Movatterモバイル変換


[0]ホーム

URL:


CN211318884U - Light and thin type optical display system, image lens module and VR equipment - Google Patents

Light and thin type optical display system, image lens module and VR equipment
Download PDF

Info

Publication number
CN211318884U
CN211318884UCN202020353804.0UCN202020353804UCN211318884UCN 211318884 UCN211318884 UCN 211318884UCN 202020353804 UCN202020353804 UCN 202020353804UCN 211318884 UCN211318884 UCN 211318884U
Authority
CN
China
Prior art keywords
optical
lens
film
light
optical lens
Prior art date
Legal status (The legal status is an assumption and is not a legal conclusion. Google has not performed a legal analysis and makes no representation as to the accuracy of the status listed.)
Active
Application number
CN202020353804.0U
Other languages
Chinese (zh)
Inventor
岳智鹏
王锐
Current Assignee (The listed assignees may be inaccurate. Google has not performed a legal analysis and makes no representation or warranty as to the accuracy of the list.)
Ningbo Hongyi Photoelectric Technology Co ltd
Original Assignee
Ningbo Hongyi Photoelectric Technology Co ltd
Priority date (The priority date is an assumption and is not a legal conclusion. Google has not performed a legal analysis and makes no representation as to the accuracy of the date listed.)
Filing date
Publication date
Application filed by Ningbo Hongyi Photoelectric Technology Co ltdfiledCriticalNingbo Hongyi Photoelectric Technology Co ltd
Priority to CN202020353804.0UpriorityCriticalpatent/CN211318884U/en
Application grantedgrantedCritical
Publication of CN211318884UpublicationCriticalpatent/CN211318884U/en
Activelegal-statusCriticalCurrent
Anticipated expirationlegal-statusCritical

Links

Images

Landscapes

Abstract

The utility model provides a light and thin optical display system, an image lens module and VR equipment, belonging to the technical field of optical imaging, wherein the optical display system comprises a display and a first optical amplification component and a second optical amplification component which are arranged on the light-emitting light path of the display in sequence; the first optical amplification assembly comprises a first optical lens, the radius of curvature of the surface of the first optical lens far away from the display is R11, and the radius of curvature of the surface of the first optical lens near the display is R12, which satisfies-100 < R11+ R12< 300. The image lens module has the advantages of small volume, light weight, good imaging quality and large field angle range, and can eliminate most stray light. This VR equipment, it is convenient to dress, and the people of the different near-sighted degree of accessible governing system virtual image distance adaptation uses, when the regular change of virtual image distance, can also make the ciliary muscle of user's eyes obtain taking exercise at the in-process of focusing repeatedly, plays protection eyes, the effect of correcting eyesight.

