Movatterモバイル変換


[0]ホーム

URL:


CN213588470U - Tumor ablation needle with blood coagulation function - Google Patents

Tumor ablation needle with blood coagulation function
Download PDF

Info

Publication number
CN213588470U
CN213588470UCN202022195838.4UCN202022195838UCN213588470UCN 213588470 UCN213588470 UCN 213588470UCN 202022195838 UCN202022195838 UCN 202022195838UCN 213588470 UCN213588470 UCN 213588470U
Authority
CN
China
Prior art keywords
needle
metal needle
heat conductor
heating
insulating heat
Prior art date
Legal status (The legal status is an assumption and is not a legal conclusion. Google has not performed a legal analysis and makes no representation as to the accuracy of the status listed.)
Active
Application number
CN202022195838.4U
Other languages
Chinese (zh)
Inventor
陈永刚
吴斌
徐阳斌
陈新华
Current Assignee (The listed assignees may be inaccurate. Google has not performed a legal analysis and makes no representation or warranty as to the accuracy of the list.)
Hangzhou Ruidi Biotechnology Co ltd
Original Assignee
Hangzhou Ruidi Biotechnology Co ltd
Priority date (The priority date is an assumption and is not a legal conclusion. Google has not performed a legal analysis and makes no representation as to the accuracy of the date listed.)
Filing date
Publication date
Application filed by Hangzhou Ruidi Biotechnology Co ltdfiledCriticalHangzhou Ruidi Biotechnology Co ltd
Priority to CN202022195838.4UpriorityCriticalpatent/CN213588470U/en
Application grantedgrantedCritical
Publication of CN213588470UpublicationCriticalpatent/CN213588470U/en
Activelegal-statusCriticalCurrent
Anticipated expirationlegal-statusCritical

Links

Images

Landscapes

Abstract

The utility model relates to the field of medical equipment, especially a tumor ablation needle with blood coagulation function. The existing ablation needle has single function and cannot solve the bleeding problem in the process of surgical puncture and treatment. The utility model provides a tumour ablation needle with blood coagulation function, including the metal needle that has hollow lumen, the metal needle front end is most advanced for the puncture, and insulating coating is established on metal needle middle section surface, and metal needle tail end overcoat handle is equipped with temperature sensor on the metal needle, and heating element is put to the cover in the metal needle tube chamber, and heating element is including pegging graft insulating heat conductor in the lumen and the electrically conductive piece that generates heat of locating it, electrically conductive piece that generates heat link to each other with two heating connection points of establishing at the handle end through the wire, and two heating connection point accessible wires link to each other with external high voltage pulse generator, and high voltage pulse generator connects the computer, and temperature sensor is connected to the computer. The utility model can heat and coagulate the peripheral tissue of the puncture needle, and solves the bleeding in the puncture or treatment process.

