Movatterモバイル変換


[0]ホーム

URL:


CN218956921U - Optical machine module and near-to-eye display device - Google Patents

Optical machine module and near-to-eye display device
Download PDF

Info

Publication number
CN218956921U
CN218956921UCN202223153459.4UCN202223153459UCN218956921UCN 218956921 UCN218956921 UCN 218956921UCN 202223153459 UCN202223153459 UCN 202223153459UCN 218956921 UCN218956921 UCN 218956921U
Authority
CN
China
Prior art keywords
light
prism
free
freeform
waveguide sheet
Prior art date
Legal status (The legal status is an assumption and is not a legal conclusion. Google has not performed a legal analysis and makes no representation as to the accuracy of the status listed.)
Active
Application number
CN202223153459.4U
Other languages
Chinese (zh)
Inventor
黄浩
陈军
宋强
王景
马国斌
Current Assignee (The listed assignees may be inaccurate. Google has not performed a legal analysis and makes no representation or warranty as to the accuracy of the list.)
Long Optoelectronics Co ltd
Original Assignee
Long Optoelectronics Co ltd
Priority date (The priority date is an assumption and is not a legal conclusion. Google has not performed a legal analysis and makes no representation as to the accuracy of the date listed.)
Filing date
Publication date
Application filed by Long Optoelectronics Co ltdfiledCriticalLong Optoelectronics Co ltd
Application grantedgrantedCritical
Publication of CN218956921UpublicationCriticalpatent/CN218956921U/en
Activelegal-statusCriticalCurrent
Anticipated expirationlegal-statusCritical

Links

Images

Classifications

Landscapes

Abstract

The embodiment of the utility model relates to the technical field of near-to-eye display and discloses a light machine module and near-to-eye display equipment, wherein the light machine module comprises an image source and an imaging system arranged in the light emitting direction of the image source, the imaging system comprises a first freeform prism and a second freeform prism, a medium gap is arranged between the first freeform prism and the second freeform prism, the first freeform prism at least comprises a first light inlet surface, a first light reflecting surface and a first light emitting surface, the first light reflecting surface is a freeform surface, the second freeform prism at least comprises a second light inlet surface, a second light reflecting surface and a second light emitting surface, the second light reflecting surface is a freeform surface, and image light emitted by the image source is emitted from the second light emitting surface after being subjected to total reflection for at least four times through the first freeform surface prism and the second freeform surface prism. The optical machine module provided by the embodiment of the utility model turns the light beam by arranging the two free-form surface prisms, and has the advantages of compact structure, smaller size and lighter weight.

