Movatterモバイル変換


[0]ホーム

URL:


CN209899402U - Reflection type oximeter - Google Patents

Reflection type oximeter
Download PDF

Info

Publication number
CN209899402U
CN209899402UCN201920322787.1UCN201920322787UCN209899402UCN 209899402 UCN209899402 UCN 209899402UCN 201920322787 UCN201920322787 UCN 201920322787UCN 209899402 UCN209899402 UCN 209899402U
Authority
CN
China
Prior art keywords
light
oximeter
signal
detection
blood oxygen
Prior art date
Legal status (The legal status is an assumption and is not a legal conclusion. Google has not performed a legal analysis and makes no representation as to the accuracy of the status listed.)
Active
Application number
CN201920322787.1U
Other languages
Chinese (zh)
Inventor
李东
周林
Current Assignee (The listed assignees may be inaccurate. Google has not performed a legal analysis and makes no representation or warranty as to the accuracy of the list.)
Zhejiang Heqing Flexible Electronic Technology Co Ltd
Original Assignee
Zhejiang Heqing Flexible Electronic Technology Co Ltd
Priority date (The priority date is an assumption and is not a legal conclusion. Google has not performed a legal analysis and makes no representation as to the accuracy of the date listed.)
Filing date
Publication date
Application filed by Zhejiang Heqing Flexible Electronic Technology Co LtdfiledCriticalZhejiang Heqing Flexible Electronic Technology Co Ltd
Priority to CN201920322787.1UpriorityCriticalpatent/CN209899402U/en
Application grantedgrantedCritical
Publication of CN209899402UpublicationCriticalpatent/CN209899402U/en
Activelegal-statusCriticalCurrent
Anticipated expirationlegal-statusCritical

Links

Images

Landscapes

Abstract

The utility model relates to a reflection type oximeter, which mainly comprises an optical reflection probe component and a pulse blood oxygen detection module, wherein the optical reflection probe component is provided with a luminous component and an optical signal receiving component, the pulse blood oxygen detection module is provided with a microprocessor and a signal transmission device, in the specific implementation process, the light-emitting component works and emits light under the control of the microprocessor, the detection light acts on the tissue part of the object to be detected, the reflected light signal of the tissue to be detected is received by the light signal receiving component, and converting into detection signal and transmitting to microprocessor, the microprocessor also receives the blood oxygen saturation detection data of transmission-type oximeter through signal transmission device, utilizes the transmission-type oximeter to detect the blood oxygen saturation detection data of the object to be detected, and calibrating the detection signal of the reflection type oximeter, so that the detection result of the reflection type oximeter can better accord with the actual blood oxygen data of the object to be detected.

