Movatterモバイル変換


[0]ホーム

URL:


DE102009000861A1 - Process for the preparation of cyanoacrylates - Google Patents

Process for the preparation of cyanoacrylates
Download PDF

Info

Publication number
DE102009000861A1
DE102009000861A1DE200910000861DE102009000861ADE102009000861A1DE 102009000861 A1DE102009000861 A1DE 102009000861A1DE 200910000861DE200910000861DE 200910000861DE 102009000861 ADE102009000861 ADE 102009000861ADE 102009000861 A1DE102009000861 A1DE 102009000861A1
Authority
DE
Germany
Prior art keywords
formula
general formula
acid ester
cyanoacrylic acid
radical
Prior art date
Legal status (The legal status is an assumption and is not a legal conclusion. Google has not performed a legal analysis and makes no representation as to the accuracy of the status listed.)
Ceased
Application number
DE200910000861
Other languages
German (de)
Inventor
Carsten Dr. Friese
Lars Dr. Zander
Current Assignee (The listed assignees may be inaccurate. Google has not performed a legal analysis and makes no representation or warranty as to the accuracy of the list.)
Henkel AG and Co KGaA
Original Assignee
Henkel AG and Co KGaA
Priority date (The priority date is an assumption and is not a legal conclusion. Google has not performed a legal analysis and makes no representation as to the accuracy of the date listed.)
Filing date
Publication date
Application filed by Henkel AG and Co KGaAfiledCriticalHenkel AG and Co KGaA
Priority to DE200910000861priorityCriticalpatent/DE102009000861A1/en
Priority to PCT/EP2010/051225prioritypatent/WO2010091975A1/en
Publication of DE102009000861A1publicationCriticalpatent/DE102009000861A1/en
Ceasedlegal-statusCriticalCurrent

Links

Classifications

Landscapes

Abstract

Translated fromGerman

Die vorliegende Erfindung betrifft ein Verfahren zur Herstellung von Cyanacrylsäureestern. Das Verfahren beruht im Wesentlichen auf einer Umesterungsreaktion, wobei die Umesterungsreaktion in Gegenwart eines Umesterungskatalysators durchgeführt wird, der mindestens eine Säure mit einem pks-Wert ≰ 5 und mindestens einen Metallkatalysator umfasst.The present invention relates to a process for the preparation of cyanoacrylic acid esters. The process is based essentially on a transesterification reaction, wherein the transesterification reaction is carried out in the presence of a transesterification catalyst which comprises at least one acid having a pks value ≰ 5 and at least one metal catalyst.

Description

Translated fromGerman

Dievorliegende Erfindung betrifft ein Verfahren zur Herstellung vonCyanacrylsäureestern. Das Verfahren beruht im Wesentlichenauf einer Umesterungsreaktion, wobei die Umesterungsreaktion in Gegenwarteines Umesterungskatalysators durchgeführt wird, der mindestenseine Säure mit einem pks-Wert ≤ 5 und mindestenseinen Metallkatalysator umfasst.TheThe present invention relates to a process for the preparation ofCyanoacrylates. The process is essentially basedon a transesterification reaction, wherein the transesterification reaction in the presencea transesterification catalyst is carried out, the at leastan acid with a pks value ≤ 5 and at leasta metal catalyst.

PolymerisierbareKlebstoffzusammensetzungen auf Basis von Cyanacrylsäureesternhaben aufgrund ihrer einfachen Anwendbarkeit sowie der hohen Aushärtegeschwindigkeitund Festigkeit der resultierenden Klebeverbindung eine breite Verwendungsowohl in industriellen als auch in medizinischen Anwendungen gefunden.Es ist bekannt, dass monomere Formen von Cyanacrylaten extrem reaktivsind und in der Gegenwart von selbst kleinsten Mengen eines Polymerisationsinitiators,einschließlich der in der Luft enthaltenen oder an Oberflächen vorhandenenFeuchtigkeit schnell polymerisieren. Dabei erfolgt die Initiationder Polymerisation durch Anionen, freie Radikale, Zwitterionen oderIonenpaare. Wenn die Polymerisation einmal gestartet worden ist,kann die Aushärtegeschwindigkeit sehr groß sein. PolymerisierbareKlebstoffzusammensetzungen auf Basis von Cyanacrylsäureesterhaben sich daher beispielsweise beim Verbinden von Kunststoffen, Kautschuken,Glas, Metallen, Holz und auch biologischen Geweben als attraktiveLösungen erwiesen.polymerizableAdhesive compositions based on cyanoacrylatesdue to their ease of use and high curing speedand strength of the resulting adhesive bond is widely usedfound in both industrial and medical applications.It is known that monomeric forms of cyanoacrylates are extremely reactiveand in the presence of even minute amounts of a polymerization initiator,including those contained in the air or on surfacesPolymerize moisture quickly. This is the initiationthe polymerization by anions, free radicals, zwitterions orIon pairs. Once the polymerization has started,the curing speed can be very high. polymerizableAdhesive compositions based on cyanoacrylic acid esterTherefore, for example, when joining plastics, rubbers,Glass, metals, wood and even biological tissues as attractiveSolutions proved.

WieimUS Patent 6,667,031 offenbart,beruht die herkömmliche Synthese von Mono-Cyanacrylsäureesternauf einer Knoevennagel-Kondensation, in der Cyanacetat mit Formaldehydumgesetzt wird. Das dabei entstandene Präpolymers wirdbei hohen Temperaturen von 150 bis über 200°Cdurch thermisches Cracken depolymerisiert, wobei die Abtrennungder gebildeten Monomere von der Reaktionslösung in derRegel durch Destillation erfolgt. Die thermische Depolymerisationgelingt nur, wenn dieser Prozess in der Gegenwart von Stabilisatorenoder Mischungen von Stabilisatoren abläuft, die sowohl eineradikalische als auch eine anionische Repolymerisation der gebildetenMonomere unter den beschriebenen Reaktionsbedingungen verhindernkönnen. Stabilisatoren, die eine anionische Repolymerisationverhindern, sind in der Regel, aber nicht ausschließlich,Lewissäuren, wie beispielsweise Schwefeldioxid, Stickstoffmonoxidoder Bortrifluorid oder anorganische oder organische Brønstedtsäuren,insbesondere solche mit eine pKs-Wert ≤ 5, wie beispielsweiseSchwefelsäure, Phosphorsäure oder organische Sulfonsäuren.Like in US Patent 6,667,031 discloses the conventional synthesis of mono-cyanoacrylic acid esters based on a Knoevennagel condensation in which cyanoacetate is reacted with formaldehyde. The resulting prepolymer is depolymerized at high temperatures of 150 to over 200 ° C by thermal cracking, the separation of the monomers formed from the reaction solution is usually carried out by distillation. The thermal depolymerization succeeds only when this process proceeds in the presence of stabilizers or mixtures of stabilizers which can prevent both a radical and an anionic repolymerization of the monomers formed under the reaction conditions described. Stabilizers that prevent anionic repolymerization are usually, but not exclusively, Lewis acids, such as sulfur dioxide, nitric oxide or boron trifluoride or inorganic or organic Brønstedt acids, especially those having a pKa ≤ 5, such as sulfuric acid, phosphoric acid or organic sulfonic acids ,

Oftführt die in dem Prozess verwendete sehr hohe Konzentrationder Stabilisatoren dazu, dass bei der destillativen Abtrennung desMonomers von der Reaktionslösung ein Teil des Stabilisatorsverschleppt wird. Die dadurch verursachte teilweise sehr hohe Restkonzentrationdes Stabilisators im destillierten Cyanacrylatmonomer führtinsbesondere bei sterisch anspruchsvollen Cyanacrylsäureesternzu einer Überstabilisierung, wodurch deren Polymerisationsgeschwindigkeitreduziert wird.Oftenleads the very high concentration used in the processthe stabilizers that in the distillative separation of theMonomers from the reaction solution part of the stabilizeris dragged off. The resulting sometimes very high residual concentrationof the stabilizer in the distilled cyanoacrylate monomerespecially for sterically demanding cyanoacrylatesto an overstabilization, whereby their rate of polymerizationis reduced.