Description

Light and thin type optical display system, image lens module and VR equipment
Technical Field
The utility model belongs to the technical field of optical imaging, concretely relates to frivolous type optical display system, image lens module and VR equipment.
Background
Virtual Reality technology (VR) is a computer simulation system that can view, create, or experience a Virtual world. The technology images virtual images in the limited distance in front of eyes of a user, optical display is matched with environment modeling, real-time sensing, application system development and system integration, and the optical display and the real-time sensing work together to enable a wearer to generate the immersion of a virtual world. Virtual reality technology has been widely used in the fields of gaming, retail, education, industry, and the like.
At present, the conventional VR optical system generally has the problems of small field angle, small eye movement range, poor image quality and thick module, and the user experience of VR equipment is poor due to the problems. In addition, for myopic users, these optical systems do not support diopter adjustment, reducing the wearing experience.
SUMMERY OF THE UTILITY MODEL
An object of the embodiments of the present invention is to provide a light and thin optical display system, which is small in size, good in image quality and large in field angle range.
Another object of the present invention is to provide an image lens module, which is small in size, light in weight, high in image quality, large in field angle range, and adaptable to users with myopia, and can eliminate most stray light.
The utility model discloses embodiment's still another aim at provides a VR equipment, and it is convenient to dress, can let user's eyes obtain taking exercise, plays protection eyes, and the effect of correcting the vision has promoted user experience and has immersed the sense.
The embodiment of the utility model is realized like this:
the embodiment of the utility model provides a thin and light type optical display system, including the display and set gradually first optical amplification subassembly and second optical amplification subassembly on the light-emitting light path of the display, the second optical amplification subassembly is located the one side of keeping away from the display of first optical amplification subassembly;
the first optical magnification assembly comprises a first optical lens;
the radius of curvature of the surface of the first optical lens far away from the display is R11, and the radius of curvature of the surface of the first optical lens near the display is R12, which satisfies-100 < R11+ R12< 300.
The display mainly plays a role of emitting light, can display 2D or 3D images or videos, can adopt an OLED display, an LCOS display, an LCD display, a micro-LED display or a mini-LED display and the like, and can be selected according to needs.
Furthermore, the first optical lens comprises a first lens, a partial transmission partial reflection optical film and a first antireflection optical film, wherein the partial transmission partial reflection optical film and the first antireflection optical film are respectively arranged on two sides of the first lens.
The two side surfaces of the first lens can be processed into plane, spherical, aspheric or free-form surface according to the requirement.
Further, the field angle of the thin and light optical display system is FOV, which satisfies: 60 ° < FOV <130 °; the focal length of the light and thin optical display system is f, and the light and thin optical display system meets the following requirements: 15mm < f <45 mm; the focal length of the first optical lens is f1, and the following conditions are satisfied: 1< f1/f < 6.
Further, the second optical amplifying assembly includes a second optical lens, the second optical lens is disposed on the transmission light path of the first optical lens, and the second optical lens includes a second lens, a second antireflection optical film, a second absorption type linear polarizing film, a second polarization reflective film, and a second phase retardation film; the second absorption type linear polarization film is arranged on one side of the second lens, which is close to the first optical lens, the second polarization reflection film is arranged on one side of the second absorption type linear polarization film, which is far away from the second lens, the second phase retardation film is arranged on one side of the second polarization reflection film, which is far away from the second lens, and the second antireflection optical film is arranged on both one side of the second phase retardation film, which is far away from the second polarization reflection film, and one side of the second lens, which is far away from the second absorption type linear polarization film; or the second absorption type linear polarization film is disposed on a side of the second lens far away from the first optical lens, the second polarization reflection film is disposed on a side of the second lens far away from the second absorption type linear polarization film, the second phase retardation film is disposed on a side of the second polarization reflection film far away from the second lens, and both a side of the second phase retardation film far away from the second polarization reflection film and a side of the second absorption type linear polarization film far away from the second lens are provided with the second antireflection optical film.
The two side surfaces of the second lens can be processed into plane, spherical, aspheric or free-form surface according to the requirement.
Further, the focal length of the second optical lens is f2, which satisfies: 1< f2/f < 6; the radius of curvature of the surface of the second optical lens far away from the first optical lens is R21, and the radius of curvature satisfies the following conditions: 50< R21< 200.
Further, the second optical amplification assembly comprises a third optical lens and a fourth optical lens, the third optical lens is arranged on the transmission light path of the first optical lens, and the fourth optical lens is arranged on the transmission light path of the third optical lens;
the third optical lens comprises a third lens, a third antireflection optical film, a third polarization reflection film and a third phase retardation film, the third polarization reflection film is arranged on one side of the third lens, which is far away from the first optical lens, the third phase retardation film is arranged on one side of the third lens, which is close to the first optical lens, and the third antireflection optical film is arranged on one side of the third phase retardation film, which is far away from the third lens;
the fourth optical lens comprises a fourth lens, a fourth anti-reflection optical film and a fourth absorption type linear polarization film, the fourth absorption type linear polarization film is arranged on one side, close to the third optical lens, of the fourth lens, and the fourth anti-reflection optical film is arranged on one side, far away from the third optical lens, of the fourth lens and on one side, far away from the fourth lens, of the fourth absorption type linear polarization film.
The two side surfaces of the third lens and the two side surfaces of the fourth lens can be processed into plane shapes, spherical surfaces, aspheric surfaces or free-form surfaces and the like according to requirements.
Further, the focal length of the fourth optical lens is f4, which satisfies: 1< f4/f < 6; the radius of curvature of the surface of the fourth optical lens far away from the first optical lens is R41, and the radius of curvature satisfies the following conditions: 50< R41< 200.
Furthermore, the distance between the optical lens farthest from the display and the display on the optical axis in the second optical amplification assembly is L, and the L <30mm is 10mm, so that the optical module can be ensured to be small in size.
Further, the thickness of the thickest part of any one of the first optical amplification assembly and the second optical amplification assembly is MaxT, the thickness of the thinnest part is MinT, and the thicknesses satisfy the following conditions: MaxT/MinT < 10.
Furthermore, the thin and light optical display system can form a virtual image that can be seen by an observer, and the thin and light optical display system defines the light-emitting optical path direction of the display as the Z-axis negative direction in the right-hand rectangular coordinate system O-xyz, so that the range in which the human eye can move in the X direction or the Y direction relative to the thin and light optical display system is EB, which satisfies 4mm < EB <15 mm; the distance between the human eye and the outermost optical lens in the second optical amplification assembly is ER, and the ER/EB is 1< ER/2; the distance between the virtual image formed by the light and thin optical display system and human eyes is OB, and 0.1m < OB <50 m. The larger the EB and ER are, the more the human eyes can see a complete and clear picture when moving in a larger range.