Description

Tumor ablation needle with blood coagulation function
Technical Field
The utility model relates to the field of medical equipment, especially a tumor ablation needle with blood coagulation function.
Background
In recent years, the electric pulse non-thermal ablation has wide clinical application value in the aspect of treating tumors, and compared with the traditional ablation method, the technology utilizing the high-voltage pulse electric field has the greatest advantage of selectively protecting blood vessels, biliary tracts, pancreatic ducts, nerves and the like during treatment, and particularly has great advantage in the treatment of tumors close to important parts. When the operation is ablated, the percutaneous puncture is needed to be carried out through the electrode needle under the guidance of B-ultrasonic or CT images to enter a treatment part, the operation experience and the operation technology of a doctor are seriously depended, and the patient also has bleeding risk in the puncture or treatment process, so that the electrode needle has certain danger particularly for the patient with poor blood coagulation function.
SUMMERY OF THE UTILITY MODEL
The utility model overcomes current needle function singleness that melts can't deal with handle the bleeding that results in among operation puncture and the treatment process, will bring inconvenient scheduling problem with the help of extra hemostatic devices, the utility model provides a needle is melted to tumour with blood coagulation function, melt the needle and can rely on self structural design to heat the blood coagulation to the peripheral tissue that the puncture needle was said, the problem of bleeding that puncture or treatment process took place is solved in the reply.
The utility model provides a technical scheme that technical problem adopted: the utility model provides a tumour ablation needle with blood coagulation function, is including the metal needle that has hollow lumen, the metal needle front end is puncture most advanced, and insulating coating is established on the middle section surface of metal needle, the tail end overcoat handle of metal needle, characterized by be equipped with temperature sensor on the metal needle, heating element is put to the cover in the lumen of metal needle, and heating element is including pegging graft insulating heat conductor in the lumen and the electrically conductive piece that generates heat of locating it in, electrically conductive piece that generates heat links to each other with two heating connection points of establishing at the handle end through the wire, two heating connection points accessible wire link to each other with external high-voltage pulse generator, high-voltage pulse generator connects the control computer, and control computer connects temperature sensor, and temperature sensor fixes the surface at insulating heat conductor. The tumor ablation needle of the utility model has the coagulation function besides the existing ablation treatment function, and particularly supplies power to the heating component arranged in the metal needle through the high-voltage pulse generator in a pulse manner so as to heat the metal needle, and then keeps high temperature to coagulate peripheral tissues of the needle channel after the metal needle is heated, and the metal needle can coagulate the tissues passing through the needle channel by means of continuous heating in the extraction process until the metal needle is completely extracted from the tissues; the used pulse current of heating need not to acquire through addding other professional equipment, the utility model discloses directly adopt as the high-voltage pulse generator who melts treatment collocation, output nanosecond pulse current keeps the curve of rising temperature mild to give control computer through temperature sensor control metal needle real-time temperature feedback in the intensification process, so that control computer regulation pulse frequency. When the metal needle-type electric heating device works, firstly, after the metal needle is connected with the high-voltage pulse generator to input and melt electric pulses, the electric pulse output port of the high-voltage pulse generator is connected to the two heating connection points through the conducting wire, and the high-voltage pulse generator works to generate pulse current which passes through the electric heating piece, so that the electric heating piece is slowly heated; the pulse current can be adjusted by the control computer so as to accurately control the temperature, the conductive heating part is heated after being electrified to transfer heat to the insulating heat conductor, the insulating heat conductor transfers heat to the metal needle to heat the metal needle, the control computer outputs the pulse current by adjusting the high-voltage pulse generator to control the electrified state of the conductive heating part so that the metal needle reaches proper high temperature to coagulate blood, and the temperature sensor is used for detecting the real-time heating temperature of the metal needle; the shape of the insulating heat conductor is inserted into the lumen of the metal needle, so that heat generated by the conductive heating part is transferred to the metal needle, and the metal needle and the conductive heating part are isolated and insulated to prevent the surface of the metal needle from being electrified during coagulation work; along with insulating heat conductor generates heat, the metal needle temperature can rise very fast and insulating heat conductor unanimity, and the temperature sensor who establishes at insulating heat conductor surface monitors insulating heat conductor's temperature this moment promptly the temperature that generates heat on metal needle surface.
