Movatterモバイル変換


[0]ホーム

URL:


CN215481579U - Differential moisture-conducting fabric with double-sided foundation structure - Google Patents

Differential moisture-conducting fabric with double-sided foundation structure
Download PDF

Info

Publication number
CN215481579U
CN215481579UCN202121289843.XUCN202121289843UCN215481579UCN 215481579 UCN215481579 UCN 215481579UCN 202121289843 UCN202121289843 UCN 202121289843UCN 215481579 UCN215481579 UCN 215481579U
Authority
CN
China
Prior art keywords
yarn
fabric
skin
yarns
moisture
Prior art date
Legal status (The legal status is an assumption and is not a legal conclusion. Google has not performed a legal analysis and makes no representation as to the accuracy of the status listed.)
Active
Application number
CN202121289843.XU
Other languages
Chinese (zh)
Inventor
胡军岩
赵晓娟
翟国钧
Current Assignee (The listed assignees may be inaccurate. Google has not performed a legal analysis and makes no representation or warranty as to the accuracy of the list.)
Best Pacific Textile Ltd
Original Assignee
Best Pacific Textile Ltd
Priority date (The priority date is an assumption and is not a legal conclusion. Google has not performed a legal analysis and makes no representation as to the accuracy of the date listed.)
Filing date
Publication date
Application filed by Best Pacific Textile LtdfiledCriticalBest Pacific Textile Ltd
Priority to CN202121289843.XUpriorityCriticalpatent/CN215481579U/en
Application grantedgrantedCritical
Publication of CN215481579UpublicationCriticalpatent/CN215481579U/en
Activelegal-statusCriticalCurrent
Anticipated expirationlegal-statusCritical

Links

Images

Landscapes

Abstract

A double-sided base structure differential moisture-conducting fabric comprises a fabric body, wherein the fabric body is a weft-knitted fabric with a garment surface and a skin-attached surface formed by interweaving first yarns and second yarns, and the first yarns and the second yarns respectively comprise at least one yarn; the diameter of the first yarn is larger than that of the second yarn; the fabric body is provided with a plurality of unit circulation tissues formed by arranging and weaving first yarns and second yarns in an adjacent or alternate mode, and in one unit circulation tissue, the length distribution ratio of any one of the first yarns or the second yarns on the garment surface and the skin-contacting surface is 1: 1, the garment surface and the skin-contacting surface have the same basic structure, so that the differentiated moisture-conducting capacity of liquid water transmitted from the skin-contacting surface of the fabric body to the two surfaces of the garment surface is more than or equal to 100%. The utility model has uniform and stable one-way moisture-conducting capability, is dry, comfortable and non-sticky to wear, and is suitable for manufacturing T-shirts, trousers, shirts and the like.

