Movatterモバイル変換


[0]ホーム

URL:


DE102007012545A1 - Mobile vehicle testing stand for competition vehicle i.e. kart, has simulation unit simulating actuation process of driver of vehicle to produce different driving and load conditions of vehicle during testing process - Google Patents

Mobile vehicle testing stand for competition vehicle i.e. kart, has simulation unit simulating actuation process of driver of vehicle to produce different driving and load conditions of vehicle during testing process
Download PDF

Info

Publication number
DE102007012545A1
DE102007012545A1DE102007012545ADE102007012545ADE102007012545A1DE 102007012545 A1DE102007012545 A1DE 102007012545A1DE 102007012545 ADE102007012545 ADE 102007012545ADE 102007012545 ADE102007012545 ADE 102007012545ADE 102007012545 A1DE102007012545 A1DE 102007012545A1
Authority
DE
Germany
Prior art keywords
vehicle
test
test bench
engine
speed
Prior art date
Legal status (The legal status is an assumption and is not a legal conclusion. Google has not performed a legal analysis and makes no representation as to the accuracy of the status listed.)
Withdrawn
Application number
DE102007012545A
Other languages
German (de)
Inventor
Lutz-Achim Prof. Dr. Gäng
Bettina Prof. Dr. Reuter
Frank Klein
Rüdiger Brill
Dietmar Müller
Bernd Ascher
Daniel Nilsson
Carsten Hartmann
Thomas Blobner
Andreas Hinrich
Jan Özdogan
Sascha-Heiko Magold
Erkan Acar
Peter Lambert
Kirsten Scheib
Current Assignee (The listed assignees may be inaccurate. Google has not performed a legal analysis and makes no representation or warranty as to the accuracy of the list.)
Fachhochschule Kaiserslautern
Original Assignee
Fachhochschule Kaiserslautern
Priority date (The priority date is an assumption and is not a legal conclusion. Google has not performed a legal analysis and makes no representation as to the accuracy of the date listed.)
Filing date
Publication date
Application filed by Fachhochschule KaiserslauternfiledCriticalFachhochschule Kaiserslautern
Priority to DE102007012545ApriorityCriticalpatent/DE102007012545A1/en
Publication of DE102007012545A1publicationCriticalpatent/DE102007012545A1/en
Withdrawnlegal-statusCriticalCurrent

Links

Classifications

Landscapes

Abstract

The stand has a roller (5) displaced by a drive wheel of a vehicle i.e. kart (15) in rotation. A control computer (11) is provided for recording programs, with which an automatically running measuring process is executed with a testing process of the vehicle when a measuring value of a preset measured variable is recorded by detectors. A simulation unit simulates actuation process of a driver of the vehicle to produce different driving and load conditions of the vehicle during the testing process. A release unit independently releases the testing process when achieving a preset criteria. An independent claim is also included for a method for determining drive and/or safety relevant measured variables of a vehicle by a mobile vehicle testing stand.

Description

Translated fromGerman

DieErfindung betrifft einen Fahrzeugprüfstand zur Ermittlungvon antriebs- und/oder sicherheitsrelevanten Meßgrößeneines Fahrzeugs, bei dem die Anordnung eines Fahrzeugs auf dem Fahrzeugprüfstandvorgesehen ist umfassend, zumindest eine Rolle, die durch zumindestein angetriebenes Rad des Fahrzeugs in Rotation versetzbar ist,zumindest einen Steuerungs- oder Regelungsrechner zur Aufnahme einesProgramms, mit dem ein automatisiert ablaufender Meßprozeß mitzumindest einem Prüfvorgang des Fahrzeuges durchführbarist, während dem Meßwerte von vorbestimmten Meßgrößen mittelsDetektoren aufgenommen werden.TheThe invention relates to a vehicle test bench for determinationof drive and / or safety-relevant measured variablesa vehicle in which the arrangement of a vehicle on the vehicle test benchis provided comprehensively, at least one role by at leasta driven wheel of the vehicle is set in rotation,at least one control or regulation computer for receiving aProgram, with an automated measuring process withat least one test procedure of the vehicle feasibleis, during the measured values of predetermined measured variables by means ofDetectors are recorded.

Ausmehreren Gründen kann es von Interesse sein, Daten einesmit einem Motor versehenen Fahrzeuges, insbesondere mit einem Verbrennungsmotor,zu ermitteln. So kann es erforderlich sein antriebsspezifische Meßdatenzu erfassen. Hierbei handelt es sich in der Regel um vom Motor – undgegebenenfalls von dem sich an den Motor anschließendenAntriebsstrang – abhängige Meßdaten.Andererseits werden Überprüfungen von sicherheitsrelevantenFahrzeugkomponenten gefordert, beispielsweise inwieweit die Bremsanlageund der Fahrzeugzustand bestimmte Anforderungen erfüllt.OutSeveral reasons may be of interest to onemotor vehicle, in particular an internal combustion engine,to investigate. So it may be necessary drive-specific measurement datacapture. This is usually about the engine - andoptionally from the subsequent to the enginePowertrain - dependent measurement data.On the other hand, reviews of security relevantVehicle components required, for example, to what extent the brake systemand the vehicle condition meets certain requirements.

VorbekanntePrüfstände sehen hierzu zumindest ein Rollenpaarvor, auf denen das Fahrzeug mit den Rädern von jeweilseiner Achse, insbesondere der Antriebsachse angeordnet werden. Entweder durchBetätigung des Gaspedals durch eine Person oder durch eineBetätigung über die Motorsteuerung wird der Motorbeschleunigt, wodurch die Antriebsräder des Fahrzeugs angetriebenwerden. Über Reibschluß mit den Rollen versetzendie Antriebsräder die Rollen in Rotation. Eine Leistungsbremsean den Rollen wirkt der Kraft des antreibenden Motors entgegen underlaubt die Berechnung der Leistung des Fahrzeugs. Auch das Trägheitsmomentder Rollen bzw. von zusätzlich vorhandenen Schwungmassen kannzur Leistungsberechnung verwendet werden. Ein solcher Rollenprüfstandwird beispielsweise in derDE39 42 056 A1 beschrieben, mit dem auf nur einem Prüfstandeine Vielzahl von Prüfungen an Motor und Bremse des Fahrzeugsdurchgeführt werden sollen.Previously known test stands for this purpose provide at least one pair of rollers on which the vehicle with the wheels of one respective axle, in particular the drive axle, are arranged. Either by operation of the accelerator pedal by a person or by an operation via the engine control, the engine is accelerated, whereby the drive wheels of the vehicle are driven. By frictional engagement with the rollers, the drive wheels cause the rollers to rotate. A power brake on the rollers counteracts the power of the driving motor and allows the calculation of the power of the vehicle. Also, the moment of inertia of the rollers or additionally existing flywheels can be used for power calculation. Such a dynamometer is for example in the DE 39 42 056 A1 described with which to be carried out on a single test bench a variety of tests on engine and brake of the vehicle.

Anden vorbekannten Rollenprüfständen kann nichtzufriedenstellen, daß damit kaum das Verhalten eines Fahrzeugsunter tatsächlich praxisähnlichen Umständen überprüftwerden kann. Dieses Manko tritt insbesondere im Bereich des Motorsports zutage.Hier sind oftmals Reglements vorhanden, die dezidierte Regelungenfür den Motor bzw. das gesamte Fahrzeug unter Einsatzbedingungenfordert. Solche Prüfungen, beispielsweise fürKarts, sind mit den vorbekannten Rollenprüfständenbisher nicht durchführbar, insbesondere wenn die Überprüfung soweit als möglich automatisiert und unmittelbar vor einemWettbewerb stattfinden soll.Atthe previously known chassis dynamometers can notsatisfy that with it hardly the behavior of a vehicleunder practically similar circumstancescan be. This shortcoming is particularly evident in the field of motorsport.Here are often regulations, the decided regulationsfor the engine or the entire vehicle under conditions of usecalls. Such tests, for exampleKarts, are with the previously known chassis dynamometersso far not feasible, especially if the review is soAutomated as far as possible and immediately before oneCompetition should take place.

DerErfindung liegt deshalb die Aufgabe zugrunde eine Möglichkeitbereitzustellen, mit denen eine möglichst exakte Bestimmungvon antriebs- und sicherheitsrelevanten Verhalten eines Fahrzeugsunter Bedingungen erfolgt, die den üblichen Einsatzbedingungenmöglichst nahe kommen. Zudem soll der Prüfvorgangmöglichst automatisiert ausführbar sein.Of theThe invention is therefore the object of a wayto provide the most accurate determination possibleof driving and safety-related behavior of a vehicletakes place under conditions which are the usual conditions of useget as close as possible. In addition, the inspection processbe automated as possible.

DieseAufgabe wird bei einer Vorrichtung der eingangs genannten Art erfindungsgemäß durch vomPrüfstand betätigbare Mittel zur Simulation von Betätigungsvorgängeneines Fahrers des Fahrzeugs gelöst, durch die unterschiedlicheFahr- und/oder Belastungszuständen des Fahrzeugs währendeines Prüfvorgangs erzeugbar sind, sowie durch Mittel zur selbstständigenAuslösung von zumindest einem weiteren Prüfvorgangbei Erreichen von zumindest einem vorbestimmten Kriterium. Die Aufgabewird zudem durch ein Verfahren nach Anspruch 13 gelöst.TheseTask is in a device of the type mentioned according to the invention byTest bench operable means for simulation of actuation processessolved by a driver of the vehicle, by the differentDriving and / or loading conditions of the vehicle duringa test procedure can be generated, and by means of independentTriggering of at least one further test procedureupon reaching at least one predetermined criterion. The taskis also achieved by a method according to claim 13.

