Movatterモバイル変換


[0]ホーム

URL:


DE102005023714A1 - Projector for micro-lithographic process to manufacture integrated circuits, has projector lens aperture smaller than that of the light source - Google Patents

Projector for micro-lithographic process to manufacture integrated circuits, has projector lens aperture smaller than that of the light source
Download PDF

Info

Publication number
DE102005023714A1
DE102005023714A1DE200510023714DE102005023714ADE102005023714A1DE 102005023714 A1DE102005023714 A1DE 102005023714A1DE 200510023714DE200510023714DE 200510023714DE 102005023714 ADE102005023714 ADE 102005023714ADE 102005023714 A1DE102005023714 A1DE 102005023714A1
Authority
DE
Germany
Prior art keywords
aperture
illumination
mask
projection
projection lens
Prior art date
Legal status (The legal status is an assumption and is not a legal conclusion. Google has not performed a legal analysis and makes no representation as to the accuracy of the status listed.)
Withdrawn
Application number
DE200510023714
Other languages
German (de)
Inventor
Wolfgang Dr. Singer
Vladan Dr. Blahnik
Current Assignee (The listed assignees may be inaccurate. Google has not performed a legal analysis and makes no representation or warranty as to the accuracy of the list.)
Carl Zeiss SMT GmbH
Original Assignee
Carl Zeiss SMT GmbH
Priority date (The priority date is an assumption and is not a legal conclusion. Google has not performed a legal analysis and makes no representation as to the accuracy of the date listed.)
Filing date
Publication date
Application filed by Carl Zeiss SMT GmbHfiledCriticalCarl Zeiss SMT GmbH
Priority to DE200510023714priorityCriticalpatent/DE102005023714A1/en
Priority to JP2006136422Aprioritypatent/JP4425239B2/en
Priority to US11/436,058prioritypatent/US7684013B2/en
Publication of DE102005023714A1publicationCriticalpatent/DE102005023714A1/en
Withdrawnlegal-statusCriticalCurrent

Links

Classifications

Landscapes

Abstract

In a micro-lithographic process to manufacture integrated circuits an image is projected using a light source (12) that directs a beam (16) via a lens (18) and screen (20) system. The light source aperture (22) is NA 0. The projector has a projection lens (34) whose aperture (36) is at least NA OB1 and employs a mask (24) located between the light source (12) and projector lens (24). The image is directed at a substrate (38) and replicates the structures (26) represented by the mask (24). The projector lens (34) aperture NA OB1 is smaller than that of the light source (12) NA O aperture (22). Independent claims are included for : (1) a lighting unit; (2) a method for achieving improved resolving power in projection microlithography apparatus; and (3) a computer program product for optimizing the portions of the dark field for a projection microlithography apparatus.

Description

Translated fromGerman

DieErfindung betrifft eine Projektionsmikrolithographieanlage mit einerBeleuchtungseinheit, welche mindestens eine Lichtquelle, die einLichtbündelerzeugt, aufweist und eine Beleuchtungsoptik sowie ein Blendensystembesitzt, wobei die Beleuchtungseinheit eine Apertur NA0 besitzt,einem Projektionsobjektiv, welches mindestens eine erste AperturNAOB2 besitzt, einer Maske, die zwischenBeleuchtungseinheit und dem Projektionsobjektiv angeordnet ist,und einem Substrat, auf welches die in der Maske vorhandenen Strukturenabgebildet werden.The invention relates to a projection microlithography system having an illumination unit which has at least one light source which generates a light bundle and has illumination optics and a diaphragm system, the illumination unit having an aperture NA0 , a projection objective having at least one first aperture NAOB2 Mask, which is arranged between the illumination unit and the projection lens, and a substrate, on which the structures present in the mask are imaged.

DieErfindung betrifft außerdemeine Beleuchtungseinheit mit mindestens einer ersten Apertur NAOB1 eines Projektionsobjektives in einerProjektionsmikrolithographieanlage.The invention also relates to a lighting unit having at least one first aperture NAOB1 of a projection objective in a projectionmicrolithography apparatus.

DieErfindung betrifft ferner ein Verfahren zur Erzielung eines verbessertenAuflösungsvermögens einerderartigen Projektionsmikrolithographieanlage.TheThe invention further relates to a method for achieving an improvedResolving power of oneSuch Projektikmikrolithographieanlage.

DieErfindung betrifft außerdemein Computerprogramm zur Optimierung der Anteile des Dunkelfeldes für eine Projektionsmikrolithographieanlage.TheInvention also relatesa computer program for optimizing the dark field components for a projection microlithography system.

EineProjektionsmikrolithographieanlage, auch mikrolithographische Projektionsbelichtungsanlage genannt,ist beispielsweise aus derEP0 592 133 B1 bekannt und wird bei der Herstellung von beispielsweise elektronischenBauelementen, insbesondere integrierten Schaltkreisen, verwendet.Bei einem mikrolithographischen Herstellungsverfahren wird eineMaske, die üblicherweiseauch als Retikel bezeichnet wird, auf ein Substrat, welches üblicherweiseals Wafer bezeichnet wird, mittels eines Projektionsobjektivs abgebildet.Die Maske weist die abzubildenden Strukturen auf. Das Substrat weisteine lichtempfindliche Oberflächeauf, üblicherweiseeinen Photolack, der entsprechend den Strukturen der Maske belichtetwird. Nach dem Entwickeln des Photolacks entsteht die gewünschte Strukturauf dem Substrat.A projection microlithography system, also called a microlithographic projection exposure apparatus, is known, for example, from US Pat EP 0 592 133 B1 is known and used in the manufacture of, for example, electronic components, in particular integrated circuits. In a microlithographic manufacturing process, a mask, which is also commonly referred to as a reticle, is imaged onto a substrate, which is commonly referred to as a wafer, by means of a projection objective. The mask has the structures to be imaged. The substrate has a photosensitive surface, usually a photoresist, which is exposed in accordance with the structures of the mask. After developing the photoresist, the desired structure is formed on the substrate.

Dawährendeines Belichtungsvorgangs in den neueren, heute verwendeten Anlagennicht die gesamte Oberflächedes Substrats belichtet wird sondern nur jeweils ein Flächenabschnittdes Substrats, wird das Substrat von Zeit zu Zeit, d.h. schrittwei se,relativ zu einer optischen Achse des Projektionsobjektivs bewegt, umsukzessive die gesamte Oberflächedes Substrats zu belichten. Dieser Vorgang wird als "Step"-Vorgang bezeichnet.Therewhilean exposure process in the newer systems used todaynot the entire surfacethe substrate is exposed but only one surface sectionof the substrate, the substrate will from time to time, i. step by step,moved relative to an optical axis of the projection lens tosuccessively the entire surfaceto expose the substrate. This process is called a "step" process.

DasSubstrat ist hierzu auf einem Tisch angeordnet, der mittels einesSchrittmotors schrittweise bewegbar ist.TheSubstrate is arranged on a table, which by means of aStepper motor is gradually movable.

DieAbbildung der Strukturen der Maske erfolgt, indem aus einer Beleuchtungseinheitaustretendes Licht durch die Maske fällt, wobei das Licht an denLinien und Zwischenräumender Struktur der Maske in mehrere Ordnungen (0-te, 1-te, 2-te usw.)gebrochen wird. Zur perfekten Rekombination des Bildes durch dasProjektionsobjektiv ist es erforderlich, dass alle Ordnungen durchdas Projektionsobjektiv erfasst werden.TheIllustration of the structures of the mask is done by a lighting unitExiting light through the mask falls, the light to theLines and spacesthe structure of the mask in several orders (0th, 1st, 2nd, etc.)is broken. For the perfect recombination of the picture through theProjection lens, it is necessary that all orders throughthe projection lens are detected.

DasProjektionsobjektiv, auch als Projektionslinse bezeichnet, weistaber keine unendlich großeEintrittsöffnung,genannt objektseitige Apertur, auf, sondern eine begrenzende Apertur.Die objektseitige Apertur entspricht dem Akzeptanzwinkel des Projektionsobjektivs,dem Winkel, unter dem Lichtstrahlen, die auf die Projektionslinsetreffen, durch diese abgebildet werden. Die anderen Lichtstrahlen,die außerhalbdes Akzeptanzwinkels liegen, gehen für die Bildung des Bildes verloren.Dies führtzu einer Beeinflussung des Kontrastes. Das Bild ist dann wenigerscharf als das ideale Bild.TheProjection lens, also referred to as a projection lens, pointsbut not infinitely largeInlet opening,called the object-side aperture, but a limiting aperture.The object-side aperture corresponds to the acceptance angle of the projection objective,the angle, under the light rays, on the projection lensmeet, be imaged by them. The other rays of light,the outsidethe acceptance angle are lost for the formation of the image.this leads toto influence the contrast. The picture is then lesssharp as the ideal picture.

AufGrund der zunehmenden Integrationsdichte der mikrolithographischherzustellenden elektronischen Bauelemente steigen die Anforderungenan das Auflösungsvermögen derProjektionsmikrolithographieanlage. Als Auflösungsvermögen wird die Trennung von benachbartenStrukturen bezeichnet.OnReason for the increasing density of integration of the microlithographicto be manufactured electronic components increase the requirementsat the resolution of theProjection microlithography apparatus. As resolving power is the separation of adjacentStructures referred to.

Esist allgemein bekannt, einfache periodische Objekte derart abzubilden,dass eine der Struktur der Objekte angepasste Beleuchtung eine ideale,kontrastreiche Abbildung erzielt. Sollen jedoch mehrere Objekte oderkomplexere Objekte abgebildet werden, so können optimale Abbildungsbedingungenbisher nicht füralle Objekte teils gleichzeitig erreicht werden.Itis well known to map simple periodic objects suchthat lighting adapted to the structure of the objects is an ideal,high-contrast picture achieved. But if you want to have multiple objects orcan be mapped to more complex objects, so can optimal imaging conditionsnot yet forall objects can be reached partly simultaneously.

ImStand der Technik werden im Allgemeinen die verschiedenen Objektstrukturenhintereinander mittels verschiedener Masken abgebildet. Hierbeiwerden fürjede Maske optimierte strukturangepasste Beleuchtungen eingesetzt.Nachteilig ist hierbei, dass mehrere Masken angefertigt werden müssen unddie Herstellung der elektronischen Bauelemente in mehreren Prozessschrittenerfolgen muss. Dies verursacht hohe Kosten.In the prior art, the various object structures generally follow one another Masks of different masks shown. In this case, optimized structure-adapted illuminations are used for each mask. The disadvantage here is that multiple masks must be made and the production of electronic components must be done in several process steps. This causes high costs.

Eineandere Möglichkeitzur Abbildung von komplexen Objektiven besteht darin, einen Kompromiss derAbbildungsbedingungen zu finden, der im Mittel über alle Objekte teils einehohe Abbildungsqualitätliefert, wie beispielsweise in derEP 0 562 133 B1 beschrieben. Die Erhöhung desAuflösungsvermögens kannauf verschiedenen Wegen erreicht werden: Verwendung kürzerer Wellenlängen, höherer AperturenNA und so genannter Phasenschiebermasken.Another possibility for imaging complex objectives is to find a compromise of the imaging conditions, which on average provides a high imaging quality over all objects, such as in the EP 0 562 133 B1 described. The increase in resolution can be achieved in several ways: using shorter wavelengths, higher NA apertures, and so-called phase shift masks.

InderEP 0 562 133 B1 werdeneine Vorrichtung und ein Verfahren offenbart, in denen das Auflösungsvermögen dadurchverbessert wird, indem eine schrägeBeleuchtung der Strukturen in der Maske verwendet wird und somiteine inkohärente Überlagerungvon zwei oder mehreren Bildern erzielt wird. Hierbei wird ein Raumfilterverwendet mit einer verminderten Durchlässigkeit für die 0-te Beugungsordnung.In the EP 0 562 133 B1 discloses an apparatus and method in which the resolving power is improved by using an oblique illumination of the structures in the mask and thus achieving incoherent superposition of two or more images. In this case, a spatial filter is used with a reduced transmittance for the 0th diffraction order.

