ag Portable device
WO2019233644A1 (en)*2018-06-072019-12-12Robert Bosch GmbhMethod for determining the orientation of a movable apparatus
US11821753B2 (en)2018-06-072023-11-21Robert Bosch GmbhMethod for determining an orientation of a movable device
DE102024104975A1 (en)2024-02-222025-08-28Vincent Dern Shoe insole and locating device comprising a shoe insole and locating method for locating persons using such a shoe insole or locating device

Also Published As

Publication numberPublication date
DE102009019767B4 (en)2017-07-20
WO2010125096A1 (en)2010-11-04

Similar Documents

PublicationPublication DateTitle
DE102009019767B4 (en) Device and method for fall detection
DE602004006803T2 (en) Portable detector for measuring movement of persons
DE102008049750B4 (en) Method and arrangement for detecting a fall of a person
DE102011113100B4 (en) Method for detecting ballistocardiogenic and/or respiratory movements of a person sitting on a motor vehicle seat and measuring arrangement for carrying out the method
EP2164386B1 (en)Appliance and method for predicting a loss of control over a muscle
EP0980323B1 (en)Circuit for controlling a passenger protection device in an automobile
EP1495919B1 (en)Method and Apparatus for estimating the severity of accidents
DE102018204286A1 (en) Sensor arrangement for a vehicle and method for monitoring a sensor
DE102017216328B3 (en) A method for monitoring a state of attention of a person, processing device, storage medium, and motor vehicle
DE102020205511A1 (en) Method for determining a type of collision of a vehicle
DE112021006803T5 (en) Method for calculating speed and acceleration based on a regularization algorithm and a measuring device
AT509630B1 (en) METHOD FOR VERIFYING A CRASH
DE102015222499B3 (en) Method and device for recording the breathing and cardiac activity of a person
DE102008049194B4 (en) Method for detecting falls
DE112015007085B4 (en) IMPROVED TOUCHSCREEN OPERATION
DE102012103376A1 (en)System for protecting person against accident e.g. toppling in skiing sport, has triggering device triggering protection components during detection of impending or currently happening accident
DE102023000837A1 (en) Security system, vehicle and method for determining the condition in the vehicle
EP3436835B1 (en)Protective clothing
DE102018207975A1 (en) Method and system for detecting a posture and / or movement of a vehicle occupant
DE10119600A1 (en) Device and method for calibrating a sensor
DE19911612C2 (en) Process for automatic detection of movement and positional status of people
DE102018222584A1 (en) Method for determining steps of a living being, in particular a person
DE102020203626B4 (en) Automatic window or door system
DE102015226117A1 (en) A vehicle multimedia system and method for data communication of a vehicle multimedia system with a sensor system carried by a person
DE102017203672A1 (en) Method for detecting a fall of a person and device for carrying out the method

Legal Events

DateCodeTitleDescription
ONLater submitted papers
OP8Request for examination as to paragraph 44 patent law
R016Response to examination communication
R082Change of representative

Representative=s name:GULDE HENGELHAUPT ZIEBIG & SCHNEIDER, DE

R081Change of applicant/patentee

Owner name:UNIVERSITAET ROSTOCK, DE

Free format text:FORMER OWNER: FRAUNHOFER-GESELLSCHAFT ZUR FOER, UNIVERSITAET ROSTOCK, , DE

Effective date:20140319

Owner name:UNIVERSITAET ROSTOCK, DE

Free format text:FORMER OWNERS: FRAUNHOFER-GESELLSCHAFT ZUR FOERDERUNG DER ANGEWANDTEN FORSCHUNG E.V., 80686 MUENCHEN, DE; UNIVERSITAET ROSTOCK, 18055 ROSTOCK, DE

Effective date:20140319

R082Change of representative

Representative=s name:GULDE & PARTNER PATENT- UND RECHTSANWALTSKANZL, DE

Effective date:20140319

R018Grant decision by examination section/examining division
R020Patent grant now final
R119Application deemed withdrawn, or ip right lapsed, due to non-payment of renewal fee

[8]ページ先頭

©2009-2025 Movatter.jp