Description

Differential moisture-conducting fabric with double-sided foundation structure
Technical Field
The utility model relates to the technical field of textile fabrics, in particular to a differential moisture-conducting fabric with a double-sided basic structure.
Background
The phenomenon of unidirectional conduction widely exists in nature, such as nerve conduction, moisture and energy transfer of plants, and the like. Through the bionic design, the one-way conduction effectively solves many practical problems of oil-water separation, mist water collection and the like in the separation or collection process. In recent years, people put forward higher requirements on the comfort and functionality of clothes, and multifunctional textiles such as waterproof moisture permeable fabrics, moisture absorption quick-drying fabrics, heat conduction cool feeling fabrics and the like are attracted by wide attention.
At present, the method for producing the unidirectional moisture-conducting fabric in the industry mainly comprises two methods: one is to print a water-repellent pattern on the back surface of the fabric by using a coating or printing process, wherein the area of the pattern accounts for 20-80% of the total area of the back surface. For example: publication No. CN1831233A discloses a comfortable and quick-drying fabric with inner and outer layers having differences in hydrophilic and hydrophobic properties and a production method thereof, and the effect of double-sided anisotropic and unidirectional perspiration is achieved by a method of performing hydrophobic coating or hydrophobic printing on the reverse side of the fabric.
Patent application CN201911344139.7, "a method for preparing multifunctional unidirectional moisture-conductive cotton fabric", discloses a unidirectional conductive fabric formed by combining functional materials with fabrics in a coating manner, which mainly comprises the following steps: (1) carrying out hydrophobic modification on the gas-phase nano-silica by adopting a silane coupling agent, and dispersing the gas-phase nano-silica in absolute ethyl alcohol to prepare hydrophobic gas-phase nano-silica absolute ethyl alcohol dispersion liquid; (2) mixing the hydrophobic gas-phase nano-silica absolute ethyl alcohol dispersion liquid with a fluorine-containing water repellent agent to prepare a water repellent coating agent; (3) the multifunctional one-way moisture-conducting cotton fabric is obtained by adopting a water repellent coating agent to carry out single-side interval coating finishing, pre-baking and baking on the cotton fabric.
The method has higher requirements on the technological parameters of the coating or the printing, and the printing thickness must be accurately controlled; too small a thickness results in poor washability, and too large a thickness affects the hydrophilic properties and hand feel of the front surface of the fabric, thereby reducing the unidirectional moisture-wicking properties of the fabric. The method is suitable for processing and producing the fabric with a smooth reverse side and is not suitable for cloth seeds with a suede and a concave-convex structure on the reverse side.
The other is that the front surface adopts hydrophilic yarn and the back surface adopts water-repellent yarn to weave the fabric. For example: publication No. CN205329268U discloses a moisture-absorbing and quick-drying knitted fabric, and a method for developing a one-way moisture-guiding, moisture-absorbing and quick-drying product by adopting a pure cotton material.
Patent application CN201811027306.0, "a multi-functional one-way moisture-guiding fabric", discloses that a multi-functional one-way moisture-guiding fabric is double-sided knitting eyelet fabric, weaves the grey cloth that forms double-sided structure through the double jersey knitting machine, the nexine of grey cloth forms the mesh structure through the knitting of tuck, the superficial area of grey cloth outer layer is greater than the nexine, forms the yarn of nexine is polyethylene yarn or polyethylene composite fiber yarn, forms the outer layer yarn is the yarn that the hydroscopicity is good, has ice-cold smoothness, easily dyes and has one-way moisture-guiding and ultraviolet resistance function.
The back surface of the knitted fabric is provided with a certain hydrophilic point and a certain water repellent point through the hydrophilic finished yarn and the water repellent finished yarn, the back surface of the knitted fabric forms a hydrophobic surface with a certain hydrophilic point, and the front surface of the knitted fabric is hydrophilic, so that the functions of one-way moisture conduction, moisture absorption and quick drying are achieved. The method adopts the method that the hydrophilic yarn and the water-repellent yarn are arranged at intervals, and if yarns with the same color number and yarn count are used in production, the condition that wrong yarns are easy to generate is distinguished only by the difference of hydrophilicity. In addition, the water repellent agent has higher molecular weight, water repellent finishing is performed on the cheese yarns, the uniform water repellent effect of the inner and outer layers of the cheese is difficult to ensure, and the moisture absorption and one-way moisture conduction effects of the final finished fabric are influenced.
For another example, publication No. CN101864636A discloses a woven fabric with double-sided opposite, unidirectional sweat-guiding and quick-drying functions and a production method thereof, wherein the reverse side of the woven fabric is woven by plied yarn of hydrophilic single yarn and water-repellent single yarn, the obverse side is woven by hydrophilic yarn, and the woven fabric with unidirectional moisture-guiding and moisture-absorbing quick-drying functions is developed by matching with a special tissue structure. The method for plying the hydrophilic single yarn and the water-repellent single yarn solves the problems that the hydrophilic yarn and the water-repellent yarn on the back side are complex in yarn arrangement and difficult to produce, but the folded yarn is adopted to weave the back side of the fabric, the production cost and the processing period of the folded yarn with the same yarn count are far higher than those of the single yarn, and the problems that the yarns are water-repellent, uneven in water-repellent effect, poor in washability and the like still exist.