Nachteilighierbei ist, dass die ideale Auflösungsgrenze von k1 =0,25 nicht erreicht wird. Die Auflösungsgrenze ist dabei gegebendurch die so genannte kritische Dimension (CD) mitCD= k1λ/NA,wobei λ die verwendeteWellenlängein der Projektionsmikrolithographieanlage ist und NA die numerische Aperturdes Systems.The disadvantage here is that the ideal resolution limit of k1 = 0.25 is not reached. The resolution limit is given by the so-called critical dimension (CD) with CD = k 1 λ / NA, where λ is the wavelength used in the projection microlithography system and NA is the numerical aperture of the system.

Aufgabeder Erfindung ist es daher, die im Stand der Technik auftretendenNachteile zu vermeiden.taskThe invention therefore is that occurring in the prior artTo avoid disadvantages.

Insbesondereist es die Aufgabe der vorliegenden Erfindung, sehr kleine Änderungenin den abzubildenden Strukturen auf das Substrat abzubilden.EspeciallyIt is the object of the present invention to make very small changesin the structures to be imaged onto the substrate.

Erfindungsgemäß wird dieAufgabe hinsichtlich der eingangs genannten Projektionsmikrolithographieanlagedadurch gelöst,dass die mindestens eine erste Apertur NAOB1 desProjektionsobjektivs kleiner als die Apertur NA0 derBeleuchtungseinheit ist.According to the invention, the object with regard to the aforementioned projection microlithography system is achieved in that the at least one first aperture NAOB1 of the projection objective is smaller than the aperture NA0 of the illumination unit.

Dadurch,dass die Apertur NA0, also die Apertur derBeleuchtungseinheit, größer istals die erste Apertur NAOB1,also die objektseitige Apertur des Projektionsobjektivs, werdensowohl Hellfeldanteile als auch Dunkelfeldanteile zur Beleuchtungder Maske verwendet. Durch die Verwendung von Dunkelfeldanteilenwerden Bildintensitäten überhöht, so dasses zu einem besseren Kontrast der abgebildeten Strukturen auf demWafer kommt.Because the aperture NA0 , that is to say the aperture of the illumination unit, is larger than the first aperture NA0B1 , ie the object-side aperture of the projection objective, both bright-field components and dark-field components are used to illuminate the mask. The use of dark field components increases image intensities, resulting in a better contrast of the imaged structures on the wafer.

Idealerweisewerden die Dunkelfeldanteile derart verwendet, dass sie ausschließlich zurIntensitätbestimmter Objektdetails beitragen, jedoch zu anderen Objektdetailsso angeordnet sind, dass zu jenen keine oder nur schwach ausgebildeteBeugungsordnungen an der Bildentstehung beitragen.Ideallythe dark field portions are used so that they exclusively forintensitycontribute to certain object details, but to other object detailsare arranged so that to those no or only weakly trainedDiffraction orders contribute to the image formation.

Diesist vorteilhaft, da nur eine Maske in der Projektionsmikrolithographieanlageverwendet werden kann und somit Kosten für mehrere Masken gespart werden,sowie Prozessschritte eingespart werden können.Thisis advantageous because only a mask in the projection microlithographycan be used and thus costs for several masks can be savedas well as process steps can be saved.

Ineinem bevorzugten Ausführungsbeispielweist das Projektionsobjektiv zusätzlich zur mindestens einenersten Apertur NAOB1 eine zweite AperturNAOB2 auf, wobei die zweite Apertur NAOB2 größer istals die Apertur NA0 der Beleuchtungseinheit.In a preferred exemplary embodiment, in addition to the at least one first aperture NAOB1 , the projectionobjective has a second aperture NAOB2 , wherein the second aperture NAOB2 is greater than the aperture NA0 of the illumination unit.

Diezweite Apertur NAOB2 wird auch als bildseitigeApertur bezeichnet.The second aperture NAOB2 is also referred to as the image-side aperture.

Ineinem weiteren bevorzugten Ausführungsbeispielbesitzt die die Apertur NA0 der Beleuchtungseinheitden 1,5-fachen Durchmesser der ersten Apertur NAOB1 desProjektionsobjektivs.In a further preferred embodiment, the aperture NA0 of the illumination unit has 1.5 times the diameter of the first aperture NAOB1 of the projection objective.

Hierbeibeträgtdas Verhältnisder Fläche,die durch die Apertur der Beleuchtungseinheit gegeben ist, und derFläche,die durch die Apertur des Projektionsobjektivs gegeben ist, 2,25.Die Flächedes Dunkelfeldanteils errechnet sich aus der Differenz der Fläche derApertur der Beleuchtungseinheit und der Fläche gegeben durch die Aperturdes Projektionsobjektivs.Here, the ratio of the area given by the aperture of the illumination unit and the area given by the aperture of the projection lens is 2.25. The area of the dark field component is calculated from the difference between the area of the aperture of the illumination unit and the area gege through the aperture of the projection lens.

Ineinem weiteren bevorzugten Ausführungsbeispielbesitzt die Apertur NA0 der Beleuchtungseinheit den2-fachen Durchmesser der ersten Apertur NAOB1 desProjektionsobjektivs.In a further preferred embodiment, the aperture NA0 of the illumination unit has twice the diameter of the first aperture NAOB1 of the projection objective.

Hierbeiist das Verhältnisder Fläche,die durch die Beleuchtungsapertur NA0 gegebenist, viermal so groß wiedas Verhältnisder Flächedurch die Apertur NAOB1 des Projektionsobjektivs.Der Dunkelfeldanteil ist entsprechend größer. Er beträgt dreiViertel der Fläche,die durch die Apertur der Beleuchtungseinheit gegeben ist.Here, the ratio of the area given by the illumination aperture NA0 is four times as large as the ratio of the area through the aperture NAOB1 of the projection lens. The darkfield portion is correspondingly larger. It is three quarters of the area given by the aperture of the lighting unit.

Ineinem weiteren bevorzugten Ausführungsbeispielbesitzt die Apertur NA0 der Beleuchtungseinheit den3-fachen Durchmesser der ersten Apertur NAOB1 desProjektionsobjektivs.In a further preferred embodiment, the aperture NA0 of the illumination unit has 3 times the diameter of the first aperture NAOB1 of the projection objective.

Hierbeibeträgtdas Verhältnisder Flächender Apertur NAO der Beleuchtungseinheitund der Apertur NAOB2 des Projektionsobjektivsden Faktor 9. Die Flächefür denDunkelfeldanteil ist zweimal so groß wie die Fläche derApertur NAOB1 des Projektionsobjektivs,also der Flächedes Hellfeldanteils. Somit ist die Größe des Dunkelfeldanteils größer alsdie Größe des Hellfeldanteils.Here, the ratio of the areas of the aperture NAO of the illumination unit and the aperture NAOB2 of the projection lens is the factor 9. The area for the dark field component is twice as large as the area of the aperture NAOB1 of the projection lens, ie the area of the bright field component. Thus, the size of the dark field component is greater than the size of the bright field component.

Ineinem weiteren bevorzugten Ausführungsbeispielist die Maske aus mindestens zwei Richtungen α1 und α2 relativzur optischen Achse beleuchtbar, wobei sin α1 beziehungsweisesin α2 die Position relativ zur optischen Achsebestimmt, und es gilt sin α1 > NA0 und/oder sin α2 < NA0.In a further preferred embodiment, the mask can be illuminated from at least two directions α1 and α2 relative to the optical axis, where sin α1 or sin α2 determines the position relative to the optical axis, and sin α1 > NA0 and / or sin α2 <NA0 .

Hierbeikann die Beleuchtung mit Hellfeld- und die Beleuchtung mit Dunkelfeldanteilenrealisiert werden. Dies ist vorteilhaft zur Abbildung von Phasenstrukturenund normalen Strukturen. Hierbei werden die Phasenstrukturen mitdem Dunkelfeld-Beleuchtungsanteilabgebildet, und die konventionellen Strukturen mit dem Hellfeldanteil.Beide Beleuchtungsanteile sind dann weitgehend entkoppelt, das heißt sie beeinflussensich weitgehend nicht.in this connectionThe lighting can be brightfield and darkfield lightingwill be realized. This is advantageous for imaging phase structuresand normal structures. Here, the phase structures withthe dark field illumination portionand the conventional structures with the bright field component.Both lighting components are then largely decoupled, that is they influencelargely not.

Dieder Erfindung zugrunde liegende Aufgabe wird ferner hinsichtlichder eingangs genannten Beleuchtungseinheit für eine Projektionsmikrolithographieanlagedadurch gelöst,dass eine Apertur NA0 der Beleuchtungseinheitgrößer istals die mindestens eine erste Apertur NAOB1 desProjektionsobjektivs.The object underlying the invention is further achieved with respect to the illumination unit for a projection microlithography system mentioned above in that an aperture NA0 of the illumination unit is larger than the at least one first aperture NAOB1 of the projection objective.

Dieder Erfindung zugrunde liegende Aufgabe wird ferner hinsichtlichdes eingangs genannten Verfahrens dadurch gelöst, dass eine objektangepassteBeleuchtung mit Dunkelfeldanteilen bei der Beleuchtung einer Maskeund somit der Abbildung der Strukturen der Maske auf ein Substratverwendet wird.TheThe object underlying the invention is further in termsof the above-mentioned method achieved in that an object-adaptedIllumination with dark field components when lighting a maskand thus the mapping of the structures of the mask onto a substrateis used.

DieVerwendung von Dunkelfeldanteilen führt vorteilhafterweise zu einerErhöhungder Intensitätzu schwach ausgebildeter Details der Strukturen. Vorteilhafterweisewird dies erreicht, indem fürdie Beleuchtungseinheit Aperturen verwendet werden, die größer sindals die eingangsseitige Apertur des Projektionsobjektivs. Es wirdgezielt die Bildintensitätunterschiedlicher Strukturen beeinflusst, so dass auch bei einfachen undkostengünstigenMasken ein hoher effektiver Kontrast für alle Details in den Maskenstrukturenerreicht werden kann.TheUse of dark field components advantageously leads to aincreasethe intensitytoo weakly formed details of the structures. advantageously,this is achieved by forThe illumination unit uses apertures that are largeras the input side aperture of the projection lens. It willspecifically the image intensityinfluenced by different structures, so that even in simple andinexpensiveMasks a high effective contrast for all details in the mask structurescan be achieved.

Dunkelfeld-Beleuchtungzeichnet sich durch die Bedingung aus, dass σaus > 1 ist. Hierdurch ergibtsich die Tatsache, dass bei Dunkelfeld-Beleuchtung keine Beugung0-ter Ordnung in der Bildebene, hier auf der Oberfläche desSubstrates, erscheint.Dark field illumination is characterized by the condition that σ isfrom> first This results in the fact that in dark field illumination no 0th-order diffraction appears in the image plane, here on the surface of the substrate.

Ineiner bevorzugten Ausgestaltung des Verfahrens werden für eine bestimmteStruktur der Maske die Dunkelfeldanteile bestimmt, welche die Bildintensität aus demkonventionellen Hellfeldanteil überhöhen.InA preferred embodiment of the method are for a particularStructure of the mask determines the dark field parts, which the image intensity from theexcessive conventional bright field component.