Description

Optical machine module and near-to-eye display device
Cross reference to related applications
The present application claims priority from the chinese patent office filed 25 months 2022, application No. 202210574458.2, entitled "optical-mechanical module and near-eye display device", the entire contents of which are incorporated herein by reference.
Technical Field
The embodiment of the utility model relates to the technical field of near-eye display, in particular to an optical machine module and near-eye display equipment.
Background
In recent years, as near-eye display technology is mature and developed, various types of small wearable display devices start to enter the field of view of consumers, and near-eye display systems are applied more in various scenes, and development prospects are expected. In the near-eye display field, optical waveguide display technology has been attracting attention in its light and thin volume closest to the form of glasses. Projection light engines using self-luminous chips such as Organic Light Emitting Diodes (OLED) are simple in structure and widely used.
In the process of implementing the embodiments of the present utility model, the inventors found that at least the following problems exist in the above related art: referring to fig. 1, in the conventional optical engine, a lens group composed of a plurality of lenses (e.g., more than 3 lenses are generally required) is generally required, so that the number of lenses is large, not only can the processing cost be increased, but also the difficulty of assembling a plurality of optical elements and structural members is high, the production man-hour is increased, the yield of the product quality is reduced, and the volume of the lens group is generally large, which is not beneficial to the structural design of near-to-eye display products such as augmented reality (Augmented Rea l ity, AR) glasses.
Disclosure of Invention
The embodiment of the application provides near-eye display equipment.
The aim of the embodiment of the utility model is realized by the following technical scheme:
in order to solve the above technical problems, in a first aspect, an optical engine module is provided in an embodiment of the present utility model, including an image source and an imaging system disposed in an light emitting direction of the image source, where the imaging system includes a first freeform prism and a second freeform prism, a medium gap is disposed between the first freeform prism and the second freeform prism, the first freeform prism includes at least a first light incident surface, a first light reflecting surface and a first light emitting surface, the first light reflecting surface is a freeform surface, the second freeform prism includes at least a second light incident surface, a second light reflecting surface and a second light emitting surface, the second light reflecting surface is a freeform surface, image light emitted from the image source enters the first freeform prism from the first light incident surface, is totally reflected by the first light reflecting surface and then exits from the first light emitting surface, image light emitted from the first light emitting surface enters the second freeform prism from the second light incident surface via the medium gap, is totally reflected by the second light reflecting surface and then exits from the second light reflecting surface.
In some embodiments, the first light incident surface and the first light emergent surface are planar; the second light incident surface is a plane or a free curved surface; the second light-emitting surface is a plane, a spherical surface, an aspheric surface or a free-form curved surface.
In some embodiments, the optical-mechanical module is applied to a near-eye display device, and the near-eye display device further includes a waveguide sheet, where the waveguide sheet is a one-dimensional mydriatic waveguide, the second light-emitting surface is opposite to the light-entering surface of the one-dimensional mydriatic waveguide, and in a width direction of the waveguide sheet, a width of the first freeform prism, which is close to the second freeform prism, is greater than a width of the first freeform prism, which is far away from the second freeform prism, and a width direction of the waveguide sheet is perpendicular to a light-emitting direction of the waveguide sheet and a mydriatic direction of the waveguide sheet.
In some embodiments, the surface profile of the free-form surface is a combination of one or more of an XY polynomial free-form surface profile, a zernike polynomial free-form surface profile, and a deformed aspheric surface profile.
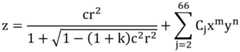
In some embodiments, when the surface shape of the free-form surface is an XY polynomial free-form surface shape, the surface shape of the free-form surface has the expression:
Figure SMS_1
Figure SMS_2
wherein z represents the sagittal value of the free-form surface, C represents the inverse of the radius of curvature, r represents the radial distance of a point on the surface, k represents the quadric constant, Cj Representing polynomial coefficients, m and n representing the order of the plane coordinates x and y of the free-form surface, respectively.
In some embodiments, the first light incident surface, the first light emergent surface, the second light incident surface and/or the second light emergent surface are/is coated with an antireflection film, and the first reflective surface and the second reflective surface are coated with a high reflective film.
In some embodiments, the first reflective surface is convex and the second reflective surface is concave.
In some embodiments, the media gap is an air gap and the thickness of the media gap is on the order of microns or millimeters.
In some embodiments, the light emitting surface of the image source is disposed on one side of the first free prism, so that the light emitting surface of the image source is parallel to a first direction, or an included angle between the light emitting surface of the image source and the first direction is not greater than an included angle between the first light entering surface and the first direction, and the first direction is a length direction of the optical machine module.
In order to solve the above technical problem, in a second aspect, an embodiment of the present utility model provides a near-eye display device, which includes the optical engine module set in the first aspect and a waveguide sheet disposed in a light emitting direction of the optical engine module, and an image light emitted from the second light emitting surface is emitted to a human eye to form an image through the waveguide sheet.
In some embodiments, the waveguide sheet includes a coupling-in prism, where the coupling-in prism is used to adjust an incident angle when the image light emitted from the second light-emitting surface is incident on the surface of the waveguide sheet, so that the image light can be totally reflected and propagated in the waveguide sheet, or the waveguide sheet includes a reflecting surface having a preset angle with the second light-emitting surface, and the reflecting surface is used to adjust an incident angle when the image light emitted from the second light-emitting surface is incident on the surface of the waveguide sheet, so that the image light can be totally reflected and propagated in the waveguide sheet.
In some embodiments, the light emitting surface of the image source and the light emitting surface of the waveguide sheet are disposed perpendicular to each other.
Compared with the prior art, the utility model has the beneficial effects that: in the embodiment of the utility model, the optical machine module comprises an image source and an imaging system arranged in the light emitting direction of the image source, wherein the imaging system comprises a first freeform prism and a second freeform prism, a medium gap is arranged between the first freeform prism and the second freeform prism, the first freeform prism at least comprises a first light entering surface, a first light reflecting surface and a first light emitting surface, the first light reflecting surface is a freeform surface, the second freeform prism at least comprises a second light entering surface, a second light reflecting surface and a second light emitting surface, the second light reflecting surface is a freeform surface, the image light emitted by the image source enters the first freeform prism from the first light entering surface, is emitted from the first light emitting surface after being reflected by the first light reflecting surface and is emitted from the first light emitting surface after being totally reflected by the first light reflecting surface, the image light emitted from the first light emitting surface enters the second freeform surface after being totally reflected by the second light reflecting surface and being emitted by the second light emitting surface after being totally reflected by the second light reflecting surface. According to the optical machine module provided by the embodiment of the utility model, the two free-form surface prisms are arranged in the imaging system to turn the image light beams, so that the number of optical components is reduced while the arrangement freedom degree among the optical components of the optical machine module is improved, and the optical machine module is compact in structure, small in size and light in weight.
