Movatterモバイル変換


[0]ホーム

URL:


DE102007059752A1 - Functionalized solid polymer nanoparticles containing epothilones - Google Patents

Functionalized solid polymer nanoparticles containing epothilones
Download PDF

Info

Publication number
DE102007059752A1
DE102007059752A1DE102007059752ADE102007059752ADE102007059752A1DE 102007059752 A1DE102007059752 A1DE 102007059752A1DE 102007059752 ADE102007059752 ADE 102007059752ADE 102007059752 ADE102007059752 ADE 102007059752ADE 102007059752 A1DE102007059752 A1DE 102007059752A1
Authority
DE
Germany
Prior art keywords
polymer
dione
prop
dihydroxy
polymer nanoparticles
Prior art date
Legal status (The legal status is an assumption and is not a legal conclusion. Google has not performed a legal analysis and makes no representation as to the accuracy of the status listed.)
Withdrawn
Application number
DE102007059752A
Other languages
German (de)
Current Assignee (The listed assignees may be inaccurate. Google has not performed a legal analysis and makes no representation or warranty as to the accuracy of the list.)
Bayer Pharma AG
Original Assignee
Bayer Schering Pharma AG
Priority date (The priority date is an assumption and is not a legal conclusion. Google has not performed a legal analysis and makes no representation as to the accuracy of the date listed.)
Filing date
Publication date
Application filed by Bayer Schering Pharma AGfiledCriticalBayer Schering Pharma AG
Priority to DE102007059752ApriorityCriticalpatent/DE102007059752A1/en
Priority to PCT/EP2008/010371prioritypatent/WO2009074274A1/en
Priority to UY31521Aprioritypatent/UY31521A1/en
Priority to PA20088806901Aprioritypatent/PA8806901A1/en
Priority to PE2008002025Aprioritypatent/PE20091107A1/en
Priority to TW097147937Aprioritypatent/TW200932220A/en
Priority to ARP080105366Aprioritypatent/AR069638A1/en
Publication of DE102007059752A1publicationCriticalpatent/DE102007059752A1/en
Withdrawnlegal-statusCriticalCurrent

Links

Classifications

Landscapes

Abstract

Translated fromGerman

Die vorliegende Erfindung beschreibt Polymernanopartikel mit kationischem Oberflächenpotential, in welche sowohl hydrophobe als auch hydrophile pharmazeutisch aktive Substanzen eingeschlossen werden können. Die hydrophilen und somit wasserlöslichen Substanzen werden durch ionische Komplexierung mit einem geladenen Polymer in den Kern des Partikels mittels Co-Präzipition eingeschlossen. Zur Verkapselung sind als pharmazeutisch aktive Substanzen sowohl Therapeutika als auch Diagnostika verwendbar. Die kationische Partikeloberfläche ermöglicht eine stabile, elektrostatische Oberflächenmodifikation mit partiell entgegengesetzt geladenen Verbindungen, die zur Verbesserung des passiven und aktiven Targetings zielspezifische Liganden enthalten können.The present invention describes cationic surface potential polymer nanoparticles in which both hydrophobic and hydrophilic pharmaceutically active substances can be included. The hydrophilic and thus water-soluble substances are entrapped by ionic complexation with a charged polymer in the core of the particle by co-precipitation. For encapsulation, both therapeutics and diagnostics can be used as pharmaceutically active substances. The cationic particle surface provides stable, electrostatic surface modification with partially oppositely charged compounds that may contain target-specific ligands to enhance passive and active targeting.

Description

Translated fromGerman

Dievorliegende Erfindung beschreibt Polymernanopartikel mit kationischemOberflächenpotential, in welche neutrale, hydrophobe undhydrophile pharmazeutisch aktive Substanzen eingeschlossen werdenkönnen. Die hydrophilen und somit wasserlöslichenSubstanzen werden durch ionische Komplexierung mit einem geladenenPolymer in den Kern des Partikels mittels Co-Präzipitationeingeschlossen. Zur Verkapselung sind als pharmazeutisch aktiveSubstanen sowohl Therapeutika, insbesondere Epothilone als auchDiagnostika verwendbar. Die kationische Partikeloberflächeermöglicht eine stabile, elektrostatische Oberflächenmodifikationmit partiell entgegengesetzt geladenen Verbindungen, die zur Verbesserungdes passiven und aktiven Targetings zielspezifische Liganden enthaltenkönnen.TheThe present invention describes polymer nanoparticles with cationicSurface potential, in which neutral, hydrophobic andhydrophilic pharmaceutically active substances are includedcan. The hydrophilic and thus water-solubleSubstances are charged by ionic complexation with aPolymer in the core of the particle by co-precipitationlocked in. For encapsulation are as pharmaceutically activeSubstans are both therapeutics, especially epothilones, as wellDiagnostics usable. The cationic particle surfaceallows a stable, electrostatic surface modificationwith partially oppositely charged compounds that improveof passive and active targeting include target-specific ligandscan.

Hintergrund der ErfindungBackground of the invention

Diebesonderen Eigenschaften nanopartikulärer Drug DeliverySysteme beruhen vor allem auf ihrer geringen Größe,wodurch eine Überwindung unterschiedlicher physiologischerBarrieren möglich ist [Fahmy T. M., Fong P. M.et al., Mater. Today, 2005; 8(8): 18–26]. Diedamit verbundene veränderte Verteilung im Organismus kannz. B. für die Diagnose als auch zur Therapie verschiedenerTumorerkrankungen vorteilhaft genutzt werden.The special properties of nanoparticulate drug delivery systems are based on their small size, which makes it possible to overcome different physiological barriers [ Fahmy ™, Fong PM et al., Mater. Today, 2005; 8 (8): 18-26 ]. The associated altered distribution in the organism can, for. B. for the diagnosis as well as for the therapy of various tumor diseases can be used advantageously.

NanopartikuläreSysteme, welche sowohl zur Erkennung als auch zur Behandlung vonErkrankungen eingesetzt werden können, werden als sogenannteTheranostika (= Therapeutika + Diagnostika) bezeichnet. Das damitverundene therapeutische Monitoring wird zukünftig einschnelleres Erkennen von Therapieresistenzen ermöglichenund durch rechtzeitigen Einsatz alternativer Therapien den Heilungserfolgdes Patienten deutlich verbessern [Emerich D. F., ThanosC. G., Curr. Nanosci., 2005; 1: 177–188].Nanoparticular systems, which can be used both for the detection and for the treatment of diseases, are referred to as so-called theranostics (= therapeutics + diagnostics). The associated therapeutic monitoring will enable a faster recognition of therapy resistance in the future and significantly improve the healing success of the patient by the timely use of alternative therapies [ Emerich DF, Thanos CG, Curr. Nanosci., 2005; 1: 177-188 ].

Einein der Tumortherapie sehr erfolgreich eingesetzte Substanzklasseist die Gruppe der Zytostatika. Alle sich schnell teilenden Zellendes Körpers, so auch Tumorzellen, werden durch diese Substanzengeschädigt. Dies führt allerdings nicht nur zueinem Absterben der Tumorzellen, sondern häufig sind auchandere vitale Organe und Gewebe wie das Knochenmark, Schleimhäuteoder Herzgefäße davon betroffen. Die damit verbundeneunerwünschte Toxizität ist häufig derDosis limitierende Faktor der Therapie [Silacci D., NeriM., Modern Biopharmaceuticals: Design, development and optimization,Volume 3, Part V, Wiley-VCH, Weinheim, 2005; 1271–1299].A substance class used very successfully in tumor therapy is the group of cytostatic drugs. All rapidly dividing cells of the body, including tumor cells, are damaged by these substances. However, this not only leads to a death of the tumor cells, but often other vital organs and tissues such as the bone marrow, mucous membranes or heart vessels are affected. The associated undesirable toxicity is often the dose limiting factor of therapy [ Silacci D., Neri M., Modern Biopharmaceuticals: Design, Development and Optimization, Volume 3, Part V, Wiley-VCH, Weinheim, 2005; 1271-1299 ].

Eskonnte gezeigt werden, dass beispielsweise durch das Verkapselnzytotoxischer Substanzen wie Doxorubicin in nanopartikuläreSysteme gesunde Gewebe weniger stark geschädigt werdenund eine lokal höhere Wirkstoffkonzentration im Tumorgewebeerzielt wird [Silacci D., Neri M., Modern Biopharmaceuticals:Design, development and optimization, Volume 3, Part V, Wiley-VCH,Weinheim, 2005; 1271–1299].It has been shown that, for example, by encapsulating cytotoxic substances such as doxorubicin in nanoparticulate systems, healthy tissue is less damaged and a locally higher concentration of active substance in the tumor tissue is achieved [ Silacci D., Neri M., Modern Biopharmaceuticals: Design, Development and Optimization, Volume 3, Part V, Wiley-VCH, Weinheim, 2005; 1271-1299 ].

ImFalle der liposomalen Formulierung von Doxorubicin kann die Kardiotoxizitätder Substanz deutlich gemindert werden. Durch die Verringerung derdosislimitierenden Kardiotoxizität kann wiederum eine höhere therapeutischeEffizienz erzielt werden. Aufgrund des belegbaren klinischen Vorteilswurde das in Liposomen verkapselte Doxorubicin erfolgreich unterdem Namen Doxil® bzw. Cealyx fürdie Tumortherapie zugelassen.In the case of the liposomal formulation of doxorubicin, the cardiotoxicity of the substance can be significantly reduced. By reducing the dose-limiting cardiotoxicity, in turn, a higher therapeutic efficiency can be achieved. Due to the demonstrable clinical benefit, the liposome-encapsulated doxorubicin was successfully approved under the name Doxil® or Cealyx for tumor therapy.

Epothilonestellen eine neue Klasse von Antitumorverbindungen dar, die Apoptosebewirken. Verschiedene Publikationen und Berichte von Studienergebnissen(e. g. IDrugs, 2002, 5(10): 949–954) habenihre Wirkung gegen Krebs bewiesen. Die Dosis für ihre Gabeist von Studienberichten oder aus anderen Publikationen, z. B. fürdie Epothilone A und B ausWO99/43320 ebenfalls bekannt. Mittels einer nanopartikulären Formulierungkann durch Ausnutzung spezieller Verteilungsmechanismen der therpeutischeEffekt bzw. das Nebenwirkungsprofil dieser neuen Substanzklassepositiv beeinflusst werden.Epothilones are a new class of antitumor compounds that cause apoptosis. Various publications and reports of study results ( eg IDrugs, 2002, 5 (10): 949-954 ) have proven their effectiveness against cancer. The dose for her dose is from study reports or from other publications, eg. B. for the epothilones A and B from WO 99/43320 also known. Using a nanoparticulate formulation, the therapeutic effect or the side-effect profile of this new substance class can be positively influenced by using special distribution mechanisms.

Inerster Linie wird der Enhanced Permeation and Retention-Effekt (kurzEPR-Effekt) dafür verantwortlich gemacht. Dieser EPR-Effektwurde bereits 1986 von Matsumura und Maeda als eine Strategie zurgezielten Arzneistoffkumulation in soliden Tumoren beschrieben [MatsumuraY., Maeda H., Cancer Res., 1986; 46: 6387–6392][MaedaH., Adv. Enzyme Regul., 2001; 41: 189–207]. Eshandelt sich hierbei um einen passiven Anreicherungsmechanismus,welcher die strukturellen Besonderheiten von tumorösemoder auch entzündetem Gewebe ausnutzt [UlbrichK., Subr V., Adv. Drug Deliv. Rev., 2004; 56(7): 1023–1050].Insbesondere Tumorgewebe ist aufgrund seines schnellen Wachstumsund verschiedener Botenstoffe meist durch eine fenestrierte „löchrige"Gewebsstruktur sowie eine fehlende lymphatische Drainage gekennzeichnet.Je nach Tumorart wird die Größe der Fenestrierungenzwischen 380 nm und 780 nm angegeben, weshalb dieser Bereich auchals nanosize window bezeichnet wird [Hobbs S. K., MonskyW. L. et al., Proc. Natl. Acad. Sci. USA, 1998; 95: 4607–4612][BriggerI., Dubernet C. et al., Adv. Drug Deliv. Rev., 2002; 54(5): 631–651].Im Gegensatz dazu besitzen normale Gewebe wie Herz, Gehirn oderLunge so genannte tight junctions, welche mit weniger als 10 nm(meist 2 nm bis 4 nm) Durchmesser undurchlässig fürkolloidale Arzneistoffträger sind [Hughes G. A.,Nanomedicine, 2005; 1(1): 22–30].First and foremost, the enhanced permeation and retention effect (EPR effect for short) is held responsible. This EPR effect was described as early as 1986 by Matsumura and Maeda as a strategy for targeted drug accumulation in solid tumors [ Matsumura Y., Maeda H., Cancer Res., 1986; 46: 6387-6392 ] [ Maeda H., Adv. Enzyme Regul., 2001; 41: 189-207 ]. It is a passive enrichment mechanism that exploits the structural features of tumorous or inflamed tissue [ Ulbrich K., Subr V., Adv. Drug Deliv. Rev., 2004; 56 (7): 1023-1050 ]. In particular tumor tissue is characterized by its fast growth and various messenger substances usually by a fenestrierte "holey" tissue structure as well as a lack of lymphatic drainage Depending on the type of tumor, the size of the fenestrations between 380 nm and 780 nm indicated, which is why this area is also referred to as nanosize window [ Hobbs SK, Monsky WL et al., Proc. Natl. Acad. Sci. USA, 1998; 95: 4607-4612 ] [ Brigger I, Dubernet C et al., Adv. Drug Deliv. Rev., 2002; 54 (5): 631-651 ]. In contrast, normal tissues such as the heart, brain, or lung have so-called tight junctions, which are less than 10 nm (usually 2 nm to 4 nm) in diameter impermeable to colloidal drug carriers [ Hughes GA, Nanomedicine, 2005; 1 (1): 22-30 ].

ImBlutstrom zirkulierende Nanopartikel sind somit in der Lage, sichpassiv durch Diffusion aus dem Blutstrom im Tumorgewebe anzureichern.Eine fehlende lymphatische Drainage begünstigt die dauerhafteAnreicherung im Tumor bzw. verhindert einen schnelles Auswaschender Nanopartikel (EPR-Effekt).in theBloodstream circulating nanoparticles are thus able to becomePassively enriched by diffusion from the bloodstream in the tumor tissue.A lack of lymphatic drainage favors the permanentEnrichment in the tumor or prevents a quick washoutthe nanoparticles (EPR effect).

Damitdieser Anreicherungsmechanismus möglich ist, müssendie Nanopartikel ausreichend lange im Blutstrom zirkulieren. Voraussetzungdafür sind Partikelgrößen zwischen ca.10 nm und 380 nm sowie geeignete Partikeloberflächen. Beispielsweisekönnen pegylierte Partikeloberflächen verhindern,dass körpereigene Proteine die Partikel als fremd identifizierenund eine schnelle Eliminierung über die Organe des retikulo-endothelialenSystems (kurz RES) erfolgt [Otsuka H. et al., Adv. DrugDeliv. Rev., 2003; 55(3): 403–419]. Durch dieNutzung aktiver Liganden auf der Partikeloberfläche (z.B. Antikörper) kann die gewebsspezifische Anreicherungnochmals optimiert werden [Nobs L. et al., Pharm. Sci.,2004; 93: 1980–1992][Yokoyama M., J. Artif. Organs,2005; 8: 77–84].For this enrichment mechanism to be possible, the nanoparticles must circulate in the blood stream for a sufficient period of time. This requires particle sizes between approx. 10 nm and 380 nm as well as suitable particle surfaces. For example, pegylated particle surfaces can prevent the body's own proteins from identifying the particles as foreign and rapid elimination via the organs of the reticulo-endothelial system (RES for short) [ Otsuka H. et al., Adv. Drug Deliv. Rev., 2003; 55 (3): 403-419 ]. By using active ligands on the particle surface (eg antibodies), the tissue-specific accumulation can be further optimized [ Nobs L. et al., Pharm. Sci., 2004; 93: 1980-1992 ] [ Yokoyama M., J. Artif. Organs, 2005; 8: 77-84 ].

Füreine Aufnahme der Wirkstoffe in die Zelle muss eine weitere physiologischeBarriere, die Zellmembran, überwunden werden. Die Schwierigkeitbesteht für viele Arzneistoffe u. a. darin, dass die Zellesehr effektive Transportmechanismen (z. B. P-Glycoprotein) zum Ausschleusenfremder oder toxischer Substanzen besitzt. Wird jedoch der Wirkstoffmit Hilfe von Nanopartikeln in die Zelle über Endozytoseeingeschleust, so können ausschleusende Transporter umgangenund die so genannte Multi Drug Resistance (MDR) verhindert werden[Bharadwaj V., J. Biomed. Nanotechnol., 2005; 1: 235–258][HuwylerJ. et al., J. Drug Target., 2002; 10(1): 73–79].For a recording of the active ingredients in the cell, another physiological barrier, the cell membrane, must be overcome. The difficulty for many drugs is that the cell has very effective transport mechanisms (eg P-glycoprotein) for the removal of foreign or toxic substances. If, however, the active substance is introduced into the cell via endocytosis with the help of nanoparticles, it is possible to bypass escaping transporters and prevent multi-drug resistance (MDR) [ Bharadwaj V., J. Biomed. Nanotechnol., 2005; 1: 235-258 ] [ Huwyler J. et al., J. Drug Target., 2002; 10 (1): 73-79 ].

DieInternalisierung in die Zelle erfolgt bei Nanopartikeln meist mittelsEndocytose. Aus diesem Grund liegen die Partikel nach dem Aufnahmeprozessin Endosomen bzw. Endolysosomen vor [Koo O. M. et al., Nanomedicine,2005; 1(3): 193–212]. Sofern keine Freisetzungder Partikel aus den Endolysosomen stattfindet, kommt es innerhalbder Vesikel zu einem enzymatischen Abbau von Wirkstoff und kolloidalemTrägersystem. Eine endolysosomale Freisetzung der Partikelund damit des Wirkstoffes ist deshalb für den intrazellulärentherapeutischen Effekt essentiell.The internalization into the cell takes place with nanoparticles mostly by means of endocytosis. For this reason, the particles are present in endosomes or endolysosomes after the uptake process [ Koo OM et al., Nanomedicine, 2005; 1 (3): 193-212 ]. If there is no release of the particles from the endolysosomes, an enzymatic degradation of active ingredient and colloidal carrier system occurs within the vesicles. An endolysosomal release of the particles and therefore of the active substance is therefore essential for the intracellular therapeutic effect.

DieFreisetzungseigenschaften des Wirkstoffes aus dem Nanopartikel könnenzusätzlich durch gezielte Auswahl des Polymers gesteuertwerden. Eine nanopartikuläre Formulierung kann somit dieApplikationshäufigkeit minimieren sowie zu einer Reduktionder therapeutisch notwendigen Dosis führen. Weiterhin könnenunerwünschte Plasmaspiegelspitzen durch Verkapselung inNanopartikel vermieden und eine verzögerte Freisetzungerzielt werden.TheRelease properties of the drug from the nanoparticle canadditionally controlled by targeted selection of the polymerbecome. A nanoparticulate formulation can thus theMinimize frequency of application as well as a reductionthe therapeutically necessary dose. Furthermore you canunwanted plasma mirror tips by encapsulation inNanoparticles avoided and delayed releasebe achieved.

Zusammengefasstsind folgende Vorteile für die Entwicklung von Polymernanopartikelnausschlaggebend:

  • (i) gezielte Anreicherungder Wirkstoffe
  • (a) passiv mittels EPR-Effekt,
  • (b) aktiv mittels gewebs- oder zellspezifischer Liganden, z.B. Antikörper,
  • (ii) steuerbare Wirkstoff-Freisetzung durch gezielte Polymerauswahl,
  • (iii) Vermeidung starker Schwankungen der Plasmaspiegel,
  • (iv) Senkung der Dosis bzw. Steigerung der Effektivitätbei gleicher Dosis,
  • (v) geringere Nebenwirkungen bei erhöhtem Sicherheitsprofil,
  • (vi) verringerte Applikationshäufigkeit mit verbesserterCompliance und
  • (vii) Umgehung von Resistenzmechanismen (P-Gycoprotein) [RosenH., Abribat T., Nature Reviews Drug Discovery, 2005 May; 4(5): 381–5][McLennanD. N., Porter C. J. H. et al., Drug Discovery Today: Technologies,2005 Spring; 2(1): 89–96].
In summary, the following advantages are crucial for the development of polymer nanoparticles:
  • (i) targeted enrichment of the active ingredients
  • (a) passively by EPR effect,
  • (b) actively by means of tissue or cell specific ligands, e.g. B. antibodies,
  • (ii) controllable drug release through targeted polymer selection,
  • (iii) avoiding large fluctuations in plasma levels,
  • (iv) lowering the dose or increasing the effectiveness at the same dose,
  • (v) fewer side effects with increased safety profile,
  • (vi) reduced frequency of application with improved compliance and
  • (vii) Bypassing of resistance mechanisms (P-glycoprotein) [ Rosen H., Abribat T., Nature Reviews Drug Discovery, 2005 May; 4 (5): 381-5 ] [ McLennan DN, Porter CJH et al., Drug Discovery Today: Technologies, 2005 Spring; 2 (1): 89-96 ].

Einnanopartikuläres System, welches die Gesamtheit der beschriebenenVorteile bereits erfüllt, ist nach dem aktuellen Wissensstandnoch nicht entwickelt worden. Auch die Vielfalt der in der Literaturbeschriebenen nanopartikulären Trägersysteme machtdeutlich, dass es zum jetzigen Zeitpunkt nicht eine optimale Nanoformulierungfür alle Problemstellungen gibt. Neben der Größesind der gesamte Aufbau der Partikel, die matrixbildenden Substanzenund vor allem ihre Oberfläche für das Verhaltenin vivo von entscheidender Bedeutung [Choi S. W., Kim W.S., Kim J. H., Journal of Dispersion Science and Technology, 2003;24(3&4): 475–487].Hinzu kommt, dass die physikochemischen Eigenschaften verschiedenerWirkstoffe, insbesondere Wirkstoffklassen, sich stark unterscheiden.Es besteht demzufolge nach wie vor ein Bedarf in der Entwicklung kolloidalerArzneistoffträgersysteme mit verbesserten Eigenschaften.A nanoparticulate system, which already fulfills all the described advantages, has not yet been developed according to the current state of knowledge. The variety of nanoparticulate carrier systems described in the literature also makes it clear that there is currently no optimal nano-formulation for all problems. In addition to the size, the overall structure of the particles, the matrix-forming substances and above all their surface are of decisive importance for the behavior in vivo [ Choi SW, Kim WS, Kim JH, Journal of Dispersion Science and Technology, 2003; 24 (3 & 4): 475-487 ]. In addition, the physicochemical properties of various drugs, in particular Active substance classes, differ greatly. Accordingly, there remains a need in the development of colloidal drug carrier systems with improved properties.

Fürzukünftige therapeutische Ansätze wird es beispielsweisenotwendig sein, durch einen diagnostischen Nachweis der Verteilungder Partikel im Organismus zu belegen, dass eine Anreicherung vorallem im erkrankten Gewebe (z. B. im Tumor) stattfindet.ForFor example, future therapeutic approaches willbe necessary by a diagnostic proof of distributionthe particle in the organism to demonstrate that an enrichment beforeespecially in diseased tissue (eg in the tumor).

Füreine Detektion in vivo stehen unter anderem optische Bildgebungsverfahrenwie die Sonographie, die Röntgendiagnostik, Schnittbildverfahren(CT, MRT) und die Nuklearmedizin (PET, SPECT) zur Verfügung. Eineweitere und relativ neue Methode ist Optical Imaging, dessen Detektionsprinzipauf der Nutzung von Nahinfrarot-Fluoreszenz beruht. Es handelt sichum ein nicht-invasives Verfahren, welches ohne ionisierende Strahlungarbeitet und im Vergleich zu Verfahren wie dem MRT sehr kostengünstigund wenig aufwendig ist. Die für eine solche Anwendungentwickelten NIR-Farbstoffe wie Indocyaningrün sind sehrgut wasserlöslich, weshalb es schwierig ist, diese effizientin eine hydrophobe Polymermatrix zu verkapseln. Grund ist der schnelleWechsel der hydrophilen Substanz in die wässrige Phasebeispielsweise bei der Herstellung mittels Nanopräzipitation.Fora detection in vivo include optical imaging techniquessuch as sonography, X-ray diagnostics, cross-sectional imaging(CT, MRI) and Nuclear Medicine (PET, SPECT). AAnother and relatively new method is Optical Imaging, whose detection principlebased on the use of near-infrared fluorescence. It is abouta non-invasive procedure that does not involve ionizing radiationworks and very cost-effective compared to procedures such as MRIand is not very expensive. The for such an applicationdeveloped NIR dyes such as indocyanine green are verygood water soluble, which is why it is difficult to do this efficientlyto encapsulate in a hydrophobic polymer matrix. Reason is the fastChange of the hydrophilic substance in the aqueous phasefor example, in the production by means of nanoprecipitation.

Fürdie Verkapselung hydrophiler Substanzen in Nanopartikel stehen nurwenige Technologien zur Verfügung, die unterschiedlicheNachteile aufweisen. Der amphiphile Charakter von Liposomen oderPolymerosomen ermöglicht beispielsweise den Einschlusshydrophiler Substanzen in den wässrigen Innenraum der Partikel,wohingegen hydrophobe Verbindungen in der Membran eingelagert werdenkönnen. Aufgrund der Lokalisierung im Kern oder in derHülle der Partikel ist die Beladung sehr limitiert unddamit meist unzureichend. Nachteilig ist weiterhin, dass vor allemhydrophile Substanzen in wässriger Umgebung schnell aussolchen Systemen ausgewaschen werden.Forthe encapsulation of hydrophilic substances in nanoparticles is only possiblefew technologies available that are differentDisadvantage. The amphiphilic character of liposomes orFor example, polymerosomes allow inclusionhydrophilic substances in the aqueous interior of the particles,whereas hydrophobic compounds are incorporated in the membranecan. Due to the localization in the nucleus or in theShell of the particles, the loading is very limited andusually inadequate. Another disadvantage is that, above allhydrophilic substances in an aqueous environment quicklysuch systems are washed out.

Einealternative Verkapselung wasserlöslicher Substanzen inPolyelektrolytkomplexe ist nur begrenzt möglich, da Farbstoffewie beispielsweise Indocyaningrün (ICG) kleine Molekülemit nur wenigen geladenen Gruppen sind, womit nur unzureichend Ladungenfür eine elektrostatische Komplexierung zur Verfügungstehen. Hinzu kommt, dass Polyelektrolytkomplexe in wässrigerLösung sehr dynamische Systeme sind, wodurch diese meisteine unzureichende kolloidale Stabilität in Plasma aufweisen[Thünemann A. F. et al., Adv. Polym. Sci., 2004;166: 113–171].An alternative encapsulation of water-soluble substances in Polyelektrolytkomplexe is limited, since dyes such as indocyanine green (ICG) are small molecules with only a few charged groups, which are insufficient charges for electrostatic complexation available. In addition, polyelectrolyte complexes in aqueous solution are very dynamic systems, which usually have insufficient colloidal stability in plasma [ Thünemann AF et al., Adv. Polym. Sci., 2004; 166: 113-171 ].

Wiezuvor beschrieben wird es zukünftig erforderlich sein,mittels einem diagnostischen Nanopartikel zu belegen, dass die Anreicherungder Partikel vor allem am Zielort, beispielsweise dem Tumor, stattfindet. Wirddieser Nachweis erbracht, so kann eine therapeutisch aktive Substanzin ein-und dasselbe System verkapselt werden und einen maximalentherapeutischen Effekt am Wirkort erzielen, da ja die erwünschteVerteilung der Nanopartikel bereits mittels des diagnostischen Systemsnachgewiesen wurde. Um die Verteilungseigenschaften der Partikelnicht zu verändern ist es deshalb wichtig, fürden diagnostischen Nachweis und die anschließende Behandlungein und dasselbe nanopartikuläre System nutzen zu können.Wie zuvor beschrieben, gibt es eine Reihe unterschiedlicher nanopartikulärerSysteme, welche allerdings entweder nur für die Verkapselunghydrophiler oder hydrophober Substanzen geeignet sind. Aus der Literaturist bekannt, dass nur geringe Veränderungen der Nanopartikeleigenschaftenwie Partikelgröße, Oberflächenmaterial,Art des Matrixpolymers oder auch die Verwendung eines anderen Tensidseinen enormen Einfluss auf die Verteilung der Partikel im Organismushaben. Deshalb ist es wichtig, sowohl Diagnose, Therapie als auchein mögliches Monitoring der Behandlung mit ein-und demselbenSystem durchführen zu können.Aspreviously described, it will be necessary in the futureby means of a diagnostic nanoparticle to prove that the enrichmentthe particle mainly at the destination, such as the tumor takes place. BecomesIf this proof is provided, then a therapeutically active substance may be usedbe encapsulated in one and the same system and a maximumachieve therapeutic effect at the site of action, since the desiredDistribution of nanoparticles already by means of the diagnostic systemwas detected. To the distribution properties of the particlesIt is therefore important to not change forthe diagnostic proof and the subsequent treatmentto use one and the same nanoparticulate system.As described above, there are a number of different nanoparticulateSystems, however, either only for the encapsulationhydrophilic or hydrophobic substances are suitable. From the literatureIt is known that only small changes in nanoparticle propertieslike particle size, surface material,Type of matrix polymer or else the use of another surfactanta huge impact on the distribution of particles in the organismto have. That's why it's important to have both diagnosis, therapy as wella possible monitoring of treatment with one and the sameSystem to perform.

Idealerweisesollten deshalb in ein- und demselben nanopartikulärenSystem sowohl wasserlösliche Farbstoffe zur Diagnose alsauch therapeutische Substanzen, welche meist aufgund ihrer hydrophobenEigenschaften schwer wasserlöslich sind, effektiv und miteiner ausreichenden Stabilität gegen Auswaschen verkapseltwerden können.Ideallyshould therefore be in one and the same nanoparticulateSystem both water-soluble dyes for diagnosis asalso therapeutic substances, which are mostly due to their hydrophobicProperties are difficult to dissolve, effectively and with waterencapsulated in sufficient stability to wash outcan be.

Einetechnologische Herausforderung besteht weiterhin darin, durch dieVerwendung geeigneter Oberflächen einerseits eine ausreichendePartikelstabilität und andererseits eine spezifische Anreicherungim Zielgewebe zu gewährleisten. Der Verbleib am Ort derAnreicherung (Zielgewebe) wiederum ist u. a. davon abhängig,wie gut die Partikel in das Gewebe und die Zelle aufgenommen werden.AThe technological challenge continues to be through theUse of suitable surfaces on the one hand a sufficientParticle stability and on the other hand a specific enrichmentin the target tissue. The whereabouts at the place ofEnrichment (target tissue) in turn is u. a. depends on,how well the particles are absorbed into the tissue and the cell.

Ausder Literatur ist bekannt, dass kationische Partikeloberflächeneine Aufnahme in die Zelle begünstigen [MounkesL. C. et al., J. Biol. Chem., 1998; 273(40): 26164–26170][MislickK. A., Baldeschwieler J. D., Proc. Natl. Acad. Sci. USA, 1996; 93:12349–12354]. Grund sind elektrostatische Wechselwirkungenzwischen der negativ geladenen Zellmembran (sulfatierte Proteoglykane)und der kationischen Partikeloberfläche (meist protonierteAminfunktionen). Hinzu kommt, dass Aminogruppen tragende Polymereoder Substanzen dafür bekannt sind, endoosmoyltische Aktivitätzu besitzen, d. h. sie fördern eine intrazelluläre Freisetzungder Partikel aus den Endolysosomen durch Schädigung derEndolysosomenmembran [DeDuve C. et al., Biochem. Pharmacol.,1974; 23: 2495–2531]. Verbleiben die Partikelinnerhalb der Zelle in den Endolysosomen, findet ein Abbau der Partikelmatrixsowie der darin eingeschlossenen Substanzen über zelleigeneEnzyme statt. Die endolysosomale Freisetzung der verkapselten Wirkstoffeist deshalb essentiell für den therapeutischen Effekt.It is known from the literature that cationic particle surfaces promote uptake into the cell [ Mounkes LC et al., J. Biol. Chem., 1998; 273 (40): 26164-26170 ] [ Mislick KA, Baldeschwieler JD, Proc. Natl. Acad. Sci. USA, 1996; 93: 12349-12354 ]. Reason are electrostatic interactions between the negatively charged cell membrane (sulfated proteoglycans) and the cationic particle surface (usually protonated amine functions). In addition, polymers or substances carrying amino groups are known to have endo-osmotic activity, ie they promote intracellular release of the particles from the endolysosomes by damaging the endolysosomal membrane [ DeDuve C. et al., Biochem. Pharmacol., 1974; 23: 2495-2531 ]. If the particles remain within the cell in the endolysosomes, a degradation of the particle matrix and the substances contained therein takes place via cell-specific enzymes. The endolysosomal release of the encapsulated drugs is therefore essential for the therapeutic effect.

Problematischist jedoch, dass teilweise schwerwiegende toxikologische Effektebei in vivo Untersuchungen von Polyplexen und Lipiden mit starkkationischen geladenen Oberflächen beschrieben worden sind [KircheisS. et al., J. Gene Med., 1999; 1: 111–120][OgrisM. et al., Gene Ther., 1999; 6: 595–605]. DieUrsache liegt darin, dass kationische Partikel mit negativ geladenenErythrozyten aggregieren und es dadurch zu einer Blockade der Blutgefäßekommt. Zusätzlich führt dies meist zu einer starkenAkkumulation in der Lunge, welche die Partikel als erstes Kapillarbettnach i. v. Applikation passieren [Kircheis R. et al., DrugDeliv. Rev., 2001; 53(3): 341–58]. Hier bestehtdie Gefahr einer Lungenembolie, begünstigt durch Agglomerateaus Partikeln und Erythrozyten oder anderen Blutkomponenten [KircheisS. et al., J. Gene Med., 1999; 1: 111–120][OgrisM. et al., Gene Ther., 1999; 6: 595–605].However, the problem is that partially serious toxicological effects have been described in in vivo investigations of polyplexes and lipids with highly cationic charged surfaces [ Kircheis S. et al., J. Gene Med., 1999; 1: 111-120 ] [ Ogris M. et al., Gene Ther., 1999; 6: 595-605 ]. The reason is that cationic particles aggregate with negatively charged erythrocytes resulting in blockage of the blood vessels. In addition, this usually leads to a strong accumulation in the lungs, which pass the particles as the first capillary bed after iv application [ Kircheis R. et al., Drug Deliv. Rev., 2001; 53 (3): 341-58 ]. Here there is a risk of pulmonary embolism, favored by agglomerates of particles and erythrocytes or other blood components [ Kircheis S. et al., J. Gene Med., 1999; 1: 111-120 ] [ Ogris M. et al., Gene Ther., 1999; 6: 595-605 ].

Idealerweisesollten deshalb nanopartikuläre Systeme mit kationischenOberflächeneigenschaften hergestellt werden, ohne dassmögliche toxikologisch bedenkliche Eigenschaften eine in-vivoAnwendung behindern. Zusätzlich muss die Partikeloberflächegegenüber körpereigenen Abwehrmechanismen (Opsonine, RES)unauffällig sein, wodurch erst eine ausreichend lange Zirkulationszeitermöglicht wird, welche Voraussetzung für eineentsprechende Anreicherung der Partikel aus dem Blutstrom im Zielgewebeist. Dabei sollten die nanopartikulären Systeme weiterhindie Aufnahme in die Zielzelle und die endolysosomale Freisetzungunterstützen.Ideallyshould therefore use nanoparticulate systems with cationicSurface properties are produced without thatpossible toxicologically questionable properties an in vivoHinder application. In addition, the particle surface must betowards the body's own defense mechanisms (Opsonine, RES)inconspicuous, whereby only a sufficiently long circulation timeallows for which condition for acorresponding enrichment of the particles from the bloodstream in the target tissueis. The nanoparticulate systems should continue to do souptake into the target cell and endolysosomal releasesupport.

Eineweitere Schwierigkeit bei der Herstellung nanopartikulärerSysteme besteht darin, geeignete Substanzen oder Ziel erkennendeStrukturen auf der Partikeloberfläche aufzubringen.Afurther difficulty in the production of nanoparticulateSystems is to detect suitable substances or targetApply structures on the particle surface.

Häufigwird die Oberfläche der Partikel mit Hilfe von kovalentenKopplungsreaktionen modifiziert. Voraussetzung dafür sindfunktionelle Gruppen am Polymerrückgrat bzw. an der Partikeloberfläche,welche durch entsprechende chemische Kopplungsreaktionen mit demZiel erkennenden Molekül irreversibel verknüpftwerden können [Nobs L. et al., J. Pharm. Sci.,2004; 93: 1980–1992]. Da die Stabilitätkolloidaler Dispersionen durch die Reagenzien bzw. unter den Reaktionsbedingungenhäufig stark verringert wird, ist die chemische Durchführungmeist aufwendig und problematisch [Koo O. M. et al., Nanomedicine,2005; 1(3): 193–212][Choi S. W. et al.,J. Dispersion Sci. Technol., 2003; 24(3&4): 475–487]. Diekovalente Verknüpfung von Molekülen und Partikeloberflächenmuss zusätzlich für jedes neue, auf die Oberflächeaufzubringende, Molekül speziell geeignet sein, um möglichenicht gewollte chemische Reaktionen zu vermeiden. Auch eine Vermeidungvon organischen Lösemitteln, häufig genutzt fürkovalente Verknüpfungen, ist wegen der verringerten Belastung derUmwelt und der Vereinfachung der Durchführung der Reaktionanzustreben.Frequently, the surface of the particles is modified by means of covalent coupling reactions. Prerequisite for this are functional groups on the polymer backbone or on the particle surface, which can be irreversibly linked by appropriate chemical coupling reactions with the target-recognizing molecule [ Nobs L. et al., J. Pharm. Sci., 2004; 93: 1980-1992 ]. Since the stability of colloidal dispersions is often greatly reduced by the reagents or under the reaction conditions, the chemical implementation is usually complicated and problematic [ Koo OM et al., Nanomedicine, 2005; 1 (3): 193-212 ] [ Choi SW et al., J. Dispersion Sci. Technol., 2003; 24 (3 & 4): 475-487 ]. In addition, the covalent attachment of molecules and particle surfaces must be particularly suitable for any new molecule to be applied to the surface in order to avoid possible unwanted chemical reactions. Avoiding organic solvents, often used for covalent linkages, is also desirable because of the reduced burden on the environment and the simplification of the implementation of the reaction.