Werdendie notwendigen Dunkelfeldanteile für die Maske bestimmt, kanngezielt der Anteil der Dunkelfeld-Beleuchtung auf die jeweiligeMaske, beziehungsweise die Struktur der Maske abgestimmt werden.Es wird gezielt eine Überhöhung derBildintensitätaus dem konventionellen Hellfeldanteil erreicht. In der Ausführung derProjektionsmikrolithographieanlage wird dies durch eine Anpassungdes Durchmessers der Apertur NA0 erreicht.Dieser kann beispielsweise 1,5, 2 oder 3 mal so groß sein wieder Durchmesser der ersten Apertur des Projektionsobjektivs NAOB1.If the necessary dark field components for the mask are determined, the proportion of the dark field illumination can be tailored to the respective mask or the structure of the mask. It is specifically achieved an increase in image intensity from the conventional bright field component. In the embodiment of the projection microlithography system, this is achieved by adjusting the diameter of the aperture NA0 . This may be, for example, 1.5, 2 or 3 times the diameter of the first aperture of the projection objective NAOB1 .

Ineiner weiteren bevorzugten Ausgestaltung des Verfahrens werden imInterferenzmuster aus der n-ten und (n + 1-ten) Beugungsordnungaus dem Hellfeld Interferenzmuster aus der (n+1-ten) und (n + 2-ten) Ordnung des Dunkelfeldes überlagert.Ina further preferred embodiment of the method are inInterference pattern of the nth and (n + 1th) diffraction orderfrom the bright field superimposed interference pattern of the (n + 1) and (n + 2) order of the dark field.

Hierdurchwerden die Flanken fürdie abzubildenden Strukturen der Maske steiler. Dies führt zu einer geringerenAbweichung des gewünschtenAuflösungsvermögens, alsoder Strukturen, die aufgelöstwerden können.herebybe the flanks forthe structures of the mask to be imaged steeper. This leads to a lower oneDeviation of the desiredResolution, sothe structures that dissolvedcan be.

Ineiner weiteren bevorzugten Ausgestaltung des Verfahrens werden Phasenstrukturenund normale Strukturen abgebildet, wobei zur Abbildung der Phasenstrukturendie Dunkelfeldanteile verwendet werden, und zur Abbildung der normalenStrukturen die Hellfeldanteile.InAnother preferred embodiment of the method becomes phase structuresand normal structures, where for mapping the phase structuresthe dark field portions are used, and for mapping the normalStructures the bright field components.

DaHellfeld und Dunkelfeld jeweils andere Strukturen abbilden, sindsie weitgehend entkoppelt und beeinflussen sich nicht. VertikaleStrukturen werden beispielsweise durch Hellfeld-Beleuchtung abgebildet, also durch Beugung0-ter und 1-ter Ordnung, horizontale Strukturen beispielsweise durchdie Dunkelfeld-Beleuchtung, also durch symmetrische Interferenzaus der 1-ten und 3-ten Beugungsordnung.ThereBright field and dark field each represent other structures arethey largely decoupled and do not influence each other. verticalStructures are imaged, for example, by bright field illumination, ie by diffraction0th and 1st order, horizontal structures for example bythe dark field illumination, ie by symmetrical interferencefrom the 1st and 3rd order of diffraction.

Ineiner weiteren bevorzugten Ausgestaltung des Verfahrens werden zurBestimmung der Hellfeld- und Dunkelfeldanteile der Beleuchtungsanlagedie Hellfeld- und die Dunkelfeldanteile der Beleuchtungseinheit durchcomputerunterstützteOptimierung bestimmt.Ina further preferred embodiment of the method are forDetermination of bright field and dark field components of the lighting systemthe brightfield and darkfield portions of the lighting unitcomputer-aidedOptimization determined.

Esist vorteilhaft, die Bestimmung der Beleuchtungsanteile des Hellfeldesund des Dunkelfeldes beispielsweise iterativ, durch computerunterstützte Optimierungzu bestimmen.Itis advantageous, the determination of the illumination components of the bright fieldand the darkfield, for example, iteratively, through computer-aided optimizationto determine.

Vorzugsweisewerden füreine bestimmte Maskenstruktur die Dunkelfeld-Beleuchtungsanteilezunächstbestimmt, welche die gewünschteBildintensitätaus dem konventionellen Hellfeldanteil überhöhen. Es ist also die gezielteErhöhungder Intensitätzu schwach ausgebildeter Bilddetails durch die Bestimmung der Beleuchtungsanteileaus dem Dunkelfeld ermöglicht.Die so erhaltene Auflösungwird mit der gewünschten Auflösung vergli chen.Festgestellte Abweichungen führenzu einer genaueren Bestimmung des Dunkelfeldanteils usw. Die erhaltenenWerte werden jeweils in einem Datenfeld erfasst und mittels Computerprogrammoptimiert. Es handelt sich hierbei vorzugsweise um einen interaktivenProzess.Preferablybe fora particular mask structure the dark field illumination portionsfirstdetermines which one you wantimage intensityovershoot from the conventional bright field component. So it's the targeted oneincreasethe intensitytoo poorly formed image details by determining the lighting proportionsout of the dark field.The resolution thus obtainedis compared with the desired resolution.Determined deviations leadto a more accurate determination of the dark field portion, etc. The obtainedValues are each recorded in a data field and by computer programoptimized. This is preferably an interactive oneProcess.

Erfindungsgemäß wird außerdem einComputerprogramm zur Optimierung der Anteile des Dunkelfeldes für eine erfindungsgemäße Projektionsmikrolithographieanlagebereitgestellt.According to the invention is also aComputer program for optimizing the portions of the dark field for a projection microlithography apparatus according to the inventionprovided.

Hierbeiist vorteilhaft, dass die Intensität der abzubildenden Detailsder Strukturen der Maske gezielt gesteuert wird. Hierdurch ist danndie gewünschteSteilheit der Flanken der Strukturen erreichbar.in this connectionIt is advantageous that the intensity of the details to be imagedthe structures of the mask is controlled specifically. This is thenthe desiredSlope of the flanks of the structures achievable.

WeitereVorteile und Merkmale ergeben sich aus der nachfolgenden Beschreibungund der beigefügtenZeichnung.FurtherAdvantages and features will become apparent from the following descriptionand the attachedDrawing.

Esversteht sich, dass die vorstehend genannten und die nachstehendnoch zu erläuterndenMerkmale nicht nur in der jeweils angegebenen Kombination, sondernauch in anderen Kombinationen oder in Alleinstellung verwendbarsind, ohne den Rahmen der vorliegenden Erfindung zu verlassen.Itit is understood that the above and the followingyet to be explainedFeatures not only in the specified combination, butalso usable in other combinations or aloneare without departing from the scope of the present invention.

Ausführungsbeispieleder Erfindung sind in der Zeichnung dargestellt und werden mit Bezugauf diese hiernach näherbeschrieben. Es zeigen:embodimentsThe invention are illustrated in the drawings and with referencecloser to thisdescribed. Show it:

1 eine äußerst schematischeGesamtdarstellung einer Projektionsmikrolithographieanlage in einerSeitenansicht; 1 a very schematic overall view of a projection microlithography system in a side view;

2 Hopkins-Transferfunktion:linke Seite: Hellfeld-Beleuchtung,rechte Seite: Dunkelfeld-Beleuchtung; 2 Hopkins transfer function: left side: bright field illumination, right side: dark field illumination;

3 aneinem Beispiel die Überlappungsfläche für konventionelleHellfeld-Beleuchtung in einer mikrolithographischen Projektionsbelichtungsanlage; 3 as an example, the overlap area for conventional brightfield illumination in a microlithographic projection exposure machine;

4 einegraphische Darstellung der Anteile der Hellfeld-TCC'sniedrigster Ordnung füreine unendlich ausgedehnte Lichtquelle; 4 a plot of the lowest order bright field TCC's for an infinitely extended light source;

5 einegraphische Darstellung der Anteile des Dunkelfeld-TCC's niedrigster Ordnung; 5 a plot of the lowest order dark field TCC's;

6 einegraphische Darstellung der Dicke der belichteten Schicht als Funktionvon verschiedenen Intensitäten; 6 a graphical representation of the thickness of the exposed layer as a function of different intensities;

7 Beugungsanordnungenfür Strukturenin der Apertur NAOB des Projektionsobjektivs; 7 Diffraction arrangements for structures in the aperture NAOB of the projection lens;

8 Positionender Lichtquelle einer idealen Beleuchtungseinheit, und Beugungsanordnungin einer Projektionsmikrolithographieanlage; 8th Positions of the light source of an ideal illumination unit, and diffraction arrangement in a projection microlithography apparatus;

9 Dunkelfeldabbildungdurch symmetrische Interferenz aus 1-ter und 3-ter Beugungsordnung; 9 Dark field image due to symmetrical interference of the 1st and 3rd diffraction order;

10 Beleuchtungseinheitfür eineProjektionsmikrolithographieanlage mit Hellfeld- und Dunkelfeld-Beleuchtung. 10 Illumination unit for a projection microlithography system with brightfield and darkfield illumination.

In1 isteine insgesamt mit dem Bezugszeichen10 versehene Projektionsmikrolithographieanlage,auch genannt mikrolithographische Projektionsbelichtungsanlage,schematisch dargestellt.In 1 is an overall reference numeral 10 provided Projektionsmikrolithographieanlage, also called microlithographic projection exposure system, shown schematically.

DieProjektionsbelichtungsanlage10 weist eine Beleuchtungseinheit12 auf,die eine Beleuchtungsquelle14, beispielsweise einen Laserzur Erzeugung eines Lichtbündels16,eine Beleuchtungsoptik18 sowie eine Blende20 aufweist.Die Wellenlängedes Lichtbündelsbeträgttypischerweise 193 nm, 248 nm oder 365 nm; Wellenlängen von13,5 nm sind ebenfalls vorgesehen. Hierbei sind die Beleuchtungsoptik18 unddie Blende20 lediglich in einer sehr vereinfachten undbeispielhaften Ausgestaltung dargestellt.The projection exposure machine 10 has a lighting unit 12 on, which is a source of illumination 14 , For example, a laser for generating a light beam 16 , an illumination optics 18 as well as an aperture 20 having. The wavelength of the light beam is typically 193 nm, 248 nm or 365 nm; Wavelengths of 13.5 nm are also provided. Here are the illumination optics 18 and the aperture 20 shown only in a very simplified and exemplary embodiment.

DieBeleuchtungseinheit12 weist eine Austrittsöffnung22 auf,durch die das Licht die Beleuchtungseinheit12 verlässt. Dienumerische Apertur NA0 der Beleuchtungseinrichtung12 istdurch die Beleuchtungsoptik18 bestimmt, die beispielsweiseeinen Kondensor aufweisen kann. Die numerische Apertur NA0 ist durch die folgende Gleichung gegeben:NA0 = n × sin θmax,wobei θmax den maximalen Öffnungswinkel in der auszuleuchtendenEbene, der durch die Beleuchtungseinheit12 gegeben ist,bezeichnet.The lighting unit 12 has an outlet opening 22 on, through which the light is the lighting unit 12 leaves. The numerical aperture NA0 of the illumination device 12 is through the lighting optics 18 determined, which may for example have a condenser. The numerical aperture NA0 is given by the following equation: N / A 0 = n × sin θ m ax . where θmax is the maximum opening angle in the plane to be illuminated, that of the illumination unit 12 is given called.

DerBeleuchtungseinheit12 ist in Richtung der Ausbreitungdes Lichtbündels16 eineMaske24 nachgeordnet, die, wie mit26 angedeutet,mit einer Strukturierung versehen ist. Die Maske24, dieauch als Retikel bezeichnet wird, ist auf einem Halter28 fixiert,wobei der Halter28 und damit die Maske24 gemäß einemDoppelpfeil30 in einer Richtung quer zu einer optischenAchse32 beweglich ist. Über einen nicht dargestellten Antriebist der Halter28 zusammen mit der Maske24 verfahrbar.The lighting unit 12 is in the direction of the spread of the light beam 16 a mask 24 downstream, which, as with 26 indicated, provided with a structuring. The mask 24 , which is also referred to as a reticle, is on a holder 28 fixed, the holder 28 and with it the mask 24 according to a double arrow 30 in a direction transverse to an optical axis 32 is mobile. About a drive, not shown, is the holder 28 together with the mask 24 traversable.