Durchdie erfindungsgemäße Lösung ist es zumeinen möglich, völlig selbständig komplexePrüfvorgänge eines Fahrzeugs durchzuführen,wobei aufgrund der Betätigungsmittel noch nicht einmal einePerson benötigt wird, die das Fahrzeug bedient. Zum anderensieht die Erfindung vor, bei Abweichung der Meßwerte odervon diesen abhängigen Größen von vorbestimmtenKriterien, insbesondere von Grenzwerten dieser Meßwerteoder davon abhängigen Größen, automatisierteinen weiterer Prüfvorgang auszulösen. Bei diesemweiteren Prüfvorgang wird wiederum ein Fahr- oder Betriebszustandsimuliert und hierbei Meßdaten aufgenommen. Ein solcherweiterer, sich vorzugsweise vom vorausgegangenen Prüfvorgangunterscheidender weiterer Prüfvorgang kann beispielsweisedas Verhalten des Motors in einem bestimmten Teildrehzahlbereichdes Motors zum Gegenstand haben. Im Motorsport kann beispielsweisedas Verhalten des Motors im Bereich des Drehzahlbegrenzers von Interessesein.Bythe solution according to the invention is fora possible, completely independent complexTo carry out test procedures of a vehicle,although due to the actuating means not even onePerson is needed, who operates the vehicle. On the other handprovides the invention, in case of deviation of the measured values orfrom these dependent quantities of predetermined onesCriteria, in particular limit values of these measured valuesor dependent variables, automatedto trigger another test procedure. In thisanother test procedure is again a driving or operating statesimulated and this recorded measurement data. Such afurther, preferably from the previous inspection processdiscriminating further testing process, for examplethe behavior of the engine in a particular part speed rangethe subject of the engine. For example, in motorsportsthe behavior of the engine in the range of the rev limiter of interestbe.

Einoder mehrere weitere Prüfvorgänge, die auch alszusätzliche Meßzyklen bezeichnet werden können,sollten vorzugsweise nur bei signifikanten Abweichungen von Sollwertenausgelöst werden. Ein Beispiel hierfür kann dieLeistungsmessung des Motors sein, bei der eine Soll-Leistung mitder gemessenen bzw. auf Basis von Meßwerten berechneten Ist-Leistungverglichen wird. Zur Soll-Leistung kann ein Toleranzband nach untenund nach oben vorgegeben werden, innerhalb der die gemessene Leistungals zulässige Abweichung toleriert wird. Nur wenn einedarüber hinausgehende Abweichung festgestellt wird, wirdzumindest ein zusätzlicher Prüfvorgang ausgelöst,anhand dem das Leistungsverhalten des Motors im betroffenen Drehzahlbereichnochmals überprüft wird. Um für diesenBereich aussagekräftige Informationen zu erhalten kannder Motor während des zumindest einen zusätzlichenPrüfvorgangs im betroffenen Drehzahlbereich sowohl unter Teilalsauch unter Volllast betrieben werden.One or more further test procedures, which may also be referred to as additional measurement cycles, should preferably be triggered only in the case of significant deviations from nominal values. An example of this may be the power measurement of the motor, in which a desired power is compared with the actual power measured or calculated on the basis of measured values. For the nominal power, a tolerance band can be specified downwards and upwards within which the measured power is tolerated as a permissible deviation. Only if a further deviation is detected, at least one additional test procedure is triggered, based on the performance of the engine in the affected speed range still is checked. In order to obtain meaningful information for this area, the engine can be operated during the at least one additional test procedure in the affected speed range both under partial load and also under full load.

Ineiner vorteilhaften Ausführungsform kann der Rollenprüfstandmit einer Einrichtung zur automatisierten Betätigung einesBedienelements des Fahrzeugs versehen sein, das dazu vorgesehenist den Fahrzustand des Fahrzeugs zu beeinflussen. Die Einrichtungkann insbesondere einen oder mehrere Aktoren aufweisen, mit deneneines oder mehrere der Bedienpedale, insbesondere das Gaspedal, betätigtwerden kann. Selbstverständlich umfaßt dies auchAktoren, die anstelle auf die Bedienelemente selbst auf andere Elementeeinwirken, die in Wirkverbindung mit den Bedienelementen, insbesondere denPedalen, stehen. Ein Aktor der Einrichtung kann insbesondere durchmechanischen Druck auf das für den Fahrer vorgesehene Pedal letzteresbetätigen. Je nach Anwendungsfall kann in alternativenbevorzugten Ausführungsformen der Erfindung anstelle vonmechanischem Druck auch jeder sonstige mit einer Bewegung in Verbindungstehenden Bedienvorgang durch den zumindest einen Aktor ausgeführt werden.Inan advantageous embodiment of the chassis dynamometerwith a device for the automated actuation of aBe provided control of the vehicle provided for this purposeis to influence the driving condition of the vehicle. The devicemay in particular have one or more actuators with whichone or more of the operating pedals, in particular the accelerator pedal actuatedcan be. Of course, this includes as wellActuators, in place of the controls themselves to other elementsacting, in operative connection with the controls, in particular thePedals, stand. An actuator of the device can in particular bymechanical pressure on the intended for the driver pedal the latteractuate. Depending on the application, in alternativepreferred embodiments of the invention instead ofmechanical pressure also any other associated with a movementstanding operation be performed by the at least one actuator.

DieBewegung des Aktors wird vorzugsweise von einer Steuerung oder Regelungdes Rollenprüfstands ausgelöst. Mittels zumindesteines Steuerkreises kann die Wirkung Aktors auf das Gaspedal unddamit auf die Drehzahl des Motors entsprechend einer vorgegebenenDrehzahl-Zeit-Abhängigkeit gesteuert werden. Vorzugsweisewird mit einem Drehzahlaufnehmer die Ist-Drehzahl des Motors bestimmt unddie Wirkung des Aktors auf das Gaspedal geregelt. Eine solche automatisiertePedalbetätigung trägt in erheblichem Maßedazu bei, die Prüfvorgänge reproduzierbar unddennoch praxisnah durchführen zu können. Zudemwerden hierdurch die Prüfvorgänge besonders bedienerfreundlichgestaltet. Mit einer solchen Einrichtung ist es auch möglich,verschiedene Fahrstrecken, beispielsweise Rennstrecken zu simulieren.TheMovement of the actuator is preferably by a controller or controllerof the chassis dynamometer. At leastA control circuit can affect the action of the accelerator pedal andthus to the speed of the motor according to a givenSpeed-time dependence can be controlled. Preferablyis determined with a speed sensor, the actual speed of the engine andthe action of the actuator is regulated on the gas pedal. Such an automatedPedal operation contributes to a considerable extentTo do so, the test procedures reproducible andnevertheless be able to carry out practical work. moreoverThis makes the test procedures particularly user-friendlydesigned. With such a device it is also possibleDifferent routes, for example, to simulate racetracks.

DieEinrichtung zur automatisierten Pedalbetätigung kann auchzur Betätigung von anderen Fahrzeugpedalen genutzt werden,insbesondere zur Betätigung des Bremspedals. Hierdurchist es möglich mit einer solchen Ausführungsformdes erfindungsgemäßen Rollenprüfstandesautomatisiert Bremsentests durchzuführen, beispielsweiseum die mit der Bremse maximal erzielbare negative Beschleunigungoder eventuelles Fading der Bremse zu ermitteln.TheDevice for automated pedal operation can alsoused to operate other vehicle pedals,in particular for actuating the brake pedal. herebyis it possible with such an embodimentthe chassis dynamometer according to the inventionto perform automated brake tests, for examplearound the maximum achievable with the brake negative accelerationor to determine any fading of the brake.

Dererfindungsgemäße Rollenprüfstand und seinSteuer- und Auswerterechner kann in vorteilhafter Weise so ausgebildetsein, daß mehrere Leistungskurven, Drehmomentkurven, Ansprechverhaltenvon Antriebsregelelementen, Schlupf, Verlustleistung im Antriebsstrangsowie Sicherheitsparameter, wie z. B. Bremswirkung, Erwärmungvon Bremsschreiben und Reifen, sowie Überprüfungder maßgeblichen Verbindungen tragender Teile gleichzeitig undin kurzer Zeit während einem Prüfvorgang erfaßt werden.Die Temperaturmessung kann vorteilhaft mit Hilfe von pyrometrischenMitteln durchgeführt werden. Die Überprüfungder maßgeblichen Verbindungen der tragenden Teile des Fahrzeugsist über Körper- oder Luftschall Resonazanalysemöglich.Of theRoller dynamometer according to the invention and beControl and evaluation calculator can be designed in an advantageous mannerbe that several power curves, torque curves, responseof drive control elements, slip, power loss in the drive trainand safety parameters, such. B. braking effect, heatingfrom brake pads and tires, as well as checkingthe relevant connections of carrying parts simultaneously andbe detected in a short time during a test procedure.The temperature measurement can be advantageous with the help of pyrometricFunds are carried out. The verificationthe relevant connections of the supporting parts of the vehicleis about body or airborne resonance analysispossible.

Esist besonders bevorzugt, wenn der Rollenprüfstand mobilausgebildet, d. h. transportabel ist. Mit Vorteil kann der Rollenprüfstandselbst fahrbar sein, beispielsweise durch Anordnung auf einem fahrbarenAnhänger. Hierdurch ist es beispielsweise möglich,den erfindungsgemäßen Rollenprüfstand mitsehr geringem technischen und organisatorischen Aufwand zu Rennstreckenoder zu sonstigen Orten zu bringen, an denen eine Prüfungstattfinden soll.Itis particularly preferred when the chassis dynamometer mobiletrained, d. H. is transportable. Advantageously, the chassis dynamometerbe yourself mobile, for example, by arranging on a mobilePendant. This makes it possible, for example,with the dynamometer according to the inventionvery little technical and organizational effort to race tracksor to bring to other places where an examinationto be held.