In each optical lens, the antireflection optical film is used for improving the transmittance of the optical lens and reducing the influence of stray light on the system; the partially-transmitting partially-reflecting optical film is used for transmitting part of light rays through the optical lens, reflecting part of the light rays and screening out required light rays; the absorption type linear polarization film has the functions of absorbing linearly polarized light in one direction and transmitting linearly polarized light in the other direction; the polarization reflection film has the functions of reflecting linearly polarized light in one direction and transmitting linearly polarized light in the other direction; the phase delay film is a quarter-wave plate and has the function of converting circularly polarized light into linearly polarized light or converting linearly polarized light into circularly polarized light.
The utility model discloses an among each optical lens, all absorption molded lines polarizing film, polarization reflective film and phase delay membrane's thickness all is less than 0.2 mm.
In the utility model, the material for making each optical lens can be plastic or glass, the refractive index of the selected material is N, the dispersion coefficient is V, it satisfies 1.3 < N < 1.8, 20 < V < 70.
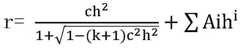
The Aspherical Surface (ASP) curve equation of each lens is as follows:
Figure BDA0002418200580000051
in the formula, R is a distance vector from a fixed point of the aspheric surface when the aspheric surface is at a position with a height h along the optical axis direction, c is the curvature of the aspheric surface, i.e., c is 1/R (R is a curvature radius), k is a conic coefficient, and Ai is an i-th order coefficient of the aspheric surface.
The utility model discloses an embodiment still provides an image lens module, including urceolus, inner tube and above-mentioned arbitrary one frivolous type optical display system, the urceolus is one end open-ended tubular structure, the display set up in the interior bottom surface of urceolus, the inner tube is both ends open-ended tubular structure, the inner tube set up in the urceolus, first optics amplify the subassembly with second optics amplify the subassembly set up in the inner tube, work as first optics amplify the subassembly with when arbitrary a slice optical lens in the second optics amplify the subassembly is the plastics material, this optical lens's marginal part has the injecting glue mouth, the inner wall of inner tube is equipped with at least a slice and shelters from the piece, shelter from the piece and be located one side that has the injecting glue mouth of optical lens and shelter from the injecting glue mouth of optical lens.
The utility model discloses an embodiment still provides a VR equipment, including wearing parts and the aforesaid image camera lens module, the image camera lens module set up in on the wearing parts.
The utility model has the advantages that:
the embodiment of the utility model provides an optical display system, its is small, and the formation of image is of high quality, and the field angle scope is big.
The embodiment of the utility model provides an image lens module, its is small, light in weight, and imaging quality is good, and the field angle scope is big, can eliminate most stray light.
The embodiment of the utility model provides a VR equipment, it is convenient to dress, and the accessible governing system virtual image is used apart from the people of the different near-sighted degree of adaptation, when regular governing system virtual image distance by near and far away or by far and near change, the ciliary muscle of user's eyes can obtain taking exercise at the focus in-process that relapses, plays protection eyes, the effect of correcting eyesight.
Drawings
In order to more clearly illustrate the technical solutions of the embodiments of the present invention, the drawings that are required to be used in the embodiments will be briefly described below, it should be understood that the following drawings only illustrate some embodiments of the present invention, and therefore should not be considered as limiting the scope, and for those skilled in the art, other related drawings can be obtained according to the drawings without inventive efforts.
Fig. 1 is a schematic view of an optical architecture of a thin and light optical display system according to a first embodiment of the present invention;
fig. 2 is an optical design light path diagram of a first embodiment of the present invention;
FIG. 3 is the MTF graph of FIG. 2;
fig. 4 is an optical design light path diagram of a second embodiment of the present invention;
FIG. 5 is the MTF graph of FIG. 4;
fig. 6 is a schematic view of an optical architecture of a thin and light optical display system according to a third embodiment of the present invention;
fig. 7 is an optical design light path diagram of a third embodiment of the present invention;
FIG. 8 is the MTF graph of FIG. 7;
fig. 9 is a schematic structural view of an image lens module according to a fourth embodiment of the present invention;
fig. 10 is a schematic structural diagram of a VR device according to a fifth embodiment of the present invention.
In the figure: 10-a display; 20-a first optical lens; 201-a first lens; 202-a first anti-reflective optical film; 203-partially transmissive partially reflective optical film; 30-a second optical lens; 301-a second lens; 302-a second anti-reflective optical film; 303 — a second absorbing type linear polarizing film; 304-a second polarizing reflective film; 305-a second phase retardation film; 40-a third optical lens; 401-a third lens; 402-a third polarizing reflective film; 403-a third phase retardation film; 404-a third antireflection optical film; 50-a fourth optical lens; 501-a fourth lens; 502-a fourth anti-reflective optical film; 503-a fourth absorbing type linear polarizing film; 60-human eye; 70-image lens module; 71-outer cylinder; 72-inner cylinder; 721-a shielding sheet; 80-wearing parts.
Detailed Description
To make the objects, technical solutions and advantages of the embodiments of the present invention clearer, the drawings of the embodiments of the present invention are combined to clearly and completely describe the technical solutions of the embodiments of the present invention, and obviously, the described embodiments are some embodiments of the present invention, not all embodiments. The components of embodiments of the present invention, as generally described and illustrated in the figures herein, may be arranged and designed in a wide variety of different configurations.
Thus, the following detailed description of the embodiments of the present invention, presented in the accompanying drawings, is not intended to limit the scope of the invention, as claimed, but is merely representative of selected embodiments of the invention. Based on the embodiments in the present invention, all other embodiments obtained by a person skilled in the art without creative work belong to the protection scope of the present invention.
In the present invention, the embodiments and the features of the embodiments may be combined with each other without conflict.
In the description of the present invention, it should be noted that the terms "first", "second", "third", and the like are used only for distinguishing the description, and are not to be construed as indicating or implying relative importance.
Example 1
Referring to fig. 1, a thin and light optical display system according to a first embodiment of the present invention includes adisplay 10, a first optical amplifying assembly and a second optical amplifying assembly.
Thedisplay 10 mainly functions to emit light, thedisplay 10 may display 2D or 3D images or video, and thedisplay 10 employs an LCD display.
The first optical magnifying assembly includes a firstoptical lens 20, and the firstoptical lens 20 is disposed on the light outgoing path of thedisplay 10.
The firstoptical lens 20 includes afirst lens 201, a first antireflectionoptical film 202, and a partially transmissive partially reflectiveoptical film 203, where the partially transmissive partially reflectiveoptical film 203 and the first antireflectionoptical film 202 are respectively disposed on two sides of thefirst lens 201. In this embodiment, partially transmissive and partially reflectiveoptical film 203 is disposed on a side offirst lens 201 close to display 10, and first antireflectionoptical film 202 is disposed on a side offirst lens 201 away fromdisplay 10.