Auchdie Herstellung von Biscyanacrylaten ist seit langem bekannt undkann folgendermaßen erfolgen:
Analog zur oben beschriebenenKnoevenagel-Kondensation werden Formaldehyd und Biscyanacetate umgesetzt.Dabei entsteht ein vernetztes Polymer, welches kaum noch thermischdepolymerisiert werden kann.
The preparation of Biscyanacrylaten has long been known and can be done as follows:
Analogously to the Knoevenagel condensation described above, formaldehyde and biscyanacetates are reacted. This results in a crosslinked polymer, which can hardly be thermally depolymerized.

Weiterhinkann die Herstellung von Biscyanacrylaten in einer Retro-Diels-Alder-Reaktionerfolgen. Wie beispielsweise imUS-Patent3,975,422 beschrieben, wird zunächst ein monofunktionellesCyanacrylat mit Dienen blockiert. Das blockierte monofunktionelleCyanacrylat wird zur freien Säure verseift. Aus dem entsprechendenSäurechlorid wird mit einem Diol dann der Ester hergestellt.Nach dem Austausch des Biscyanacrylates gegen Maleinsäureanhydridwird schließlich nach wiederholtem Umkristallisieren ausBenzol das reine Biscyanoacrylat erhalten. Dieser Herstellungswegumfasst also 5 Stufen und ist daher unwirtschaftlich.Furthermore, the preparation of Biscyanacrylaten done in a retro-Diels-Alder reaction. Such as in the U.S. Patent 3,975,422 First, a monofunctional cyanoacrylate is blocked with dienes. The blocked monofunctional cyanoacrylate is saponified to the free acid. From the corresponding acid chloride, the ester is then prepared with a diol. After the biscyanoacrylate has been replaced by maleic anhydride, the pure biscyanoacrylate is finally obtained after repeated recrystallization from benzene. This production route thus comprises 5 stages and is therefore uneconomical.

Einealternative Möglichkeit zur Herstellung von Biscyanacrylatenwird in der europäischen PatentschriftEP 0764148 B1 gelehrt. DieBiscyanoacrylate werden durch Reaktion von 2-Cyanacrylsäureoder deren Alkylester mit Diolen erhalten, wobei die Reaktion vorzugsweisein Gegenwart von Sulfonsäuren als Katalysator in Lösungdurchgeführt wird. Die Biscyanacrylate werden anschließenddurch fraktionierte Kristallisation isoliert.An alternative possibility for the preparation of Biscyanacrylaten is in the European patent specification EP 0764148 B1 taught. The biscyanoacrylates are obtained by reaction of 2-cyanoacrylic acid or its alkyl ester with diols, the reaction preferably being carried out in the presence of sulfonic acids as catalyst in solution. The biscyanoacrylates are then isolated by fractional crystallization.

Alsnachteilig an diesem Verfahren hat sich erwiesen, dass relativ hoheMengen an Sulfonsäuren eingesetzt werden müssen,um eine effektive Veresterungs- oder Umesterungsreaktion zu erreichen. Einevollständige Abtrennung der Sulfonsäuren vom erhaltenenProdukt ist oft schwierig, wodurch gerade bei sterisch aufwendigenBiscyanacrylaten eine deutliche Reduktion der Polymerisationsgeschwindigkeit desjeweiligen Monomers zu beobachten ist, da die genannten Sulfonsäurenals anionische Polymerisationsinhibitoren wirken.WhenA disadvantage of this method has been found to be relatively highQuantities of sulfonic acids must be used,to achieve an effective esterification or transesterification reaction. Acomplete separation of the sulfonic acids from the obtainedProduct is often difficult, which makes it especially bulkyBiscyanacrylaten a significant reduction in the rate of polymerization ofeach monomer is observed, since the said sulfonic acidsact as anionic polymerization inhibitors.

Zielder vorliegenden Erfindung war daher die Entwicklung eines effektivenVerfahrens zur Herstellung von Mono-, Bis- und/oder Multicyanacyrlsäureesternin hoher Reinheit unter Verwendung möglichst geringer Mengenan anionischen Polymerisationsinhibitoren.aimThe present invention was therefore the development of an effectiveProcess for the preparation of mono-, bis- and / or multicyanacryloic acid estersin high purity using as small amounts as possibleon anionic polymerization inhibitors.

Dieerfindungsgemäße Lösung ist den Ansprüchenzu entnehmen. Sie besteht im Wesentlichen in der Umesterung vonMono-Cyanacrylsäureestern mit einwertigen und/oder mehrwertigenAlkoholen in Gegenwart eines Umesterungskatalysators, der mindestenseine Säure mit einem pks-Wert ≤ 5 und zusätzlichmindestens einen Metallkatalysator umfasst. Durch die Verwendungdes mindestens einen Metallkatalysators ist es möglich,die Menge an Säuren, insbesondere an Säuren miteinem pks-Wert ≤ 5 gegenüber herkömmlichenVerfahren deutlich zu minimieren.TheSolution according to the invention is the claimsrefer to. It consists essentially in the transesterification ofMono-cyanoacrylic acid esters with monovalent and / or polyvalent onesAlcohols in the presence of a transesterification catalyst, the at leastan acid with a pks value ≤ 5 and in additioncomprises at least one metal catalyst. By usethe at least one metal catalyst it is possiblethe amount of acids, in particular of acids witha pks value ≤ 5 compared to conventionalSignificantly minimize the process.

Gegenstandder vorliegenden Erfindung ist daher ein Verfahren zur Herstellungmindestens eines Cyanacrylsäureesters der allgemeinen Formel (I),umfassend die Schritte:

Figure 00040001

  • a) Umesterungmindestens eines 2-Cyanacrylsäureesters der allgemeinenFormel (II),
    Figure 00040002
    wobei R1 einverzweigter oder unverzweigter Alkylrest mit 1 bis 6 C-Atomen ist,mit mindestens einem Alkohol der allgemeinen Formel (III)[H-O-]nR Formel (III)inGegenwart eines Umesterungskatalysators, umfassend mindestens eineSäure mit einem pks-Wert ≤ 5 und mindestens einenMetallkatalysator und
  • b) Isolierung des in Schritt a) erhaltenen Cyanacrylsäureestersder allgemeinen Formel (I), wobei n eine ganze Zahl von 1 bis6 ist und R ein n-valenter Rest ist, der 1 bis 100 C-Atomen umfasst.
The present invention therefore provides a process for preparing at least one cyanoacrylic acid ester of the general formula (I), comprising the steps:
Figure 00040001
  • a) transesterification of at least one 2-cyanoacrylic acid ester of the general formula (II),
    Figure 00040002
    where R1 is a branched or unbranched alkyl radical having 1 to 6 C atoms, with at least one alcohol of the general formula (III) [HO-]n R formula (III) in the presence of a transesterification catalyst comprising at least one acid having a pks value ≦ 5 and at least one metal catalyst and
  • b) isolation of the obtained in step a) cyanoacrylic acid ester of the general formula (I), wherein n is an integer from 1 to 6 and R is an n-valent radical comprising 1 to 100 carbon atoms.

Untereinem n-valenten Rest R ist im Sinne der vorliegenden Erfindungein n-valentes organisches Radikal mit 1 bis 100 C-Atomen zu verstehen, dass ausgehendvom Cyanacrylsäureester der allgemeinen Formel (I) oderAlkohol der allgemeinen Formel (III) durch die homolytische Spaltungvon n Kohlenstoff-Sauerstoff-Bindungen formal gebildet wird.Underan n-valent radical R is within the meaning of the present inventionan n-valent organic radical having 1 to 100 carbon atoms to understand that startingfrom the cyanoacrylic acid ester of the general formula (I) orAlcohol of the general formula (III) by the homolytic cleavageof carbon-oxygen bonds is formally formed.

DerBegriff des n-valenten Rests soll im Folgenden exemplarisch an demBeispiel des dreiwertigen Alkohols TMP (n = 3) näher erläutertwerden:

Figure 00050001
The term of the n-valent radical will be explained in more detail below using the example of the trivalent alcohol TMP (n = 3):
Figure 00050001

Durchdie formale homolytische Spaltung der drei C-OH-Bindungen im TMP-Molekülentsteht ein 3-valenter organischer Rest im Sinne der vorliegendenErfindung.Bythe formal homolytic cleavage of the three C-OH bonds in the TMP moleculeThis results in a 3-valent organic residue in the sense of the presentInvention.