DieMaske24 ist typischerweise eine Maske mit fixen Strukturen,es könnenaber auch schaltbare Masken eingesetzt werden. Schaltbare Maskensind beispielsweise als Mikrospiegelarrays (digital micro-mirrordevice – DMD)realisierbar.The mask 24 is typically a mask with fixed structures, but switchable masks can also be used. Switchable masks can be realized, for example, as micromirror arrays (digital micro-mirror device - DMD).

DasLichtbündel16 isthier exemplarisch als paralleles Bündel dargestellt, wobei essich sowohl um kohärentes,teilweise kohärentesoder inkohärentesLicht handeln kann. Der Kohärenzgradder Beleuchtung wird dabei gemeinhin durch den maximalen Öffnungswinkel θmax beziehungsweise der NA0 bestimmt,die bei konventionellen Projektionsbelichtungsgeräten etwa95% der numerischen Apertur eines Projektionsobjektives34 beträgt.The light beam 16 is exemplified here as a parallel bundle, which can be either coherent, partially coherent or incoherent light. The degree of coherence of the illumination is generally determined by the maximum opening angle θmax or the NA0 , which in conventional projection exposure apparatuses is about 95% of the numerical aperture of a projection objective 34 is.

Weiterin Richtung der Ausbreitung des Lichtbündels16 ist der Maske24 dasProjektionsobjektiv34 nachgeordnet. Das Projektionsobjektiv34 weisteine Mehrzahl nicht näherdargestellter optischer Bauelemente auf. Diese optischen Bauelementekönnenausschließlichrefraktiver Art, ausschließlichreflektiver Art oder eine Kombination aus refraktiven und reflektivenBauelementen sein. Zusätzlichsind ferner diffraktive Elemente vorstellbar.Continue in the direction of the spread of the light beam 16 is the mask 24 the projection lens 34 downstream. The projection lens 34 has a plurality of non-illustrated optical components. These optical components can be exclusively of a refractive nature, exclusively of a reflective nature or a combination of refractive and reflective components. In addition, diffractive elements are also conceivable.

DasProjektionsobjektiv34 weist im Allgemeinen mindestenseinen Öffnungs-oder Akzeptanzwinkel auf der als objektseitige Apertur NAOB136 bezeichnet wird. Die numerischeApertur NAOB des Projektionsobjektivs istallgemein durch die BeziehungNAOB = n × sin ϕmaxgegeben,
wobei ϕmax der maximale Öffnungswinkel eines Lichtbüschels inder Objektebene ist, welches das Projektionsobjektiv34 passierenkann und somit zur Bildentstehung in einer Bildebene des Projektionsobjektives34,im Allgemeinen der Ebene eines Substrats38, beiträgt.
The projection lens 34 generally has at least one opening or acceptance angle on the object-side aperture NAOB1 36 referred to as. The numerical aperture NAOB of the projection lens is generally defined by the relationship N / A O B = n × sin φ Max given
where φmax is the maximum opening angle of a light pencil in the object plane, which is the projection lens 34 can happen and thus the image formation in an image plane of the projection lens 34 , generally the plane of a substrate 38 , contributes.

Dienumerische Apertur NAOB des Projektionsobjektivs34 weisteine objektseitige Apertur NAOB136 auf,sowie eine zweite Apertur NAOB2, die alsbildseitige Apertur bezeichnet wird. Das Projektionsobjektiv34 weistalso zusätzlichzur ersten Apertur NAOB136 aucheine zweite Apertur NAOB2 auf, wobei erfindungsgemäß gilt NAOB2 > NA0.The numerical aperture NAOB of the projection objective 34 has an object-side aperture NAOB1 36 and a second aperture NAOB2 , which is referred to as the image-side aperture. The projection lens 34 thus has in addition to the first aperture NAOB1 36 also has a second aperture NAOB2 , wherein, according to the invention, NAOB2 > NA0 .

Mittelsdes Projektionsobjektivs34 wird die Maske24,genauer gesagt deren Strukturierung26, auf das Substrat38 abgebildet,das eine lichtempfindliche Oberfläche40 aufweist. Dielichtempfindliche Oberfläche40 istbeispielsweise ein Photolack, der auf das Substrat38 aufgebrachtist. Die lichtempfindliche Oberfläche40 des Substrats38 isteiner Endfläche42 desProjektionsobjektivs34 zugewandt.By means of the projection lens 34 becomes the mask 24 , more precisely their structuring 26 , on the substrate 38 imaged a photosensitive surface 40 having. The photosensitive surface 40 For example, a photoresist is applied to the substrate 38 is applied. The photosensitive surface 40 of the substrate 38 is an endface 42 of the projection lens 34 facing.

DasSubstrat38 ist auf einem Tisch44 angeordnet,der auf einer Basis46 in einer Richtung quer zur optischenAchse32 gemäß einemDoppelpfeil48 relativ zu dem Projektionsobjektiv34 bewegbarist.The substrate 38 is on a table 44 arranged on a base 46 in a direction transverse to the optical axis 32 according to a double arrow 48 relative to the projection lens 34 is movable.

DasSubstrat38 wird bei der mikrolithographischen Herstellungvon elektronischen Bauelementen, beispielsweise integrierten Schaltungen,als Wafer bezeichnet.The substrate 38 is referred to in the microlithographic production of electronic components, such as integrated circuits, as a wafer.

ImBelichtungsbetrieb der Projektionsbelichtungsanlage10 trittdas von der Beleuchtungsquelle14 erzeugte Lichtbündel16 durchdie Maske24 und durch das Projektionsobjektiv34 hindurch,so dass die Strukturierung26 der Maske24 mittelsdes Projektionsobjektivs34 auf die lichtempfindliche Oberfläche40 desSubstrats38 abgebildet wird.In the exposure mode of the projection exposure apparatus 10 this occurs from the illumination source 14 generated light bundles 16 through the mask 24 and through the projection lens 34 through, so the structuring 26 the mask 24 by means of the projection lens 34 on the photosensitive surface 40 of the substrate 38 is shown.

Umdie gesamte Flächeder Maske24 auf der lichtempfindlichen Oberfläche40 abzubilden,wird die Maske24 in einem "Step-and-Scan"-Vorgang oder einemsog. "Step"-Vorgang beleuchtet.Dabei wird der Gesamtbereich der Maske24 beispielsweiseschrittweise oder scannend beleuchtet, d.h. die Maske24 wirdkontinuierlich durch das von der Blende20 begrenzte Lichtbündel16 hindurchbewegt. Der Tisch44 mit dem Substrat38 daraufwird währendder Belichtung mit Hilfe eines hier nicht dargestellten Schrittmotorssynchron bewegt. Damit wird die gesamte Oberfläche40 des Substrats38 sukzessivemit dem Lichtbündel16 belichtet.To the entire area of the mask 24 on the photosensitive surface 40 Imagine is the mask 24 illuminated in a "step-and-scan" process or a so-called "step" process. This will be the total area of the mask 24 For example, illuminated stepwise or by scanning, ie the mask 24 is continuously through that of the aperture 20 limited light bundles 16 moved through. The table 44 with the substrate 38 it is moved synchronously during exposure by means of a stepper motor, not shown here. This will make the entire surface 40 of the substrate 38 successively with the light beam 16 exposed.

Erfindungsgemäß zeichnetsich die Projektionsbelichtungsanlage10 dadurch aus, dassdie Apertur NA022 der Beleuchtungseinheit12 größer istals die erste Apertur NAOB136 desProjektions objektivs34. Dadurch wird sowohl eine Hellfeld-Beleuchtungals auch eine Dunkelfeld-Beleuchtung der Maske24 und desProjektionsobjektivs34 erreicht.According to the invention, the projection exposure system is characterized 10 in that the aperture NA0 22 the lighting unit 12 is greater than the first aperture NAOB1 36 of the projection lens 34 , As a result, both a bright field illumination and a dark field illumination of the mask 24 and the projection lens 34 reached.

Für die ersteApertur NAOB1 und die zweite Apertur NAOB2 des Projektionsobjektivs34 giltdie folgende Beziehung:NAOB1 < NAO < NAOB2.For the first aperture NAOB1 and the second aperture NAOB2 of the projection objective 34 the following relationship applies: N / A OB1 <NA O <NA OB2 ,

Dain der Herstellung von elektronischen Bauelementen durch das mikrolithographischeHerstellungsverfahren die Strukturen auf den verwendeten Maskennur kleine Änderungenin der abgebildeten Linienbreite aufweisen, ist es oft notwendig,auf dem Substrat eine lichtempfindliche Oberfläche mit hohen Kontrasteigenschafteneinzusetzen und eine Optik mit großem "Image-log-slope" zu verwenden. Unter Image-log-slopeist hierbei die Steigung der Intensitätsverteilung des Bildes einerStruktur der Maske auf der Oberfläche des Substrates40 zuverstehen. Die Steigung ist ein Maß für die Empfindlichkeit des Photolacksauf die Beleuchtungsdosis oder die Fokussierung. Allgemein gesagtist der Image-log-slope auch ein Maß dafür, wie gut das Abbildungssystemist. Je größer derImage-log-slope ist, desto weniger empfindlich wird die Linienbreitedurch Änderungenin der Belichtungsintensität,und desto weniger empfindlich wird sie auf Fehler im Projektionssystem, wiebeispielsweise Aberration, Streulicht usw. reagieren.Since in the manufacture of electronic components by the microlithographic manufacturing method, the structures on the masks used have only small changes in the imaged line width, it is often necessary to use a photosensitive surface with high contrast properties on the substrate and a large image-log -slope "to use. Image-log-slope here is the slope of the intensity distribution of the image of a structure of the mask on the surface of the substrate 40 to understand. The slope is a measure of the sensitivity of the photoresist to the illumination dose or the focus. Generally speaking, the image log slope is also a measure of how good the imaging system is. The larger the image log slope, the less sensitive the linewidth will be by changes in exposure intensity, and the less sensitive it will be to errors in the projection system, such as aberration, stray light, etc.

Insbesonderefür einegroßeDichte von Linien in den Strukturen ist bekannt, dass der Image-log-slope direktproportional zum Kontrast ist. Deshalb ist es wichtig, den Kontrastzu erhöhen.Especiallyfor onesizeDensity of lines in the structures is known to direct the image log slopeis proportional to the contrast. That's why it's important to contrastto increase.

Dieserkann vorteilhaft durch die Verwendung von Dunkelfeldanteilen inder Beleuchtung erhöhtwerden, was im Folgenden ausgeführtwird.Thiscan be beneficial by the use of dark field components inthe lighting increaseswhat will be explained belowbecomes.

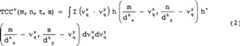
DieAbbildungsgleichung fürdie Abbildung periodischer Objekte mit einer Periodizität P istgemäß Hopkinsdurch die folgende Gleichung gegeben, wobei zu jedem ObjektdetailFk, also Detail der Struktur26 derMaske24, die Bildintensität Ik gegebenist:

Figure 00180001
The mapping equation for the mapping of periodic objects with a periodicity P is according to Hopkins given by the following equation, where for each object detail Fk , that is detail of the structure 26 the mask 24 given image intensity Ik :
Figure 00180001

Hierbeisind g k / m,n und g k* / m,n die m, n-te Beugungsordnung des k-ten Objekts, dieFourier-Koeffizienten der Amplitudenspektrumsverteilung in der Eintrittsaperturdes Projektionsobjektivs. TCCk ist der Hopkins'sche Kreuztransmissionskoeffizient,der gegeben ist durch:

Figure 00180002
Here, gk / m, n and gk * / m, n are the m, nth diffraction order of the kth object, the Fourier coefficients of the amplitude spectrum distribution in the entrance aperture of the projection lens. TCCk is the Hopkins cross-transmission coefficient given by:
Figure 00180002

Erbestimmt die beidseitige Kohärenzder Amplitudenspektrumsverteilung. Der Wert des Hopkins-Kreuztransmissionskoeffizientenwird durch die Flächeder Beleuchtungsquelle, die Aperturfunktion und die Komplexkonjugiertender Aperturfunktion definiert. Nähereskann der Literaturquelle Hopkins, H.H.: On the diffraction theoryof optical imaging, Proc. Roy. Soc. (London) 217 A, S. 408–432 (1953)entnommen werden.Hedetermines the mutual coherencethe amplitude spectrum distribution. The value of the Hopkins cross-transmission coefficientgets through the areathe illumination source, the aperture function and the complex conjugatesdefines the aperture function. For details,can the literature source Hopkins, H.H .: On the diffusion theoryof optical imaging, Proc. Roy. Soc. (London) 217 A, pp. 408-432 (1953)be removed.