Idealerweisesollte deshalb eine nicht-kovalente, einfach durchzuführendeund somit flexible und dennoch stabile Oberflächenmodifikationmöglich sein.Ideallyshould therefore be a non-covalent, easy to performand thus flexible yet stable surface modificationto be possible.

Dieaus der Literatur bekannten kolloidalen Systeme eignen sich meistnur zur Verkapselung hydrophober Substanzen oder aber hydrophilerSubstanzen. Im Falle der häufig angewendeten kovalentenOberflächenmodifikation der Partikel besteht wenig Flexibilitätbezüglich der Nutzung unterschiedlichster Oberflächenstrukturenauf ein-und demselben Kernpartikel. Hinzu kommt, dass sich die Ligandenzur spezifischen Anreicherung oft nachteilig auf die Aufnahme imeigentlichen Tumorgewebe und insbesondere auf die Zellaufnahme auswirken.Sofern die Partikel eine ausreichende Zirkulation gewährleistenund sich passiv oder aktiv gut im Zielgewebe anreichern, so istmeist die Internalisierung und die endolysosomale Freisetzung nichtoptimal [van Osdol W., Cancer Res., 1991; 51: 4776–4784][WeinsteinJ. N. et al., Cancer Res., 1992; 52(9): 2747–2751].The known from the literature colloidal systems are usually only suitable for encapsulation of hydrophobic substances or hydrophilic substances. In the case of the frequently used covalent surface modification of the particles, there is little flexibility with regard to the use of a wide variety of surface structures on one and the same core particle. In addition, the ligands for specific enrichment often adversely affect the uptake in the actual tumor tissue and in particular on the cell uptake. If the particles ensure adequate circulation and passively or actively accumulate well in the target tissue, internalization and endolysosomal release are usually not optimal [ van Osdol W., Cancer Res., 1991; 51: 4776-4784 ] [ Weinstein JN et al., Cancer Res., 1992; 52 (9): 2747-2751 ].

Folglichbesteht auch weiterhin ein Bedarf an pharmazeutischen, nanopartikulärenFormulierungen, welche: (i) sowohl wasserlösliche als auch schwerwasserlösliche pharmazeutisch aktive Substanzen, effektiv undmit einer ausreichenden Stabilität gegen Auswaschen verkapseln(ii) eine nicht-kovalente, einfach durchzuführende (flexible)und dennoch stabile Oberflächenmodifikation ermöglichen,(iii) eine ausreichende Zirkulationszeit ermöglichen (iv),effektiv in das Zielgewebe aufgenommen werden sowie (v) dort intrazelluläraus den Endolysosomen freigesetzt werden.consequentlyThere is still a need for pharmaceutical, nanoparticulateFormulations which: (i) both water-soluble and heavywater-soluble pharmaceutically active substances, effective andencapsulate with sufficient stability to wash out(ii) a non-covalent, easy-to-perform (flexible)and still allow stable surface modification,(iii) allow sufficient circulation time (iv),be effectively absorbed into the target tissue and (v) there intracellularlyreleased from the endolysosomes.

EineAufgabe der Erfindung war es deshalb, eine verbesserte pharmazeutischeFormulierung zur Verfügung zu stellen, in welche zum einenhydrophile als auch hydrophobe Wirkstoffe verkapselt werden können. Andererseitssollte eine flexible und ausreichend stabile Oberflächenmodifikationeine optimale Anreicherung im erkrankten Gewebe ermöglichen.Um einen maximalen diagnostischen oder therapeutischen Effekt erzielen zukönnen, muss ein solches kolloidales System auch effizientin das Zielgewebe sowie in die einzelnen Zellen aufgenommen werden,wo eine endolysosomale Freisetzung erfolgen kann. Ebenso solltees sich um praktikable Herstellungsmethoden handeln, um die Herstellungin einem zeit- und kostengerechten Rahmen zu ermöglichen.An object of the invention was therefore to provide an improved pharmaceutical formulation for Ver In addition to which hydrophilic as well as hydrophobic agents can be encapsulated. On the other hand, a flexible and sufficiently stable surface modification should allow optimal accumulation in the diseased tissue. To achieve maximum diagnostic or therapeutic effect, such a colloidal system must also be efficiently incorporated into the target tissue as well as into the individual cells where endolysosomal release can occur. Likewise, they should be practicable manufacturing methods to enable production in a timely and cost-effective manner.

Beschreibung der ErfindungDescription of the invention

DieErfindung betrifft Polymernanopartikel mit einem kationischen Oberflächenpotential,enthaltend ein kationisches Polymer und ein in Wasser schwer löslichesPolymer, dadurch gekennzeichnet, dass diese Polymernanopartikeldiagnostische und therapeutische Agenzien, insbesondere Epothilone,gemeinsam oder getrennt verkapselt, oder nur Epothilone enthalten.TheThis invention relates to polymer nanoparticles having a cationic surface potential.containing a cationic polymer and a sparingly soluble in waterPolymer, characterized in that these polymer nanoparticlesdiagnostic and therapeutic agents, in particular epothilones,encapsulated together or separately, or contain only epothilones.

Überraschenderweisewurde gefunden, dass durch Co-Präzipitation eines wasserlöslichenkationischen Polymers mit einem schwer wasserlöslichenPolymer stabile Polymernanopartikel hergestellt werden können,welche eine kationisch funktionalisierte Oberfläche aufweisen.Weiterhin war im Sinne der Erfindung überraschend, dasssowohl hydrophile, gut wasserlösliche als auch hydrophobe,schwer wasserlösliche Substanzen in die Polymermatrix derzuvor beschriebenen Nanopartikel verkapselt werden konnten. Unerwarteterweiseführte die ionische Komplexierung von wasserlöslichenSubstanzen geringen Molekulargewichtes mit dem geladenen kationischenPolymer zu einer erfolgreichen Verkapselung in die Polymermatrixder Partikel mittels Nanopräzipitation. Im Sinne der Erfindungkönnen Substanzen in die Polymerpartikel verkapselt werden,welche sich zur Diagnose und/oder zur Therapie von verschiedenenErkrankungen eignen.Surprisinglywas found by co-precipitation of a water-solublecationic polymer with a sparingly water-solublePolymer stable polymer nanoparticles can be producedwhich have a cationically functionalized surface.Furthermore, it was surprising in the sense of the invention thatboth hydrophilic, highly water-soluble and hydrophobic,poorly water-soluble substances in the polymer matrix ofpreviously described nanoparticles could be encapsulated. unexpectedlyled the ionic complexation of water-solubleLow molecular weight substances with the charged cationicPolymer for a successful encapsulation in the polymer matrixthe particle by means of nanoprecipitation. Within the meaning of the inventionsubstances can be encapsulated in the polymer particles,which are used for the diagnosis and / or therapy of differentDiseases are suitable.

Weiterhinwurde gefunden, dass die kationisch funktionalisierte Partikeloberflächeelektrostatisch mit einer partiell entgegengesetzt geladenen Verbindungstabil und flexibel oberfächenmodifiziert werden kann.Fartherwas found to be the cationically functionalized particle surfaceelectrostatically with a partially oppositely charged compoundstable and flexible surface modification can be.

EinGegenstand der beschriebenen Erfindung ist daher die Verwendungder erfindungsgemäßen Nanopartikel zum Erkennenvon Krankheiten (Diagnose), zur Behandlung von Krankheiten (Therapie)wie auch zum Monitoring einer Therapie.OneThe subject of the described invention is therefore the usethe nanoparticles according to the invention for detectingof diseases (diagnosis), for the treatment of diseases (therapy)as well as to monitor a therapy.

Einweiterer Aspekt der Erfindung ist ein Kit bestehend aus getrennthergestellten nanopartikulären Systemen (a) und (b) derselbenZusammensetzung, enthaltend

  • (a) ein in einenPartikel verkapseltes Diagnostikum und (b) ein in einen Partikelverkapseltes Epothilon, wobei die Partikel gemeinsam oder getrennt,gegebenenfalls verdünnt, verabreicht werden können.
Another aspect of the invention is a kit consisting of separately prepared nanoparticulate systems (a) and (b) of the same composition containing
  • (a) a diagnostic encapsulated in a particle; and (b) an epothilone encapsulated in a particle, which particles may be administered together or separately, optionally diluted.

Einweiterer Aspekt der Erfindung ist ein Kit wie oben beschrieben,wobei die Bestandteile (a) und (b) im festen Zustand vorliegen undzusätzlich gegebenenfalls ein Mittel (c) enthalten ist,das geeignet ist, die nanopartikulären Systeme (a) und(b) gegebenenfalls wahlweise getrennt oder zusammen zu lösenoder zu dispergieren.OneAnother aspect of the invention is a kit as described above.wherein the components (a) and (b) are in the solid state andadditionally, if appropriate, an agent (c) is contained,which is suitable for the nanoparticulate systems (a) and(b) optionally optionally separately or together to solveor to disperse.

Weiterhinbeinhaltet die Erfindung eine geeignete Arzneiform unter Verwendungvon pharmazeutisch akzeptablen Hilfsstoffen, die für diejeweilige Arzneiform notwendig sind. Die im Sinne der Erfindungentwickelte Arzneiform kann an Mensch oder Tier über verschiedeneApplikationswege angewendet werden.FartherFor example, the invention includes a suitable dosage form usingof pharmaceutically acceptable excipients suitable for therespective dosage form are necessary. The in the sense of the inventiondeveloped drug form can be administered to humans or animals via variousApplication routes are applied.

Dazunotwendige Apllikationssysteme sind ebenso Teil der hier beschriebenenErfindung.Tonecessary application systems are also part of the ones described hereInvention.

DieZusammensetzung der Nanopartikel beinhaltet ein schwer wasserlöslichesPolymer, wobei es sich bevorzugt um ein bioabbaubares Polymer oderauch eine Mischung verschiedener bioabbaubarer Polymere handelt.Das bioabbaubare Polymer kann über einzelne Monomereinheitenbeschrieben werden, welche mittels einer Polymerisation oder andererProzesse besagtes Polymer formen. Weiterhin kann das Polymer über seinenNamen definiert sein.TheComposition of nanoparticles contains a poorly water-solublePolymer, which is preferably a biodegradable polymer oralso a mixture of various biodegradable polymers.The biodegradable polymer can be via individual monomer unitswhich can be described by means of a polymerization or otherProcesses said polymer form. Furthermore, the polymer can over itsBe defined name.

Ineiner Ausführungsform leitet sich das schwer wasserlöslichePolymer aus der Gruppe der natürlichen und/oder synthetischenPolymere bzw. aus Homo- und Co-Polymeren entsprechender Monomereab. Insbesondere leitet sich das Polymer aus der Gruppe Alkylcyanoacrylatewie beispielsweise der Butylcyanoacrylate und der Isobutylcyanoacrylate,der Acrylate, wie der Methacrylate, der Lactide, beispielsweiseder L-Lactide oder DL-Lactide, der Glycolide, der Caprolactone wieder ε-Caprolactone und anderer ab.InIn one embodiment, the sparingly water-solublePolymer from the group of natural and / or syntheticPolymers or homo- and co-polymers of corresponding monomersfrom. In particular, the polymer is derived from the group of alkyl cyanoacrylatessuch as the butyl cyanoacrylates and the isobutyl cyanoacrylates,the acrylates, such as the methacrylates, the lactides, for examplethe L-lactide or DL-lactide, the glycolide, the caprolactone likeof ε-caprolactones and others.

Ineiner weiteren Ausführungsform ist besagtes Polymer oderTeil des Polymers ausgewählt aus der Gruppe Polycyanoacrylateund Polyalkylcyanoacrylate (PACA), wie beispielsweise Polybutylcyanoacrylat(PBCA), Polyester wie beispielsweise Poly(DL-Lactide), Poly(L-Lactide),Polyglycolide, Polydioxanone, Polyoxazoline, Poly(Glycolide-co-Trimethylene-Carbonate),Polylactid-co-Glycolide (PLGA) wie beispielsweise Poly(L-Lactide-co-Glycolide)or Poly(DL-Lactide-co-Glycolide), Poly(L-lactide-co-DL-Lactide),Poly(Glycolide-co-Trimethylen), Poly(Carbonate-co-Dioxanone),
Alginsäure,Hyaluronsäure, Polysialinsäure, saure Cellulose-Derivate,saure Stärke-Derivate,
Polysaccharide wie beispielsweiseDextrane, Alginate, Cyclodextrine, Hyaluronsäure, Chitosane,
saurePolyaminosäuren, polymere Proteine wie beispielsweise Collagen,Gelatine oder Albumin,
Polyamide wie beispielsweise Poly(Asparaginsäure),Poly(Glutaminsäure),
Polylysine, Poly(Iminocarbonate)(Poly(carbonate)abgeleitet von Tyrosin, Poly(β-Hydroxybutyrat),
Polyanhydridewie beispielsweise Polysebacidsäure (Poly(SA)),
Poly(adipinsäure),Poly(CPP-SA), Poly(CPH), PolyCPM) aromatische Polyanhydride,
Polyorthoester,
Polycaprolactonewie beispielsweise Poly-ε- oder γ-Caprolactone,Polyphosphorsäure wie Polyphosphate, Polyphosphonate, Polyphosphazene,Polyamide-enamines), Azopolymers, Polyurethane, Dendrimere, Pseudopolymaminosäurenwie auch sämtliche Mischungen und Co-Polymere derselbenVerbindungen.
In a further embodiment, said polymer or part of the polymer is selected from the group of polycyanoacrylates and polyalkylcyanoacrylates (PACA), such as, for example, polybutylcyanoacrylate (PBCA), polyesters, for example poly (DL-lactides), poly (L-lactides), polyglycolides, polydioxanones, Polyoxazolines, poly (glycolide-co-trimethylene carbonates), polylactide-co-glycolides (PLGA) such as poly (L-lactide-co-glycolide) or poly (DL-lactide-co-glycolide), poly (L-lactide -co-DL-lactides), poly (glycolide-co-trimethylene), poly (carbonates-co-dioxanone),
Alginic acid, hyaluronic acid, polysialic acid, acidic cellulose derivatives, acidic starch derivatives,
Polysaccharides such as dextrans, alginates, cyclodextrins, hyaluronic acid, chitosans,
acidic polyamino acids, polymeric proteins such as collagen, gelatin or albumin,
Polyamides such as poly (aspartic acid), poly (glutamic acid),
Polylysine, poly (iminocarbonates) (poly (carbonates) derived from tyrosine, poly (β-hydroxybutyrate),
Polyanhydrides such as polysebacidic acid (poly (SA)),
Poly (adipic acid), poly (CPP-SA), poly (CPH), polyCPM) aromatic polyanhydrides,
polyorthoesters,
Polycaprolactones such as poly-ε- or γ-caprolactones, polyphosphoric acid such as polyphosphates, polyphosphonates, polyphosphazenes, polyamide-enamines), azopolymers, polyurethanes, dendrimers, Pseudopolymaminosäuren as well as all mixtures and co-polymers of the same compounds.

Ineiner bevorzugten Ausführungsform ist das schwer wasserlöslichePolymer ausgewählt aus der Gruppe der folgenden Polymere:
Polyacrylate,Polylactide und Polygylcolide, bzw. deren Co-Polymere.
In a preferred embodiment, the sparingly water-soluble polymer is selected from the group of the following polymers:
Polyacrylates, polylactides and Polygylcolide, or their co-polymers.

Ineiner besonders bevorzugten Ausführungsform ist das schwerwasserlösliche Polymer aus der Gruppe der Polyalkylcyanoacrylate(PACA).InIn a particularly preferred embodiment, this is difficultwater-soluble polymer from the group of polyalkylcyanoacrylates(PACA).

DenAufbau dieser Polyalkylcyanoacrylate zeigt die angegebene Struktur(Formel I), wobei es sich bei dem angegebenen Rest R bevorzugt umlineare und verzweigte Alkylgruppen mir 1 bis 16 Kohlenstoffatomen, eineCyclohexyl-, Benzyl- oder eine Phenylgruppe handelt.

Figure 00130001
Formel (I): StrukturformelPACA, n = 5–20000, bevorzugt n = 5–6000, bzw.n = 5–100The structure of these polyalkylcyanoacrylates shows the structure indicated (formula I), wherein the radical R given is preferably a linear and branched alkyl group having 1 to 16 carbon atoms, a cyclohexyl, benzyl or a phenyl group.
Figure 00130001
Formula (I): Structural formula PACA, n = 5-20,000, preferably n = 5-6000, or n = 5-100

Ineiner weiteren besonders bevorzugten Ausführungsform istdas schwer wasserlösliche Polymer ein Polybutylcyanoacrylat(PBCA) (Formel II).

Figure 00140001
Formel II: StrukturformelPBCA; n = 5–20000 bevorzugt n = 5–6000, bzw. n= 5–100In a further particularly preferred embodiment, the sparingly water-soluble polymer is a polybutyl cyanoacrylate (PBCA) (formula II).
Figure 00140001
Formula II: Structural Formula PBCA; n = 5-20,000, preferably n = 5-6000, or n = 5-100

Dasschwer wasserlösliche Polymer bildet im Sinne der Erfindungden größeren Anteil der Polymermatrix der Partikel.Thepoorly water-soluble polymer forms in the context of the inventionthe larger proportion of the polymer matrix of the particles.

Überraschenderweisekonnte gefunden werden, dass durch den Einbau von Verbindungen mitAminogruppen, inbesondere einem kationischen Polymer, in eine schwerwasserlösliche, feste Polymermatrix Nanopartikel mit einemkationisch geladenen Oberflächenpotential (Zetapotential)erzeugt werden.Surprisinglycould be found that by incorporating compounds withAmino groups, especially a cationic polymer, into one heavywater-soluble, solid polymer matrix nanoparticles with acationically charged surface potential (zeta potential)be generated.

Ineiner Ausführungsform leitet sich das kationische Polymeraus der Gruppe der natürlichen und/oder synthetischen Polymerebzw. aus Homo- und Co-Polymeren entsprechender Monomere ab.InIn one embodiment, the cationic polymer is derivedfrom the group of natural and / or synthetic polymersor from homo- and co-polymers of corresponding monomers.

Alskationische Polymere eignen sich im Sinne dieser Erfindung Polymeremit freien primären, sekundären oder tertiärenAminogruppen, die mit beliebigen niedermolekularen SäurenSalze bilden können, wobei die Salze in wässrig-organischenLösungsmitteln löslich sind. Auch eignen sichPolymere oder deren Salze, die quartäre Ammoniumgruppentragen und in organischen Lösungsmitteln löslichsind.WhenCationic polymers are suitable for the purposes of this invention polymerswith free primary, secondary or tertiaryAmino groups with any low molecular weight acidsSalts can form, the salts in aqueous-organicSolvents are soluble. Also suitablePolymers or their salts, the quaternary ammonium groupsand soluble in organic solventsare.

Ineiner bevorzugten Ausführungsform sind folgende Gruppenkationischer Polymere, Polykationen und Polyaminverbindungen bzw.Polymere aus Homo- und Co-Polymeren entsprechender Monomere besondersgeeignet: Modifizierte natürliche kationische Polymere,kationische Proteine, synthetische kationische Polymere, Aminoalkaneunterschiedlicher Kettenlänge, modifizierte kationischeDextrane, kationische Polysaccharide, kationische Stärke-oder Cellulosederivate, Chitosane, Guarderivate, kationische Cyanoacrylate,Methacrylate und Methacrylamide und solche Monomere und Comonomeredie zur Bildung entsprechender geeigneter Verbindungen genutzt werdenkönnen und die entsprechenden Salze, welche sich mit geeignetenanorganischen oder niedermolekularen organischen Säuenbilden können.Ina preferred embodiment are the following groupscationic polymers, polycations and polyamine compounds orPolymers of homo- and co-polymers of corresponding monomers especiallysuitable: modified natural cationic polymers,cationic proteins, synthetic cationic polymers, aminoalkanesdifferent chain length, modified cationicDextrans, cationic polysaccharides, cationic starchor cellulose derivatives, chitosans, guar derivatives, cationic cyanoacrylates,Methacrylates and methacrylamides and such monomers and comonomerswhich are used to form appropriate appropriate compoundscan and the corresponding salts, which are suitable withinorganic or low molecular weight organic acidscan form.

Dazuzählen insbesondere: Diethylaminoethylmodifizierte Dextrane,Hydroxymethylcellulosetrimethylamin, Polylysin, Protaminsulfat,Hydroxyethylcellulosetrimethylamin, Polyallylaminen, Protaminchlorid,Polyallylaminhydrosalze, Polyamine, Polyvinylbenzyltrimethylammoniumsalze,Polydiallyldimethylammoniumsalze, Polyimidazolin, Polyvinylaminund Polyvinylpyridin, Polyethylenimin (PEI), Putrescin (Butan-1,4-diamin),Spermidin (N-(3-Aminopropyl)butan-1,4-diamin), Spermin (N,N'-bis(3-aminopropyl)butan-1,4-diamin)Dimethylaminoethylacrylat, Poly-N,N-dimethylaminoethylmethacrylat= P(DMEAMA), Dimethylaminopropylacrylamid, Dimethylaminopropylmethacrylamid,Dimethylaminostyrol, Vinylpyridin und Methyldiallylamin, Poly-DADMAC, Guar,deacetyliertes Chitin und die entsprechenden Salze, welche sichmit geeigneten anorganischen oder niedermolekularen organischenSäuen bilden können (Claim 5). Geeignete Säurenzur Salzbildung sind z. B.: Salzsäure, Schwefelsäure,insbesondere aber auch Essigsäure, Glycolsäureoder Milchsäure.Toinclude in particular: diethylaminoethyl-modified dextrans,Hydroxymethylcellulosetrimethylamine, polylysine, protamine sulfate,Hydroxyethylcellulosetrimethylamine, polyallylamines, protamine chloride,Polyallylamine hydrosalts, polyamines, polyvinylbenzyltrimethylammonium salts,Polydiallyldimethylammonium salts, polyimidazoline, polyvinylamineand polyvinylpyridine, polyethyleneimine (PEI), putrescine (butane-1,4-diamine),Spermidine (N- (3-aminopropyl) butane-1,4-diamine), spermine (N, N'-bis (3-aminopropyl) butane-1,4-diamine)Dimethylaminoethyl acrylate, poly-N, N-dimethylaminoethyl methacrylate= P (DMEAMA), dimethylaminopropylacrylamide, dimethylaminopropylmethacrylamide,Dimethylaminostyrene, vinylpyridine and methyldiallylamine, poly-DADMAC, guar,deacetylated chitin and the corresponding salts which arewith suitable inorganic or low molecular weight organicSowing can form (Claim 5). Suitable acidsfor salt formation are z. B.: Hydrochloric acid, sulfuric acid,but especially acetic acid, glycolic acidor lactic acid.

Ineiner Ausführungsform kann die aminogruppentragende Verbindung,insbesondere ein kationisches Polymer, in einem organischen Lösungsmittel,welches unbegrenzt mit Wasser mischbar ist, vorzugsweise Aceton,Methanol, Ethanol, Propanol, Dimetylsulfoxid (DMSO), oder in einemGemisch aus diesen Lösungsmitteln mit Wasser gelöstwerden.InIn one embodiment, the amino group-bearing compound,in particular a cationic polymer, in an organic solvent,which is infinitely miscible with water, preferably acetone,Methanol, ethanol, propanol, Dimetylsulfoxid (DMSO), or in oneMixture of these solvents dissolved with waterbecome.

Ineiner bevorzugten Ausführungsform enthalten die Polymernanopartikelals Aminogruppen tragende Verbindung ein kationisch modifiziertesPolyacrylat (Poly-N,N-dimethylaminoethylmethacrylat, P(DMAEMA)) (Formel3).

Figure 00150001
Formel(III): Strukturformel P(DMAEMA), n = 5–20000, bevorzugtn = 5–6000, bzw. n = 5–100 oder P(DMAPMAM)= Poly(N,N-Dimethylaminopropylmethacrylamid)
Figure 00160001
In a preferred embodiment, the polymer nanoparticles contain, as the amino group-bearing compound, a cationically modified polyacrylate (poly-N, N-dimethylaminoethyl methacrylate, P (DMAEMA)) (Formula 3).
Figure 00150001
Formula (III): Structural formula P (DMAEMA), n = 5-20,000, preferably n = 5-6000, or n = 5-100 or P (DMAPMAM) = poly (N, N-dimethylaminopropylmethacrylamide)
Figure 00160001

Dasbiologisch abbaubare, kationisch modifizierte Polyacrylat, z. B.P(DMAEMA), P(DMAPMAM) wird in die Polymermatrix, insbesondere diePBCA-Polymermatrix, mittels Nanopräzipitation verkapselt.Die Oberfläche der resultierenden Nanopartikel weist aufgrundder Aminogruppen des kationischen Polymers ein positives (kationisches)Oberflächenpotential (Zetapotential) auf. Die kationischePartikeloberfläche gewährleistet eine gute Zellaufnahmeund ermöglicht eine flexible elektrostatische Oberflächenmodifikationmit partiell anionisch geladenen Verbindungen.Thebiodegradable, cationically modified polyacrylate, e.g. B.P (DMAEMA), P (DMAPMAM) is incorporated into the polymer matrix, in particular thePBCA polymer matrix, encapsulated by nanoprecipitation.The surface of the resulting nanoparticles is due tothe amino groups of the cationic polymer have a positive (cationic)Surface potential (zeta potential). The cationicParticle surface ensures good cell uptakeand allows a flexible electrostatic surface modificationwith partially anionically charged compounds.

Ineiner anderen bevorzugten Ausführungsform enthalten diePolymernanopartikel als kationisches Polymer ein modifiziertes PolyacrylatPoly(Dimethylaminopropylmethacrylamid (P(DMAPMAM)).InIn another preferred embodiment, thePolymer nanoparticles as cationic polymer a modified polyacrylatePoly (dimethylaminopropylmethacrylamide (P (DMAPMAM)).

Ineiner weiteren Ausführungsform enthalten die Polymernanopartikelals kationisches Polymer Polyethylenimin (PEI) verschiedener Molekulargewichte,insbesondere 1,8 kDa, 10 kDa, 70 kDa sowie 750 kDa, (Formel 4).InIn another embodiment, the polymer nanoparticles containas a cationic polymer polyethyleneimine (PEI) of different molecular weights,in particular 1.8 kDa, 10 kDa, 70 kDa and 750 kDa, (formula 4).

PEIist ein im Bereich der nicht-viralen Gentherapie für DNA-Polyplexe(PEK) häufig verwendetes und dementsprechend viel untersuchtesPolykation [Remy J. -S. et al., Adv. Drug Deliv. Rev., 1998;30(1–3): 85–95].

Figure 00170001
Formel(IV): Allgemeine Strukturformel für verzweigtes Polyethylenimin,wobei x, y und z = 10–50%, bevorzugt x, y und z = 20–40%sind und in die Geamtheit der Anteile 100% ergibtPEI is a polycation frequently used in the field of non-viral gene therapy for DNA polyplexes (PEK) and accordingly much studied [ Remy J. -S. et al., Adv. Drug Deliv. Rev., 1998; 30 (1-3): 85-95 ].
Figure 00170001
Formula (IV): General structural formula for branched polyethylenimine, wherein x, y and z = 10-50%, preferably x, y and z = 20-40%, giving 100% in the entirety of the proportions

Aufgrundder Verkapselung des kationischen Polyelektrolyten PEI in die PBCA-Polymermatrixbesteht die Partikelhülle aus PEI-Polymerketten, welcheein kationisches Oberflächenpotential erzeugen.by virtue ofthe encapsulation of the cationic polyelectrolyte PEI in the PBCA polymer matrixthe particle shell consists of PEI polymer chains, whichcreate a cationic surface potential.

Zusätzlichkönnen erfindungsgemäß neben den zuvorgenannten kationischen Polymeren bzw. Verbindungen mit Aminogruppendiagnostische aber auch therapeutische Substanzen in die Polymermatrixmittels Nanopräzipitation eingeschlossen werden.additionallycan according to the invention in addition to the previouslymentioned cationic polymers or compounds with amino groupsdiagnostic but also therapeutic substances in the polymer matrixbe encapsulated by nanoprecipitation.

Alsdiagnostische Substanzen zur Verkapselung können folgendeSubstanzklassen für unterschiedliche Molecular-Imaging-Methodenherangezogen werden, insbesondere sind hier Kontrastmittel oderTracer für folgende Methode für molekulare Bildgebung(Molecular Imaging) zu nennen: die optische Bildgebung (opticalImaging), wie z. B. DOT (diffuse optical imaging), US (ultrasoundimaging), OPT (optical projection tomography), Nah-Infrarot-Fluoreszenz-Bildgebung,Fluoreszenz-Protein-Bildgebung und BLI (bioluminescence imaging)und die Magnetresonanztomographie (MRT, MRI) bzw. Röngenbildgebung(X-ray). Es sind aber auch noch andere Methoden denkbar. Die Verkapselungeiner geeigneten diagnostischen Substanz aus gennanten Substanzgruppenermöglicht eine Detektion der Partikel in vitro und/oderin vivo.WhenDiagnostic substances for encapsulation may be the followingSubstance classes for different molecular imaging methodsIn particular, here are contrast agents orTracer for the following method for molecular imaging(Molecular Imaging): optical imaging (opticalImaging), such. DOT (diffuse optical imaging), US (ultrasoundimaging), OPT (optical projection tomography), near-infrared fluorescence imaging,Fluorescence protein imaging and BLI (bioluminescence imaging)and magnetic resonance imaging (MRI, MRI) or X-ray imaging(X-ray). But there are also other methods conceivable. The encapsulationa suitable diagnostic substance from named substance groupsallows detection of the particles in vitro and / orin vivo.

Ineiner bevorzugten Ausführungsform handelt es sich bei demdiagnostischen Agens um Farbstoffe, insbesondere ausgewähltaus folgender Gruppe: Fluorescein, Fluorescein-isothiocyanat, Carboxyfluorescein oderCalcein, Tetrabromfluoresceine oder Eosine, Tertaiodfluoresceinoder Erythrosine, Difluorofluorescein, wie Oregon GreenTM 488,Oregon GreenTM 500 oder Oregon GreenTM 514, Carboxyrhodol (Rhodol GreenTM)-Farbstoffe (US 5,227,487;US 5,442,045), Carboxyrodamin-Farbstoffe(Rhodamine GreenTM Dyes) (US 5,366,860), 4,4-Difluoro-4-bora-3a,4a-diaza-indacene,wie z. B. Dodipy FL, Bodipy 493/503 oder Bodipy 530/550 und Derivatedavon (US 4,774,339;US 5,187,288;US 5,248,782;US 5,433,896;US 5,451,663), Polymethin-Farbstoffe,Coumarinfarbstoffe wie z. B. Cumarin 6, 7-Amino-4-methylcoumarin,Metallkomplexe von DTPA oder Tetraazamacrozyclen (Cyclen, Pyvlen)mit Terbium oder Europium oder Tetrapyrrolfarbstoffe, insbesonderePorphyrine.In a preferred embodiment, the diagnostic agent is a dye, in particular selected from the following group: fluorescein, fluorescein isothiocyanate, carboxyfluorescein or calcein, tetrabromfluoresceins or eosines, tertaiodefluorescein or erythrosines, difluorofluorescein, such as Oregon Green 488, Oregon Green 500 or Oregon Green 514, Carboxyrhodol (Rhodol Green ) dyes ( US 5,227,487 ; US 5,442,045 ), Carboxyrodamine dyes (Rhodamine Green Dyes) ( US 5,366,860 ), 4,4-difluoro-4-bora-3a, 4a-diaza-indacenes, such as. Dodipy FL, Bodipy 493/503 or Bodipy 530/550 and derivatives thereof ( US 4,774,339 ; US 5,187,288 ; US 5,248,782 ; US 5,433,896 ; US 5,451,663 ), Polymethine dyes, coumarin dyes such. As coumarin 6, 7-amino-4-methylcoumarin, metal complexes of DTPA or Tetraazamacrozyclen (Cyclen, Pyvlen) with terbium or europium or Tetrapyrrolfarbstoffe, especially porphyrins.

Ineiner Ausführungsform handelt es sich bei der diagnostischenSubstanz um einen fluoreszenzaktiven Farbstoff.Inone embodiment is the diagnosticSubstance about a fluorescent dye.

Ineiner weiteren Ausführungsform handelt es sich bei demdiagnostischen Agens um einen fluoreszierenden Nah-Infrarot(NIR)-Farbstoff.Ina further embodiment is in thediagnostic agent to a fluorescent near-infrared (NIR) dye.

Diesebevorzugt für Optical Imaging verwendeten NIR-Farbstoffeabsorbieren und emittieren Licht im NIR-Bereich zwischen 650 nmund 1000 nm. Die bevorzugten Farbstoffe gehören zur Klasseder Polymethinfarbstoffe und sind aus folgenden Gruppen ausgewählt:Carbocyanine wie beispielsweise Diethyloxacarbocyanin (DOC), Diethyloxadicarbocyanin(DODC), Diethyloxatricarbocyanin (DOTC), Indodi- oder Indotricarbocyanine,Tricarbocyanine, Merocyanine, Oxonolfarbstoffe (WO 96/17628), Rhodaminfarbstoffe,Phenoxazin- oder Phenothiazinfarbstoffe, Tetrapyrrolfarbstoffe,insbesondere Benzoporphyrine, Chorine und Phthalocyanine.These NIR dyes, preferably used for optical imaging, absorb and emit light in the NIR range between 650 nm and 1000 nm. The preferred dyes belong to the class of polymethine dyes and are selected from the following groups: carbocyanines such as diethyloxacarbocyanine (DOC), diethyloxadicarbocyanine (DODC ), Diethyloxatricarbocyanine (DOTC), indodi or indotricarbocyanines, tricarbocyanines, merocyanines, oxonol dyes (DOTC) WO 96/17628 ), Rhodamine dyes, phenoxazine or phenothiazine dyes, tetrapyrrole dyes, especially benzoporphyrins, chorine and phthalocyanines.

Dieoben genannten Farbstoffe können entweder als Säurenoder als Salze eingesetzt werden. Geeignete anorganische Kationenbzw. Gegenionen für diese Farbstoffe sind beispielsweisedas Lithiumion, das Kaliumion, das Wasserstoffion und insbesonderedas Natriumion. Geeignete Kationen organischer Basen sind unteranderem solche von primären, sekundären oder tertiärenAminen, wie zum Beispiel Ethanolamin, Diethanolamin, Morpholin, Glucamin,N,N-Dimethylglucamin und insbesondere N-Methylglucamin und Polyethylenimin.Geeignete Kationen von Aminosäuren sind beispielsweisedie des Lysins, des Arginins und des Ornithins sowie die Amide ansonstensaurer oder neutraler Aminosäuren.TheAbove mentioned dyes can be used either as acidsor used as salts. Suitable inorganic cationsor counterions for these dyes are, for examplethe lithium ion, the potassium ion, the hydrogen ion and in particularthe sodium ion. Suitable cations of organic bases are undersuch as primary, secondary or tertiaryAmines, such as ethanolamine, diethanolamine, morpholine, glucamine,N, N-dimethylglucamine and especially N-methylglucamine and polyethyleneimine.Suitable cations of amino acids are, for examplethose of lysine, arginine and ornithine, as well as amides otherwiseacidic or neutral amino acids.

Ebensokönnen die Farbstoffe können als Basen oder alsSalze von diesen eingesetzt werden.As wellThe dyes can be used as bases or asSalts of these are used.

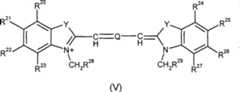
Ineiner ganz besonders bevorzugten Ausführungsform handeltes sich bei der diagnostischen Substanz um einen Carbocyanin-Farbstoff.Die allgemeine Struktur der Carbocyanine wird wie folgt beschrieben (FormelV).