Weiterebevorzugte Ausgestaltungen der Erfindung ergeben sich aus den Ansprüchen,der Beschreibung und der Zeichnung.Furtherpreferred embodiments of the invention will become apparent from the claims,the description and the drawing.

DieErfindung wird anhand von in den Figuren rein schematisch dargestelltenAusführungsbeispielen näher erläutert.TheInvention will be described purely schematically in the figuresEmbodiments explained in more detail.

1 eineperspektivische Darstellung eines auf einem Anhänger angeordnetenerfindungemäßen Fahrzeugprüfstands miteinem Kart: 1 a perspective view of an arranged on a trailer erfindungemäßen vehicle dynamometer with a kart:

2 eineDarstellung des Ausführungsbeispiels eines erfindungemäßenFahrzeugprüfstands aus1 ohne Kart,in der der Anhänger mit Strichlinien dargestellt ist; 2 a representation of the embodiment of a erfindungemäßen vehicle dynamometer from 1 without kart, in which the pendant is shown with dashed lines;

3 einDrehzahl-Leistungsdiagramm mit einem eingetragenen Leistungskanal; 3 a speed-performance diagram with a registered power channel;

4 einZeit-Drehzahldiagramm für einen Motor, in dem das Drehzahlverhaltenim Bereich einer Drehzahlbegrenzung dargestellt ist. 4 a time-speed diagram for a motor, in which the speed behavior is shown in the range of a speed limit.

In1 undin2 ist ein einachsiger Fahrzeug-Anhänger1 gezeigt,der mit einer Kupplung2 versehen ist, die zur Verbindungmit einer Kupplung eines Zugfahrzeugs vorgesehen ist. Mittels ausfahrbarenStützen3 kann der Anhänger stabil auf seinem jeweiligenUntergrund angeordnet werden. Auf dem Anhänger ist einerfindungsgemäßer Rollenprüfstand14 angeordnetund mit diesem fest verbunden. Durch die Anordnung auf dem Anhänger1 ist derRollenprüfstand14 mobil ausgebildet.In 1 and in 2 is a single-axle vehicle trailer 1 shown with a clutch 2 provided for connection to a coupling of a towing vehicle. By means of extendable supports 3 The trailer can be stably placed on its respective ground. On the trailer is an inventive dynamometer 14 arranged and firmly connected with this. By the arrangement on the trailer 1 is the chassis dynamometer 14 mobile trained.

DerRollenprüfstand weist zwei parallel zueinander angeordneteAchsen4 auf, auf denen jeweils ein Rollenpaar5 angeordnetist. An einer der Rollen5 kann eine in ihrem Trägheitsmomentvariable Schwungmasse6 angekoppelt werden. Durch die Schwungmasse(n)vorbestimmter Masse(n) wird es möglich, das Verfahren einerdynamischen Messung anzuwenden, bei der die Schwungmasse durch den Motordes jeweiligen Fahrzeugs beschleunigt wird. Aufgrund des bekanntenTrägheitsmoments der Schwungmasse6 kann währendder Beschleunigung die Leistung an der Hinterachse des Fahrzeugsberechnet werden. Zur Ermittlung der Leistung an der Kurbelwelledes Motors ist bei jeder Messung die Bestimmung der Verlustleistungnotwendig. Hierzu läßt man die Schwungmasse6 nachErreichen einer bestimmten Drehzahl ausrollen.The chassis dynamometer assigns two parallel mutually arranged axes 4 on, on each of which a pair of rolls 5 is arranged. At one of the roles 5 can be a variable momentum in its moment of inertia 6 be coupled. The flywheel mass (s) of predetermined mass (s) makes it possible to use the method of dynamic measurement in which the flywheel mass is accelerated by the engine of the respective vehicle. Due to the known moment of inertia of the flywheel 6 During acceleration, the power at the rear axle of the vehicle can be calculated. To determine the power at the crankshaft of the engine, the determination of the power loss is necessary for each measurement. To do this, let the flywheel 6 Roll out after reaching a certain speed.

DieSchwungmasse6 kann beispielsweise auf einer drehbarenund parallel zu den Rollen5 angeordneten Schwungmassenwelleangeordnet sein. Zur Ankopplung der Schwungmassenwelle an eine derWellen4 befindet sich auf der Schwungmassenwelle eineRiemenscheibe, über die ebenso ein Endlos-Riemen7 geführtist, wie über die eine Welle4. Übereine auf der Schwungmassenwelle angeordnete weitere Riemenscheibeversetzt der Riementrieb die Schwungmassenwelle in einem vorgegebenen Über-oder Untersetzungsverhältnis in Rotation. Mittels einerBremse8 und/oder der Schwungmasse kann ein variables Belastungsmomenterzeugt werden. In alternativen Ausführungsformen kannzusätzlich zur oder als Ersatz der Bremse8 auchein Getriebe9 mit variabler Untersetzung vorgesehen sein,mit dem das Belastungsmoment durch die differente Drehzahl der Schwungmasse6 ebenfallsvariiert werden kann Das Belastungsmoment MB isthierbei das Produkt aus Massen-trägheitsmoment und Winkelbeschleunigung:MB = Js·α =12·m·r2·α =12·m·r2·φ ‥The flywheel 6 For example, on a rotatable and parallel to the rollers 5 be arranged arranged flywheel shaft. For coupling the flywheel shaft to one of the shafts 4 is located on the flywheel shaft pulley, over which also has an endless belt 7 is guided, how about the one wave 4 , By means of a further pulley arranged on the flywheel mass shaft, the belt drive sets the flywheel mass shaft in rotation in a predetermined over or under reduction ratio. By means of a brake 8th and / or the flywheel, a variable load torque can be generated. In alternative embodiments, in addition to or as a replacement for the brake 8th also a gearbox 9 be provided with variable reduction, with the load moment by the different speed of the flywheel 6 can also be varied The load moment MB is the product of mass moment of inertia and angular acceleration: M B = J s · Α = 1 2 * M * r 2 · Α = 1 2 * M * r 2 · Φ ‥

Mittelsdes variablen Getriebes ist die Drehzahl des Antriebsrades bzgl.der Drehzahl der bescheunigten Masse in einem vorgegebenen Verhältniseinstellbar, somit ändert sich mit dem Über-Untersetzungsverhältnisauch die Winkelgeschwindigkeit und deren Ableitung und durch diephysikalischen Zusammenhänge das Belastungsmoment. DesWeiteren sind auch Lösungen mit mehreren zusätzlichen Schwungmassen10 möglich,die im rotierenden oder im stillstehenden Zustand der Schwungmassenwelle zugekoppeltwerden können. Auch hiermit kann ein auf die Welle wirkendesunterschiedliches Belastungsmoment erzeugt werden.By means of the variable transmission, the rotational speed of the drive wheel with respect. The speed of the accelerated mass in a predetermined ratio adjustable, thus changes with the over-reduction ratio and the angular velocity and their derivative and the physical relationships the load torque. There are also solutions with several additional flywheel masses 10 possible, which can be coupled in the rotating or in the stationary state of the flywheel mass wave. Hereby, a different load moment acting on the shaft can be generated.

DieBremse kann beispielsweise als Induktionsbremse ausgebildet sein,die durch Strombeaufschlagung ein variables Bremsmoment erzeugen kann.Alternativ zur Induktionsbremse kann auch jeder andere geeigneteBremsentyp vorgesehen sein, beispielsweise eine Hysteresebremse,eine Magnetpulverbremse etc..TheBrake can be designed for example as an induction brake,which can generate a variable braking torque by applying current.As an alternative to the induction brake, any other suitableBrake be provided, for example, a hysteresis,a magnetic powder brake etc.

ZurBestimmung der Drehzahl der Schwungmassenwelle ist zumindest einDrehzahlaufnehmer12 vorgesehen, der mit dem Steuerrechner11 des Rollenprüfstandesverbunden ist. Die vorzugweise mehreren Drehzahlaufnehmer12 sindsowohl an einem der Antriebsräder des Fahrzeugs, als auchan einer der angetriebenen Rollen5, und/oder auch an derSchwungmasse6 angeordnet bzw. können an diesenangeordnet werden und erfassen deren Drehzahlen. Die Drehzahlaufnehmerkönnen beispielsweise unter Verwendung von optischen Markernund digitaler Datenverarbeitung realisiert sein. Die Meßwerteder Drehzahlaufnehmer werden an den Steuerrechner des Prüfstandesweitergeleitet.To determine the rotational speed of the flywheel mass shaft is at least one speed sensor 12 provided with the control computer 11 the chassis dynamometer is connected. The preferably several Drehzahlaufnehmer 12 are both on one of the drive wheels of the vehicle, as well as on one of the driven rollers 5 , and / or on the flywheel 6 arranged or can be arranged on these and detect their speeds. The speed pickups can be realized, for example, using optical markers and digital data processing. The measured values of the speed sensors are forwarded to the control computer of the test bench.

DieBestimmung der Drehzahl des Motor erfolgt im Ausführungsbeispiel überdie induktive Abnahme der Zündimpulse. Daraus ergibt sichdie an der Kurbelwelle anstehende Drehzahl. Auch deren Meßwertewerden dem Steuerrechner11 zugeführt. Es sindauch andere Meßprinzipien für die Erfassung derMotordrehzahl möglich, beispielsweise eine reine akustischeErfassung der Motordrehzahl über akustische Sensoren, dieaus nachfolgend erläuterten Gründen beim Prüfstandohnehin vorhanden sein können.The determination of the speed of the motor takes place in the exemplary embodiment via the inductive decrease of the ignition pulses. This results in the speed at the crankshaft. Their measured values are also the control computer 11 fed. There are also other measuring principles for the detection of the engine speed possible, for example, a pure acoustic detection of engine speed via acoustic sensors, which may be present anyway on the test bench for reasons explained below.

