Movatterモバイル変換


[0]ホーム

URL:


CN203537255U - Three-phase power rectifier and three-phase power converter - Google Patents

Three-phase power rectifier and three-phase power converter
Download PDF

Info

Publication number
CN203537255U
CN203537255UCN201320719280.2UCN201320719280UCN203537255UCN 203537255 UCN203537255 UCN 203537255UCN 201320719280 UCN201320719280 UCN 201320719280UCN 203537255 UCN203537255 UCN 203537255U
Authority
CN
China
Prior art keywords
phase
voltage
current
operational amplifier
sampling
Prior art date
Legal status (The legal status is an assumption and is not a legal conclusion. Google has not performed a legal analysis and makes no representation as to the accuracy of the status listed.)
Expired - Lifetime
Application number
CN201320719280.2U
Other languages
Chinese (zh)
Inventor
方小斌
孙丰涛
吕向前
杨帆
廖云涛
Current Assignee (The listed assignees may be inaccurate. Google has not performed a legal analysis and makes no representation or warranty as to the accuracy of the list.)
Gree Electric Appliances Inc of Zhuhai
Original Assignee
Gree Electric Appliances Inc of Zhuhai
Priority date (The priority date is an assumption and is not a legal conclusion. Google has not performed a legal analysis and makes no representation as to the accuracy of the date listed.)
Filing date
Publication date
Application filed by Gree Electric Appliances Inc of ZhuhaifiledCriticalGree Electric Appliances Inc of Zhuhai
Priority to CN201320719280.2UpriorityCriticalpatent/CN203537255U/en
Application grantedgrantedCritical
Publication of CN203537255UpublicationCriticalpatent/CN203537255U/en
Anticipated expirationlegal-statusCritical
Expired - Lifetimelegal-statusCriticalCurrent

Links

Images

Landscapes

Abstract

The utility model discloses a three-phase current rectifier and three-phase current converter. Wherein, three-phase power rectifier includes: the current sampling circuit is connected with the three-phase power supply and is used for sampling phase current of the three-phase power supply; the voltage sampling circuit is connected with the three-phase power supply and is used for sampling the line voltage of the three-phase power supply; the processor comprises a current input end, a voltage input end and a signal output end, wherein the current input end is connected with the current sampling circuit, and the voltage input end is connected with the voltage sampling circuit; the three-phase PWM rectifying circuit is respectively connected with a three-phase power supply and a signal output end; and the capacitor bank is connected with the three-phase PWM rectifying circuit. Through the utility model discloses, the effect that improves three phase current rectifier power factor has been reached.