Mitdem erfindungsgemäßen Verfahren lassen sich inAbhängigkeit vom verwendeten Alkohol sowohl Mono-Cyanacrylsäureesterals auch höhere Cyanacrylsäureester herstellen.In einer bevorzugten Ausführungsform des erfindungsgemäßenVerfahrens wird der Cyanacrylsäureester der allgemeinen Formel(I) daher aus Mono-cyanacrylsäureestern der allgemeinenFormel (Ia)

Figure 00050002
und/oder aus Biscyanacrylsäureesternder allgemeinen Formel (Ib)
Figure 00050003
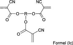
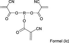
und/oder aus Triscyanacrylsäureesternder allgemeinen Formel (Ic)
Figure 00060001
ausgewählt, wobeiRest R wie oben definiert ist.Depending on the alcohol used, both mono-cyanoacrylic acid esters and also higher cyanoacrylic acid esters can be prepared by the process according to the invention. In a preferred embodiment of the process according to the invention, the cyanoacrylic acid ester of the general formula (I) is therefore prepared from mono-cyanoacrylic acid esters of the general formula (Ia)
Figure 00050002
and / or from biscyanacrylates of the general formula (Ib)
Figure 00050003
and / or from triscyanoacrylic acid esters of the general formula (Ic)
Figure 00060001
wherein R is as defined above.

Ineiner bevorzugten Ausführungsform des erfindungsgemäßenVerfahrens umfasst der Rest R in Formel (I), Formel (Ia), Formel(Ib), Formel (Ic) und/oder Formel (III) eine C3 bisC100-Kette, vorzugsweise eine C5 bisC70-Kette und insbesondere eine C10 bis C50-Kette,die durch mindestens ein Sauerstoffatom unterbrochen ist. Der RestR kann dabei linear, verzweigt oder zyklisch angeordnet sein. Insbesonderesind Reste R bevorzugt, die mindestens eine Polyethylenglykol- und/odermindestens eine Polypropylenglykoleinheit aufweisen.In a preferred embodiment of the process according to the invention, the radical R in formula (I), formula (Ia), formula (Ib), formula (Ic) and / or formula (III) comprises a C3 to C100 chain, preferably a C5 to C70 chain and in particular a C10 to C50 chain which is interrupted by at least one oxygen atom. The rest R can be linear, branched or cyclic. in particular In particular, radicals R are preferred which have at least one polyethylene glycol and / or at least one polypropylene glycol unit.

Ineiner weiteren Ausführungsform des erfindungsgemäßenVerfahrens umfasst der Rest R in Formel (I), Formel (Ia), Formel(Ib), Formel (Ic) und/oder Formel (III) 3 bis 18, insbesondere 4,8, 10 und/oder 12 direkt miteinander verbundene C-Atome. Der RestR kann dabei ebenfalls linear, verzweigt oder zyklisch angeordnetsein.Ina further embodiment of the inventionProcess comprises the radical R in formula (I), formula (Ia), formula(Ib), formula (Ic) and / or formula (III) 3 to 18, in particular 4,8, 10 and / or 12 directly interconnected C atoms. The restR can also be arranged linear, branched or cyclicbe.

DerRest R kann weiterhin eine aromatische Gruppe enthalten oder nebenWasserstoff- und Kohlenstoffatomen auch noch mindestens ein Heteroatom,beispielsweise ausgewählt aus Halogen-, Sauerstoff- und/oderStickstoffatomen, umfassen.Of theRadical R can furthermore contain an aromatic group or in additionHydrogen and carbon atoms also have at least one heteroatom,for example, selected from halogen, oxygen and / orNitrogen atoms.

Beiden Alkoholen der allgemeinen Formel (III)[H-O-]nR Formel (III) handeltes sich um einwertige bis sechswertige Alkohole (n = 1–6),wobei ein-, zwei- und/oder dreiwertige Alkohole bevorzugt sind.Aus diesen Alkoholen sind die oben gezeigten Mono-cyanacrylsäureesterder allgemeinen Formel (Ia), die Biscyanacrylsäureester derallgemeinen Formel (Ib) und die Triscyanacrylsäureesterder allgemeinen Formel (Ic) leicht darstellbar. Die im erfindungsgemäßenVerfahren verwendeten Alkohole sind vorzugsweise primäreoder sekundäre Alkohole, wobei primäre Alkoholebevorzugt sind, da diese eine höhere Reaktivitätin der Umesterungsreaktion aufweisen. Generell können auchbeliebige Mischungen unterschiedlicher Alkohole verwendet werden.In the case of the alcohols of the general formula (III) [HO-]n R formula (III) they are monohydric to hexahydric alcohols (n = 1-6), with mono-, di- and / or trihydric alcohols being preferred. From these alcohols, the above-shown mono-cyanoacrylic acid esters of the general formula (Ia), the Biscyanacrylsäureester of the general formula (Ib) and the Triscyanacrylsäureester of the general formula (Ic) are easily representable. The alcohols used in the process according to the invention are preferably primary or secondary alcohols, preference being given to primary alcohols, since these have a higher reactivity in the transesterification reaction. In general, any mixtures of different alcohols can be used.

Derim erfindungsgemäßen Verfahren eingesetzte Alkoholder allgemeinen Formel (III) wird in einer bevorzugten Ausführungsformder vorliegenden Erfindung aus Verbindungen der allgemeinen Formel (IIIa)R2COO(CH2CH2O)mH Formel (IIIa)ausgewählt,in der R2CO für einen linearenoder verzweigten Acylrest mit 12 bis 22 Kohlenstoffatomen und mfür Zahlen von 5 bis 30 und vorzugsweise 15 bis 25 steht.Typische Beispiele sind Anlagerungsprodukte von Ethylenoxid an Laurinsäure,Isotridecansäure, Myristinsäure, Palmitinsäure,Palmoleinsäure, Stearinsäure, Isostearinsäure, Ölsäure,Elaidinsäure, Petroselinsäure, Linolsäure,Linolensäure, Elaeostearinsäure, Arachinsäure,Gadoleinsäure, Behensäure und Erucasäuresowie deren technische Mischungen, die z. B. bei der Druckspaltungvon natürlichen Fetten und Ölen oder bei der Reduktionvon Aldehyden aus der Roelen'schen Oxosynthese anfallen. Vorzugsweisewerden Anlagerungsprodukte von Ethylenoxid an Fettsäurenmit 16 bis 18 Kohlenstoffatomen eingesetzt.The alcohol of the general formula (III) used in the process according to the invention is prepared in a preferred embodiment of the present invention from compounds of the general formula (IIIa) R2 COO (CH2 CH2 O)m H formula (IIIa) in which R2 CO is a linear or branched acyl radical having 12 to 22 carbon atoms and m is a number from 5 to 30 and preferably 15 to 25. Typical examples are addition products of ethylene oxide with lauric acid, isotridecanoic acid, myristic acid, palmitic acid, palmitoleic acid, stearic acid, isostearic acid, oleic acid, elaidic acid, petroselinic acid, linoleic acid, linolenic acid, elaeostearic acid, arachidic acid, gadoleic acid, behenic acid and erucic acid, and their technical mixtures, which are e.g. B. in the pressure splitting of natural fats and oils or in the reduction of aldehydes from the Roelen oxo synthesis. Preferably, addition products of ethylene oxide are used to fatty acids having 16 to 18 carbon atoms.

Weiterebevorzugte Alkohole werden vorzugsweise ausgewählt ausMethylglykol, Methyldiglykol, Hexandiol, Octandiol, Dekandiol Dodecandiol Glycerinund/oder Trimethylolpropan und/oder aus deren beliebigen Mischungen.Furtherpreferred alcohols are preferably selected fromMethyl glycol, methyl diglycol, hexanediol, octanediol, decanediol dodecanediol glycerinand / or trimethylolpropane and / or any of their mixtures.