The prior patent fabric realizes the one-way conduction function through technologies such as after-finishing, structural design and the like. The unidirectional conductive fabric realized by post-finishing modes such as printing or coating has poor unidirectional conductive function and poor water washing resistance, and feels hard and dry, so that the softness and comfort of the fabric are influenced. The process is suitable for flat cloth surfaces and is not suitable for cloth seeds with fluff or concave-convex structures on the back surfaces, and the fabric body is thick and heavy, so that the fabric has oppressive feeling when being worn and is deficient in heat-insulating performance; the existing double-sided patent fabric has a single conduction function realized by combining structural design with raw material collocation, for example, a clothing surface adopts a mesh structure, and a skin-attached surface adopts a plain structure and other structures, and the contact and diffusion of sweat to a water absorption material of the clothing surface are not facilitated due to the fact that the plain structure has few gaps. The existing processing method of the unidirectional moisture-conducting fabric has the defects of narrow range of suitable fabrics, high production and processing cost, unsatisfactory unidirectional moisture-conducting effect and the like, and the existing method does not research the structure of the processed fabrics and the influence of the unidirectional moisture-conducting effect. Therefore, in order to solve the problems in the industry, it is necessary to provide a double-sided infrastructure differential moisture-conductive fabric which has the advantages of washing resistance, good reproducibility, uniform and stable unidirectional moisture-conductive capability, and dry, comfortable and non-sticky wearing.
SUMMERY OF THE UTILITY MODEL
The utility model aims to provide a differential moisture-conducting fabric with a double-sided base structure.
In order to solve the technical problems, the utility model adopts the following technical scheme:
the two-sided foundation structure differential moisture-conducting fabric comprises a fabric body, and is characterized in that the fabric body is a weft-knitted fabric with a garment surface and a skin surface formed by interweaving first yarns and second yarns, and the first yarns and the second yarns respectively comprise at least one yarn;
the ratio of the diameter of the first yarns to the diameter of the second yarns is more than or equal to 1.2, the ratio of the water conductivity of the first yarns to the water conductivity of the second yarns is less than or equal to 1.5, the contact angle of the second yarns is less than or equal to that of the first yarns, a distance difference is formed between the second yarns and the outer surfaces of the clothing surface and the skin surface to form a breathable area, and the outer surfaces of the first yarns, which are attached to the clothing surface and the skin surface, are directly contacted with the outside, so that the contact distances between the first yarns and the outside and the second yarns are different;
the fabric body is composed of a plurality of unit circulation structures, m is less than or equal to 4, n is less than or equal to 5, the fabric body is formed by arranging and weaving m first yarns and n second yarns in an adjacent or alternate mode, and in one unit circulation structure, the length distribution ratio of any one of the first yarns or the second yarns on the garment surface and the skin surface is 1: 1, the clothing surface and the skin surface have the same basic structure, and the differentiated moisture-conducting capacity of the skin surface and the clothing surface of the fabric body is more than or equal to 100%.
The positions of the first yarn and the second yarn in the skin-attached surface correspond to the positions of the second yarn and the first yarn in the clothing surface.
The unit circulation structure comprises m first yarns and n second yarns, wherein m is less than or equal to 2, and n is less than or equal to 3.
The first yarns adopt any one or any combination of more than two of polyester fibers, polyamide fibers and cellulose fibers, and the surface contact angle of the first yarns is more than or equal to 40 degrees.
The second yarn adopts any one or the combination of more than two of polyester fiber, polyamide fiber, natural fiber, regenerated cellulose fiber and polyester fiber, and the surface contact angle of the second yarn is less than or equal to 70 degrees.
The fabric body further comprises spandex elastic fibers, and the spandex elastic fibers are woven on the clothing surface and/or the skin-contacting surface of the fabric body.
The spandex elastic fiber content in the fabric body is more than 5%.
The clothing surface and/or the skin-contacting surface of the fabric body are smooth surfaces or are subjected to napping treatment to form a fluff surface.
The utility model has the following beneficial effects:
the fabric body is characterized in that a garment surface and a skin-contacting surface are woven by adopting first yarns and second yarns with different diameters, the distribution lengths of the yarns on the garment surface and the skin-contacting surface are the same, so that the basic structures of the garment surface and the skin-contacting surface are the same, and the garment surface and the skin-contacting surface do not have a structural two-surface difference, so that the differentiated moisture-conducting capacity of two surfaces of the garment surface, which is transferred from the skin-contacting surface of the fabric body, of liquid water is more than or equal to 100%.
The diameter of the first yarn is larger than that of the second yarn, the first yarn is preferably used as roving with low water conductivity, the second yarn is spun yarn with high water conductivity, the probability of contact of the yarn with high water conductivity and the skin is reduced, the spun yarn is far away from the area in contact with the skin, an air-permeable area which can enhance air convection, namely micro holes, is formed, air permeability is increased, and therefore the wet and sticky feeling after sweating is reduced, and horizontal diffusion of moisture on the skin-attached surface is slowed down. And the first yarn (roving) and the second yarn (spun yarn) are evaporation surfaces and evaporate moisture on the fabric, so that the differential moisture-conducting capacity is increased, and the skin-attached surface is always dry, comfortable and not sticky.
Drawings
Fig. 1 is a partially cut-away schematic view of a fabric body of the present invention.
Detailed Description