As further improvement and supplement to the above technical scheme, the utility model discloses a following technical measure: the lumen of metal needle is including holding the minor diameter section of insulating heat conductor and connecting the major diameter section in minor diameter section rear, the lumen and the insulating heat conductor of minor diameter section match, and the major diameter end is uncovered, and through a conical reducing section transition between minor diameter section and the major diameter section to link to each other, insulating heat conductor rear end stretches out and passes the reducing section behind the minor diameter section and goes into the major diameter section, fill insulating glue in the lumen that reducing section and major diameter section correspond. The tube cavity of the metal needle is formed by integrally connecting a small-diameter section, a variable-diameter section and a large-diameter section from front to back, the heating component can be conveniently inserted into the tube cavity of the metal needle from the opening of the large-diameter section, and the heating component is positioned by matching the small-diameter end tube cavity with the insulating heat conductor after being inserted; the rear end of the insulated heat conductor extends out of the small-diameter end and is exposed in the large-diameter section, and the conductive heating piece in the insulated heat conductor can extend out of the position to be connected with a heating point through a wire so as to facilitate wiring; insulating glue is filled in the tube cavities of the variable-diameter section and the large-diameter section, so that the lead can be fixed, the insulation between the outside and the conductive heating part in the metal needle is kept, and the use safety is improved.
A gap exists between the small-diameter section and the insulating heat conductor. There is the clearance between path section and the insulating heat conductor, make things convenient for the latter to insert the installation in the official cavity of metal needle, because metal needle itself is thin and the pipe wall is also very thin, after insulating heat conductor inserts the lumen of metal needle, along with insulating heat conductor generates heat, the metal needle temperature can rise very fast unanimously with insulating heat conductor, establish the temperature of the insulating heat conductor of temperature sensor monitoring at insulating heat conductor surface this moment, the temperature of generating heat immediately on accurate grasp metal needle surface.
The insulating heat conductor is formed by mixing and firing ceramic and metal, the conductive heating part is a heating resistance wire, the heating resistance wire extends into the rear end of the insulating heat conductor from the rear end of the insulating heat conductor to extend to the front end and then turns back to the rear end, and the two ends of the heating resistance wire are connected with the two heating connection points through wires arranged in the metal needle tube cavity respectively. The insulating heat conductor is of an integrated structure formed by mixing and firing ceramic and metal, the ceramic and the metal are mixed to have the effect of rapid heating, wherein the ceramic is mainly corrosion-resistant, high-temperature-resistant and long in service life, and the mixed metal transfers heat to the ceramic by utilizing the good heat conductivity of the metal, so that the insulating heat conductor can rapidly and uniformly heat, and the heat compensation speed is high; the resistance wire as the conductive heating part extends into the insulating heat conductor and turns back after extending to the head along the length of the insulating heat conductor, the two ends of the resistance wire are connected with two heating points through wires, the resistance wire slowly heats up after receiving electric pulses generated by the high-voltage pulse generator, and the resistance wire uniformly heats the insulating heat conductor along the length direction of the insulating heat conductor.
The heating resistance wire is made of high-melting-point metal materials. The heating resistance wire can be made of high-melting-point metal materials such as tungsten, molybdenum, manganese and the like, and is suitable for high-temperature heating application after being electrified.
The insulating heat conductor is synthesized by integrally sintering metal heating resistance slurry and ceramic. In practical application, high-melting-point metal heating resistor slurry with 10% of tungsten content can be used for printing on 92-96% of alumina casting ceramic green bodies, multiple layers of sintering aids with 4-8% of sintering aids are stacked, the green bodies are integrally sintered at the high temperature of 1500-1600 ℃, and the sintered insulating heat conductor does not contain harmful substances such as lead, nickel, mercury, hexavalent chromium, polybrominated biphenyls, polybrominated diphenyl ethers and the like.
The utility model discloses a high voltage pulse generator sets up the heating element pulse power supply so that it heaies up and heats the metal needle for the metal needle in, then utilizes the metal needle to keep the high temperature to carry out the blood coagulation to the peripheral tissue that the needle was said after heaing up, lets the metal needle extract the in-process with the help of continuous generating heat and carry out the blood coagulation to the tissue that is via the needle way, extracts the problem of bleeding that the pjncture needle process takes place after the solution treatment from the tissue completely until the metal needle.
Drawings
FIG. 1: the overall structure of the tumor ablation needle is schematically shown.
FIG. 2: the heating component is installed in the metal needle.
FIG. 3: fig. 1 is an enlarged view of a portion a.
FIG. 4: the right side view of fig. 3.
FIG. 5: and (3) a pulse current schematic diagram based on PWM technology temperature control.
In the figure: 1. the metal needle, 1-1 small diameter section, 1-2 large diameter section, 1-3 variable diameter section, 2 insulating coating, 3 handle, 4 temperature sensor, 5 insulating heat conductor, 6 conductive heating element, 7 wire, 8 heating connection point, 9 insulating glue.
Detailed Description
The invention will be further described with reference to the following description and embodiments in conjunction with the accompanying drawings.