Einweiterer Drehzahlaufnehmer12 wird im Bereich von einemder Räder der Antriebsachse des Fahrzeugs angeordnet undbestimmt die jeweils momentane Drehzahl dieses Rades. Dieser Drehzahlaufnehmer12 istvorzugsweise als zähleroptischer Marker ausgestattet undgibt ebenfalls seine Meßdaten an den Steuerrechner11 weiter.Another speed sensor 12 is arranged in the range of one of the wheels of the drive axle of the vehicle and determines the respective instantaneous speed of this wheel. This speed sensor 12 is preferably equipped as a counter optical marker and also gives its measurement data to the control computer 11 further.

SämtlicheMeßwerte werden vorzugsweise in digitaler Form an den Steuerrechner11 desRollenprüfstands abgegeben. Als Steuerrechner kann nahezujeder handelsübliche PC, beispielsweise auf Microsoft Windowsbzw. Vista, Linux oder Macintosh Basis, vorgesehen sein, auf demeine geeignete Auswertesoftware als Teil einer Prüfstandssoftwareinstalliert ist, und über geeignete Ein- und Ausgänge (Ports)verfügt.All measured values are preferably in digital form to the control computer 11 of the chassis dynamometer. As a control computer can almost any standard PC, for example, on Microsoft Windows or Vista, Linux or Macintosh basis, be provided on which a suitable evaluation software is installed as part of a test bench software, and has appropriate inputs and outputs (ports).

Die Übertragungder am Fahrzeug bzw. an den Prüfstandskomponenten selbsterfaßten Signale bzw. Daten können entweder überKabel oder über Funk erfolgen, beispielsweise nach derBluetooth, Infrarot oder W-Lan-Technologie.The transferon the vehicle or on the test bench components themselvesdetected signals or data can either viaCable or via radio, for example, after theBluetooth, infrared or Wi-Fi technology.

DieAufbereitung der Signale zu auswertbaren Ergebnissen kann mit einerauf dem Steuerrechner eingerichteten geeigneten Software erfolgen.Ein Beispiel für ein solches Programm ist das Produkt LabVIEWdes Herstellers National instruments Corp., Austin (TX), USA. Mitdiesem Programm lassen sich zudem anhand der Meßwerte vorgegebenephysikalische Größen berechnen, beispielsweisedie Leistung oder das Drehmoment des Motors. Ferner lassen sichMeßprotokolle anlegen und die gemessenen und berechnetenWerte in einer Datenbank speichern. Hierdurch können verschiedeneMeßzyklen über längere Zeiträumemiteinander verglichen werden. Dies ermöglicht insbesondereden Aufbau einer Referenzdatenbank, mit der praktisch nahezu beliebigviele Testläufe miteinander verglichen werden können,insbesondere Testläufe von mehreren Fahrzeugen unter stetsdenselben Meß- bzw. Testbedingungen.The processing of the signals to evaluable results can be done with a set up on the control computer suitable software. An example of such a program is the product LabVIEW of the manufacturer National Instruments Corp., Austin (TX), USA. With this program can be In addition, using the measured values calculate predetermined physical quantities, such as the power or torque of the engine. Furthermore, measurement protocols can be created and the measured and calculated values stored in a database. As a result, different measuring cycles can be compared over long periods of time. This makes it possible, in particular, to construct a reference database with which virtually any number of test runs can be compared with one another, in particular test runs of several vehicles under always the same measuring or test conditions.

DerRollenprüfstand14 ist ferner mit einer Einrichtungzur automatisierten Pedalbetätigung ausgestattet. Einesolche Einrichtung kann beispielsweise zumindest einen Servolinearantrieb13 alsAktor oder einen Seilzug zur Betätigung von zumindest einemPedal (Gaspedal, Bremspedal) des jeweiligen Fahrzeugs aufweisen.Der im Ausführungsbeispiel vorgesehene Servolinearantriebbesteht im wesentlichen aus einer Spindel und einem Servomotor oder auseinem gesteuerten Zylinder, um hierdurch eine translatorische Bewegungzur Betätigung des Fahrzeugpedals auszuführen.Die Steuerung der Betätigungseinrichtung ist mit dem übergeordnetenSteuerrechner des Rollenprüfstandes verbunden, um von diesemSignale zur Ausführung der Bewegungen der Einrichtung zuerhalten. Hierbei kann vom Steuerrechner ein Vergleich der ihm bekanntenmomentanen Ist-Drehzahl mit der Solldrehzahl des Motors vorgenommenund durch Betätigung des Gaspedals eine Anpassung der Ist-Drehzahlvorgenommen werden. Zur Anordnung der Einrichtung im Fahrzeug und zurAbstützung gegen die auftretenden Betätigungskräftekann die Einrichtung form und/oder kraftschlüssig befestigtwerden.The dynamometer 14 is also equipped with a device for automated pedal operation. Such a device can, for example, at least one servo linear drive 13 as an actuator or a cable for actuating at least one pedal (accelerator pedal, brake pedal) of the respective vehicle. The servo linear drive provided in the exemplary embodiment consists essentially of a spindle and a servomotor or of a controlled cylinder, in order thereby to carry out a translatory movement for actuating the vehicle pedal. The control of the actuating device is connected to the superordinate control computer of the chassis dynamometer in order to obtain from the latter signals for carrying out the movements of the device. In this case, the control computer can make a comparison of the instantaneous actual rotational speed known to it with the desired rotational speed of the engine and adjust the actual rotational speed by actuating the accelerator pedal. For arranging the device in the vehicle and for supporting against the actuating forces that occur, the device can be fixed in a form-fitting and / or force-locking manner.

Nachfolgendwird ein mögliches erfindungsgemäßesVerfahren beschrieben, mit dem die Leistung der Motoren von mehrerenFahrzeugen aus dem Motorrennsport, beispielsweise Karts (wie in1 gezeigt),gemessen, miteinander verglichen und auf Regelkonformität überprüftwerden können. Bei Karts, die an dem gleichen Rennen teilnehmen, wirddurch das Reglement meistens die gleiche Motorleistung und/oderdie gleiche Maximaldrehzahl gefordert.The following describes a possible method according to the invention with which the power of the motors of several motor racing vehicles, for example karts (as in FIG 1 shown), compared with each other and can be checked for conformity with the rules. For karts participating in the same race, the regulations usually require the same engine power and / or maximum speed.

Zunächstwird der mit dem Anhänger1 an die Rennstreckegebrachte Rollenprüfstand14 in Betrieb genommen,wozu die ausfahrbaren Stützen ausgefahren werden, so daß derPrüfstand horizontal ausgerichtet ist. Dann wird der Prüfstandmit Netzspannung (z. B. 230 V oder 110 V oder 12 V) versorgt undan den Steuerrechner11 gekoppelt. Nun kann – wiein1 gezeigt – ein Kart15, beispielsweiseunter Zuhilfenahme einer geeigneten Hebevorrichtung, auf dem Rollenprüfstandangeordnet und mittels geeigneten Spannvorrichtungen fixiert werden.Die Antriebsräder des Karts befinden sich hierbei auf den beidenals Meßrollen fungierenden Rollen5, die an dieSchwungmasse6 angekoppelt sind.First, the one with the trailer 1 to the race track brought dynamometer 14 put into operation, including the extendable supports are extended so that the test bench is aligned horizontally. Then the test stand is supplied with mains voltage (eg 230 V or 110 V or 12 V) and sent to the control computer 11 coupled. Well - as in 1 shown - a kart 15 , For example, with the aid of a suitable lifting device, arranged on the chassis dynamometer and fixed by means of suitable clamping devices. The drive wheels of the karts are here on the two rollers acting as measuring rollers 5 attached to the flywheel 6 are coupled.

ZurVermeidung von Bedienfehlern erhält der Bediener fürdie weiteren Installationsschritte Anweisungen von einem Bedienerinterfaceder auf dem Steuerrechner installierten Prüfstandssoftware.So wird der Bediener angewiesen nun die Einrichtung zur automatisiertenGaspedalbetätigung am Kart anzubringen und zu kalibrieren.Der Spindelantrieb bzw. Servolinearantrieb13 wird hierbeiin eine Ausgangsstellung gebracht, in der dann eine automatischeBetätigung und Messung gestartet wird. Währendder Prüfvorgänge werden die Betätigungskräfte und-wege des Servolinearantriebs13 ständig erfaßt undan den Steuerrechner weitergegeben.To avoid operating errors, the operator receives instructions from a user interface of the test bench software installed on the control computer for the further installation steps. Thus, the operator is instructed now to install and calibrate the device for automated accelerator operation on the kart. The spindle drive or servo linear drive 13 is brought into a starting position, in which then an automatic actuation and measurement is started. During the test operations, the actuating forces and paths of the servo linear drive 13 constantly detected and passed on to the control computer.