Figure 00190001
wobeiQ ein Fragment
Figure 00190002
wobei
R30 für ein Wasserstoffatom, eineHydroxygruppe, eine Carboxygruppe, einen Alkoxyrest mit 1 bis 4Kohlenstoffatomen oder ein Chloratom steht,
R31 fürein Wasserstoffatom oder einen Alkylrest mit 1 bis 4 Kohlenstoffatomensteht,
X und Y unabhängig voneinander fürein Fragment -O-, -S-, -CH=CH- oder -C(CH2R32)(CH2R33)-stehen,
R20 bis R29,R32 und R33 unabhängigvoneinander für ein Wasserstoffatom, eine Hydroxygruppe,einen Carboxy-, einen Sulfonsäure-Rest oder einen Carboxyalkyl –,Alkoxycarbonyl- oder Alkoxyoxoalkyl- Rest mit bis zu 10 C-Atomenoder ein Sulfoalkylrest mit bis zu 4 C-Atomen, oder fürein nicht spezifisch bindendes Makromolekül, oder füreinen Rest der allgemeinen Formel VI-(O)v-(CH2)o-CO-NR34-(CH2)s-(NH-CO)q-R35 (VI)steht,
mitder Massgabe, dass bei der Bedeutung von X und Y gleich O, S, -CH=CH-oder -C(CH3)2- mindestenseiner der Reste R20 bis R29 einemnicht spezifisch bindenden Makromolekül oder der allgemeinenFormel VI entspricht,
wobei
o und s gleich 0 sind oderunabhängig voneinander für eine ganze Zahl von1 bis 6 stehen,
q und v unabhängig voneinander für0 oder 1 stehen,
R34 ein Wasserstoffatomoder einen Methylrest darstellt,
R35 einAlkylrest mit 3 bis 6 C-Atomen, welcher 2 bis n-1 Hydroxygruppenaufweist, wobei n die Anzahl der C-Atome ist, oder ein mit 1 bis3 Carboxygruppen substituierter Alkylrest mit 1 bis 6 C-Atomen,Arylrest mit 6 bis 9 C-Atomen oder Arylalkylrest mit 7 bis 15 C-Atomen,oder ein Rest der allgemeinen Formel IIId oder IIIe
Figure 00200001
ist, unterder Massgabe, dass q für 1 steht,
oder ein nicht spezifischbindendes Makromolekül bedeutet,
R20 undR21, R21 und R22, R22 und R23, R24 und R25, R25 und R26, R26 und R27 zusammen mit den zwischen ihnen liegendenKohlenstoffatomen einen 5- oder 6-gliedrigen aromatischen oder gesättigtenannelierten Ring bilden, sowie deren physiologisch verträglicheSalze.In a most preferred embodiment, the diagnostic substance is a carbocyanine dye. The general structure of the carbocyanines is described as follows (Formula V).
Figure 00190001
where Q is a fragment
Figure 00190002
in which
R30 represents a hydrogen atom, a hydroxy group, a carboxy group, an alkoxy radical having 1 to 4 carbon atoms or a chlorine atom,
R31 is a hydrogen atom or an alkyl radical having 1 to 4 carbon atoms,
X and Y independently of one another represent a fragment -O-, -S-, -CH = CH- or -C (CH2 R32 ) (CH2 R33 ) -,
R20 to R29 , R32 and R33 independently of one another represent a hydrogen atom, a hydroxy group, a carboxy, a sulfonic acid radical or a carboxyalkyl, alkoxycarbonyl or alkoxyoxoalkyl radical having up to 10 C atoms or a sulfoalkyl radical up to 4 carbon atoms, or for a non-specific binding macromolecule, or for a radical of general formula VI - (O) v- (CH 2 ) O-CO-NR 34 - (CH2) s- (NH-CO) q 35 (VI) stands,
with the proviso that in the meaning of X and Y is O, S, -CH = CH- or -C (CH3 )2 - at least one of R20 to R29 is a non-specifically binding macromolecule or the general formula VI corresponds,
in which
o and s are 0 or independently of one another are an integer from 1 to 6,
q and v are independently 0 or 1,
R34 represents a hydrogen atom or a methyl radical,
R35 is an alkyl radical having 3 to 6 C atoms, which has 2 to n-1 hydroxy groups, where n is the number of Is C atoms, or an alkyl radical having 1 to 6 C atoms substituted with 1 to 3 carboxy groups, aryl radical having 6 to 9 C atoms or arylalkyl radical having 7 to 15 C atoms, or a radical of the general formula IIId or IIIe
Figure 00200001
is, with the proviso that q stands for 1,
or a non-specific binding macromolecule means
R20 and R21 , R21 and R22 , R22 and R23 , R24 and R25 , R25 and R26 , R26 and R27 together with the carbon atoms between them a 5- or 6-membered aromatic or form a saturated fused ring, and their physiologically acceptable salts.

Formel 8: Allgemeine Struktur der CarbocyanineFormula 8: General structure of carbocyanines

ImFalle der Carbocyanine wird Bezug auf die AnmeldungenDE 44 45 065 undDE 69 91 1034 genommen, deren Inhalthiermit Gegenstand dieser Anmeldung sein soll.In the case of carbocyanines, reference is made to the applications DE 44 45 065 and DE 69 91 1034 taken, the content of which should be the subject of this application.

Unerwarteterweisekönnen anionische, gut wasserlösliche Substanzenwie bestimmte Carbocyanine in die hydrophobe Polymermatrix der beschriebenenNanopartikel stabil eingeschlossen werden.unexpectedlycan be anionic, readily water-soluble substanceshow certain carbocyanins in the hydrophobic polymer matrix describedStably included nanoparticles.

ImSinne der Erfindung wird eine anionische wasserlöslicheSubstanz mittels Ionenkomplexbildung und Co-Präzipitationmit einem kationischem Polymer in einer schwer wasserlöslichenPolymermatrix durch Nanopräzipitation verkapselt, wobeiPartikel definierter Größe entstehen.in theAccording to the invention is an anionic water-solubleSubstance by ion complex formation and co-precipitationwith a cationic polymer in a slightly water-solublePolymer matrix encapsulated by nanoprecipitation, whereinParticles of defined size arise.

Durchden Einbau eines NIR-aktiven Fluoreszenzfarbstoffes in die Polymermatrixder Partikel sind diese mittels Optical Imaging nicht-invasiv imGewebe über Fluoreszenz detektierbar. Es besteht damitin vivo die Möglichkeit, die Verteilung bzw. Anreicherungfluoreszensmarkierter Nanopartikel zu detektieren.Bythe incorporation of an NIR-active fluorescent dye in the polymer matrixThe particles are non-invasive by means of optical imagingTissue detectable via fluorescence. It exists with itin vivo the possibility of distribution or enrichmentfluorescently labeled nanoparticles to detect.

Ineiner besonders bevorzugten Ausführungsform handelt essich bei dem Carbocyanin-Farbstoff um das gut wasserlöslicheanionische Tetrasulfocyanin (TSC) (Formel VIII).

Figure 00210001
Formel(VIII): Tetrasulfocyanin/TSCIn a particularly preferred embodiment, the carbocyanine dye is the readily water-soluble anionic tetrasulfocyanine (TSC) (formula VIII).
Figure 00210001
Formula (VIII): Tetrasulfocyanine / TSC

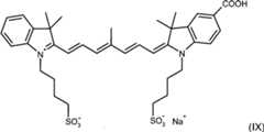
Ineiner anderen bevorzugten Ausführungsform handelt es sichbei dem Carbocyanin-Farbstoff um IDCC (Indodicarbocyanin) (FormelIX).

Figure 00220001
Formel(IX): Indodicarbocyanin/IDCCIn another preferred embodiment, the carbocyanine dye is IDCC (indodicarbocyanine) (Formula IX).
Figure 00220001
Formula (IX): Indodicarbocyanine / IDCC

Ineiner weiteren bevorzugten Ausführungsform handelt es sichbei dem Carbocyanin-Farbstoff um ICG (Indocyaningrün) (Formel11).

Figure 00220002
Formel(X): Indocyaningrün (ICG)In another preferred embodiment, the carbocyanine dye is ICG (indocyanine green) (Formula 11).
Figure 00220002
Formula (X): Indocyanine Green (ICG)

Inder erfindungsgemäßen Ausführungsformhandelt es sich bei der verkapselten pharmazeutisch aktiven Substanzum ein Epothilon.Inthe embodiment of the inventionit is the encapsulated pharmaceutically active substancearound an epothilone.

Inweiteren Ausführungsformen der vorliegenden Erfindung istdas Epothilon definiert durch die allgemeinen Formel (XI),

Figure 00230001
worin
R1a,R1b unabhängig voneinander Wasserstoff,C1-C10-Alkyl, Aryl,Aralkyl, oder zusammen eine Gruppe -(CH2)m
wobei m 2 bis 5 bedeutet;
R2a, R2b unabhängigvoneinander Wasserstoff, C1-C10-Alkyl,C2-C10-Alkenyl C2-C10-Alkinyl, Aryl,Aralkyl, oder zusammen eine Gruppe -(CH2)n- wobei n 2 bis 5 bedeutet,
R3 Wasserstoff, C1-C10 Alkyl, Aryl, Aralkyl;
R4a,R4b unabhängig voneinander Wasserstoff,C1-C10-Alkyl, Aryl,Aralkyl, oder zusammen eine Gruppe -(CH2)p-
wobei p 2 to 5 bedeutet;
R5 Wasserstoff, C1-C10-Alkyl, Aryl, Aralkyl, CO2H,CO2Alkyl, CH2OH,CH2O-C1-C5-Alkyl, CH2OAcyl,CN, CH2NH2, CH2N((C1-C5-Alkyl),Acyl)1,2, or CH2Hal,CHal3;
R6,R7 unabhängig voneinander Wasserstoff,oder zusammen eine weitere Bindung oder eine Epoxid Funktion;
GO oder CH2;
D–E zusammen dieGruppe -H2C-CH2-,-HC=CH-, -C≡C-, -CH(OH)-CH(OH)-, -CH(OH)-CH2-,-CH2-CH(OH)-, -CH2-O-, -O-CH2- or
Figure 00240001
wobei wenn G Sauerstoff bedeutet,D-E nicht CH2-O sein kann; oder
D-E-Gzusammen die Gruppe H2C-CH=CH
W dieGruppe C(=X)R8, oder ein bi- or trizyklischeraromatischer oder heteroaromatischer Rest;
X O oder die GruppeCR9R10;
R8 Wasserstoff, C1-C10 Alkyl, Aryl, Aralkyl, Halogen, CN;
R9, R10 unabhängigvoneinander Wasserstoff, C1-C20-Alkyl,Aryl, Aralkyl, oder zusammen mit dem Methylenkohlenstoffatom einen5- bis 7-gliedrigen carbozyklischen Ring;
Z O oder Wasserstoffund die Gruppe OR11;
R11 Wasserstoffder eine Schutzgruppe PGZ;
A-Y eineGruppe O-C(=O), O-CH2, CH2-C(=O),NR12-C(=O), NR12-SO2;
R12 Wasserstoff,oder C1-C10 Alkyl;
PGZ C1-C20 Alkyl,eine C4-C7 Cycloalkylgruppe,die ein oder mehrere Sauerstoffatome im Ring enthalten kann, Aryl,Aralkyl, C1-C20 Acyl,Aroyl, C1-C20 Alkylsulfonyl,Arylsulfonyl, Tri(C1-C20alkyl)silyl,Di(C1-C20alkyl)Arylsilyl, (C1-C20Alkyl)diarylsilyl,or Tri(aralkyl)silyl;
als einzelnes Stereoisomer oder als Mischungaus verschiedenen Stereoisomeren und/oder als pharmazeutisch akzeptablesSalz verkapselt ist.In further embodiments of the present invention, the epothilone is defined by the general formula (XI)
Figure 00230001
wherein
R1a , R1b independently of one another are hydrogen, C1 -C10 -alkyl, aryl, aralkyl, or together a group - (CH2 )m
where m is 2 to 5;
R2a , R2b independently of one another are hydrogen, C1 -C10 -alkyl, C2 -C10 -alkenyl C2 -C10 -alkynyl, aryl, aralkyl, or together a group - (CH2 )n - where n is 2 to 5 means
R3 is hydrogen, C1 -C10 alkyl, aryl, aralkyl;
R4a , R4b independently of one another are hydrogen, C1 -C10 -alkyl, aryl, aralkyl, or together a group - (CH2 )p -
where p is 2 to 5;
R5 is hydrogen, C1 -C10 alkyl, aryl, aralkyl, CO2 H, CO2 alkyl, CH2 OH, CH2 OC1 -C5 alkyl, CH2 O acyl, CN, CH2 NH2 , CH2 N ((C1 -C5 alkyl), acyl)1,2, or CH2 Hal, CHal3;
R6 , R7 are independently hydrogen, or together another bond or an epoxide function;
G is O or CH2;
D-E together form the group -H2 C-CH2 -, -HC = CH-, -C≡C-, -CH (OH) -CH (OH) -, -CH (OH) -CH2 -, - CH2 -CH (OH) -, -CH2 -O-, -O-CH2 - or
Figure 00240001
where G is oxygen, DE can not be CH2 -O; or
DEG together the group H2 C-CH = CH
W is the group C (= X) R8 , or a bi- or tricyclic aromatic or heteroaromatic radical;
XO or the group CR9 R10 ;
R8 is hydrogen, C1 -C10 alkyl, aryl, aralkyl, halogen, CN;
R9 , R10 independently of one another are hydrogen, C1 -C20 -alkyl, aryl, aralkyl or together with the methylene carbon atom a 5- to 7-membered carbocyclic ring;
ZO or hydrogen and the group OR11 ;
R11 is hydrogen of a protective group PGZ ;
AY is a group OC (= O), O-CH2 , CH2 -C (= O), NR12 -C (= O), NR12 -SO2 ;
R12 is hydrogen, or C1 -C10 alkyl;
PGZ C1 -C20 alkyl, a C4 -C7 cycloalkyl group which may contain one or more oxygen atoms in the ring, aryl, aralkyl, C1 -C20 acyl, aroyl, C1 -C20 alkylsulfonyl, arylsulfonyl, tri (C1 -C20 alkyl) silyl, di (C1 -C20 alkyl) arylsilyl, (C1 -C20 alkyl) diarylsilyl, or tri (aralkyl) silyl;
is encapsulated as a single stereoisomer or as a mixture of different stereoisomers and / or as a pharmaceutically acceptable salt.

Füreine andere Ausführungsform der vorliegenden Erfindungist das Epothilon definiert durch die Formel (XI),
worin
R1a, R1b unabhängigvoneinander Wasserstoff, C1-C4-Alkyl,oder zusammen die Gruppe -(CH2)m-wobei m 2 to 5 bedeutet;
R2a, R2b unabhängig voneinander Wasserstoff,C1-C5-Alkyl, oderzusammen die Gruppe -(CH2)m-wobei m 2 to 5 bedeutet, oder C2-C6-Alkenyl, oder C2-C6-Alkinyl;
R3 Wasserstoff,
R4a, R4b unabhängigvoneinander Wasserstoff, C1-C4-Alkyl,
R5 Wasserstoff, C1-C4-Alkyl, C(Hal)3
R6, R7 beide Wasserstoff,oder zusammen eine weitere Bindung, oder zusammen eine Epoxid Funktion,
GCH2;
D-E die Gruppe H2C-CH2, oder
D-E-G zusammen die Gruppe H2C-CH=CH
W die Gruppe C(=X)R8, oder ein bi- or tricyclischer aromatischeroder heteroaromatischer Rest;
X die Gruppe CR9R10;
R8 Wasserstoff,C1-C4-Alkyl, Halogen,
R9, R10 beide unabhängigvoneinander Wasserstoff, C1-C4-Alkyl,Aryl, Aralkyl,
Z Sauerstoff
A-Y die Gruppe O-C(=O) oderdie Gruppe NR12-C(=O)
R12 Wasserstoff,oder C1-C4-Alkyl;
alseinzelnes Stereoisomer oder als Mischung aus verschiedenen Stereoisomerenund/oder als pharmazeutisch akzeptable Salze, verkapselt.
For another embodiment of the present invention, the epothilone is defined by the formula (XI)
wherein
R1a , R1b independently of one another are hydrogen, C1 -C4 -alkyl, or together the group - (CH2 )m - where m is 2 to 5;
R2a , R2b independently of one another are hydrogen, C1 -C5 -alkyl, or together form the group - (CH2 )m - where m is 2 to 5, or C2 -C6 -alkenyl, or C2 -C6 alkynyl;
R3 is hydrogen,
R4a , R4b independently of one another are hydrogen, C1 -C4 -alkyl,
R5 is hydrogen, C1 -C4 -alkyl, C (Hal)3
R6 , R7 are both hydrogen, or together another bond, or together an epoxide function,
G CH2 ;
DE is the group H2 C-CH2 , or
DEG together the group H2 C-CH = CH
W is the group C (= X) R8 , or a bi- or tricyclic aromatic or heteroaromatic radical;
X is the group CR9 R10 ;
R8 is hydrogen, C1 -C4 -alkyl, halogen,
R9 , R10 are each, independently of one another, hydrogen, C1 -C4 -alkyl, aryl, aralkyl,
Z oxygen
AY is the group OC (= O) or the group NR12 -C (= O)
R12 is hydrogen, or C1 -C4 alkyl;
encapsulated as a single stereoisomer or as a mixture of different stereoisomers and / or as pharmaceutically acceptable salts.

Ineiner weiteren Ausführungsform werden Epothilone der allgemeinenFormel (XI), worin
R1a, R1b beideunabhängig voneinander Wasserstoff, are each independentlyhydrogen, C1-C2 Alkyl,oder zusammen eine Gruppe -(CH2)m- wobei m 2 to 5 bedeutet,
R2a, R2b beide unabhängigvoneinander Wasserstoff, C1-C5 Alkyl,oder zusammen die Gruppe a -(CH2)n- wobei n 2 to 5 bedeutet, oder C2-C6 Alkenyl, orC2-C6 Alkinyl;
R3 Wasserstoff,
R4a,R4b beide unabhängig voneinanderWasserstoff, C1-C2 Alkyl,
R5 Wasserstoff oder Methyl oder Trifluormethyl,
R6, R7 zusammen eineweitere Bindung, oder zusammen eine Epoxid Funktion;
G CH2;
D-E die Gruppe H2C-CH2,
D-E-G zusammen die Gruppe H2C-CH=CH
W Die Gruppe C(=X)R8, oder Thiazolyl, Oxazolyl, Pyridyl, N-oxo-Pyridyl;Benzothiazolyl, Benzoxazolyl, Benzimidazolyl, die gegebenenfallssubstituiert sein können durch C1-C3-Alkyl, C1-C3-Hydroxyalkyl, C1-C3-Aminoalkyl, C1-C3-Alkylsulfonyl
X die Gruppe CR9R10;
R8 Wasserstoff, Methyl, Chlor, Fluor,
R9, R10 beide unabhängigvoneinander Wasserstoff, C1-C4-Alkyl,Thiazolyl, Oxazolyl, Pyridyl, N-oxo-Pyridyl, die gegebenenfallssubstituiert sein können durch C1-C3-Alkyl, C1-C3-Hydroxyalkyl, Aralkyl,
Z Sauerstoff
A-Ydie Gruppe O-C(=O), oder die Gruppe NR12-C(=O)
R12 Wasserstoff oder C1-C4-Aalkyl;
als einzelnes Stereoisomeroder als Mischung von verschiedenen Stereoisomeren und/oder alspharamzeutisch akzeptables Salz, verkapselt.
In a further embodiment, epothilones of the general formula (XI), in which
R1a , R1b are each independently hydrogen, are each independently hydrogen, C1 -C2 alkyl, or together form a group - (CH2 )m - where m is 2 to 5,
R2a , R2b are each independently hydrogen, C1 -C5 alkyl, or together the group a - (CH2 )n - wherein n is 2 to 5, or C2 -C6 alkenyl, or C2 -C6 alkynyl;
R3 is hydrogen,
R4a , R4b are both independently hydrogen, C1 -C2 alkyl,
R5 is hydrogen or methyl or trifluoromethyl,
R6 , R7 together form another bond, or together an epoxide function;
G CH2 ;
DE is the group H2 C-CH2 ,
DEG together the group H2 C-CH = CH
W The group C (= X) R8 , or thiazolyl, oxazolyl, pyridyl, N-oxo-pyridyl; Benzothiazolyl, benzoxazolyl, benzimidazolyl, which may be optionally substituted by C1 -C3 alkyl, C1 -C3 hydroxyalkyl, C1 -C3 aminoalkyl, C1 -C3 alkylsulfonyl
X is the group CR9 R10 ;
R8 is hydrogen, methyl, chlorine, fluorine,
R9 , R10 are each, independently of one another, hydrogen, C1 -C4 -alkyl, thiazolyl, oxazolyl, pyridyl, N-oxo-pyridyl, which may optionally be substituted by C1 -C3 -alkyl, C1 -C3 - Hydroxyalkyl, aralkyl,
Z oxygen
AY is the group OC (= O), or the group NR12 -C (= O)
R12 is hydrogen or C1 -C4 -alkyl;
encapsulated as a single stereoisomer or as a mixture of different stereoisomers and / or as a pharmaceutically acceptable salt.

Ineiner weiteren Ausführungsform werden Epothilone der allgemeinenFormel (XI), worin A-Y O-C(=O); D-E is H2C-CH2; G CH2; Z O; R1a, R1b C1-C10-Alkyl oderzusammen eine -(CH2)p-Gruppe, wobei p 2 bis 3 ist; R2a, R2b unabhängig voneinander Wasserstoff,C1-C10-Alkyl, C2-C10-Alkenyl, oderC2-C10-Alkynyl;R3 Wasserstoff; R4a,R4b unabhängig voneinander Wasserstoffoder C1-C10-Alkylund R5 C1-C10-Alkyl bedeuten, verkapselt.In another embodiment, epothilones of general formula (XI) wherein AY is OC (= O); DE is H2 C-CH2 ; G CH2 ; ZO; R1a , R1b is C1 -C10 -alkyl or together a - (CH2 )p - group, wherein p is 2 to 3; R2a , R2b independently of one another are hydrogen, C1 -C10 -alkyl, C2 -C10 -alkenyl, or C2 -C10 -alkynyl; R3 is hydrogen; R4a , R4b are independently hydrogen or C1 -C10 alkyl and R5 is C1 -C10 alkyl encapsulated.

Ineiner weiteren Ausführungeform werden Epothilone der allgmeinenFormel (XI), worin R2a, R2b unabhängigvoneinander Wasserstoff, C2-C10-Alkenyloder C2-C10-Alkynyl;R6, R7 zusammeneine Epoxid Funktion und W eine 2-Methylbenzothiazol-5-yl Gruppeoder eine 2-Methylbenzoxazol-5-yl Gruppe oder eine Quinoline-7-ylGruppe bedeutet.In another embodiment, epothilones of general formula (XI) wherein R2a , R2b are independently hydrogen, C2 -C10 alkenyl or C2 -C10 alkynyl; R6 , R7 together represents an epoxide function and W represents a 2-methylbenzothiazol-5-yl group or a 2-methylbenzoxazol-5-yl group or a quinoline-7-yl group.

Ineiner bevorzugten Ausführungsform werden Epothilone derallgmeinen Formel (XI) verkapselt, die in der folgedenden Listeaufgeführt sind:
(4S,7R,8S,9S,13E/Z,16S)-4,8-Dihydroxy-16-(2-methyl-benzoxazol-5-yl)-1-oxa-5,5,9,13-tetramethyl-7-(prop-2-en-1-yl)-cyclohexadec-13-en-2,6-dion;
(1S/R,3S,7S,10R,11R,12S,16R/S)-7,11-Dihydroxy-10-(prop-2-en-1-yl)-3-(2-methyl-benzoxazol-5-yl)-8,8,12,16-tetramethyl-4,17-dioxabicyclo[14.1.0]heptadecan-5,9-dion;
(4S,7R,8S,9S,13E/Z,16S)-4,8-Dihydroxy-16-(2-methyl-benzothiazol-5-yl)-1-oxa-5,5,9,13-tetramethyl-7-(prop-2-en-1-yl)-cyclohexadec-13-en-2,6-dion;
(1S/R,3S,7S,10R,11S,12S,16R/S)-7,11-Dihydroxy-10-(prop-2-en-1-yl)-3-(2-methyl-benzothiazol-5-yl)-8,8,12,16-tetramethyl-4,17-dioxabicyclo[14.1.0]heptadecan-5,9-dion; (1S,3S,7S,10R,11S,12S,16R)-7,11-Dihydroxy-10-(prop-2-en-1-yl)-3-(2-methyl-benzothiazol-5-yl)-8,8,12,16-tetramethyl-4,17-dioxabicyclo[14.1.0]heptadecan-5,9-dion;
(1S/R,3S,7S,10R,11R,12S,16R/S)-7,11-Dihydroxy-10-(prop-2-en-1-yl)-3-(2-methyl-benzothiazol-5-yl)-8,8,12,16-tetramethyl-4,17-dioxabicyclo[14.1.0]heptadecane-5,9-dion;
(4S,7R,8S,9S,13E/Z,16S)-4,8-Dihydroxy-16-(2-methyl-benzothiazol-5-yl)-1-oxa-9,13-dimethyl-5,5-(1,3-trimethylen)-7-(prop-2-en-1-yl)-cyclohexadec-13-en-2,6-dion;
(1S/R,3S,7S,10R,11R,12S,16R/S)-7,11-Dihydroxy-10-(prop-2-en-1-yl)-3-(2-methyl-benzothiazol-5-yl)-12,16-dimethyl-8,8-(1,3-trimethylen)-4,17-dioxabicyclo[14.1.0]heptadecan-5,9-dion;
(4S,7R,8S,9S,13E/Z,16S)-4,8-Dihydroxy-16-(2-methyl-benzothiazol-5-yl)-1-oxa-5,5,9,13-tetramethyl-7-(prop-2-in-1-yl)-cyclohexadec-13-en-2,6-dion;
(1S/R,3S,7S,10R,11R,12S,16R/S)-7,11-Dihydroxy-10-(prop-2-in-1-yl)-3-(2-methyl-benzothiazol-5-yl)-8,8,12,16-tetramethyl-4,17-dioxabicyclo[14.1.0]heptadecan-5,9-dion;
(4S,7R,8S,9S,13E/Z,16S)-4,8-Dihydroxy-16-(quinolin-7-yl)-1-oxa-5,5,9,13-tetramethyl-7-(prop-2-en-1-yl)-cyclohexadec-13-en-2,6-dion;
(1S/R,3S,7S,10R,11R,12S,16R/S)-7,11-Dihydroxy-10-(prop-2-en-1-yl)-3-(quinolin-7-yl)-8,8,12,16-tetramethyl-4,17-dioxabicyclo[14.1.0]heptadecan-5,9-dion;
(4S,7R,8S,9S,13E/Z,16S)-4,8-Dihydroxy-16-(1,2-dimethyl-1H-benzoimidazol-5-yl)-1-oxa-5,5,9,13-tetramethyl-7-(prop-2-en-1-yl)-cyclohexadec-13-ene-2,6-dion;
(1S/R,3S,7S,10R,11R,12S,16R/S)-7,11-ihydroxy-10-(prop-2-en-1-yl)-3-(1,2-dimethyl-1H-benzoimidazol-5-yl)-8,8,12,16-tetramethyl-4,17-dioxabicyclo[14.1.0]heptadecan-5,9-dion;
(4S,7R,8S,9S,13E/Z,16S)-4,8-dihydroxy-16-(2-methyl-benzothiazol-5-yl)-1-aza-5,5,9,13-tetramethyl-7-(prop-2-en-1-yl)-cyclohexadec-13-ene-2,6-dione;
(1S/R,3S,7S,10R,11S,12S,16R/S)-7,11-Dihydroxy-l0-(prop-2-en-1-yl)-3-(2-methyl-benzothiazol-5-yl)-8,8,12,16-tetramethyl-4-aza-17-oxabicyclo[14.1.0]heptadecan-5,9-dion,
(1S/R,3S,7S,10R,11R,12S,16R/S)-7,11-Dihydroxy-10-(prop-2-en-1-yl)-3-(2-methyl-benzothiazol-5-yl)-8,8,12,16-tetramethyl-4-aza-17-oxabicyclo[14.1.0]heptadecan-5,9-dion,
(1S,3S(E),7S,10R,11S,12S,16R)-7,11-Dihydroxy-8,8,10,12,16-pentamethyl-3-[1-(2-methyl-1,3-thiazol-4-yl)prop-1-en-2-yl]-4,17-dioxabicyclo[14.1.0]heptadecan-5,9-dion,
(1S,3S(E),7S,10R,11S,12S,16R)-7,11-Dihydroxy-8,8,10,12,16-pentamethyl-3-[1-(2-methyl-1,3-thiazol-4-yl)prop-1-en-2-yl]-17-oxa-4-azabicyclo[14.1.0]heptadecan-5,9-dione,
(4S,7R,8S,9S,13Z,16S(E))-4,8-Dihydroxy-5,5,7,9,13-pentamethyl-16-[1-(2-methyl-1,3-thiazol-4-yl)prop-1-en-2-yl]-oxacyclohexadec-13-en-2,6-dion,
(4S,7R,8S,9S,10E,13Z,16S(E))-4,8-Dihydroxy-5,5,7,9,13-pentamethyl-16-[1-(2-methyl-1,3-thiazol-4-yl)prop-1-en-2-yl]-oxacyclohexadec-10,13-dien-2,6-dion,
(4S,7R,8S,9S,10E,13Z,16S(E))-4,8-Dihydroxy-5,5,7,9-tetramethyl-13-trifluormethyl-16-[1-(2-methyl-1,3-thiazol-4-yl)prop-1-en-2-yl]oxacyclohexadec-10,13-diene-2,6-dion,
(1S,3S(E),7S,10R,11S,12S,16R)-7,11-Dihydroxy-8,8,10,12,16-pentamethyl-3-[1-(2-methylsulfanyl-1,3-thiazol-4-yl)prop-1-en-2-yl]-4,17-dioxabicyclo[14.1.0]heptadecan-5,9-dion
alseinzelnes Stereoisomer oder als Mischung verschiedener Stereoisomerenund/oder pharmazeutisch akzeptables Salz
In a preferred embodiment, epothilones of general formula (XI) are encapsulated, which are listed in the following list:
(4S, 7R, 8S, 9S, 13E / Z, 16S) -4,8-Dihydroxy-16- (2-methyl-benzoxazol-5-yl) -1-oxa-5,5,9,13-tetramethyl- 7- (prop-2-en-1-yl) -cyclohexadec-13-ene-2,6-dione;
(1S / R, 3S, 7S, 10R, 11R, 12S, 16R / S) -7,11-dihydroxy-10- (prop-2-en-1-yl) -3- (2-methyl-benzoxazol-5 -yl) -8,8,12,16-tetramethyl-4,17-dioxabicyclo [14.1.0] heptadecane-5,9-dione;
(4S, 7R, 8S, 9S, 13E / Z, 16S) -4,8-Dihydroxy-16- (2-methyl-benzothiazol-5-yl) -1-oxa-5,5,9,13-tetramethyl- 7- (prop-2-en-1-yl) -cyclohexadec-13-ene-2,6-dione;
(1S / R, 3S, 7S, 10R, 11S, 12S, 16R / S) -7,11-dihydroxy-10- (prop-2-en-1-yl) -3- (2-methyl-benzothiazol-5 -yl) -8,8,12,16-tetramethyl-4,17-dioxabicyclo [14.1.0] heptadecane-5,9-dione; (1S, 3S, 7S, 10R, 11S, 12S, 16R) -7,11-dihydroxy-10- (prop-2-en-1-yl) -3- (2-methyl-benzothiazol-5-yl) - 8,8,12,16-tetramethyl-4,17-dioxabicyclo [14.1.0] heptadecane-5,9-dione;
(1S / R, 3S, 7S, 10R, 11R, 12S, 16R / S) -7,11-dihydroxy-10- (prop-2-en-1-yl) -3- (2-methyl-benzothiazol-5 -yl) -8,8,12,16-tetramethyl-4,17-dioxabicyclo [14.1.0] heptadecanes-5,9-dione;
(4S, 7R, 8S, 9S, 13E / Z, 16S) -4,8-Dihydroxy-16- (2-methyl-benzothiazol-5-yl) -1-oxa-9,13-dimethyl-5,5- (1,3-trimethylene) -7- (prop-2-en-1-yl) -cyclohexadec-13-ene-2,6-dione;
(1S / R, 3S, 7S, 10R, 11R, 12S, 16R / S) -7,11-dihydroxy-10- (prop-2-en-1-yl) -3- (2-methyl-benzothiazol-5 -yl) -12.16-dimethyl-8,8- (1,3-trimethylene) -4.17-dioxabicyclo [14.1.0] heptadecane-5,9-dione;
(4S, 7R, 8S, 9S, 13E / Z, 16S) -4,8-Dihydroxy-16- (2-methyl-benzothiazol-5-yl) -1-oxa-5,5,9,13-tetramethyl- 7- (prop-2-in-1-yl) -cyclohexadec-13-ene-2,6-dione;
(1S / R, 3S, 7S, 10R, 11R, 12S, 16R / S) -7,11-dihydroxy-10- (prop-2-in-1-yl) -3- (2-methyl-benzothiazol-5 -yl) -8,8,12,16-tetramethyl-4,17-dioxabicyclo [14.1.0] heptadecane-5,9-dione;
(4S, 7R, 8S, 9S, 13E / Z, 16S) -4,8-dihydroxy-16- (quinolin-7-yl) -1-oxa-5,5,9,13-tetramethyl-7- (prop -2-en-1-yl) -cyclohexadec-13-ene-2,6-dione;
(1S / R, 3S, 7S, 10R, 11R, 12S, 16R / S) -7,11-dihydroxy-10- (prop-2-en-1-yl) -3- (quinolin-7-yl) - 8,8,12,16-tetramethyl-4,17-dioxabicyclo [14.1.0] heptadecane-5,9-dione;
(4S, 7R, 8S, 9S, 13E / Z, 16S) -4,8-Dihydroxy-16- (1,2-dimethyl-1H-benzoimidazol-5-yl) -1-oxa-5,5,9, 13-tetramethyl-7- (prop-2-en-1-yl) -cyclohexadec-13-ene-2,6-dione;
(1S / R, 3S, 7S, 10R, 11R, 12S, 16R / S) -7,11-ihydroxy-10- (prop-2-en-1-yl) -3- (1,2-dimethyl-1H -benzoimidazol-5-yl) -8,8,12,16-tetramethyl-4,17-dioxabicyclo [14.1.0] heptadecane-5,9-dione;
(4S, 7R, 8S, 9S, 13E / Z, 16S) -4,8-dihydroxy-16- (2-methyl-benzothiazol-5-yl) -1-aza-5,5,9,13-tetramethyl- 7- (prop-2-en-1-yl) -cyclohexadec-13-ene-2,6-dione;
(1S / R, 3S, 7S, 10R, 11S, 12S, 16R / S) -7,11-dihydroxy-L0 (prop-2-en-1-yl) -3- (2-methyl-benzothiazol-5 -yl) -8,8,12,16-tetramethyl-4-aza-17-oxabicyclo [14.1.0] heptadecane-5,9-dione,
(1S / R, 3S, 7S, 10R, 11R, 12S, 16R / S) -7,11-dihydroxy-10- (prop-2-en-1-yl) -3- (2-methyl-benzothiazol-5 -yl) -8,8,12,16-tetramethyl-4-aza-17-oxabicyclo [14.1.0] heptadecane-5,9-dione,
(1S, 3S (E), 7S, 10R, 11S, 12S, 16R) -7,11-dihydroxy-8,8,10,12,16-pentamethyl-3- [1- (2-methyl-1,3 -thiazol-4-yl) prop-1-en-2-yl] -4.17-dioxabicyclo [14.1.0] heptadecane-5,9-dione,
(1S, 3S (E), 7S, 10R, 11S, 12S, 16R) -7,11-dihydroxy-8,8,10,12,16-pentamethyl-3- [1- (2-methyl-1,3 -thiazol-4-yl) prop-1-en-2-yl] -17-oxa-4-azabicyclo [14.1.0] heptadecane-5,9-dione,
(4S, 7R, 8S, 9S, 13Z, 16S (E)) - 4,8-dihydroxy-5,5,7,9,13-pentamethyl-16- [1- (2-methyl-1,3-thiazol -4-yl) prop-1-en-2-yl] -oxacyclohexadec-13-ene-2,6-dione,
(4S, 7R, 8S, 9S, 10E, 13Z, 16S (E)) - 4,8-dihydroxy-5,5,7,9,13-pentamethyl-16- [1- (2-methyl-1,3 -thiazol-4-yl) prop-1-en-2-yl] -oxacyclohexadec-10,13-diene-2,6-dione,
(4S, 7R, 8S, 9S, 10E, 13Z, 16S (E)) - 4,8-dihydroxy-5,5,7,9-tetramethyl-13-trifluoromethyl-16- [1- (2-methyl-1 , 3-thiazol-4-yl) prop-1-en-2-yl] oxacyclohexadec-10,13-diene-2,6-dione,
(1S, 3S (E), 7S, 10R, 11S, 12S, 16R) -7,11-dihydroxy-8,8,10,12,16-pentamethyl-3- [1- (2-methylsulfanyl-1,3 -thiazol-4-yl) prop-1-en-2-yl] -4.17-dioxabicyclo [14.1.0] heptadecane-5,9-dione
as a single stereoisomer or as a mixture of different stereoisomers and / or pharmaceutically acceptable salt

Besondersbevorzugt sind die Epothilone
(4S,7R,8S,9S,13E/Z,16S)-4,8-dihydroxy-16-(2-methyl-benzothiazol-5-yl)-1-oxa-5,5,9,13-tetramethyl-7-(prop-2-en-1-yl)-cyclohexadec-13-ene-2,6-dione;
(1S/R,3S,7S,10R,11S,12S,16R/S)-7,11-dihydroxy-10-(prop-2-en-1-yl)-3-(2-methyl-benzothiazol-5-yl)-8,8,12,16-tetramethyl-4,17-dioxabicyclo[14.1.0]heptadecane-5,9-dioneals einzelnes Stereoisomer oder als Mischung verschiedener Stereoisomerenund/oder pharmazeutisch akzeptables Salz.
Particularly preferred are the epothilones
(4S, 7R, 8S, 9S, 13E / Z, 16S) -4,8-dihydroxy-16- (2-methyl-benzothiazol-5-yl) -1-oxa-5,5,9,13-tetramethyl- 7- (prop-2-en-1-yl) -cyclohexadec-13-ene-2,6-dione;
(1S / R, 3S, 7S, 10R, 11S, 12S, 16R / S) -7,11-dihydroxy-10- (prop-2-en-1-yl) -3- (2-methyl-benzothiazol-5 -yl) -8,8,12,16-tetramethyl-4,17-dioxabicyclo [14.1.0] heptadecane-5,9-dione as a single stereoisomer or as a mixture of different stereoisomers and / or pharmaceutically acceptable salt.