Gemäß demerfindungsgemäßen Verfahren werden die Alkoholeder Formel (III) mit mindestens einem 2-Cyanacrylsäureesterder allgemeinen Formel (II) umgesetzt,

Figure 00080001
wobei R1 einverzweigter oder unverzweigter Alkylrest mit 1 bis 6 C-Atomen ist.In the process according to the invention, the alcohols of the formula (III) are reacted with at least one 2-cyanoacrylic acid ester of the general formula (II)
Figure 00080001
where R1 is a branched or unbranched alkyl radical having 1 to 6 C atoms.

Methyl-2-cyanacrylsäureesteroder Ethyl-2-cyansäureacrylester sind im Sinne der vorliegendenErfindung bevorzugte 2-Cyanacrylsäureester, da der in derUmesterungsreaktion entstehende Alkohol Methanol oder Ethanol leichtentfernt werden kann. Es können ebenfalls Mischungen verschiedener2-Cyanacrylsäureester im erfindungsgemäßen Verfahreneingesetzt werden, wobei Mischungen aus Methyl-2-cyanacrylsäureesteroder Ethyl-2-cyansäureacrylester bevorzugt sind.Methyl-2-cyanoacrylic acid estersor ethyl-2-cyanoacrylic are within the meaning of the presentInvention preferred 2-cyanoacrylic, since in theTransesterification reaction resulting alcohol methanol or ethanol easilycan be removed. It can also be mixtures of different2-cyanoacrylates in the process of the inventionbe used, with mixtures of methyl 2-cyanoacrylicor ethyl 2-cyanoacrylic acid esters are preferred.

Dermindestens eine 2-Cyanoacrylsäureester der allgemeinenFormel (II) wird im erfindungsgemäßen Verfahrenvorzugsweise im Überschuss eingesetzt. Das molare Verhältnisvon 2-Cyanoacrylsäureester zum Alkohol der allgemeinenFormel (III) beträgt insbesondere mindestens 2,0:1,0, vorzugsweisejedoch 2,5:1,0, insbesondere 2,2:1,0.Of theat least one 2-cyanoacrylic acid ester of the generalFormula (II) is used in the process according to the inventionpreferably used in excess. The molar ratioof 2-cyanoacrylic acid ester to the alcohol of the generalIn particular, formula (III) is at least 2.0: 1.0, preferablyhowever, 2.5: 1.0, especially 2.2: 1.0.

DieUmesterung wird gemäß dem erfindungsgemäßenVerfahrens in Gegenwart eines Umesterungskatalysators, umfassendmindestens eine Säure mit einem pks-Wert ≤ 5 undmindestens einen Metallkatalysator, durchgeführt.TheTransesterification is according to the inventionProcess in the presence of a transesterification catalyst, comprisingat least one acid with a pks value ≤ 5 andat least one metal catalyst performed.

Derpks-Wert der mindestens einen Säure wird in wässrigerLösung bei 25°C bestimmt, wobei der Fachmann diepKs-Werte von Säuren auch leicht der entsprechenden Literaturentnehmen kann. Eine Zusammenstellung von verschiedenen pKs-Werten istbeispielsweise inHolleman-Wiberg, Lehrbuch der anorganischenChemie, 101. Auflage, S. 237–238 und der darinzitierten Literatur zu finden.The pks value of the at least one acid is determined in aqueous solution at 25.degree. C., it also being easy for the person skilled in the art to derive the pKa values of acids from the corresponding literature. A compilation of different pKs values is for example in Holleman-Wiberg, Lehrbuch der anorganischen Chemie, 101st edition, pp. 237-238 and the literature cited therein.

BevorzugteSäuren zeichnen sich durch einen pKs-Wert ≤ 4,insbesondere durch einen pKs-Wert ≤ 3 oder ≤ 2und besonders bevorzugt durch einen pKs-Wert ≤ 1 aus. Dietechnisch zweckmäßige Untergrenze des pKs-Wertder mindestens einen Säure liegt dabei bei einem Wert von –20,wobei insbesondere Säuren bevorzugt sind, die einen pKs-Wert ≥ –16aufweisen.Preferred acids are distinguished by a pKs value ≦ 4, in particular by a pKs value ≦ 3 or ≦ 2, and particularly preferably by a pKs value ≦ 1. The technical purpose In this case, the lower limit of the pKs value of the at least one acid is -20, with particular preference being given to acids which have a pKa value ≥ -16.

Ineiner besonders bevorzugten Ausführungsform des erfindungsgemäßenVerfahrens ist die Säure mit einem pks-Wert ≤ 5eine Sulfonsäure der allgemeinen Formel (IV),

Figure 00090001
wobei R2 füreine gegebenenfalls substituierte Arylgruppe oder eine Fluor-substituierteAlkylgruppe steht.In a particularly preferred embodiment of the process according to the invention, the acid having a pks value ≦ 5 is a sulfonic acid of the general formula (IV)
Figure 00090001
wherein R2 is an optionally substituted aryl group or a fluoro-substituted alkyl group.

Vorzugsweisesteht R2 in Formel (IV) für eine Trifluormethangruppeoder für eine Gruppe der allgemeinen Formel (V),

Figure 00090002
wobei R3 füreine Methyl-, Methoxy-, Ethyl-, Ethoxy-, n-Propyl-, i-Propyl- odern-Butylgruppe, und insbesondere für eine Methylgruppe steht.Preferably, R2 in formula (IV) is a trifluoromethane group or a group of general formula (V),
Figure 00090002
wherein R3 represents a methyl, methoxy, ethyl, ethoxy, n-propyl, i-propyl or n-butyl group, and especially a methyl group.

Wiebereits oben beschrieben übt die mindestens eine Säuremit einem pKs-Wert ≤ 5 auf den im erfindungsgemäßenVerfahren hergestellten Cyanacrylsäureester einen stabilisierendenEffekt aus, da die Säure eine anionische Polymerisationdes Cyanacrylsäureesters verhindert. Werden in der Umesterungsreaktiongroße Mengen der entsprechenden Säure eingesetzt,kann eine Überstabilisierung gerade wenig reaktiver Cyanacrylsäureesterauftreten, da eine vollständige Abtrennung der Säurevom erhaltenen Produkt oft schwierig ist.Asalready described above exercises at least one acidwith a pKs ≤ 5 on the in the inventiveProcess produced cyanoacrylates a stabilizingEffect because the acid is an anionic polymerizationof cyanoacrylic acid ester prevented. Be in the transesterification reactionused large amounts of the corresponding acid,can be an overstabilization of just a little reactive cyanoacrylatesoccur as a complete separation of the acidOf the product obtained is often difficult.

Esist daher besonders vorteilhaft die Menge der eingesetzten Säuremit einem pKs-Wert ≤ 5 zu begrenzen, weshalb in einer besondersbevorzugten Ausführungsform des erfindungsgemäßenVerfahrens die mindestens eine Säure mit einem pks-Wert ≤ 5in einer Menge von 0,0001 bis 0,75 Gew.-%, vorzugsweise von 0,001bis 0,5 Gew.-% und insbesondere von 0,01 bis 0,2 Gew.-%, jeweilsbezogen auf die Gesamtmenge des 2-Cyanacrylsäureestersder allgemeinen Formel (II), vorliegt.Itis therefore particularly advantageous the amount of acid usedwith a pKs value ≤ 5 limit, which is why in a particularpreferred embodiment of the inventionProcess the at least one acid with a pks value ≤ 5in an amount of 0.0001 to 0.75 wt%, preferably 0.001to 0.5% by weight, and more preferably from 0.01 to 0.2% by weight, respectivelybased on the total amount of 2-cyanoacrylic acid esterof the general formula (II).

Derim erfindungsgemäßen Verfahren verwendete Umesterungskatalysatorumfasst neben der mindestens einen Säure mit einem pKs-Wert ≤ 5 auchmindestens einen Metallkatalysator der geeignet ist, die Umesterungsreaktionzu katalysieren. Bevorzugte Metallkatalysatoren sind beispielsweise Metallalkoholateund/oder Metallacetylacetonate.Of theTransesterification catalyst used in the process according to the inventionin addition to the at least one acid with a pKs value ≤ 5 alsoat least one metal catalyst which is suitable, the transesterification reactionto catalyze. Preferred metal catalysts are, for example, metal alcoholatesand / or metal acetylacetonates.