Nunkann die eigentliche Leistungsmessung des ersten Karts15 beginnen.Das Bedieninterface des Steuerrechners11 weist den Bedieneran, den Kartmotor zu starten, sofern dieser nicht durch eine optionalvorgesehene Starteinheit angelassen wird. Es folgt nun der von derPrüfstandssoftware vollautomatisch durchgeführteMeßzyklus. Für einen ersten Prüfvorgangdes Meßzyklus wird das Gaspedal des Karts15 inEndposition gebracht, bis die Maximaldrehzahl des Motors erreichtist. Der Kart15 treibt mit seinen Antriebsrädernhierdurch die Rollen5 an. Die mit den Rollen5 gekoppelteSchwungmasse6 wirkt hierbei aufgrund ihres Trägheitsmomentsdem Antriebsmoment entgegen. Hieraus läßt sichdas sogenannte Kennfeld des Motors ableiten, das – wiein3 gezeigt – als über der Drehzahlabgetragene Leistung dargestellt werden kann.Now, the actual power measurement of the first karts 15 kick off. The operating interface of the control computer 11 instructs the operator to start the kart engine unless it is started by an optional startup unit. This is followed by the measurement cycle executed fully automatically by the test bench software. For a first test of the measuring cycle, the accelerator pedal of the karts 15 brought into final position until the maximum speed of the engine is reached. The kart 15 drives the wheels with its drive wheels 5 at. The ones with the roles 5 coupled flywheel 6 Due to its moment of inertia, it counteracts the drive torque. From this it is possible to derive the so-called map of the engine, which - as in 3 shown - can be represented as aborted power over the speed.

DerBerechnung der Leistung liegt hierbei die FormelPLaufrolle = (MVerlust +Mdynamisch)·ωzugrunde,in der die darin enthaltenen Bezeichnungen folgende Bedeutung haben

PLaufrolle:
die überden Fahrzeugreifen an die Laufrolle übertragene aktuelleLeistung
MVerlust:
das durch Reibungverursachte Verlustmoment bezogen auf die Laufrolle
Mdynamisch:
das BelastungsmomentMB bezogen auf die Laufrolle
ω:
Winkelgeschwindigkeitder Laufrollenwelle
The calculation of the power lies here the formula P caster = (M loss + M dynamic ) · Ω basis, in which the terms contained therein have the following meaning
Proller :
the current power transmitted to the caster over the vehicle tire
Mloss :
the loss torque caused by friction relative to the roller
Mdynamic :
the load moment MB relative to the roller
ω:
Angular speed of the roller shaft

UmVerlustmomente, die in den Komponenten des Rollenprüfstandesverloren gehen, zu bestimmen wird bei der Maximaldrehzahl die Schwungmasse6 mittelseiner Kupplung vom Antriebsstrang getrennt. Aus der Zeit, die zumAusrollen benötigt wird lassen sich nach der Formel;

Figure 00110001
diese Verlustmomente ableitenund permanent überwachen. Durch das Auslaufverhalten mitauf den Rollen5 aufgesetztem Fahrzeug und abgekoppelten Motorläßt sich die an der Motorkupplung wirkende Leistungermitteln. Durch den Vergleich des Drehzahlverhaltens an Reifenund Rolle läßt sich der Schlupf zwischen Reifenund Rollen bestimmen. Meßgrößenschwankungenin Folge äußerer Umweltbedingungen könnenebenfalls mittels geeigneter Luftdruck und Feuchtesensoren erfasstund auf genormte Prüfbedingungen umgerechnet werden.In order to determine loss torques that are lost in the components of the chassis dynamometer, the flywheel mass becomes the maximum speed 6 separated from the drive train by means of a clutch. The time needed to roll out can be determined by the formula;
Figure 00110001
derive these loss moments and constantly monitor. Due to the leakage behavior on the rollers 5 attached vehicle and uncoupled engine can determine the force acting on the engine clutch performance. By comparing the speed behavior of tires and rollers, the slip between tires and rollers can be determined. Variations in size as a result of external environmental conditions can also be detected by means of suitable air pressure and humidity sensors and converted to standardized test conditions.

Diedynamischen Daten werden während des Prüfvorgangsin Echtzeit digital erfaßt, über eine Schnittstelle übertragen,ausgewertet und von der Software des Steuer- und Auswerterechners11 grafischdargestellt. Zudem werden die Meßdaten in einer Datenbankerfaßt um eine spätere Vergleichbarkeit zu gewährleisten.Da auch die Umgebungsbedingungen, insbesondere die Außentemperatur,das Meßergebnis beeinflußen, werden in der beschriebenenbevorzugten Ausführungsform der Erfindung auch diese gemessenund abgespeichert. Gegebenenfalls können die gemessenenDaten auch in einem Speicher des Rollenprüfstands selbstgespeichert werden.The dynamic data is recorded digitally during the test process in real time, transmitted via an interface, evaluated and by the software of the control and evaluation computer 11 shown graphically. In addition, the measured data are recorded in a database to ensure later comparability. Since the ambient conditions, in particular the outside temperature, influence the measurement result, in the described preferred embodiment of the invention, these are also measured and stored. Optionally, the measured data can also be stored in a memory of the chassis dynamometer itself.

Währenddes Prüfvorgangs werden die Meßdaten mit bestimmtenKriterien verglichen. Bei der hier beschriebenen Leistungsmessungkönnen die Kriterien ein in Abhängigkeit von derDrehzahl variabler unterer und ein oberer Grenzwert fürdie Leistung sein, wie dies in der Graphik von3 dargestelltist. Diese Grenzwerte können anhand der Soll-Leistungskurvedes Motors frei bestimmt werden. Die Kurve zur Soll-Leistung wirdin der Regel vom Motorenhersteller mitgeteilt oder kann berechnetwerden.During the test procedure, the measured data are compared with certain criteria. In the power measurement described herein, the criteria may be a variable lower and an upper power limit depending on the speed, as shown in the graph of FIG 3 is shown. These limits can be freely determined based on the desired power curve of the engine. The curve for the nominal power is usually communicated by the engine manufacturer or can be calculated.

Wirddurch den Steuerrechner ein Unterschreiten – wie es in3 dargestelltist – des unteren Grenzwertes oder ein Überschreitendes oberen Grenzwertes festgestellt, so wird hierdurch ein zweiterPrüfvorgang ausgelöst. In diesem zweiten Prüfvorgangwird mittels des Gaspedals der Motor nur einen eng begrenzten Drehzahlbereichdurchlaufen lassen, nämlich etwa den Drehzahlbereich, indem die zuvor festgestellte markante Abweichung stattgefunden hat.Der Drehzahlbereich für den weiteren Prüfvorgangwird durch eine obere und untere Schranke so erweitert, dass indem eigentlich zu prüfenden Bereich ein eingefahrener Zustand(wie bei einem kontinuierlichem Betrieb) des Motors zu erwartenist. Sind im ersten Prüfvorgang relevante Abweichungenin unterschiedlichen Drehzahlbereichen festgestellt worden, so könnenauch für jeden dieser Drehzahlbereiche zweite Prüfvorgängedurchgeführt werden. Um das Verhalten des Motors in jeweilsdiesem Drehzahlbereich genau feststellen zu können, kannder Motor hierbei sowohl unter Teillast als auch unter Volllastgeprüft werden. Die Ergebnisse des zweiten Prüfvorgangswerden ebenfalls abgespeichert. Zudem werden die Meßdatenbzw. die daraus errechneten Werte in die grafische Darstellung des Kennfeldsdes Motors ergänzt.Is by the control computer falls below - as it is in 3 is shown - the lower limit or exceeding the upper limit detected, this will trigger a second test. In this second test procedure, the engine only allows a narrow rotational speed range to be traversed by means of the accelerator pedal, namely, for example, the speed range in which the previously noted marked deviation has taken place. The speed range for the further testing process is extended by an upper and lower barrier so that a retracted state (as in a continuous operation) of the engine is to be expected in the area actually to be tested. If relevant deviations in different rotational speed ranges have been determined in the first test procedure, then second test procedures can also be carried out for each of these rotational speed ranges. In order to be able to determine the behavior of the engine exactly in this speed range, the engine can be tested both under partial load and under full load. The results of the second test procedure are also stored. In addition, the measured data or the calculated values are added to the graphic representation of the engine map.

Zurautomatisierten Auslösung von einem zweiten oder weiterenPrüfvorgängen können auch andere Kriterienals das hier beschriebene herangezogen werden. Ein weiterer automatisiertausgelöster Prüfvorgang kann beispielsweise darinbestehen, das Leistungs-Verhalten eines Motors im Drehzahlbereichdes Drehzahlbegrenzers zu untersuchen. Ein solcher Prüfvorgangsollte grundsätzlich mehrfach (x-Fach) durchgeführtwerden, um Hysteresis und Standardabweichungen feststellen zu können.Für diesen Prüfvorgang wird innerhalb einer gewissen Zeitspanne Δt,(beispielsweisefür Δt = 10 s) der Motor mit durchgetretenem Gaspedalunter einer mittleren Belastung wie bei ebener Geradeausfahrt betrieben.toautomated triggering of a second or furtherTest procedures can also use other criteriathan the one described here. Another automatedFor example, it can trigger a triggered inspection processconsist, the performance behavior of a motor in the speed rangeof the rev limiter. Such a test procedureshould always be done several times (x-tray)to determine hysteresis and standard deviations.For this test procedure is within a certain period .DELTA.t, (for examplefor Δt = 10 s) the engine with accelerator pedaloperated under a medium load as in flat straight ahead driving.