Both side surfaces of thefirst lens 201 are aspheric surface type.
The second optical magnifying assembly includes a secondoptical lens 30, and the secondoptical lens 30 is disposed on the transmission light path of the firstoptical lens 20.
The secondoptical lens 30 includes asecond lens 301, a second antireflectionoptical film 302, a second absorptive type linearpolarizing film 303, a second polarizingreflective film 304, and a secondphase retardation film 305. In this embodiment, the second absorbing typelinear polarization film 303 is disposed on the side of thesecond lens element 301 close to the firstoptical lens element 20, the secondpolarization reflection film 304 is disposed on the side of the second absorbing typelinear polarization film 303 away from thesecond lens element 301, the secondphase retardation film 305 is disposed on the side of the secondpolarization reflection film 304 away from thesecond lens element 301, and the second antireflectionoptical film 302 is disposed on both the side of the secondphase retardation film 305 away from the secondpolarization reflection film 304 and the side of thesecond lens element 301 away from the second absorbing typelinear polarization film 303. Of course, in another embodiment, the second absorbing typelinear polarization film 303 is disposed on the side of thesecond lens 301 away from the firstoptical lens 20, the secondpolarization reflection film 304 is disposed on the side of thesecond lens 301 away from the second absorbing typelinear polarization film 303, the secondphase retardation film 305 is disposed on the side of the secondpolarization reflection film 304 away from thesecond lens 301, and the second antireflectionoptical film 302 is disposed on both the side of the secondphase retardation film 305 away from the secondpolarization reflection film 304 and the side of the second absorbing typelinear polarization film 303 away from thesecond lens 301.
The surface of thesecond lens 301 on the side away from the firstoptical lens 20 is aspheric, and the surface of thesecond lens 301 on the side close to the firstoptical lens 20 is planar.
The field angle FOV of the thin and light optical display system in this embodiment is 70 °; the focal length f is 32.58 mm.
The focal length f1 of the firstoptical lens 20 in this embodiment is 181.49 mm.
The radius of curvature of the surface of the firstoptical lens 20 away from thedisplay 10 in this embodiment is R11-321.78 mm, and the radius of curvature of the surface of the firstoptical lens 20 close to thedisplay 10 is R12-138.30 mm.
The focal length f2 of the secondoptical lens 30 in the present embodiment is 159.62 mm; the radius of curvature R21 of the surface of the secondoptical lens 30 on the side away from the firstoptical lens 20 is 85.23 mm.
The distance L between the secondoptical lens 30 and thedisplay 10 on the optical axis is 20.41 mm.
The ratio of the thickest thickness to the thinnest thickness of the firstoptical lens 20 is 2.09; the ratio of the thickest thickness to the thinnest thickness of the secondoptical lens 30 is 1.89.
In a right-handed rectangular coordinate system O-xyz, the light-emitting optical path direction of thedisplay 10 is defined as the Z-axis negative direction, and the range in which thehuman eye 60 can move in the X direction or the Y direction relative to the light-weight optical display system is EB (eye box), which satisfies 4mm < EB <15 mm; the distance between thehuman eye 60 and the outermost optical lens piece in the second optical amplification assembly is ER (eye relief), and the distance satisfies 1< ER/EB < 2; the adjustable distance between the virtual image formed by the thin and light optical display system and thehuman eye 60 is OB, 0.1m < OB <50 m. The larger the EB and ER are, the more thehuman eye 60 can see a complete and clear picture when moving within a larger range.
The detailed parameters of each optical structure in this embodiment are shown in table one and table two.
Watch 1
Figure BDA0002418200580000101
Figure BDA0002418200580000111
Figure BDA0002418200580000121
Watch two
Figure BDA0002418200580000122
Table one is the relevant optical structure data of the first embodiment, because the optical path is designed reversely in the optical design software, the surfaces S0 to S29 sequentially represent the surfaces through which the light rays sequentially pass from the virtual image position to thedisplay 10. Wherein thickness represents the distance a light ray travels from the surface to the next surface, 0 represents that the two surfaces are in close proximity, and negative values represent that the light ray is reflected at the surface; mirror in the table indicates that light is reflected at the surface; optical film layers not shown in the table are all conventional optical coating films which are performed by technological means such as evaporation or sputtering in the optical field, and the influence brought by the optical film layers in the optical software design is small and generally not considered, so that the optical film layers are not shown in the table.
Table two shows aspheric data of the relevant optical structure in the first embodiment, where k is the conic coefficient in the above curve equation, and a4 to a20 represent the 4 th to 20 th order aspheric coefficients of each surface.
Fig. 2 is an optical design optical path diagram of the present embodiment.
Fig. 3 is a graph of MTF of fig. 2, which is an abbreviation of Modulation Transfer Function, and is a way to describe the performance of an optical system, which can be evaluated for its ability to restore contrast. The horizontal axis represents spatial frequency, the vertical axis represents contrast, the solid line represents the meridional direction, and the dashed line represents the sagittal direction. As can be seen from the figure, the optical system has better resolving power in different directions of different fields of view.
The imaging principle of the thin and light optical display system of the present embodiment is as follows:
the circular polarization emitted from the display 10 firstly enters the first optical lens 20, is processed by the first optical lens 20 and then is transmitted out, and then enters the second optical lens 30, the circularly polarized light becomes a first polarized light after passing through the second antireflection optical film 302 and the second phase retardation film 305 in the second optical lens 30, the first polarized light is reflected at the second polarization reflection film 304 layer in the second optical lens 30, then passes through the second phase retardation film 305 in the second optical lens 30 again and becomes a circularly polarized light, is reflected from the second antireflection optical film 302 and enters the first optical lens 20, a part of the light is reflected at the part of the transmission part reflection optical film 203 in the first optical lens 20 and then passes through the first optical lens 20 again and enters the second optical lens 30, and becomes a second polarized light after passing through the second phase retardation film 305 of the second optical lens 30, the second polarized light sequentially passes through the second polarization reflecting film 304, the second absorbing type linear polarization film 303, the second lens 301 and the second anti-reflection optical film 302, and then reaches the human eye 60 to form a virtual image at a specific imaging position and at a specific magnification. The second absorbing mold linepolarizing film 303 eliminates stray light formed by ambient light on the side of thehuman eye 60 being reflected by the polarizing reflective film.
If the first polarized light is S polarized light, the second polarized light is P polarized light; if the first polarized light is P-polarized light, the second polarized light is S-polarized light.
The aberration of the optical display system can be greatly reduced by reasonably setting the surface type parameters of the surfaces of the optical lenses in the optical display system, the resolution of the system is improved, and the image quality is improved. According to different requirements in actual use conditions, an aberration correction lens can be added between the firstoptical lens 20 and the secondoptical lens 30, the aberration correction lens is at least one lens and can be a plane, a spherical surface, an aspheric surface or a free-form surface, the optical surface of the aberration correction lens can be subjected to antireflection coating, and the image quality can be further improved, the eye movement range can be enlarged, and the curvature of field, chromatic aberration and distortion can be controlled by adding the aberration correction lens; at the same time, the position of the virtual image can also be controlled.