Ganzbesonder bevorzugt ist (1S,3S,7S,10R,11S,12S,16R)-7,11-dihydroxy-10-(prop-2-en-1-yl)-3-(2-methyl-benzothiazol-5-yl)-8,8,12,16-tetramethyl-4,17-dioxabicyclo[14.1.0]heptadecane-5,9-dione.als einzelnes Stereoisomer oder als Mischung verschiedener Stereoisomerenund/oder pharmazeutisch akzeptables Salz.Allparticular preference is given to (1S, 3S, 7S, 10R, 11S, 12S, 16R) -7,11-dihydroxy-10- (prop-2-en-1-yl) -3- (2-methylbenzothiazole-5- yl) -8,8,12,16-tetramethyl-4,17-dioxabicyclo [14.1.0] heptadecanes-5,9-dione.as a single stereoisomer or as a mixture of different stereoisomersand / or pharmaceutically acceptable salt.

Ineiner weiteren Ausführungsform werden das Diagnostikumund das Epothilon gemeinsam in den Partikel eingeschlossen.InIn another embodiment, the diagnostic agentand including the epothilone together in the particle.

Ineiner weiteren Ausführungsform liegen das Diagnostikumund das Epothilon in getrennten gleichen nanopartikulärenSystemen vor, die insbesondere denselben Aufbau haben.InAnother embodiment is the diagnosticand the epothilone in separate same nanoparticulateSystems, in particular, have the same structure.

DieErfindung betrifft somit auch ein Kit bestehend aus den erfindungsgemäßenPartikeln, die ein Diagnostikum und ein Epothilon gemeinsam enthaltensowie ein Kit, das (a) die erfindungsgemäßen Partikelenthaltend ein Diagnostikum und (b) die erfindungsgemäßenPartikel enthaltend ein Epothilon getrennt enthält, sowiedie Verwendung des Kits zur Therapie und Diagnose/Monitoring.TheInvention thus also relates to a kit consisting of the inventiveParticles containing a diagnostic agent and an epothilone in commonand a kit comprising (a) the particles of the inventioncontaining a diagnostic agent and (b) the inventiveContains particles containing an epothilone separately, as well asthe use of the kit for therapy and diagnosis / monitoring.

Ineiner bevorzugten Ausführung handelt es sich bei den Polymernanopartikelnum Fällungsaggregate, welche durch Nanopräzipitationhergestellt werden. Hierfür stehen insbesondere folgendeHerstellungsmethoden zur Verfügung:

  • • DirekteFällung (Präzipitation) in einem Reagenzglas durchEinbringen des gelösten Polymer-Substanz-Gemisches in einetensidhaltige wässrige Lösung, welche mittelsMagnetrührer durchmischt wird.
  • • Fällung des Polymer-Substanz-Gemisches inder tensidhaltigen wässrigen Lösung durch Zusammenführungder beiden Lösungen mittels eines Micro-Mischer-Systems.
  • • Verwendung von Ultraschall zur gleichmäßigenVerteilung des Polymer-Substanz-Gemisches in der tensidhaltigenwässrigen Lösung.
In a preferred embodiment, the polymer nanoparticles are precipitation aggregates which are produced by nanoprecipitation. In particular, the following production methods are available for this purpose:
  • Direct precipitation (precipitation) in a test tube by introducing the dissolved polymer-substance mixture into a surfactant-containing aqueous solution which is mixed by means of a magnetic stirrer.
  • • Precipitation of the polymer-substance mixture in the surfactant-containing aqueous solution by combining the two solutions by means of a micro-mixer system.
  • Use of ultrasound for uniform distribution of the polymer-substance mixture in the surfactant-containing aqueous solution.

Beider Herstellung von Nanopartikeln mittels Nanopräzipitationwird das organische Lösungsmittel schlagartig dem Matrixpolymerund den mit ihm gelösten Substanzen entzogen, wenn diepolymerhaltige organische Lösung in ein deutlich größeresVolumen einer wässrigen Lösung gegeben wird. Überraschenderweisewerden in der Polymerphase gelöste Verbindungen mit Aminogruppen(wasserlösliche als auch wasserunlösliche) indem schwer löslichen Polymer während der Fällungcoverkapselt. Bedingung dafür ist die unbegrenzte Mischbarkeitdes organischen Lösungsmittels (besonders geeignet sindz. B. Aceton, Ethanol) mit Wasser sowie die Unlöslichkeitdes Matrixpolymers in der wässrigen Phase.atthe production of nanoparticles by nanoprecipitationThe organic solvent is abruptly the matrix polymerand removed the substances dissolved with it, if thepolymer-containing organic solution in a much largerVolume of an aqueous solution is given. Surprisinglybecome dissolved in the polymer phase compounds with amino groups(water-soluble as well as water-insoluble) inthe sparingly soluble polymer during the precipitationcoverkapselt. Condition for this is the unlimited miscibilityof the organic solvent (particularly suitablez. As acetone, ethanol) with water and the insolubilityof the matrix polymer in the aqueous phase.

Ineiner Ausführungsform der erfindungsgemäßenPartikel ist das diagnostische Agens negativ geladen und als Ionenpaarmit dem kationischen Polymer in den Partikel eingeschlossen.Inan embodiment of the inventionParticles, the diagnostic agent is negatively charged and as an ion pairenclosed with the cationic polymer in the particle.

Ineiner bevorzugten Ausführung für alle vorhergehendenPolymernanopartikel ist die Oberfläche der Polymernanopartikelelektrostatisch modifiziert.Ina preferred embodiment for all the precedingPolymer nanoparticles is the surface of the polymer nanoparticleselectrostatically modified.

Dieelektrostatische Modifikation der kationischen Nanopartikeloberflächeist ein herausragender Vorteil der vorliegenden Erfindung. Auf derBasis ionischer Wechselwirkungen kann ohne eine chemische Kopplungsreaktiondie Partikeloberfläche mit einer geeigneten Substanz modifiziertwerden. Voraussetzung dafür ist, dass das modifizierendeAgens partiell über Ladungen verfügt, welche entgegengesetztder Partikeloberflächenladung sind. Damit erlaubt dieseMethode (elektrostatische Oberflächenmodifikation mittelsLadungstitration) eine einfache, flexible und vielseitige Modifikationder Partikeloberfläche.Theelectrostatic modification of the cationic nanoparticle surfaceis an outstanding advantage of the present invention. On theBasis of ionic interactions can be without a chemical coupling reactionmodified the particle surface with a suitable substancebecome. The prerequisite for this is that the modifyingAgent partially has charges, which oppositethe particle surface charge are. This allows thisMethod (electrostatic surface modification by means ofCharge titration) a simple, flexible and versatile modificationthe particle surface.

Zusätzlichist es möglich, instabile Wirkstoffe auf der Partikeloberflächezu adsorbieren, welche dadurch vor dem Abbau durch Enzyme geschütztsind und dementsprechend einen höheren therapeutischenEffekt erzielen können.additionallyis it possible to have unstable active ingredients on the particle surfaceto adsorb, which thereby protected from degradation by enzymesare and therefore a higher therapeuticEffect.

DieAnreicherung (aktives und passives Targeting) von Nanopartikelnaus dem Blutstrom in das Zielgewebe setzt voraus, dass die Partikelausreichend lange im Blutstrom zirkulieren. Erfindungsgemäß kannmittels der zuvor beschrieben Oberflächenmodifikation dieZirkulationszeit im Körper individuell angepasst werden,insbesondere durch Verwendung von Polyethylenoxiden oder Polythylenglycolen(siehe Beispiel 5).TheEnrichment (active and passive targeting) of nanoparticlesFrom the bloodstream into the target tissue requires that the particlescirculate in the bloodstream for a sufficient period of time. According to the inventionby means of the surface modification described aboveCirculation time in the body can be adjusted individuallyin particular by using polyethylene oxides or polythylene glycols(see Example 5).

Einweiterer herausragender Vorteil besteht darin, dass die hier beschriebeneelektrostatische Oberflächenmodifikation direkt vor derAnwendung schnell und unproblematisch durchgeführt werdenkann. Dies geschieht durch ein einfaches Mischen geeigneter Mengender Nanopartikeldispersion mit dem modifizierendem Agens.OneAnother outstanding advantage is that the one described hereelectrostatic surface modification directly in front ofApplication can be carried out quickly and without problemscan. This is done by simply mixing appropriate amountsnanoparticle dispersion with the modifying agent.

Damitbesteht zusätzlich die Möglichkeit, den Kernpartikelseparat vom oberflächenmodifizierendem Agens herzustellenund zu lagern. Dies ist zum einen besonders vorteilhaft fürdie kolloidale Langzeitstabilität. Zum anderen könnenextrem labile oberflächenmodifizierende Substanzen wiePeptide oder Antikörper unter geeigneten Bedingungen biszur Verwendung aufbewahrt werden.In order toThere is also the option of removing the core particlesseparately from the surface-modifying agentand store. This is for a particularly advantageous forthe colloidal long-term stability. For anotherextremely labile surface-modifying substances such asPeptides or antibodies under suitable conditions untilfor use.

DieTrennung von Kernpartikel und modifizierendem Agens ermöglichtweiterhin eine Oberflächenmodifikation entsprechend denindividuellen Anforderungen beim Patienten. Die Oberflächenmodifikationnach einem Baukastenprinzip bietet dabei maximale Flexibilitätfür Diagnose, Therapie und Monitoring, wobei die unkomplizierteDurchführung der Modifikation direkt durch den Anwendererfolgt.TheSeparation of core particles and modifying agent allowsfurthermore a surface modification according toindividual requirements in the patient. The surface modificationaccording to a modular principle offers maximum flexibilityfor diagnosis, therapy and monitoring, with the uncomplicatedImplementation of the modification directly by the userhe follows.

Einbevorzugter Aufbau des oberflächenmodifizierenden Agensfür kationisch funktionalisierte Polymernanopartikel, insbesonderedie beschriebenen PBCA-Nanopartikel, ist in Formel 5 dargestellt.Der partiell anionisch geladene Molekülteil erfülltdie Funktion eines Ankers auf der positiv geladenen Partikeloberfläche durchelektrostatische Wechselwirkungen. Der neutrale, zum umgebendenwässrigen Medium ausgerichetete Molekülteil bestehtaus Polyethylenglycol und/oder Polyethylenoxid-Einheiten (PEG-Einheiten)unterschiedlicher Länge. Bevorzugt sind hier PEG-Kettenmit einem Molekulargewicht von 100 bis 30000 Dalton und besondersbevorzugt mit 3000 bis 5000 Dalton. Dieser Molekülteilkann alternativ auch aus anderen geeigneten Strukturen, wie z. B.Hydroxyethylstärke (HES) und allen daraus möglichenpolymeren Verbindungen, bestehen. Bei dem Rest R handelt es sichbevorzugt um Wasserstoff oder eine Methyl-Einheit.Onepreferred construction of the surface-modifying agentfor cationically functionalized polymer nanoparticles, in particularThe described PBCA nanoparticles are shown in formula 5.The partially anionically charged moiety satisfiesthe function of an anchor on the positively charged particle surfaceelectrostatic interactions. The neutral, to the surroundingaqueous medium aligned molecule part consistsfrom polyethylene glycol and / or polyethylene oxide units (PEG units)different length. Preferred here are PEG chainswith a molecular weight of 100 to 30,000 daltons and especiallypreferably with 3000 to 5000 daltons. This part of the moleculemay alternatively also from other suitable structures, such. B.Hydroxyethyl starch (HES) and all of them possiblepolymeric compounds exist. The rest R ispreferably hydrogen or a methyl unit.

Formel5: Allgemeine Strukturformel eines oberflächenmodifizierendenAgens (R = Wasserstoff, C1-C3-Alkyl odereine ungeladene Aminosäure, bevorzugt H, CH3,wobei auch Mischungen der Reste R in einem Polymer mit umfasst sind),n = 5–700, bevorzugt n = 5–200

Figure 00320001
Formula 5: General structural formula of a surface-modifying agent (R = hydrogen, C1 -C3 -alkyl or an uncharged amino acid, preferably H, CH3 , wherein mixtures of R in a polymer are also included), n = 5-700 , preferably n = 5-200
Figure 00320001

Deranionische Anker kann beispielsweise ein Polymer aus 5 bis 50 EinheitenGlutaminsäure (Glu) oder Asparaginsäure (Asp)oder den Salzen der Säuren sein. Es kann sich auch um einMischpolymer aus den gennanten Untereinheiten handeln. Weiterhinkönnen auch ungeladene Untereinheiten wie z. B. neutraleAminosäuren in den anionischem Block (=Rest R) regelmäßigoder unregelmäßig eingebaut sein. Allgemein eignensich als negativ geladener Molekülteil (Anker) Verbindungenoder polymere Strukturen mit Gruppen wie Acetat-, Carbonat-, Citrat,Succinat-, Nitrat-, Carboxylat-, Phosphat-, Sulfonat- oder Sulfat-Gruppen,sowie Salze und freie Säuren dieser Gruppen.The anionic anchor may be, for example, a polymer of 5 to 50 units of glutamic acid (Glu) or aspartic acid (Asp) or the salts of the acids. It may also be a mixed polymer of the named subunits. Furthermore, uncharged subunits such. B. neutral amino acids in the anionic block (= remainder R) regularly or irregularly incorporated. Generally, as a negatively charged moiety (anchor) are compounds or polymeric structures having groups such as acetate, carbonate, citrate, succinate, nitrate, carboxylate, phosphate, sulfonate or sulfate groups, as well as Sal ze and free acids of these groups.

Ineiner Ausführungsform kann der anionische Anker vorzugsweiseeine Polyaminosäure sein.InIn one embodiment, the anionic anchor may preferablybe a polyamino acid.

Ineiner Auführungsform ist die Oberfläche mit Glu(10)-b-PEG(110),Glu(10)-b-PEG(114) oder Asp(15)-b-PEG(114) modifiziert.InIn one embodiment, the surface is Glu (10) -b-PEG (110).Glu (10) -b-PEG (114) or Asp (15) -b-PEG (114).

Ineiner Auführungsform ist die Oberfläche mit Glu(10)-b-PEG(110)oder Asp(15)-b-PEG(114) modifiziert.InIn one embodiment, the surface is Glu (10) -b-PEG (110)or Asp (15) -b-PEG (114).

Ineiner besonders bevorzugten Ausführungsform ist die Oberflächedes Polymernanopartikels mit Glu(10)-b-PEG(110) modifiziert (Formel6). Als negativer Molekülteil (Anker) dienen die Carboxylat-Gruppen derGlutaminsäure-Untereinheiten des Blockcopolymers.Ina particularly preferred embodiment is the surfaceof the polymer nanoparticle is modified with Glu (10) -b-PEG (110) (Formula6). As a negative part of the molecule (anchor) serve the carboxylate groups ofGlutamic acid subunits of the block copolymer.

Figure 00330001
Formel6: Strukturformel von Glu(10)-b-PEG(110);
Figure 00330001
Formula 6: Structural Formula of Glu (10) -b-PEG (110);

Ineiner weiteren Ausführungsform ist eine Ziel erkennendeStruktur vorhanden.InIn another embodiment, a target is recognizableStructure available.

DieseZiel erkennende Struktur besitzt mindestens einen negativ geladenenMolekülteil, welcher durch elektrostatische Wechselwirkungenauf die kationische Partikeloberfläche aufgebracht wird.TheseTarget recognizing structure has at least one negatively charged onePart of the molecule caused by electrostatic interactionsis applied to the cationic particle surface.

Einweiterer besonders bevorzugter Aufbau des oberflächenmodifizierendenAgens für kationisch funktionalisierte Polymernanopartikel,insbesondere die beschriebenen PBCA-Nanopartikel, ist in Formel7 dargestellt.OneAnother particularly preferred structure of the surface-modifyingAgent for cationically functionalized polymer nanoparticles,in particular the described PBCA nanoparticles, is in formula7 is shown.

Figure 00340001
Formel7: Allgemeine Strukturformel eines oberflächenmodifizierendenAgens, n = 5–700, bevorzugt n = 5–200, wobei Xeine mögliche Ziel erkennende Struktur und der anionischeAnker ein Polymerblock sein kann. Der anionische Anker kann entsprechendder zuvor benannten Beschreibung von Formel 5 aufgebaut sein.
Figure 00340001
Formula 7: General structural formula of a surface modifying agent, n = 5-700, preferably n = 5-200, wherein X may be a possible target recognizing structure and the anionic anchor may be a polymer block. The anionic anchor may be constructed according to the above-described description of Formula 5.

Derpartiell anionisch geladene Molekülteil erfülltdie Funktion eines Ankers auf der positiv geladenen Partikeloberflächedurch elektrostatische Wechselwirkungen. Der mittlere, neutraleMolekülteil besteht aus Polyethylenglycol-Einheiten und/oderPolyethylenoxid-Einheiten (PEG-Einheiten) unterschiedlicher Länge.Bevorzugt sind hier PEG-Ketten mit einem Molekulargewicht von 100bis 30000 Dalton und besonders bevorzugt mit 3000 bis 5000 Dalton.Dieser Molekülteil kann alternativ auch aus anderen geeignetenStrukturen, wie z. B. Hydroxyethylstärke (HES) und allendaraus möglichen polymeren Verbindungen, bestehen.Of thepartially fulfilled anionic charged moietythe function of an anchor on the positively charged particle surfacethrough electrostatic interactions. The middle, neutralPart of the molecule consists of polyethylene glycol units and / orPolyethylene oxide units (PEG units) of different lengths.Preference is given here to PEG chains having a molecular weight of 100to 30000 daltons, and more preferably from 3000 to 5000 daltons.This moiety may alternatively be made of other suitable onesStructures, such. As hydroxyethyl starch (HES) and allfrom this possible polymeric compounds exist.

DerLigand X des oberflächenmodifizierenden Agens, im weiterenauch Ziel erkennende Struktur genannt, dient zur Verbesserung vonpassiven und aktiven Anreicherungsmechanismen der Polymernanopartikel.Of theLigand X of the surface-modifying agent, hereinafteralso called target cognitive structure, serves to improvepassive and active enrichment mechanisms of polymer nanoparticles.

GeeigneteLiganden X als Ziel erkennende Strukturen können sowohlAntikörper, Peptide, Rezeptor-Liganden von Liganden-Mimetikaoder ein Aptamer sein. Als Strukturen kommen Aminosäuren,Peptide, CDR (compementary determining regions), Antigene, Haptene,Enzymsubstanzen, Enzym-Cofaktoren, Biotin, Carotinoide, Hormone,Vitamine, Wachstumsfaktoren, Lymphokine, Carbohydrate, Oligosaccharide,Lecitine, Dextrane, Lipide, Nucleoside wie beispielsweise ein DNA-oder ein RNA-Molekül enthaltend native, modifizierte oderartifizielle Nucleoside, Nucleinsäuren, Oligocucleotide,Polysaccharide, B-, A-, Z-Helix oder Haarnadelstruktur (Hairpin),eine chemische Einheit, modifizierte Polysaccharide als auch rezeptorbindendeSubstanzen oder Fragmente davon in Betracht. Ziel erkennende Strukturenkönnen auch Transferrin oder Folsäure oder Teiledavon sein oder alle möglichen Kombinationen aus den vorgenannten.Suitable ligands X as targeting structures may be antibodies, peptides, receptor ligands of ligand mimetics or an aptamer. Structures are amino acids, peptides, CDR (compementary determining regions), antigens, haptens, enzyme substances, enzyme cofactors, biotin, carotenoids, hormones, vitamins, growth factors, lymphokines, carbohydrates, oligosaccharides, lecithins, Dextrans, lipids, nucleosides such as a DNA or an RNA molecule containing native, modified or artificial nucleosides, nucleic acids, oligocucleotides, polysaccharides, B, A, Z helix or hairpin structure (hairpin), a chemical moiety, modified polysaccharides as well as receptor binding substances or fragments thereof. Target-recognizing structures may also be transferrin or folic acid or parts thereof, or all possible combinations of the foregoing.

DieseLiganden werden erfindungsgemäß überelektrostatische Wechselwirkungen an die Nanopartikel gebunden,es ist aber auch möglich, die Liganden über kovalenteBindungen an die Partikeloberfläche zu binden. Weiterhinist es möglich, einen Linker zwischen Ligand und Nanopartikeleinzubauen.TheseLigands are according to the inventionelectrostatic interactions bound to the nanoparticles,It is also possible, however, for the ligands to be covalentBind bonds to the particle surface. Fartherit is possible to have a linker between ligand and nanoparticlesinstall.

Dieelektrostatische Anlagerung der Ziel erkennenden Strukturen erfolgt überLadungswechselwirkungen mit mindestens einem negativ geladenen Molekülteilan die kationische Partikeloberfläche. Als negativ geladenerMolekülteil (Anker) eignen sich Verbindungen oder polymereStrukturen mit Gruppen wie Acetat-, Carbonat-, Citrat, Succinat-,Nitrat-, Carboxylat-, Phosphat-, Sulfonat- oder Sulfat-Gruppen,sowie Salze und freie Säuren dieser Gruppen.TheElectrostatic deposition of the target-recognizing structures takes place viaCharge interactions with at least one negatively charged moietyto the cationic particle surface. As negatively chargedPart of the molecule (anchor) are compounds or polymersStructures with groups such as acetate, carbonate, citrate, succinate,Nitrate, carboxylate, phosphate, sulfonate or sulfate groups,as well as salts and free acids of these groups.

Ineiner Ausführungsform beträgt die Größeder Nanopartikel zwischen 1 nm–800 nm. (Claim 23)InIn one embodiment, the size isof nanoparticles between 1 nm-800 nm. (Claim 23)

Ineiner weiteren Ausführungsform beträgt die Größeder Nanopartikel zwischen 5 nm–800 nm.InIn another embodiment, the size isof the nanoparticles between 5 nm-800 nm.

Ineiner Ausführungsform beträgt die Größeder Nanopartikel zwischen 1 nm–500 nm. (Claim 24)InIn one embodiment, the size isof the nanoparticles between 1 nm and 500 nm. (Claim 24)

Ineiner bevorzugten Ausführungsform beträgt dieGröße der Nanopartikel zwischen 1 nm–300nm. (Claim 25)Ina preferred embodiment is theSize of nanoparticles between 1 nm-300nm. (Claim 25)

Ineiner besonders bevorzugten Ausführungsform beträgtdie Größe der Nanopartikel zwischen 5 nm–500nm.Ina particularly preferred embodimentthe size of the nanoparticles is between 5 nm-500nm.

Ineiner weiteren besonders bevorzugten Ausführungsform beträgtdie Größe der Nanopartikel zwischen 5 nm–300nm.InAnother particularly preferred embodimentthe size of the nanoparticles is between 5 nm-300nm.

Ineiner weiteren besonders bevorzugten Ausführungsform beträgtdie Größe der Nanopartikel zwischen 10 nm–300nm.InAnother particularly preferred embodimentthe size of the nanoparticles between 10 nm-300nm.

DieGröße der entstandenen Polymernanopartikel wirdmittels der Photonenkorrelationsspektroskopie (PCS) ermittelt.TheSize of the resulting polymer nanoparticles isdetermined by photon correlation spectroscopy (PCS).

Ineiner besonders bevorzugten Ausführungsform ist die Herstellungder Polymernanopartikel durch die Durchführung folgenderVerfahrensschritte gekennzeichnet:

  • • Daswasserunlösliche Polymer wird in einem geeigneten organischenLösungsmittel, welches unbegrenzt mit Wasser mischbar ist,vorzugsweise Aceton, Methanol, Ethanol, Propanol, Isopropanol Dimetylsulfoxid (DMSO),oder in einem Gemisch aus diesen Lösungsmitteln mit Wassergelöst.
  • • Das kationische Polymer wird in einem geeignetenLösungsmittel gelöst, welches unbegrenzt mit Wasser mischbarist, vorzugsweise Aceton, Methanol, Ethanol, Propanol, Dimetylsulfoxid(DMSO), oder in einem Gemisch aus diesen Lösungsmittelnmit Wasser gelöst.
  • • Der Wirkstoff (Diagnostikum und/oder Epothilon) wirdin einem organischen Lösungsmittel, welches unbegrenztmit Wasser mischbar ist, vorzugsweise Aceton, Methanol, Ethanol,Propanol, Dimetylsulfoxid (DMSO), Isopropanol oder in einem Gemischaus diesen Lösungsmitteln mit Wasser gelöst.
  • • Es wird eine vollständig homogene Lösungaus kationischem Polymer, wasserunlöslichem Polymer und Wirkstoffhergestellt durch Zusammengeben der vorher getrennt hergestelltenLösungen.
  • • Durch ein Einbringen des gelösten Polymer-Substanz-Gemischesin eine tensidhaltige Lösung, als Tensid insbesondere PluronicF68, Triton X-100 und Synperonic T707, wird die spontane Bildungeines kolloidalen Fällungsaggregats herbeigeführt.
  • • Das organische Lösungsmittel wird anschließendentweder unter Atmosphärendruck oder Unterdruck, überLyophilisation oder Hitze vollständig oder andere geeigneteMethoden entfernt.
  • • Gegebenenfalls wird zur Modifikation der Partikeloberflächedie oben hergestellte wässrige, stabile Nanopartikeldispersionin einem geeigneten Mengenverhältnis mit dem in Wassergelösten modifizierenden Agens vermischt. Die Bestimmungdes geeigneten Mengenverhältnisses erfolgt durch schrittweiseTitration der Partikeldispersion mit dem modifizierenden Agens.Das Ausmaß der elektrostatischen Oberflächenmodifikation(Ladungstitration) wird durch Bestimmung des Zetapotentials kontrolliert.Der Zielwert des Zetapotentials hängt von dem geplantenApplikationsweg ab. Für i. v. Anwendungen wärebeispielsweise ein neutrales bis negatives Zetapotential bevorzugt,bei oraler und buccaler Applikation wird eher ein neutrales oderkationisches Zetapotential bevorzugt, usw.
  • • Gegebenenfalls erneut Entfernen des Dispergens.
In a particularly preferred embodiment, the preparation of the polymer nanoparticles is characterized by carrying out the following process steps:
  • The water-insoluble polymer is dissolved in water in a suitable organic solvent which is infinitely miscible with water, preferably acetone, methanol, ethanol, propanol, isopropanol, dimethylsulfoxide (DMSO), or in a mixture of these solvents.
  • The cationic polymer is dissolved in a suitable solvent which is infinitely miscible with water, preferably acetone, methanol, ethanol, propanol, dimethylsulfoxide (DMSO), or dissolved in a mixture of these solvents with water.
  • The active ingredient (diagnostic agent and / or epothilone) is dissolved in an organic solvent which is infinitely miscible with water, preferably acetone, methanol, ethanol, propanol, dimethylsulfoxide (DMSO), isopropanol or in a mixture of these solvents with water.
  • A completely homogeneous solution of cationic polymer, water-insoluble polymer and active ingredient is prepared by combining the previously separately prepared solutions.
  • • By introducing the dissolved polymer-substance mixture in a surfactant-containing solution, as a surfactant in particular Pluronic F68, Triton X-100 and Synperonic T707, the spontaneous formation of a colloidal precipitation unit is brought about.
  • The organic solvent is then removed either under atmospheric pressure or negative pressure, via lyophilization or heat completely or other suitable methods.
  • Optionally, to modify the particle surface, the aqueous stable nanoparticle dispersion prepared above is mixed in a suitable proportion with the modifying agent dissolved in water. The determination of the appropriate quantitative ratio is carried out by stepwise titration of the particle dispersion with the modifying agent. The degree of electrostatic surface modification (charge titration) is controlled by determining the zeta potential. The target value of the zeta potentials depends on the planned route of application. For iv applications, for example, a neutral to negative zeta potential would be preferred, for oral and buccal administration, a neutral or cationic zeta potential is more preferred, etc.
  • • If necessary, remove the dispersant again.

Ineiner weiteren Ausführungsform wird nach dem Entfernendes organischen Lösungsmittels ein Reinigungsschritt, beispielsweisedurch Waschen der Partikel mit einer geeigneten Lösung,durchgeführt.InAnother embodiment is after removalof the organic solvent, a purification step, for exampleby washing the particles with a suitable solution,carried out.

GeeigneteLösungen für den Waschvorgang sind beispielsweisewässrige Tensidlösungen 0,1–2%, aberauch reines Wasser.suitableSolutions for the washing process are for exampleaqueous surfactant solutions 0.1-2%, butalso pure water.

Ineiner weiteren Ausführungsform kann nach Entfernen desorganischen Lösungsmittels und gegebenenfalls Aufreinigungoder nach erfolgter Oberflächenmodifikation lyophilisiertwerden. Die lyophilisierten Nanopartikel können dann alsKit vertrieben und zur Verwendung rekonstituiert und verabreichtwerden.InIn another embodiment, after removal of theorganic solvent and optionally purificationor lyophilized after surface modificationbecome. The lyophilized nanoparticles can then be used asKit and reconstituted and administered for usebecome.

Daherist ein weiterer Gegenstand der Erfindung ein Kit, dass die Partikelenthaltend ein Diagnostikum und/oder ein Epothilon als Lyophilisatenthält. Dieses Kit kann zusätzlich ein geeigntesMittel zur Rekonstitution des Lyophilisates z. B. physiologischeKochsalzlösung oder Wasser für Injektions/Infusionszweckeenthalten.ThereforeAnother object of the invention is a kit that particlescontaining a diagnostic agent and / or an epothilone as lyophilisatecontains. This kit may additionally be a suitableMeans for reconstitution of the lyophilisate z. B. physiologicalSaline or water for injection / infusioncontain.

Einweiterer Gegenstand der Erfindung ist ein Kit, dass die nicht oberflächenmodifiziertenPartikel, Mittel für die Herstellung einer Lösungdes oberflächenmodifizierenden Agens enthält.OneAnother object of the invention is a kit that does not surface-modifiedParticles, means for preparing a solutionof the surface-modifying agent.

Ineiner weiteren Ausführungsform können die beschriebenenNanopartikel unter Verwendung geeigneter pharmazeutischer Zusatzstoffezu verschiedenen Arzneiformen weiterverarbeitet werden, welche sich zurApplikation an Mensch oder Tier eignen. Dazu zählen insbesonderewässrige Dispersionen, Lyophilisate, feste orale Arzneiformenwie schnell auflösende Tabletten, Kapseln und andere. Geeignetepharmazeutische Zusatzstoffe können sein: Zuckeralkoholezur Lyophilisation (z. B. Sorbitol, Mannitol), Hilfstoffe zur Tablettierung,Polyethylenglycole etc.InIn another embodiment, the describedNanoparticles using suitable pharmaceutical additivesbe further processed to various dosage forms, which are toApplication to humans or animals are suitable. These include in particularaqueous dispersions, lyophilisates, solid oral dosage formslike fast dissolving tablets, capsules and others. suitablePharmaceutical additives may be: sugar alcoholsfor lyophilization (eg sorbitol, mannitol), tabletting excipients,Polyethylene glycols, etc.

DieApplikation der wässrigen Nanopartikeldispersion oder einerweiter entwickelten Arzneiform kann oral, parenteral (intra venös),subkutan, intramuskulär, intraokular, intrapulmonal, nasal,intraperitoneal, dermal sowie auf allen anderen für Menschoder Tier möglichen Apllikationswegen angewendet werden.TheApplication of the aqueous nanoparticle dispersion or afurther developed dosage form can be administered orally, parenterally (intravenously),subcutaneous, intramuscular, intraocular, intrapulmonary, nasal,Intraperitoneal, dermal, and on all others for humanor animal possible application routes.

DieErfindung betrifft ein Verfahren zur Herstellung eines Polymernanopartikels,dadurch gekennzeichnet, dass folgende Verfahrensschritte durchgeführtwerden:

  • • Lösen des kationischenPolymers in einem organischen Lösungsmittel oder einemLösungsmittelgemisch mit Wasser
  • • Lösen des wasserunlöslichen Polymersin einem organischen Lösungsmittel
  • • Lösen des Wirkstoffes (Diagnostikum oderTherapeutikum) in einem organischen Lösungsmittel odereinem Lösungsmittelgemisch mit Wasser,
  • • Herstellen eines vollständig gelöstenGemisches aus kationischem Polymer, wasserunlöslichem Polymer undWirkstoff
  • • Einbringen des Gemisches in eine tensidhaltige Lösung,wobei es zur spontanen Bildung von Fällungsaggregaten kommt,
  • • Entfernen des Lösungsmittels.
  • • Gegebenenfalls Aufreinigung der Partikeldispersion
  • • Gegebenenfalls Lyophilisieren
  • • Elektrostatische Oberflächenmodifikationder Partikel durch Zusammenfügen von Nanopartikeldispersion undmodifizierendem Agens in geeigneten Mengen (Fakultativ)
  • • Gegebenenfalls lyophilisieren.
The invention relates to a process for the preparation of a polymer nanoparticle, characterized in that the following process steps are carried out:
  • Dissolving the cationic polymer in an organic solvent or a solvent mixture with water
  • Dissolving the water-insoluble polymer in an organic solvent
  • Dissolving the active ingredient (diagnostic or therapeutic agent) in an organic solvent or a solvent mixture with water,
  • • Make a completely dissolved mixture of cationic polymer, water-insoluble polymer and active ingredient
  • Introducing the mixture into a surfactant-containing solution, which leads to the spontaneous formation of precipitation aggregates,
  • • Remove the solvent.
  • • If necessary, clean up the particle dispersion
  • • Lyophilize if necessary
  • Electrostatic surface modification of the particles by combining nanoparticle dispersion and modifying agent in appropriate amounts (optional)
  • • If necessary, lyophilize.

Definitionendefinitions

DerBegriff "Wirkstoff", wie hier verwendet, umfasst therapeutisch unddiagnostisch wirksame Verbindungen. Ebenso umfasst sind Verbindungen,die bei anderen Tieren als dem Menschen und bei Pflanzen wirksamsind.Of theThe term "active ingredient" as used herein includes therapeutically anddiagnostically active compounds. Also included are compounds,effective in animals other than humans and in plantsare.

DerBegriff „Epothilon oder Epothilone" umfasst alle natürlichvorkommenden Epothilone und deren Derivate. Epothilon Derivate sindbekannt beispielsweise ausWO93/10102,WO 93/10121 undDE 41 38 042 A2,WO 97/19086 undWO 98/25929,WO 99/43320,WO 2000/066589,WO 00/49021WO 00/71521,WO 2001027308,WO 99/02514,WO 2002080846.The term "epothilone or epothilone" includes all naturally occurring epothilones and their derivatives, epothilone derivatives are known, for example, from WO 93/10102 . WO 93/10121 and DE 41 38 042 A2 . WO 97/19086 and WO 98/25929 . WO 99/43320 . WO 2000/066589 . WO 00/49021 WO 00/71521 . WHERE 2001027308 . WO 99/02514 . WO 2002080846 ,

Diefür die Verwendung in der vorliegenden Erfindung beispielsweisegeeigneten Epothilone und deren Herstellung sind offenbart inDE 19907588,WO 98/25929,WO 99/58534,WO 99/2514,WO 99/67252,WO 99/67253,WO 99/7692,EP 99/4915,WO 00/1333,WO 00/66589,WO 00/49019,WO 00/49020,WO 00/49021,WO 00/71521,WO 00/37473,WO 00/57874,WO 01/92255,WO 01/81342,WO 01/73103,WO 01/64650,WO 01/70716,US 6204388,US 6387927,US 6380394,US 02/52028,US 02/58286,US 02/62030,WO 02/32844,WO 02/30356,WO 02/32844,WO 02/14323, andWO 02/8440. Insbesondere geeignetsind die Verbindungen, die inWO00/66589 offenbart sind.The epothilones suitable for use in the present invention, for example, and their preparation are disclosed in U.S. Patent Nos. 3,729,769 and 4,405,847 DE 19907588 . WO 98/25929 . WO 99/58534 . WO 99/2514 . WO 99/67252 . WO 99/67253 . WO 99/7692 . EP 99/4915 . WO 00/1333 . WO 00/66589 . WO 00/49019 . WO 00/49020 . WO 00/49021 . WO 00/71521 . WO 00/37473 . WO 00/57874 . WO 01/92255 . WO 01/81342 . WO 01/73103 . WO 01/64650 . WO 01/70716 . US 6,204,388 . US 6387927 . US 6380394 . US 02/52028 . US 02/58286 . US 02/62030 . WO 02/32844 . WO 02/30356 . WO 02/32844 . WO 02/14323 , and WO 02/8440 , Particularly suitable are the compounds which are in WO 00/66589 are disclosed.

Bevorzugtim Sinne der vorliegenden Erfindung werden Epothilone, wie sie vonFormel II umfasst sind.PrefersFor the purposes of the present invention, epothilones, as used byFormula II are included.

DerBegriff Epothilone schließt auch die Möglichkeitmit ein, dass in einer Zubereitung verschiedene Epothilonderivateausgewählt aus der offenbarten Liste aus Anspruch 21 verkapseltwerden.Of theTerm epothilone also excludes the possibilitywith that in a preparation different epothilone derivativesselected from the disclosed list of claim 21become.

DerBegriff "Matrixpolymer", wie hier verwendet, beschreibt das Polymer,welches mengenmäßig den größerenAnteil der Partikelmasse bildet, wobei weitere verkapselte Substanzen(sowohl beliebige Zusatzstoffe als auch pharmazeutisch aktive Substanzen)gleichmäßig und/oder ungleichmäßigeingebettet sein können.Of theThe term "matrix polymer" as used herein describes the polymerwhich quantitatively the largerParticle mass fraction forms, with other encapsulated substances(any additives as well as pharmaceutically active substances)even and / or unevencan be embedded.