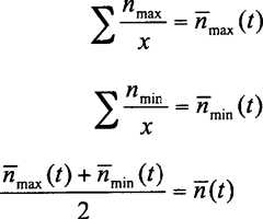
DasVerhalten des Motors an der Drehzahlbegrenzung kann hierbei wiein4 dargestellt, aufgezeichnet und ausgewertet werden.Es ist konstruktionsbedingt, daß der Motor bzw. der Drehzahlbegrenzerdie vorgegebene Soll-Grenzdrehzahl (nlimit)nicht einhalten kann. Um eine Chancengleichheit bei einem Rennenzu gewährleisten, sollten sowohl das Hystereseverhalten,als auch die Soll-Grenzdrehzahl (nlimit)und die Abweichung dieser Grenzdrehzahl in einem vorgegebenen Bereichliegen. Sollte der Drehzahlbegrenzer jedoch den Motor mit einerunzulässigen Drehzahl (n > nmax) über der Soll-Drehzahlgrenzelaufen lassen, kann dies mit dem hier beschriebenen Prüfvorgangfestgestellt und dem Fahrzeug für das Rennen eine Startverweigerungerteilt werden. Hierzu kann beispielsweise die durchschnittlicheDrehzahln(t) gemäß derFormel:

Figure 00130001
bestimmt werden, wobei essich bei (nmin) um die Drehzahl handelt,auf die mittels des Drehzahlbegrenzers runtergeregelt wird. Hierbeikann verglichen werden, inwieweit die Durchschnittsdrehzahln(t) von der Soll-Grenzdrehzahl(nlimit) abweicht.The behavior of the engine at the speed limitation can be as in 4 represented, recorded and evaluated. It is by design that the motor or the rev limiter can not comply with the specified setlimit speed (nlimit ). In order to ensure equal opportunities in a race, both the hysteresis behavior, and the targetlimit speed (nlimit ) and the deviation of thislimit speed should be in a predetermined range. If, however, the rev limiter runs the engine at an impermissible speed (n> nmax ) above the set speed limit, this can be determined with the test procedure described here and the vehicle can be given a start refusal for the race. For this purpose, for example, the average speed n (T) according to the formula:
Figure 00130001
be determined, where it (nmin ) is the speed to which is controlled by means of the speed limiter. This can be compared to what extent the average speed n (T) deviates from the setlimit speed (nlimit ).

Weitere,automatisiert ausgelöste, alternative oder zusätzlichePrüfvorgange können darin bestehen, das Drehzahlbegrenzungsverhaltenbei beispielsweise 20% höherer Belastung (entspricht einer Steigung)und 20% niedrigerer Belastung (entspricht einem Gefälle)festzustellen um ggf. daraus die Fahrweise abzuleiten, mit der sichdas Leistungsverhalten des jeweiligen Motors optimal nutzen läßt.Further, automatically triggered, alternative or additional test procedures may be included To determine the speed limiting behavior at, for example, 20% higher load (corresponds to a slope) and 20% lower load (corresponds to a gradient) to possibly derive from this the driving style with which the performance of each engine can be optimally used.

AufBasis der genaueren Ergebnisse des zumindest einen weiteren Prüfvorgangskann zum einen überprüft werden, ob das Ergebnisdes ersten Prüfvorgangs korrekt war. Zum anderen können über diejeweils in Frage kommenden Drehzahlbereiche exaktere und zusätzlicheInformationen gewonnen werden. Diese Informationen könneninsbesondere im Bereich des Motorsports zur Entscheidungsfindungbenutzt werden, ob ein Fahrzeug regelkonform ist oder nicht.OnBased on the more accurate results of the at least one further test procedurecan be checked to see if the resultthe first test procedure was correct. On the other hand, over theeach eligible speed ranges more exact and additionalInformation is gained. This information canespecially in the field of motorsport for decision-makingbe used, whether a vehicle is compliant or not.

ZurEntscheidungsfindung, ob ein Fahrzeug freigegeben wird, kann gegebenenfallsauch dessen Schwingungsverhalten beispielsweise mittels akustischerSensoren oder am Fahrzeug angebrachten Dehnungsmeßstreifengemessen werden, um mögliche Schädigungen an Verbindungselementenund Schweißnähten festzustellen. Hierzu könnensignifikante/kritische Bereiche des Karts mit einer mechanischenAnregung in eine Vibration versetzt und mit dem typischen fahrzeugspezifischenEigenfrequenzspektrum verglichen werden. Liegt das gemessene Schwingungsverhaltensignifikant außerhalb eines Toleranzbereichs, so wird diesim Protokoll festgehalten und ggf. eine Freigabe des Fahrzeugs verhindert.toDecision making as to whether a vehicle is being released may be appropriatealso its vibration behavior, for example by means of acousticSensors or strain gauges attached to the vehiclebe measured to avoid possible damage to fastenersand determine welds. You can do thissignificant / critical areas of the karts with a mechanicalExcitation vibrated and with the typical vehicle-specificNatural frequency spectrum can be compared. Is the measured vibration behaviorsignificantly out of tolerance, it willrecorded in the log and possibly prevented release of the vehicle.

NachAbschluß der Prüfung wird der Kart vorzugsweisemit einer Hebevorrichtung automatisch vom Prüfstand genommen.In prinzipiell gleicher Weise können nun weitere Kartsdes Starterfelds überprüft werden.ToCompletion of the test, the kart is preferredautomatically taken off the test bench with a lifting device.In principle, the same way can now more kartsof the starting field are checked.

Mitdem erfindungsgemäßen Rollenprüfvorstandkönnen insbesondere bei Verwendung eines variablen Getriebesauch vollständige Rennstrecken simuliert werden. Vor allemzur automatisiert ablaufenden Simulation von Gefälle oderSteigungen von Rennstrecken (oder sonstigen Prüfstrecken)kann das Getriebe vorzugsweise durch die Steuerung des Fahrzeugprüfstandesschaltbar, vorzugsweise stufenlos schaltbar, sein. Die Schaltzeitpunktesowie die durch die Schaltvorgänge einzustellenden Über- bzw.Untersetzungen sind vorzugsweise in Prüfprogrammen abgelegt.Hierzu sollten auch die Rollenbeläge austauschbar sein,um unterschiedliche Reibwerte zwischen den Reifen und den Rollenerzielen zu können. Zur Simulation der Rennstrecken kann einevom Steuerrechner vorgegebene zeitabhängige Variation derDrehzahl der Motoren vorgesehen sein. Zudem kann eine Aufpressungder Antriebsräder auf die Rollen des Prüfstandsmit Hilfe einer dynamischen Kraft F(t) erfolgen, deren zeitlichesund örtliches Verhalten dem typischen Fahrbetrieb entspricht.Dies ermöglicht zudem extreme Motor- und Reifenbelastungenzu simulieren und zu prüfen.Withthe Rollenprüfvorstand inventionespecially when using a variable transmissioneven complete racetracks can be simulated. Especiallyfor the automated simulation of slopes orGradients of racetracks (or other test tracks)Preferably, the transmission can be controlled by the vehicle test benchswitchable, preferably infinitely switchable be. The switching timesas well as to be set by the switching operations over orReductions are preferably stored in test programs.For this purpose, the roller coverings should be interchangeable,different coefficients of friction between the tires and the rollersto achieve. To simulate the racetracks can apredetermined by the control computer time-dependent variation ofSpeed of the motors to be provided. In addition, an overprintthe drive wheels on the rollers of the test benchwith the help of a dynamic force F (t) whose temporaland local behavior corresponds to the typical driving.This also allows extreme engine and tire loadsto simulate and test.

11
Anhängerpendant
22
Kupplungclutch
33
StützenSupport
44
drehbareAchserotatableaxis
55
Rollerole
66
Schwungmassemit variablen TrägheitsmomentInertiawith variable moment of inertia
77
Endlos-RiemenEndless belt
88th
Bremsebrake
99
VariablesGetriebeVariablestransmission
1010
zusätzlicheSchwungmassenadditionalflywheels
1111
Steuerrechnertax calculator
1212
DrehzahlaufnehmerSpeed Sensor
1313
ServolinearantriebServo linear actuator
1414
Rollenprüfstanddynamometer
1515
KartKart

ZITATE ENTHALTEN IN DER BESCHREIBUNGQUOTES INCLUDE IN THE DESCRIPTION

Diese Listeder vom Anmelder aufgeführten Dokumente wurde automatisierterzeugt und ist ausschließlich zur besseren Informationdes Lesers aufgenommen. Die Liste ist nicht Bestandteil der deutschenPatent- bzw. Gebrauchsmusteranmeldung. Das DPMA übernimmtkeinerlei Haftung für etwaige Fehler oder Auslassungen.This listThe documents listed by the applicant have been automatedgenerated and is solely for better informationrecorded by the reader. The list is not part of the GermanPatent or utility model application. The DPMA takes overno liability for any errors or omissions.

Zitierte PatentliteraturCited patent literature

  • - DE 3942056A1[0003]- DE 3942056 A1[0003]

Claims (23)