As shown in figures 1-4, a tumor ablation needle with blood coagulation function comprises ametal needle 1 with a hollow lumen, wherein the front end of themetal needle 1 is a puncture tip, aninsulating coating 2 is arranged on the surface of the middle section of themetal needle 1, ahandle 3 is sleeved outside the tail end of themetal needle 1, atemperature sensor 4 is arranged on themetal needle 1, a heating component is sleeved in the lumen of themetal needle 1 and comprises aninsulating heat conductor 5 inserted in the lumen and aconductive heating element 6 arranged in the insulating heat conductor, the lumen of themetal needle 1 comprises a small-diameter section 1-1 for accommodating the insulatingheat conductor 5 and a large-diameter section 1-2 connected behind the small-diameter section 1-1, the lumen of the small-diameter section 1-1 is matched with theinsulating heat conductor 5, the large-diameter end is open, and the small-diameter section 1-1 and the large-diameter section 1-2 are transitionally connected through a tapered variable-diameter section 1-3, the rear end of aninsulating heat conductor 5 extends out of a small-diameter section 1-1 and then penetrates through a reducing section 1-3 to enter a large-diameter section 1-2, a gap exists between the small-diameter section 1-1 and theinsulating heat conductor 5, atemperature sensor 4 is fixed on the outer surface of theinsulating heat conductor 5, anelectric heating part 6 is connected with twoheating connection points 8 arranged at the tail end of ahandle 3 through awire 7,insulating glue 9 is filled in a pipe cavity corresponding to the reducing section 1-3 and the large-diameter section 1-2, the twoheating connection points 8 are connected with an external high-voltage pulse generator through thewire 7, the high-voltage pulse generator is connected with a control computer, and the control computer is connected with thetemperature sensor 4.
When the metal needle-type electric heating device works, firstly, after the metal needle is connected with the high-voltage pulse generator to input and melt electric pulses, the electric pulse output port of the high-voltage pulse generator is connected to the two heating connection points through the conducting wire, and the high-voltage pulse generator works to generate pulse current which passes through the electric heating piece, so that the electric heating piece is slowly heated; the pulse current can be adjusted to accurately control the temperature through the control computer, the conductive heating part is heated after being electrified to transfer heat to the insulating heat conductor, the insulating heat conductor transfers heat to the metal needle to heat the metal needle, the control computer controls the electrified state of the conductive heating part by adjusting the output pulse of the high-voltage pulse generator to enable the metal needle to reach proper high temperature to coagulate blood, and the temperature sensor is used for detecting the real-time heating temperature of the metal needle; the insulating heat conductor appearance is pegged graft wherein with the lumen grafting of metal needle, gives the metal needle with the heat transfer that the piece produced that generates heat of electrically conducting, separates the insulation with metal needle and electrically conducting piece that generates heat simultaneously, prevents that the metal needle from taking place the surface electrification at the coagulation work time.
Further, the insulatingheat conductor 5 is formed by mixing and firing ceramic and metal, and the insulatingheat conductor 5 is synthesized by integrally sintering metal heating resistor slurry and ceramic. In practical application, high-melting-point metal heating resistor slurry with 10% of tungsten content can be used for being printed on 92-96% of alumina cast ceramic green bodies, multiple layers of sintering aids with 4-8% of the sintering aids are stacked, the green bodies are integrally sintered at the high temperature of 1500-1600 ℃, and the sintered insulating heat conductor does not contain harmful substances such as lead, nickel, mercury, hexavalent chromium, polybrominated biphenyls, polybrominated diphenyl ethers and the like.
Further, theconductive heating element 6 is a heating resistance wire, the heating resistance wire is made of a metal material with a high melting point in the embodiment, the heating resistance wire extends into theinsulating heat conductor 5 from the rear end thereof to the front end and then turns back to the rear end, and two ends of the heating resistance wire are respectively connected with the twoheating connection points 8 throughwires 7 arranged in the tube cavity of themetal needle 1. The heating resistance wire can be made of high-melting-point metal materials such as tungsten, molybdenum, manganese and the like, and is suitable for high-temperature heating application after being electrified.
The heating process of the utility model is divided into the following three stages:
the first stage, setting the high-voltage pulse generator to high level 12V for continuous output, and electrifying the conductive heating element for 5 seconds;
the second stage, judging the difference value between the temperature of the metal needle in the first stage and 60 ℃, if the temperature of the metal needle exceeds 65 ℃, cutting off the output voltage of the high-voltage pulse generator for 2 seconds, and then judging the temperature of the metal needle until the temperature of the metal needle is between 55 ℃ and 65 ℃;
and in the third stage, the control computer adjusts the high-voltage pulse generator to enable the high-voltage pulse generator to send pulse current with variable duty ratio to the conductive heating body, so that the metal needle is continuously heated in the pulling-out process and the set temperature is maintained.
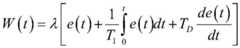
In particular, a PID control algorithm is adopted. The PID control principle is based on the following equation:
Figure BDA0002710436150000061
w (T) is the output of the PID loop, λ is the scaling factor, T1And TDIntegration time and differentiation time, respectively. In order to allow the control chip to process this equation, the above equation is written as
Figure BDA0002710436150000062
λpIs a proportionality coefficient, λiTo be integral proportional factor, λdIn order to be a differential proportionality coefficient,
Figure BDA0002710436150000063
Tiis an integral time parameter, T is the signal sampling period, TdIs a differential time parameter.
ek-1And ekThe sampled temperature values at the k-1 st and k-th times, respectively.
The temperature control of the metal needle adopts real-time temperature sensor feedback, the PWM technology is used for adjusting control signals, as shown in figure 5, pulse current with variable duty ratio and gradually reduced is sent to the heating resistance wire, meanwhile, the temperature sensor obtains the surface temperature information of the metal needle and sends the surface temperature information to the control computer, and the control computer adjusts the analog quantity W in the PID position control in a mode of adjusting the pulse widthnTo a continuous time-controlled variable, thereby maintainingThe target temperature of the metal needle is about 60 ℃, and the tissue where the needle channel is located is heated for coagulation in the process of puncturing and pulling out the metal needle.