For further understanding of the features and technical means of the present invention, as well as the specific objects and functions attained by the present invention, the present invention will be described in further detail with reference to the accompanying drawings and detailed description.
As shown in the attached figure 1, the utility model discloses a differential moisture-conducting fabric with a double-sided basic structure, which comprises a fabric body, wherein the fabric body comprises first yarns Y1And a second yarn Y2First, aYarn Y1And a second yarn Y2Each comprising at least one yarn, i.e. the first yarn Y1And a second yarn Y2Each may comprise one, two, three or other number of yarns, the first yarn Y1And a second yarn Y2Thegarment surface 1 and theskin surface 2 of the fabric body are formed by interweaving with each other, and the whole is formed into a weft knitting fabric.
First yarn Y1Is greater in diameter than the second yarn Y2Define a first yarn Y1Is a roving yarn, the second yarn Y2Is a spun yarn, the second yarn Y2A distance difference between the outer surface of thegarment surface 1 and the outer surface of theskin surface 2 forms a breathable zone, and the first yarns Y1The outer surfaces of the garment facing 1 and the skin facing 2 are in direct contact with the outside, so that the first yarns Y1And a second yarn Y2The contact distance with the outside is different. Taking the skin-facing side as an example, the first yarn Y1Due to the larger diameter, it is formed directly as a surface of theskin surface 2, while the second yarn Y2Due to the smaller diameter, formed on the inner side, away from the area in contact with the skin, the probability of contact with the skin is reduced, which also results in the second yarn Y2And a spacing cavity area is formed between the outer surface of the skin-attached surface and the surface of the skin-attached surface, and the area is a micro hole, so that the air permeability is effectively enhanced.
The fabric body is provided with a first yarn Y1And a second yarn Y2The fabric body is formed by combining a plurality of unit circulation tissues which are arranged and woven in an adjacent or alternate mode. In one unit repeat pattern, the first yarn Y1Or a second yarn Y2The length distribution ratio of any one yarn in the clothing surface and the skin-contacting surface is 1: 1, the first yarn Y in the skin-contacting surface1The position of the second yarn corresponds to the second yarn and the first yarn Y in the clothing surface1The location of the same. The garment surface and the skin surface have the same basic structure, and the skin surface and the garment surface of the fabric body have differential moisture-conducting capacity. As shown in FIG. 1, in one embodiment, the first yarn Y is defined to include a unit repeat structure1And a stripSecond yarn Y2First yarn Y1The second yarn Y2The first yarn Y is connected to the skin-contacting surface and the clothing surface respectively to form a unit circulation structure1Near the outside, the second yarn Y2Close to the inside so that the second yarn Y2Far from the contact area with the skin surface, the first yarn Y1Making a large area contact with the skin.
The first yarn Y1Diameter D of1And said second yarn Y2Diameter D of2The ratio of the first yarn to the second yarn is not less than 1.2, and the first yarn Y1Water-conducting capacity LP of1And said second yarn Y2Water-conducting capacity LP of2The ratio of the second yarn Y to the first yarn Y is less than or equal to 1.52Contact angle theta2Less than or equal to the first yarn Y1Contact angle theta1. In a preferred embodiment, the first yarn Y1Is less water-guiding than the second yarn Y2Of the second yarn Y2Is spun yarn with strong water-guiding capacity, the first yarn Y1The roving yarn with poor water conductivity is the first yarn Y with strong and weak water conductivity1And a second yarn Y2Comparison of (1).
The unit circulation structure comprises m first yarns Y1And n second yarns Y2M is less than or equal to 4, n is less than or equal to 5, and the first yarn Y1Or the second yarn Y2The distribution ratio of any one yarn in theclothing surface 1 and the skin-contactingsurface 2 of the fabric body is 1: 1, the garment surface and the skin-contacting surface do not have structural two-surface difference, so that the differentiated moisture transfer capacity of liquid water transferred from the skin-contacting surface of the fabric body to the two surfaces of the garment surface is more than or equal to 100%. That is, the garment shell and the skin patch are of the same construction, but the first yarn Y of the garment shell1The position of knitting corresponds to the second yarn Y of the skin-contacting surface2The position of the weaving enables the clothing surface and the skin-contacting surface to be the same basic structure without differentiation.
Due to the first yarn Y1Is roving with weak water-conducting capacity, so that the contact area with the skin is large, the contact probability with the skin is high, andsecond yarn Y2The spun yarn with strong water-guiding capacity is relatively far away from the skin, the probability of contact with the skin is small, namely, when the fabric is not subjected to external acting force, the second yarn Y is2Is not in contact with the skin, and the first yarn Y1Is proximate to the skin; when subjected to an external force, the second yarn Y2The contact surface with the skin is increased. Sweat on the skin and the first yarn Y1Greater area of contact with the second yarn Y2With a smaller area of contact, the moisture will be more abundant through the second yarn Y2Is transferred without accumulating on the first yarn Y1And the first yarn Y1And a second yarn Y2The yarn is used as an evaporation surface, can play a role in evaporating moisture, and a ventilation area is formed between two kinds of yarns with different diameters, so that the wet and sticky feeling after sweating is reduced, the horizontal diffusion of moisture on the skin-attached surface is slowed down, the dryness and the smoothness of the skin-attached surface are favorably kept, and the wearing comfort is improved.
The first yarn Y1Any one or two or more of polyester fiber, polyamide fiber and cellulose fiber are used in any combination, and the first yarn Y1Surface contact angle theta of1Not less than 40 degrees, and the polyester fiber can be mechanical elastic fiber or other types of polyester fibers.