Description

Reflection type oximeter
Technical Field
The utility model relates to a blood oxygen measurement technical field especially relates to a reflection type oximeter.
Background
Oxygen is an important substance for maintaining the life activity of human body, and oxygen deficiency can cause many diseases and even endanger the life of human body in severe cases. Blood passes through alveoli, combines oxygen with deoxyhemoglobin (Hb) to form oxyhemoglobin (HbO2), and transports the oxyhemoglobin (HbO2) to capillaries of various tissues of a human body through systole and diastole to release oxygen for metabolism of the tissues, so that the blood oxygen saturation is a key index reflecting whether oxygen supply of the human body is normal or not.
At present, noninvasive blood oxygen saturation monitoring is widely applied to emergency wards, operating rooms, monitoring rooms, postoperative recovery of patients and respiratory sleep research. With the improvement of living standard of people, health indexes become one of the focuses of people's eager attention, and as a health index detection means which is convenient to monitor and has great significance, pulse oximeters are increasingly used by people. As a medical instrument capable of providing noninvasive, continuous and real-time arterial blood oxygen saturation data, the pulse oximeter can be classified into a transmission type and a reflection type according to different sampling modes of a sensor.
Since 1851 Lambert-Beer law (Lambert-Beer law) released to date, the transmission type blood oxygen saturation technology has been mature and widely applied to various medical scenes, but the position of the optical sensor of the transmission type oximeter is single, so that it is impossible to detect the blood oxygen saturation of the chest, wrist, back and other parts, and the finger clip type or ear clip type blood oxygen detectors worn for a long time can cause the blood circulation of the finger tips or earlobes to be poor, so that the reflection type blood oxygen saturation algorithm is developed. However, there is no professional calibrating instrument for the reflective oximeter at present, and it is difficult to accurately calibrate the reflective oximeter.
SUMMERY OF THE UTILITY MODEL
Therefore, it is necessary to provide a reflective oximeter for solving the problem that the conventional technology is difficult to calibrate the reflective oximeter accurately.
A reflection type oximeter comprises an optical reflection probe assembly and a pulse blood oxygen detection module;
the pulse blood oxygen detection module comprises a microprocessor and a signal transmission device, and the microprocessor is respectively connected with the light emitting assembly, the light signal receiving assembly and the signal transmission device;
the microprocessor controls the light-emitting assembly to emit detection light, and obtains a detection signal through the optical signal receiving assembly, wherein the detection signal is a signal generated by reflecting the detection light by a tissue part of an object to be detected and converting the detection light;
the microprocessor receives the blood oxygen saturation detection data of the object to be detected of the transmission oximeter through the signal transmission device.
According to the above mentioned reflection type oximeter, it mainly comprises an optical reflection probe assembly and a pulse blood oxygen detection module, the optical reflection probe assembly has a light emitting assembly and a light signal receiving assembly, the pulse blood oxygen detection module has a microprocessor and a signal transmission device, in the specific implementation process, the light-emitting component works and emits light under the control of the microprocessor, the detection light acts on the tissue part of the object to be detected, the reflected light signal of the tissue to be detected is received by the light signal receiving component, and converting into detection signal and transmitting to microprocessor, the microprocessor also receives the blood oxygen saturation detection data of transmission-type oximeter through signal transmission device, utilizes the transmission-type oximeter to detect the blood oxygen saturation detection data of the object to be detected, the detection signal of the reflection type oximeter is calibrated, so that the detection result of the reflection type oximeter is more in line with the actual blood oxygen value of the object to be detected.
In one embodiment, the light assembly comprises more than two tubes, wherein different tubes emit light of different wavelengths during operation.
In one embodiment, the light emitting assembly comprises a red LED lamp tube and an infrared LED lamp tube.
In one embodiment, the pulse oximetry module further comprises a light intensity modulation circuit;
the light intensity modulation circuit is connected between the light emitting component and the microprocessor, and the microprocessor adjusts the light emitting intensity of the lamp tube through the light intensity modulation circuit.
In one embodiment, the optical signal receiving component comprises a photodiode and a trans-impedance amplifier which are connected with each other, and the trans-impedance amplifier is also connected with the microprocessor;
the photodiode is used for receiving an optical signal and converting the optical signal into an electric signal, wherein the optical signal is generated by reflecting detection light from a tissue part to be detected; the transimpedance amplifier is used for amplifying an electrical signal.
In one embodiment, the pulse oximetry module further comprises a signal amplifier, a filter and an analog-to-digital converter which are connected in sequence;
the signal amplifier is also connected with the trans-impedance amplifier, and the analog-to-digital converter is connected with the microprocessor.
In one embodiment, the signal transmission device comprises a wireless transmission device for receiving the blood oxygen saturation detection data of the transmission type oximeter through a wireless signal.
In one embodiment, the pulse oximetry module further includes a low dropout regulator connected between the microprocessor and the power supply.
In one embodiment, the pulse oximetry module further includes a display screen connected to the microprocessor for displaying the oximetry data.
In one embodiment, the pulse oximetry module further includes a memory coupled to the microprocessor for storing the oximetry data.
Drawings
FIG. 1 is a schematic diagram of a reflective oximeter in one embodiment;
FIG. 2 is a schematic diagram of a reflective oximeter in one embodiment;
FIG. 3 is a schematic diagram of a reflective oximeter in one embodiment;
FIG. 4 is a schematic diagram of a reflective oximeter in one embodiment;
FIG. 5 is a schematic diagram of a reflective oximeter in one embodiment;
FIG. 6 is a schematic diagram of a reflective oximeter in accordance with one embodiment;
FIG. 7 is a schematic diagram of a reflective oximeter in one embodiment;
FIG. 8 is a schematic diagram of a reflective oximeter in one embodiment;
FIG. 9 is a simplified schematic diagram of a reflective oximeter in accordance with one embodiment;
FIG. 10 is a schematic diagram of a comparison of the configurations of a transmissive oximeter and a reflective oximeter, according to one embodiment.
Detailed Description
In order to make the objects, technical solutions and advantages of the present invention more clearly understood, the present invention is further described in detail below with reference to the accompanying drawings and embodiments. It should be understood that the detailed description and specific examples, while indicating the scope of the invention, are intended for purposes of illustration only and are not intended to limit the scope of the invention.
It should be noted that the described embodiments are only some embodiments, not all embodiments, and all other embodiments obtained by those skilled in the art without any inventive work are within the scope of the present invention.
The terminology used in the embodiments of the invention is for the purpose of describing particular embodiments only and is not intended to be limiting of the invention. As used in the embodiments of the present invention and the appended claims, the singular forms "a," "an," and "the" are intended to include the plural forms as well, unless the context clearly indicates otherwise.