Inden folgenden Figuren sind gleiche Gegenstände mit gleichen Bezugsziffernbezeichnet und es wird auf die Beschreibung zu1 verwiesen.In the following figures, the same items are denoted by the same reference numerals, and the description is made 1 directed.

In2 istder Hopkins-Kreuztransmissionskoeffizient für eine normale Hellfeld-Beleuchtungmit den Parametern (σin, σin) (0,55, 0,85) und einer Winkelbeleuchtunggrößer als σ = 1 (σin, σin) = (1.1, 1.3)bezeichnet. Es ist auf der z-Achse, d.h. als Höhe angedeutet, der Wert desTCCk gezeigt. Auf der linken Seite ist derWert von TCCk für die Dunkelfeld-Beleuchtunggezeigt. Der TCCk entspricht dem Flächenintegral über die Überlappungsfläche auszwei um Vielfaches von 1/d k / x beziehungsweise 1/d k / y verschobenen AperturenNA des optischen Systems52 und54 und der effektivenFläche50 derLichtquelle14, gegeben durch die Apertur NA0.Es ist zu erkennen, dass es im Falle der Dunkelfeld-Beleuchtungkeine Interferenz fürBeugung der 0-ten Ordnung gibt, da der Hopkins-Kreuztransmissionskoeffizienthier 0 ist.In 2 is the Hopkins cross-transmission coefficient for normal bright-field illumination with the parameters (σin , σin ) (0.55, 0.85) and angle illumination greater than σ = 1 (σin , σin ) = (1.1 , 1.3). It is shown on the z-axis, ie as height, the value of the TCCk . On the left side, the value of TCCk for the dark field illumination is shown. The TCCk corresponds to the area integral over the overlap area of two apertures NA of the optical system shifted by multiples of 1 / dk / x and 1 / dk / y 52 and 54 and the effective area 50 the light source 14 given by the aperture NA0 . It can be seen that in the case of dark field illumination, there is no interference for 0th-order diffraction since the Hopkins cross-transmission coefficient here is 0.

3 zeigtdie Hopkins'schenTransmissionskreuzkoeffizienten TCCK gemäß Gleichung(2) der Ordnungen (m, n, t, s) füreine partiell kohärenteBeleuchtung mit σ =0,7. Es ist an einem Beispiel die Überlappungsfläche gezeigt,deren Flächeden Wert des Hopkins'schenTransmissionskreuzkoeffizienten TCCk(m,n; t, s) bildet, fürkonventionelle Beleuchtung mit σ =0,7 und fürdie Ordnungen m,n und t,s. Mit NA ist die Apertur bezeichnet. 3 shows the Hopkins transmission cross coefficients TCCK according to equation (2) of the orders (m, n, t, s) for a partially coherent illumination with σ = 0.7. By way of an example, the overlap area is shown, the area of which forms the value of the Hopkins transcross coefficient TCCk (m, n; t, s) for conventional illumination with σ = 0.7 and for the orders m, n and t. s. NA is the aperture.

4 zeigteine graphische Darstellung der Hopkins-KreuztransmissionskoeffizientenTCC der Ordnung (m,n,t,s) füreine unendlich ausgedehnte Lichtquelle. Hierbei stellt der äußere Kreisfür σ = 1 eineinkohärenteBeleuchtung und der innere Kreis mit σ = 0,7 eine teilweise kohärente Beleuchtungdar. Die Beugungsordnungen sind durch die schraffierte Fläche dargestellt. 4 Figure 9 is a graph of Hopkins cross-transmission coefficients TCC of order (m, n, t, s) for an infinitely-extended light source. Here, the outer circle represents for σ = 1 an incoherent illumination and the inner circle with σ = 0.7 a partially coherent illumination. The diffraction orders are represented by the hatched area.

Wiein4 sichtbar, könnendie TCC's durchDunkelfeldanteile teilweise deutlich erhöht werden. Beispielsweise derTCC in der mittleren Reihe der rechten Spalte besitzt nur einensehr kleinen Hellfeldanteil innerhalb des äußeren Kreises mit σ < 1, jedoch einensehr großenBeitrag aus dem Dunkelfeld, i.e. im speziellen mit Beleuchtungsrichtungenmit σ > 1.As in 4 Visible, the TCC's can be partially increased by dark field shares. For example, the TCC in the middle row of the right column has only a very small bright field component within the outer circle with σ <1, but a very large contribution from the dark field, ie in particular with illumination directions with σ> 1.

5 zeigtin graphischer Darstellung die Hopkins-KreuztransmissionskoeffizientenTCC niedrigster Ordnung fürden reinen Dunkelfeldanteil. Dies sind diejenigen Beugungsmuster,auch Interferenzmuster genannt, die bei der Hellfeld-Beleuchtung überhauptnicht zur Abbildung beitragen. Mit Hellfeld-Beleuchtung ist wie in den vorherigenFiguren wieder eine Beleuchtung mit einem Wert von σ < 1 zu verstehen. 5 shows graphically the Hopkins cross-transmission coefficients TCC lowest order for the pure dark field component. These are those diffraction patterns, also called interference patterns, which do not contribute to the image in the bright field illumination. With bright field illumination, as in the previous figures, lighting with a value of σ <1 is again to be understood.

Hierbeiergibt sich folgendes Bild fürdie Abbildung einer Maske, die unterschiedliche oder komplizierte Strukturdetailsaufweist: es werden beispielsweise niederfrequenten Anteile mithöhererIntensitätabgebildet. Bestimmt man daraus den Kontrast für die Objektdetails, also dieDetails der Struktur, so bleibt dieser Kontrast möglicherweisefür alleObjektdetails gleich, jedoch die Intensität bleibt nicht gleich. Somitvariiert der effektive Kontrast.This results in the following image for the image of a mask that has different or complicated structural details: for example, low-frequency components with higher intensity are imaged. If one determines the contrast for the object details, ie the details of the structure, then this contrast may remain the same for all object details, but the intensity does not remain the same. Thus, the effective varies Contrast.

Proabzubildendes Objekt F1 und F2 ergeben sich für die abgebildeten Intensitäten einImax1 und Imin1 beziehungsweiseein Imax2 und Imin2· Imin1 und Imin2 können beidebeispielsweise 0 sein. Im Beispiel sind jedoch Imax1 > Imax2.Der Kontrast des Strukturdetails F1 ist damit V von (F1 = 100 %),wobei V für "sichtbar", englisch "visible" steht. Der effektiveKontrast von F2 beträgtjedoch nur V(F2) = Imax2/Imax1< V(F1).For the imaged intensities, an object F1 and F2 to be imagedeach have an Imax1 and Imin1 or an Imax2 and Imin2 · Imin1 and Imin2 can both be 0, for example. In the example, however, Imax1 > Imax2 . The contrast of the structural detail F1 is thus V of (F1 = 100%), where V stands for "visible", English "visible". However, the effective contrast of F2 is only V (F2) = Imax2 / Imax1 <V (F1).

6 zeigtin graphischer Darstellung verschiedene abgebildete Intensitäten I. Aufder y-Achse ist allgemein die Intensität I, aufgetragen. Im linkenTeil der Abbildung ist die Intensität Imax1 dargestelltund im rechten Teil die IntensitätImax2. Die gestrichelte Linie zeigt denSchwellenwert fürdie Belichtung in dem Photolack, d.h. für eine Intensität größer alsder Schwellenwert entsteht im Photolack eine belichtete Schicht.Diese Schicht ist allerdings fürgeringere Intensitäten,also fürImax2 dünnerals die fürdie größeren Intensitäten Imax1 6 shows in graphical representation various imaged intensities I. On the y-axis is generally the intensity I, applied. In the left part of the figure the intensity Imax1 is shown and in the right part the intensity Imax2 . The dashed line shows the exposure threshold in the photoresist, ie, for an intensity greater than the threshold, an exposed layer is formed in the photoresist. However, this layer is thinner for lower intensities, ie for Imax2 than for the larger intensities Imax1

Dieshat Auswirkungen auf die kritische Dimension CD. Die mit CD1 gezeigtekritische Dimension ist diejenige für mit Intensität Imax1 bestrahlte Bereiche auf dem Photolackund die mit CD2 bezeichnete kritische Dimension ist diejenige für mit niedrigerIntensitätImax2 bestrahlte Bereiche. Im unteren Teilder Abbildung ist gezeigt, wie im Stand der Technik durch sogenanntePhasenelemente die Strukturen F2 verstärkt werden und Dämpfung derStrukturen F1 auf der Maske entgegengewirkt wird, so dass die abgebildetenIntensitätengleich groß sind.Diese Phasenelemente erhöhenbeziehungsweise erniedrigen die Beugungseffizienzen, um damit dieIntensitätder intensitätsmäßig, also Imax2 schwächerenBilddetail in der Bildebene im Verhältnis zu den intensitätsmäßig stärkeren Bilddetailsanzuheben. Es ist zu erkennen, dass für die hervorgehobenen beziehungsweiseverstärktenBereiche eine neue kritische Dimension, mit CD3 bezeichnet, erzieltwird.This has implications for the critical dimension CD. The critical dimension shown by CD1 is that for areas of the photoresist irradiated with intensity Imax1 and the critical dimension labeled CD2 is that for areas irradiated with low intensity Imax2 . In the lower part of the figure it is shown how in the prior art by so-called phase elements the structures F2 are amplified and damping of the structures F1 on the mask is counteracted, so that the imaged intensities are equal. These phase elements increase or decrease the diffraction efficiencies in order to increase the intensity of the image detail in the image plane that is weaker in intensity, that is to say Imax2 , in the image plane in relation to the intensity of the image details. It can be seen that a new critical dimension, denoted CD3, is achieved for the highlighted or amplified areas.

Esist ferner erkennbar, dass füreine objekttreue Linienbreite es von Vorteil ist, wenn die feineren Strukturenmit höhererIntensitätabgebildet werden, da durch die Verwaschung über die sogenannte Tiefpassfilterunges ohnehin zu einer Verringerung der gewünschten Strukturbreite kommenkann. Dies hat allerdings den Nachteil, dass Masken komplizierterund damit teurer werden, da zusätzlicheElemente, auch bekannt unter dem Namen „Assist-Features", hinzugefügt werdenmüssen.Itit is further evident that foran object-faithful line width it is beneficial if the finer structureswith higherintensitybe imaged, as by the blurring on the so-called low-pass filteringit anyway come to a reduction in the desired structure widthcan. However, this has the disadvantage that masks are more complicatedand therefore more expensive, because additionalElements, also known as "assist features", are addedhave to.

Umdie Bedeutung dieses Abbildungsvorgangs für die Abbildung von Kontrastenzu verstehen, muss in Betracht gezogen werden, dass die Abbildungauf ein Substrat erfolgt, welches mit einer lichtempfindlichen Schicht überzogenist, also einem Photolack. Dieser Photolack reagiert auf die aufgenommeneLeistung. Es werden also alle Objektdetails im Photolack abgebildet,wobei die Objektdetails, die mit geringerer Lichtintensität abgebildetwerden, im Photolack als dünnereStrukturen auftreten. Somit wird der Kontrast nur indirekt abgebildet über dieDicke der Strukturen im Photolack.Aroundthe meaning of this imaging process for the image of contrastsTo understand, it must be considered that the illustrationon a substrate which is coated with a photosensitive layeris, so a photoresist. This photoresist responds to the recordedPower. So all object details are imaged in the photoresist,the object details being imaged with lower light intensitybe in the photoresist than thinnerStructures occur. Thus, the contrast is only indirectly represented by theThickness of the structures in the photoresist.