Drawings
One or more embodiments are illustrated by way of example and not limitation in the figures of the accompanying drawings, in which like references indicate similar elements/modules, and in which the figures are not to be taken in a limiting sense, unless expressly stated otherwise.
FIG. 1 is a top view of a structure of a wearable near-eye display device of the prior art;
fig. 2 is a schematic structural diagram of an optical engine module and a waveguide sheet mounted thereon according to an embodiment of the present utility model;
FIG. 3 is a graph of the full field MTF of the opto-mechanical module of FIG. 2 under the parameters shown in Table 1;
FIG. 4 is a graph of the grid distortion of the opto-mechanical module of FIG. 2 under the parameters shown in Table 1;
fig. 5 is a top view of a structure of a wearable near-eye display device according to an embodiment of the present utility model;
fig. 6 is a schematic structural diagram of another optical mechanical module and another waveguide chip mounted thereon according to an embodiment of the present utility model;
fig. 7 (a) is a schematic three-dimensional structure of another optical mechanical module and another waveguide chip mounted thereon according to an embodiment of the present utility model;
fig. 7 (b) is a view of the optical engine module and waveguide sheet shown in fig. 7 (a) in the Y-direction;
FIG. 7 (c) is a view of the optical engine module and waveguide sheet of FIG. 7 (a) in the X-direction;
fig. 8 is a top view illustrating a structure of another wearable near-eye display device according to an embodiment of the present utility model.
Detailed Description
The present utility model will be described in detail with reference to specific examples. The following examples will assist those skilled in the art in further understanding the present utility model, but are not intended to limit the utility model in any way. It should be noted that variations and modifications could be made by those skilled in the art without departing from the inventive concept. These are all within the scope of the present utility model.
In order to make the objects, technical solutions and advantages of the present application more apparent, the present application will be further described in detail with reference to the accompanying drawings and examples. It should be understood that the specific embodiments described herein are for purposes of illustration only and are not intended to limit the present application.
It should be noted that, if not conflicting, the various features of the embodiments of the present utility model may be combined with each other, which are all within the protection scope of the present application. In addition, although functional block division is performed in the device schematic, in some cases, block division may be different from that in the device. Moreover, the words "first," "second," and the like as used herein do not limit the data and order of execution, but merely distinguish between identical or similar items that have substantially the same function and effect. In order to facilitate the definition of the connection structure, the utility model takes the light emitting direction of the image light as a reference to define the position of the component.
Unless defined otherwise, all technical and scientific terms used herein have the same meaning as commonly understood by one of ordinary skill in the art to which this utility model belongs. The terminology used in the description of the utility model herein is for the purpose of describing particular embodiments only and is not intended to be limiting of the utility model. The term "and/or" as used in this specification includes any and all combinations of one or more of the associated listed items.
In addition, the technical features of the embodiments of the present utility model described below may be combined with each other as long as they do not collide with each other.
In order to solve the problems of large size, large weight, large assembly difficulty and many optical devices of the conventional near-eye display equipment, the embodiment of the utility model provides an optical machine module and the near-eye display equipment, wherein the optical machine module is used for turning image light four times by arranging two free-form surface prisms, so that the image light can be incident into a waveguide sheet of the equipment to be coupled and imaged when the optical machine module is used for the near-eye display equipment, and the optical machine module has smaller size. Further, the light emitting surface of the image source is parallel to the length direction of the optical machine module, or the light emitting surface of the image source is obliquely arranged relative to the length direction of the optical machine module, and the inclination degree is not greater than that of the light entering surface of the first freeform prism relative to the length direction of the optical machine module, so that when the optical machine system is applied to the wearable near-to-eye display device, the backlight surface of the image source can tend to be parallel to the direction of the side face of the user, the thickness of the optical machine is reduced, the size of the device is reduced, and the device can be according to requirements.
In particular, embodiments of the present utility model are further described below with reference to the accompanying drawings.
Example 1
An embodiment of the present utility model provides an optical-mechanical module, which can be used for a near-eye display device, please refer to fig. 2 and 6, and the optical-mechanical module includes animage source 11 and an imaging system disposed in a light emitting direction of theimage source 11.
The imaging system comprises afirst freeform prism 12 and asecond freeform prism 13, wherein a medium gap is arranged between thefirst freeform prism 12 and thesecond freeform prism 13. In thefirst freeform prism 12 and thesecond freeform prism 13, at least one freeform surface exists on each surface through which the image light mainly passes, such as a reflective surface and a light-transmitting surface. Alternatively, the material of thefirst freeform prism 12 and the material of thesecond freeform prism 13 may be resin or glass, for example, polymethyl methacrylate (po l ymethy lmethacry l ate, PMMA), K26R, F R, T R, and other resin materials. Optionally, the refractive index of the medium in the medium gap is smaller than the refractive index of thefirst freeform prism 12 and thesecond freeform prism 13, so as to satisfy the law of reflection, so that the image light can enter thesecond freeform prism 13 through the medium gap, preferably, the medium gap is an air gap, and the thickness of the air gap is in a micrometer or millimeter level, for example, can be 5 μm, 50 μm, 500 μm, 1mm, and the like, and can be specifically designed according to practical needs.
Thefirst freeform prism 12 includes at least a firstlight incident surface 121, a firstlight reflecting surface 122 and a first lightemergent surface 123; the firstlight incident surface 121 and the first lightemergent surface 123 may be a plane, a sphere, an aspheric surface or a free-form surface, and preferably, for easier processing, the firstlight incident surface 121 and the first lightemergent surface 123 are planes; the first reflectingsurface 122 is a free-form surface. Further, the firstlight incident surface 121 and/or the first lightemergent surface 123 are/is coated with an antireflection film, and the firstlight reflecting surface 122 is coated with a high reflection film, so as to improve the optical efficiency. The image light generated by theimage source 11 enters the firstfreeform prism 12 through the firstlight incident surface 121, is reflected by the firstlight reflecting surface 122, reaches the firstlight incident surface 121 to be totally reflected, and finally is transmitted and emitted through the firstlight emitting surface 123. Preferably, in another embodiment, the angle at which the image light enters the firstfreeform prism 12 and/or the angle between the firstlight incident surface 121, the firstlight reflecting surface 122 and the firstlight emitting surface 123 need to be configured such that when the image light reaches the firstlight reflecting surface 122 and reaches the firstlight incident surface 121 for the second time, the incident angle of the image light is within the critical angle of total reflection of the surface, so that the total reflection transmission of the image in the firstfreeform prism 12 is realized.