The application provides a reflection-type oximeter, can be applied to the application scenario of blood oxygen detection. The calibration of the blood oxygen saturation of the reflection oximeter may be implemented in conjunction with a transmission oximeter. The transmission-type oximeter is worn on an object to be detected, the reflection-type oximeter is worn on a tissue part of the object to be detected, a light-emitting component and an optical signal receiving component of an optical reflection probe component in the reflection-type oximeter are positioned on the same side of the tissue part, and the reflection-type oximeter carries out data transmission with the transmission-type oximeter through a signal transmission device.
Referring to fig. 1, a reflection oximeter according to an embodiment of the present invention is shown. The reflective oximeter in this embodiment includes an opticalreflective probe assembly 100 and a pulseoximetry detection module 200;
the opticalreflection probe assembly 100 includes alight emitting assembly 110 and an opticalsignal receiving assembly 120, thepulse oximetry module 200 includes amicroprocessor 210 and asignal transmission device 220, and themicroprocessor 210 is respectively connected with thelight emitting assembly 110, the opticalsignal receiving assembly 120 and thesignal transmission device 220;
themicroprocessor 210 controls thelight emitting component 110 to emit detection light, and obtains a detection signal through the optical signal receivingcomponent 120, wherein the detection signal is a signal generated by reflecting the detection light by the tissue part of the object to be detected and converting the detection light;
themicroprocessor 210 receives the blood oxygen saturation detection data of the object to be detected by the transmission type oximeter through thesignal transmission device 220.
In the present embodiment, the reflective oximeter mainly comprises an opticalreflective probe assembly 100 and a pulseoximetry detection module 200, wherein the opticalreflective probe assembly 100 has alight emitting assembly 110 and a lightsignal receiving assembly 120, the pulseoximetry detection module 200 has amicroprocessor 210 and asignal transmission device 220, in the specific implementation process, thelight emitting component 110 works under the control of themicroprocessor 210 to emit light, detect the light acting on the tissue portion of the object to be detected, the reflected light signal of the tissue to be detected is received by the lightsignal receiving component 120, and converted into a detection signal to be transmitted to themicroprocessor 210, themicroprocessor 210 further receives the blood oxygen saturation detection data of the transmission type oximeter through thesignal transmission device 220, uses the transmission type oximeter to detect the blood oxygen saturation detection data of the object to be detected, the detection signal of the reflection type oximeter is calibrated, so that the detection result of the reflection type oximeter is more in line with the actual blood oxygen value of the object to be detected.
It should be noted that the pulse blood oxygen detection module is a hardware configuration with low power consumption, which saves energy consumption and technical cost.
In one embodiment, thelight assembly 110 includes more than two tubes, wherein different tubes emit light of different wavelengths during operation.
In this embodiment, thelight emitting component 110 includes more than two light tubes, different light tubes can emit light with different wavelengths when operating, the optical signal receivingcomponent 120 can receive reflected light with different wavelengths, the blood oxygen saturation is detected based on the principle that the absorption amount of light with different wavelengths by arterial blood changes with pulse, and the reflected light data with two different wavelengths is analyzed to obtain a characteristic value of blood oxygen saturation, which can correspond to the detection value of blood oxygen saturation of the transmission oximeter, thereby implementing the calibration of the reflection oximeter.
In one embodiment, as shown in FIG. 2, thelight emitting assembly 110 includes one red LED tube and one infrared LED tube.
In this embodiment, thelight emitting component 110 can use a red LED tube and an infrared LED tube to emit detection light, and in the near-infrared region, the absorption caused by water, cytochrome, etc. is much smaller than that of deoxyhemoglobin and oxygen and hemoglobin, so when two kinds of light beams of red light and infrared light with wavelengths in the near-infrared region are selected to detect tissues, the influence of light absorption by other substances can be greatly reduced, only the influence of light absorption by deoxyhemoglobin, oxygen and hemoglobin is reflected, and the characteristic value of blood oxygen saturation can be analyzed through two kinds of reflected light data.
In one embodiment, as shown in fig. 3, thepulse oximetry module 200 further includes a light intensity modulation circuit 230;
the light intensity modulation circuit 230 is connected between thelight emitting component 110 and themicroprocessor 210, and themicroprocessor 210 adjusts the light intensity of the lamp tube through the light intensity modulation circuit 230.
In this embodiment, the absorption of the deoxyhemoglobin and oxygen and hemoglobin to light is related to the intensity of the incident light and the reflected light, and the light intensity of the lamp connected to the light intensity modulation circuit 230 can be adjusted, so that the finally detected data can have sufficient sensitivity to reflect the change of the blood oxygen saturation.
In one embodiment, as shown in fig. 4, the optical signal receivingcomponent 120 includes aphotodiode 121 and atransimpedance amplifier 122 connected to each other, thetransimpedance amplifier 122 being further connected to themicroprocessor 210;
thephotodiode 121 is configured to receive an optical signal and convert the optical signal into an electrical signal, where the optical signal is generated by reflecting detection light from a tissue site to be detected; thetransimpedance amplifier 122 is used to amplify the electrical signal.
In this embodiment, thephotodiode 121 can receive the light reflected by the detected tissue region and convert the light into an electrical signal, and thetranspodal amplifier 122 can amplify the electrical signal for subsequent data processing.
In one embodiment, as shown in fig. 5, thepulse oximetry module 200 further includes asignal amplifier 240, afilter 250 and an analog-to-digital converter 260 connected in sequence;
thesignal amplifier 240 is further connected to thetransimpedance amplifier 122, and the analog-to-digital converter 260 is connected to themicroprocessor 210.
In this embodiment, thesignal amplifier 240 may further amplify the signal output from thetransimpedance amplifier 122, and after obtaining the amplified data, may filter the amplified data through thefilter 250 to obtain the effective data with noise filtered, and the analog-to-digital converter 260 may convert the filtered analog signal into a digital signal to be provided to themicroprocessor 210 for processing.
Further, thefilter 250 may use various filtering methods, such as low-pass filtering, to obtain effective data with high quality.
In one embodiment, the signal transmission means 220 comprises a wireless transmission means for receiving the blood oxygen saturation detection data of the transmission type oximeter through a wireless signal.
In this embodiment, thesignal transmission device 220 may be a wireless transmission device, and in the actual use process, the transmission oximeter and the reflection oximeter may be separated from each other by using the wireless transmission device, so as to be conveniently worn by the detected object.
In one embodiment, as shown in fig. 6, thepulse oximetry module 200 further includes a lowdropout voltage regulator 270 connected between themicroprocessor 210 and the power supply.
In the present embodiment, alow dropout regulator 270 is disposed in thepulse oximetry module 200 for stabilizing the voltage provided to the microprocessor, so that themicroprocessor 210 can also work stably when the power voltage fluctuates.
In one embodiment, as shown in fig. 7, thepulse oximetry module 200 further includes adisplay screen 280 connected to themicroprocessor 210 for displaying the blood oxygenation data.