Example 2
Referring to fig. 1, a second embodiment of the present invention provides a thin and light optical display system, which includes adisplay 10, a first optical amplifying assembly and a second optical amplifying assembly.
It should be noted that the structure and the working principle of thedisplay 10, the first optical amplifying assembly and the second optical amplifying assembly in this embodiment are the same as those in the first embodiment, and reference is made to the corresponding contents in the first embodiment, which is not described herein again.
The difference between this embodiment and the first embodiment is the design of the optical parameters.
In this embodiment, the FOV of the thin and light optical display system is 120 °; the focal length f is 21.86 mm.
The focal length f1 of the firstoptical lens 20 in this embodiment is 89.59 mm.
The radius of curvature of the surface of the firstoptical lens 20 away from thedisplay 10 in this embodiment is R11-84.06 mm, and the radius of curvature of the surface of the firstoptical lens 20 close to thedisplay 10 is R12-115.24 mm.
The focal length f2 of the secondoptical lens 30 in the present embodiment is 236.76 mm; the radius of curvature R21 of the surface of the secondoptical lens 30 on the side away from the firstoptical lens 20 is 126.42.
The distance L between the secondoptical lens 30 and thedisplay 10 on the optical axis is 20.45 mm.
The ratio of the thickest thickness to the thinnest thickness of the firstoptical lens 20 is 3; the ratio of the thickest thickness to the thinnest thickness of the secondoptical lens 30 is 3.05.
For the detailed parameters of each optical structure in this embodiment, see table three and table four.
Watch III
Figure BDA0002418200580000151
Figure BDA0002418200580000161
Watch four
Figure BDA0002418200580000162
Table three is the relevant optical structure data of the second embodiment, because the optical path is designed reversely in the optical design software, the surfaces S0 to S29 sequentially represent the surfaces through which the light rays sequentially pass from the virtual image position to thedisplay 10. Wherein thickness represents the distance a light ray travels from the surface to the next surface, 0 represents that the two surfaces are in close proximity, and negative values represent that the light ray is reflected at the surface; mirror in the table indicates that light is reflected at the surface; optical film layers not shown in the table are all conventional optical coating films which are performed by technological means such as evaporation or sputtering in the optical field, and the influence brought by the optical film layers in the optical software design is small and generally not considered, so that the optical film layers are not shown in the table.
Table four shows aspheric data of the relevant optical structures in example two, where k is a conic coefficient in the above curve equation, and a4 to a20 represent aspheric coefficients of 4 th to 20 th orders of the respective surfaces.
Fig. 4 is an optical design optical path diagram of the present embodiment.
Fig. 5 is a graph of MTF of fig. 4, which is an abbreviation of Modulation Transfer Function, and is a way to describe the performance of an optical system, which can be evaluated for its ability to restore contrast. The horizontal axis represents spatial frequency, the vertical axis represents contrast, the solid line represents the meridional direction, and the dashed line represents the sagittal direction. As can be seen from the figure, the optical system has better resolving power in different directions of different fields of view.
Example 3
Referring to fig. 6, a third embodiment of the present invention provides a thin and light optical display system, which includes adisplay 10, a first optical amplifying assembly and a second optical amplifying assembly.
Thedisplay 10 mainly functions to emit light, thedisplay 10 may display 2D or 3D images or video, and thedisplay 10 employs an LCD display.
The first optical magnifying assembly includes a firstoptical lens 20, and the firstoptical lens 20 is disposed on the light outgoing path of thedisplay 10.
The firstoptical lens 20 includes afirst lens 201, a partially transmissive and partially reflectiveoptical film 203, and a first antireflectionoptical film 202, where the partially transmissive and partially reflectiveoptical film 203 and the first antireflectionoptical film 202 are respectively disposed on two sides of thefirst lens 201. In this embodiment, partially transmissive and partially reflectiveoptical film 203 is disposed on a side offirst lens 201 close to display 10, and first antireflectionoptical film 202 is disposed on a side offirst lens 201 away fromdisplay 10.
Both side surfaces of thefirst lens 201 are aspheric surface type.
The second optical magnifying assembly comprises a thirdoptical lens 40 and a fourthoptical lens 50, wherein the thirdoptical lens 40 is arranged on a transmission light path of the firstoptical lens 20, and the fourthoptical lens 50 is arranged on a transmission light path of the thirdoptical lens 40;
the thirdoptical lens 40 includes athird lens 401, a third antireflectionoptical film 404, a third polarizationreflective film 402, and a thirdphase retardation film 403, where the third polarizationreflective film 402 is disposed on a side of thethird lens 401 away from the firstoptical lens 20, the thirdphase retardation film 403 is disposed on a side of thethird lens 401 close to the firstoptical lens 20, and the third antireflectionoptical film 404 is disposed on a side of the thirdphase retardation film 403 away from thethird lens 401.
Both side surfaces of thethird lens 401 are flat.
The fourthoptical lens 50 includes afourth lens 501, a fourth antireflectionoptical film 502, and a fourth absorption-typelinear polarization film 503, where the fourth absorption-typelinear polarization film 503 is disposed on a side of thefourth lens 501 close to the thirdoptical lens 40, and a fourth antireflectionoptical film 502 is disposed on both a side of thefourth lens 501 far from the thirdoptical lens 40 and a side of the fourth absorption-typelinear polarization film 503 far from thefourth lens 501.
The surface of thefourth lens element 501 on the side away from the thirdoptical lens element 40 is aspheric, and the surface of thefourth lens element 501 on the side close to the thirdoptical lens element 40 is flat.
The field angle FOV of the thin and light optical display system in this embodiment is 100 °; the focal length f is 24.75 mm.
The focal length f1 of the firstoptical lens 20 in this embodiment is 114.13 mm.
The radius of curvature of the surface of the firstoptical lens 20 away from thedisplay 10 in this embodiment is R11-130.77 mm, and the radius of curvature of the surface of the firstoptical lens 20 close to thedisplay 10 is R12-118.23 mm.
The focal length f4 of the fourthoptical lens 50 in the present embodiment is 147.75 mm; the radius of curvature R41 of the surface of the fourthoptical lens 50 on the side away from the firstoptical lens 20 is 80.51 mm.
The distance L between the fourthoptical lens 50 and thedisplay 10 on the optical axis is 20.15 mm.
The ratio of the thickest thickness to the thinnest thickness of the firstoptical lens 20 is 2.17; the ratio of the thickest thickness to the thinnest thickness of the fourthoptical lens 50 is 1.69.
In a right-handed rectangular coordinate system O-xyz, the light-emitting optical path direction of thedisplay 10 is defined as the Z-axis negative direction, and the range in which thehuman eye 60 can move in the X direction or the Y direction relative to the light-weight optical display system is EB (eye box), which satisfies 4mm < EB <15 mm; the distance between thehuman eye 60 and the outermost optical lens piece in the second optical amplification assembly is ER (eye relief), and the distance satisfies 1< ER/EB < 2; the adjustable distance between the virtual image formed by the thin and light optical display system and thehuman eye 60 is OB, 0.1m < OB <50 m. The larger the EB and ER are, the more thehuman eye 60 can see a complete and clear picture when moving within a larger range.
The detailed parameters of each optical structure in this example are shown in table five and table six.
Watch five
Figure BDA0002418200580000191
Figure BDA0002418200580000201
Figure BDA0002418200580000211
Watch six
Figure BDA0002418200580000212