The secondfreeform prism 13 includes at least a secondlight incident surface 131, a secondlight reflecting surface 132 and a second lightemergent surface 133; the secondlight incident surface 121 may be a plane, a sphere, an aspheric surface or a free-form surface, and preferably, the secondlight incident surface 131 is a plane or a free-form surface; the second reflectingsurface 132 is a free curved surface; the secondlight emitting surface 133 is one of a plane, a sphere, an aspheric surface, or a free-form surface, and preferably, in the examples shown in fig. 2 and fig. 6, the secondlight emitting surface 133 is a free-form surface. Further, the secondlight incident surface 131 and/or the second lightemergent surface 133 are/is coated with an antireflection film, and the secondlight reflecting surface 132 is coated with a high reflection film, so as to improve the optical efficiency. The image light emitted from the firstfreeform prism 12 enters the secondfreeform prism 13 through the secondlight incident surface 131, is reflected by the secondlight reflecting surface 132, reaches the secondlight incident surface 131 to be totally reflected, and finally is emitted through the secondlight emitting surface 132, and the image light emitted from the secondfreeform prism 13 is collimated parallel light. Preferably, in one embodiment, the angle at which the image light enters the secondfreeform prism 13 and/or the angle between the secondlight incident surface 131, the secondlight reflecting surface 132 and the secondlight emitting surface 133 need to be configured such that the incident angle of the image light is within the critical angle of total reflection of the surface when the image light reaches the secondlight reflecting surface 132 and reaches the secondlight incident surface 131 for the second time, thereby realizing total reflection transmission of the image in the secondfreeform prism 13.
Further, the firstreflective surface 122 is convex, and the secondreflective surface 132 is concave. The firstreflective surface 122 is convex to enable the converging light beam of each field of view emitted from theimage source 11 to diverge to meet the image height of theimage source 11, and the secondreflective surface 132 is concave to constrict the light beam to reduce the volume coupled into the prism.
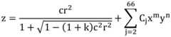
The surface type of the free-form surface is one or a combination of a plurality of XY polynomial free-form surface type, zernike polynomial free-form surface type and deformed aspheric surface (Anamorph i c Asphere) surface type, the surface types of the curved surfaces on the first free-form surface prism 12 and the second free-form surface prism 13 can be the same or different, the embodiment of the utility model can correct the off-axis aberration of the optical system by utilizing the special-shaped optical structure of the free-form surface, thereby improving the imaging quality, and the special angle between the light-transmitting optical surfaces is optimized through design to control the deflection angle of the optical axis, so that the angle of the optical axis can be adjusted to a proper direction to be matched with the coupling angle of theoptical waveguide sheet 14 and adapt to the requirements of the whole product modeling design of AR glasses. When the surface shape of the free-form surface is an XY polynomial free-form surface shape, the surface shape of the free-form surface has the following expression:
Figure SMS_3
Figure SMS_4
wherein z represents the sagittal value of the free-form surface, C represents the inverse of the radius of curvature, r represents the radial distance of a point on the surface, k represents the quadric constant, Cj Representing polynomial coefficients, m and n representing the order of the plane coordinates x and y of the free-form surface, respectively.
Theimage source 11 may be a self-luminous display chip, and may directly output image light, for example, be an organic light-emitting Diode (OLED), a Micro light-emitting Diode (Micro-LED), or the like, and may specifically be selected according to actual needs.
The light emitting surface of theimage source 11 is disposed on one side of the firstfree prism 12, so that the light emitting surface of theimage source 11 is parallel to a first direction, or an included angle between the light emitting surface of theimage source 11 and the first direction is not greater than an included angle between the first light incident surface and the first direction, and the first direction is a length direction of the optical machine module. Specifically, referring to fig. 2, 5, 6, and 8, when the firstlight incident surface 121 is parallel or inclined with respect to the first direction, the light emergent surface of theimage source 11 is parallel to the first direction, that is: when the optical-mechanical module is applied to the near-eye display device, the light-emitting surface of theimage source 11 and the light-emitting surface of the waveguide sheet are perpendicular to each other. In order to make the overall structure of the optical engine module more compact and reasonable, or make the overall structure of the device more compact and reasonable when the optical engine module is applied to the near-to-eye display device, referring to fig. 6 and 8, when the firstlight incident surface 121 is obliquely arranged with respect to the first direction, theimage source 11 may be obliquely arranged at a certain angle with respect to the first direction, and the degree of the inclination is up to the maximum that the light emergent surface of theimage source 11 is parallel to the first light incident surface 121 (i.e., the light incident surface of the first free prism 12); namely: when the firstlight incident surface 121 is inclined relative to the first direction, an included angle between the light emergent surface of theimage source 11 and the first direction is not greater than an included angle between the firstlight incident surface 121 and the first direction. Obviously, compared with the existing optical-mechanical module shown in fig. 1, the screen display direction of the chip (i.e. the image source) and the view angle direction are set to be consistent (i.e. the chip is horizontally arranged), in order to wrap the horizontally arranged chip, the glasses leg has to be widened, so that the lateral dimension of the optical-mechanical module in the AR complete machine is too large, and the appearance of near-eye display equipment such as AR glasses is also influenced; the image source 11 provided in this embodiment is more beneficial to reduce the transverse size of the optical machine module when being parallel or inclined relative to the first direction (i.e. the display chip is laterally/longitudinally arranged), so that the optical machine module is more beneficial to the near-eye display device to conform to the ergonomic design when being applied to the near-eye display device, and meanwhile, the angle between the first light incident surface 121 and the waveguide sheet can be designed according to the angle required by the glasses leg and the waveguide sheet, thereby meeting the design requirements of the glasses leg angle of different AR glasses; in addition, as the whole light path structure is orderly arranged and the image source is laterally arranged, the whole optical machine is free of folding bulges, the long-side transverse arrangement of the image source is avoided, and great convenience is provided for the structural design of the follow-up whole machine.
When the optical-mechanical module is applied to AR glasses, the width of the temple of the AR glasses is positively related to the dimension of the first freeform prism in the light emitting direction of the image source, and is positively related to the width direction of the waveguide sheet, please refer to fig. 7 (a), 7 (b) and 7 (c), which illustrate the three-dimensional structure of the optical-mechanical module and the carried waveguide sheet thereof and the projection in the Y direction and the X direction according to the embodiment of the present utility model. For AR glasses, the width of the temple is related to the dimensions of theimage source 11, the firstfreeform prism 12, and the secondfreeform prism 13 of the opto-mechanical module in the Y direction and the Z direction. For the size of the glasses leg in the Y direction, the space required by the glasses leg in the Y direction is reduced by arranging the chip of the image source along the X direction, so that the width of the glasses leg in the Y direction is reduced.