In the present embodiment, thedisplay 280 is disposed in thepulse oximetry module 200 for displaying the blood oxygen saturation value processed by themicroprocessor 210, so as to facilitate directly knowing the current blood oxygen saturation of the subject.
In one embodiment, as shown in fig. 8, thepulse oximetry module 200 further includes amemory 290 coupled to themicroprocessor 210 for storing blood oxygenation data.
In the present embodiment, thepulse oximetry module 200 further includes amemory 290, and thememory 290 may be used to store the blood oxygen saturation detection data of the detection object, so as to facilitate management and use of the blood oxygen saturation history data.
In one embodiment, as shown in fig. 9, the reflective oximeter can use a reflective photoelectric oximetry probe, where the light source and the light receiver are located on the same side of the tissue to be measured, and are used for performing oximetry measurement at a location other than peripheral tissue, so as to reduce the influence of blood perfusion on oximetry measurement; the light source can use red light LED fluorescent tube and infrared light LED fluorescent tube, microprocessor (microcontroller) sends red light and infrared light through light intensity modulation circuit control blood oxygen saturation probe, the reflected light signal that detects tissue reflection is received to photodiode in the probe, carry out photoelectric conversion with it, and amplify the signal of telecommunication through the transimpedance amplifier, transmit to pulse blood oxygen detection module, pulse blood oxygen detection module utilizes the PPG signal amplifier of configuration to amplify the signal once more, through hardware filtering noise, then carry out AD analog-to-digital conversion to signal data, later output to microprocessor, carry out the blood oxygen saturation that the calculation got after characteristic extraction and data fitting in microprocessor.
Utilize reflection type oximetry in this application can mark oxyhemoglobin saturation, and concrete realization process is as follows:
acquiring a first blood oxygen saturation detection value of a transmission type oximeter on a detection object;
under the condition that the first blood oxygen saturation detection value is effective, calibrating second blood oxygen saturation detection data acquired by the reflection oximeter at the same time of a detection object, wherein the transmission oximeter and the reflection oximeter have different detection positions on the detection object;
and establishing a corresponding relation between the second blood oxygen saturation detection data and the first blood oxygen saturation detection value, and calibrating the blood oxygen saturation detected by the reflection oximeter according to the corresponding relation.
In the above process, the transmissive oximeter may be used to detect the first blood oxygen saturation level of the detected object, and the transmissive oximeter may send information of the first blood oxygen saturation level detected value to the reflective oximeter, specifically, send the information in a wired connection or wireless transmission manner; when the first blood oxygen saturation detection value is larger than the preset threshold value, the blood oxygen saturation detected by the reflective oximeter can be directly calibrated by using the first blood oxygen saturation continuous detection value, and deviation is generated because the number of points for calibrating the blood oxygen saturation is too small, so that the blood oxygen saturation detected by the reflective oximeter can be corrected and calibrated by using the corresponding relation, and the accuracy of the blood oxygen saturation is ensured; the detection parts of the transmission oximeter and the reflection oximeter are different, so that the oxyhemoglobin saturation detection can be conveniently carried out at the same time, second oxyhemoglobin saturation detection data can be obtained while the transmission oximeter detects a first oxyhemoglobin saturation detection value, when the first oxyhemoglobin saturation detection value is smaller than or equal to a preset threshold value, namely the oxyhemoglobin saturation in a human body is reduced to a certain degree, the oxyhemoglobin saturation curve is recalibrated, and the obtained second oxyhemoglobin saturation detection data of the reflection oximeter on a detection object can be compared and referred with the first oxyhemoglobin saturation detection value due to the fact that the oxyhemoglobin saturates at different parts at the same time are the same;
the first blood oxygen saturation detection value of a certain detection part of a detection object is monitored through the transmission type oximeter, when the first blood oxygen saturation detection value is smaller than or equal to a preset threshold value, the quantity of the blood oxygen saturation in the detection object is enough to calibrate the reflection type oximeter, at the moment, second blood oxygen saturation detection data of the detection part, which is different from the detection part of the transmission type oximeter, acquired by the reflection type oximeter can be used, the data of the first blood oxygen saturation detection value and the data of the second blood oxygen saturation detection data are corresponded, the blood oxygen saturation of the reflection type oximeter, which is larger than the preset threshold value, is corrected and calibrated according to the corresponding relation, the detection error of the blood oxygen saturation caused by the factors such as the individual difference of equipment of the reflection type oximeter, the difference of human physiological tissues and the like can be reduced, and the accuracy of the reflection type oximeter.
It should be noted that the preset threshold may be freely set according to the requirement of detection precision, the preset threshold may be set to 90%, the blood oxygen saturation may be calibrated by the detection value of the blood oxygen saturation of the transmissive oximeter when the blood oxygen saturation is below 90%, when the blood oxygen saturation is above 90%, the blood oxygen saturation detected by the reflective oximeter may be corrected and calibrated by the corresponding relationship between the detection data of the two oximeters when the blood oxygen saturation is above 90%, so that the reflective oximeter has higher accuracy under different blood oxygen saturations.
In addition, the first blood oxygen saturation detection value of the transmission oximeter under the breath holding state can be obtained for multiple times, oxygen in tissue blood can be consumed by the detection object under the breath holding state, so that the blood oxygen saturation is reduced, the first blood oxygen saturation detection value is smaller than or equal to a preset threshold value, multiple different first blood oxygen saturation detection values are obtained through multiple detections, the data volume of the detections can be increased, and the accuracy of the detection data is ensured.
It should be noted that the reflection oximeter also detects the blood oxygen saturation under the same condition, that is, the detected object is in a breath holding state.
After the reflected light data is acquired, filtering, including kalman filtering, high-pass filtering, low-pass filtering and the like, is performed on the reflected light data to obtain effective data after noise is filtered; because of the filtering processing, the positions of the wave crest and the wave trough corresponding to the reflected light data have certain deviation, and the positions of the wave crest and the wave trough in the wave form of the reflected light data can be searched, so that the positions of the wave crest and the wave trough of the filtered data wave form are determined; on the basis, the data corresponding to the positions of the wave crest and the wave trough of the filtered data are respectively subjected to interpolation calculation through cubic spline interpolation, so that an upper envelope curve and a lower envelope curve of the reflected light data can be obtained; when light passes through tissues and blood vessels, the light can be divided into non-pulsating components (such as skin, muscle, bone, venous blood and the like) and pulsating components (such as arterial blood), the non-pulsating components and the pulsating components can be regarded as direct current quantity and alternating current quantity, the difference value between an upper envelope curve and a lower envelope curve can be used as data alternating current quantity, a mean value can be used as data direct current quantity, and the difference value and the mean value are obtained on the basis of cubic spline interpolation calculation so as to obtain a more accurate blood oxygen saturation characteristic value.