The second yarn Y2One or more of polyester fiber, polyamide fiber, natural fiber, regenerated cellulose fiber and polyester fiber are used, and the second yarn Y2Surface contact angle theta of2Less than or equal to 70 degrees, and the polyester fiber can be mechanical elastic fiber or other types of polyester fibers.
The fabric body further comprises spandex elastic fibers, and the spandex elastic fibers are woven in the clothing surface or the skin-contacting surface of the fabric body, or are woven in the clothing surface and the skin-contacting surface simultaneously.
The spandex elastic fiber content in the fabric body is more than 5%, so that the elasticity and the texture of the fabric are improved. When the content is less than 5%, it is difficult to achieve effective elastic quality, and therefore, the content is set to be more than 5% at this point, which is a more preferable value.
The garment surface and the skin-contacting surface of the fabric can be subjected to napping treatment. The fabric skin-facing surface and the garment surface can be napped to form a warm-keeping layer, so that the overall thickness of the fabric is increased to facilitate differential transfer of liquid water.
For the specific weave: yarn → grey cloth weaving → high temperature reservation → overflow dyeing → sizing, raising treatment on the skin surface to increase the warmth retention property, and the comfortable and soft wearing with light and thin without pressing feeling. In addition, the skin-attached surface is napped to form a warm-keeping layer, so that the contact probability of yarns and the skin is reduced, the overall thickness of the fabric is increased to facilitate differential transfer of liquid water, and the softness and comfort of hand feeling are improved.
The following description is given by way of specific examples.
Example 1:
first yarn Y1Adopts mechanical elastic terylene 75D/48F and a second yarn Y2Adopting terylene 40D/72F, wherein the first yarn Y1Diameter D of1And said second yarn Y2Diameter D of2The ratio of the first yarn Y to the second yarn Y is not less than 1.21Water-conducting capacity LP of1And said second yarn Y2Water-conducting capacity LP of2The ratio of the ratio is less than 1.5; the two yarns are interwoven to form a double-sided fabric with agarment surface 1 and a skin-contactingsurface 2, and m first yarns Y1And n of said second yarns Y2One unit of circulation weave is arranged and woven in an adjacent or alternate mode to form the fabric body, wherein m is 1, and n is 1 in theembodiment 1; and the first yarn Y1Or the second yarn Y2The distribution ratio of any one yarn in the fabricbody clothing surface 1 and the skin-contactingsurface 2 is 1: 1.
in this example, a plane constituted by the yarn was formed by closely winding the yarn on a carrier sheet for microscopic examination, and then a water was dropped on the plane by a contact angle measuring instrument, and its contact angle θ was measured. First yarn Y1(model number is circular PES 75D/48F) contact angle theta1At 63 DEG, the second yarn Y2(model number is circular PES 40D/72F) contact Angle θ260 degrees, the terylene density is 1,360,000g/m3
The equivalent capillary radius of the different fiber sections is shown below:
cross section of fiberCapillary equivalent radius prediction model
Circular shape0.227R
Triangle shape0.634R
H shape0.431R
Y shape0.237R
Cross-shaped0.471R
For yarns composed of multiple filaments (fibers), there are two mechanisms of capillary formation in one yarn, one being that the fibers are close enough to each other to form capillaries. For example, a plurality of thin cylinders which are tightly close together are inserted into water, and capillaries can be formed between the surfaces of the thin cylinders; the other mechanism is the formation of capillaries in a single fiber due to grooves. The estimation formula for the number of single yarn capillaries is thus given as:
Figure BDA0003106905400000081
in the formula:
n is the number of capillaries in a single yarn.
And C, the data is an empirical parameter and represents the probability that the grooves in the fibers with the heterogeneous cross sections can form effective capillary passages. The parameters are mainly related to various factors influencing the ideal fiber appearance in the fiber and spinning process and the mutual position and tightness between the fibers. According to practical experience, the yarn special-shaped section is clear, regular and uniform in shape, so that the possibility of forming a capillary passage is high; the twisted yarn has a reduced inter-fiber distance and is susceptible to capillary effect. The value range of the effective capillary coefficient of the fiber in the yarn is more than or equal to 0.95 and more than or equal to 0.35 of C, and the typical parameter C is 0.8. And under the condition that the determination cannot be carried out, the value of 0.8 can be directly taken for approximate calculation. Meaning that about 80% of the grooves form capillary channels.
X is the number of grooves on the filament (fiber), typical fibers such as round X ═ 0; triangle X is 0; Y-X ═ 3; form H, X ═ 2; w form X ═ 3; cross X is 4; form C X ═ 1.
F, the number of yarn filaments (fibers).
The total amount of capillaries in this example is calculated as follows, first yarn Y1(75D/48F) the equivalent radius of the polyester monofilament is as follows:
Figure BDA0003106905400000082
DY1=2×6.38=12.76(μm)
equivalent radius r of capillaryY1=0.227RY1=1.45(μm)
The total amount of the capillaries of the round 75D/48F terylene single yarn can be conveniently calculated
Figure BDA0003106905400000083
Similarly, we calculate the second yarn Y2(40D/72F) the equivalent radius of the polyester monofilament is as follows:
Figure BDA0003106905400000091
DY2=2×3.80=7.6(μm)
equivalent radius r of capillaryY2=0.227RY2=0.86(μm)
The total amount of the capillaries of the round 40D/72F terylene single yarn can be conveniently calculated
Figure BDA0003106905400000092
The first yarn Y is known1The contact angle theta of the terylene is 63 degrees, and cos (63) is 0.45; second yarn Y2The contact angle theta of terylene is 60 DEG, cos (60) is 0.5
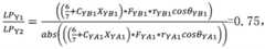
According to the tissue structure, Y1And Y2Meanwhile, the fabric is woven with a clothing surface and a skin-contacting surface, so that the water conductivity ratio of the two surfaces of the fabric can be calculated:
Figure BDA0003106905400000093
in this example, the knit fabric was measured according to the standard AATCC 195 "Liquid Moisture Management Properties of Textile Fabrics". The measured unidirectional moisture-conducting capacity owtc (one way transport capability) of the fabric body is 217%.
Comparative example 1:
first yarn Y1And a second yarn Y2Mechanical elastic terylene (75D/48F) is adopted to be mutually interwoven to form the weft-knitted double-sided fabric, and the contact angle is 58 degrees. The knit Fabrics described above were measured according to the standard AATCC 195 "Liquid Moisture Management Properties of Textile Fabrics". The unidirectional moisture transport capacity owtc (one way transport capacity) of this fabric was measured to be 92%.
The fabric is light, thin and soft through modification of the structure and the yarn count of the fabric, the unidirectional moisture-conducting capacity of the fabric is greatly improved, and the dry and comfortable surface of the fabric body can be kept for a long time.
Example 2:
on the basis of theembodiment 1, the conversion material is used for weaving the polyester and nylon knitted fabric with a double-sided structure.
Common round terylene 75D/36F is used as the first yarn Y1And nylon 66(50D/48F) as the second yarn Y2. The two yarns are interwoven to form a fabric body and are subjected to raising treatment. M first yarns Y1And n of said second yarns Y2One unit of circulation weave is arranged and woven in an adjacent or alternate mode to form the fabric body, wherein m is 1, and n is 1 in theembodiment 1; and the first yarn Y1Or the second yarn Y2The distribution ratio of any one yarn in the fabricbody clothing surface 1 and the skin-contactingsurface 2 is 1: 1.
in this example, the density of Dacron is 1360000g/m3The density of the nylon is 1150000g/m3. First yarn Y1(75D/36F) polyester monofilament equivalent radius:
Figure BDA0003106905400000101
DY1=2×7.36=14.72(μm)
equivalent radius r of capillaryY1=0.227RY1=1.67(μm)
The total amount of capillaries of the round 75D/36F terylene single yarn can be conveniently calculated
Figure BDA0003106905400000102
Similarly, we calculate the second yarn Y2(50D/48F) Nylon 66 filament equivalent radii:
Figure BDA0003106905400000103
DY2=2×5.48=10.96(μm)
equivalent radius r of capillaryY1=0.227RY1=1.24(μm)
The capillary total amount of the round 50D/48F nylon 66 single yarn can be conveniently calculated
Figure BDA0003106905400000104
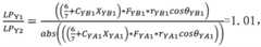
The first yarn Y is known1Contact angle theta of terylene1Angle 68 °, cos (68) ═ 0.37; second yarn Y2Contact angle theta of terylene2The angle is 60 °, cos (60) ═ 0.5.
According to the tissue structure, Y1And Y2Meanwhile, the clothes surface 1 and the skin-contactingsurface 2 are woven, so that the water conductivity ratio of the two sides of the fabric can be calculated:
Figure BDA0003106905400000111
the knitted fabric was measured according to the standard AATCC 195 "Liquid Moisture Management Properties of Textile Fabrics". The measured unidirectional moisture-conducting capacity owtc (one way transport capability) of the fabric body is 203%.
Comparative example 2:
first yarn Y1And a second yarn Y2Circular terylene (75D/36F) is adopted to be mutually interwoven to form the weft-knitted double-sided fabric, and the contact angle is 62 degrees. The knit Fabrics described above were measured according to the standard AATCC 195 "Liquid Moisture Management Properties of Textile Fabrics". The unidirectional moisture transport capacity owtc (one way transport capacity) of this fabric was measured to be 94%.
The two contrasts show that the fabric is light, thin and soft by modifying the structure and yarn count of the fabric and raising treatment, the unidirectional moisture-conducting capacity of the fabric is greatly improved, and the skin-contacting surface of the fabric body can be kept dry and comfortable for a long time.
Example 3:
on the basis of example 1, a first yarn Y is used1: ordinary round terylene 75D/36F and second yarn Y2: and the two pieces of cross-section nylon yarns 70D/68F are interwoven to form a fabric body and form the weft-knitted double-sided fabric.
First yarn Y1(75D/36F) polyester monofilament equivalent radius:
Figure BDA0003106905400000112
DY1=2×7.36=14.72(μm)
equivalent radius r of capillaryY1=0.227RY1=1.67(μm)
The total amount of capillaries of the round 75D/36F terylene single yarn can be conveniently calculated
Figure BDA0003106905400000113
Similarly, we calculate the second yarn Y2(70D/68F) the equivalent radius of the cross-section nylon monofilament is:
Figure BDA0003106905400000121
DY2=2×5.48=10.96(μm)
equivalent radius r of capillaryY2=0.471RY2=2.58μm)
The total amount of the capillary tube of the cross section 70D/68F nylon single yarn can be conveniently calculated
Figure BDA0003106905400000122
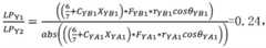
The first yarn Y is known1Contact angle theta of terylene1Angle 61 °, cos (61) ═ 0.48; second yarn Y2Contact angle theta of terylene2The angle is 60 °, cos (60) ═ 0.50.
According to the tissue structure, Y1And Y2Meanwhile, the clothes surface 1 and the skin-contactingsurface 2 are woven, so that the water conductivity ratio of the two sides of the fabric can be calculated:
Figure BDA0003106905400000123
the knitted fabric was measured according to the standard AATCC 195 "Liquid Moisture Management Properties of Textile Fabrics". The measured unidirectional moisture-conducting capacity owtc (one way transport capability) of the fabric body is 280%.
Comparative example 3:
compared with the comparative example 1, the same yarn count and structure are adopted, and the comparison shows that the fabric is light, thin and soft through the modification of the structure and yarn count of the fabric, and the unidirectional moisture-conducting capacity of the fabric is greatly improved.
By the aid of the method, the spun yarn is not attached to the skin by means of interweaving of the rough yarn and the spun yarn, the difference of capillary water-guiding capacities of the two surfaces of the fabric is obviously enhanced, and the purpose of enabling the skin surface of a human body to be dry and comfortable all the time is achieved. The knitted fabric can meet the requirements of people on wearing comfort, functionality and practicability, and is wide in application range.
Furthermore, it should be understood that although the present description refers to embodiments, not every embodiment may contain only a single embodiment, and such description is for clarity only, and those skilled in the art should integrate the description, and the embodiments may be combined as appropriate to form other embodiments understood by those skilled in the art. Any modification, equivalent replacement, or improvement made within the spirit and principle of the present invention should be included in the protection scope of the present invention.