Allgemeinsind weiterhin Zinnkatalysatoren, Chromkatalysatoren, Titankatalysatoren,Zirkonkatalysatoren und/oder Lithiumkatalysatoren und/oder derenbeliebige Mischungen bevorzugte Metallkatalysatoren im Sinne deserfindungsgemäßen Verfahrens.Generallyare also tin catalysts, chromium catalysts, titanium catalysts,Zirconium catalysts and / or lithium catalysts and / or theirany mixtures preferred metal catalysts in the sense ofinventive method.

GeeigneteMetallkatalysatoren aus der Gruppe der Zinnkatalysatoren sind Dialkylzinndicarboxylate,wie Dibutylzinndicarboxylate insbesondere Dibutylzinndiacetat, Dibutylzinndilaurat,Dibutylzinndiisoctoat, Dibutylzinnmaleat und gemischte Dibutylzinndicarboxylateinsbesondere mit längerkettigen Fettsäureresten,Dioctylzinndicarboxylate insbesondere Dioctylzinndilaurat, Trialkylzinnalkoxide,wie z. B. Tributylzinnoxid, Monoalkylzinnverbindungen wie Monobutylzinndihydroxychloridund Monobutylzinndioxid, Zinnsalze wie Zinnacetat, Zinnoxalat, und Zinnchlorid,Zinnoxide, wie z. B. SnO.suitableMetal catalysts from the group of tin catalysts are dialkyltin dicarboxylates,such as dibutyltin dicarboxylates, in particular dibutyltin diacetate, dibutyltin dilaurate,Dibutyltin diisoctoate, dibutyltin maleate and mixed dibutyltin dicarboxylatesespecially with longer-chain fatty acid residues,Dioctyltin dicarboxylates, in particular dioctyltin dilaurate, trialkyltin alkoxides,such as For example, tributyltin oxide, monoalkyltin compounds such as monobutyltin dihydroxychlorideand monobutyltin dioxide, tin salts such as tin acetate, tin oxalate, and tin chloride,Tin oxides, such as. B. SnO.

Weiteregeeignete Metallkatalysatoren aus der Gruppe der Titankatalysatorensind monomere und polymere Titanate und Titanchelate wie Tetraisopropylorthotitanat,Tetrapropylorthotitanat, Tetraethylorthotitanat, Tetrabutylorthotitanat,Tetraisobutylorthotitanat, 2-Ethylhexyltitanat, Stearyltitanat,Kresyltitanat, Titanacetylacetonat, Triethanolamintitanat, Octylenglykoltitanat,Isostearyltitanat, Zitronensäurediethylestertitanat undaus der Gruppe der Zirkonkatalysatoren, Zirkonate und Zirkonchelatewie Tetrapropylzirkonat, Tetraisopropylzirkonat, Tetrabutylzirkonat,Triethanolaminzirkonat, Zitronensäurediethylesterzirkonat,Zirkon(IV)acetylacetonat, sowie Lithiumkatalysatoren wie Lithiumsalze,Lithiumalkoxide, und Aluminium(III)-, Chrom(III)-, Eisen(III)-,Kobalt(II)-, Nickel(II) und Zink(II)acetylacetonat.Furthersuitable metal catalysts from the group of titanium catalystsare monomeric and polymeric titanates and titanium chelates such as tetraisopropyl orthotitanate,Tetrapropyl orthotitanate, tetraethyl orthotitanate, tetrabutyl orthotitanate,Tetraisobutyl orthotitanate, 2-ethylhexyl titanate, stearyl titanate,Cresyl titanate, titanium acetylacetonate, triethanolamine titanate, octylene glycol titanate,Isostearyl titanate, citric acid diethyl ester titanate andfrom the group of zirconium catalysts, zirconates and zirconium chelatessuch as tetrapropylzirconate, tetraisopropylzirconate, tetrabutylzirconate,Triethanolamine zirconate, citric acid diethyl ester zirconate,Zirconium (IV) acetylacetonate, as well as lithium catalysts such as lithium salts,Lithium alkoxides, and aluminum (III), chromium (III), iron (III) -,Cobalt (II), nickel (II) and zinc (II) acetylacetonate.

Bevorzugtwerden Dibutylzinndiacetat, gemischte Dibutylzinndicarboxylate mitlängerkettigen Fettsäureestern, Dioctylzinndilaurat,Monobutylzinndihydroxychlorid, Monobutylzinndioxid, Zinnacetat, Zinnoxalat,Zinnchlorid, Tetraisopropylorthotitanat, Tetrapropylorthotitanat,Tetraethylorthotitanat, Tetrabutylorthotitanat, Tetrapropylzirkonat,sowie Lithiumsalze und -alkoxide und oben angeführte Acetylacetonateeingesetzt.Prefersare dibutyltin diacetate, mixed dibutyltin dicarboxylates withlong-chain fatty acid esters, dioctyltin dilaurate,Monobutyltin dihydroxychloride, monobutyltin dioxide, tin acetate, tin oxalate,Tin chloride, tetraisopropyl orthotitanate, tetrapropyl orthotitanate,Tetraethyl orthotitanate, tetrabutyl orthotitanate, tetrapropyl zirconate,and lithium salts and alkoxides and acetylacetonates listed aboveused.

Besondersbevorzugt sind Dibutylzinndiacetat, Tetraisopropylorthotitanat und/oderTetraethylorthotitanat.EspeciallyDibutyltin diacetate, tetraisopropyl orthotitanate and / or are preferredTetraethyl.

Dermindestens eine Metallkatalysator wird dabei in Abhängigkeitvon der Reaktivität der einzelnen Reaktanden und den gewähltenReaktionsbedingungen vorzugsweise in Mengen von 0,01 bis 10 Gew.-%,vorzugsweise von 0,1 bis 5 Gew.-% und insbesondere von 1 bis 3 Gew.-%,jeweils bezogen auf die Gesamtmenge des 2-Cyanacrylsäureestersder allgemeinen Formel (II), eingesetzt.Of theAt least one metal catalyst is dependenton the reactivity of the individual reactants and the chosen onesReaction conditions preferably in amounts of from 0.01 to 10% by weight,preferably from 0.1 to 5% by weight and in particular from 1 to 3% by weight,in each case based on the total amount of 2-cyanoacrylic acid esterthe general formula (II) used.

Daserfindungsgemäße Verfahren wird vorzugsweise inGegenwart mindestens eines radikalischen Polymerisationsinhibitorsdurchgeführt, dessen benötigte Menge von einemFachmann leicht bestimmt werden kann.Theinventive method is preferably inPresence of at least one radical polymerization inhibitorcarried out, the required amount of oneProfessional can be easily determined.

Geeigneteradikalische Polymerisationsinhibitoren sind beispielsweise Phenolverbindungen,wie etwa Hydrochinon, Hydrochinonmonomethylether, butyliertes Hydroxyanisol(BHA), 2,6-Di-tert-butyl-4-methylphenol (BHT), t-Butylcatechinon,Pyrocatechin und p-Methoxyphenol. Mischungen der genannten radikalischenPolymerisationsinhibitoren können ebenfalls verwendet werden.Ein besonders bevorzugter radikalischer Polymerisationsinhibitorist im Sinne der vorliegenden Erfindung butyliertes Hydroxyanisol(BHA) und/oder Hydrochinonmonomethylether.suitableradical polymerization inhibitors are, for example, phenol compounds,such as hydroquinone, hydroquinone monomethyl ether, butylated hydroxyanisole(BHA), 2,6-di-tert-butyl-4-methylphenol (BHT), t-butyl catechinone,Catechol and p-methoxyphenol. Mixtures of said radicalPolymerization inhibitors may also be used.A particularly preferred radical polymerization inhibitoris for the purposes of the present invention butylated hydroxyanisole(BHA) and / or hydroquinone monomethyl ether.