Table five is the relevant optical structure data of the third embodiment, because the optical path is designed reversely in the optical design software, the surfaces S0 to S37 sequentially represent the surfaces through which the light rays sequentially pass from the virtual image position to thedisplay 10. Wherein thickness represents the distance a light ray travels from the surface to the next surface, 0 represents that the two surfaces are in close proximity, and negative values represent that the light ray is reflected at the surface; mirror in the table indicates that light is reflected at the surface; optical film layers not shown in the table are all conventional optical coating films which are performed by technological means such as evaporation or sputtering in the optical field, and the influence brought by the optical film layers in the optical software design is small and generally not considered, so that the optical film layers are not shown in the table.
Table six is aspheric data of the relevant optical structure in example three, where k is a conic coefficient in the above curve equation, and a4 to a20 represent aspheric coefficients of 4 th to 20 th orders of the respective surfaces.
Fig. 7 is an optical design optical path diagram of the present embodiment.
Fig. 8 is a graph of MTF of fig. 7, which is an abbreviation of Modulation Transfer Function, and is a way to describe the performance of an optical system, which can be evaluated for its ability to restore contrast. The horizontal axis represents spatial frequency, the vertical axis represents contrast, the solid line represents the meridional direction, and the dashed line represents the sagittal direction. As can be seen from the figure, the optical system has better resolving power in different directions of different fields of view.
The imaging principle of the thin and light optical display system of the present embodiment is as follows:
the circularly polarized light emitted from the display 10 firstly enters the first optical lens 20, is processed by the first optical lens 20 and then is transmitted out, and then enters the third optical lens 40, the circularly polarized light becomes a first polarized light after passing through the third antireflection optical film 404 and the third phase retardation film 403 in the third optical lens 40, the first polarized light reaches the third polarizing reflection film 402 layer through the third lens 401, the first polarized light is reflected at the third polarizing reflection film 402 layer in the third optical lens 40, and then enters the third phase retardation film 403 through the third lens 401 in the third optical lens 40 again to become a circularly polarized light, passes through the third antireflection optical film 404 and enters the first optical lens 20, a part of the light is reflected at the part of the transmission part reflection optical film 203 in the first optical lens 20 to enter the third optical lens 40, and becomes a second polarized light after passing through the third phase retardation film 403 in the third optical lens 40, the second polarized light sequentially passes through the third lens 401 and the third polarization reflection film 402 and is transmitted out to enter the fourth optical lens 50, and the light entering the fourth optical lens 50 sequentially passes through the fourth absorption type linear polarization film 503, the fourth lens 501 and the fourth anti-reflection optical film 502 and then reaches the human eyes 60 to form a virtual image with a specific imaging position and a specific magnification. The fourth absorbing typelinear polarization film 503 can eliminate stray light formed by ambient light on the side of thehuman eye 60 being reflected by the polarization reflection film.
If the first polarized light is S polarized light, the second polarized light is P polarized light; if the first polarized light is P-polarized light, the second polarized light is S-polarized light.
The aberration of the optical display system can be greatly reduced by reasonably setting the surface type parameters of the surfaces of the optical lenses in the optical display system, the resolution of the system is improved, and the image quality is improved.
The optical display system of the embodiment improves the degree of freedom of the system, and the third optical lens is a plane, so that the process difficulty can be reduced, the yield of modules can be improved, and the cost can be saved. Similarly, in the optical architecture, according to the performance requirement of the system, an aberration correction lens is further added to further improve the image quality, enlarge the eye movement range, and control the chromatic aberration, the distortion and the position of the virtual image.
Example 4
Referring to fig. 9, a fourth embodiment of the present invention provides animage lens module 70, which includes anouter tube 71, aninner tube 72 and an optical display system.
It should be noted that the optical display system in this embodiment may adopt the light and thin optical display system in embodiment 1,embodiment 2, orembodiment 3, and the structure, the operation principle, and the generated technical effects thereof refer to the corresponding contents in embodiment 1,embodiment 2, andembodiment 3, which are not described herein again.
In this embodiment, the optical display system is the thin and light optical display system of embodiment 1. The optical display system comprises adisplay 10, a first optical magnification assembly comprising a firstoptical lens 20 and a second optical magnification assembly comprising a secondoptical lens 30.
Theouter cylinder 71 is a cylindrical structure with an opening at one end, thedisplay 10 is arranged on the inner bottom surface of theouter cylinder 71, theinner cylinder 72 is a cylindrical structure with openings at two ends, theinner cylinder 72 is arranged in theouter cylinder 71, theinner cylinder 72 and theouter cylinder 71 can move relatively in the axial direction, the firstoptical lens 20 and the secondoptical lens 30 are arranged in theinner cylinder 72, when any one of the firstoptical lens 20 and the secondoptical lens 30 is made of plastic material, the edge part of the optical lens is provided with a glue injection port, the inner wall of theinner cylinder 72 is provided with at least oneshielding sheet 721, and theshielding sheet 721 is positioned on one side of the optical lens with the glue injection port and shields the glue injection port of the optical lens.
Like this, shieldingpiece 721 just can shelter from the stress influence area of optical lens injecting glue mouth department, avoids advancing the light polarization state near mouthful and changes, leads to partial light in the folding light path of polarization to turn back but see through the polarization reflective film because of the change of polarization state, and the line polarization membrane directly goes out, produces stray light, and the good imaging quality of assurance system that shieldingpiece 721's setting can be better promotes user experience.
Example 5
Referring to fig. 10, a fifth embodiment of the present invention provides a VR device, which includes awearable part 80 and animage lens module 70.
It should be noted that theimage lens module 70 in this embodiment can adopt theimage lens module 70 inembodiment 4, and the structure, the working principle, and the generated technical effects thereof refer to the corresponding contents inembodiment 4, which are not described herein again.
Theimage lens module 70 is disposed on the wearingpart 80. The wearingpart 80 may be a helmet or a spectacle frame, etc., so as to be conveniently worn on the head of a person. Of course, the VR device further includes a control unit, a storage unit, and the like, where the control unit is convenient for controlling the device, and the storage unit is convenient for storing images, videos, and the like.
During the use, through the distance between each optical lens of manual or electronic adjustment, perhaps change the position of distance in order to change the virtual image between camera lens and the display screen, come the near-sighted user of adaptation to the needs of watching of digital image better, when regular governing system virtual image distance by near to far away or by far away and near's change, the ciliary muscle of user's eyes can obtain the exercise at the focus in-process that relapses, plays protection eyes, the effect of correcting the eyesight.
The present invention is not limited to the above-mentioned alternative embodiments, and various other products can be obtained by anyone under the teaching of the present invention. The above detailed description should not be taken as limiting the scope of the invention, which is defined in the following claims, and which can be used to interpret the claims.