In the conventional one-dimensional pupil-expanding waveguide, however, since thewaveguide sheet 14 is designed to expand pupil only in the Y direction (i.e., the length direction of the waveguide sheet), but not in the Z direction (i.e., the width direction of the waveguide sheet), and thewaveguide sheet 14 also needs to ensure a sufficiently large light-emitting range in the Z direction to satisfy the required eye movement range, the width of the coupling-insurface 141 of thewaveguide sheet 14 in the Z direction needs to be designed to coincide with the light-emitting width of the waveguide sheet, which results in a wider coupling-insurface 141 of thewaveguide sheet 14 and a correspondingly wider coupling-out surface of theprism 13 outputting image light from theimage source 11 to thewaveguide sheet 14, which results in a larger width of the mirror leg required in the Z direction.
In order to solve this problem, as shown in fig. 7 (a) and 7 (b), by designing the structure and the optical path of the first freeform prism, the width of the firstfreeform prism 12 in the width direction of thewaveguide sheet 14 is gradually reduced from the end close to the second freeform surface to the end far from the second freeform surface, and the parameters of the first freeform surface are adjusted so that the light enters the first freeform prism through the first light incident surface, and is reflected by the first light reflecting surface and totally reflected by the first light incident surface, and then exits from the first light emitting surface to the second light incident surface, that is, in the width direction of thewaveguide sheet 14, the width of the firstfreeform prism 12 close to the secondfreeform prism 13 is larger than the width far from the secondfreeform prism 13, wherein the width direction of thewaveguide sheet 14 is perpendicular to the light emitting direction (i.e., X direction) of thewaveguide sheet 14 and the pupil direction (i.e., Y direction) of the waveguide sheet, that is, the width direction of thewaveguide sheet 14 is Z direction shown in fig. 7. After the structure of the firstfreeform prism 12 for coupling in the image light is reduced in the Z direction, the temple of the AR glasses may be correspondingly reduced in the Z direction, so as to obtain a narrower temple width as shown in fig. 7 (c).
As shown in fig. 2, fig. 6, and fig. 7 (a), when the optical machine module is applied to the near-eye display device, the optical machine module is provided with thewaveguide sheet 14 in the light emitting direction, where thewaveguide sheet 14 may be a geometrical optical waveguide, a diffractive optical waveguide, or other types of optical waveguide sheets, or a combination of multiple types of optical waveguide sheets, specifically, may be set according to actual needs, and the image light emitted from the secondfreeform prism 13 is transmitted through total reflection of thewaveguide sheet 14, and finally coupled out to reach the human eye, so as to realize the imaging effect of augmented reality display. Further, referring to fig. 2, 6 and 7 (a), thewaveguide sheet 14 includes a coupling-inprism 141, and the coupling-inprism 141 adjusts the angle of the image light emitted from the secondfreeform prism 13, so that the image light can be totally reflected and propagated in thewaveguide sheet 14.
In the embodiment of the present utility model, the image light emitted from theimage source 11 enters the first freeform prism from the firstlight incident surface 121, is reflected by the firstlight reflecting surface 122 and totally reflected by the firstlight incident surface 121, then exits from the firstlight emitting surface 123, the image light exiting from the firstlight emitting surface 123 enters the secondfreeform prism 13 from the secondlight incident surface 131 through the medium gap, is reflected by the secondlight reflecting surface 132 and totally reflected again by the secondlight incident surface 131, then exits from the secondlight emitting surface 133, and the total four reflected image light exits to the human eye through thewaveguide sheet 14 for imaging. The firstfreeform prism 12 and the secondfreeform prism 13 are arranged at intervals with a certain medium gap, so that image light rays in the firstfreeform prism 12 and the secondfreeform prism 13 realize multiple turn-back transmission through total reflection or combination of total reflection and high reflection, and the optical machine module can realize: (1) Total reflection is introduced as much as possible, so that the light efficiency loss is small, and the optical efficiency is high; (2) The transmission direction of the optical axis can be controlled and the light emitting direction can be adjusted by designing the relative angles between different reflecting surfaces; (3) The off-axis aberration of the image light rays is adjusted by using the free curved surface, so that the imaging quality can be improved; (4) The light path of the whole optical system is repeatedly folded, so that the optical path of the optical system is short, the structure is compact, the volume is small, and the weight is light.
Specifically, please refer to table 1 below, which shows basic optical surface parameters of the optical-mechanical module shown in fig. 2 when the plane at the position of the dotted line shown in fig. 2 is taken as a reference plane (EP), and when the optical volume is 15.0mm x 6.0mm x 18.0mm, and theimage source 11 is an OLED, the optical-mechanical module is tested to obtain a modulation transfer function (Modu l at i on Transfer Funct i on, MTF) curve with a projection view angle of 25 ° and an exit pupil range of 4mm x 18mm, please refer to fig. 3, and fig. 3 can obtain an imaging MTF > 0.4@50l p/mm within the full view field of the optical-mechanical module, which indicates that the optical-mechanical module has better imaging quality; referring to fig. 4, the grid distortion chart of the optical machine module can be obtained from fig. 4, and the distortion of the optical machine module is less than 2%, which indicates that the optical machine module has better imaging quality. The test shows that the opto-mechanical module shown in fig. 6 has better imaging quality, and is not exemplified here.
Figure SMS_5
Figure SMS_6
TABLE 1
Wherein, inf represents infinity (Infi nity), and the curvature radius of the sphere is plane when infinity.
Example two
Referring to fig. 2 and 5 together, the wearable near-eye display device shown in fig. 5 includes an optical machine module shown in fig. 2 and awaveguide sheet 14 disposed in a light emitting direction of the optical machine module in the first embodiment, and an image light emitted from the second light emitting surface is emitted to a human eye through thewaveguide sheet 14 for imaging.
Specifically, when the near-eye display device is AR glasses, referring to fig. 5, the waveguide sheet includes a coupling-in prism, and the coupling-in prism is used to adjust an incident angle of the image light emitted from the second light-emitting surface when the image light is incident on the surface of thewaveguide sheet 14, so that the image light can be totally reflected and propagated in thewaveguide sheet 14.
In addition, referring to fig. 1, in the design scheme of the existing near-eye display device, the display direction of the screen is consistent with the viewing angle direction, so that in order to wrap the horizontally arranged chip, the temples have to be widened, which results in that the lateral dimension of the optical machine in the AR complete machine is too large, and meanwhile, the appearance of the near-eye display device such as AR glasses is also affected. Therefore, in some embodiments, please continue to refer to fig. 5, the light emitting surface of theimage source 11 and the light emitting surface of thewaveguide sheet 14 are disposed perpendicular to each other, the chip of theimage source 11 is disposed on one side of the optical mechanical module, the circuit board of the chip is laid along the temple direction of the AR glasses, and when the user wears the near-eye display device, the backlight surface of theimage source 11 is disposed parallel to and close to the side face direction of the user, so that the width of the temple can be greatly reduced, the volume of the whole optical mechanical module is greatly reduced, and the portable design of the wearable augmented reality product is very beneficial.