Claims (8)

Translated fromChinese
1.一种双面基础结构差别化导湿面料,包括面料本体,其特征在于,所述面料本体为通过第一纱线和第二纱线互相交织形成具有服装面和贴肤面的纬编针织面料,第一纱线和第二纱线均包括至少一条纱线;1. A differential moisture-conducting fabric with a double-sided basic structure, comprising a fabric body, characterized in that, the fabric body is a weft knitting with a garment surface and a skin-facing surface formed by interweaving a first yarn and a second yarn with each other Knitted fabric, the first yarn and the second yarn both include at least one yarn;所述第一纱线的直径与所述第二纱线的直径之比≥1.2,且所述第一纱线的导水能力与所述第二纱线的导水能力之比≤1.5,第二纱线的接触角≤第一纱线的接触角,第二纱线与服装面和贴肤面的外表面之间具有距离差形成透气区域,第一纱线贴着服装面和贴肤面的外表面直接与外界接触,使得第一纱线和第二纱线与外界的接触距离不同;The ratio of the diameter of the first yarn to the diameter of the second yarn is greater than or equal to 1.2, and the ratio of the water conductivity of the first yarn to the water conductivity of the second yarn is less than or equal to 1.5. The contact angle of the second yarn ≤ the contact angle of the first yarn, there is a distance difference between the second yarn and the outer surfaces of the garment surface and the skin-facing surface to form a breathable area, and the first yarn is attached to the garment surface and the skin-facing surface The outer surface of the yarn is directly in contact with the outside world, so that the contact distances between the first yarn and the second yarn and the outside world are different;通过m条第一纱线和n条第二纱线以相邻或相间方式排列编织成面料本体的一个单位循环组织,m≤4,n≤5,面料本体由若干个单位循环组织构成,在一个单位循环组织中,第一纱线或第二纱线中的任意一条纱线在服装面和贴肤面的长度分布比例为1:1,使得服装面和贴肤面具有相同的基础结构,使得面料本体的贴肤面和服装面的差别化导湿能力≥100%。By arranging m first yarns and n second yarns adjacently or alternately to form a unit circulation structure of the fabric body, m≤4, n≤5, the fabric body is composed of several unit circulation structures. In a unit cycle organization, the length distribution ratio of any one of the first yarn or the second yarn on the garment surface and the skin-facing surface is 1:1, so that the garment surface and the skin-facing surface have the same basic structure, The differentiated moisture conductivity of the skin-facing surface and the clothing surface of the fabric body is ≥100%.2.根据权利要求1所述的双面基础结构差别化导湿面料,其特征在于,所述贴肤面中第一纱线、第二纱线所在位置对应着服装面中第二纱线、第一纱线所在位置。2 . The differential moisture-conducting fabric with double-sided basic structure according to claim 1 , wherein the positions of the first yarn and the second yarn in the skin-facing surface correspond to the positions of the second yarn and the second yarn in the garment surface. 3 . The position of the first yarn.3.根据权利要求2所述的双面基础结构差别化导湿面料,其特征在于,所述通过m条第一纱线和n条第二纱线以相邻或相间方式排列编织成面料本体的一个单位循环组织,并且m≤2,n≤3。3 . The differentiated moisture-conducting fabric with double-sided basic structure according to claim 2 , wherein the fabric body is woven into a fabric body by arranging m first yarns and n second yarns in an adjacent or alternate manner. 4 . A unit cyclic organization of , and m≤2, n≤3.4.根据权利要求3所述的双面基础结构差别化导湿面料,其特征在于,所述第一纱线采用聚酯类纤维、聚酰胺纤维和纤维素纤维中的任一种或两种以上的任意组合,并且第一纱线的表面接触角≥40°。4 . The differential moisture-conducting fabric with double-sided basic structure according to claim 3 , wherein the first yarn is any one or both of polyester fibers, polyamide fibers and cellulose fibers. 5 . Any combination of the above, and the surface contact angle of the first yarn is ≥40°.5.根据权利要求4所述的双面基础结构差别化导湿面料,其特征在于,所述第二纱线采用聚酯类纤维、聚酰胺纤维、天然纤维、再生纤维素纤维和聚酯类纤维中的任一种或两种以上组合,并且第二纱线的表面接触角≤70°。5 . The differential moisture-conducting fabric of double-sided basic structure according to claim 4 , wherein the second yarn is made of polyester fibers, polyamide fibers, natural fibers, regenerated cellulose fibers and polyester fibers. 6 . Any one or a combination of two or more fibers, and the surface contact angle of the second yarn is ≤70°.6.根据权利要求5所述的双面基础结构差别化导湿面料,其特征在于,所述面料本体还包括氨纶弹性纤维,所述氨纶弹性纤维织造在所述面料本体的服装面和/或贴肤面。6 . The differential moisture-conducting fabric for double-sided basic structure according to claim 5 , wherein the fabric body further comprises spandex elastic fibers, and the spandex elastic fibers are woven on the garment surface and/or the fabric body of the fabric body. 7 . Skin-friendly.7.根据权利要求6所述的双面基础结构差别化导湿面料,其特征在于,所述面料本体中氨纶弹性纤维含量大于5%。7 . The differentiated moisture-conducting fabric with double-sided basic structure according to claim 6 , wherein the content of spandex elastic fiber in the fabric body is greater than 5%. 8 .8.根据权利要求7所述的双面基础结构差别化导湿面料,其特征在于,所述面料本体的服装面和/或贴肤面为光面或进行起绒处理形成绒毛面。8 . The differentiated moisture-conducting fabric with double-sided basic structure according to claim 7 , wherein the garment surface and/or the skin-facing surface of the fabric body is a smooth surface or a fluffy surface is formed by raising. 9 .
CN202121289843.XU2021-06-082021-06-08Differential moisture-conducting fabric with double-sided foundation structureActiveCN215481579U (en)