Specifically, when a red light tube and an infrared light tube are adopted, the infrared light alternating current, the infrared light direct current, the red light alternating current and the red light direct current can be obtained according to the upper envelope curve and the lower envelope curve, and the characteristic value of the blood oxygen saturation is obtained through the following formula:
in the above formula, R represents a characteristic value of blood oxygen saturation, IrACIndicating the amount of infrared light traffic, IrDCRepresents the direct current quantity of infrared light, RdACIndicating red light traffic, RdDCIndicating the amount of red dc.
In the actual oxyhemoglobin saturation detection process, when the oxyhemoglobin saturation is above a preset threshold value, the characteristic value has a sudden change in an interval range, so that the oxyhemoglobin saturation characteristic value and the corresponding first oxyhemoglobin saturation detection value can be divided into two groups of data, and a piecewise fitting method is adopted to respectively perform curve fitting on the two groups of data to obtain an oxyhemoglobin saturation fitting curve.
Further, least square polynomial curve fitting can be performed on the two groups of data to obtain a quadratic polynomial fitting curve, and the fitting curve formula is as follows:
SpO2=A·R2+B·R+C
in the above formula, SpO2Represents the blood oxygen saturation, R represents the characteristic value of the blood oxygen saturation, and A, B, C is a constant coefficient obtained by fitting data.
Many parts in human tissue all have blood volume change signal (PPG), especially the signal of parts such as finger, palm, wrist, forehead and chin is stronger, transmission-type oximetry mainly passes through the tissue through the light and obtains the PPG signal, the light emitting source need possess sufficient light intensity and shine the detection position and guarantee the penetrability, therefore the placeable position of its sensor on the tissue is limited, generally use finger fingertip position as the best, and the subcutaneous of parts such as palm, wrist, forehead has abundant capillary artery blood vessel, is the best position that reflection-type oximetry measured, can measure blood oxygen saturation more accurately.
As shown in fig. 10, the present application can acquire data simultaneously through the finger-clipped type transmission oximeter and the reflection oximeter, the oxyhemoglobin saturation detection value displayed by the transmission oximeter is transmitted to the reflection oximeter in real time through wireless transmission (such as bluetooth, Wifi, etc.), the detection object adopts a breath holding mode to artificially reduce oxyhemoglobin saturation to less than 90%, the detection object repeats 5 times (the times can be adjusted according to the accuracy requirement, such as can be set between 4-10 times) to obtain the characteristic value and the oxyhemoglobin saturation corresponding value converted from the accurate optical signal, and corrects the calibration curve of the oxyhemoglobin saturation by using the corresponding algorithm to 90% -100%, and the process is as shown in fig. 5, so that the final measurement result is closer to the actual oxyhemoglobin saturation value of the individual, and the oxyhemoglobin saturation curve of the individual is privately customized.
In the specific using process, the transmission type oximeter is worn on a fingertip, the reflection type oximeter is worn on a part needing to be measured, such as a wrist, a forehead and the like, and the finger wearing the transmission type oximeter is kept relatively static until a stable blood oxygen saturation detection value is output;
the detection object is suffocated, so that the blood oxygen saturation value displayed by the transmission oximeter is reduced to below 90%, and the operation is repeated for 5 times, so that the accuracy of the data is ensured; according to experiments, the blood oxygen of the human body can be reduced to below 90 after the breath is held for about 1 minute, and the realization is easy.
And calculating red light and infrared light data in breath holding time to obtain corresponding characteristic values, wherein the characteristic values correspond to the blood oxygen saturation detection values obtained by the transmission type oximeter in the same time one to one.
And performing piecewise fitting by using the obtained detected blood oxygen saturation value and the corresponding array of the characteristic values to obtain a new blood oxygen saturation curve.
Oxygen saturation (SpO2) is a parameter that reflects the amount of oxyhemoglobin in the blood, and is the percentage of the volume of oxyhemoglobin (HbO2) to the total available hemoglobin (Hb) volume. The pulse oximetry is also called pulse oximetry, which is a method for measuring the amount of light absorbed by arterial blood, based on the principle that the amount of light absorbed changes with the pulse. When the tissue is irradiated by light with two specific wavelengths, the approximate formula of the arterial oxygen saturation can be deduced according to the definition of the blood oxygen saturation by applying the Lambert-Bear law:
SpO2=A·R2+B·R+C
in the formula: r is the ratio of the absorptances of light at two wavelengths, A, B, C is a constant,
wherein, reflective oximeter mainly comprises two parts, wearing formula optics reflection probe small-size subassembly and low-power consumption pulse blood oxygen detection module, pulse blood oxygen monitoring module is used for the highlight modulation to the sensor probe, receives the dual wavelength PPG signal that reflective probe detected and carries out signal processing to it, and real-time digital measurement algorithm draws the dynamic information of bleeding oxygen saturation and rhythm of the heart. And receiving the blood oxygen saturation detection value displayed by the transmission type pulse oximeter in real time through wireless transmission, and using the blood oxygen saturation detection value to initialize the algorithm of the reflection type oximeter. The monitoring data is displayed by a liquid crystal, stored and led out by a FLASH chip through a serial port, and the reflective oximeter can monitor various human body physiological parameters (blood oxygen, heart rate and the like) and provide important basis for human body health detection.
The principle of the reflection type oximeter for detecting the blood oxygen saturation is as follows:
according to the Lambert-Beer theorem, attenuation of light after passing through a known path L is utilizedTo quantitatively describe the concentration C and absorption coefficient mu of the light-absorbing substancea
Figure BDA0001994901280000131
Wherein ε is the absorptivity, C is the concentration of light-absorbing substance, I0And I is the incident light and the detected light intensity, respectively; mu.saIs the absorption coefficient, i.e. the probability that a photon is absorbed per unit path.
Obtaining a general photon diffusion equation at the position r of the tissue or the turbid medium and at the time t according to a diffusion transmission theory as follows:
Figure BDA0001994901280000132
where (r, t) is the optical density at the point (r, t) and is the absorption coefficient, S (r, t) is the amount of light source, c is the speed (constant) at which photons travel, D is the diffusion coefficient, which is a basic characteristic parameter that reflects the diffusion characteristics of biological tissue macroscopically, in m or cm, and for photon migration, the diffusion coefficient is equal to the following formula:
wherein musIs the scattering coefficient, g is the average value of the cosine of the scattering angle, called the scattering anisotropy factor; (1-g) musThe term is referred to as the effective scattering coefficient or equivalent isotropic scattering coefficient. The formula is a general diffusion equation for heat and mass transfer, derived from the radiation transfer equation describing the movement of uncharged particles, and is therefore suitable for the propagation of light in strongly scattering media.