It should be noted that the arrangement perpendicular to each other may be completely perpendicular, that is, a relationship of forming an included angle of 90 degrees, or may be approximately perpendicular, for example, a relationship of forming an included angle of 80 degrees to 90 degrees, and may specifically be arranged according to an appearance shape of the near-to-eye display device in an actual application process, which is not limited by the embodiment of the present utility model.
It should be further noted that, the optical-mechanical module provided in the first embodiment of the present utility model may be applied not only to the wearable near-eye display device provided in the embodiment of the present utility model, but also to other types of near-eye display devices, and may be specifically designed according to actual needs, without being limited by the embodiment of the present utility model.
Example III
Fig. 8 shows a structure of another wearable near-eye display device provided by the embodiment of the utility model, and fig. 6 is a structure of another optical machine module and another waveguide sheet carried by the optical machine module, that is, a structure of the optical machine module and the waveguide sheet in fig. 8, provided by the embodiment of the utility model, the wearable near-eye display device includes the optical machine module shown in fig. 6 in embodiment one and thewaveguide sheet 14 arranged in an emitting direction of the optical machine module, and image light emitted from the second emitting surface is emitted to a human eye through thewaveguide sheet 14 to be imaged.
In the embodiment of the present utility model, the image light entering thewaveguide plate 14 adopts a direct-in coupling-in mode, specifically, thewaveguide plate 14 includes a reflecting surface having a predetermined angle with the second light-emitting surface, and the reflecting surface is used for adjusting an incident angle when the image light emitted from the second light-emitting surface is incident on the surface of thewaveguide plate 14, so that the image light can be totally reflected and propagated in the waveguide plate. The design can further reduce the head size of the front end of the glasses leg, so that the AR glasses/near-to-eye display device carrying the optical machine module of the embodiment of the utility model is closer to the actual glasses form. More specifically, the preset angle is designed reasonably, so that the incident angle when the image light rays emitted from the second light emitting surface are reflected by the reflecting surface and reach the surface of thewaveguide sheet 14 is larger than the critical angle of total reflection, and the image light rays can be transmitted in the waveguide sheet in a total reflection way.
In addition, referring to fig. 1, in the design scheme of the existing near-eye display device, the display direction of the screen is consistent with the viewing angle direction, so that in order to wrap the horizontally arranged chip, the temples have to be widened, which results in that the lateral dimension of the optical machine in the AR complete machine is too large, and meanwhile, the appearance of the near-eye display device such as AR glasses is also affected. Therefore, in some embodiments, please continue to refer to fig. 8, the light-emitting surface of theimage source 11 may be disposed perpendicular to the light-emitting surface of thewaveguide sheet 14, the chip of theimage source 11 is disposed on one side of the optical-mechanical module, the circuit board of the chip is laid along the direction of the temple of the AR glasses, and when the user wears the near-eye display device, the backlight surface of theimage source 11 is disposed parallel to and close to the direction of the user's side face, so that the width of the temple can be greatly reduced, the volume of the whole optical-mechanical module is greatly reduced, and the portable design of the wearable augmented reality product is very beneficial.
It should be noted that the arrangement perpendicular to each other may be completely perpendicular, that is, a relationship of forming an included angle of 90 degrees, or may be approximately perpendicular, for example, a relationship of forming an included angle of 80 degrees to 90 degrees, and may specifically be arranged according to an appearance shape of the near-to-eye display device in an actual application process, which is not limited by the embodiment of the present utility model.
It should be further noted that, the optical-mechanical module provided in the first embodiment of the present utility model may be applied not only to the wearable near-eye display device provided in the embodiment of the present utility model, but also to other types of near-eye display devices, and may be specifically designed according to actual needs, without being limited by the embodiment of the present utility model.
The embodiment of the utility model provides an optical machine module and near-to-eye display equipment, wherein the optical machine module comprises an image source and an imaging system arranged in the light emitting direction of the image source, the imaging system comprises a first freeform prism and a second freeform prism, a medium gap is arranged between the first freeform prism and the second freeform prism, the first freeform prism at least comprises a first light entering surface, a first reflecting surface and a first light emitting surface, the first reflecting surface is a freeform surface, the second freeform prism at least comprises a second light entering surface, a second reflecting surface and a second light emitting surface, the second reflecting surface is a freeform surface, the image light emitted by the image source enters the first freeform prism from the first light entering surface, is reflected by the first reflecting surface and is totally reflected by the first light entering surface, then enters the second freeform surface from the second freeform surface through the medium gap, and the image light emitted by the first light exiting from the first light exiting surface enters the second freeform surface, is totally reflected by the second reflecting surface and finally enters the second reflecting surface from the second light exiting surface. The optical machine module skillfully turns the light beam by arranging the two free-form surface prisms in the imaging system, and the two free-form surface prisms are combined at a certain angle to replace the traditional multi-sheet projection lens group, so that on one hand, the space volume of the optical machine module can be effectively reduced, and the length and the width can be effectively reduced; on the other hand, the number of optical elements is small, the assembly is simple, the cost is low, and the yield is high; the free curved surface is used, so that the imaging quality of the optical machine module is better, the resolution is higher, the image distortion is small, and the image uniformity is higher; in addition, the light beam is turned through the two free-form surface prisms, so that the emergent angle of the optical axis can be adjusted at will, and the requirements can be met: the method is better matched with the personalized requirements of the whole design of the wave guide sheet and the AR product in the subsequent application. Therefore, the optical machine module provided by the embodiment of the utility model has the characteristics of compact structure, smaller size, lighter weight, good imaging effect, capability of meeting the subsequent design of application equipment of the optical machine, and the like.
It should be noted that the above-described apparatus embodiments are merely illustrative, and the units described as separate units may or may not be physically separate, and units shown as units may or may not be physical units, may be located in one place, or may be distributed over a plurality of network units. Some or all of the modules may be selected according to actual needs to achieve the purpose of the solution of this embodiment.
Finally, it should be noted that: the above embodiments are only for illustrating the technical solution of the present utility model, and are not limiting; the technical features of the above embodiments or in the different embodiments may also be combined within the idea of the utility model, the steps may be implemented in any order, and there are many other variations of the different aspects of the utility model as described above, which are not provided in detail for the sake of brevity; although the utility model has been described in detail with reference to the foregoing embodiments, it will be understood by those of ordinary skill in the art that: the technical scheme described in the foregoing embodiments can be modified or some technical features thereof can be replaced by equivalents; such modifications and substitutions do not depart from the spirit of the utility model.