Claims (6)

1. A tumor ablation needle with a blood coagulation function comprises a metal needle (1) with a hollow lumen, wherein the front end of the metal needle (1) is a puncture tip, an insulating coating (2) is arranged on the surface of the middle section of the metal needle (1), and a handle (3) is sleeved outside the tail end of the metal needle (1), and the tumor ablation needle is characterized in that a temperature sensor (4) is arranged on the metal needle (1), a heating component is sleeved in the lumen of the metal needle (1) and comprises an insulating heat conductor (5) inserted in the lumen and a conductive heating part (6) arranged in the insulating heat conductor, the conductive heating part (6) is connected with two heating connection points (8) arranged at the tail end of the handle (3) through a lead (7), the two heating connection points (8) are connected with an external high-voltage pulse generator through the lead (7), the high-voltage pulse generator is connected with a control computer, and the control computer is connected with the temperature sensor (4), the temperature sensor (4) is fixed on the outer surface of the insulated heat conductor (5).
2. The tumor ablation needle with blood coagulation function according to claim 1, wherein the lumen of the metal needle (1) comprises a small diameter section (1-1) for accommodating the insulating heat conductor (5) and a large diameter section (1-2) connected behind the small diameter section (1-1), the lumen of the small diameter section (1-1) is matched with the insulating heat conductor (5), the large diameter end is open, the small diameter section (1-1) and the large diameter section (1-2) are connected in a transition way through a tapered reducing section (1-3), the rear end of the insulating heat conductor (5) extends out of the small diameter section (1-1) and then passes through the reducing section (1-3) to enter the large diameter section (1-2), and the lumen corresponding to the reducing section (1-3) and the large diameter section (1-2) is filled with the insulating glue (9).
3. The needle for tumor ablation with blood coagulation function according to claim 2, wherein a gap exists between the small diameter section (1-1) and the insulating heat conductor (5).
4. The tumor ablation needle with the blood coagulation function as claimed in claim 1, wherein the insulating heat conductor (5) is formed by mixing and firing ceramics and metal, the conductive heating element (6) is a heating resistance wire, the heating resistance wire extends into the insulating heat conductor (5) from the rear end thereof to the front end thereof and then turns back to the rear end thereof, and two ends of the heating resistance wire are respectively connected with the two heating connection points (8) through a lead (7) arranged in the lumen of the metal needle (1).
5. The tumor ablation needle with the blood coagulation function as claimed in claim 4, wherein the heating resistance wire is made of a high melting point metal material.
6. The needle for tumor ablation with blood coagulation function as claimed in claim 5, wherein the insulating heat conductor (5) is formed by sintering a metal heating resistor paste and a ceramic together.
CN202022195838.4U2020-09-292020-09-29Tumor ablation needle with blood coagulation functionActiveCN213588470U (en)