According to the photon diffusion equation and the time-resolved spectroscopy technology, a photon flow distribution formula after one light pulse excitation is given by Patterson et al according to actual boundary conditions, and mainly comprises a transmission formula and a reflection formula, wherein the light intensity formula of the reflection formula is as follows:
Figure BDA0001994901280000142
in the formula, z0Equal to [ (1-g) mus]-1(ii) a ρ is the distance between the light source and the detector in the coordinate.
Solving ln for the formula of R (rho, t) and deriving t to obtain the following formula
When the elapsed time is long enough, the left side of the above equation will be close to- μac, namely:
Figure BDA0001994901280000144
therefore, the derivative can obtain the proportional relation between the change rate of the reflected light intensity and the absorption coefficient, namely:
W=-μac
w represents the rate of change of the light intensity.
How to determine the absorption coefficient μ is analyzed belowaAnd the concentration C of the light absorbing substance (mainly the concentration of oxygen and hemoglobin and deoxyhemoglobin) to obtain a measurement of the two-wavelength hemoglobin oxygen saturation.
Studies have shown that in the near infrared region, the absorption by water, cytochromes, etc. is much smaller compared to deoxyhemoglobin and oxygen and hemoglobin. Therefore, when two light beams having wavelengths in the near infrared region are selected to probe tissue, only the influence of deoxyhemoglobin and oxygen and hemoglobin are considered, the absorption coefficients at the two wavelengths can be formulated as follows,
Figure BDA0001994901280000152
combining the two formulas, the following formula is obtained according to the double-beam method
Figure BDA0001994901280000153
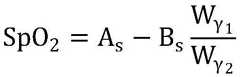
Selecting a wavelength gamma2For equal absorption points, the formula of blood oxygen saturation can be obtained
Figure BDA0001994901280000154
In the formulaHbγ1Hbγ2,
Figure BDA0001994901280000155
All are constants and can be obtained by adopting a time domain or frequency domain spectral analysis method. Then SpO2The formula of (a) can be rewritten as:
Figure BDA0001994901280000156
in the formula As,BsThe empirical constants can be obtained by experimental scaling.
When light passes through tissues and blood vessels, it is divided into non-pulsating components (such as skin, muscle, bone, venous blood, etc.) and pulsating components (such as arterial blood), which are called direct current and alternating current. Thus, the rate of change in tissue of light intensity can be expressed as: w is ═ IAC/IDCThus, the blood oxygen saturation formula can be rewritten as:
Figure BDA0001994901280000157
the above equation is an empirical equation of a linear relationship for measuring blood oxygen saturation, and in practical applications, considering factors such as individual differences of light emitting diodes as light sources and large differences of human physiological tissues, most commercial pulse oximeters use an empirical calculation equation, that is, an empirical equation obtained by statistical analysis of experiments, and an empirical equation that generates a quadratic function relationship by correlation analysis between a variation in light intensity at two wavelengths and blood oxygen saturation can be expressed as:
Figure BDA0001994901280000161
in the formula, As、Bs、CsThe empirical constants can be obtained by experimental scaling.
Holding breath for three to five times, making the blood oxygen value reach below 90% each time, removing abnormal data from the obtained data, averaging, obtaining the accurate blood oxygen saturation and characteristic value corresponding value through wireless transmission (such as Bluetooth), and re-calibrating the 90-100% blood oxygen saturation data by using the obtained data. The method comprises the following specific steps
And performing Kalman filtering, high-pass filtering and low-pass filtering on the red light and infrared light data to obtain relatively clean data, and acquiring a PPG data peak by using a threshold method. The thresholding threshold update formula is as follows.
Figure BDA0001994901280000162
In the formula, N is the number of buffered wave crests, peakiThe height of the buffered peak is denoted as a, which is an empirical coefficient, and is obtained by observing data.
Because of filtering processing, the position of the wave crest of the waveform has certain deviation, the exact position of the wave crest is determined after secondary searching is carried out near the wave crest of the original data, the position of a trough is obtained through the minimum value between two wave crests, and the wave crest and trough data are respectively interpolated by using cubic spline interpolation to obtain the upper envelope and the lower envelope of the original data, wherein the cubic spline interpolation meets the following conditions (the boundary conditions can be defined by self, and the boundary conditions defined by the invention are 0):
interpolation conditions are as follows: s (x)j)=yj,j=0,1,…,n
Continuity conditions:
Figure BDA0001994901280000171
first derivative continuous condition:
Figure BDA0001994901280000172
second derivative continuous condition:
Figure BDA0001994901280000173
the difference value between the upper envelope and the lower envelope is the data alternating current quantity, the average value of the upper envelope and the lower envelope is the data direct current quantity, the blood oxygen characteristic value is obtained, and the characteristic value formula is as follows
Figure BDA0001994901280000174
In the formula, IrACFor the quantity of infrared light traffic, IrACFor direct current of infrared light, RdACFor red light traffic, RdDCIs the red light direct current quantity.
According to actual data tests, the characteristic value between 94% -99% and 90% -93% of the blood oxygen saturation has an obvious mutation, so that the data are divided into two groups by using a piecewise fitting method to carry out least square polynomial curve fitting to obtain a quadratic polynomial fitting curve, wherein the curve formula is as follows:
SpO2=A·R2+B·R+C
in the formula, A, B and C are constant coefficients obtained by data fitting.
This application makes user's blood oxygen drop to below 90 through holding out breath, marks this section of data through transmission-type oxyhemoglobin saturation appearance, uses the algorithm to refit oxyhemoglobin saturation 90 ~ 99's curve, has improved and has directly markd the error that reflection formula oxyhemoglobin algorithm caused through transmission-type oxyhemoglobin simulator, compares clinical blood oxygen and marks also labour saving and time saving more.
The personal data is used for calibration, so that the calculation error of the blood oxygen saturation caused by factors such as individual difference of light emitting diodes of the light source, larger difference of human physiological tissues and the like is reduced, the private customization of each algorithm is realized, and the accuracy of the measurement of the blood oxygen saturation is improved.
In the above embodiments, the specific working process of the reflective oximeter has been illustrated, and the above components can be implemented by using the existing hardware product to implement the corresponding functions, but the improvement of the present invention does not lie in the improvement of the signal processing process in the reflective oximeter, but utilizes the components and their connection relationship to implement the functions of the present invention.
The technical features of the embodiments described above may be arbitrarily combined, and for the sake of brevity, all possible combinations of the technical features in the embodiments described above are not described, but should be considered as being within the scope of the present specification as long as there is no contradiction between the combinations of the technical features.
The above-mentioned embodiments only represent some embodiments of the present invention, and the description thereof is specific and detailed, but not to be construed as limiting the scope of the present invention. It should be noted that, for those skilled in the art, without departing from the spirit of the present invention, several variations and modifications can be made, which are within the scope of the present invention. Therefore, the protection scope of the present invention should be subject to the appended claims.