Claims (12)

1. An optical machine module comprises an image source and an imaging system arranged in the light emitting direction of the image source, and is characterized in that,
the imaging system comprises a first free-form surface prism and a second free-form surface prism, a medium gap is arranged between the first free-form surface prism and the second free-form surface prism,
the first free-form surface prism at least comprises a first light incident surface, a first reflecting surface and a first light emergent surface, wherein the first reflecting surface is a free-form surface,
the second freeform surface prism at least comprises a second light incident surface, a second reflecting surface and a second light emergent surface, wherein the second reflecting surface is a freeform surface,
the image light emitted from the image source enters the first freeform prism from the first light incident surface, sequentially reflects through the first reflecting surface and totally reflects through the first light incident surface, then exits from the first light emergent surface, and the image light emitted from the first light emergent surface enters the second freeform prism from the second light incident surface through the medium gap, sequentially reflects through the second reflecting surface and totally reflects through the second light incident surface, and then exits from the second light emergent surface.
2. The optical bench module as claimed in claim 1, wherein,
the first light incident surface and the first light emergent surface are planes;
the second light incident surface is a plane or a free curved surface;
the second light-emitting surface is a plane, a spherical surface, an aspheric surface or a free-form curved surface.
3. The optical bench module as claimed in claim 1, wherein,
the optical machine module is applied to near-eye display equipment, the near-eye display equipment also comprises a waveguide sheet, the waveguide sheet is a one-dimensional pupil-expanding waveguide, the second light-emitting surface is arranged opposite to the light-entering surface of the one-dimensional pupil-expanding waveguide,
and in the width direction of the waveguide sheet, the width of the first freeform surface prism, which is close to the second freeform surface prism, is larger than the width of the second freeform surface prism, which is far away from the second freeform surface prism, wherein the width direction of the waveguide sheet is perpendicular to the light emergent direction of the waveguide sheet and the pupil expanding direction of the waveguide sheet.
4. The optical bench module as claimed in claim 2, wherein,
the surface type of the free-form surface is one or a combination of a plurality of XY polynomial free-form surface type, zernike polynomial free-form surface type and deformed aspheric surface type.
5. The optical bench module as claimed in claim 4, wherein,
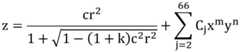
when the surface shape of the free-form surface is an XY polynomial free-form surface shape, the surface shape of the free-form surface has the following expression:
Figure FDA0003964854080000021
Figure FDA0003964854080000022
wherein z represents the sagittal value of the free-form surface, C represents the inverse of the radius of curvature, r represents the radial distance of a point on the surface, k represents the quadric constant, Cj Representing polynomial coefficients, m and n representing the order of the plane coordinates x and y of the free-form surface, respectively.
6. The optical bench module as claimed in claim 4, wherein,
the first light incident surface, the first light emergent surface, the second light incident surface and/or the second light emergent surface are/is plated with an antireflection film, and the first reflecting surface and the second reflecting surface are/is plated with a high reflecting film.
7. The optical bench module as claimed in claim 4, wherein,
the first reflecting surface is a convex surface, and the second reflecting surface is a concave surface.
8. The optical bench module as claimed in claim 1, wherein,
the medium gap is an air gap, and the thickness of the medium gap is in a micron level or a millimeter level.
9. The optical bench module as claimed in any of claims 1-8, wherein,
the light-emitting surface of the image source is arranged on one side of the first free prism, so that the light-emitting surface of the image source is parallel to a first direction, or an included angle between the light-emitting surface of the image source and the first direction is not larger than an included angle between the first light-entering surface and the first direction, and the first direction is the length direction of the optical machine module.
10. A near-eye display device, comprising the optical machine module according to any one of claims 1 to 9 and a waveguide sheet disposed in a light emitting direction of the optical machine module, wherein the image light emitted from the second light emitting surface is emitted to human eyes for imaging through the waveguide sheet.
11. The near-eye display device of claim 10, wherein the display device comprises a display device,
the waveguide sheet comprises a coupling-in prism, the coupling-in prism is used for adjusting the incident angle of the image light rays emitted from the second light emitting surface when the image light rays are emitted to the surface of the waveguide sheet, so that the image light rays can be totally reflected and transmitted in the waveguide sheet,
or,
the waveguide sheet comprises a reflecting surface which forms a preset angle with the second light-emitting surface, and the reflecting surface is used for adjusting the incidence angle when the image light rays emitted from the second light-emitting surface are emitted to the surface of the waveguide sheet so that the image light rays can be totally reflected and transmitted in the waveguide sheet.
12. The near-eye display device of claim 10, wherein the display device comprises a display device,
the light-emitting surface of the image source and the light-emitting surface of the waveguide sheet are mutually perpendicular.
CN202223153459.4U2022-05-252022-11-25Optical machine module and near-to-eye display deviceActiveCN218956921U (en)