Weiterhinwird das erfindungsgemäße Verfahren vorzugsweisein Gegenwart einer bei 22°C gasförmigen Säure,insbesondere einer Lewissäure durchgeführt, wobeidie Säure beispielsweise ausgewählt wird aus Schwefeldioxidund/oder Bortrifluorid.Fartherthe process of the invention is preferablyin the presence of a gaseous acid at 22 ° C,in particular a Lewis acid, whereinFor example, the acid is selected from sulfur dioxideand / or boron trifluoride.

DieUmesterung kann bei Normaldruck, aber auch bei reduziertem oder Überdruckvon 0,001 bis 200 bar durchgeführt werden. Der bei derUmesterung abgespaltene Alkohol wird bevorzugt kontinuierlich odernach Beendigung der Reaktion abdestilliert, wobei die Umsetzungin einem geeigneten Lösungsmittel, wie etwa Toluol, Xyloloder Toluoi/Xylol-Mischungen durchgeführt werden kann.Bevorzugt wird das erfindungsgemäße Verfahrenmit Hilfe einer Destillationskolonne mit hoher Trennleistung durchgeführt.TheTransesterification can be carried out at normal pressure, but also at reduced or overpressurebe carried out from 0.001 to 200 bar. The at theTransesterification of cleaved alcohol is preferably continuous ordistilled off after completion of the reaction, the reactionin a suitable solvent, such as toluene, xyleneor Toluoi / xylene mixtures can be performed.The process according to the invention is preferredcarried out with the aid of a distillation column with high separation efficiency.

Derdurch das erfindungsgemäße Verfahren erhalteneCyanacrylsäureester der allgemeinen Formel (I) kann inhochreiner Form insbesondere durch Destillation oder Kristallisationisoliert werden, wobei Produktreinheiten von größer98% erzielt werden können.Of theobtained by the process according to the inventionCyanacrylsäureester of the general formula (I) can inhighly pure form, in particular by distillation or crystallizationbe isolated, with product purities of greater98% can be achieved.

Diemit dem vorliegenden Verfahren hergestellten Cyanacrylsäureesterkönnen zum Verkleben von Bauteilen, insbesondere zum Verklebenvon elektrischen und/oder elektronischen Bauteilen sowie zur Herstellungvon medizinischen Klebstoffen zur Behandlung von chirurgisch geschnittenemoder traumatisch gerissenem Gewebe verwendet werden.TheCyanacrylsäureester produced by the present processcan be used for bonding components, in particular for bondingof electrical and / or electronic components and for productionof medical adhesives for the treatment of surgically cutor traumatically ruptured tissue.

Ausführungsbeispieleembodiments

Darstellung eines MonocyanacrylatsRepresentation of a Monocyanacrylats

Ineinem Dreihalskolben werden 91,3 g (1,2 mol) absolutiertes Methylglykol,1,3 g Hydrochinonmonomethylether, 1,3 g Tetraisopropylorthotitanat und0,1 Trifluormethanesulfonsäure vorgelegt und langsam mitSO2 überdeckt. Anschließendwerden 125 g (1 mol) Ethylcyanacrylat zudosiert und die Mischungauf 125°C erhitzt, wobei das entstehende Ethanol von einemauf 80°C eingestellten Dephlegmator durchgelassen wird.Nach beendeter Ethanolfreisetzung (Kontrolle durch Bestimmung desBrechungsindex), wird die Reaktionsmischung fraktioniert destilliert.Bei einer Temperatur zwischen 110–152°C (0,06mbar) werden 146 g Methylglykolcyanacrylat in einer Reinheit von98% erhalten.In a three-necked flask, 91.3 g (1.2 mol) of absolute methylene glycol, 1.3 g of hydroquinone monomethyl ether, 1.3 g of tetraisopropyl orthotitanate and 0.1 trifluoromethanesulfonic presented and slowly covered with SO2 . Subsequently, 125 g (1 mol) of ethyl cyanoacrylate are metered in and the mixture is heated to 125 ° C., the resulting ethanol being passed through a dephlegmator set at 80 ° C. After completion of the ethanol release (control by determination of the refractive index), the reaction mixture is fractionally distilled. At a temperature between 110-152 ° C (0.06 mbar) 146 g Methylglykolcyanacrylat be obtained in a purity of 98%.

Darstellung eines BiscyanacrylatsPreparation of a Biscyanacrylats

1,10-Decandiol(348 mg, 2 mmol) und Hydrochinon (5 mg, 0.045 mmol) werden in absolutiertem Toluol(25 ml) vorgelegt. Die Mischung wird bei 70°C mit einerLösung von Ethylcyanacrylat (1.001 g, 1 ml, 8 mmol) inabsolutiertem Toluol (3 ml) versetzt. Anschließend wirdTetraisopropylorthotitanat (13,5 mg, 14 μl, 0.625 mmol)und Trifluormethansulfonsäure (1.35 mg, 0.8 μl,0.009 mmol) zugegeben. Die Mischung wird 5 h am Rückflusserhitzt. Anschließend wird langsam azeotrop das Toluol/EthanolGemisch entfernt (ca. 17 ml). Nach Kühlung wird der Rückstandabgefiltert und das Eluat (ca. 7 ml) mit der gleichen Menge Heptanverdünnt. Bei einer Temperatur von –20°Cfällt langsam das Biscyanoacrylat als weißes Pulverin einer Ausbeute von 50% aus.1,10-decanediol(348 mg, 2 mmol) and hydroquinone (5 mg, 0.045 mmol) are dissolved in absolute toluene(25 ml) submitted. The mixture is at 70 ° C with aSolution of ethyl cyanoacrylate (1.001 g, 1 ml, 8 mmol) inabsolute toluene (3 ml) was added. Subsequently, willTetraisopropyl orthotitanate (13.5 mg, 14 μl, 0.625 mmol)and trifluoromethanesulfonic acid (1.35 mg, 0.8 μl,0.009 mmol) was added. The mixture is refluxed for 5 hheated. Subsequently, the toluene / ethanol is slowly azeotropedMixture removed (about 17 ml). After cooling, the residuefiltered off and the eluate (about 7 ml) with the same amount of heptanediluted. At a temperature of -20 ° Cthe biscyanoacrylate slowly falls as a white powderin a yield of 50%.

ZITATE ENTHALTEN IN DER BESCHREIBUNGQUOTES INCLUDE IN THE DESCRIPTION

Diese Listeder vom Anmelder aufgeführten Dokumente wurde automatisierterzeugt und ist ausschließlich zur besseren Informationdes Lesers aufgenommen. Die Liste ist nicht Bestandteil der deutschenPatent- bzw. Gebrauchsmusteranmeldung. Das DPMA übernimmtkeinerlei Haftung für etwaige Fehler oder Auslassungen.This listThe documents listed by the applicant have been automatedgenerated and is solely for better informationrecorded by the reader. The list is not part of the GermanPatent or utility model application. The DPMA takes overno liability for any errors or omissions.

Zitierte PatentliteraturCited patent literature

  • - US 6667031[0003]- US 6667031[0003]
  • - US 3975422[0006]US 3975422[0006]
  • - EP 0764148 B1[0007]- EP 0764148 B1[0007]

Zitierte Nicht-PatentliteraturCited non-patent literature

  • - Holleman-Wiberg,Lehrbuch der anorganischen Chemie, 101. Auflage, S. 237–238[0026]- Holleman-Wiberg, Lehrbuch der anorganischen Chemie, 101st edition, pp. 237-238[0026]

Claims (12)