Claims (12)

1. A thin and light optical display system is characterized in that: the display comprises a display, a first optical amplification component and a second optical amplification component, wherein the first optical amplification component and the second optical amplification component are sequentially arranged on a light-emitting light path of the display;
the first optical magnification assembly comprises a first optical lens;
the radius of curvature of the surface of the first optical lens far away from the display is R11, and the radius of curvature of the surface of the first optical lens near the display is R12, which satisfies-100 < R11+ R12< 300.
2. The thin and light weight optical display system of claim 1, wherein: the first optical lens comprises a first lens, a partial transmission partial reflection optical film and a first antireflection optical film, wherein the partial transmission partial reflection optical film and the first antireflection optical film are respectively arranged on two sides of the first lens.
3. The thin and light weight optical display system of claim 1, wherein: the field angle of the light and thin optical display system is FOV, and the FOV satisfies the following conditions: 60 ° < FOV <130 °; the focal length of the light and thin optical display system is f, and the light and thin optical display system meets the following requirements: 15mm < f <45 mm; the focal length of the first optical lens is f1, and the following conditions are satisfied: 1< f1/f < 6.
4. The thin and light weight optical display system of claim 3, wherein: the second optical amplification assembly comprises a second optical lens, the second optical lens is arranged on a transmission light path of the first optical lens, and the second optical lens comprises a second lens, a second anti-reflection optical film, a second absorption type line polarizing film, a second polarization reflecting film and a second phase delay film; the second absorption type linear polarization film is arranged on one side of the second lens, which is close to the first optical lens, the second polarization reflection film is arranged on one side of the second absorption type linear polarization film, which is far away from the second lens, the second phase retardation film is arranged on one side of the second polarization reflection film, which is far away from the second lens, and the second antireflection optical film is arranged on both one side of the second phase retardation film, which is far away from the second polarization reflection film, and one side of the second lens, which is far away from the second absorption type linear polarization film; or the second absorption type linear polarization film is disposed on a side of the second lens far away from the first optical lens, the second polarization reflection film is disposed on a side of the second lens far away from the second absorption type linear polarization film, the second phase retardation film is disposed on a side of the second polarization reflection film far away from the second lens, and both a side of the second phase retardation film far away from the second polarization reflection film and a side of the second absorption type linear polarization film far away from the second lens are provided with the second antireflection optical film.
5. The thin and light weight optical display system of claim 4, wherein: the focal length of the second optical lens is f2, and the following conditions are satisfied: 1< f2/f < 6; the radius of curvature of the surface of the second optical lens far away from the first optical lens is R21, and the radius of curvature satisfies the following conditions: 50< R21< 200.
6. The thin and light weight optical display system of claim 3, wherein: the second optical amplification assembly comprises a third optical lens and a fourth optical lens, the third optical lens is arranged on a transmission light path of the first optical lens, and the fourth optical lens is arranged on a transmission light path of the third optical lens;
the third optical lens comprises a third lens, a third antireflection optical film, a third polarization reflection film and a third phase retardation film, the third polarization reflection film is arranged on one side of the third lens, which is far away from the first optical lens, the third phase retardation film is arranged on one side of the third lens, which is close to the first optical lens, and the third antireflection optical film is arranged on one side of the third phase retardation film, which is far away from the third lens;
the fourth optical lens comprises a fourth lens, a fourth anti-reflection optical film and a fourth absorption type linear polarization film, the fourth absorption type linear polarization film is arranged on one side, close to the third optical lens, of the fourth lens, and the fourth anti-reflection optical film is arranged on one side, far away from the third optical lens, of the fourth lens and on one side, far away from the fourth lens, of the fourth absorption type linear polarization film.
7. The thin and light weight optical display system of claim 6, wherein: the focal length of the fourth optical lens is f4, and the following conditions are satisfied: 1< f4/f < 6; the radius of curvature of the surface of the fourth optical lens far away from the first optical lens is R41, and the radius of curvature satisfies the following conditions: 50< R41< 200.
8. A thin and light optical display system according to any one of claims 1-7, characterized in that: the distance between the optical lens farthest from the display in the second optical amplification assembly and the display on the optical axis is L, and the L <10 mm <30mm is satisfied.
9. A thin and light optical display system according to any one of claims 1-7, characterized in that: the thickness of the thickest part of any one of the first optical amplification assembly and the second optical amplification assembly is MaxT, the thickness of the thinnest part is MinT, and the thickness satisfies the following conditions: MaxT/MinT < 10.
10. A thin and light optical display system according to any one of claims 1-7, characterized in that: the light and thin optical display system can form a virtual image which can be seen by an observer, and the light-emitting light path direction of the display is defined as a Z-axis negative direction in a right-hand rectangular coordinate system O-xyz, so that the range in which human eyes can move in the X direction or the Y direction relative to the light and thin optical display system is EB which meets the condition that 4mm < EB <15 mm; the distance between the human eye and the outermost optical lens in the second optical amplification assembly is ER, and the ER/EB is 1< ER/2; the distance between the virtual image formed by the light and thin optical display system and human eyes is OB, and 0.1m < OB <50 m.
11. An image lens module, characterized by comprising an outer cylinder, an inner cylinder and the light and thin optical display system of any one of claims 1 to 10, wherein the outer cylinder is a cylindrical structure with an opening at one end, the display is arranged on the inner bottom surface of the outer cylinder, the inner cylinder is a cylindrical structure with openings at two ends, the inner cylinder is arranged in the outer cylinder, the first optical amplification component and the second optical amplification component are arranged in the inner cylinder, when any one of the first optical amplification component and the second optical amplification component is made of plastic material, the edge part of the optical lens is provided with a glue injection port, the inner wall of the inner cylinder is provided with at least one shielding piece, and the shielding piece is positioned at one side of the optical lens with the glue injection port and shields the glue injection port of the optical lens.
12. A VR device, characterized in that: the imaging lens module set forth in claim 11 and a wearing part, wherein the imaging lens module set is disposed on the wearing part.
CN202020353804.0U2020-03-192020-03-19Light and thin type optical display system, image lens module and VR equipmentActiveCN211318884U (en)