Priority Applications (1)

Application NumberPriority DateFiling DateTitle
CN202022195838.4UCN213588470U (en)2020-09-292020-09-29Tumor ablation needle with blood coagulation function

Applications Claiming Priority (1)

Application NumberPriority DateFiling DateTitle
CN202022195838.4UCN213588470U (en)2020-09-292020-09-29Tumor ablation needle with blood coagulation function

Publications (1)

Publication NumberPublication Date
CN213588470Utrue CN213588470U (en)2021-07-02

Family

ID=76590097

Family Applications (1)

Application NumberTitlePriority DateFiling Date
CN202022195838.4UActiveCN213588470U (en)2020-09-292020-09-29Tumor ablation needle with blood coagulation function

Country Status (1)

CountryLink
CN (1)CN213588470U (en)

Similar Documents

PublicationPublication DateTitle
US4527560A (en)Medical or dental probe with self-heating tip and methods for making
US6818000B2 (en)Electrode arrangement for electrothermal treatment of human or animal bodies
US20200146743A1 (en)Ablation systems with parameter-based modulation and related devices and methods
US6620156B1 (en)Bipolar tonsillar probe
US8287533B2 (en)Irrigated catheter and method, in particular for ablation and like techniques
CN106535982B (en) Medical Devices for Fluid Communication
EP1795139B1 (en)Laparoscopic apparatus for performing electrosurgical procedures
CN112263322A (en)Tumor ablation needle with blood coagulation function
JP4302731B2 (en) High-frequency electrosurgical electrode for coagulation necrosis of living tissue
US8215955B2 (en)Endodontic instrument for root canal filling and heating tip adapted to the same
US6387093B1 (en)Radio frequency tongue base electrode
US12226149B2 (en)System and method for adjusting available power per probe during an ablation procedure
EP0256043A1 (en)Electrode catheter for the ablation of the his bundle
US12133676B2 (en)Tissue ablation cannula assembly
CN213588470U (en)Tumor ablation needle with blood coagulation function
US20100087834A1 (en)Bipolar instrument and method for endoscopic controlled shortening and/or fragmentation of stents arranged in gastrointestinal tract in the tracheobronchial system or in other hollow organs
EP2626021A1 (en)Electrode tip for radiofrequency tissue ablation and electrode having the same
CN101636121B (en)Microwave surgical device
JP4138468B2 (en) Microwave surgical device
US8092449B2 (en)Surgical probe
JPH10234744A (en)Surgical device to jet plasma gas
CN213190038U (en)Structure for adjusting needle wire assembly to stretch and control radio frequency ablation range through gear and rack
CN213190039U (en)Structure for adjusting radiofrequency ablation volume at fixed point through gear and rack
JP2002065692A (en)Electric operation apparatus
JP2019205625A (en)Bipolar type heating treatment device for endoscope

Legal Events

DateCodeTitleDescription
GR01Patent grant
GR01Patent grant

[8]ページ先頭

©2009-2025 Movatter.jp