Translated fromGerman
Verfahren zur Herstellung mindestens eines Cyanacrylsäureestersder allgemeinen Formel (I), umfassend die Schritte:
Figure 00140001
a) Umesterung mindestenseines 2-Cyanacrylsäureesters der allgemeinen Formel (II),
Figure 00140002
wobei R1 einverzweigter oder unverzweigter Alkylrest mit 1 bis 6 C-Atomen ist,mit mindestens einem Alkohol der allgemeinen Formel (III)[H-O-]nR Formel (III)inGegenwart eines Umesterungskatalysators, umfassend mindestens eineSäure mit einem pks-Wert ≤ 5 und mindestens einenMetallkatalysator und b) Isolierung des in Schritt a) erhaltenenCyanacrylsäureesters der allgemeinen Formel (I), wobein eine ganze Zahl von 1 bis 6 ist und R ein n-valenter Rest ist,der 1 bis 100 C-Atomen umfasst.Process for the preparation of at least one cyanoacrylic acid ester of the general formula (I), comprising the steps:
Figure 00140001
a) transesterification of at least one 2-cyanoacrylic acid ester of the general formula (II),
Figure 00140002
where R1 is a branched or unbranched alkyl radical having 1 to 6 C atoms, with at least one alcohol of the general formula (III) [HO-]n R formula (III) in the presence of a transesterification catalyst comprising at least one acid having a pks value ≦ 5 and at least one metal catalyst and b) isolating the cyanoacrylic acid ester of general formula (I) obtained in step a), where n is an integer from 1 to 6 and R is an n-valent radical comprising 1 to 100 carbon atoms.Verfahren nach Anspruch 1, dadurch gekennzeichnet, dass derCyanacrylsäureester der allgemeinen Formel (I) ausgewähltwird aus Mono-cyanacrylsäureester der allgemeinen Formel(Ia)
Figure 00140003
und/oder aus Biscyanacrylsäureesterder allgemeinen Formel (Ib)
Figure 00150001
und/oder aus Triscyanacrylsäureesterder allgemeinen Formel (Ic),
Figure 00150002
wobei der Rest R 1 bis 100C-Atome umfasst.
A method according to claim 1, characterized in that the cyanoacrylic acid ester of the general formula (I) is selected from mono-cyanoacrylic acid ester of the general formula (Ia)
Figure 00140003
and / or from Biscyanacrylsäureester of the general formula (Ib)
Figure 00150001
and / or from triscyanoacrylic acid esters of the general formula (Ic),
Figure 00150002
wherein the radical R comprises 1 to 100 C atoms.
Verfahren nach Anspruch 1 und/oder 2, dadurch gekennzeichnet,dass Rest R in Formel (I), Formel (Ia), Formel (Ib), Formel (Ic)und/oder Formel (III) eine C3 bis C100-Kette umfasst, die durch mindestens einSauerstoffatom unterbrochen ist.A method according to claim 1 and / or 2, characterized in that radical R in formula (I), formula (Ia), formula (Ib), formula (Ic) and / or formula (III) a C3 to C100 chain which is interrupted by at least one oxygen atom.Verfahren nach Anspruch 1 und/oder 2, dadurch gekennzeichnet,dass Rest R in Formel (I), Formel (Ia), Formel (Ib), Formel (Ic)und/oder Formel (III) 3 bis 18 direkt miteinander verbundene C-Atome umfasst.Method according to claim 1 and / or 2, characterizedthe radical R in formula (I), formula (Ia), formula (Ib), formula (Ic)and / or formula (III) comprises 3 to 18 directly linked C atoms.Verfahren nach mindestens einem der Ansprüche 1 bis4, dadurch gekennzeichnet, dass der 2-Cyanacrylsäureesterder allgemeinen Formel (II) ausgewählt wird aus der Gruppebestehend aus Methyl-2-cyanacrylsäureester und Ethyl-2-cyansäureacrylester.Method according to at least one of claims 1 to4, characterized in that the 2-cyanoacrylic acid esterof general formula (II) is selected from the groupconsisting of methyl 2-cyanoacrylic acid ester and ethyl 2-cyanoacrylic acid ester.Verfahren nach mindestens einem der Ansprüche 1 bis5, dadurch gekennzeichnet, dass die mindestens eine organische Säuremit einem pks-Wert ≤ 5 eine Sulfonsäure der allgemeinenFormel (IV) ist,
Figure 00150003
wobei R2 füreine gegebenenfalls substituierte Arylgruppe oder eine Fluor-substituierteAlkylgruppe steht.
Method according to at least one of claims 1 to 5, characterized in that the at least one organic acid having a pks value ≤ 5 is a sulfonic acid of the general formula (IV),
Figure 00150003
wherein R2 is an optionally substituted aryl group or a fluoro-substituted alkyl group.
Verfahren nach mindestens einem der Ansprüche 1 bis6, dadurch gekennzeichnet, dass die mindestens eine Säuremit einem pks-Wert ≤ 5 in einer Menge von 0,0001 bis 0,75Gew.-%, bezogen auf die Gesamtmenge des 2-Cyanacrylsäureestersder allgemeinen Formel (II), vorliegt.Method according to at least one of claims 1 to6, characterized in that the at least one acidwith a pks value ≤ 5 in an amount of 0.0001 to 0.75Wt .-%, based on the total amount of 2-cyanoacrylic acid esterof the general formula (II).Verfahren nach mindestens einem der Ansprüche 1 bis7, dadurch gekennzeichnet, dass der mindestens eine Metallkatalysatorausgewählt wird aus der Gruppe der Zinnkatalysatoren, Chromkatalysatoren,Titankatalysatoren, Zirkonkatalysatoren und/oder Lithiumkatalysatoren.Method according to at least one of claims 1 to7, characterized in that the at least one metal catalystis selected from the group of tin catalysts, chromium catalysts,Titanium catalysts, zirconium catalysts and / or lithium catalysts.Verfahren nach mindestens einem der Ansprüche 1 bis7, dadurch gekennzeichnet, dass das mindestens eine Metallkatalysatorausgewählt wird aus der Gruppe der Metallalkoholate und/oderMetallacetylacetonate.Method according to at least one of the claims che 1 to 7, characterized in that the at least one metal catalyst is selected from the group of metal alkoxides and / or metal acetylacetonates.Verfahren nach mindestens einem der Ansprüche 1 bis9, dadurch gekennzeichnet, dass der mindestens eine Metallkatalysatorin einer Menge von 0,01 bis 10 Gew.-%, bezogen auf die Gesamtmengedes 2-Cyanacrylsäureesters der allgemeinen Formel (II),vorliegt.Method according to at least one of claims 1 to9, characterized in that the at least one metal catalystin an amount of 0.01 to 10 wt .-%, based on the total amountof the 2-cyanoacrylic acid ester of the general formula (II),is present.Verfahren nach mindestens einem der Ansprüche 1 bis10, dadurch gekennzeichnet, dass das Verfahren in Gegenwart mindestenseines radikalischen Polymerisationsinhibitors und/oder mindestenseiner gasförmigen Säure durchgeführtwird.Method according to at least one of claims 1 to10, characterized in that the method in the presence at leasta radical polymerization inhibitor and / or at leastperformed a gaseous acidbecomes.Verfahren nach mindestens einem der Ansprüche 1 bis11, dadurch gekennzeichnet, dass die Isolierung des mindestens einenCyanacrylsäureesters gemäß Formel (I)durch Destillation oder Kristallisation erfolgt.Method according to at least one of claims 1 to11, characterized in that the isolation of the at least oneCyanoacrylic acid ester of formula (I)by distillation or crystallization.
DE2009100008612009-02-132009-02-13 Process for the preparation of cyanoacrylatesCeasedDE102009000861A1 (en)

Priority Applications (2)

Application NumberPriority DateFiling DateTitle
DE200910000861DE102009000861A1 (en)2009-02-132009-02-13 Process for the preparation of cyanoacrylates
PCT/EP2010/051225WO2010091975A1 (en)2009-02-132010-02-02Method for producing cyano acrylates esters

Applications Claiming Priority (1)

Application NumberPriority DateFiling DateTitle
DE200910000861DE102009000861A1 (en)2009-02-132009-02-13 Process for the preparation of cyanoacrylates

Publications (1)

Publication NumberPublication Date
DE102009000861A1true DE102009000861A1 (en)2010-08-19

Family

ID=42315219

Family Applications (1)

Application NumberTitlePriority DateFiling Date
DE200910000861CeasedDE102009000861A1 (en)2009-02-132009-02-13 Process for the preparation of cyanoacrylates

Country Status (2)

CountryLink
DE (1)DE102009000861A1 (en)
WO (1)WO2010091975A1 (en)

Families Citing this family (15)