Claims (10)

1. A reflection type oximeter is characterized by comprising an optical reflection probe assembly and a pulse blood oxygen detection module;
the pulse blood oxygen detection module comprises a microprocessor and a signal transmission device, and the microprocessor is respectively connected with the light emitting assembly, the light signal receiving assembly and the signal transmission device;
the microprocessor controls the light-emitting assembly to emit detection light, and a detection signal is obtained through the optical signal receiving assembly, wherein the detection signal is a signal generated by reflecting the detection light by a tissue part of an object to be detected and converting the detection light;
and the microprocessor receives the blood oxygen saturation detection data of the object to be detected of the transmission oximeter through the signal transmission device.
2. The reflective oximeter of claim 1, wherein the light assembly comprises more than two light tubes, wherein different light tubes emit light of different wavelengths during operation.
3. The reflective oximeter of claim 2, wherein the light assembly comprises a red LED tube and an infrared LED tube.
4. The reflective oximeter of claim 2, wherein the pulse oximetry module further comprises a light intensity modulation circuit;
the light intensity modulation circuit is connected between the light emitting component and the microprocessor, and the microprocessor adjusts the light emitting intensity of the lamp tube through the light intensity modulation circuit.
5. The reflective oximeter of claim 1, wherein the optical signal receiving assembly comprises a photodiode and a transimpedance amplifier connected to each other, the transimpedance amplifier being further connected to the microprocessor;
the photodiode is used for receiving an optical signal and converting the optical signal into an electric signal, wherein the optical signal is generated by reflecting the detection light by the tissue part of the object to be detected; the transimpedance amplifier is used for amplifying the electrical signal.
6. The reflective oximeter of claim 5, wherein the pulse oximetry module further comprises a signal amplifier, a filter and an analog-to-digital converter connected in sequence;
the signal amplifier is also connected with the trans-impedance amplifier, and the analog-to-digital converter is connected with the microprocessor.
7. The reflective oximeter of any one of claims 1-5, wherein the signal transmission means comprises a wireless transmission means for receiving the oximetry data of the transmissive oximeter via a wireless signal.
8. The reflective oximeter of claim 7, wherein the pulse oximetry module further comprises a low dropout voltage regulator connected between the microprocessor and a power supply.
9. The reflective oximeter of claim 7, wherein the pulse oximetry module further comprises a display screen connected to the microprocessor for displaying blood oxygen data.
10. The reflective oximeter of claim 7, wherein the pulse oximetry module further comprises a memory coupled to the microprocessor for storing blood oxygenation data.
CN201920322787.1U2019-03-142019-03-14Reflection type oximeterActiveCN209899402U (en)