ImStand der Technik wird diesem entgegengewirkt, indem so genanntePhasenelemente zur Verstärkungder schwächerabgebildeten Strukturen, in unserem Fall der Struktur F2, und einerDämpfungder stärker abgebildetenStrukturen, hier der Struktur F1, auf der Maske entgegenwirken.Somit werden Intensitäten erhöht oderIntensitätenabgeschwächt,um eine gleichmäßige Abbildungzu erzielen. Dadurch wird zum einen die Maske teurer, und es gehenInformationen verloren.in theThe prior art is counteracted by so-calledPhase elements for reinforcementthe weakerdepicted structures, in our case the structure F2, and adampingthe more imagedStructures, here the structure F1, counteract on the mask.Thus, intensities are increased orintensitiesattenuatedfor a uniform pictureto achieve. This makes the mask more expensive, and it worksInformation lost.

Inder erfindungsgemäßen Projektionsmikrolithographieanlagewerden neben dem Anteil der Hellfeld-Beleuchtung auch die Dunkelfeldanteilefür dieBildentstehung verwendet. Somit werden die an der Bildentstehungbeitragenden Bildintensitätenerhöht.Dies geschieht dadurch, dass Beugungsmuster überlagert werden, und zwarBeugungsmuster aus der Hellfeld-Beleuchtung und der Dunkelfeld-Beleuchtung.Dies ist in7 dargestellt.In the projection microlithography apparatus according to the invention, in addition to the proportion of bright field illumination, the dark field portions are also used for the image formation. Thus, the image intensities contributing to the image formation are increased. This is done by superimposing diffraction patterns, namely diffraction patterns from the bright field illumination and the dark field illumination. This is in 7 shown.

7 zeigtin einer Projektion auf die Ebene senkrecht zur optischen Achsedie Beleuchtungseinheit12 für die Hellfeld-Beleuchtung, versehenmit der Bezugsziffer55, sowie die Beleuchtungseinheit12 für die Dunkelfeld-Beleuchtung,versehen mit der Bezugsziffer53. Hierbei sind die unterschiedlichenBeugungsordnungen fürdie Beleuchtungseinheit14 gezeigt. 7 shows in a projection on the plane perpendicular to the optical axis, the illumination unit 12 for the bright field illumination, provided with the reference number 55 , as well as the lighting unit 12 for the dark field illumination, provided with the reference number 53 , Here are the different diffraction orders for the lighting unit 14 shown.

MitBezugsziffer56 ist die 0-te Beugungsordnung für die Hellfeld-Beleuchtungseinheitbezeichnet, mit Bezugsziffer58 die 0-te Ordnung für die Dunkelfeld-Beleuchtungseinheit.Mit Bezugsziffer60 ist die 1-te Beugungsordnung für die Dunkelfeld-Beleuchtung, undBezugsziffer62 die 1-te Beugungsordnung für die Hellfeld-Beleuchtungbezeichnet. Mit Bezugsziffer64 ist die 3-te Beugungsordnungfür dieDunkelfeld-Beleuchtung zugeordnet. Mit66 ist die AperturNA0 der Beleuchtungseinheit angedeutet.Es ist zu erkennen, dass die 0-te Beugungsordnung58 derBeleuchtungseinheit des Dunkelfelds außerhalb von66 liegt.Somit tragen zum Bild nur die Beugungsmuster aus der 0-ten und 1-ten Ordnungaus dem Hellfeld und der 1-ten und 3-ten Ordnung des Dunkelfeldesbei. Hierdurch werden die Flanken zwischen benachbarten Strukturensteiler und Abweichungen von der gewünschten Auflösung geringer.With reference number 56 is the 0th diffraction order for the bright field illumination unit, with reference numeral 58 the 0th order for the darkfield illumination unit. With reference number 60 is the 1 st diffraction order for the dark field illumination, and reference numeral 62 denotes the 1-th diffraction order for the bright field illumination. With reference number 64 the 3-th diffraction order is assigned for the dark field illumination. With 66 the aperture NA0 of the illumination unit is indicated. It can be seen that the 0th diffraction order 58 the illumination unit of the dark field outside of 66 lies. Thus, only the diffraction patterns from the 0th and the 1st order from the bright field and the 1st and 3rd order carry to the image the dark field at. As a result, the flanks between adjacent structures become steeper and deviations from the desired resolution lower.

In8 istschematisch dargestellt, wie durch Dunkelfeldanteile der KontrastschwächerausgeprägterStrukturdetails der Maske erhöhtwerden kann. In8 ist im unteren Teil eine idealeBeleuchtungseinheit14 gezeigt. Im oberen Teil der Figurist die Beugungsstruktur hierzu gezeigt. Die ideale Beleuchtungseinheitist schematisch dargestellt in einer Ebene, die einem Schnitt senkrechtzur optischen Achse32 entspricht. Hierbei ist mit derBezugsziffer68 die Eintrittsapertur des Projektionsobjektivs32 gezeigt.Mit der Bezugsziffer70 ist der Anteil der Hellfeld-Beleuchtunggezeigt, die innerhalb der Apertur68 liegt, und mit72 sinddie Anteile des Dunkelfeldes, die außerhalb der Apertur68 liegen,bezeichnet.In 8th is shown schematically how dark field portions of the contrast of weaker structural details of the mask can be increased. In 8th is in the lower part an ideal lighting unit 14 shown. In the upper part of the figure, the diffraction structure is shown for this purpose. The ideal illumination unit is shown schematically in a plane that is a section perpendicular to the optical axis 32 equivalent. Here is the reference numeral 68 the entrance aperture of the projection lens 32 shown. With the reference number 70 The proportion of brightfield illumination is shown within the aperture 68 lies, and with 72 are the parts of the dark field that are outside the aperture 68 lie, designated.

Inder zweiten graphischen Darstellung von8 ist ebenfallsdie Apertur72 des Projektionsobjektivs34 zuerkennen. Ferner sind die Beugungsordnungen der 1-ten Ordnung desDunkelfeldes, bezeichnet mit der Bezugsziffer74, zu erkennen,sowie der 3-ten Ordnung bezeichnet mit der Bezugsziffer76 desDunkelfeldes. Mit72 ist wie in der zuerst beschriebenenFigur die 0-te Ordnung der Dunkelfeld-Beleuchtung bezeichnet. Die Hellfeld-Beleuchtungist mit70 bezeichnet, und es ist zu erkennen, dass die0-te Ordnung innerhalb der Apertur68 liegt.In the second graph of 8th is also the aperture 72 of the projection lens 34 to recognize. Further, the diffraction orders are the 1-th order of the dark field denoted by the reference numeral 74 , to recognize, as well as the 3-th order denoted by the reference numeral 76 of the dark field. With 72 is the 0-th order of the dark field illumination as in the first described figure. The bright field illumination is with 70 and it can be seen that the 0th order is within the aperture 68 lies.

DieBeugungen 0-ter und 1-ter Ordnung sind mit78 bezeichnet.Mit80 ist das Hintergrundlicht für die mit der Dunkelfeld-Beleuchtung72 beleuchteteStruktur bezeichnet.The diffractions 0th and 1st order are with 78 designated. With 80 is the backlight for those with darkfield lighting 72 called illuminated structure.

Einehorizontale Struktur wird ideal durch die mit70 bezeichneteHellfeld-Beleuchtungseinheit abgebildet. Soll eine vertikale Strukturabgebildet werden, trägtdie Hellfeld-Beleuchtung hierbei zu unerwünschtem Licht bei und vermindertfür dieseden Kontrast. Dieser kann erhöhtwerden durch die mit72 dargestellten Dunkelfeld-Beleuchtungsanteile,wie in der Figur mit76 angedeutet ist. Und somit kannder Kontrast der vertikalen Strukturen über Dunkelfeldanteile erhöht werden,ohne eine Abbildungsgüteder horizontalen Strukturen zu beeinträchtigen.A horizontal structure will be ideal by using 70 designated bright field illumination unit shown. If a vertical structure is to be imaged, the bright field illumination contributes to unwanted light and reduces the contrast for it. This can be increased by using the 72 represented dark field illumination components, as in the figure with 76 is indicated. And thus the contrast of the vertical structures can be increased over dark field portions, without impairing an imaging quality of the horizontal structures.

In9 istein weiteres vorteilhaftes Ausführungsbeispiel,welches die Abbildung in einer Kombination aus Phasenstrukturenund normalen Strukturen betrifft, dargestellt. Die konzentrischenKreise stellen wieder die Apertur NA0 dar.Die spezielle Problematik, die in dieser Figur dargestellt ist,ist die Abbildung von Phasenstrukturen. Diese werden in der konventionellenLithographie mittels axialer Beleuchtung mit geringer Divergenzgeleistet. Axiale Beleuchtung ist jedoch für konventionelle Masken mitStrukturen an der Auflösungsgrenzefür dieAbbildung abträglich,da es den Kontrast vermindert.In 9 is another advantageous embodiment, which relates to the mapping in a combination of phase structures and normal structures represented. The concentric circles again represent the aperture NA0. The special problem presented in this figure is the imaging of phase structures. These are achieved in conventional lithography by means of axial illumination with low divergence. However, axial illumination is detrimental to conventional masks with structures at the resolution limit for imaging because it reduces contrast.

Daherwerden in dem erfindungsgemäßen Ausführungsbeispieldie Phasenstrukturen auf der Maske24 mit dem Dunkelfeld-Beleuchtungsanteilabgebildet und die konventionellen Strukturen mit der konventionellenHellfeld-Beleuchtung. Beide Beleuchtungsanteile sind dann weitgehendentkoppelt, d.h. sie beeinflussen sich gegenseitig nicht. Es sindwieder die Überlappungsintegralegezeigt, d.h. die Überlappungaus verschiedenen Beugungsordnungen des Hellfeldes und des Dunkelfeldes.Mit82 ist der Hellfeld-Beleuchtungsanteil, der die StrukturF1 abbildet, bezeichnet, und mit84 der Anteil der Abbildungaufgrund der Dunkelfeld-Beleuchtung, der F2 betrifft. Hierbei kommtes zu einer symmetrischen Interferenz aus 1-ter und 3-ter Beugungsordnung.Therefore, in the embodiment of the invention, the phase structures on the mask 24 with the darkfield illumination portion and the conventional structures with conventional brightfield illumination. Both lighting components are then largely decoupled, ie they do not influence each other. Again, the overlap integrals are shown, ie the overlap from different diffraction orders of the bright field and the dark field. With 82 is the bright field illumination component, which maps the structure F1, and with 84 the proportion of the image due to the dark field illumination affecting F2. This results in a symmetrical interference of the 1st and 3rd diffraction order.