Priority Applications (1)

Application NumberPriority DateFiling DateTitle
CN202020353804.0UCN211318884U (en)2020-03-192020-03-19Light and thin type optical display system, image lens module and VR equipment

Applications Claiming Priority (1)

Application NumberPriority DateFiling DateTitle
CN202020353804.0UCN211318884U (en)2020-03-192020-03-19Light and thin type optical display system, image lens module and VR equipment

Publications (1)

Publication NumberPublication Date
CN211318884Utrue CN211318884U (en)2020-08-21

Family

ID=72057877

Family Applications (1)

Application NumberTitlePriority DateFiling Date
CN202020353804.0UActiveCN211318884U (en)2020-03-192020-03-19Light and thin type optical display system, image lens module and VR equipment

Country Status (1)

CountryLink
CN (1)CN211318884U (en)

Cited By (2)

* Cited by examiner, † Cited by third party
Publication numberPriority datePublication dateAssigneeTitle
CN111240022A (en)*2020-03-192020-06-05宁波鸿蚁光电科技有限公司Light and thin type optical display system, image lens module and VR equipment
CN112799232A (en)*2021-03-192021-05-14光感(上海)科技有限公司 A portable short-focus near-eye display system

Cited By (3)

* Cited by examiner, † Cited by third party
Publication numberPriority datePublication dateAssigneeTitle
CN111240022A (en)*2020-03-192020-06-05宁波鸿蚁光电科技有限公司Light and thin type optical display system, image lens module and VR equipment
CN111240022B (en)*2020-03-192025-02-25宁波鸿蚁光电科技有限公司 A light and thin optical display system, image lens module and VR device
CN112799232A (en)*2021-03-192021-05-14光感(上海)科技有限公司 A portable short-focus near-eye display system

Similar Documents

PublicationPublication DateTitle
CN111240022B (en) A light and thin optical display system, image lens module and VR device
CN217879825U (en) optical system
US11137671B2 (en)Camera lens and imaging device
CN111367085B (en) Optical display system and AR device with folded optical path
CN213957765U (en)Imaging optical module and virtual reality equipment
KR20190133781A (en) Compact near-eye optics system with refractive beam split convex lens
CN111158154A (en)Optical display system and wearable equipment
CN213690113U (en)Imaging structure and head-mounted display device
CN212846157U (en)Imaging structure and head-mounted display device
CN213934402U (en) An eyepiece optical system with a large field of view and a head-mounted display device
CN105676477A (en) Short distance optical magnification module, glasses, helmet and VR system
CN114839742A (en) Camera optical lens system, imaging device and electronic device
CN110888221A (en) electronic device
CN106226907A (en)A kind of VR display device and wear-type VR display device
CN211318884U (en)Light and thin type optical display system, image lens module and VR equipment
CN211263953U (en)Optical display system and wearable equipment
CN106556915B (en)There are three the camera lens systems of lens assembly for tool
CN115981003A (en)Optical module and wearable equipment
CN114706228A (en)Optical system and VR equipment
CN118276327A (en)Optical system and VR glasses
CN211786381U (en)Optical display system with folding light path and AR equipment
US20230314771A1 (en)Imaging lens system, image capturing unit and electronic device
CN211263944U (en)Near-to-eye optical display system and focusing system
CN211348833U (en)Projection lens based on refraction and reflection type optical lens
CN113325567A (en)Reflective eyepiece optical system and head-mounted near-to-eye display device

Legal Events

DateCodeTitleDescription
GR01Patent grant
GR01Patent grant

[8]ページ先頭

©2009-2025 Movatter.jp