Priority Applications (1)

Application NumberPriority DateFiling DateTitle
CN201920322787.1UCN209899402U (en)2019-03-142019-03-14Reflection type oximeter

Applications Claiming Priority (1)

Application NumberPriority DateFiling DateTitle
CN201920322787.1UCN209899402U (en)2019-03-142019-03-14Reflection type oximeter

Publications (1)

Publication NumberPublication Date
CN209899402Utrue CN209899402U (en)2020-01-07

Family

ID=69031600

Family Applications (1)

Application NumberTitlePriority DateFiling Date
CN201920322787.1UActiveCN209899402U (en)2019-03-142019-03-14Reflection type oximeter

Country Status (1)

CountryLink
CN (1)CN209899402U (en)

Cited By (6)

* Cited by examiner, † Cited by third party
Publication numberPriority datePublication dateAssigneeTitle
CN112914564A (en)*2021-01-202021-06-08深圳市麟鹏医学科技有限公司Infant blood oxygen saturation monitoring method and intelligent monitoring device
CN113288128A (en)*2021-04-232021-08-24深圳阜时科技有限公司Blood oxygen detection device and electronic equipment
CN113576473A (en)*2020-04-302021-11-02华为技术有限公司Multi-mode pulse blood oxygen detection method, electronic equipment, medium and pulse oximeter
WO2021232375A1 (en)*2020-05-212021-11-25深圳市汇顶科技股份有限公司Blood oxygen parameter measurement module and electronic device with same
CN113855013A (en)*2021-09-282021-12-31杭州大牧医疗科技有限公司Probe conversion device of blood oxygen simulator
CN116725529A (en)*2023-05-232023-09-12山西禾源科技股份有限公司 A finger-touch blood oxygen saturation calculation method based on photoelectric sensors

Cited By (9)

* Cited by examiner, † Cited by third party
Publication numberPriority datePublication dateAssigneeTitle
CN113576473A (en)*2020-04-302021-11-02华为技术有限公司Multi-mode pulse blood oxygen detection method, electronic equipment, medium and pulse oximeter
CN113576473B (en)*2020-04-302022-10-04华为技术有限公司Multi-mode pulse blood oxygen detection method, electronic equipment, medium and pulse oximeter
WO2021232375A1 (en)*2020-05-212021-11-25深圳市汇顶科技股份有限公司Blood oxygen parameter measurement module and electronic device with same
CN112914564A (en)*2021-01-202021-06-08深圳市麟鹏医学科技有限公司Infant blood oxygen saturation monitoring method and intelligent monitoring device
WO2022156565A1 (en)*2021-01-202022-07-28深圳市麟鹏医学科技有限公司Infant blood oxygen saturation monitoring method and smart monitoring device
CN112914564B (en)*2021-01-202023-10-03深圳市麟鹏医学科技有限公司Infant blood oxygen saturation monitoring method and intelligent monitoring device
CN113288128A (en)*2021-04-232021-08-24深圳阜时科技有限公司Blood oxygen detection device and electronic equipment
CN113855013A (en)*2021-09-282021-12-31杭州大牧医疗科技有限公司Probe conversion device of blood oxygen simulator
CN116725529A (en)*2023-05-232023-09-12山西禾源科技股份有限公司 A finger-touch blood oxygen saturation calculation method based on photoelectric sensors

Similar Documents

PublicationPublication DateTitle
CN209899402U (en)Reflection type oximeter
US20250134425A1 (en)Active-pulse blood analysis system
US9788768B2 (en)Physiological parameter tracking system
Venema et al.Advances in reflective oxygen saturation monitoring with a novel in-ear sensor system: results of a human hypoxia study
JP3590409B2 (en) Self-luminous non-invasive infrared spectrophotometer with temperature compensation
Mendelson et al.Noninvasive pulse oximetry utilizing skin reflectance photoplethysmography
US20180177412A1 (en)Medical Measuring Device
US8428673B2 (en)Medical measuring device
JP3590408B2 (en) Self-luminous non-invasive infrared spectrophotometer
US8109882B2 (en)System and method for venous pulsation detection using near infrared wavelengths
US12376768B2 (en)System and method for non-invasive monitoring of hemoglobin
Nitzan et al.The measurement of oxygen saturation in arterial and venous blood
CN112043287A (en) Cerebral blood oxygen non-invasive monitoring method and monitoring device
Wan et al.Reflective type blood oxygen saturation detection system based on MAX30100
US20160029973A1 (en)Device and method for determining a partial carbon dioxide pressure in a subject of interest
JP2016195853A (en)Apparatus for measuring oxygenation of blood in tissue
CN109924987A (en)Scaling method, system and the readable storage medium storing program for executing of reflectance oximetry
JP3107630B2 (en) Pulse oximeter
US10772544B2 (en)Methods and systems for determining physiological information based on distortion information
Stubán et al.Non-invasive calibration method for pulse oximeters
JP7697709B2 (en) Oxygen saturation measuring device, probe configured for use therewith, and method for measuring oxygen saturation - Patents.com
CN109106376A (en)The detection method and device of total hemoglobin concentration in a kind of blood
Shriram et al.Application of high & low brightness LEDs to human tissue to capture photoplethysmogram at a finger tip
CN113876322A (en)Reflection type blood oxygen detection device
CN113974616A (en)Blood oxygen detection method and device and ring

Legal Events

DateCodeTitleDescription
GR01Patent grant
GR01Patent grant

[8]ページ先頭

©2009-2025 Movatter.jp