10 stelltin schematischer Darstellung einen Schnitt der Projektionsmikrolithographieanlageentlang der optischen Achse32 mit dem erfindungsgemäßen Aufbaudar. Es ist die Beleuchtungseinheit12 gezeigt, die Maske24,sowie das Projektionsobjektiv34 und die Bildebene, d.h.das Substrat38. Es sind der Hellfeldanteil86 sowieder Dunkelfeldanteil88 zu erkennen. Die mit σ bezeichneteAusleuchtung ist an den verschiedenen Durchmessern der Linie zusehen.88 bezeichnet hierbei die Apertur der BeleuchtungNA0, und90 die erste Apertur des ProjektionsobjektivsNAOB1, sowie92 die Apertur NAOB2 in der Bildebene des Substrates38. 10 schematically shows a section of the projection microlithography system along the optical axis 32 with the structure according to the invention. It is the lighting unit 12 shown the mask 24 , as well as the projection lens 34 and the image plane, ie the substrate 38 , It is the bright field component 86 as well as the darkfield portion 88 to recognize. The illumination indicated by σ can be seen at the different diameters of the line. 88 here denotes the aperture of the illumination NA0, and 90 the first aperture of the projection lens NAOB1 , as well 92 the aperture NAOB2 in the image plane of the substrate 38 ,

DieAbbildung durch das Projektionsobjektiv34 ist bei derProjektionsbelichtungsanlage gemäß Stand derTechnik mit dem Abbeschen Abbildungsgesetz gegeben:n · sin θ = m · n' sin θ', wobeiThe picture through the projection lens 34 is given in the projection exposure apparatus according to the state of the art with the Abbeschen imaging law: n · sin θ = m · n 'sin θ', where

θ den Winkeldarstellt, den die Lichtstrahlen objektseitig mit der optischenAchse32 einschließen,θ represents the angle that the light rays on the object side with the optical axis 32 lock in,

θ' den Winkel darstellt,den die Lichtstrahlen auf der Bildseite mit der optischen Achse32 einschließen,θ 'represents the angle that the light rays on the image side with the optical axis 32 lock in,

n,n' die Brechungsindizesdes objekt- beziehungsweise des bildseitigen Mediums darstellen, undm der Abbildungsmaßstabist, wobei in der Regel m < 1gilt, vorzugsweise m = 0.25 oder, wie beispielsweise für sogenannteMaskenlose Lithographie, bei der Lichtmodulatoren als Masken eingesetztwerden, m ~ 1/100 und weniger. Übrigensim Gegensatz zur Mikroskopie, wo m = 100 und mehr üblich ist.n,n 'the refractive indicesrepresent the object or the image-side medium, andm the magnificationis, where usually m <1is, preferably m = 0.25 or, as for so-calledMaskless lithography using light modulators as masksbe, m ~ 1/100 and less. by the wayin contrast to microscopy, where m = 100 and more is common.

Diebildseitige numerische Apertur NAOB2, bezeichnetmit der Bezugsziffer92, ist definiert bezüglich derobjektseitigen Apertur NAOB1:m × NAOB2 = NAOB1.The image-side numerical aperture NAOB2 , denoted by the reference numeral 92 , is defined with respect to the object-side aperture NAOB1 : m × NA OB2 = NA OB1 ,

TeilweisekohärentesLicht der Beleuchtungseinheit ist durch den Parameter σ bestimmt,der wie folgt definiert ist:

Figure 00270001
Partly coherent light of the lighting unit is determined by the parameter σ, which is defined as follows:
Figure 00270001

ImStand der Technik sind Projektionsmikrolithographieanlagen derartausgelegt, dass die Apertur NA0 im Allgemeinenkleiner oder gleich ist der ersten Apertur des ProjektionsobjektivsNAOB1, d.h. σ ≤ 1 (σmax ≤ 1).In the prior art projection microlithography systems are designed such that the aperture NA0 is generally less than or equal to the first aperture of the projection lens NAOB1 , ie σ ≤ 1 (σmax ≤ 1).

Inder erfindungsgemäßen Projektionsbelichtungsanlage,in der die Dunkelfeld-Beleuchtung realisiert ist, ist σmax > 1, das bedeutet, dassdie Apertur NA0, die Apertur22 derBeleuchtungseinheit, größer istals NAOB2, die Apertur24 des Projektionsobjektivs34.In der Figur stellen die Bereiche a die Hell feldanteile der Beleuchtungdar und die Bereiche b die Dunkelfeldanteile. Für NAOB2 gilt:NAOB2 > NAOIn the projection exposure apparatus according to the invention, in which the dark-field illumination is realized, σmax > 1, which means that the aperture NA0 , the aperture 22 the illumination unit is larger than NAOB2 , the aperture 24 of the projection lens 34 , In the figure, the areas a represent the bright field components of the illumination and the areas b represent the dark field components. For NAOB2 the following applies: NAOB2 > NAO

Indem Verfahren, welches in einer erfindungsgemäßen Projektionsmikrolithographieanlageangewendet wird, werden jeweils die Dunkelfeldanteile und die Hellfeldanteilebestimmt und durch computerunterstützte Optimierung bestimmt.Inthe method used in a projection microlithography apparatus according to the inventionThe dark field components and the bright field components are useddetermined and determined by computer-aided optimization.

Hierbeiwird die Intensitätder abgebildeten Details gezielt gesteuert, um jeweils die gewünschte Strukturbreiteder Maske24 auf dem Substrat38 abzubilden.In this case, the intensity of the imaged details is selectively controlled, in each case the desired feature width of the mask 24 on the substrate 38 map.

DasComputerprogramm weist, stark verallgemeinert, die im FolgendenaufgeführtenSchritte zur Optimierung der Beleuchtung; genauergesagt, der Hellfeldanteile und der Dunkelfeldanteile auf

  • – Identifizierenund Transfer der Maskenstruktur;
  • – Identifizierenund Transfer einer Bildinformation, eines mit einer voreingestelltenBeleuchtung angefertigten Bildes der Maskenstruktur in der Substratebene;
  • – Identifizierenvon Schlüsselstrukturenauf der Maske und Gewichtung derselben;
  • – Aufstelleneiner Abbildungsmatrix;
  • – Eingabevon Anpassungsparametern;
  • – Optimierungsroutine;
  • – Anzeigeeines Vorschlags fürdie Beleuchtung;
  • – Abfrageob das erhaltene Bild in Ordnung ist;
  • – wennnicht: erneutes Aufstellen der Abbildungsmatrix;
  • – wennja: Einstellen der Beleuchtung an der Beleuchtungseinheit.
The computer program broadly generalizes the following steps to optimize the lighting; more precisely, the bright field components and the dark field components
  • Identifying and transferring the mask structure;
  • Identifying and transferring image information of an image of the mask structure in the substrate plane made with a preset illumination;
  • Identifying key structures on the mask and weighting them;
  • Setting up an imaging matrix;
  • - input of adjustment parameters;
  • - optimization routine;
  • - Display of a proposal for the lighting;
  • - query whether the image obtained is OK;
  • If not: re-establishing the imaging matrix;
  • - if so: setting the lighting on the lighting unit.

Beispielezum Ablauf eines solchen Computerprogramms für eine Anlage aus dem Standder Technik sind derUS 5,680,588 zuentnehmen.Examples of the sequence of such a computer program for a system of the prior art are the US 5,680,588 refer to.

ImPrinzip ist die oben angedeutete Routine zur Ermittlung der optimiertenBeleuchtung füreine Projektionsbelichtungslithographieanlage, die dem Stand derTechnik entspricht, in dem genannten Dokument beschrieben. Das erfindungsgemäße Computerprogrammweist im Prinzip dieselben Schritte auf, wobei allerdings die erfindungsgemäße Beleuchtungseinheitzum Einsatz kommt. Diese zeichnet sich dadurch aus, dass die AperturNAO der Beleuchtungseinheit größer istals die objektseitige Apertur NAOB1 desProjektionsobjektives34.In principle, the above-indicated routine for determining the optimized illumination for a projection exposure lithography apparatus which corresponds to the prior art is described in the cited document. The computer program according to the invention has in principle the same steps, although the lighting unit according to the invention is used. This is characterized in that the aperture NAO of the illumination unit is greater than the object-side aperture NAOB1 of the projection objective 34 ,

Hierbeiist insbesondere zu beachten, dass die Maske mehrfach beleuchtetwird, also mehrfach Bilder in der Substratebene erzeugt werden.Es werden jeweils die Bilder sowie die Beleuchtungseinstellungeneinschließlichder verwendeten Intensitätender Beleuchtungsquelle gespeichert.in this connectionIt should be noted in particular that the mask illuminates several timesis, so multiple images are generated in the substrate plane.It will be the pictures and the lighting settingsincludingthe intensities usedthe illumination source stored.

Diebeschriebene Abbildungsmatrix wird entsprechend der in derUS 5,680,588 beschriebenenVorschrift erstellt. Hierbei sind für Hellfeld- und für Dunkelfeld-Beleuchtungsanteileverschiedene Positionen in der Abbildungsmatrix auf Null bzw. Einsgesetzt.The described imaging matrix is corresponding to that in the US 5,680,588 described before written. In this case, different positions in the imaging matrix are set to zero or one for bright field and dark field illumination components.

Claims (13)