Priority Applications (1)

Application NumberPriority DateFiling DateTitle
CN202121289843.XUCN215481579U (en)2021-06-082021-06-08Differential moisture-conducting fabric with double-sided foundation structure

Applications Claiming Priority (1)

Application NumberPriority DateFiling DateTitle
CN202121289843.XUCN215481579U (en)2021-06-082021-06-08Differential moisture-conducting fabric with double-sided foundation structure

Publications (1)

Publication NumberPublication Date
CN215481579Utrue CN215481579U (en)2022-01-11

Family

ID=79784281

Family Applications (1)

Application NumberTitlePriority DateFiling Date
CN202121289843.XUActiveCN215481579U (en)2021-06-082021-06-08Differential moisture-conducting fabric with double-sided foundation structure

Country Status (1)

CountryLink
CN (1)CN215481579U (en)

Cited By (1)

* Cited by examiner, † Cited by third party
Publication numberPriority datePublication dateAssigneeTitle
CN113373583A (en)*2021-06-082021-09-10东莞超盈纺织有限公司Differential moisture-conducting fabric with double-sided foundation structure

Cited By (2)

* Cited by examiner, † Cited by third party
Publication numberPriority datePublication dateAssigneeTitle
CN113373583A (en)*2021-06-082021-09-10东莞超盈纺织有限公司Differential moisture-conducting fabric with double-sided foundation structure
CN113373583B (en)*2021-06-082025-05-27东莞超盈纺织有限公司 A double-sided basic structure with differentiated moisture conduction fabric

Similar Documents

PublicationPublication DateTitle
CN100586322C (en)Apparel incorporating embossed material
CN204351126U (en)A kind of knit fabric with nice and cool effect
CN113373583B (en) A double-sided basic structure with differentiated moisture conduction fabric
CN111648020B (en)Sports lace fabric with adjustable moisture conduction in fabric thickness direction
CN107190404B (en)A kind of graphene and biology base fiber knitted fabric and its production method
CN114086304B (en) A kind of polylactic acid multi-layer knitted fabric with moisture absorption and perspiration and preparation method thereof
TW201713815A (en)Multilayer-structure circular knit fabric
CN103696110A (en)One-way wet-guiding and absorbing and quick-drying type cotton/nylon composite knitting fabric
CN112226888A (en)Three-dimensional unidirectional moisture-conducting elastic fabric based on knitted structure and preparation method thereof
CN101358406A (en) Dry and moisture-conducting intelligent knitted fabric and its manufacturing process
CN215481579U (en)Differential moisture-conducting fabric with double-sided foundation structure
CN217149494U (en)Body-sticking-preventing moisture-guiding knitted fabric
CN113026182B (en) A light, soft, single-sided weft-knitted fabric with differentiated moisture conduction
CN110656435A (en)Warp-knitted single-layer fabric with differentiated water transfer
CN113279123A (en)Breathable stair cloth and manufacturing method and application thereof
CN211227574U (en)Warp-knitted single-layer fabric with differentiated water transfer
CN112708990B (en)Fabric with concave-convex structure and application thereof
CN114507931B (en) A method for preparing a knitted fabric with differentiated water conduction function
CN216006189U (en) A light, soft, and differentiated moisture-conducting single-sided weft knitted fabric
CN214992190U (en) A unidirectional wet knitted fabric with constrained liquid water transfer in the thickness direction
CN216193055U (en)Denim fabric with compact structure, softness and skin friendliness
CN219059284U (en)Moisture-absorbing sweat-releasing warm-keeping knitted fabric and sportswear
CN213835776U (en)Movement lace fabric with adjustable moisture conduction in thickness direction of fabric
CN114232189A (en)Anti-sticking one-way moisture-conducting fabric and processing method thereof
WO2022257192A1 (en)Single-sided knitted fabric having differential water transport capability

Legal Events

DateCodeTitleDescription
GR01Patent grant
GR01Patent grant

[8]ページ先頭

©2009-2025 Movatter.jp