DerBegriff „(Nano)-Präzipitation", wie hier verwendet,beschreibt die Bildung eines kolloidalen Niederschlags durch Ausfälleneines schwer wasserlöslichen Polymers beim Einbringen ineine wässrige Phase, wobei eine Durchmischung der Lösungsmittelstattfindet. Im Falle einer Co-Präzipitation kommt es zueiner gemeinschaftlichen Ausfällung mehrerer Substanzen,welche im Sinne der Erfindung sowohl wasserlöslich als auchschwer wasserlöslich sein können.Of theTerm "(nano) precipitation" as used hereindescribes the formation of a colloidal precipitate by precipitationa poorly water-soluble polymer when introduced intoan aqueous phase, wherein a thorough mixing of the solventtakes place. In the case of co-precipitation occursa common precipitation of several substances,which in the context of the invention both water-soluble anddifficult to dissolve in water.

Ein „Fällungsaggregat",wie hier verwendet, entsteht im Zuge der Nanopräzipitation.Dieses Fällungsaggregat besteht erfindungsgemäß auseinem Matrixpolymer, worin weitere polymere Substanzen wie auch pharmazeutischaktive Substanzen teilweise oder vollständig eingebettetsein können. Es kann hierbei eine gleichmäßigeoder ungleichmäßige Verteilung der co-verkapseltenSubstanzen im Matrixpolymer vorliegen.A "precipitation aggregate",as used here arises in the course of nanoprecipitation.This precipitator consists according to the inventiona matrix polymer, wherein further polymeric substances as well as pharmaceuticallyactive substances partially or completely embeddedcould be. It can be a uniformor uneven distribution of the co-encapsulatedSubstances are present in the matrix polymer.

Ein"Anker", wie hier verwendet, beschreibt eine ionische Teilstrukturdes modifizierenden Agens, welche die Immobilisierung und somitLokalisation des modifizierenden Agens auf der geladenen Partikeloberflächedurch ionische Wechselwirkungen zwischen entgegengesetzt geladenenVerbindungen ermöglicht.OneAnchor, as used herein, describes an ionic substructureof the modifying agent which immobilizes and thusLocalization of the modifying agent on the charged particle surfaceby ionic interactions between oppositely chargedConnections possible.

Ladungstitrationbeschreibt den über Zetapotentialmessung nachvollziehbarenProzess der elektrostatischen Kopplung des Ankers auf der Partikeloberfläche.Der geladene Anker verändert dabei das Zetapotentials desPartikels hin zur Ladung des Ankers.charge titrationdescribes the traceable via ZetapotentialmessungProcess of electrostatic coupling of the anchor on the particle surface.The charged anchor changes the zeta potential of theParticles towards the charge of the anchor.

Tensideim Sinne der Erfindung sind zum einen oberflächenaktiveSubstanzen, welche die Grenzflächenspannung zwischen zweinicht mischbaren Phasen erniedrigen, wodurch eine Stabilisierungkolloidaler Dispersionen möglich ist. Weiterhin kann essich bei Tensiden erfindungsgemäß um jede Artvon Substanzen handeln, welche in der Lage sind, kolloidale Dispersionensterisch und/oder elektrostatisch zu stabilisieren.surfactantsFor the purposes of the invention are on the one hand surface-activeSubstances which show the interfacial tension between twolower immiscible phases, thereby stabilizingcolloidal dispersions is possible. It can continuein the case of surfactants according to the invention by any typeof substances which are capable of colloidal dispersionsto stabilize sterically and / or electrostatically.

Mitdem Begriff „Zielstruktur" ist eine das Ziel (Target) erkennendeStruktur gemeint. Im Falle von „passiven Targeting" kanndie Zielstruktur indirekt eine Anreicherung am Zielort unterstützen,bespielsweise durch eine Verlängerung der Zirkulationszeitder Partikel im Blutstrom erhöht sich die Wahrscheinlichkeiteiner Anreicherung über die Fenestrierungen im Tumorendothel.WithThe term "target structure" is a target that recognizes the targetStructure meant. In the case of "passive targeting" canthe target structure indirectly supports an enrichment at the destination,recordable by an extension of the circulation timethe particle in the bloodstream increases the likelihoodan enrichment via the fenestrations in the tumor endothelium.

DerBegriff „aktives Targeting" wird verwendet, wenn gewebs-oder zellspezifische Liganden für eine gezielte Anreicherungzum Einsatz kommen. Aktive Liganden können sowohl an Wirkstoffendirekt (Ligand-Wirkstoff-Konjugate) als auch auf die Oberflächekolloidaler Trägersysteme gekoppelt werden.Of theTerm "active targeting" is used when referring to tissueor cell-specific ligands for targeted enrichmentbe used. Active ligands can both act on drugsdirectly (ligand-drug conjugates) as well as on the surfacecoupled colloidal carrier systems.

DerBegriff „passives Targeting" wird verwendet, wenn sichdie Verteilung des Wirkstoffs aufgrund (unspezifischer) physikalischer,biochemischer oder immunologischer Vorgänge ergibt. Inerster Linie wird der Enhanced Permeation and Retention-Effekt (kurzEPR-Effekt) dafür verantwortlich gemacht. Es handelt sichhierbei um einen passiven Anreicherungsmechanismus, welcher diestrukturellen Besonderheiten von tumorösem oder auch entzündetemGewebe ausnutzt [Ulbrich K., Subr V., Adv. Drug Deliv. Rev.,2004; 56(7): 1023–1050].The term "passive targeting" is used when the distribution of the active ingredient is due to (nonspecific) physical, biochemical or immunological processes, primarily due to the enhanced permeation and retention effect (EPR effect) This is a passive enrichment mechanism that exploits the structural features of tumorous or inflamed tissue [ Ulbrich K., Subr V., Adv. Drug Deliv. Rev., 2004; 56 (7): 1023-1050 ].

DerBegriff "Oberflächenpotential", auch als Oberflächenladungbezeichnet, ist gleichbedeutend mit dem Begriff "Zetapotential".Dieses Zetapotential wird mittels der Methode der Laser-Doppler-Anemometrie (LDA)bestimmt.The term "surface potential", also referred to as surface charge, is synonymous with the term "zeta potential". This zeta potential is determined by the method of laser Doppler anemometry (LDA) determined.

DasOberflächenpotential, auch als Zetapotential bezeichnet,gibt das Potential eines wandernden Teilchens an der Scherebenean, d. h. wenn durch Bewegung des Teilchens der größteTeil der diffusen Schicht abgeschert worden ist. Das Oberflächenpotentialwurde mit dem Verfahren der Laser-Doppler-Anemometrie unter Verwendungeines "Zetasizer 3000" (Malvern Instruments) bestimmt.TheSurface potential, also referred to as zeta potential,gives the potential of a migratory particle at the shear planeon, d. H. if by movement of the particle the largestPart of the diffuse layer has been sheared off. The surface potentialwas using the method of laser Doppler anemometry usingof a "Zetasizer 3000" (Malvern Instruments).

Mittelsder Methode der Laser-Doppler-Anemometrie wird die Wanderungsgeschwindigkeitder Partikel im elektrischen Feld bestimmt. Teilchen mit einer geladenenOberfläche wandern in einem elektrischen Feld zur entgegengesetztgeladenen Elektrode, wobei die Wanderungsgeschwindigkeit der Partikelvon der Menge der Oberflächenladungen und der angelegtenFeldstärke abhängig ist. Zur Bestimmung der Wanderungsgeschwindigkeitwerden im elektrischen Feld wandernde Teilchen mit einem Laser bestrahltund das gestreute Laserlicht detektiert. Durch die Bewegung derTeilchen wird eine Frequenzverschiebung beim reflektierten Lichtim Vergleich zum eingestrahlten Licht gemessen. Der Betrag dieserFrequenzverschiebung ist abhängig von der Wanderungsgeschwindigkeitund wird als so genannte Doppler-Frequenz bezeichnet (Doppler-Effekt).Aus der Doppler-Frequenz, dem Streuwinkel und der Wellenlängekann die Wanderungsgeschwindigkeit eines Teilchens abgeleitet werden.Die elektrophoretische Mobilität ergibt sich aus dem Quotientender Wanderungsgeschwindigkeit und der elektrischen Feldstärke.Das Produkt aus elektrophoretischer Mobilität und dem Faktor13 entspricht dem Zetapotential, dessen Einheit [mV] ist.throughThe method of laser Doppler anemometry is the migration ratedetermines the particle in the electric field. Particles with a chargedSurface migrate in an electric field to the oppositecharged electrode, wherein the migration speed of the particlesfrom the amount of surface charges and appliedField strength is dependent. To determine the migration speedFor example, particles migrating in the electric field are irradiated with a laserand detects the scattered laser light. Through the movement ofParticle becomes a frequency shift in the reflected lightmeasured in comparison to the incident light. The amount of thisFrequency shift depends on the migration speedand is referred to as the so-called Doppler frequency (Doppler effect).From the Doppler frequency, the scattering angle and the wavelengththe migration speed of a particle can be deduced.The electrophoretic mobility results from the quotientthe migration speed and the electric field strength.The product of electrophoretic mobility and the factor13 corresponds to the zeta potential whose unit is [mV].

DieMessungen (n = 5) wurden mit einem Zetasizer Advanced 3000 und einemZetamaster der Firma Malvern Instruments Ltd. (Worcestershire, England)nach Verdünnen in elektrolytarmen Dispersionsmedium (MilliQWasser: Widerstandswert 18,2 MΩ·cm, 25°Cund TOC-Gehalt (gesamter organischer Kohlenstoff) < 10 ppb) und unterdefiniertem pH Wert (pH 6,8–7,0) durchgeführt.Als Software wurden PCS V1.41/PCS V1.51 Rev. verwendet. Die Kontrollmessungendes Zetapotentials erfolgten mit Latex-Standardpartikeln der Firma MalvernInstruments Ltd. (–50 mV ± 5 mV). Die Messungenwurden unter den Standardeinstellungen der Firma Malvern InstrumentsLtd. durchgeführt.TheMeasurements (n = 5) were taken with a Zetasizer Advanced 3000 and aZetamaster from Malvern Instruments Ltd. (Worcestershire, England)after dilution in low-electrolyte dispersion medium (MilliQWater: resistance 18.2 MΩ · cm, 25 ° Cand TOC content (total organic carbon) <10 ppb) and belowdefined pH value (pH 6.8-7.0) performed.The software used was PCS V1.41 / PCS V1.51 Rev. The control measurementsof the zeta potential were made with latex standard particles from MalvernInstruments Ltd. (-50 mV ± 5 mV). The measurementswere under the default settings of the company Malvern InstrumentsLtd. carried out.

DieGröße der Nanopartikel wurde mit Hilfe der dynamischenLichtstreuung (Dynamic Light Scattering, DLS) unter Verwendung eines"Zetasizer 3000" (Malvern Instruments) bestimmt. Zusätzlichwurden Aufnahmen im Raster- Elektronen-Mikroskop (REM) gemacht, wiein12 beispielhaft gezeigt wird. Die12 (12)bestätigt auch die kugelförmige Gestalt der Nano-Partikel.The size of the nanoparticles was determined by Dynamic Light Scattering (DLS) using a "Zetasizer 3000" (Malvern Instruments). In addition, images were taken in the scanning electron microscope (SEM), as in 12 is shown by way of example. The 12 ( 12 ) also confirms the spherical shape of the nano-particles.

DieBestimmung der Partikelgröße durch DLS beruhtauf dem Prinzip der Photonenkorrelationsspektroskopie (Photon CorrelationSpectroscopy, PCS). Dieses Verfahren eignet sich zur Vermessungvon Partikeln mit einer Größe im Bereich von 3nm bis 3 μm. Die Partikel unterliegen in Lösungeiner ungerichteten Bewegung, ausgelöst durch die Kollisionmit Flüssigkeitsmolekülen des Dispersionsmittels,deren treibende Kraft die Brown'sche Molekularbewegung ist. Dieresultierende Bewegung der Partikel ist umso schneller, je kleiner ihrPartikeldurchmesser ist. Wird eine Probe in einer Küvettemit Laserlicht bestrahlt, so kommt es an den sich ungerichtet bewegendenPartikeln zur Streuung des Lichts. Durch diese Bewegung der Partikelist die Streuung nicht konstant, sondern schwankt überdie Zeit. Die im 90°-Winkel detektierten Schwankungen derIntensität des gestreuten Laserlichts sind umso stär-ker,je schneller sich die Partikel bewegen, d. h. je kleiner sie sind.Auf der Grundlage dieser Intensitätsschwankungen kann manmit Hilfe einer Autokorrelationsfunktion auf die Partikelgrößeschließen. Der mittlere Teilchendurchmesser wird aus demAbfall der Korrelationsfunktion berechnet. Zur korrekten Berechnungdes mittleren Teilchendurchmessers sollten die Partikel eine kugelförmigeGestalt haben, was sich durch REM-Aufnahmen überprüfenlässt (siehe oben), nicht sedimentieren oder flotieren.Die Messungen wurden durchgeführt mit Proben in geeigneterVerdünnung, unter einer konstanten Temperatur von 25°Csowie einer definierten Viskosität der Lösung.Es erfolgte eine Kalibrierung des Messgerätes mit Standardlatexpartikelnunterschiedlicher Größe der Firma Malvern InstrumentsLtd.TheDetermination of particle size by DLS basedon the principle of photon correlation spectroscopy (Photon CorrelationSpectroscopy, PCS). This method is suitable for surveyingof particles with a size in the range of 3nm to 3 μm. The particles are in solutionan undirected motion triggered by the collisionwith liquid molecules of the dispersant,whose driving force is Brownian motion. Theresulting movement of particles is faster, the smaller you areParticle diameter is. Will a sample in a cuvetteirradiated with laser light, it is up to the undirected movingParticles for scattering the light. Through this movement of the particlesif the dispersion is not constant, but fluctuates overthe time. The detected at 90 ° angle fluctuations ofIntensity of the scattered laser light are all the stronger,the faster the particles move, d. H. the smaller they are.On the basis of these intensity fluctuations one canusing an autocorrelation function on the particle sizeshut down. The average particle diameter is from theDecreases in the correlation function. For correct calculationof the average particle diameter, the particles should be sphericalHave shape what to check by SEM imagesleaves (see above), do not sediment or float.The measurements were carried out with suitable samplesDilution, at a constant temperature of 25 ° Cand a defined viscosity of the solution.The instrument was calibrated with standard latex particlesdifferent size of the company Malvern InstrumentsLtd.

Dierasterelektronenmikroskopischen Aufnahmen (REM-Aufnahmen) zur Bestimmungder Teilchengröße wurde mit einem Feldemissions-Rasterelektronenmikroskopvom Typ XL-30-SFEG der Firma FEI (Kassel, Deutschland) angefertigt.Vorab wurden die Proben in einem Hochvakuum- Sputter 208 HR der Firma Cressington(Watford, England) mit einer 5 nm Gold-Palladium Schicht gesputtert.TheScanning electron micrographs (SEM images) for determinationParticle size was determined using a field emission scanning electron microscopemade of the type XL-30-SFEG FEI (Kassel, Germany).In advance, the samples were placed in a high vacuum sputter 208 HR Cressington(Watford, England) sputtered with a 5 nm gold-palladium layer.

DieLöslichkeit eines Stoffes gibt an, ob und in welchem Umfangein Reinstoff in einem Lösungsmittel gelöst werdenkann. Sie bezeichnet also die Eigenschaft eines Stoffes, sich unterhomogener Verteilung (als Atome, Moleküle oder Ionen) mitdem Lösungsmittel zu vermischen. Die Löslichkeiteiner Verbindung wird als die Konzentration einer gesättigtenLösung bestimmt, die sich mit dem ungelösten Bodensatzim Gleichgewicht befindet in Abhängigkeit der Temperatur(Raum Temperature). Eine schwer lösliche Verbindung weist eineLöslichkeit < 0,1mol/l auf, eine mäßig lösliche zwischen0,1–1 mol/l und eine leicht lösliche Verbindung > 1 mol/l.The solubility of a substance indicates whether and to what extent a pure substance can be dissolved in a solvent. It thus describes the property of a substance to mix with the solvent under homogeneous distribution (as atoms, molecules or ions). The solubility of a compound is determined to be the concentration of a saturated solution that is in equilibrium with the undissolved sediment as a function of temperature (space temperature). A poorly soluble compound points a solubility <0.1 mol / l, a moderately soluble between 0.1-1 mol / l and a slightly soluble compound> 1 mol / l.

DieErfindung soll nun im Folgenden in den Beispielen weiter beschriebenwerden, ohne darauf beschränkt zu sein.TheInvention will now be further described below in the exampleswithout being limited to it.

BeispieleExamples

Beispiel 1: Herstellung von PBCA mittelsanionischer PolymerisationExample 1: Preparation of PBCA by means ofanionic polymerization

Fürdie PBCA-Herstellung mittels anionischer Polymerisation von Butylcyanoacrylat(BCA) wird Sicomet 6000 verwendet. Der Polymerisationsprozess erfolgtdurch langsames, permanentes Zutropfen von insgesamt 2,5% [m/v]BCA in eine 1%-ige [m/v] Triton X-100 Lösung in eine saureLösung (pH 1,5–pH 2,5, ideal pH 2,2). Der pH-Wertwird mit Hilfe einer 0,1 N-HCl-Lösung zuvor eingestellt.Die entstehende Dispersion wird unter Kühlung im Eisbad(ca. 4°C) über 4 Stunden konstant bei 450 U/mingerührt. Anschließend werden größereAgglomerate durch Filtration über einen Papier-Faltenfilterabgetrennt. Durch Zusatz von Methanol (oder anderer geeigneter Alkoholewie Ethanol) wird das zu PBCA polymerisierte BCA ausgefälltund der davon gewonnene Filterrückstand mehrere Male mitgereinigtem Wasser (MilliQ-System) gewaschen. Nach der Trocknungdes PBCA-Filterrückstandes im Trockenschrank bei 40°C über24 h wird mittels GPC ein durchschnittliches Molekulargewicht bestimmt(Mn ~ 2000 Da). Es werden Polysterolstandards verwendet.Forthe PBCA preparation by anionic polymerization of butyl cyanoacrylate(BCA) Sicomet 6000 is used. The polymerization process takes placeby slow, permanent dropping of a total of 2.5% [m / v]BCA in a 1% [m / v] Triton X-100 solution in an acidicSolution (pH 1.5-pH 2.5, ideal pH 2.2). The pHis pre-adjusted using a 0.1N HCl solution.The resulting dispersion is cooled in an ice bath(about 4 ° C) over 4 hours constant at 450 U / mintouched. Subsequently, larger onesAgglomerates by filtration through a paper-fold filterseparated. By addition of methanol (or other suitable alcoholssuch as ethanol) precipitates the BCA polymerized to PBCAand the filter residue obtained with it several timeswashed purified water (MilliQ system). After dryingof PBCA filter residue in the oven at 40 ° CAn average molecular weight is determined by means of GPC for 24 h(Mn ~ 2000 Da). Polystyrene standards are used.

Zurbesonderen Aufreinigung des in Methanol ausgefällten PBCAskann dieses nochmals in Tetrahydrofuran gelöst und anschließendmit Heptan wiederum ausgefällt werden. Der durch Filtration(Faltenfilter, Nutsche o. ä.) gewonnene Rückstandwird mit Heptan 2-n mal nachgespült. Der Rückstandwird bis zur Gewichtskonstanz im Trockenschrank bei 40–50°Cgetrocknet (ca. 4 Tage).tospecial purification of precipitated in methanol PBCAsthis can be dissolved again in tetrahydrofuran and thenbe precipitated again with heptane. The by filtration(Folded filter, suction filter o. Ä.) Residueis rinsed with heptane 2-n times. The residueis up to constant weight in the drying oven at 40-50 ° C.dried (about 4 days).

Beispiel 2: Herstellung von Epothilonbeladenen PBCA-P(DMAEMA) Nanopartikel durch NanopräzipitationExample 2: Production of epothiloneloaded PBCA-P (DMAEMA) nanoparticles by nanoprecipitation

a) Herstellung des Polymer-Substanz-Gemisches(= Mischung1) und der Tensidlösunga) Preparation of the polymer-substance mixture(= Mixture 1) and the surfactant solution

Inein Schraubvial (50 ml) werden 30 ml einer 4%igen acetonischen PBCA-Lösung(m/v), 3 ml einer 4%igen acetonischen PDMAEMA-Lösung (m/v)sowie 3 ml einer acetonischen Epothilon-Lösung (Konzentrationca. 60 mg/ml) einpipettiert und nach Verschluss mit einem Schraubdeckelunter Schütteln gut durchmischt (=Mischung 1). Das verwendetePBCA wird mittels Beispiel 1 hergestellt. Je 10 ml einer 1%igenSynperonic T707-Lösung (m/v) werden in ein 20 ml Schraubglasmit Magnetrührkern vorgelegt.Ina screw vial (50 ml) is added 30 ml of a 4% acetone PBCA solution(m / v), 3 ml of 4% acetonic PDMAEMA solution (m / v)and 3 ml of an acetone epothilone solution (concentrationabout 60 mg / ml) and after closure with a screw capmix thoroughly with shaking (= mixture 1). The usedPBCA is prepared by Example 1. 10 ml each of 1%Synperonic T707 solution (m / v) is placed in a 20 ml screw-capsubmitted with magnetic stirrer.

b) Herstellung der Partikeldispersiondurch Nanopräzipitationb) Preparation of the particle dispersionby nanoprecipitation

Beihoher Rührgeschwindigkeit (600 U/min) werden 1,2 ml derMischung 1 zu 10 ml Tensidlösung zügig einpipettiert.Nach 2–3 h wird bei niedrigerer Rührstufe (100U/min) für weitere ca. 18–24 h das restliche Acetonunter dem Abzug abgedampft.athigh stirring speed (600 rpm), 1.2 ml ofRapidly pipette 1 to 10 ml of surfactant solution.After 2-3 h at lower agitation (100Rpm) for a further 18-24 h the remaining acetoneevaporated under the hood.

c) Aufarbeitung der Partikelansätzec) workup of the particle approaches

20Ansätze nach Herstellungsanweisung a, b werden zu einemAnsatz vereinigt und aufgearbeitet. Kristallines, nicht verkapseltesEpothilon wird mittels eines 1 μm Glasfaserfilters (PALL,25 mm, 1 μm P/N 4523T) abgetrennt. Die Aufreinigung desFiltrates erfolgt unter Nutzung einer Amicon-Ultrafiltrationszelle8050 unter Verwendung einer Polyethersulfon-Filtermembran (100 kDa).Zur Aufreinigung wird das Filtrat auf ca. 1/3 des Volumens eingeengtund anschließend das Konzentrat durch Zugabe einer 1%igenSynperonic T707-Lösung wieder auf das Ausgangsvolumen gebracht.Es folgt ein erneutes Einengen. Dieser Prozess wird zweimal wiederholtund die Zielkonzentration der Epothilon-Partikeldispersion wird überdas Endvolumen der Lösung eingestellt (Epothilongehalt0,1–2 mg/ml).20Approaches according to manufacturing instructions a, b become oneApproach united and worked up. Crystalline, not encapsulatedEpothilone is removed by means of a 1 μm glass fiber filter (PALL,25 mm, 1 μm P / N 4523T). The purification of theFiltrates are carried out using an Amicon ultrafiltration cell8050 using a polyethersulfone filter membrane (100 kDa).For purification, the filtrate is concentrated to about 1/3 of the volumeand then the concentrate by adding a 1%Synperonic T707 solution brought back to its original volume.It follows a renewed narrowing. This process is repeated twiceand the target concentration of the epothilone particle dispersion is overadjusted the final volume of the solution (epothilone content0.1-2 mg / ml).

Beispiel 3: Herstellung von Epothilonbeladenen PBCA-P(DMAPMAM) Nanopartikel durch NanopräzipitationExample 3: Production of epothiloneloaded PBCA-P (DMAPMAM) nanoparticles by nanoprecipitation

a) Herstellung des Polymer-Substanz-Gemisches(= Mischung1) und der Tensidlösunga) Preparation of the polymer-substance mixture(= Mixture 1) and the surfactant solution

Inein Schraubvial (50 ml) werden 30 ml einer 4%igen acetonischen PBCA-Lösung(m/v), 3 ml einer 4%igen acetonischen PDMAPMAM-Lösung (m/v)sowie 3 ml einer acetonischen Epothilon-Lösung (Konzentrationca. 60 mg/ml) einpipettiert und nach Verschluss mit einem Schraubdeckelunter Schütteln gut durchmischt (=Mischung 1). Das verwendetePBCA wird mittels Beispiel 1 hergestellt. Je 10 ml einer 1%igenSynperonic T707-Lösung (m/v) werden in ein 20 ml Schraubglasmit Magnetrührkern vorgelegt.Into a screw vial (50 ml), 30 ml of a 4% acetone PBCA solution (m / v), 3 ml of a 4% acetone PDMAPMAM solution (m / v) and 3 ml of an acetone epothilone solution (concentration approx 60 mg / ml) and, after capping with a screw cap, shaking thoroughly mixes (= mixture 1). The PBCA used is prepared by Example 1. 10 ml of a 1% Synperonic T707 solution (m / v) are placed in a 20 ml screw-capped magnetic stirrer tube.

b) Herstellung der Partikeldispersiondurch Nanopräzipitationb) Preparation of the particle dispersionby nanoprecipitation

Beihoher Rührgeschwindigkeit (600 U/min) werden 1,2 ml derMischung 1 zu 10 ml Tensidlösung zügig einpipettiert.Nach 2–3 h wird bei niedrigerer Rührstufe (100U/min) für weitere ca. 18–24 h das restliche Acetonunter dem Abzug abgedampft.athigh stirring speed (600 rpm), 1.2 ml ofRapidly pipette 1 to 10 ml of surfactant solution.After 2-3 h at lower agitation (100Rpm) for a further 18-24 h the remaining acetoneevaporated under the hood.

c) Aufarbeitung der Partikelansätzec) workup of the particle approaches

20Ansätze nach Herstellungsanweisung a, b werden zu einemAnsatz vereinigt und aufgearbeitet. Kristallines, nicht verkapseltesEpothilon wird mittels eines 1 μm Glasfaserfilters (PALL,25 mm, 1 μm P/N 4523T) abgetrennt. Die Aufreinigung desFiltrates erfolgt unter Nutzung einer Amicon-Ultrafiltrationszelle8050 unter Verwendung einer Polyethersulfon-Filtermembran (100 kDa).Zur Aufreinigung wird das Filtrat auf ca. 1/3 des Volumens eingeengtund anschließend das Konzentrat durch Zugabe einer 1%igenSynperonic T707-Lösung wieder auf das Ausgangsvolumen gebracht.Es folgt ein erneutes Einengen. Dieser Prozess wird zweimal wiederholtund die Zielkonzentration der Epothilon-Partikeldispersion wird überdas Endvolumen der Lösung eingestellt (Epothilongehalt0,1–2 mg/ml).20Approaches according to manufacturing instructions a, b become oneApproach united and worked up. Crystalline, not encapsulatedEpothilone is removed by means of a 1 μm glass fiber filter (PALL,25 mm, 1 μm P / N 4523T). The purification of theFiltrates are carried out using an Amicon ultrafiltration cell8050 using a polyethersulfone filter membrane (100 kDa).For purification, the filtrate is concentrated to about 1/3 of the volumeand then the concentrate by adding a 1%Synperonic T707 solution brought back to its original volume.It follows a renewed narrowing. This process is repeated twiceand the target concentration of the epothilone particle dispersion is overadjusted the final volume of the solution (epothilone content0.1-2 mg / ml).

Beispiel 4: Herstellung von Epothilonbeladenen PLGA-P(DMAEMA) Nanopartikeln durch NanopräzipitationExample 4: Preparation of epothiloneloaded PLGA-P (DMAEMA) nanoparticles by nanoprecipitation

a) Herstellung des Polymer-Substanz-Gemisches(= Mischung1)a) Preparation of the polymer-substance mixture(= Mix1)

Inein Schraubvial (50 ml) werden 30 ml einer 4%igen acetonischen PLGA-Lösung(m/v) (PLGA RG 752S), 3 ml einer 4%igen acetonischen PDMAEMA-Lösung(m/v) sowie 3 ml einer acetonischen Epothilon-Lösung (Konzentrationca. 60 mg/ml) einpipettiert und nach Verschluss mit einem Schraubdeckelunter Schütteln gut durchmischt.Ina screw vial (50 ml) is added 30 ml of a 4% acetone PLGA solution(m / v) (PLGA RG 752S), 3 ml of a 4% acetamide PDMAEMA solution(m / v) and 3 ml of an acetone epothilone solution (concentrationabout 60 mg / ml) and after closure with a screw capmixed well with shaking.

b) Herstellung der Tensidlösungb) Preparation of the surfactant solution

Je10 ml einer 1%igen Synperonic T707-Lösung (m/v) werdenin ein 20 ml Schraubglas mit Magnetrührkern vorgelegt.ever10 ml of a 1% Synperonic T707 solution (m / v)placed in a 20 ml screw-top glass with magnetic stirrer core.

c) Herstellung der Partikeldispersiondurch Nanopräzipitationc) Preparation of the particle dispersionby nanoprecipitation

Unterhoher Rührgeschwindigkeit (600 U/min) werden 1,2 ml derMischung 1 zu 10 ml Tensidlösung zügig ein pipettiert.Nach 2–3 h wird bei niedrigerer Rührstufe (100U/min) für weitere ca. 18–24 h das restliche Acetonunter dem Abzug abgedampft.Underhigh stirring speed (600 rpm), 1.2 ml ofMix 1 to 10 ml of surfactant solution quickly.After 2-3 h at lower agitation (100Rpm) for a further 18-24 h the remaining acetoneevaporated under the hood.

d) Aufarbeitung der Partikelansätzed) workup of the particle mixtures

20Ansätze nach Herstellungsanweisung a–c werdenzu einem Ansatz vereinigt und aufgearbeitet. Kristallines, nichtverkapseltes Epothilon wird mittels eines 1 μm Glasfaserfilters(PALL, 25 mm, 1 μm P/N 4523T) abgetrennt. Die Aufreinigungdes Filtrates erfolgt unter Nutzung einer Amicon-Ultrafiltrationszelle8050 unter Verwendung einer Polyethersulfon-Filtermembran (100 kDa).Zur Aufreinigung wird das Filtrat auf ca. 1/3 des Volumens eingeengtund anschließend das Konzentrat durch Zugabe einer 1%igenSynperonic T707-Lösung wieder auf das Ausgangsvolumen gebracht.Es folgt ein erneutes Einengen. Dieser Prozess wird zweimal wiederholtund die Zielkonzentration der Epothilon-Partikeldispersion wird überdas Endvolumen der Lösung eingestellt.20Approaches according to manufacturing instructions a-cunited and worked up to one approach. Crystalline, notencapsulated epothilone is by means of a 1 micron glass fiber filter(PALL, 25 mm, 1 μm P / N 4523T) separated. The purificationthe filtrate is carried out using an Amicon ultrafiltration cell8050 using a polyethersulfone filter membrane (100 kDa).For purification, the filtrate is concentrated to about 1/3 of the volumeand then the concentrate by adding a 1%Synperonic T707 solution brought back to its original volume.It follows a renewed narrowing. This process is repeated twiceand the target concentration of the epothilone particle dispersion is overset the final volume of the solution.

Beispiel 5: Herstellung von farbstoffbeladenenPBCA-Nanopartikeln durch NanopräzipitationExample 5: Preparation of dye-loadedPBCA nanoparticles by nanoprecipitation

i) PBCA-P(DMAEMA) Nanopartikel (mit ICG,DODC, IDCC oder Cumarin 6)i) PBCA-P (DMAEMA) nanoparticles (with ICG,DODC, IDCC or Coumarin 6)

Eswerden 500 μl einer 2%-igen acetonischen PBCA-Lösung[m/v] mit 100 μl einer 2%-igen acetonischen P(DMAEMA)-Lösung[m/v] unter Verschluss (um ein Abdampfen des Acetons zu verhindern)mittels eines Standard-Laborschüttlers gut durchmischt.Das dafür verwendete PBCA wird gemäß Beispiel1 hergestellt. Zu diesem Polymergemisch werden je 100 μlder im folgenden beschriebenen Farbstofflösungen zugesetzt.It500 μl of a 2% acetone PBCA solution[m / v] with 100 μl of a 2% acetone P (DMAEMA) solution[m / v] under occlusion (to prevent evaporation of the acetone)thoroughly mixed using a standard laboratory shaker.The PBCA used for this purpose is as in the example1 produced. To this polymer mixture are each 100 uladded to the dye solutions described below.

Farbstofflösunga: 3 mg des Indocyaningrün werden in 300 μl gereinigtemWasser im Ultraschallbad vorgelöst und dann mit 700 μlAceton versetzt. Farbstofflösung b, c, d: Die FarbstoffeDODC, IDCC und Cumarin 6 werden in einer 0,02%-igen acetonischenLösung [m/v] eingesetzt.dye solutiona: 3 mg of indocyanine green are purified in 300 μlPre-dissolved water in an ultrasonic bath and then with 700 ulAcetone added. Dye solution b, c, d: the dyesDODC, IDCC and coumarin 6 are in 0.02% acetoneSolution [m / v] used.

Dasdurchmischte Farbstoff–Polymergemisch wird mit einer 2,5ml Eppendorfpipette aufgenommen und in 10 ml einer intensiv gerührten1%-igen [m/v] Synperonic T707 Lösung einpipettiert. DieNanopartikeldispersion wird für 2 h bei 600 U/min (StandardMagnetrührer) und für weitere 16 h bei 100 U/minzum vollständigen Abdampfen des Lösungsmittelsgerührt. Die Aufarbeitung erfolgt durch Zentrifugationin Eppendorf-Caps. Jeweils 1 ml der Partikeldispersion und 0,5 mleiner 1%-igen [m/v] CETAC-Lösung (Cetyltrimethylammoniumchlorid-Lösung)werden nach Durchmischung für 10 min bei 14000 UpM (aufeiner Sigma 2 K 15 Laborzentrifuge) zentrifugiert. Der Überstandwird entfernt, die Partikel in der 1%-igen CETAC-Lösungredispergiert und erneut zentrifugiert. Dieser Waschprozess wirddrei mal wiederholt, wobei zum Schluss die Partikel in einer 1%-igenLösung Synperonic T707 aufgenommen werden.Themixed dye-polymer mixture is mixed with a 2.5ml Eppendorf pipette and in 10 ml of an intensely stirred1% [m / v] Synperonic T707 solution pipetted. TheNanoparticle dispersion is carried out for 2 h at 600 rpm (standardMagnetic stirrer) and for a further 16 h at 100 rpmfor complete evaporation of the solventtouched. The workup is carried out by centrifugationin Eppendorf caps. 1 ml each of the particle dispersion and 0.5 mla 1% [m / v] CETAC solution (cetyltrimethylammonium chloride solution)After mixing for 10 min at 14000 rpm (ona Sigma 2 K 15 laboratory centrifuge). The supernatantis removed, the particles in the 1% CETAC solutionredispersed and centrifuged again. This washing process willrepeated three times, finally the particles in a 1%Solution Synperonic T707 be included.

ii) PBCA-[PEI-IDCC]-Nanopartikelii) PBCA [PEI-IDCC] nanoparticles

Eswerden 500 μl einer 2%-igen acetonischen PBCA-Lösung[m/v] mit PEI 1,8 kDa in Isopropanol (2% [m/v]) verwendet. Es werdenje 100 μl der unter i) genannten Farbstofflösungena–d verwendet.It500 μl of a 2% acetone PBCA solution[m / v] with PEI 1.8 kDa in isopropanol (2% [m / v]). It will100 μl each of the dye solutions mentioned under i)a-d used.

Dasdurchmischte Farbstoff–Polymergemisch wird mit einer 2,5ml Eppendorfpipette aufgenommen und in 10 ml einer intensiv gerührten1%-igen Triton X-100 Lösung einpipettiert. Die Nanopartikeldispersion wirdfür 2 h bei 600 U/min (Standard Magnetrührer)und für weitere 16 h bei 100 U/min zum vollständigenAbdampfen des Lösungsmittels gerührt. Die Aufarbeitungerfolgt durch Zentrifugation in Eppendorf-Caps. Jeweils 1 ml derPartikeldispersion und 0,5 ml einer 1%-igen [m/v] CETAC-Lösung(Cetyltrimethylammoniumchlorid-Lösung) werden nach Durchmischungfür 10 min bei 14000 UpM (auf einer Sigma 2 K 15 Laborzentrifuge) zentrifugiert.Der Überstand wird entfernt, die Partikel in der 1%-igenCETAC-Lösung redispergiert und erneut zentrifugiert. DieserWaschprozess wird drei mal wiederholt, wobei zum Schluss die Partikelin einer 1%-igen Lösung Triton X-100 aufgenommen werden.Themixed dye-polymer mixture is mixed with a 2.5ml Eppendorf pipette and in 10 ml of an intensely stirred1% Triton X-100 solution pipetted. The nanoparticle dispersion becomesfor 2 h at 600 rpm (standard magnetic stirrer)and for a further 16h at 100rpm to completeEvaporation of the solvent stirred. The workupby centrifugation in Eppendorf caps. 1 ml each of theParticle dispersion and 0.5 ml of a 1% [m / v] CETAC solution(Cetyltrimethylammonium chloride solution) after mixingcentrifuged for 10 min at 14000 rpm (on a Sigma 2 K 15 laboratory centrifuge).The supernatant is removed, the particles in the 1%CETAC solution redispersed and centrifuged again. ThisWashing process is repeated three times, ending with the particlesin a 1% solution of Triton X-100.