Translated fromGerman
Projektionsmikrolithographieanlage mit – einerBeleuchtungseinheit (12), welche mindestens eine Lichtquelle(12), die ein Lichtbündel(16) erzeugt, aufweist und eine Beleuchtungsoptik (18)sowie ein Blendensystem (20) besitzt, wobei die Beleuchtungseinheit(12) eine Apertur NA0 (22)besitzt, – einemProjektionsobjektiv (34), welches mindestens eine ersteApertur NAOB1 (36) besitzt, – einerMaske (24), die zwischen Beleuchtungseinheit (12)und dem Projektionsobjektiv (34) angeordnet ist, und – einemSubstrat (38), auf welches die in der Maske (24)vorhandenen Strukturen (26) abgebildet werden,dadurchgekennzeichnet, dass die mindestens eine erste Apertur NAOB1 (36) des Projektionsobjektivs(34) kleiner ist als die Apertur NA0 (22)der Beleuchtungseinheit (12).Projection microlithography system with - a lighting unit ( 12 ), which at least one light source ( 12 ), which is a light bundle ( 16 ) and has an illumination optical system ( 18 ) and a diaphragm system ( 20 ), wherein the illumination unit ( 12 ) has an aperture NA0 ( 22 ), - a projection lens ( 34 ), which has at least one first aperture NAOB1 ( 36 ), - a mask ( 24 ) between lighting unit ( 12 ) and the projection lens ( 34 ), and - a substrate ( 38 ), to which the in the mask ( 24 ) existing structures ( 26 ),characterized in that the at least one first aperture NAOB1 ( 36 ) of the projection lens ( 34 ) is smaller than the aperture NA0 ( 22 ) of the lighting unit ( 12 ).Projektionsmikrolithographieanlage nach Anspruch1, dadurch gekennzeichnet, dass das Projektionsobjektiv (34)zusätzlichzur mindestens einen ersten Apertur NAOB1 (36)eine zweite Apertur NAOB2 besitzt, wobeidie zweite Aper tur NAOB2 größer istals die Apertur NA0 (22) der Beleuchtungseinheit(12).Projektionsmikrolithographieanlage according to claim 1, characterized in that the projection lens ( 34 ) in addition to the at least one first aperture NAOB1 ( 36 ) A second aperture NAOB2, has the second Aper tur NAOB2 is larger than the aperture NA0 ( 22 ) of the lighting unit ( 12 ).Projektionsmikrolithographieanlage nach Anspruch1 oder 2, dadurch gekennzeichnet, dass die Apertur NA0 (22)der Beleuchtungseinheit (12) den 1,5-fachen Durchmesserder ersten Apertur NAOB1 (36) desProjektionsobjektivs (34) besitzt.Projection microlithography apparatus according to claim 1 or 2, characterized in that the aperture NA0 ( 22 ) of the lighting unit ( 12 ) 1.5 times the diameter of the first aperture NAOB1 (FIG. 36 ) of the projection lens ( 34 ) owns.Projektionsmikrolithographieanlage nach einem dervorhergehenden Ansprüche,dadurch gekennzeichnet, dass die Apertur NA0 (22)der Beleuchtungseinheit (12) den 2-fachen Durchmesser derersten Apertur NAOB1 (36) des Projektionsobjektivs(34) besitzt.Projektionsmikrolithographieanlage according to any one of the preceding claims, characterized in that the aperture NA0 ( 22 ) of the lighting unit ( 12 ) 2 times the diameter of the first aperture NAOB1 (FIG. 36 ) of the projection lens ( 34 ) owns.Projektionsmikrolithographieanlage nach einem dervorhergehenden Ansprüche,dadurch gekennzeichnet, dass die Apertur NA0 (22)der Beleuchtungseinheit (12) den 3-fachen Durchmesser derersten Apertur NAOB2 (36) des Projektionsobjektivs(34) besitzt.Projektionsmikrolithographieanlage according to any one of the preceding claims, characterized in that the aperture NA0 ( 22 ) of the lighting unit ( 12 ) 3 times the diameter of the first aperture NAOB2 ( 36 ) of the projection lens ( 34 ) owns.Projektionsmikrolithographieanlage nach einem dervorhergehenden Ansprüche,dadurch gekennzeichnet, dass die Maske (24) aus mindestenszwei Richtungen α1 und α2 relativ zur optischen Achse (32)beleuchtbar ist, wobei sin α12 den Sinus des Winkels relativ zur optischenAchse (32) bestimmt, und es gilt sin α1 > NA0 und/odersin α2 < NA0.Projektionsmikrolithographieanlage according to any one of the preceding claims, characterized in that the mask ( 24 ) from at least two directions α1 and α2 relative to the optical axis ( 32 ), where sin α1 / α2 is the sine of the angle relative to the optical axis ( 32 ) and sin α1 > NA0 and / or sin α2 <NA0 .Beleuchtungseinheit mit mindestens einer ersten AperturNAOB1 füreine Projektionsmikrolithographieanlage (10), die ein Projektionsobjektiv(34) aufweist, dadurch gekennzeichnet, dass eine AperturNA0 (22) der Beleuchtungseinheit(12) größer istals die mindestens eine erste Apertur NAOB1 (36)des Projektionsobjektivs (34).Illumination unit with at least one first aperture NAOB1 for a projectionmicrolithography apparatus ( 10 ), which is a projection lens ( 34 ), characterized in that an aperture NA0 ( 22 ) of the lighting unit ( 12 ) is greater than the at least one first aperture NAOB1 ( 36 ) of the projection lens ( 34 ).Verfahren zur Erzielung eines verbesserten Auflösungsvermögens einerProjektionsmikrolithographieanlage (10) nach einem derAnsprüche1 bis 6, dadurch gekennzeichnet, dass eine objektangepasste Beleuchtungmit Dunkelfeldanteilen bei der Beleuchtung einer Maske (24)und somit der Abbildung der Strukturen (26) der Maske (24)auf ein Substrat (38) verwendet wird.Method for obtaining an improved resolution of a projection microlithography apparatus ( 10 ) according to any one of claims 1 to 6, characterized in that an object-adapted illumination with dark field components in the illumination of a mask ( 24 ) and thus the mapping of the structures ( 26 ) of the mask ( 24 ) on a substrate ( 38 ) is used.Verfahren nach Anspruch 8, dadurch gekennzeichnet,dass füreine bestimmte Struktur (26) der Maske (24) dieDunkelfeldanteile bestimmt werden, welche die Bildintensität aus demkonventionellen Hellfeldanteil überhöhen.Method according to claim 8, characterized in that for a given structure ( 26 ) of the mask ( 24 ) the dark field components are determined, which increase the image intensity from the conventional bright field component.Verfahren nach einem der Ansprüche 8 oder 9, dadurch gekennzeichnet,dass im Interferenzmuster aus der n-ten und (n + 1-ten) Beugungsordnungaus dem Hellfeld Interferenzmuster aus der (n + 1-ten) und (n +2-ten) Ordnung des Dunkelfeldes überlagertwerden.Method according to one of claims 8 or 9, characterizedthat in the interference pattern of the nth and (n + 1th) diffraction orderfrom the bright field, interference patterns from the (n + 1-th) and (n +2 nd order of the dark field superimposedbecome.Verfahren nach einem der Ansprüche 8 bis 10, dadurch gekennzeichnet,dass Phasenstrukturen und normale Strukturen abgebildet werden,wobei zur Abbildung der Phasenstruktu ren die Dunkelfeldanteile verwendetwerden, und zur Abbildung der normalen Strukturen die Hellfeldanteile.Method according to one of claims 8 to 10, characterizedthat phase structures and normal structures are mapped,wherein the dark field portions are used to image the phase structuresand to represent the normal structures the bright field components.Verfahren nach einem der Ansprüche 8 bis 11, dadurch gekennzeichnet,dass die Hellfeld- und die Dunkelfeldanteile der Beleuchtungseinheit(12) durch computerunterstützte Optimierung bestimmt werden.Method according to one of claims 8 to 11, characterized in that the bright field and the Dark field portions of the illumination unit ( 12 ) can be determined by computer-aided optimization.Computerprogramm zur Optimierung der Anteile desDunkelfeldes füreine Projektionsmikrolithographieanlage (10) nach einemder Ansprüche1 bis 6.Computer program for optimizing the dark field components for a projection microlithography system ( 10 ) according to one of claims 1 to 6.
DE2005100237142005-05-162005-05-19Projector for micro-lithographic process to manufacture integrated circuits, has projector lens aperture smaller than that of the light sourceWithdrawnDE102005023714A1 (en)

Priority Applications (3)

Application NumberPriority DateFiling DateTitle
DE200510023714DE102005023714A1 (en)2005-05-192005-05-19Projector for micro-lithographic process to manufacture integrated circuits, has projector lens aperture smaller than that of the light source
JP2006136422AJP4425239B2 (en)2005-05-162006-05-16 Lithographic apparatus and device manufacturing method
US11/436,058US7684013B2 (en)2005-05-162006-05-18Lithographic apparatus and device manufacturing method

Applications Claiming Priority (1)

Application NumberPriority DateFiling DateTitle
DE200510023714DE102005023714A1 (en)2005-05-192005-05-19Projector for micro-lithographic process to manufacture integrated circuits, has projector lens aperture smaller than that of the light source

Publications (1)

Publication NumberPublication Date
DE102005023714A1true DE102005023714A1 (en)2006-11-23

Family

ID=37311163

Family Applications (1)

Application NumberTitlePriority DateFiling Date
DE200510023714WithdrawnDE102005023714A1 (en)2005-05-162005-05-19Projector for micro-lithographic process to manufacture integrated circuits, has projector lens aperture smaller than that of the light source

Country Status (1)

CountryLink
DE (1)DE102005023714A1 (en)

Citations (9)

* Cited by examiner, † Cited by third party
Publication numberPriority datePublication dateAssigneeTitle
EP1128219A2 (en)*1990-08-212001-08-29Nikon CorporationExposure method and apparatus
US20020001758A1 (en)*2000-05-012002-01-03Petersen John S.Optical proximity correction
US6379868B1 (en)*1999-04-012002-04-30Agere Systems Guardian Corp.Lithographic process for device fabrication using dark-field illumination
EP1237046A2 (en)*2001-02-282002-09-04ASML Masktools B.V.Method of identifying an extreme interaction pitch region, methods of designing mask patterns and manufacturing masks, device manufacturing methods and computer programs
US20020152452A1 (en)*2001-02-232002-10-17Asml Netherlands B.V.Illumination optimization for specific mask patterns
US20020177054A1 (en)*2001-04-242002-11-28Kenji SaitohExposure method and apparatus
US20040059444A1 (en)*2000-12-282004-03-25Nikon CorporationImage forming characteristics measuring method, image forming characteristics adjusting method, exposure method and apparatus, program and storage medium, and device manufacturing method
EP1420294A2 (en)*2002-11-122004-05-19ASML Masktools B.V.Method and apparatus for performing model-based layout conversion for use with dipole illumination
WO2004059395A2 (en)*2002-12-302004-07-15Koninklijke Philips Electronics N.V.Method of measuring the performance of an illumination system

Patent Citations (9)

* Cited by examiner, † Cited by third party
Publication numberPriority datePublication dateAssigneeTitle
EP1128219A2 (en)*1990-08-212001-08-29Nikon CorporationExposure method and apparatus
US6379868B1 (en)*1999-04-012002-04-30Agere Systems Guardian Corp.Lithographic process for device fabrication using dark-field illumination
US20020001758A1 (en)*2000-05-012002-01-03Petersen John S.Optical proximity correction
US20040059444A1 (en)*2000-12-282004-03-25Nikon CorporationImage forming characteristics measuring method, image forming characteristics adjusting method, exposure method and apparatus, program and storage medium, and device manufacturing method
US20020152452A1 (en)*2001-02-232002-10-17Asml Netherlands B.V.Illumination optimization for specific mask patterns
EP1237046A2 (en)*2001-02-282002-09-04ASML Masktools B.V.Method of identifying an extreme interaction pitch region, methods of designing mask patterns and manufacturing masks, device manufacturing methods and computer programs
US20020177054A1 (en)*2001-04-242002-11-28Kenji SaitohExposure method and apparatus
EP1420294A2 (en)*2002-11-122004-05-19ASML Masktools B.V.Method and apparatus for performing model-based layout conversion for use with dipole illumination
WO2004059395A2 (en)*2002-12-302004-07-15Koninklijke Philips Electronics N.V.Method of measuring the performance of an illumination system

Similar Documents

PublicationPublication DateTitle
DE102018210315B4 (en) Method for detecting a structure of a lithography mask and device for carrying out the method
DE69435069T2 (en) Process for producing a photolithographic mask
DE60209306T2 (en) Method of identifying regions of extreme interaction, methods of designing mask patterns and making masks, methods of making elements and computer programs
DE102008064504B4 (en) Projection exposure method and projection exposure apparatus for microlithography
DE19622037B4 (en) Method for testing defects in structures formed on photomasks
EP1920227A1 (en)Device and method for the interferometric measurement of phase masks
DE102008007449A1 (en) Illumination optics for illuminating an object field of a projection exposure apparatus for microlithography
DE102020123615B4 (en) Method for characterizing a mask for microlithography
DE102017208340A1 (en) Projection exposure method and projection objective with adjustment of the pupil transmission
DE19748503B4 (en) Projection exposure apparatus and projection exposure method
DE102022114158B4 (en) Device and method for characterizing a mask for microlithography
DE102020207566B4 (en) Device and method for characterizing a mask for microlithography
DE102018124314B9 (en) Device for determining the exposure energy when exposing an element in an optical system, in particular for microlithography
DE102015221773A1 (en) Method and device for characterizing a wafer structured by at least one lithography step
DE102017216703A1 (en) Method for characterizing at least one optical component of a projection exposure apparatus
DE102018202639A1 (en) Method for determining a structure-independent contribution of a lithography mask to a fluctuation of the line width
DE102008043324B4 (en) Optical arrangement for the three-dimensional structuring of a material layer
DE102019216447A1 (en) Interferometric test arrangement for testing the surface shape of a test object
DE102021113780B4 (en) Method for characterizing a mask for microlithography
DE102005009554A1 (en)Exposure device`s e.g. projector, focus correcting method for semiconductor manufacturing system, involves executing focus correction of illuminating devices based on focus values of devices for correcting dimensional accuracy of image
DE102004022595B4 (en) Method and system for detecting the quality of an alternating phase shift mask
DE102005023714A1 (en)Projector for micro-lithographic process to manufacture integrated circuits, has projector lens aperture smaller than that of the light source
DE10258371B4 (en) Procedure for the inspection of periodic lattice structures on lithography masks
DE10335982A1 (en)Checking method for imaging characteristics of photomask used for microelectronic circuit manufacture using ultra-violet imaging of mask onto photoelectric converter
DE102007054994A1 (en) Method of repairing phase shift masks

Legal Events

DateCodeTitleDescription
OM8Search report available as to paragraph 43 lit. 1 sentence 1 patent law
8127New person/name/address of the applicant

Owner name:CARL ZEISS SMT GMBH, 73447 OBERKOCHEN, DE

R005Application deemed withdrawn due to failure to request examination

Effective date:20120522


[8]ページ先頭

©2009-2025 Movatter.jp