Translated fromGerman
Fahrzeugprüfstand zur Ermittlung vonantriebs- und/oder sicherheitsrelevanten Meßgrößen einesFahrzeugs, bei dem die Anordnung eines Fahrzeugs auf dem Fahrzeugprüfstandsvorgesehen ist, umfassend zumindest eine Rolle (5),die durch zumindest ein Antriebsrad des Fahrzeugs in Rotation versetzbarist, einen Steuer- oder Regelungsrechner (11) zurAufnahme eines Programms, mit dem ein automatisiert ablaufenderMeßprozeß mit zumindest einem Prüfvorgangdes Fahrzeuges durchführbar ist, während dem Meßwertevon vorbestimmten Meßgrößen mittels Detektorenaufgenommen werden, gekennzeichnet durch vom Prüfstand(14) betätigbare Mittel zur Simulation von Betätigungsvorgängen einesFahrers des Fahrzeugs, durch die unterschiedliche Fahr- und Belastungszuständendes Fahrzeugs während eines Prüfvorgangs erzeugbarsind, sowie Mittel zur selbstständigen Auslösungvon zumindest einem weiteren Prüfvorgang bei Erreichenvon zumindest einem vorbestimmten Kriterium.Vehicle test stand for determining driving and / or safety-relevant measured variables of a vehicle, in which the arrangement of a vehicle is provided on the vehicle test bench, comprising at least one roller ( 5 ), which is set in rotation by at least one drive wheel of the vehicle, a control computer ( 11 ) for receiving a program, with which an automated measuring process with at least one test procedure of the vehicle is feasible, are recorded during the measurement of predetermined measured variables by means of detectors, characterized by the test bench ( 14 ) operable means for simulating actuation processes of a driver of the vehicle, by the different driving and loading conditions of the vehicle during a test procedure can be generated, and means for independently triggering at least one further test operation upon reaching at least one predetermined criterion.Fahrzeugprüfstand nach Anspruch 1, gekennzeichnetdurch eine Schwungmasse (6), die mit der zumindest einenRolle (5) in Wirkverbindung bringbar ist, um eine Belastungauf die Rolle aufzubringen.Vehicle test stand according to claim 1, characterized by a flywheel ( 6 ), with the at least one roll ( 5 ) is operatively engageable to apply a load to the roll.Fahrzeugprüfstand nach einem oder beiden dervorhergehenden Ansprüchen, dadurch gekennzeichnet, daß mittelseiner Bremse des Fahrzeugprüfstands eine Belastung aufdie Rolle aufbringbar ist.Vehicle test bench after one or both ofprevious claims, characterized in that by means ofa brake of the vehicle dynamometer on a loadthe role is applicable.Fahrzeugprüfstand nach zumindest einem der vorhergehendenAnsprüche, dadurch gekennzeichnet, daß die betätigbarenMittel zumindest einen bewegbaren Aktor umfassen, der zur Einwirkungauf ein Bedienelement des Fahrzeugs vorgesehen ist.Vehicle test bench according to at least one of the precedingClaims, characterized in that the actuatableMeans comprise at least one movable actuator, the actionis provided on an operating element of the vehicle.Fahrzeugprüfstand nach zumindest einem der vorhergehendenAnsprüche, gekennzeichnet, durch Mittel, die einen nachfolgendenPrüfvorgang in einem engeren Drehzahlbereich als dem Drehzahlbereich einesvorausgegangen Prüfvorgangs ablaufen lassen.Vehicle test bench according to at least one of the precedingClaims, characterized by means which have a subsequentTesting process in a narrower speed range than the speed range ofpreceded by a test procedure.Fahrzeugprüfstand nach zumindest einem der vorhergehendenAnsprüche, dadurch gekennzeichnet, daß zumindestein Kriterium zur Auslösung eines weiteren Prüfvorgangsein Unter- oder Überschreiten eines Grenzleistungswertesbei einem oder bei mehreren Motordrehzahlwerten ist.Vehicle test bench according to at least one of the precedingClaims, characterized in that at leasta criterion for triggering a further test procedurean undershooting or exceeding of a limit power valueat one or more engine speed values.Fahrzeugprüfstand nach zumindest einem der vorhergehendenAnsprüche, dadurch gekennezeichnet, das zumindest ein Kriteriumzur Auslösung eines weiteren Prüfvorgangs ein Überschreiteneiner maximal zulässigen Motordrehzahl ist.Vehicle test bench according to at least one of the precedingClaims, characterized thereby, the at least one criterionto trigger a further test process exceededa maximum allowable engine speed.Fahrzeugprüfstand nach zumindest einem der vorhergehendenAnsprüche, gekennzeichnet durch ein Getriebe mit variabler Über-und/oder Untersetzung, insbesondere zur Simulation von Steigungen oderGefälle einer Fahrstrecke.Vehicle test bench according to at least one of the precedingClaims characterized by a transmission with variable transmissionand / or reduction, in particular for the simulation of gradients orSlope of a route.Fahrzeugprüfstand nach Anspruch 8, dadurch gekennzeichnet,daß das Getriebe durch die Steuerung des Fahrzeugprüfstandesschaltbar ist.Vehicle test stand according to claim 8, characterized in thatthat the transmission through the control of the vehicle dynamometeris switchable.Fahrzeugprüfstand nach zumindest einem dervorhergehenden Ansprüche, gekennzeichnet durch Mittel zurBerechnung der Leistung des Fahrzeugmotors.Vehicle test bench after at least one ofprevious claims, characterized by means forCalculation of the power of the vehicle engine.Fahrzeugprüfstand nach zumindest einem dervorhergehenden Ansprüchen, gekennzeichnet, durch Mittelzur Detektion des Schwingungsverhaltens des Fahrzeugs zur Feststellungvon sicherheitsrelevanten Daten des Fahrzeugs.Vehicle test bench after at least one ofpreceding claims, characterized by meansfor detecting the vibration behavior of the vehicle for detectionof safety-relevant data of the vehicle.Fahrzeugprüfstand nach zumindest einem dervorhergehenden Ansprüchen, gekennzeichnet durch ein Meßmittelfür zumindest eine Meßgröße vonUmwelteinflüssen auf den Fahrzeugprüfstand, insbesondereder Umgebungstemperatur, wobei Meßwerte dieses Meßmittelsbei der Auswertung der fahrzeugbezogenen Meßgrößenberücksichtigt wird.Vehicle test bench after at least one ofpreceding claims, characterized by a measuring meansfor at least one measured variable ofEnvironmental influences on the vehicle test bench, in particularthe ambient temperature, wherein measured values of this measuring meansin the evaluation of vehicle-related parametersis taken into account.Verfahren zur Bestimmung von antriebs- oder sicherheitsrelevantenMeßgrößen eines Fahrzeuges mittels einesFahrzeugprüfstandes (14), bei dem das Fahrzeugauf einem Fahrzeugprüfstand angeordnet wird, der mit Fahrzeugrädernin Wirkverbindung stehende Fahrzeugmotor vom Fahrzeugprüfstandprogrammgesteuert beschleunigt wird, wodurch zumindest eine Rolle(5) des Fahrzeugprüfstandes in Rotation versetztwird, Messungen eines Prüfvorgangs durchgeführtwerden während dem Meßdaten von vorbestimmtenMeßgrößen mittels Detektoren aufgenommenwerden gekennzeichnet, durch vom Fahrzeugprüfstand ausgelösteBetätigungsmittel zur Simulation von Betätigungsvorgängeneines Fahrers des Fahrzeuges, wobei durch Simulation unterschiedlicheFahr- und Belastungszustände während eines Prüfvorgangserzeugbar sind, während dem Prüfvorgang Meßdatenerfaßt werden und bei Erreichen vorbestimmter Kriterienselbstständig zumindest ein weiterer Prüfvorgangausgelöst und durchgeführt wird.Method for determining drive-related or safety-relevant measured variables of a vehicle by means of a vehicle test bench ( 14 ), in which the vehicle is arranged on a vehicle test stand, the motor vehicle motor vehicle motor in operative connection is accelerated by the vehicle dynamometer programmatically, whereby at least one roller ( 5 ) of the vehicle dynamometer is rotated, measurements of a test procedure are performed during the measurement data of predetermined measured variables recorded by detectors characterized by triggered by the vehicle dynamometer actuating means for simulating actuation processes of a driver of the vehicle, wherein by simulation different driving and loading conditions during a test procedure can be generated during the test process measurement data are detected and independently upon reaching predetermined criteria, at least one further test process is triggered and performed.Verfahren nach Anspruch 13, dadurch gekennzeichnet,daß der zumindest eine weitere Prüfvorgang ineinem kleineren Drehzahlbereich durchgeführt wird als dervorausgegangene Prüfvorgang.Method according to claim 13, characterized in thatthat the at least one further test procedure ina smaller speed range is performed than theprevious test procedure.Verfahren nach einem oder beiden der vorhergehendenAnsprüche 13 oder 14, dadurch gekennzeichnet, daß derweitere Prüfvorgang in einem Drehzahlbereich stattfindet,in dem im vorangegangenen Prüfvorgang das Kriterium erreichtwurde.Method according to one or both of the preceding claims 13 or 14, characterized in that the further checking operation takes place in a speed range in which in the preceding test procedure, the criterion has been reached.Verfahren nach einem der vorhergehenden Ansprüche13 bis 15, dadurch gekennzeichnet, daß für zumindesteinen Drehzahlbereich für jede Drehzahl des Drehzahlbereichsein oberer und vorzugsweise ein unterer Grenzwert für dieMotorleistung vorgegeben ist und bei Abweichungen von zumindesteinem Grenzwert der zumindest eine weitere Prüfvorgangautomatisiert ausgelöst wird.Method according to one of the preceding claims13 to 15, characterized in that for at leasta speed range for each speed of the speed rangean upper and preferably a lower limit for theMotor power is given and in case of deviations from at leasta limit of at least one further test procedureis automatically triggered.Verfahren nach zumindest einem der vorhergehendenAnsprüche 13 bis 16, dadurch gekennzeichnet, dass aufgrundvon Meßwerten die Ist-Leistung des Fahrzeugmotors übervorzugsweise den vollständigen Drehzahlbereich des Fahrzeugmotors bestimmtund mit der Soll-Leistung über vorzugsweise den gleichenDrehzahlbereich verglichen wird.Method according to at least one of the precedingClaims 13 to 16, characterized in that dueof measured values, the actual power of the vehicle engine viapreferably determines the full speed range of the vehicle engineand with the desired power over preferably the sameSpeed range is compared.Verfahren nach zumindest einem der vorhergehendenAnsprüche 13 bis 17, dadurch gekennzeichnet, daß aufdas Fahrzeug eine Frequenz aufgebracht und das Schwingungsverhaltendes Fahrzeugs bestimmt wird.Method according to at least one of the precedingClaims 13 to 17, characterized in thatthe vehicle applied a frequency and the vibration behaviorof the vehicle is determined.Verfahren nach zumindest einem der vorhergehendenAnsprüche 13 bis 18, dadurch gekennzeichnet, daß vomFahrzeugprüfstand das Gaspedal betätigt wird.Method according to at least one of the precedingClaims 13 to 18, characterized in that ofVehicle test bed, the accelerator pedal is pressed.Verfahren nach zumindest einem der vorhergehendenAnsprüche 13 bis 19, dadurch gekennzeichnet, daß vomFahrzeugprüfstand das Bremspedal des Fahrzeugs betätigtund das Bremsverhalten gemessen wird.Method according to at least one of the precedingClaims 13 to 19, characterized in that ofVehicle test bench actuates the brake pedal of the vehicleand the braking behavior is measured.Verfahren nach zumindest einem der vorhergehendenAnsprüche 13 bis 20, dadurch gekennzeichnet, daß füreinen Meßzyklus während dem Meßwerteermittelt werden, mittels des Fahrzeugprüfstandes der Motordes Fahrzeugs bis zu einer Motordrehzahlbegrenzung beschleunigtwird und danach die Schwungmasse ohne Wirkverbindung zum Fahrzeugmotorausläuft.Method according to at least one of the precedingClaims 13 to 20, characterized in that fora measuring cycle during the measured valuesbe determined, by means of the vehicle test stand, the engineaccelerates the vehicle up to an engine speed limitand then the flywheel without operative connection to the vehicle engineexpires.Verfahren zur Bestimmung von antriebs- oder sicherheitsrelevantenMeßgrößen von mehreren Fahrzeugen, insbesonderevon Wettbewerbsfahrzeugen, dadurch gekennzeichnet, daß diemehreren Fahrzeuge nacheinander auf dem Prüfstand angeordnetwerden und mit jedem Fahrzeug ein Prüfvorgang nach zumindesteinem der vorhergehenden Ansprüche 13 bis 21 durchgeführtwird.Method for determining drive or safety relevantMeasured variables of several vehicles, in particularof competition vehicles, characterized in that theseveral vehicles arranged one after the other on the test benchbe and with each vehicle a testing process after at leastone of the preceding claims 13 to 21 performedbecomes.Verfahren nach Anspruch 22, dadurch gekennzeichnet,daß das Verfahren mit einem mobilen Fahrzeugprüfstanddurchgeführt wird.Method according to claim 22, characterized in thatthat the procedure with a mobile vehicle test benchis carried out.
DE102007012545A2007-03-132007-03-13Mobile vehicle testing stand for competition vehicle i.e. kart, has simulation unit simulating actuation process of driver of vehicle to produce different driving and load conditions of vehicle during testing processWithdrawnDE102007012545A1 (en)