Beispiel 6: Beeinflussung der Nanopräzipitationdurch Veränderung des Polymergehaltes in der TensidphaseExample 6: Influence of Nanoprecipitationby changing the polymer content in the surfactant phase

In4 istdargestellt, dass die Partikelgröße der PBCA-P(DMAEMA)-Nanopartikelwährend der Herstellung durch Variation der Polymerkonzentrationgesteuert werden kann. Die Stabilisierung der PBCA-P(DMAEMA) Nanopartikel,welche gemäß Beispiel 2 (jedoch ohne Epothilon)hergestellt werden, erfolgt mit dem Tensid Synperonic T707. Währendder Partikelherstellung (Nanopräzipitation) wird das indie Tensidphase injizierte Volumen der organischen Polymerlösungkonstant gehalten und nur die Polymerkonzentration entsprechendverändert. Alle weiteren Herstellungsbedingungen (Tensidkonzentration,Polymerverhältnis PBCA:P(DMAEMA) = 10:1, Farbstoffkonzentration,Temperatur, Rührgeschwindigkeit/Rührfisch, Gefäß,Art der Injektion) bleiben konstant. Die Verwendung einer geringerenPolymerkonzentration in der Tensidphase während der Fällungführt zu kleineren Partikeldurchmessern. Überden untersuchten Zeitraum wurde keine Veränderung der Partikelgrößebei gleichem Polymergehalt festgestellt.In 4 It is shown that the particle size of the PBCA-P (DMAEMA) nanoparticles can be controlled during production by varying the polymer concentration. The stabilization of the PBCA-P (DMAEMA) nanoparticles prepared according to Example 2 (but without epothilone) is carried out with the Synperonic T707 surfactant. During particle production (nanoprecipitation), the volume of the organic polymer solution injected into the surfactant phase is kept constant and only the polymer concentration is changed accordingly. All other production conditions (surfactant concentration, polymer ratio PBCA: P (DMAEMA) = 10: 1, dye concentration, temperature, stirring speed / stirring fish, vessel, type of injection) remain constant. The use of a lower polymer concentration in the surfactant phase during the precipitation results in smaller particle diameters. Over the period studied, no change in particle size was observed for the same polymer content.

Beispiel 7: Elektrostatische Oberflächenmodifikationvon Epothilon beladenen PBCA-PDMAEMA-Nanopartikeln mit Glu(10)-b-PEG(110)Example 7: Electrostatic surface modificationepothilone-loaded PBCA-PDMAEMA nanoparticles with Glu (10) -b-PEG (110)

Diehier verwendeten Epothilon-PBCA-PDMAEMA-Nanopartikel werden gemäß Beispiel2 hergestellt.TheEpothilone PBCA-PDMAEMA nanoparticles used here are as described in Example2 produced.

ZurModifikation der Partikeloberfläche wird die wässrige,stabile Nanopartikeldispersion in einem geeigneten Mengenverhältnismit dem in Wasser gelösten modifizierenden Agens (Glu(10)-b-PEG(110)/Glu(10)-b-PEG(114))vermischt. Die Bestimmung des geeigneten Mengenverhältnisses erfolgtdurch schrittweise Titration der Partikeldispersion mit dem modifizierendenAgens. Das Ausmaß der elektrostatischen Oberflächenmodifikation(Ladungstitration) wird durch Bestimmung des Zetapotentials kontrolliert.toModification of the particle surface becomes the aqueous,stable nanoparticle dispersion in a suitable ratiowith the modifying agent (Glu (10) -b-PEG (110) / Glu (10) -b-PEG (114) dissolved in water)mixed. The determination of the appropriate quantity ratio takes placeby stepwise titration of the particle dispersion with the modifyingAgent. The extent of electrostatic surface modification(Charge titration) is controlled by determining the zeta potential.

Dargestelltist in3a) die Veränderungdes Zetaptentials von (+)25 mV auf ca. (–)30 mV, bzw.3b)von +35 mV auf –10 mV, durch schrittweise Zugabe des modifizierendenAgens (Glu(10)-b-PEG(110)) bzw. Glu(10)-b-PEG(114) zur Partikeldispersion(Ladungstitration).Is shown in 3a ) the change of the Zetaptentials from (+) 25 mV to approx. (-) 30 mV, resp. 3b ) from +35 mV to -10 mV, by stepwise addition of the modifying agent (Glu (10) -b-PEG (110)) or Glu (10) -b-PEG (114) for particle dispersion (charge titration).

Beispiel 8: REM-Aufnahmen von Epothilonbeladenen PBCA-P(DMAEMA)-NanopartikelnExample 8: SEM images of epothiloneloaded PBCA-P (DMAEMA) nanoparticles

DieEpothilon beladenen PBCA-P(DMAEMA) werden gemäß Beispiel2 hergestellt.TheEpothilone-loaded PBCA-P (DMAEMA) are prepared according to the example2 produced.

In5 isteine REM-Aufnahme von Epothilon-beladenen PBCA-P(DMAEMA)-Nanopartikelndargestellt.In 5 is a SEM image of epothilone-loaded PBCA-P (DMAEMA) nanoparticles shown.

Beispiel 9: ZellkulturversucheExample 9: Cell culture experiments

DieKultivierung der HeLa-Zelllinie erfolgt in 225 cm2 Kulturflaschenbei 37°C und 5% CO2 in Dulbecco'sModified Eagles Medium (DMEM) unter Zusatz von 10% fötalemKälbermedium (FCS) und 2 mM L-Glutamin. Auf antibiotischeZusätze (Penicillin/Streptamycin) wird verzichtet, um dieZellprozesse möglichst wenig zu beeinflussen. Die Zellenwerden regelmäßig passagiert und eine Aussaatzu Versuchszwecken erfolgt 24 h vor Beginn der Untersuchungen. Fürdie Untersuchungen werden die Zellen in 96-Wellplatten der FirmaFalcon/Becton Dickinson ausgesät.Cultivation of the HeLa cell line is carried out in 225 cm2 culture flasks at 37 ° C. and 5% CO2 in Dulbecco's modified Eagles medium (DMEM) with the addition of 10% fetal calf medium (FCS) and 2 mM L-glutamine. Antibiotic additives (penicillin / streptamycin) are dispensed with in order to influence the cell processes as little as possible. The cells are passaged regularly and sowed for experimental purposes 24 hours before the start of the investigations. For the investigations, the cells are seeded in 96-well plates from Falcon / Becton Dickinson.

VorVersuchsbeginn erfolgt eine optische Kontrolle bezüglichder Vitalität bzw. typischen Morphologie der Zellen. Anschließendwird das FCS-haltige Medium abgesaugt und durch 50 μl serumfreiesMedium ersetzt.In frontAt the beginning of the test, a visual check is carried outthe vitality or typical morphology of the cells. Subsequentlythe FCS-containing medium is aspirated and replaced by 50 .mu.l serum-freeMedium replaced.

Nacheiner maximal 60-minütigen Inkubationszeit einer Nanopartikeldispersion,welche gemäß Beispiel 5 (Cumarin 6 beladene Nanopartikel)hergestellt wird, wird die überstehende Partikeldispersionabgesaugt und die Zellen mit PBS 2–3 mal gewaschen. ZumAnfärben der Mitochondrien wird der zuvor in Medium verdünnteFarbstoff MitoTracker Red CMXRos der Firma Molecular Probes EuropeBV, Leiden (NL) (0,25 μl/ml) verwendet. Die Inkubationmit 50 μl der Farbstofflösung erfolgt für15 min im Brutschrank (37°C, 5% CO2).After a maximum of 60 minutes incubation time of a nanoparticle dispersion, which is prepared according to Example 5 (Coumarin 6 loaded nanoparticles), the supernatant particle dispersion is aspirated and the cells washed 2-3 times with PBS. For staining the mitochondria, the MitoTracker Red CMXRos dye, previously diluted in medium, from Molecular Probes Europe BV, Leiden (NL) (0.25 μl / ml) is used. Incubation with 50 μl of the dye solution takes place in the incubator for 15 min (37 ° C., 5% CO2 ).

Anschließendwird die Farbstofflösung abgesaugt und die Zellen 2–3mal mit PBS gewaschen. Die Fixierung der Zellen erfolgt mit 100 μl1,37% Formaldehyd für 10 min bei Raumtemperatur. Nach Absaugender Fixierlösung werden die Zellen 2–3 mal mitPBS gewaschen. Die Zellkernfärbung erfolgt bei den bereitsfixierten Zellen mit Höchst 33342. Dafür werden100 μl der in PBS verdünnten Farbstofflösung(2 μg/ml) für 10 min bei Raumtemperatur inkubiert.Nach Entfernen der Farbstofflösung werden die Zellen mit100 μl PBS 2–3 mal gewaschen. Die fixierten Plattenwerden bis zur fluoreszenzmikroskopischen Untersuchung mit 200 μl PBS/Welllichtgeschützt im Kühlschrank bei 8°Caufbewahrt. Beispiel 10: Einfluss funktionalisierterPartikeloberflächen auf die Zellaufnahme Tab. 1: Partikeldurchmesser dhyd,Polydispersitätsindex und Zetapotential (nicht)-funktionalisierterCumarin 6 beladener PBCA-P(DMAEMA)-Nanopartikel (NP)Größedhyd [nm]Polydispersitätsindex [PI]Zetapotential[mV]1.)Unmodifizierte NP1910,13+31,5 ± 1,52.)NP mit Folsäure1950,06+8,1 ± 3,73.)NP mit Glu-PEG2080,08–28,4 ± 1,2The dye solution is then filtered off with suction and the cells are washed 2-3 times with PBS. The fixation of the cells is carried out with 100 ul of 1.37% formaldehyde for 10 min at room temperature. After aspirating the fixing solution, the cells are washed 2-3 times with PBS. Nuclear staining takes place on the already fixed cells with a maximum of 33342. For this purpose, 100 μl of the dye solution diluted in PBS (2 μg / ml) are incubated for 10 min at room temperature. After removing the dye solution, the cells are washed with 100 μl PBS 2-3 times. The fixed plates are stored in the refrigerator until the fluorescence microscopic examination with 200 .mu.l PBS / Well protected from light in the refrigerator at 8 ° C. Example 10 Influence of Functionalized Particle Surfaces on Cell Acquisition Tab. 1: Particlediameter dhyd , polydispersity index and zeta potential of (non) functionalized coumarin 6 loaded PBCA-P (DMAEMA) nanoparticles (NP) Size dhyd [nm] Polydispersity Index [PI] Zeta potential [mV] 1.) Unmodified NP 191 0.13 +31.5 ± 1.5 2.) NP with folic acid 195 0.06 +8.1 ± 3.7 3.) NP with Glu-PEG 208 0.08 -28.4 ± 1.2

Diein Beispiel 9 verwendeten Nanopartikel werden gemäß Beispiel5 hergestellt. Unmodifiziert bzw. nach elektrostatischer Oberflächenmodifikationmit Folsäure oder Glu(10)-b-PEG(110) weisen die Partikeldie in der Tabelle 1 gelisteteten Eigenschaften auf.TheNanoparticles used in Example 9 are prepared according to Example5 produced. Unmodified or after electrostatic surface modificationwith folic acid or Glu (10) -b-PEG (110) have the particlesthe properties listed in Table 1 on.

Inder für den Versuch verwendeten 96-Wellplatte haben alleWells die gleiche Zelldichte (Aussaat 24 h vor Versuch: 1 × 104 Zellen). Inkubiert wird eine konstantePartikelkonzentration der in der Tabelle (Tab. 1) aufgeführtenPartikel über einen Zeitraum von 60 Minuten im Brutschrank.Anschließend werden die Zellen gewaschen, fixiert und amFolgetag vermessen. Die Aufnahme der fluoreszierenden Zellen erfolgtmit einem automatischen Fluoreszenzmikroskop bei 20-facher Vergrößerungund konstanter Belichtungszeit (siehe6). Anhandvon6 wird gezeigt, wie durch unterschiedliche Oberflächeneigenschaftenvon ein-und derselben Nanopartikelcharge das Zellaufnahmeverhaltenbeeinflusst wird. Unmodifizierte Partikel in Reihe 1.) mit einem kationischemOberflächenpotential zeigen eine höhere Affinitätzur Zelloberfläche, erkennbar am stärkeren Fluoreszenzkontrastauf bzw. in den Zellen. Die ebenso effektive Internalisierung vonPartikeln mit negativem Oberflächenpotential nach Titrationmit Glu(10)-b-PEG(110) kann anhand des vergrößertenAusschnittes der Zellen aus Reihe 3.) gezeigt werden.In the 96-well plate used for the experiment, all wells have the same cell density (seeding 24 h before experiment: 1 × 104 cells). A constant particle concentration of the particles listed in the table (Table 1) is incubated in the incubator over a period of 60 minutes. Subsequently, the cells are washed, fixed and measured on the following day. The uptake of the fluorescent cells is carried out with an automatic fluorescence microscope at 20x magnification and constant exposure time (see 6 ). Based on 6 It is shown how different surface properties of one and the same batch of nanoparticles influence cell uptake behavior. Unmodified particles in series 1.) with a cationic surface potential show a higher affinity for the cell surface, recognizable by the stronger Fluorescence contrast on or in the cells. The equally effective internalization of particles with negative surface potential after titration with Glu (10) -b-PEG (110) can be shown by the enlarged section of the cells from row 3.).

Beispiel 11: Zellaufnahmeverhalten Glu(10)-b-PEG(110)modifizierter PBCA P(DMAEMA)-Nanopartikel, beladen mit Cumarin 6(Fluoreszenzfarbstoff zur in vitro Detektion)Example 11: Cell uptake behavior Glu (10) -b-PEG (110)modified PBCA P (DMAEMA) nanoparticle loaded with coumarin 6(Fluorescent dye for in vitro detection)

Diein Beispiel 9 verwendeten Nanopartikel werden gemäß Beispiel5 hergestellt. Nach elektrostatischer Oberflächenmodifikationmit Glu(10)-b-PEG(110) wird das Zellaufnahmeverhalten der Partikel(dhyd = 171 nm; ZP = –33 mV) untersucht.The nanoparticles used in Example 9 are prepared according to Example 5. After electrostatic surface modification with Glu (10) -b-PEG (110), the cell uptake behavior of the particles (dhyd = 171 nm, ZP = -33 mV) is investigated.

Diehell fluoreszierenden Punkte, bei welchen es sich um Endosomen oderEndolysosomen handelt, sind Beleg für eine effiziente Aufnahmeder Nanopartikel in die Zelle mittels Endozytose (7).Der Maßstab der Vergrößerung belegt,dass in dieser Aufnahme einzelne Partikel aufgrund ihrer Größevon weniger als 200 nm nicht sichtbar sein können. EineVielzahl von Partikeln innerhalb dieser Vesikel (Endosomen/Endolysosomen)verursachen den starken, punktförmigen Fluoreszenzkontrastim Cytoplasma. Die Zellaufnahme von PBCA-P(DMAEMA)-Nanopartikelnoberflächenmodifiziert mit Glu(10)-b-PEG(110) wird in8 schematischdargestellt.The brightly fluorescent dots, which are endosomes or endolysosomes, are evidence of efficient uptake of the nanoparticles into the cell by endocytosis ( 7 ). The scale of the magnification proves that in this photograph individual particles can not be visible due to their size of less than 200 nm. A large number of particles within these vesicles (endosomes / endolysosomes) cause strong, punctate fluorescence contrast in the cytoplasm. Cell uptake of PBCA-P (DMAEMA) nanoparticles surface-modified with Glu (10) -b-PEG (110) is reported in 8th shown schematically.

Beispiel 12: Anreicherung der Glu(10)-b-PEG(110)modifizierten PBCA P(DMAEMA)-Nanopartikel im ZellkernExample 12: Enrichment of Glu (10) -b-PEG (110)modified PBCA P (DMAEMA) nanoparticles in the nucleus

Anhandder Aufnahme der mittleren Zellebene mit Hilfe des konfokalen Laser-Raster-Mikroskops (9)kann gezeigt werden, dass eine partielle Anreicherung der Partikelim Zellkern stattfindet.Based on the recording of the middle cell level with the aid of the confocal laser scanning microscope ( 9 ) it can be shown that a partial enrichment of the particles takes place in the cell nucleus.

Beispiel 13: Gesteigerte Partikelaufnahmebei Inkubation höherer PatikelkonzentrationExample 13: Increased particle uptakewith incubation of higher particle concentrations

Cumarin6 beladene, Glu(10)-b-PEG(110) oberflächenmodifiziertePBCA-P(DMAEMA)-Partikel werden gemäß Beispiel5 hergestellt. Es wird eine niedrige Partikelkonzentration 0,21mg/ml (10) und eine höherePartikelkonzentration von 0,85 mg/ml (11) fürden gleichen Zeitraum inkubiert auf den Zellen gemäß Beispiel9 inkubiert.11 zeigt im Verhältniszu10 eine gesteigerte Partikelaufnahme bei Inkubationeiner höheren Patikelkonzentration.Coumarin 6-loaded, Glu (10) -b-PEG (110) surface-modified PBCA-P (DMAEMA) particles are prepared according to Example 5. A low particle concentration of 0.21 mg / ml ( 10 ) and a higher particle concentration of 0.85 mg / ml ( 11 ) incubated for the same period on the cells according to Example 9 incubated. 11 shows in relation to 10 an increased particle uptake with incubation of a higher particle concentration.

Beispiel 14: Charakterisierung der PBCA-(P(DMAEMA)-ICG]-NanopartikelExample 14: Characterization of the PBCA (P (DMAEMA) ICG] nanoparticles

Dargestelltist die Partikelgröße (13) derfür den Tierversuch verwendeten oberflächenmodifiziertenPBCA-[P(DMAEMA)-ICG]-Nanopartikel über einen Zeitraum von7 Tagen nach Herstellung für den Tierversuch. Die konstantePartikelgröße sowie der gleich bleibend niedrigePolydispersitätsindex (PI < 0,1) als Merkmal für einesehr enge Partikelgrößenverteilung sind Beweisfür eine gute Stabilität der oberflächenmodifiziertenPartikel.Shown is the particle size ( 13 ) of the surface-modified PBCA [P (DMAEMA) -ICG] nanoparticles used for the animal experiment over a period of 7 days after preparation for the animal experiment. The constant particle size and the consistently low polydispersity index (PI <0.1) as a feature of a very narrow particle size distribution are evidence of a good stability of the surface-modified particles.

Anhandder REM-Aufnahme (12) kann zusätzlichbelegt werden, dass es sich um sphärische Nanopartikelmit einer Größe um 200 nm handelt.Based on the SEM image ( 12 ) can be additionally demonstrated that they are spherical nanoparticles with a size of 200 nm.

MittelsLadungstitration wird die kationische Oberfläche der PBCA-P(DMAEMA)-Nanopartikelmit dem Blockcopolymer Glu(10)-b-PEG(110) modifiziert (siehe14).Die als Zetapotential gemessene Oberflächenladung wirdentsprechend von ca. +30 mV über den Neutralpunkt hinausbis zum Erreichen des Dissoziations-Gleichgewichtes bei etwa –30mV titriert. Die oberflächenmodifizierten PBCA-[P(DMAEMA)-ICG]-Partikelzeigen über den untersuchten Zeitraum von 7 Tagen nachTitration keine Veränderung des Zetapotentials. Im Zusammenhangmit der unveränderten Partikelgröße sowiedem konstant niedrigen PI kann somit eine gute Partikelstabilitätbelegt werden.By charge titration, the cationic surface of the PBCA-P (DMAEMA) nanoparticles is modified with the block copolymer Glu (10) -b-PEG (110) (see 14 ). The surface charge measured as zeta potential is accordingly titrated from approx. +30 mV above the neutral point until reaching the dissociation equilibrium at approx. -30 mV. The surface-modified PBCA [P (DMAEMA) -ICG] particles show no change in the zeta potential over the investigated period of 7 days after titration. In connection with the unchanged particle size and the constant low PI, a good particle stability can be proven.

In15 sinddie UV-Vis-Absorptionsspektren einer wässrigen ICG-Lösungals auch der ICG-Nanopartikeldispersion (gewaschen und ungewaschen)dargestellt. Indocyaningrün ist ein Nahinfrarot-Fluoreszenzfarbstoff,dessen Absorptions- und Emissionsspektrum im Wellenlängenbereichzwischen 650–900 nm liegt. Die Komplexierung und Einkapselungvon ICG mit Hilfe des kationischen Polyacrylates P(DMAEMA) führtzu einer minimalen bathochromen Verschiebung der beiden Wellenlängenmaxima.In 15 the UV-Vis absorption spectra of an aqueous ICG solution as well as the ICG nanoparticle dispersion (washed and unwashed) are shown. Indocyanine green is a near-infrared fluorescent dye whose absorption and emission spectrum is in the wavelength range between 650-900 nm. The complexation and encapsulation of ICG using the cationic polyacrylate P (DMAEMA) leads to a minimal bathochromic shift of the two wavelength maxima.

Beispiel 15: TierversuchExample 15: Animal experiment

Dieeingesetzten Tiere werden von der Firma Taconic M&B geliefert. Eshandelt sich um weibliche Albino-Nacktmäuse vom Typ NMRInude. Die ausgewachsenen Tiere besitzen nach ca. 8 Wochen ein Gewicht von22–24 g. Fünf weiblichen Nacktmäusenwerden 2 × 106 Zellen eines F9-Teratomsin die rechte hintere Flanke inokuliert. Die Zellen werden von derFirma ATCC/LGC Promochem GmbH bezogen. Es handelt sich um von derMaus stammende embryonale Zellen eines testinalen Teratokarzinoms,welches als Tumormodell für Krebsforschungszwecke in Mäusenverwendet wird. Nach 18 Tagen sind bei vier der fünf MäuseTumore mit einer durchschnittlichen Größe vonca. 0,5–1 cm Durchmesser gewachsen. Die Tiere werden fürdie erste Stunde des Versuches dauerhaft mit einer Rompun-Ketavet-Injektionin einer Dosis 100 μl/10 g Tier anästhesiert.Die Injektionslösung besteht aus einem 1:1 Gemisch einer1:10 Verdünnung Rompun bzw. 1:5 Verdünnung Ketavetmit physiologischer Kochsalzlösung. Anschließendwerden 200 μl der Nanopartikeldispersion in die Schwanzvenei. v. injiziert. Die nachfolgenden Narkosen erfolgen mit Rompun-Ketavet überdie Lunge als Inhalationsnarkotikum, um den Kreislauf der Tiere nurminimal zu belasten. In einem Zeitraster von 24 und 48 h nach Substanzinjektionwerden die Tiere fluoreszenzoptisch untersucht.The animals used are supplied by Taconic M & B. These are female Al bino nude mice of the type NMRI nude. The adult animals have a weight of 22-24 g after about 8 weeks. Five female nude mice are inoculated 2 × 106 cells of a teratoma-F9 in the right rear flank. The cells are obtained from the company ATCC / LGC Promochem GmbH. It is mouse-derived embryonic cells of a testinal teratocarcinoma, which is used as a tumor model for cancer research purposes in mice. After 18 days, four of the five mice had tumors with an average size of about 0.5-1 cm in diameter. The animals are permanently anesthetized with a rompun-ketavet injection in a dose of 100 μl / 10 g of animal for the first hour of the experiment. The solution for injection consists of a 1: 1 mixture of a 1:10 dilution Rompun or 1: 5 dilution Ketavet with physiological saline. Subsequently, 200 μl of the nanoparticle dispersion are injected iv into the tail vein. The subsequent anesthesia is carried out with Rompun-Ketavet via the lungs as an inhalation anesthetic in order to minimize the circulation of the animals. In a time frame of 24 and 48 h after substance injection, the animals are examined by fluorescence optics.

MitHilfe von17 wird gezeigt, dass Glu(10)-b-PEG(110)-modifiziertePBCA-[P(DMAEMA)-ICG]-Nanopartikel nach intravenöser Applikation(Schwanzvene) in der Lage sind, sich über passive Anreicherungsmechanismen(EPR-Effekt) im Tumorgewebe anzureichern. Die Untersuchung der Tumorenex vivo belegt eine deutliche Verstärkung des Fluoreszenzkontrastesbei behandelten im Vergleich zu unbehandeltem Tumorgewebe (Vergleich18bmit a bzw. c mit a). Eine mehrfache, zeitversetzte Detektion derFluoreszenz bei ein und demselben Tier ist nach 24 h und 48 h möglich(17). Die Partikel können demzufolge invivo ausreichend lange zirkulieren und sich entsprechend im Tumoranreichern. Die elektrostatisch pegylierte Oberfläche istsomit stabil mit der Partikeloberfläche verbunden. Es findeteine schnelle biliäre Eliminierung nicht-tumorassoziierterPartikel aus der Leber statt. Indiz dafür ist ein fehlenderNIR-Fluoreszenzkontrast in der Leber nach 24 bzw. 48 h. Eine schnelleEliminierung nicht im Tumor angereicherter Partikel aus dem Organismus(z. B. Leber) ermöglicht einen guten Tumorkontrast beiminimaler Belastung anderer Organe, Voraussetzung für einnebenwirkungsarmes Kontrastmittelsystem.With the help of 17 It is shown that Glu (10) -b-PEG (110) -modified PBCA- [P (DMAEMA) -ICG] nanoparticles after intravenous administration (tail vein) are able to adapt to passive enhancement mechanisms (EPR effect) To enrich tumor tissue. Examination of the tumors ex vivo shows a clear enhancement of the fluorescence contrast in treated compared to untreated tumor tissue (comparison 18 b with a or c with a). Multiple, time-shifted fluorescence detection in one and the same animal is possible after 24 h and 48 h ( 17 ). Consequently, the particles can circulate in vivo for a sufficiently long time and accumulate accordingly in the tumor. The electrostatically pegylated surface is thus stably connected to the particle surface. There is a rapid biliary elimination of non-tumor associated particles from the liver. Indication for this is a lack of NIR fluorescence contrast in the liver after 24 or 48 h. Rapid elimination of non-tumor-enriched particles from the organism (eg liver) allows good tumor contrast with minimal stress on other organs, a prerequisite for a low-contrast contrast agent system.

Dasfür den Tierversuch verwendete Gerät wurde vonder Firma LMTB (Berlin, Deutschland) aufgebaut. Als Einzelkomponentenwurden verwendet:Laser:Diodenlaser(742 nm), Modell Ceralas PDT 742/1,5W; Fa. CeramOptec (Bonn, Deutschland)Anregungsfilter:1xLCLS-750nm–F; 1x740 nm Interferenzfilter (Bandpass)Emissionsfilter:1xbk-802,5-22-C1;1xbk-801-15-C1Kamera:Peltiergegen Luft gekühlte CCD Kamera, Modell C4742-95 12ER, Fa.Hamamatsu (Herrsching, Deutschland)Software:SimplePCI 5.0, Fa. Compix/HamamatsuThe device used for the animal experiment was set up by the company LMTB (Berlin, Germany). As individual components were used: Laser: Diode laser (742 nm), model Ceralas PDT 742 / 1.5W; CeramOptec (Bonn, Germany) Excitation filter: 1xLCLS-750 nm-F; 1x740 nm interference filter (bandpass) Emission filter: 1xbk 802.5 to 22--C1; 1xbk-801-15-C1 Camera: Peltier air-cooled CCD camera, model C4742-95 12ER, Fa. Hamamatsu (Herrsching, Germany) Software: Simple PCI 5.0, Compix / Hamamatsu

Figurencharacters

1:Kurzzeitstabilität PBCA-PDMAEMA-Nanopartikel mit Epothilon(nicht oberflächenmodifiziert). 1 : Short term stability PBCA-PDMAEMA nanoparticles with epothilone (not surface modified).

2:Kurzzeitstabilität PBCA-PDMAEMA-Nanopartikel mit Epothilonoberflächenmodifiziert mit Glu(10)-b-PEG(110)
a) HydrodynamischerPartikeldurchmesser dhyd und PolydispersitätsindexPI/# EpoPD19Ak2konz PEG-Glu
b) Hydrodynamischer Partikeldurchmesserdhyd und Zetapotential
2 : Short-term Stability PBCA-PDMAEMA nanoparticles with epothilone surface-modified with Glu (10) -b-PEG (110)
a) Hydrodynamic particlediameter dhyd and polydispersity index PI / # EpoPD19Ak2konz PEG-Glu
b) Hydrodynamic particle diameter dhyd and zeta potential

3:Titrationsverlauf (Zetapotential) bei der Oberflächenmodifikationvon Epothilon beladenen PBCA-PDMAEMA Nanopartikel Dargestellt istin dieser Abbildung die Veränderung des Zetaptentials von3a) +25 mV auf ca. –30 mV bzw. von3b) +35 mV auf –10 mV durch schrittweiseZugabe des modifizierenden Agens (Glu(10)-b-PEG(110)) bzw. (Glu(10)-b-PEG(114))zur Partikeldispersion (Ladungstitration). 3 : Titration profile (zeta potential) in the surface modification of epothilone-loaded PBCA-PDMAEMA nanoparticles Shown in this figure is the change in the zetapotential of 3a) +25 mV to approx. -30 mV or from 3b) +35 mV to -10 mV by stepwise addition of the modifying agent (Glu (10) -b-PEG (110)) or (Glu (10) -b-PEG (114)) for particle dispersion (charge titration).

4:Steuerung des Partikeldurchmessers durch Änderung der Polymerkonzentration;
In1 istdargestellt, dass die Partikelgröße der PBCA-P(DMAEMA)-Nanopartikelwährend der Herstellung durch Variation der Polymerkonzentrationgesteuert werden kann.
4 : Control of the particle diameter by changing the polymer concentration;
In 1 It is shown that the particle size of the PBCA-P (DMAEMA) nanoparticles can be controlled during production by varying the polymer concentration.

5:In der Abbildung ist dargestellt eine REM-Aufnahme Epothilon beladenerPBCA-P(DMAEMA)-Nanopartikel. 5 : The figure shows an SEM image of epothilone-loaded PBCA-P (DMAEMA) nanoparticles.

6:Einfluss funktionalisierter Partikeloberflächen auf dieZellaufnahme:
a) Vergleich des Zellaufnahmeverhaltens nachOberflächenmodifikation; Reihe 1: unmodifizierte Partikel;Reihe 2: NP mit Folsäure; Reihe 3: NP mit Glu(10)-b-PEG(110);
b)Ausschnitt: Reihe 3/Well 1/Site 15; Pfeile markieren deutliche Fluoreszenzverstärkungim Zellkern.
6 : Influence of functionalized particle surfaces on cell uptake:
a) comparison of cell uptake behavior after surface modification; Row 1: unmodified particles; Row 2: NP with folic acid; Row 3: NP with Glu (10) -b-PEG (110);
b) Section: Row 3 / Well 1 / Site 15; Arrows indicate marked fluorescence enhancement in the nucleus.

7:Nanopartikelaufnahme in HeLa-Zellen; Fluoreszenz der Nanopartikelals Graustufenabbildung;
Die Abbildung zeigt das ZellaufnahmeverhaltenGlu(10)-b-PEG(110) modifizierter PBCA P(DMAEMA)-Nanopartikel inHeLa-Zellen.
7 : Nanoparticle uptake in HeLa cells; Fluorescence of the nanoparticles as grayscale image;
The figure shows the cell uptake behavior of Glu (10) -b-PEG (110) modified PBCA P (DMAEMA) nanoparticles in HeLa cells.

8:Schematische Darstellung der Zellaufnahme von PBCA-P(DMAEMA)-Nanopartikelnoberflächenmodifiziert mit Glu(10)-b-PEG(110);
VerwendeteAbkürzungen = PEG-NP: pegylierte cumarinhaltige PBCA-P(DMAEMA)-Nanopartikel;NP: cumarinbeladene PBCA-P(DMAEMA)-Nanopartikel; CP: Clathrin-coatedpits; ES: Endosomen; LS: Lysosomen; ELS: Endolysosomen; ZK: Zellkern;H+: H+ATPase; PEG-Glu: freies Glu(10)-b-PEG(110) Blockcopolymer; Größenrelationenentsprechen nicht der Realität.
8th : Schematic representation of cell uptake of PBCA-P (DMAEMA) nanoparticles surface-modified with Glu (10) -b-PEG (110);
Abbreviations used = PEG-NP: pegylated coumarin-containing PBCA-P (DMAEMA) nanoparticles; NP: coumarin-loaded PBCA-P (DMAEMA) nanoparticles; CP: clathrin-coated pits; ES: endosomes; LS: lysosomes; ELS: endolysosomes; ZK: cell nucleus; H +: H + ATPase; PEG-Glu: free Glu (10) -b-PEG (110) block copolymer; Size relations do not correspond to reality.

9:a) Darstellung der Fluoreszenz in der mittleren Zellebene (CLSM,konfokales Laser-Raster-Mikroskop), b) computerbasierte 3D-Darstellungder Fluoreszenz;
Die Darstellung zeigt die Anreicherung derGlu(10)-b-PEG(110) modifizierten PBCA-P(DMAEMA)-Nanopartikel imZellkern. Dies ist möglich durch die Beladung mit dem fluoreszenzaktivenFarbstoff Cumarin 6.
9 a) fluorescence imaging in the middle cell level (CLSM, Confocal Laser Scanning Microscope), b) computer-based 3D fluorescence imaging;
The plot shows the accumulation of the Glu (10) -b-PEG (110) modified PBCA-P (DMAEMA) nanoparticles in the nucleus. This is possible by loading with the fluorescence-active dye coumarin 6.

10:Geringere Partikelaufnahme bei Inkubation niedrigerer Patikelkonzentration:0,21 mg/ml; Fluoreszenz der NP als Graustufenabbildung;
DieAbbildung zeigt fluoreszierende HeLa-Zellen nachdem eine Partikelkonzentrationvon 0,21 mg/ml inkubiert wurde. Es wurden dafür Glu(10)-b-PEG(110)oberflächenmodifizierte PBCA-P(DMAEMA)-Partikel verwendet.
10 : Lower particle uptake when incubating lower particle concentrations: 0.21 mg / ml; Fluorescence of the NP as grayscale image;
The figure shows fluorescent HeLa cells after a particle concentration of 0.21 mg / ml was incubated. Glu (10) -b-PEG (110) surface-modified PBCA-P (DMAEMA) particles were used for this purpose.

11:Gesteigerte Partikelaufnahme bei Inkubation höherer Patikelkonzentration:0,85 mg/ml; Fluoreszenz der NP als Graustufenabbildung;
DieAbbildung zeigt deulich stärker fluoreszierende HeLa-Zellennachdem eine höhere Partikelkonzentration von 0,85 mg/mlinkubiert wurde. Es wurden dafür Glu(10)-b-PEG(110) oberflächenmodifiziertePBCA-P(DMAEMA)-Partikel verwendet.
11 : Increased particle uptake on incubation of higher particle concentrations: 0.85 mg / ml; Fluorescence of the NP as grayscale image;
The figure shows more strongly fluorescent HeLa cells after a higher particle concentration of 0.85 mg / ml was incubated. Glu (10) -b-PEG (110) surface-modified PBCA-P (DMAEMA) particles were used for this purpose.

12:REM-Aufnahme von PBCA-[P(DMAEMA)-ICG]-Nanopartikeln 12 : SEM image of PBCA [P (DMAEMA) -ICG] nanoparticles

13:Partikeldurchmesser dhyd der PBCA-[P(DMAEMA)-ICG]-Nanopartikel,oberflächenmodifiziert mit Glu(10)-b-PEG(110);
Dargestelltist die Partikelgröße der für den Tierversuchverwendeten oberflächenmodifizierten PBCA-[P(DMAEMA)-ICG]-Nanopartikel übereinen Zeitraum von 7 Tagen nach Herstellung für den Tierversuch.
13 Particlediameter dhyd of the PBCA [P (DMAEMA) ICG] nanoparticles surface-modified with Glu (10) -b-PEG (110);
Shown is the particle size of the surface-modified PBCA [P (DMAEMA) ICG] nanoparticles used for the animal experiment over a period of 7 days after preparation for the animal experiment.

14:Zetapotential der untitrierten (gewaschenen/ungewaschenen) und dertitrierten PBCA[P(DMAEMA)ICG] Nanopartikel;
Die Abbbldung zeigtdie als Zetapotential gemessene Oberflächenladung der PBCA-P(DMAEMA)-Nanopartikelmodifiziert mit dem Blockcopolymer Glu(10)-b-PEG(110). Dieses wurdeentsprechend von ca. +30 mV über den Neutralpunkt hinausbis zum Erreichen des Dissoziations-Gleichgewichtes bei etwa –30mV titriert.
14 : Zeta potential of the titrated (washed / unwashed) and titrated PBCA [P (DMAEMA) ICG] nanoparticles;
The abbreviation shows the surface charge of the PBCA-P (DMAEMA) nanoparticles, measured as zeta potential, modified with the block copolymer Glu (10) -b-PEG (110). This was correspondingly titrated from about +30 mV beyond the neutral point until reaching the dissociation equilibrium at about -30 mV.

15:UV-Vis-Absorptionsspektren: a) wässrige ICG-Lösung,b) PBCA-[P(DMAEMA)-ICG]-NP ungewaschen; c) PBCA-[P(DMAEMA)-ICG]Nanopartikel gewaschen;
In dieser Abbildung sind die UV-Vis-Absorptionsspektreneiner wässrigen ICG-Lösung als auch der ICG-Nanopartikeldispersion(gewaschen und ungewaschen) dargestellt.
15 : UV-Vis absorption spectra: a) aqueous ICG solution, b) PBCA [P (DMAEMA) -ICG] -NP unwashed; c) PBCA- [P (DMAEMA) -ICG] nanoparticles washed;
This figure shows the UV-Vis absorption spectra of an aqueous ICG solution as well as the ICG nanoparticle dispersion (washed and unwashed).