* Cited by examiner, † Cited by third party
Publication numberPriority datePublication dateAssigneeTitle
PL2370219T3 (en)2008-11-212015-03-31Henkel US IP LLCThermally decomposable polymer coated metal powders
US9828324B2 (en)2010-10-202017-11-28Sirrus, Inc.Methylene beta-diketone monomers, methods for making methylene beta-diketone monomers, polymerizable compositions and products formed therefrom
US10414839B2 (en)2010-10-202019-09-17Sirrus, Inc.Polymers including a methylene beta-ketoester and products formed therefrom
US9249265B1 (en)2014-09-082016-02-02Sirrus, Inc.Emulsion polymers including one or more 1,1-disubstituted alkene compounds, emulsion methods, and polymer compositions
US9657120B1 (en)2011-09-062017-05-23Henkel IP & Holding GmbHCyanoacrylate compositions
JP6050364B2 (en)2011-09-062016-12-21ヘンケル アイピー アンド ホールディング ゲゼルシャフト ミット ベシュレンクテル ハフツング Bifunctional or polyfunctional electron-deficient olefin-coated metal powder for solder paste
CA2853073A1 (en)2011-10-192013-04-25Bioformix Inc.Methylene beta-diketone monomers, methods for making methylene beta-diketone monomers, polymerizable compositions and products formed therefrom
US9315597B2 (en)2014-09-082016-04-19Sirrus, Inc.Compositions containing 1,1-disubstituted alkene compounds for preparing polymers having enhanced glass transition temperatures
US9416091B1 (en)2015-02-042016-08-16Sirrus, Inc.Catalytic transesterification of ester compounds with groups reactive under transesterification conditions
US10501400B2 (en)2015-02-042019-12-10Sirrus, Inc.Heterogeneous catalytic transesterification of ester compounds with groups reactive under transesterification conditions
US10428177B2 (en)2016-06-032019-10-01Sirrus, Inc.Water absorbing or water soluble polymers, intermediate compounds, and methods thereof
US10196481B2 (en)2016-06-032019-02-05Sirrus, Inc.Polymer and other compounds functionalized with terminal 1,1-disubstituted alkene monomer(s) and methods thereof
US9617377B1 (en)2016-06-032017-04-11Sirrus, Inc.Polyester macromers containing 1,1-dicarbonyl-substituted 1 alkenes
US9567475B1 (en)2016-06-032017-02-14Sirrus, Inc.Coatings containing polyester macromers containing 1,1-dicarbonyl-substituted 1 alkenes
GB2562107B (en)2017-05-052021-08-11Henkel IP & Holding GmbHCyanoacrylate compositions

Citations (6)

* Cited by examiner, † Cited by third party
Publication numberPriority datePublication dateAssigneeTitle
US3975422A (en)1972-11-211976-08-17Johnson & JohnsonPreparation of bis (2-cyanoacrylate)monomers
DE19612188A1 (en)*1995-03-271996-10-02Toagosei Co2-cyano-acrylic acid production
US5637752A (en)*1993-12-201997-06-10Nitto Chemical Industry Co., Ltd.Method for preparing cyanoacetic acid higher ester
EP0764148B1 (en)1994-06-061999-07-21Henkel Kommanditgesellschaft auf AktienProcess for preparing biscyanoacrylates
US6245933B1 (en)*1999-11-192001-06-12Closure Medical CorporationTransesterification method for making cyanoacrylates
US6667031B2 (en)2002-02-202003-12-23Spartan Products, Inc.Method for curing cyanoacrylate adhesives

Family Cites Families (2)

* Cited by examiner, † Cited by third party
Publication numberPriority datePublication dateAssigneeTitle
SU726086A1 (en)*1977-07-251980-04-05Ордена Ленина Институт Элементоорганических Соединений Ан СссрMethod of preparing cyanacrylic acid esters
DE10111508A1 (en)*2001-03-092002-09-26Henkel Kgaa Modified cyanoacrylate esters, nano- or microcapsules made from them and their use in detergents or cleaning agents

Patent Citations (6)

* Cited by examiner, † Cited by third party
Publication numberPriority datePublication dateAssigneeTitle
US3975422A (en)1972-11-211976-08-17Johnson & JohnsonPreparation of bis (2-cyanoacrylate)monomers
US5637752A (en)*1993-12-201997-06-10Nitto Chemical Industry Co., Ltd.Method for preparing cyanoacetic acid higher ester
EP0764148B1 (en)1994-06-061999-07-21Henkel Kommanditgesellschaft auf AktienProcess for preparing biscyanoacrylates
DE19612188A1 (en)*1995-03-271996-10-02Toagosei Co2-cyano-acrylic acid production
US6245933B1 (en)*1999-11-192001-06-12Closure Medical CorporationTransesterification method for making cyanoacrylates
US6667031B2 (en)2002-02-202003-12-23Spartan Products, Inc.Method for curing cyanoacrylate adhesives

Non-Patent Citations (2)

* Cited by examiner, † Cited by third party
Title
D. Seebach et.al., Synthesis 138-41 (1982)*
Holleman-Wiberg, Lehrbuch der anorganischen Chemie, 101. Auflage, S. 237-238

Also Published As

Publication numberPublication date
WO2010091975A1 (en)2010-08-19

Similar Documents

PublicationPublication DateTitle
DE102009000861A1 (en) Process for the preparation of cyanoacrylates
DE69434318T2 (en) Organotin catalyzed transesterification
EP0148729B1 (en)Process for the preparation of sterically hindered hydroxyphenylcarboxylic-acid esters
DE19519958A1 (en)Heat-resistant cyano-acrylate adhesive useful for bonding electrical and electronic components
EP3262130B1 (en)Method for producing isosorbide dimethacrylate
DE69502374T2 (en) Process for the preparation of methyl cyanoacrylate
EP3411364A1 (en)Method for producing monomers from isomeric mixtures
WO2007031384A1 (en)Process for the preparation of (meth)acrylates of tetra- or polyhydric alcohols
EP0874870B1 (en)Process for the preparation of polyglycol(meth)acrylates
DE102007031470A1 (en) Process for the preparation of (meth) acrylates
EP0003045B1 (en)Use of mixtures of oligomeric acrylic acids in adhesives
EP1083169A1 (en)Functionalized alkoxyamine initiators
EP3262129A1 (en)Method for producing isosorbide ethoxylate dimethacrylate
DE69703138T2 (en) Process for the preparation of substituted hydroxy hydrocinnamate esters
DE2527005A1 (en) STABILIZED ACRYLIC ACID ESTERS OF HIGH VALUE ALCOHOLS AND THE PROCESS FOR THEIR PRODUCTION
DE102006055428A1 (en) Process for the preparation of (meth) acrylic acid
DE2311007A1 (en) PROCESS FOR THE PRODUCTION OF ALKYLAMINO ALKYL ACRYLATES
DE102007031474A1 (en) Process for the preparation of butanediol dimethacrylates
EP0530454B1 (en)Process for the preparation of alkylphenyl alkyl ethers of alkylphenyl alkyl thioethers
DE60312894T2 (en) PROCESS FOR PREPARING POLYMERIZABLE MULTIPLE BRANCHED POLYESTER
EP0454742A1 (en)Process for producing guerbet alcohols
EP0271649B1 (en)Esters of 3-tert.-butyl- or 3-tert.-butyl-5-alkyl-4-hydroxyphenyl(alkan)oic acids with ethoxylates of bis-(4- or 2-hydroxyphenyl) alkanes, oxides, sulfides and sulfones of tris-(4-hydroxyphenyl) alkanes and of 1,3,5-bis-(4-hydroxyphenyl-isopropylidene) arylene, their preparation and use as stabilizers
DE3040432C2 (en) Process for the preparation of 3-pentenoic acid esters
EP1057805A1 (en)Process for the preparation of isobornyl(meth)acrylate
EP0668258B1 (en)Process for the preparation of 1-cyclopropylalkane-1,3-diones

Legal Events

DateCodeTitleDescription
OP8Request for examination as to paragraph 44 patent law
R002Refusal decision in examination/registration proceedings
R003Refusal decision now final

Effective date:20120225


[8]ページ先頭

©2009-2025 Movatter.jp