Applications Claiming Priority (2)

Application NumberPriority DateFiling DateTitle
CN20221057445822022-05-25
CN202210574458.2ACN114675424A (en)2022-05-252022-05-25Optical machine module and near-to-eye display equipment

Publications (1)

Publication NumberPublication Date
CN218956921Utrue CN218956921U (en)2023-05-02

Family

ID=82080599

Family Applications (2)

Application NumberTitlePriority DateFiling Date
CN202210574458.2APendingCN114675424A (en)2022-05-252022-05-25Optical machine module and near-to-eye display equipment
CN202223153459.4UActiveCN218956921U (en)2022-05-252022-11-25Optical machine module and near-to-eye display device

Family Applications Before (1)

Application NumberTitlePriority DateFiling Date
CN202210574458.2APendingCN114675424A (en)2022-05-252022-05-25Optical machine module and near-to-eye display equipment

Country Status (1)

CountryLink
CN (2)CN114675424A (en)

Cited By (1)

* Cited by examiner, † Cited by third party
Publication numberPriority datePublication dateAssigneeTitle
TWI866709B (en)*2023-12-202024-12-11佐臻股份有限公司Near-eye display device

Families Citing this family (1)

* Cited by examiner, † Cited by third party
Publication numberPriority datePublication dateAssigneeTitle
CN117148540A (en)*2023-02-012023-12-01荣耀终端有限公司Lens assembly, camera module and electronic equipment

Family Cites Families (7)

* Cited by examiner, † Cited by third party
Publication numberPriority datePublication dateAssigneeTitle
JPH11326766A (en)*1998-05-191999-11-26Olympus Optical Co LtdImage-formation optical system and device using the system
JP2001166209A (en)*1999-12-072001-06-22Olympus Optical Co LtdImage optical system
JP2001249301A (en)*2000-03-032001-09-14Olympus Optical Co LtdObservation optical system and image display device using the same
JP5389492B2 (en)*2009-03-252014-01-15オリンパス株式会社 Head-mounted image display device
CN108732767A (en)*2018-08-292018-11-02深圳珑璟光电技术有限公司A kind of nearly eye of compact free form surface waveguide shows Optical devices
CN215494347U (en)*2021-04-302022-01-11德伽智能光电(镇江)有限公司Projection type optical lens group and near-to-eye display device
CN113934000A (en)*2021-10-222022-01-14小派科技(上海)有限责任公司 Optical device, optical system, display device, display device and display system

Cited By (1)

* Cited by examiner, † Cited by third party
Publication numberPriority datePublication dateAssigneeTitle
TWI866709B (en)*2023-12-202024-12-11佐臻股份有限公司Near-eye display device

Also Published As

Publication numberPublication date
CN114675424A (en)2022-06-28

Similar Documents

PublicationPublication DateTitle
CN218956921U (en)Optical machine module and near-to-eye display device
CN111399321B (en)Small-size projection optical assembly and projection optical system suitable for near-eye display
CN216526543U (en)Two-piece type waveguide optical module and near-to-eye display equipment
WO2017219433A1 (en)Optical device for waveguide headset display
CN111610631B (en) Optical system and near-eye display device
CN110873967A (en)Near-to-eye display optical system and head-mounted display
CN116348707A (en) Compact head-mounted display system with small input hole and large output hole
CN111766754A (en) Optical system and projection device
CN215117019U (en)Optical lens group and near-to-eye display device
CN219349182U (en)Optical waveguide and near-to-eye display device
CN217360452U (en)Near-to-eye display module and near-to-eye display equipment
CN215769205U (en)Near-to-eye display system
CN114594575A (en)Optical projection system and electronic equipment
CN107272203B (en)Refractive, diffractive and reflective head-mounted display optical system
CN117406458B (en) Optical waveguide devices and display equipment
CN113031279A (en)Near-to-eye display device with rectangular exit pupil
CN219609272U (en)Optical waveguide and near-to-eye display device
CN216285988U (en)Off-axis optical module and head-mounted display equipment
CN113985612B (en) Off-axis optical module and head-mounted display device
CN117970643A (en)Optical system
CN117666258A (en)Projection system and AR projection device
CN215494361U (en)Near-to-eye display device
CN215116989U (en)Illumination optical system
CN216013823U (en)Achromatic optical system for intelligent glasses
CN217034412U (en) Augmented reality optics and AR glasses

Legal Events

DateCodeTitleDescription
GR01Patent grant
GR01Patent grant

[8]ページ先頭

©2009-2025 Movatter.jp