16:Emissionsspektrum der PBCA-[P(DMAEMA)-ICG]-Nanopartikel und einerwässrigen ICG-Lösung;
Die Abbildung stelltdie entsprechenden Emissionsspektren der wässrigen ICG-Lösungim Vergleich zur Nanopartikeldispersion dar.
16 : Emission spectrum of the PBCA [P (DMAEMA) ICG] nanoparticles and an aqueous ICG solution;
The figure represents the corresponding emission spectra of the aqueous ICG solution compared to the nanoparticle dispersion.

17:Detektion der NIR-Fluoreszenz in vivo; Die Darstellungen zeigendie NIR-Fluoreszenz in einem Zeitraster von 24 und 48 h nach Substanzinjektion(a) 24 h ventral, b) 24 h lateral, c) 48 h lateral, d) Leerwertventral). 17 : Detection of NIR fluorescence in vivo; The images show the NIR fluorescence in a time frame of 24 and 48 h after substance injection (a) ventrally 24 h, b) 24 h laterally, c) 48 h laterally, d) ventrally empty).

18:NIR-Fluoreszenzkontrast des Tumorgewebes ex vivo 48 h nach Behandlung;
DieAbbildung zeigt NIR-Fluoreszenzkontraste a) eines unbehandeltenTumors ohne NIR-Fluoreszenzkontrast, b) eines großen, behandeltenTumors und c) eines mittleren, behandelten Tumors ex vivo 48 h nachBehandlung.
18 : NIR fluorescence contrast of tumor tissue ex vivo 48 h after treatment;
The figure shows NIR fluorescence contrasts a) an untreated tumor without NIR fluorescence contrast, b) a large, treated tumor and c) a median, treated tumor ex vivo 48 h after treatment.

ZITATE ENTHALTEN IN DER BESCHREIBUNGQUOTES INCLUDE IN THE DESCRIPTION

Diese Listeder vom Anmelder aufgeführten Dokumente wurde automatisierterzeugt und ist ausschließlich zur besseren Informationdes Lesers aufgenommen. Die Liste ist nicht Bestandteil der deutschenPatent- bzw. Gebrauchsmusteranmeldung. Das DPMA übernimmtkeinerlei Haftung für etwaige Fehler oder Auslassungen.This listThe documents listed by the applicant have been automatedgenerated and is solely for better informationrecorded by the reader. The list is not part of the GermanPatent or utility model application. The DPMA takes overno liability for any errors or omissions.

Zitierte PatentliteraturCited patent literature

  • - WO 99/43320[0007, 0130]WO 99/43320[0007, 0130]
  • - US 5227487[0062]US 5227487[0062]
  • - US 5442045[0062]US 5442045[0062]
  • - US 5366860[0062]US 5366860[0062]
  • - US 4774339[0062]US 4774339[0062]
  • - US 5187288[0062]US 5187288[0062]
  • - US 5248782[0062]US 5248782[0062]
  • - US 5433896[0062]US 5433896[0062]
  • - US 5451663[0062]US 5451663[0062]
  • - WO 96/17628[0065]WO 96/17628[0065]
  • - DE 4445065[0069]- DE 4445065[0069]
  • - DE 69911034[0069]- DE 69911034[0069]
  • - WO 93/10102[0130]WO 93/10102[0130]
  • - WO 93/10121[0130]WO 93/10121[0130]
  • - DE 4138042 A2[0130]- DE 4138042 A2[0130]
  • - WO 97/19086[0130]WO 97/19086[0130]
  • - WO 98/25929[0130, 0131]- WO 98/25929[0130, 0131]
  • - WO 2000/066589[0130]WO 2000/066589[0130]
  • - WO 00/49021[0130, 0131]WO 00/49021[0130, 0131]
  • - WO 00/71521[0130, 0131]WO 00/71521[0130, 0131]
  • - WO 2001027308[0130]WO 2001027308[0130]
  • - WO 99/02514[0130]WO 99/02514[0130]
  • - WO 2002080846[0130]- WO 2002080846[0130]
  • - DE 19907588[0131]- DE 19907588[0131]
  • - WO 99/58534[0131]WO 99/58534[0131]
  • - WO 99/2514[0131]WO 99/2514[0131]
  • - WO 99/67252[0131]WO 99/67252[0131]
  • - WO 99/67253[0131]WO 99/67253[0131]
  • - WO 99/7692[0131]WO 99/7692[0131]
  • - EP 99/4915[0131]EP 99/4915[0131]
  • - WO 00/1333[0131]WO 00/1333[0131]
  • - WO 00/66589[0131, 0131]WO 00/66589[0131, 0131]
  • - WO 00/49019[0131]WO 00/49019[0131]
  • - WO 00/49020[0131]WO 00/49020[0131]
  • - WO 00/37473[0131]WO 00/37473[0131]
  • - WO 00/57874[0131]WO 00/57874[0131]
  • - WO 01/92255[0131]- WO 01/92255[0131]
  • - WO 01/81342[0131]WO 01/81342[0131]
  • - WO 01/73103[0131]WO 01/73103[0131]
  • - WO 01/64650[0131]WO 01/64650[0131]
  • - WO 01/70716[0131]WO 01/70716[0131]
  • - US 6204388[0131]US 6204388[0131]
  • - US 6387927[0131]- US 6387927[0131]
  • - US 6380394[0131]US 6380394[0131]
  • - US 02/52028[0131]- US 02/52028[0131]
  • - US 02/58286[0131]US 02/58286[0131]
  • - US 02/62030[0131]US 02/62030[0131]
  • - WO 02/32844[0131, 0131]WO 02/32844[0131, 0131]
  • - WO 02/30356[0131]WO 02/30356[0131]
  • - WO 02/14323[0131]WO 02/14323[0131]
  • - WO 02/8440[0131]WO 02/8440[0131]

Zitierte Nicht-PatentliteraturCited non-patent literature

  • - Fahmy T. M.,Fong P. M. et al., Mater. Today, 2005; 8(8): 18–26[0002]Fahmy ™, Fong PM et al., Mater. Today, 2005; 8 (8): 18-26[0002]
  • - Emerich D. F., Thanos C. G., Curr. Nanosci., 2005; 1: 177–188[0003]Emerich DF, Thanos CG, Curr. Nanosci., 2005; 1: 177-188[0003]
  • - Silacci D., Neri M., Modern Biopharmaceuticals: Design, developmentand optimization, Volume 3, Part V, Wiley-VCH, Weinheim, 2005; 1271–1299[0004]- Silacci D., Neri M., Modern Biopharmaceuticals: Design, Development and Optimization, Volume 3, Part V, Wiley-VCH, Weinheim, 2005; 1271-1299[0004]
  • - Silacci D., Neri M., Modern Biopharmaceuticals: Design, developmentand optimization, Volume 3, Part V, Wiley-VCH, Weinheim, 2005; 1271–1299[0005]- Silacci D., Neri M., Modern Biopharmaceuticals: Design, Development and Optimization, Volume 3, Part V, Wiley-VCH, Weinheim, 2005; 1271-1299[0005]
  • - e. g. IDrugs, 2002, 5(10): 949–954[0007]- eg IDrugs, 2002, 5 (10): 949-954[0007]
  • - Matsumura Y., Maeda H., Cancer Res., 1986; 46: 6387–6392[0008]Matsumura Y., Maeda H., Cancer Res., 1986; 46: 6387-6392[0008]
  • - Maeda H., Adv. Enzyme Regul., 2001; 41: 189–207[0008]- Maeda H., Adv. Enzyme Regul., 2001; 41: 189-207[0008]
  • - Ulbrich K., Subr V., Adv. Drug Deliv. Rev., 2004; 56(7): 1023–1050[0008]- Ulbrich K., Subr V., Adv. Drug Deliv. Rev., 2004; 56 (7): 1023-1050[0008]
  • - Hobbs S. K., Monsky W. L. et al., Proc. Natl. Acad. Sci. USA,1998; 95: 4607–4612[0008]Hobbs SK, Monsky WL et al., Proc. Natl. Acad. Sci. USA, 1998; 95: 4607-4612[0008]
  • - Brigger I., Dubernet C. et al., Adv. Drug Deliv. Rev., 2002;54(5): 631–651[0008]Brigger I, Dubernet C et al., Adv. Drug Deliv. Rev., 2002; 54 (5): 631-651[0008]
  • - Hughes G. A., Nanomedicine, 2005; 1(1): 22–30[0008]- Hughes GA, Nanomedicine, 2005; 1 (1): 22-30[0008]
  • - Otsuka H. et al., Adv. Drug Deliv. Rev., 2003; 55(3): 403–419[0010]Otsuka H. et al., Adv. Drug Deliv. Rev., 2003; 55 (3): 403-419[0010]
  • - Nobs L. et al., Pharm. Sci., 2004; 93: 1980–1992[0010]Nobs L. et al., Pharm. Sci., 2004; 93: 1980-1992[0010]
  • - Yokoyama M., J. Artif. Organs, 2005; 8: 77–84[0010]- Yokoyama M., J. Artif. Organs, 2005; 8: 77-84[0010]
  • - Bharadwaj V., J. Biomed. Nanotechnol., 2005; 1: 235–258[0011]- Bharadwaj V., J. Biomed. Nanotechnol., 2005; 1: 235-258[0011]
  • - Huwyler J. et al., J. Drug Target., 2002; 10(1): 73–79[0011]Huwyler J. et al., J. Drug Target., 2002; 10 (1): 73-79[0011]
  • - Koo O. M. et al., Nanomedicine, 2005; 1(3): 193–212[0012]Koo OM et al., Nanomedicine, 2005; 1 (3): 193-212[0012]
  • - Rosen H., Abribat T., Nature Reviews Drug Discovery, 2005May; 4(5): 381–5[0014]- Roses H., Abribat T., Nature Reviews Drug Discovery, 2005 May; 4 (5): 381-5[0014]
  • - McLennan D. N., Porter C. J. H. et al., Drug Discovery Today:Technologies, 2005 Spring; 2(1): 89–96[0014]McLennan DN, Porter CJH et al., Drug Discovery Today: Technologies, 2005 Spring; 2 (1): 89-96[0014]
  • - Choi S. W., Kim W. S., Kim J. H., Journal of Dispersion Scienceand Technology, 2003; 24(3&4):475–487[0015]- Choi SW, Kim WS, Kim JH, Journal of Dispersion Science and Technology, 2003; 24 (3 & 4): 475-487[0015]
  • - Thünemann A. F. et al., Adv. Polym. Sci., 2004; 166:113–171[0019]Thünemann AF et al., Adv. Polym. Sci., 2004; 166: 113-171[0019]
  • - Mounkes L. C. et al., J. Biol. Chem., 1998; 273(40): 26164–26170[0023]Mounkes LC et al., J. Biol. Chem., 1998; 273 (40): 26164-26170[0023]
  • - Mislick K. A., Baldeschwieler J. D., Proc. Natl. Acad. Sci.USA, 1996; 93: 12349–12354[0023]- Mislick KA, Baldeschwieler JD, Proc. Natl. Acad. Sci. USA, 1996; 93: 12349-12354[0023]
  • - DeDuve C. et al., Biochem. Pharmacol., 1974; 23: 2495–2531[0023]DeDuve C. et al., Biochem. Pharmacol., 1974; 23: 2495-2531[0023]
  • - Kircheis S. et al., J. Gene Med., 1999; 1: 111–120[0024]Kirchis S. et al., J. Gene Med., 1999; 1: 111-120[0024]
  • - Ogris M. et al., Gene Ther., 1999; 6: 595–605[0024]Ogris M. et al., Gene Ther., 1999; 6: 595-605[0024]
  • - Kircheis R. et al., Drug Deliv. Rev., 2001; 53(3): 341–58[0024]- Kircheis R. et al., Drug Deliv. Rev., 2001; 53 (3): 341-58[0024]
  • - Kircheis S. et al., J. Gene Med., 1999; 1: 111–120[0024]Kirchis S. et al., J. Gene Med., 1999; 1: 111-120[0024]
  • - Ogris M. et al., Gene Ther., 1999; 6: 595–605[0024]Ogris M. et al., Gene Ther., 1999; 6: 595-605[0024]
  • - Nobs L. et al., J. Pharm. Sci., 2004; 93: 1980–1992[0027]Nobs L. et al., J. Pharm. Sci., 2004; 93: 1980-1992[0027]
  • - Koo O. M. et al., Nanomedicine, 2005; 1(3): 193–212[0027]Koo OM et al., Nanomedicine, 2005; 1 (3): 193-212[0027]
  • - Choi S. W. et al., J. Dispersion Sci. Technol., 2003; 24(3&4): 475–487[0027]Choi SW et al., J. Dispersion Sci. Technol., 2003; 24 (3 & 4): 475-487[0027]
  • - van Osdol W., Cancer Res., 1991; 51: 4776–4784[0029]van Osdol W., Cancer Res., 1991; 51: 4776-4784[0029]
  • - Weinstein J. N. et al., Cancer Res., 1992; 52(9): 2747–2751[0029]Weinstein JN et al., Cancer Res., 1992; 52 (9): 2747-2751[0029]
  • - Remy J. -S. et al., Adv. Drug Deliv. Rev., 1998; 30(1–3):85–95[0058]- Remy J. -S. et al., Adv. Drug Deliv. Rev., 1998; 30 (1-3): 85-95[0058]
  • - Ulbrich K., Subr V., Adv. Drug Deliv. Rev., 2004; 56(7): 1023–1050[0142]- Ulbrich K., Subr V., Adv. Drug Deliv. Rev., 2004; 56 (7): 1023-1050[0142]

Claims (32)

Translated fromGerman
Polymernanopartikel mit einem kationischen Oberflächenpotential,enthaltend ein kationisches Polymer und ein in Wasser schwer löslichesPolymer,dadurch gekennzeichnet, dass diese Polymernanopartikeldiagnostische Agenzien und Epothilone oder nur Epothilone enthalten.Polymer nanoparticles having a cationic surface potential containing a cationic polymer and a sparingly water-soluble polymer,characterized in that said polymer nanoparticles contain diagnostic agents and epothilones or only epothilones.Polymernanopartikel gemäß Anspruch1, dadurch gekennzeichnet, dass es sich um ein Fällungsaggregathandelt.Polymer nanoparticles according to claim1, characterized in that it is a precipitation unitis.Polymernanopartikel gemäß Anspruch1 oder 2, dadurch gekennzeichnet, dass das in Wasser schwer löslichePolymer ein Polycyanoacrylate, Polyalkylcyanoacrylate (PACA), PolyesterAlginsäure, Hyaluronsäure, Polysialinsäure,saure Cellulose-Derivate, saure Stärke-Derivate, Polysaccharide,polymere Proteine, Polyamide, Polyanhydride, Polyorthoester, Polycaprolactone,Polyphosphorsäure, Poly(amideenamines), Azopolymers, Polyurethane,Polyorthoester, Dendrimere, Pseudopolymaminosäuren odersämtliche Mischungen und Co-Polymere derselben Verbindungenist.Polymer nanoparticles according to claim1 or 2, characterized in that the sparingly soluble in waterPolymer a polycyanoacrylate, polyalkylcyanoacrylate (PACA), polyesterAlginic acid, hyaluronic acid, polysialic acid,acidic cellulose derivatives, acidic starch derivatives, polysaccharides,polymeric proteins, polyamides, polyanhydrides, polyorthoesters, polycaprolactones,Polyphosphoric acid, poly (amideeneamines), azopolymers, polyurethanes,Polyorthoesters, dendrimers, pseudopolymamic acids orall mixtures and co-polymers of the same compoundsis.Polymernanopartikel gemäß Anspruch3, dadurch gekennzeichnet, dass das in Wasser schwer lösliche Polymerein Polybutylcyanoacrylat (PBCA) ist.Polymer nanoparticles according to claim3, characterized in that the sparingly soluble in water polymera polybutyl cyanoacrylate (PBCA).Polymernanopartikel, gemäß einemder Ansprüche 1 oder 2, enthaltend ein kationisch modifiziertesPolyacrylat P(DMAEMA), Diethylaminoethylmodifizierte Dextrane, Hydroxymethylcellulosetrimethylamin,Polylysin, Protaminsulfat, Hydroxyethylcellulosetrimethylamin, Polyallylaminen,Protaminchlorid, Polyallylaminhydrosalze, Polyamine, Polyvinylbenzyltrimethylammoniumsalze,Polydiallyldimethylammoniumsalze, Polyimidazolin, Polyvinylaminund Polyvinylpyridin, Polyethylenimin (PEI), Putrescin (Butan-1,4-diamin),Spermidin (N-(3-Aminopropyl)butan-1,4-diamin), Spermin (N,N'-bis(3-aminopropyl)butan-1,4-diamin)Dimethylaminoethylacrylat, Poly-N,N- dimethylaminoethylmethacrylatDimethylaminopropylacrylamid, Dimethylaminopropylmethacrylamid,Dimethylaminostyrol, Vinylpyridin und Methyldiallylamin, Poly-DADMAC,Guar, oder deacetyliertes Chitin und die entsprechenden Salze, welchesich mit geeigneten anorganischen oder niedermolekularen organischenSäuen bilden können.Polymer nanoparticles, according to oneof claims 1 or 2, containing a cationically modifiedPolyacrylate P (DMAEMA), diethylaminoethyl-modified dextrans, hydroxymethylcellulosetrimethylamine,Polylysine, protamine sulfate, hydroxyethylcellulosetrimethylamine, polyallylamines,Protamine chloride, polyallylamine hydrosalts, polyamines, polyvinylbenzyltrimethylammonium salts,Polydiallyldimethylammonium salts, polyimidazoline, polyvinylamineand polyvinylpyridine, polyethyleneimine (PEI), putrescine (butane-1,4-diamine),Spermidine (N- (3-aminopropyl) butane-1,4-diamine), spermine (N, N'-bis (3-aminopropyl) butane-1,4-diamine)Dimethylaminoethyl acrylate, poly-N, N-dimethylaminoethyl methacrylateDimethylaminopropylacrylamide, dimethylaminopropylmethacrylamide,Dimethylaminostyrene, vinylpyridine and methyldiallylamine, poly-DADMAC,Guar, or deacetylated chitin and the corresponding salts whichthemselves with suitable inorganic or low-molecular organicSowing can form.Polymernanopartikel, gemäß Anspruch5, enthaltend ein kationisch modifiziertes Polyacrylat P(DMAEMA),Polymer nanoparticles according to claim5, containing a cationically modified polyacrylate P (DMAEMA),Polymernanopartikel, gemäß Anspruch5, enthaltend ein Polyethylenimin.Polymer nanoparticles according to claim5, containing a polyethyleneimine.Polymernanopartikel gemäß einemder Ansprüche 1–7, dadurch gekennzeichnet, dassdie Oberfläche elektrostatisch modifiziert ist.Polymer nanoparticles according to oneof claims 1-7, characterized in thatthe surface is electrostatically modified.Polymernanopartikel gemäß Anspruch8, wobei das oberflächenmodifizierende Agens eine Verbindung derFormel () ist
Figure 00630001
worin n 5 bis 700 RWasserstoff, C1-C3-Alkyloder eine neutrale Aminosäure und anionischer Anker einPolymer aus bis zu 10 Einheiten Glutaminsäure (Glu) oderAsparaginsäure (Asp) oder deren Salzen, oder deren Mischpolymere, bedeutet,wobei die Reste R auch gemischt auftreten können.The polymer nanoparticle according to claim 8, wherein the surface-modifying agent is a compound of the formula ()
Figure 00630001
wherein n is 5 to 700 R is hydrogen, C1 -C3 alkyl or a neutral amino acid and anionic anchor is a polymer of up to 10 units glutamic acid (Glu) or aspartic acid (Asp) or their salts, or their copolymers, wherein the Residues R can also occur mixed.Polymernanopartikel gemäß Anspruch9, dadurch gekennzeichnet, dass die Oberfläche mit Glu(10)-b-PEG(110),Glu(10)-b-PEG(114) oder Asp(15)-b-PEG(114) modifiziert ist.Polymer nanoparticles according to claim9, characterized in that the surface with Glu (10) -b-PEG (110),Glu (10) -b-PEG (114) or Asp (15) -b-PEG (114).Polymernanopartikel gemäß einemder Ansprüche 1–10 dadurch gekennzeichnet, dassdas diagnostische Agens negativ geladen ist und als Ionenpaar mitdem kationischen Polymer in den Partikel eingeschlossen wird.Polymer nanoparticles according to oneof claims 1-10, characterized in thatthe diagnostic agent is negatively charged and as an ion pair withthe cationic polymer is included in the particle.Polymernanopartikel gemäß einemder Ansprüche 1–11, dadurch gekennzeichnet, dasses sich bei dem diagnostischen Agens um einen fluoreszierenden Farbstoffhandelt.Polymer nanoparticles according to oneof claims 1-11, characterized in thatthe diagnostic agent is a fluorescent dyeis.Polymernanopartikel gemäß einemder Ansprüche 12, dadurch gekennzeichnet, dass der fluoreszierendeFarbstoff ein fluoreszierender NIR-Farbstoff ist.Polymer nanoparticles according to oneof claims 12, characterized in that the fluorescentDye is a fluorescent NIR dye.Polymernanopartikel gemäß einemder Ansprüche 1–11, dadurch gekennzeichnet, dasses sich bei dem diagnostischen Agens um einen Carbocyanin-Farbstoffhandelt.Polymer nanoparticles according to oneof claims 1-11, characterized in thatthe diagnostic agent is a carbocyanine dyeis.Polymernanopartikel gemäß Ansprüche14, dadurch gekennzeichnet, dass es sich bei dem diagnostischenAgens um TSC (Tetrasulfocyanin) handelt.Polymer nanoparticles according to claims14, characterized in that it is in the diagnosticAgent to TSC (tetrasulfocyanine) acts.Polymernanopartikel gemäß Ansprüche14, dadurch gekennzeichnet, dass es sich bei dem diagnostischenAgens um IDCC (Indodicarbocyanin) handelt.Polymer nanoparticles according to claims14, characterized in that it is in the diagnosticAgent is IDCC (Indodicarbocyanin).Polymernanopartikel gemäß Ansprüche14 dadurch gekennzeichnet, dass es sich bei dem diagnostischen Agensum ICG (Indocyaningrün) handelt.Polymer nanoparticles according to claims14, characterized in that it is the diagnostic agentis ICG (indocyanine green).Polymernanopartikel gemäß Anspruch1 oder 2, wobei das Epothilon eine Verbindung der allgemeinen Formel(II)
Figure 00640001
worin R1a,R1b unabhängig voneinander Wasserstoff,C1-C10-Alkyl, Aryl,Aralkyl, oder zusammen eine Gruppe -(CH2)mwobei m 2 bis 5 bedeutet; R2a, R2b unabhängigvoneinander Wasserstoff, C1-C10-Alkyl,C2-C10-Alkenyl C2-C10-Alkinyl, Aryl,Aralkyl, oder zusammen eine Gruppe -(CH2)n- wobei n 2 bis 5 bedeutet, R3 Wasserstoff, C1-C10 Alkyl, Aryl, Aralkyl; R4a,R4b unabhängig voneinander Wasserstoff,C1-C10-Alkyl, Aryl,Aralkyl, oder zusammen eine Gruppe -(CH2)pwobei p 2 to 5 bedeutet; R5 Wasserstoff, C1-C10-Alkyl, Aryl, Aralkyl, CO2H,CO2Alkyl, CH2OH,CH2O-C1-C5-Alkyl, CH2OAcyl,CN, CH2NH2, CH2N((C1-C5-Alkyl),Acyl)1,2, or CH2Hal,CHal3; R6,R7 unabhängig voneinander Wasserstoff,oder zusammen eine weitere Bindung oder eine Epoxid Funktion; GO oder CH2; D-E zusammen die Gruppe-H2C-CH2-, -HC=CH-,-C≡C-, -CH(OH)-CH(OH)-, -CH(OH)-CH2-,-CH2-CH(OH)-, -CH2-O-,-O-CH2- or
Figure 00650001
wobei wenn G Sauerstoff bedeutet,D-E nicht CH2-O sein kann; oder D-E-Gzusammen die Gruppe H2C-CH=CH W dieGruppe C(=X)R8, oder ein bi- or trizyklischeraromatischer oder heteroaromatischer Rest; X O oder die GruppeCR9R10; R8 Wasserstoff, C1-C10 Alkyl, Aryl, Aralkyl, Halogen, CN; R9, R10 unabhängigvoneinander Wasserstoff, C1-C20-Alkyl,Aryl, Aralkyl, oder zusammen mit dem Methylenkohlenstoffatom einen5- bis 7-gliedrigen carbozyklischen Ring; Z O oder Wasserstoffund die Gruppe OR11; R11 Wasserstoffder eine Schutzgruppe PGZ; A-Y eineGruppe O-C(=O), O-CH2, CH2-C(=O),NR12-C(=O), NR12-SO2; R12 Wasserstoff,oder C1-C10 Alkyl; PGZ C1-C20 Alkyl,eine C4-C7 Cycloalkylgruppe,die ein oder mehrere Sauerstoffatome im Ring enthalten kann, Aryl,Aralkyl, C1-C20 Acyl,Aroyl, C1-C20 Alkylsulfonyl,Arylsulfonyl, Tri(C1-C20alkyl)silyl,Di(C1-C20 alkyl)Arylsilyl, (C1-C20Alkyl)diarylsilyl,or Tri(aralkyl)silyl; als einzelnes Stereoisomer oder als Mischungaus verschiedenen Stereoisomeren und/oder als pharmazeutisch akzeptablesSalz verkapselt ist.
Polymer nanoparticles according to claim 1 or 2, wherein the epothilone is a compound of general formula (II)
Figure 00640001
wherein R1a , R1b are independently hydrogen, C1 -C10 alkyl, aryl, aralkyl, or together a group - (CH2 )m wherein m is 2 to 5; R2a , R2b independently of one another are hydrogen, C1 -C10 -alkyl, C2 -C10 -alkenyl C2 -C10 -alkynyl, aryl, aralkyl, or together a group - (CH2 )n - where n is 2 to 5, R3 is hydrogen, C1 -C10 alkyl, aryl, aralkyl; R4a , R4b are each independently hydrogen, C1 -C10 alkyl, aryl, aralkyl, or together a group - (CH2 )p wherein p is 2 to 5; R5 is hydrogen, C1 -C10 alkyl, aryl, aralkyl, CO2 H, CO2 alkyl, CH2 OH, CH2 OC1 -C5 alkyl, CH2 O acyl, CN, CH2 NH2 , CH2 N ((C1 -C5 alkyl), acyl)1,2, or CH2 Hal, CHal3; R6 , R7 are independently hydrogen, or together another bond or an epoxide function; G is O or CH2; DE together form the group -H2 C-CH2 -, -HC = CH-, -C≡C-, -CH (OH) -CH (OH) -, -CH (OH) -CH2 -, -CH2 -CH (OH) -, -CH2 -O-, -O-CH2 - or
Figure 00650001
where G is oxygen, DE can not be CH2 -O; or DEG together the group H2 C-CH = CH W the group C (= X) R8 , or a bi- or tricyclic aromatic or heteroaromatic radical; XO or the group CR9 R10 ; R8 is hydrogen, C1 -C10 alkyl, aryl, aralkyl, halogen, CN; R9 , R10 independently of one another are hydrogen, C1 -C20 -alkyl, aryl, aralkyl or together with the methylene carbon atom a 5- to 7-membered carbocyclic ring; ZO or hydrogen and the group OR11 ; R11 is hydrogen of a protective group PGZ ; AY is a group OC (= O), O-CH2 , CH2 -C (= O), NR12 -C (= O), NR12 -SO2 ; R12 is hydrogen, or C1 -C10 alkyl; PGZ C1 -C20 alkyl, a C4 -C7 cycloalkyl group which may contain one or more oxygen atoms in the ring, aryl, aralkyl, C1 -C20 acyl, aroyl, C1 -C20 alkylsulfonyl, arylsulfonyl, tri (C1 -C20 alkyl) silyl, di (C1 -C20 alkyl) arylsilyl, (C1 -C20 alkyl) diarylsilyl, or tri (aralkyl) silyl; is encapsulated as a single stereoisomer or as a mixture of different stereoisomers and / or as a pharmaceutically acceptable salt.
Polymernanopartikel gemäß Anspruch18, wobei des Epothilon ausgewählt ist aus der Liste enthaltend (4S,7R,8S,9S,13E/Z,16S)-4,8-Dihydroxy-16-(2-methyl-benzoxazol-5-yl)-1-oxa-5,5,9,13-tetramethyl-7-(prop-2-en-1-yl)-cyclohexadec-13-en-2,6-dion; (1S/R,3S,7S,10R,11R,12S,16R/S)-7,11-Dihydroxy-10-(prop-2-en-1-yl)-3-(2-methyl-benzoxazol-5-yl)-8,8,12,16-tetramethyl-4,17-dioxabicyclo[14.1.0]heptadecan-5,9-dion; (4S,7R,8S,9S,13E/Z,16S)-4,8-Dihydroxy-16-(2-methyl-benzothiazol-5-yl)-1-oxa-5,5,9,13-tetramethyl-7-(prop-2-en-1-yl)-cyclohexadec-13-en-2,6-dion; (1S/R,3S,7S,10R,11S,12S,16R/S)-7,11-Dihydroxy-10-(prop-2-en-1-yl)-3-(2-methyl-benzothiazol-5-yl)-8,8,12,16-tetramethyl-4,17-dioxabicyclo[14.1.0]heptadecan-5,9-dion; (1S,3S,7S,10R,11S,12SA,16R)-7,11-Dihydroxy-10-(prop-2-en-1-yl)-3-(2-methyl-benzothiazol-5-yl)-8,8,12,16-tetramethyl-4,17-dioxablcyclo[14.1.0]heptadecan-5,9-dion; (1S/R,3S,7S,10R,11R,12S,16R/S)-7,11-Dihydroxy-10-(prop-2-en-1-yl)-3-(2-methyl-benzothiazol-5-yl)-8,8,12,16-tetramethyl-4,17-dioxabicyclo[14.1.0]heptadecane-5,9-dion; (4S,7R,8S,9S,13E/Z,16S)-4,8-Dihydroxy-16-(2-methyl-benzothiazol-5-yl)-1-oxa-9,13-dimethyl-5,5-(1,3-trimethylen)-7-(prop-2-en-1-yl)-cyclohexadec-13-en-2,6-dion; (1S/R,3S,7S,10R,11R,12S,16R/S)-7,11-Dihydroxy-10-(prop-2-en-1-yl)-3-(2-methyl-benzothiazol-5-yl)-12,16-dimethyl-8,8-(1,3-trimethylen)-4,17-dioxabicyclo[14.1.0]heptadecan-5,9-dion; (4S,7R,8S,9S,13E/Z,16S)-4,8-Dihydroxy-16-(2-methyl-benzothiazol-5-yl)-1-oxa-5,5,9,13-tetramethyl-7-(prop-2-in-1-yl)-cyclohexadec-13-en-2,6-dion; (1S/R,3S,7S,10R,11R,12S,16R/S)-7,11-Dihydroxy-10-(prop-2-in-1-yl)-3-(2-methyl-benzothiazol-5-yl)-8,8,12,16-tetramethyl-4,17-dioxabicyclo[14.1.0]heptadecan-5,9-dion; (4S,7R,8S,9S,13E/Z,16S)-4,8-Dihydroxy-16-(quinolin-7-yl)-1-oxa-5,5,9,13-tetramethyl-7-(prop-2-en-1-yl)-cyclohexadec-13-en-2,6-dion; (1S/R,3S,7S,10R,11R,12S,16R/S)-7,11-Dihydroxy-10-(prop-2-en-1-yl)-3-(quinolin-7-yl)-8,8,12,16-tetramethyl-4,17-dioxabicyclo[14.1.0]heptadecan-5,9-dion; (4S,7R,8S,9S,13E/Z,16S)-4,8-Dihydroxy-16-(1,2-dimethyl-1H-benzoimidazol-5-yl)-1-oxa-5,5,9,13-tetramethyl-7-(prop-2-en-1-yl)-cyclohexadec-13-ene-2,6-dion; (1S/R,3S,7S,10R,11R,12S,16R/S)-7,11-ihydroxy-10-(prop-2-en-1-yl)-3-(1,2-dimethyl-1H-benzoimidazol-5-yl)-8,8,12,16-tetramethyl-4,17-dioxabicyclo[14.1.0]heptadecan-5,9-dion; (4S,7R,8S,9S,13E/Z,16S)-4,8-dihydroxy-16-(2-methyl-benzothiazol-5-yl)-1-aza-5,5,9,13-tetramethyl-7-(prop-2-en-1-yl)-cyclohexadec-13-ene-2,6-dione; (1S/R,3S,7S,10R,11S,12S,16R/S)-7,11-Dihydroxy-10-(prop-2-en-1-yl)-3-(2-methyl-benzothiazol-5-yl)-8,8,12,16-tetramethyl-4-aza-17-oxabicyclo[14.1.0]heptadecan-5,9-dion, (1S/R,3S,7S,10R,11R,12S,16R/S)-7,11-Dihydroxy-10-(prop-2-en-1-yl)-3-(2-methyl-benzothiazol-5-yl)-8,8,12,16-tetramethyl-4-aza-17-oxabicyclo[14.1.0]heptadecan-5,9-dion, (1S,3S(E),7S,10R,11S,12S,16R)-7,11-Dihydroxy-8,8,10,12,16-pentamethyl-3-[1-(2-methyl-1,3-thiazol-4-yl)prop-1-en-2-yl]-4,17-dioxabicyclo[14.1.0]heptadecan-5,9-dion, (1S,3S(E),7S,10R,11S,12S,16R)-7,11-Dihydroxy-8,8,10,12,16-pentamethyl-3-[1-(2-methyl-1,3-thiazol-4-yl)prop-1-en-2-yl]-17-oxa-4-azabicyclo[14.1.0]heptadecan-5,9-dione, (4S,7R,8S,9S,13Z,16S(E))-4,8-Dihydroxy-5,5,7,9,13-pentamethyl-16-[1-(2-methyl-1,3-thiazol-4-yl)prop-1-en-2-yl]-oxacyclohexadec-13-en-2,6-dion, (4S,7R,8S,9S,10E,13Z,16S(E))-4,8-Dihydroxy-5,5,7,9,13-pentamethyl-16-[1-(2-methyl-1,3-thiazol-4-yl)prop-1-en-2-yl]-oxacyclohexadec-10,13-dien-2,6-dion, (4S,7R,8S,9S,10E,13Z,16S(E))-4,8-Dihydroxy-5,5,7,9-tetramethyl-13-trifluormethyl-16-[1-(2-methyl-1,3-thiazol-4-yl)prop-1-en-2-yl]oxacyclohexadec-10,13-diene-2,6-dion, (1S,3S(E),7S,10R,11S,12S,16R)-7,11-Dihydroxy-8,8,10,12,16-pentamethyl-3-[1-(2-methylsulfanyl-1,3-thiazol-4-yl)prop-1-en-2-yl]-4,17-dioxabicyclo[14.1.0]heptadecan-5,9-dion alseinzelnes Stereoisomer oder als Mischung verschiedener Stereoisomerenund/oder pharmazeutisch akzeptables SalzPolymer nanoparticles according to claim18, wherein the epothilone is selected from the list containing(4S, 7R, 8S, 9S, 13E / Z, 16S) -4,8-Dihydroxy-16- (2-methyl-benzoxazol-5-yl) -1-oxa-5,5,9,13-tetramethyl- 7- (prop-2-en-1-yl) -cyclohexadec-13-ene-2,6-dione;(1S / R, 3S, 7S, 10R, 11R, 12S, 16R / S) -7,11-dihydroxy-10- (prop-2-en-1-yl) -3- (2-methyl-benzoxazol-5 -yl) -8,8,12,16-tetramethyl-4,17-dioxabicyclo [14.1.0] heptadecane-5,9-dione;(4S, 7R, 8S, 9S, 13E / Z, 16S) -4,8-Dihydroxy-16- (2-methyl-benzothiazol-5-yl) -1-oxa-5,5,9,13-tetramethyl- 7- (prop-2-en-1-yl) -cyclohexadec-13-ene-2,6-dione;(1S / R, 3S, 7S, 10R, 11S, 12S, 16R / S) -7,11-dihydroxy-10- (prop-2-en-1-yl) -3- (2-methyl-benzothiazol-5 -yl) -8,8,12,16-tetramethyl-4,17-dioxabicyclo [14.1.0] heptadecane-5,9-dione; (1S, 3S, 7S, 10R, 11S, 12SA, 16R) -7,11-dihydroxy-10- (prop-2-en-1-yl) -3- (2-methyl-benzothiazol-5-yl) - 8,8,12,16-tetramethyl-4,17-dioxablcyclo [14.1.0] heptadecane-5,9-dione;(1S / R, 3S, 7S, 10R, 11R, 12S, 16R / S) -7,11-dihydroxy-10- (prop-2-en-1-yl) -3- (2-methyl-benzothiazol-5 -yl) -8,8,12,16-tetramethyl-4,17-dioxabicyclo [14.1.0] heptadecanes-5,9-dione;(4S, 7R, 8S, 9S, 13E / Z, 16S) -4,8-Dihydroxy-16- (2-methyl-benzothiazol-5-yl) -1-oxa-9,13-dimethyl-5,5- (1,3-trimethylene) -7- (prop-2-en-1-yl) -cyclohexadec-13-ene-2,6-dione;(1S / R, 3S, 7S, 10R, 11R, 12S, 16R / S) -7,11-dihydroxy-10- (prop-2-en-1-yl) -3- (2-methyl-benzothiazol-5 -yl) -12.16-dimethyl-8,8- (1,3-trimethylene) -4.17-dioxabicyclo [14.1.0] heptadecane-5,9-dione;(4S, 7R, 8S, 9S, 13E / Z, 16S) -4,8-Dihydroxy-16- (2-methyl-benzothiazol-5-yl) -1-oxa-5,5,9,13-tetramethyl- 7- (prop-2-in-1-yl) -cyclohexadec-13-ene-2,6-dione;(1S / R, 3S, 7S, 10R, 11R, 12S, 16R / S) -7,11-dihydroxy-10- (prop-2-in-1-yl) -3- (2-methyl-benzothiazol-5 -yl) -8,8,12,16-tetramethyl-4,17-dioxabicyclo [14.1.0] heptadecane-5,9-dione;(4S, 7R, 8S, 9S, 13E / Z, 16S) -4,8-dihydroxy-16- (quinolin-7-yl) -1-oxa-5,5,9,13-tetramethyl-7- (prop -2-en-1-yl) -cyclohexadec-13-ene-2,6-dione;(1S / R, 3S, 7S, 10R, 11R, 12S, 16R / S) -7,11-dihydroxy-10- (prop-2-en-1-yl) -3- (quinolin-7-yl) - 8,8,12,16-tetramethyl-4,17-dioxabicyclo [14.1.0] heptadecane-5,9-dione;(4S, 7R, 8S, 9S, 13E / Z, 16S) -4,8-Dihydroxy-16- (1,2-dimethyl-1H-benzoimidazol-5-yl) -1-oxa-5,5,9, 13-tetramethyl-7- (prop-2-en-1-yl) -cyclohexadec-13-ene-2,6-dione;(1S / R, 3S, 7S, 10R, 11R, 12S, 16R / S) -7,11-ihydroxy-10- (prop-2-en-1-yl) -3- (1,2-dimethyl-1H -benzoimidazol-5-yl) -8,8,12,16-tetramethyl-4,17-dioxabicyclo [14.1.0] heptadecane-5,9-dione;(4S, 7R, 8S, 9S, 13E / Z, 16S) -4,8-dihydroxy-16- (2-methyl-benzothiazol-5-yl) -1-aza-5,5,9,13-tetramethyl- 7- (prop-2-en-1-yl) -cyclohexadec-13-ene-2,6-dione;(1S / R, 3S, 7S, 10R, 11S, 12S, 16R / S) -7,11-dihydroxy-10- (prop-2-en-1-yl) -3- (2-methyl-benzothiazol-5 -yl) -8,8,12,16-tetramethyl-4-aza-17-oxabicyclo [14.1.0] heptadecane-5,9-dione,(1S / R, 3S, 7S, 10R, 11R, 12S, 16R / S) -7,11-dihydroxy-10- (prop-2-en-1-yl) -3- (2-methyl-benzothiazol-5 -yl) -8,8,12,16-tetramethyl-4-aza-17-oxabicyclo [14.1.0] heptadecane-5,9-dione,(1S, 3S (E), 7S, 10R, 11S, 12S, 16R) -7,11-dihydroxy-8,8,10,12,16-pentamethyl-3- [1- (2-methyl-1,3 -thiazol-4-yl) prop-1-en-2-yl] -4.17-dioxabicyclo [14.1.0] heptadecane-5,9-dione,(1S, 3S (E), 7S, 10R, 11S, 12S, 16R) -7,11-dihydroxy-8,8,10,12,16-pentamethyl-3- [1- (2-methyl-1,3 -thiazol-4-yl) prop-1-en-2-yl] -17-oxa-4-azabicyclo [14.1.0] heptadecane-5,9-dione,(4S, 7R, 8S, 9S, 13Z, 16S (E)) - 4,8-dihydroxy-5,5,7,9,13-pentamethyl-16- [1- (2-methyl-1,3-thiazol -4-yl) prop-1-en-2-yl] -oxacyclohexadec-13-ene-2,6-dione,(4S, 7R, 8S, 9S, 10E, 13Z, 16S (E)) - 4,8-dihydroxy-5,5,7,9,13-pentamethyl-16- [1- (2-methyl-1,3 -thiazol-4-yl) prop-1-en-2-yl] -oxacyclohexadec-10,13-diene-2,6-dione,(4S, 7R, 8S, 9S, 10E, 13Z, 16S (E)) - 4,8-dihydroxy-5,5,7,9-tetramethyl-13-trifluoromethyl-16- [1- (2-methyl-1 , 3-thiazol-4-yl) prop-1-en-2-yl] oxacyclohexadec-10,13-diene-2,6-dione,(1S, 3S (E), 7S, 10R, 11S, 12S, 16R) -7,11-dihydroxy-8,8,10,12,16-pentamethyl-3- [1- (2-methylsulfanyl-1,3 -thiazol-4-yl) prop-1-en-2-yl] -4.17-dioxabicyclo [14.1.0] heptadecane-5,9-dionewhensingle stereoisomer or as a mixture of different stereoisomersand / or pharmaceutically acceptable saltPolymernanopartikel gemäß Anspruch8, dadurch gekennzeichnet, dass das oberflächenmodifizierendeAgens eine Ziel erkennende Struktur enthält.Polymer nanoparticles according to claim8, characterized in that the surface-modifyingAgent contains a target-recognizing structure.Polymernanopartikel gemäß Anspruch18, wobei die Ziel erkennende Struktur ein negativ geladenes Molekülteilbesitzt und durch elektrostatische Wechselwirkungen auf die kationischePartikeloberfläche aufgebracht wird.Polymer nanoparticles according to claim18, where the target-recognizing structure is a negatively charged moietypossesses and by electrostatic interactions on the cationicParticle surface is applied.Polymernanopartikel gemäß Anspruch20 oder 21, dadurch gekennzeichnet, dass die Ziel erkennende Srukturausgewählt ist aus einer Liste enthaltend einen Antikörper,ein Protein, ein Polypeptid, ein Polysaccharid, ein DNA Molekül,ein RNA Molekül, eine chemische Einheit, eine Nukleinsäure,ein Lipid, ein Carbohydrat oder Kombinationen aus den vorgenannten.Polymer nanoparticles according to claim20 or 21, characterized in that the target recognizing Srukturis selected from a list containing an antibody,a protein, a polypeptide, a polysaccharide, a DNA molecule,an RNA molecule, a chemical entity, a nucleic acid,a lipid, a carbohydrate or combinations of the foregoing.Polymernanopartikel gemäß einemder Ansprüche 1–22 dadurch gekennzeichnet, dassdie Größe der Teilchen zwischen 1–800nm beträgt.Polymer nanoparticles according to oneof claims 1-22, characterized in thatthe size of the particles between 1-800nm is.Polymernanopartikel gemäß einemder Ansprüche 1–22, dadurch gekennzeichnet, dassdie Größe der Teilchen zwischen 5–500nm beträgt.Polymer nanoparticles according to oneof claims 1-22, characterized in thatthe size of the particles is between 5-500nm is.Polymernanopartikel gemäß einemder Ansprüche 1–22, dadurch gekennzeichnet, dassdie Größe der Teilchen zwischen 10–300nm beträgt.Polymer nanoparticles according to oneof claims 1-22, characterized in thatthe size of the particles is between 10-300nm is.Verwendung eines Polymernanopartikels gemäß einemder Ansprüche 1– 27 für die Therapievon Tumorerkrankungen oder Erkrankungen die mit Entzündungsreaktioneneinhergehen und/oder für die Diagnose.Use of a polymer nanoparticle according toof claims 1- 27 for the therapyof tumors or diseases with inflammatory reactionsgo along and / or for the diagnosis.Verfahren zur Herstellung eines Polymernanopartikelsgemäß einem der Ansprüche 1–26,dadurch gekennzeichnet, dass folgende Verfahrensschritte durchgeführtwerden: a) Lösen des kationischen Polymers in einemorganischen Lösungsmittel oder einem Lösungsmittelgemisch mitWasser b) Lösen des wasserunlöslichen Polymersin einem organischen Lösungsmittel c) Löseneines oder mehrerer Wirkstoffe in einem organischen Lösungsmitteloder einem Lösungsmittelgemisch mit Wasser, d) Herstelleneines vollständig gelösten Gemisches aus kationischemPolymer, wasserunlöslichem Polymer und Wirkstoff durchZusammengeben der hergestellten Einzellösungen e)Einbringen des Gemisches in eine tensidhaltige Lösung, f)Entfernen des Lösungsmittels. g) Gegebenenfalls elektrostatischeOberflächenmodifikation der Partikel durch Zusammenfügenvon Nanopartikeldispersion und modifizierendem Agens in geeignetemMengenverhältnis h) Gegebenenfalls erneut Entfernendes LösungsmittelsProcess for the preparation of a polymer nanoparticleaccording to any one of claims 1-26,characterized in that the following method steps performedbecome:a) dissolving the cationic polymer in oneorganic solvent or a solvent mixture withwaterb) dissolving the water-insoluble polymerin an organic solventc) Solveone or more active ingredients in an organic solventor a solvent mixture with water,d) manufacturea completely dissolved mixture of cationicPolymer, water-insoluble polymer and active ingredientCombining the manufactured individual solutionse)Introducing the mixture into a surfactant-containing solution,f)Remove the solvent.g) If necessary, electrostaticSurface modification of the particles by assemblyof nanoparticle dispersion and modifying agent in suitableratioh) If necessary, remove againof the solventVerwendung eines Nanopartikels gemäß einemder Ansprüche 1–25 zur Herstellung einer pharmazeutischenZubereitung/Arzneiform unter Verwendung pharmazeutisch akzeptablerHilfsstoffe.Use of a nanoparticle according to aof claims 1-25 for the preparation of a pharmaceuticalPreparation / dosage form using pharmaceutically acceptableExcipients.Verwendung eines Nanopartikels gemäß einemder Ansprüche 1–25, wobei die pharmazeutischeZubereitung über ein geeignetes Applikationssystem an Menschoder Tier über einen geeigneten Applikationsweg verabreichtwird.Use of a nanoparticle according to aof claims 1-25, wherein the pharmaceuticalPreparation via a suitable application system to humansor animal administered via a suitable route of administrationbecomes.Kit bestend aus den Partikeln gemäß Anspruch1–25, die ein Diagnostikum und ein Epothilon gemeinsamverkapselt enthalten.Kit consisting of the particles according to claim1-25, which is a diagnostic and an epothilone in commonencapsulated included.Kit bestehend aus getrennt hergestellten nanopartikulärenSystemen (a) und (b) derselben Zusammensetzung gemäß einemder Ansprüche 1–25, enthaltend (a) ein in einenPartikel verkapseltes Diagnostikum und (b) ein in einen Partikelverkapseltes Epothilon, wobei die Partikel gemeinsam oder getrennt,gegebenenfalls verdünnt, verabreicht werden können.Kit consisting of separately prepared nanoparticulateSystems (a) and (b) of the same composition according to oneof claims 1-25, containing (a) one in oneParticles encapsulated diagnostic agent and (b) one in a particleencapsulated epothilone, where the particles are shared or separated,optionally diluted, can be administered.Kit gemäß Anspruch 31, wobei dieBestandteile (a) und (b) in festem Zustand vorliegen und zusätzlich gegebenenfallsein Mittel (c) enthalten ist, das geeignet ist, die nanopartikulärenSysteme (a) und (b) gegebenenfalls wahlweise getrennt oder zusammenzu lösen oder zu dispergieren.A kit according to claim 31, wherein saidIngredients (a) and (b) are in the solid state and in addition, if necessaryan agent (c) is included which is suitable for the nanoparticulateSystems (a) and (b) optionally optionally separately or togetherto dissolve or disperse.
DE102007059752A2007-12-102007-12-10 Functionalized solid polymer nanoparticles containing epothilonesWithdrawnDE102007059752A1 (en)