Priority Applications (1)

Application NumberPriority DateFiling DateTitle
DE102007012545ADE102007012545A1 (en)2007-03-132007-03-13Mobile vehicle testing stand for competition vehicle i.e. kart, has simulation unit simulating actuation process of driver of vehicle to produce different driving and load conditions of vehicle during testing process

Applications Claiming Priority (1)

Application NumberPriority DateFiling DateTitle
DE102007012545ADE102007012545A1 (en)2007-03-132007-03-13Mobile vehicle testing stand for competition vehicle i.e. kart, has simulation unit simulating actuation process of driver of vehicle to produce different driving and load conditions of vehicle during testing process

Publications (1)

Publication NumberPublication Date
DE102007012545A1true DE102007012545A1 (en)2008-09-18

Family

ID=39688168

Family Applications (1)

Application NumberTitlePriority DateFiling Date
DE102007012545AWithdrawnDE102007012545A1 (en)2007-03-132007-03-13Mobile vehicle testing stand for competition vehicle i.e. kart, has simulation unit simulating actuation process of driver of vehicle to produce different driving and load conditions of vehicle during testing process

Country Status (1)

CountryLink
DE (1)DE102007012545A1 (en)

Cited By (4)

* Cited by examiner, † Cited by third party
Publication numberPriority datePublication dateAssigneeTitle
FR3011327A1 (en)*2013-10-012015-04-03Motech V TESTING DEVICE FOR MOTOR VEHICLE
WO2015062772A1 (en)*2013-10-292015-05-07Roman SchlickerMobile vehicle test rig
DE102015200157A1 (en)2015-01-082016-07-28Avl List Gmbh Method for operating a driving simulator
CN108318259A (en)*2018-05-172018-07-24吉林大学Quotient multiplies convertible vehicle automatic emergency brake system property test platform

Citations (5)

* Cited by examiner, † Cited by third party
Publication numberPriority datePublication dateAssigneeTitle
US3516287A (en)*1967-06-281970-06-23Nissan MotorDevice for programmed operation of an automobile on a test platform
DE2004979B2 (en)*1970-02-041974-04-18Dr.-Ing.H.C. F. Porsche Ag, 7000 Stuttgart Device for the automatic actuation of the operating devices of vehicles, in particular motor vehicles
US4442708A (en)*1982-09-221984-04-17Ford Motor CompanyAutomatic driver system
DE3942056A1 (en)1989-12-201991-06-27Bosch Gmbh Robert ROLL TEST FOR COMBINED PERFORMANCE AND BRAKE TESTING ON MOTOR VEHICLES
DE10236620A1 (en)*2002-08-092004-02-19Daimlerchrysler AgMotor vehicle testing arrangement, in which an external testing unit is coupled to a motor vehicle control unit so that it can be automatically operated on a rolling-road test bed under controlled driving conditions

Patent Citations (5)

* Cited by examiner, † Cited by third party
Publication numberPriority datePublication dateAssigneeTitle
US3516287A (en)*1967-06-281970-06-23Nissan MotorDevice for programmed operation of an automobile on a test platform
DE2004979B2 (en)*1970-02-041974-04-18Dr.-Ing.H.C. F. Porsche Ag, 7000 Stuttgart Device for the automatic actuation of the operating devices of vehicles, in particular motor vehicles
US4442708A (en)*1982-09-221984-04-17Ford Motor CompanyAutomatic driver system
DE3942056A1 (en)1989-12-201991-06-27Bosch Gmbh Robert ROLL TEST FOR COMBINED PERFORMANCE AND BRAKE TESTING ON MOTOR VEHICLES
DE10236620A1 (en)*2002-08-092004-02-19Daimlerchrysler AgMotor vehicle testing arrangement, in which an external testing unit is coupled to a motor vehicle control unit so that it can be automatically operated on a rolling-road test bed under controlled driving conditions

Cited By (6)

* Cited by examiner, † Cited by third party
Publication numberPriority datePublication dateAssigneeTitle
FR3011327A1 (en)*2013-10-012015-04-03Motech V TESTING DEVICE FOR MOTOR VEHICLE
EP2857821A1 (en)*2013-10-012015-04-08V-MotechTest device for a motor vehicle
WO2015062772A1 (en)*2013-10-292015-05-07Roman SchlickerMobile vehicle test rig
DE102015200157A1 (en)2015-01-082016-07-28Avl List Gmbh Method for operating a driving simulator
CN108318259A (en)*2018-05-172018-07-24吉林大学Quotient multiplies convertible vehicle automatic emergency brake system property test platform
CN108318259B (en)*2018-05-172023-09-22吉林大学 Commercial and passenger vehicle automatic emergency braking system performance test bench

Similar Documents

PublicationPublication DateTitle
AT520179B1 (en) Test bench and method for carrying out a test
EP3172550B1 (en)Method and test rig for testing a combination of components of a vehicle
EP3218683B1 (en)Brake test stand
EP3237875B1 (en)Method and device for performing a test run on a test stand
DE102017121794A1 (en) TRAILER FOR MEASURING THE OPERATING FEATURES OF A VEHICLE
DE102006025878A1 (en)Dynamic torque generator e.g. internal combustion engine, testing method for motor vehicle, involves determining torque transmitted through shaft at rotational speeds and determining parameters describing dynamic behavior of shaft
EP3067681B1 (en)Method for operating an engine or power train test stand
EP2670644B1 (en)Method and device for monitoring the proper functioning of at least one first and a second component of a vehicle drive train
AT524086B1 (en) Test stand for testing a real test specimen in driving operation
DE102018131293A1 (en) Tire noise testing device and method
DE102007012545A1 (en)Mobile vehicle testing stand for competition vehicle i.e. kart, has simulation unit simulating actuation process of driver of vehicle to produce different driving and load conditions of vehicle during testing process
EP1253416A2 (en)Roller test bench for road vehicles
EP0433668B1 (en)Roller type test stand for combined testing of power and brakes of motor vehicles
DE102010040644A1 (en) Test bench and method for testing a brake system of a motor vehicle
EP2673610B1 (en)Method and device for simulating a body that is moved in a translational or rotational manner
EP1119757B1 (en)Method and device for simulating the mass of motor vehicles placed on stationary test stands
EP3631402B1 (en)Vehicle test stand and method for ascertaining a vehicle longitudinal acceleration
DE102006035502B3 (en)Test stand for checking performance of power transmission of motor vehicle, has drive supporting system reproduced with impact on brake of wheel, where braking torque is determined by brake demand of drive supporting system
DE102017124436B4 (en) Method for dynamic brake function testing on a mobile work machine and mobile work machine
DE19822037A1 (en)Automatic control equipment for electrical simulation of gyrating mass on test stands in automobile industry
DE2758117C2 (en) Method and device for testing motor vehicle brakes
EP1783474B1 (en)Hydraulic slip simulator and method of operating a hydraulic slip simulator
DE102015220986A1 (en) Output shaft sensor, test stand for a drive train of a motor vehicle and test method for a drive train of a motor vehicle
AT523048B1 (en) Device, reference vehicle with a device and method for evaluating and / or calibrating a test bench
DE102012009002A1 (en)Method for operating test bench for checking drivetrain of motor vehicle, involves using controller for operating test bench, where model of control system is supplied from output of internal model control controller

Legal Events

DateCodeTitleDescription
OP8Request for examination as to paragraph 44 patent law
R016Response to examination communication
R016Response to examination communication
R119Application deemed withdrawn, or ip right lapsed, due to non-payment of renewal fee

[8]ページ先頭

©2009-2025 Movatter.jp