Priority Applications (7)

Application NumberPriority DateFiling DateTitle
DE102007059752ADE102007059752A1 (en)2007-12-102007-12-10 Functionalized solid polymer nanoparticles containing epothilones
PCT/EP2008/010371WO2009074274A1 (en)2007-12-102008-12-06Functionalised solid polymer nanoparticles containing epothilones
UY31521AUY31521A1 (en)2007-12-102008-12-09 SOLID FUNCTIONED POLYMER NANOPARTICLES THAT INCLUDE EPOTILONES
PA20088806901APA8806901A1 (en)2007-12-102008-12-09 SOLID FUNCTIONED POLYMER NANOPARTICLES THAT INCLUDE EPOTILONES
PE2008002025APE20091107A1 (en)2007-12-102008-12-09 SOLID FUNCTIONALIZED POLYMER NANOPARTICLES INCLUDING EPOTILONES
TW097147937ATW200932220A (en)2007-12-102008-12-09Functionalized, solid polymer nanoparticles comprising epothilones
ARP080105366AAR069638A1 (en)2007-12-102008-12-10 SOLID FUNCTIONED POLYMER NANOPARTICLES THAT INCLUDE EPOTILONES. PROCESS.

Applications Claiming Priority (1)

Application NumberPriority DateFiling DateTitle
DE102007059752ADE102007059752A1 (en)2007-12-102007-12-10 Functionalized solid polymer nanoparticles containing epothilones

Publications (1)

Publication NumberPublication Date
DE102007059752A1true DE102007059752A1 (en)2009-06-18

Family

ID=40409013

Family Applications (1)

Application NumberTitlePriority DateFiling Date
DE102007059752AWithdrawnDE102007059752A1 (en)2007-12-102007-12-10 Functionalized solid polymer nanoparticles containing epothilones

Country Status (7)

CountryLink
AR (1)AR069638A1 (en)
DE (1)DE102007059752A1 (en)
PA (1)PA8806901A1 (en)
PE (1)PE20091107A1 (en)
TW (1)TW200932220A (en)
UY (1)UY31521A1 (en)
WO (1)WO2009074274A1 (en)

Cited By (3)

* Cited by examiner, † Cited by third party
Publication numberPriority datePublication dateAssigneeTitle
WO2015181346A1 (en)*2014-05-302015-12-03AbbVie Deutschland GmbH & Co. KGHighly drug-loaded poly(alkyl 2-cyanoacrylate) nanocapsules
WO2018130247A1 (en)*2017-01-102018-07-19Friedrich-Schiller-Universität JenaNanostructured active ingredient carrier system
WO2024041984A1 (en)*2022-08-222024-02-29Agfa-Gevaert NvNear infrared and red light absorbing composite resin particles

Families Citing this family (15)

* Cited by examiner, † Cited by third party
Publication numberPriority datePublication dateAssigneeTitle
ES2721850T3 (en)2008-06-162019-08-05Pfizer Therapeutic polymeric nanoparticles comprising vinca alkaloids and methods of manufacturing and using them
AU2009268923B2 (en)2008-06-162015-09-17Pfizer Inc.Drug loaded polymeric nanoparticles and methods of making and using same
WO2010005726A2 (en)2008-06-162010-01-14Bind Biosciences Inc.Therapeutic polymeric nanoparticles with mtor inhibitors and methods of making and using same
WO2010068866A2 (en)2008-12-122010-06-17Bind BiosciencesTherapeutic particles suitable for parenteral administration and methods of making and using same
JP2012512175A (en)2008-12-152012-05-31バインド バイオサイエンシズ インコーポレイテッド Long-circulating nanoparticles for sustained release of therapeutic agents
US20120027821A1 (en)*2009-03-032012-02-02Public University Corporation Yokohama City UniversityAmino acid-conjugated cyanoacrylate polymer particles
EP2509634B1 (en)2009-12-112019-03-06Pfizer IncStable formulations for lyophilizing therapeutic particles
EA201290498A1 (en)*2009-12-152013-01-30Байнд Байосайенсиз, Инк. THERAPEUTIC POLYMER NANOPARTICLES, INCLUDING EPOTILON, AND METHODS FOR THEIR PREPARATION AND APPLICATION
WO2011084513A2 (en)2009-12-152011-07-14Bind Biosciences, Inc.Therapeutic polymeric nanoparticle compositions with high glass transition temperature or high molecular weight copolymers
US20110300150A1 (en)2010-05-182011-12-08Scott EliasofCompositions and methods for treatment of autoimmune and other disease
US9610367B2 (en)2010-08-242017-04-04Canon Kabushiki KaishaParticle and contrast agent having the particle
NZ705812A (en)2012-09-172018-08-31PfizerProcess for preparing therapeutic nanoparticles
JP6564369B2 (en)2013-12-092019-08-21デュレクト コーポレイション Pharmaceutically active agent conjugates, polymer conjugates, and compositions and methods involving them
MY178189A (en)2014-03-142020-10-06PfizerTherapeutic nanoparticles comprising a therapeutic agent and methods of making and using same
CN115078292B (en)*2021-03-102025-02-11北京大学 A kind of water-based supramolecular adhesion material and preparation method thereof

Citations (44)

* Cited by examiner, † Cited by third party
Publication numberPriority datePublication dateAssigneeTitle
US252028A (en)1882-01-10Alonzo s
US258286A (en)1882-05-23Fruit-drier
US262030A (en)1882-08-01Wash-stand
US4774339A (en)1987-08-101988-09-27Molecular Probes, Inc.Chemically reactive dipyrrometheneboron difluoride dyes
US5187288A (en)1991-05-221993-02-16Molecular Probes, Inc.Ethenyl-substituted dipyrrometheneboron difluoride dyes and their synthesis
WO1993010121A1 (en)1991-11-191993-05-27GESELLSCHAFT FüR BIOTECHNOLOGISCHE FORSCHUNG MBH (GBF)Epothilones, process for preparing the same and their use as medicaments and as plant protecting agents
WO1993010102A1 (en)1991-11-221993-05-27Centre National De La Recherche Scientifique (C.N.R.S)Novel compounds having a guanidine structure and pharmaceutical composition containing same
US5227487A (en)1990-04-161993-07-13Molecular Probes, Inc.Certain tricyclic and pentacyclic-hetero nitrogen rhodol dyes
US5248782A (en)1990-12-181993-09-28Molecular Probes, Inc.Long wavelength heteroaryl-substituted dipyrrometheneboron difluoride dyes
US5366860A (en)1989-09-291994-11-22Applied Biosystems, Inc.Spectrally resolvable rhodamine dyes for nucleic acid sequence determination
US5433896A (en)1994-05-201995-07-18Molecular Probes, Inc.Dibenzopyrrometheneboron difluoride dyes
US5451663A (en)1991-11-011995-09-19Molecular Probes, Inc.Long wavelength chemically reactive dipyrrometheneboron difluoride dyes and conjugates
DE4445065A1 (en)1994-12-071996-06-13Diagnostikforschung Inst Methods for in-vivo diagnostics using NIR radiation
WO1997019086A1 (en)1995-11-171997-05-29GESELLSCHAFT FüR BIOTECHNOLOGISCHE FORSCHUNG MBH (GBF)Epothilone derivatives, preparation and use
WO1998025929A1 (en)1996-12-131998-06-18Novartis AgEpothilone analogs
WO1999002514A2 (en)1997-07-081999-01-21Bristol-Myers Squibb CompanyEpothilone derivatives
WO1999007692A2 (en)1997-08-091999-02-18Schering AktiengesellschaftNew epothilone derivatives, method for producing same and their pharmaceutical use
WO1999043320A1 (en)1998-02-251999-09-02Novartis AgUse of epothilones for the treatment of cancer
WO1999058534A2 (en)1998-05-081999-11-18GESELLSCHAFT FüR BIOTECHNOLOGISCHE FORSCHUNG MBH (GBF)Epothilone derivatives, a method for the production thereof, and their use
WO1999067253A2 (en)1998-06-221999-12-29Novartis AgDesmethyl epothilones
WO1999067252A2 (en)1998-06-221999-12-29Novartis AgEpothilone derivatives and their synthesis and use
WO2000001333A2 (en)1998-07-022000-01-13Sca Hygiene Products AbA method of producing an outer sheet that includes barrier flaps, and an outer sheet produced in accordance therewith
EP0994915A1 (en)1997-07-072000-04-26Basf AktiengesellschaftMetallic-coloured polyamides
WO2000037473A1 (en)1998-12-222000-06-29Novartis AgEpothilone derivatives and their use as antitumor agents
WO2000049019A2 (en)1999-02-182000-08-24Schering AktiengesellschaftNovel epothilone derivatives, method for producing them and their pharmaceutical use
DE19907588A1 (en)1999-02-222000-08-24Biotechnolog Forschung GmbhNew C-21 modified epothilone derivatives useful for treating e.g. cancer and other proliferative diseases and inhibiting angiogenesis and inducing apoptosis
WO2000049021A2 (en)1999-02-182000-08-24Schering Aktiengesellschaft16-halogen-epothilone derivatives, method for producing them and their pharmaceutical use
WO2000049020A2 (en)1999-02-182000-08-24Schering AktiengesellschaftNovel epothilon derivatives, method for the production thereof and their pharmaceutical application
WO2000057874A1 (en)1999-03-292000-10-05Bristol-Myers Squibb Co.A process for the preparation of aziridinyl epothilones from oxiranyl epothilones
WO2000066589A1 (en)1999-04-302000-11-09Schering Aktiengesellschaft6-alkenyl-, 6-alkinyl- and 6-epoxy-epothilone derivatives, process for their production, and their use in pharmaceutical preparations
WO2000071521A1 (en)1999-05-212000-11-30Bristol-Myers Squibb Co.A process for the reduction of oxiranyl epothilones to olefinic epothilones
US6204388B1 (en)1996-12-032001-03-20Sloan-Kettering Institute For Cancer ResearchSynthesis of epothilones, intermediates thereto and analogues thereof
WO2001027308A2 (en)1999-10-082001-04-19Novartis Ag13-alkyl epothilone derivatives
WO2001064650A2 (en)2000-03-012001-09-07Sloan-Kettering Institute For Cancer Research CenterSynthesis of epothilones, intermediates thereto and analogues thereof
WO2001070716A1 (en)2000-03-202001-09-27Bristol-Myers Squibb CompanyA process for the preparation of epothilone analogs and intermediates
WO2001073103A2 (en)2000-03-242001-10-04Bristol-Myers Squibb CompanyPreparation of epothilone intermediates
WO2001081342A2 (en)2000-04-192001-11-01Schering AktiengesellschaftNovel epothilone derivatives, method for the preparation thereof and their pharmaceutical use
WO2001092255A2 (en)2000-05-262001-12-06Kosan Biosciences, Inc.Epothilone derivatives and methods for making and using the same
WO2002008440A2 (en)2000-07-252002-01-31Kosan Biosciences, Inc.Fermentation process for epothilones
WO2002014323A2 (en)2000-08-162002-02-21Bristol-Myers Squibb CompanyPolymorphs of an epothilone analog
WO2002030356A2 (en)2000-10-132002-04-18The University Of MississipiSynthesis of epothilones and relates analogs
WO2002032844A2 (en)2000-10-162002-04-25Morphochem AgEpothilone synthesis components iii and iv: asymmetrically substituted acyloins and acyloin derivatives, method for the production thereof and method for the production of epithilone b, d and epothilone derivatives
WO2002080846A2 (en)2001-04-032002-10-17Kosan Biosciences, Inc.Epothilone derivatives and methods for making and using the same
DE69911034D1 (en)1998-09-182003-10-09Schering Ag FLUORESCENT CONTRASTING AND FLUORESCENCE IMAGING IN THE NEAR-INFRARED RANGE

Family Cites Families (4)

* Cited by examiner, † Cited by third party
Publication numberPriority datePublication dateAssigneeTitle
CA2032169A1 (en)*1989-05-041990-11-05Steven KornguthMethod for localization and treatment of tumors and complexes therefor
AU9799198A (en)*1997-10-091999-05-03Vanderbilt UniversityMicro-particulate and nano-particulate polymeric delivery system
DE102005041860A1 (en)*2005-09-022007-03-08Schering AgNano-particle embedded- and charged-complex, useful for the production of a pharmaceutical composition, comprises two complex partners, where the complex partner is an embedded anionic and a cationic active substance
WO2007141050A2 (en)*2006-06-082007-12-13Bayer Schering Pharma AktiengesellschaftFunctionalized solid polymer nanoparticles for diagnostic and therapeutic applications

Patent Citations (48)

* Cited by examiner, † Cited by third party
Publication numberPriority datePublication dateAssigneeTitle
US258286A (en)1882-05-23Fruit-drier
US262030A (en)1882-08-01Wash-stand
US252028A (en)1882-01-10Alonzo s
US4774339A (en)1987-08-101988-09-27Molecular Probes, Inc.Chemically reactive dipyrrometheneboron difluoride dyes
US5366860A (en)1989-09-291994-11-22Applied Biosystems, Inc.Spectrally resolvable rhodamine dyes for nucleic acid sequence determination
US5442045A (en)1990-04-161995-08-15Molecular Probes, Inc.Biological conjugates of fluorescent rhodol dyes
US5227487A (en)1990-04-161993-07-13Molecular Probes, Inc.Certain tricyclic and pentacyclic-hetero nitrogen rhodol dyes
US5248782A (en)1990-12-181993-09-28Molecular Probes, Inc.Long wavelength heteroaryl-substituted dipyrrometheneboron difluoride dyes
US5187288A (en)1991-05-221993-02-16Molecular Probes, Inc.Ethenyl-substituted dipyrrometheneboron difluoride dyes and their synthesis
US5451663A (en)1991-11-011995-09-19Molecular Probes, Inc.Long wavelength chemically reactive dipyrrometheneboron difluoride dyes and conjugates
WO1993010121A1 (en)1991-11-191993-05-27GESELLSCHAFT FüR BIOTECHNOLOGISCHE FORSCHUNG MBH (GBF)Epothilones, process for preparing the same and their use as medicaments and as plant protecting agents
WO1993010102A1 (en)1991-11-221993-05-27Centre National De La Recherche Scientifique (C.N.R.S)Novel compounds having a guanidine structure and pharmaceutical composition containing same
US5433896A (en)1994-05-201995-07-18Molecular Probes, Inc.Dibenzopyrrometheneboron difluoride dyes
DE4445065A1 (en)1994-12-071996-06-13Diagnostikforschung Inst Methods for in-vivo diagnostics using NIR radiation
WO1996017628A1 (en)1994-12-071996-06-13Institut für Diagnostikforschung GmbH an der Freien Universität BerlinIn-vivo diagnostic process by near infrared radiation
WO1997019086A1 (en)1995-11-171997-05-29GESELLSCHAFT FüR BIOTECHNOLOGISCHE FORSCHUNG MBH (GBF)Epothilone derivatives, preparation and use
US6204388B1 (en)1996-12-032001-03-20Sloan-Kettering Institute For Cancer ResearchSynthesis of epothilones, intermediates thereto and analogues thereof
WO1998025929A1 (en)1996-12-131998-06-18Novartis AgEpothilone analogs
US6380394B1 (en)1996-12-132002-04-30The Scripps Research InstituteEpothilone analogs
EP0994915A1 (en)1997-07-072000-04-26Basf AktiengesellschaftMetallic-coloured polyamides
WO1999002514A2 (en)1997-07-081999-01-21Bristol-Myers Squibb CompanyEpothilone derivatives
WO1999007692A2 (en)1997-08-091999-02-18Schering AktiengesellschaftNew epothilone derivatives, method for producing same and their pharmaceutical use
WO1999043320A1 (en)1998-02-251999-09-02Novartis AgUse of epothilones for the treatment of cancer
WO1999058534A2 (en)1998-05-081999-11-18GESELLSCHAFT FüR BIOTECHNOLOGISCHE FORSCHUNG MBH (GBF)Epothilone derivatives, a method for the production thereof, and their use
WO1999067253A2 (en)1998-06-221999-12-29Novartis AgDesmethyl epothilones
WO1999067252A2 (en)1998-06-221999-12-29Novartis AgEpothilone derivatives and their synthesis and use
WO2000001333A2 (en)1998-07-022000-01-13Sca Hygiene Products AbA method of producing an outer sheet that includes barrier flaps, and an outer sheet produced in accordance therewith
DE69911034D1 (en)1998-09-182003-10-09Schering Ag FLUORESCENT CONTRASTING AND FLUORESCENCE IMAGING IN THE NEAR-INFRARED RANGE
WO2000037473A1 (en)1998-12-222000-06-29Novartis AgEpothilone derivatives and their use as antitumor agents
US6387927B1 (en)1998-12-222002-05-14Novatis AgEpothilone derivatives and their use as antitumor agents
WO2000049021A2 (en)1999-02-182000-08-24Schering Aktiengesellschaft16-halogen-epothilone derivatives, method for producing them and their pharmaceutical use
WO2000049020A2 (en)1999-02-182000-08-24Schering AktiengesellschaftNovel epothilon derivatives, method for the production thereof and their pharmaceutical application
WO2000049019A2 (en)1999-02-182000-08-24Schering AktiengesellschaftNovel epothilone derivatives, method for producing them and their pharmaceutical use
DE19907588A1 (en)1999-02-222000-08-24Biotechnolog Forschung GmbhNew C-21 modified epothilone derivatives useful for treating e.g. cancer and other proliferative diseases and inhibiting angiogenesis and inducing apoptosis
WO2000057874A1 (en)1999-03-292000-10-05Bristol-Myers Squibb Co.A process for the preparation of aziridinyl epothilones from oxiranyl epothilones
WO2000066589A1 (en)1999-04-302000-11-09Schering Aktiengesellschaft6-alkenyl-, 6-alkinyl- and 6-epoxy-epothilone derivatives, process for their production, and their use in pharmaceutical preparations
WO2000071521A1 (en)1999-05-212000-11-30Bristol-Myers Squibb Co.A process for the reduction of oxiranyl epothilones to olefinic epothilones
WO2001027308A2 (en)1999-10-082001-04-19Novartis Ag13-alkyl epothilone derivatives
WO2001064650A2 (en)2000-03-012001-09-07Sloan-Kettering Institute For Cancer Research CenterSynthesis of epothilones, intermediates thereto and analogues thereof
WO2001070716A1 (en)2000-03-202001-09-27Bristol-Myers Squibb CompanyA process for the preparation of epothilone analogs and intermediates
WO2001073103A2 (en)2000-03-242001-10-04Bristol-Myers Squibb CompanyPreparation of epothilone intermediates
WO2001081342A2 (en)2000-04-192001-11-01Schering AktiengesellschaftNovel epothilone derivatives, method for the preparation thereof and their pharmaceutical use
WO2001092255A2 (en)2000-05-262001-12-06Kosan Biosciences, Inc.Epothilone derivatives and methods for making and using the same
WO2002008440A2 (en)2000-07-252002-01-31Kosan Biosciences, Inc.Fermentation process for epothilones
WO2002014323A2 (en)2000-08-162002-02-21Bristol-Myers Squibb CompanyPolymorphs of an epothilone analog
WO2002030356A2 (en)2000-10-132002-04-18The University Of MississipiSynthesis of epothilones and relates analogs
WO2002032844A2 (en)2000-10-162002-04-25Morphochem AgEpothilone synthesis components iii and iv: asymmetrically substituted acyloins and acyloin derivatives, method for the production thereof and method for the production of epithilone b, d and epothilone derivatives
WO2002080846A2 (en)2001-04-032002-10-17Kosan Biosciences, Inc.Epothilone derivatives and methods for making and using the same

Non-Patent Citations (31)

* Cited by examiner, † Cited by third party
Title
Bharadwaj V., J. Biomed. Nanotechnol., 2005; 1: 235-258
Brigger I., Dubernet C. et al., Adv. Drug Deliv. Rev., 2002; 54(5): 631-651
Choi S. W. et al., J. Dispersion Sci. Technol., 2003; 24(3&4): 475-487
Choi S. W., Kim W. S., Kim J. H., Journal of Dispersion Science and Technology, 2003; 24(3&4): 475-487
DeDuve C. et al., Biochem. Pharmacol., 1974; 23: 2495-2531
e. g. IDrugs, 2002, 5(10): 949-954
Emerich D. F., Thanos C. G., Curr. Nanosci., 2005; 1: 177-188
Fahmy T. M., Fong P. M. et al., Mater. Today, 2005; 8(8): 18-26
Hobbs S. K., Monsky W. L. et al., Proc. Natl. Acad. Sci. USA, 1998; <?page 3?>95: 4607-4612
Hughes G. A., Nanomedicine, 2005; 1(1): 22-30
Huwyler J. et al., J. Drug Target., 2002; 10(1): 73-79
Kircheis R. et al., Drug Deliv. Rev., 2001; 53(3): 341-58
Kircheis S. et al., J. Gene Med., 1999; 1: 111-120
Koo O. M. et al., Nanomedicine, 2005; 1(3): 193-212
Maeda H., Adv. Enzyme Regul., 2001; 41: 189-207
Matsumura Y., Maeda H., Cancer Res., 1986; 46: 6387-6392
McLennan D. N., Porter C. J. H. et al., Drug Discovery Today: Technologies, 2005 Spring; 2(1): 89-96
Mislick K. A., Baldeschwieler J. D., Proc. Natl. Acad. Sci. USA, 1996; 93: 12349-12354
Mounkes L. C. et al., J. Biol. Chem., 1998; 273(40): 26164-26170
Nobs L. et al., J. Pharm. Sci., 2004; 93: 1980-1992
Nobs L. et al., Pharm. Sci., 2004; 93: 1980-1992
Ogris M. et al., Gene Ther., 1999; 6: 595-605
Otsuka H. et al., Adv. Drug Deliv. Rev., 2003; 55(3): 403-419
Remy J. -S. et al., Adv. Drug Deliv. Rev., 1998; 30(1-3): 85-95
Rosen H., Abribat T., Nature Reviews Drug Discovery, 2005 May; 4(5): 381-5
Silacci D., Neri M., Modern Biopharmaceuticals: Design, development and optimization, Volume 3, Part V, Wiley-VCH, Weinheim, 2005; 1271-1299
Th�nemann A. F. et al., Adv. Polym. Sci., 2004; 166: 113-171
Ulbrich K., Subr V., Adv. Drug Deliv. Rev., 2004; 56(7): 1023-1050
van Osdol W., Cancer Res., 1991; 51: 4776-4784
Weinstein J. N. et al., Cancer Res., 1992; 52(9): 2747-2751
Yokoyama M., J. Artif. Organs, 2005; 8: 77-84

Cited By (6)

* Cited by examiner, † Cited by third party
Publication numberPriority datePublication dateAssigneeTitle
WO2015181346A1 (en)*2014-05-302015-12-03AbbVie Deutschland GmbH & Co. KGHighly drug-loaded poly(alkyl 2-cyanoacrylate) nanocapsules
CN106794150A (en)*2014-05-302017-05-31艾伯维德国有限责任两合公司 Poly(2-alkyl cyanoacrylate) nanocapsules with high drug loading
WO2018130247A1 (en)*2017-01-102018-07-19Friedrich-Schiller-Universität JenaNanostructured active ingredient carrier system
US11376336B2 (en)2017-01-102022-07-05Friedrich-Schiller-Universitaet JenaNanostructured active ingredient carrier system
US12257316B2 (en)2017-01-102025-03-25Friedrich-Schiller-Universitaet JenaNanostructured active ingredient carrier system
WO2024041984A1 (en)*2022-08-222024-02-29Agfa-Gevaert NvNear infrared and red light absorbing composite resin particles

Also Published As

Publication numberPublication date
PA8806901A1 (en)2009-07-23
WO2009074274A1 (en)2009-06-18
UY31521A1 (en)2009-08-03
TW200932220A (en)2009-08-01
PE20091107A1 (en)2009-08-29
AR069638A1 (en)2010-02-10

Similar Documents

PublicationPublication DateTitle
DE102007059752A1 (en) Functionalized solid polymer nanoparticles containing epothilones
EP2029119A2 (en)Functionalized solid polymer nanoparticles for diagnostic and therapeutic applications
US20090148384A1 (en)Functionalized, solid polymer nanoparticles comprising epothilones
Baba et al.A method for enhancing the ocular penetration of eye drops using nanoparticles of hydrolyzable dye
US20070148074A1 (en)Nanoparticle based stabilization of ir fluorescent dyes
Voigt et al.Surfactants, not size or zeta-potential influence blood–brain barrier passage of polymeric nanoparticles
US10307372B2 (en)Rapid diffusion of large polymeric nanoparticles in the mammalian brain
Seo et al.Multi-layered cellulose nanocrystal system for CD44 receptor-positive tumor-targeted anticancer drug delivery
US20120276015A1 (en)Optical in vivo Imaging Contrast Agents and Methods of Use
Schädlich et al.How stealthy are PEG-PLA nanoparticles? An NIR in vivo study combined with detailed size measurements
Schädlich et al.Accumulation of nanocarriers in the ovary: a neglected toxicity risk?
Yue et al.Size-dependent biodistribution and antitumor efficacy of polymer micelle drug delivery systems
CN113713124A (en)Application of lipid nanoparticles in lymphatic system imaging
EP2848262B1 (en)Cell-specific targeting by nanostructured carrier systems
US20150119698A1 (en)Compositions Comprising Near-Infrared Fluorescent Particles And Uses Thereof For Imaging Activated Immune Cells In the CNS
Mattu et al.Alternating block copolymer-based nanoparticles as tools to modulate the loading of multiple chemotherapeutics and imaging probes
EP3950007A1 (en)Method for preparing nano diagnostic agent capable of selective staining of inflammatory abnormal tissues or tumor tissues
Pegaz et al.Effect of nanoparticle size on the extravasation and the photothrombic activity of meso (p-tetracarboxyphenyl) porphyrin
US20200016277A1 (en)Nanoparticles for active agent delivery to brain cancers
US20220031869A1 (en)Nanocarrier systems for imaging and delivery of active agents
WO2022120206A2 (en)Room-temperature phosphorescence nanoparticles and methods of making the same
JP6824535B2 (en) Compositions and Methods for Improving Nanoparticle Distribution in the Brain Interstitium
Khan et al.Polymeric micelles
Wehrung et al.Biocompatibility and in vivo tolerability of a new class of photoresponsive alkoxylphenacyl-based polycarbonates
Alam et al.Intranasal delivery of drug-loaded polymeric nanomicelles for brain targeting: a comprehensive review

Legal Events

DateCodeTitleDescription
OP8Request for examination as to paragraph 44 patent law
8139Disposal/non-payment of the annual fee

[8]ページ先頭

©2009-2025 Movatter.jp