Description

Three phase mains rectifier and three phase mains frequency converter
Technical field
The utility model relates to three phase mains field, in particular to a kind of three phase mains rectifier and three phase mains frequency converter.
Background technology
At present, three-phase Passive Power factor correction (Power Factor Correction, referred to as PFC) is applied in three phase mains harmonic management.The passive PFC of three-phase mainly three phase mains R, S, T each in mutually in parallel the or special parameter L-C circuit mode of connecting process three phase mains harmonic problem.Three phase mains R, S, T each mutually in parallel or series connection special parameter L-C circuit mode, the current phase of each phase current is offset, thereby makes electric current and voltage same-phase, to improve power factor.Above-mentioned is that the inductance volume of L-C circuit is large to the shortcoming of three phase mains harmonic management, and its parameter determines by load, once determine, be difficult to revise, and power factor is lower, part times harmonic is more difficult to be passed through.
For the low problem of three phase mains rectifier power factor in prior art, effective solution is not yet proposed at present.
Utility model content
Main purpose of the present utility model is to provide a kind of three phase mains rectifier and three phase mains frequency converter, to solve the low problem of three phase mains rectifier power factor.
To achieve these goals, according to an aspect of the present utility model, provide a kind of three phase mains rectifier.According to three phase mains rectifier of the present utility model, comprise: current sampling circuit, is connected with three phase mains, for the phase current of sampling three-phase power supply; Voltage sampling circuit, is connected with three phase mains, for the line voltage of sampling three-phase power supply; Processor, comprises current input terminal, voltage input end and signal output part, and current input terminal is connected with current sampling circuit, and voltage input end is connected with voltage sampling circuit; Three-phase PWM rectification circuit, is connected respectively with signal output part with three phase mains; And capacitance group, be connected with three-phase PWM rectification circuit.
Further, three phase mains comprises: R phase, S phase and T phase, wherein, voltage sampling circuit comprises: the first voltage sample electronic circuit, the incoming end of the first voltage sample electronic circuit is connected with three phase mains, the output of the first voltage sample electronic circuit is connected with voltage input end, the first voltage sample electronic circuit First Line voltage that is used for sampling, First Line voltage be R phase, S phase and T mutually in the line voltage between two-phase arbitrarily; And second voltage sampling electronic circuit, the incoming end of second voltage sampling electronic circuit is connected with three phase mains, the output of second voltage sampling electronic circuit is connected with voltage input end, the second voltage sampling electronic circuit second line voltage that is used for sampling, the second line voltage be R phase, S phase and T mutually in any line voltage between two-phase, wherein, the second line voltage and First Line voltage are different line voltage.
Further, current sampling circuit comprises: the first current sample electronic circuit, the incoming end of the first current sample electronic circuit is connected with three phase mains, the output of the first current sample electronic circuit is connected with current input terminal, the first current sample electronic circuit first-phase electric current that is used for sampling, first-phase electric current be R phase, S phase and T mutually in the phase current of arbitrary phase; The second current sample electronic circuit, the incoming end of the second current sample electronic circuit is connected with three phase mains, the output of the second current sample electronic circuit is connected with current input terminal, the second current sample electronic circuit second-phase electric current that is used for sampling, second-phase electric current be R phase, S phase and T mutually in the phase current of arbitrary phase, wherein second-phase electric current and first-phase electric current are different phase currents.
Further, the first voltage sample electronic circuit comprises the first operational amplifier OP1, the first input end of the first operational amplifier OP1 and R phase, S phase and T any one are connected in mutually mutually, the second input of the first operational amplifier OP1 and R phase, S phase and T are arbitrary in to be mutually connected mutually, wherein, it is mutually different that the first input end of the first operational amplifier OP1 is connected from three phase mains with the second input, the first output of operational amplifier OP1 and the voltage input end of processor are connected, wherein, the second input of the first operational amplifier OP1 is connected with the output of the first operational amplifier OP1, second voltage sampling electronic circuit comprises the second operational amplifier OP2, the first input end of the second operational amplifier OP2 and R phase, S phase and T are arbitrary in to be mutually connected mutually, the second input of the second operational amplifier OP2 and R phase, S phase and T are arbitrary in to be mutually connected mutually, wherein, it is mutually different that the first input end of the second operational amplifier OP2 is connected from three phase mains with the second input, two inputs of the second operational amplifier OP2 connect all not identical mutually of three phase mains with two inputs of the first operational amplifier OP1, the second output of operational amplifier OP2 and the voltage input end of processor are connected, wherein, the second input of the second operational amplifier OP2 is connected with the output of the second operational amplifier OP2, and the first input end of the first input end of the first operational amplifier OP1 and the second operational amplifier OP2 accesses respectively reference voltage Verf.
Further, the first current sample electronic circuit comprises: the first current sensor, is arranged on that R phase, S phase and T are arbitrary in mutually to be gone up mutually; Resistance R 9, the first end of resistance R 9 is connected with the first current sensor; Resistance R 10, the first end of resistance R 10 is connected with the second end of resistance R 9, the second end ground connection of resistance R 10; The 3rd operational amplifier OP3, the first input end of the 3rd operational amplifier OP3 is connected respectively with the first end of resistance R 10 with the second end of resistance R 9, the second input of the 3rd operational amplifier OP3 is connected with the output of the 3rd operational amplifier OP3, and the output of the 3rd operational amplifier OP3 is also connected with the voltage input end of processor; The second current sample electronic circuit comprises: the second current sensor, is arranged on R phase, S phase and T different from the first current sensor arbitraryly go up mutually in mutually; Resistance R 11, the first end of resistance R 11 is connected with the second current sensor; Resistance R 12, the first end of resistance R 12 is connected with the second end of resistance R 11, the second end ground connection of resistance R 12; Four-operational amplifier OP4, the first input end of four-operational amplifier OP4 and the second end of resistance R 11 and being connected respectively of resistance R 12 first ends, the second input of four-operational amplifier OP4 is connected with the output of four-operational amplifier OP4, and the output of four-operational amplifier OP4 is also connected with the voltage input end of processor.
Further, three phase mains rectifier also comprises busbar voltage sample circuit, and busbar voltage sample circuit comprises: resistance R 13, and the first end of resistance R 13 is connected with the anode of capacitance group; Resistance R 14, the first end of resistance R 14 is connected with the second end of resistance R 13, and the second end of resistance R 14 is connected with the negative electrode of capacitance group, and wherein, the first end of resistance R 14 is connected with the voltage input end of processor.
Further, three-phase PWM rectification circuit is Intelligent Power Module.
To achieve these goals, according on the other hand of the present utility model, provide a kind of three phase mains frequency converter.According to three phase mains frequency converter of the present utility model, comprise: inverter; And the three phase mains rectifier of above-mentioned middle any one, the two ends of the capacitance group of three phase mains rectifier are connected with inverter.
By the utility model, adopt three phase mains rectifier to comprise: current sampling circuit, is connected with three phase mains, for the phase current of sampling three-phase power supply; Voltage sampling circuit, is connected with three phase mains, for the line voltage of sampling three-phase power supply; Processor, comprises current input terminal, voltage input end and signal output part, and current input terminal is connected with current sampling circuit, and voltage input end is connected with voltage sampling circuit; Three-phase PWM rectification circuit, is connected respectively with signal output part with three phase mains; And capacitance group, be connected with three-phase PWM rectification circuit, by processor, the phase current of the line voltage and current sample circuit sampling of voltage sampling circuit sampling is processed, output pulse width modulation signal carries out rectification to control three-phase PWM rectification circuit, make the waveform of phase current follow the waveform of phase voltage, solve the low problem of three phase mains rectifier power factor, and then reached the effect that improves three phase mains rectifier power factor (PF).
Accompanying drawing explanation
The accompanying drawing that forms the application's a part is used to provide further understanding of the present utility model, and schematic description and description of the present utility model is used for explaining the utility model, does not form improper restriction of the present utility model.In the accompanying drawings:
Fig. 1 is according to the circuit diagram of the three phase mains rectifier of the utility model the first embodiment;
Fig. 2 is according to the circuit diagram of the three phase mains rectifier of the utility model the second embodiment;
Fig. 3 is according to the flow chart of the control method of the three phase mains rectifier of the utility model the first embodiment;
Fig. 4 is according to the flow chart of the control method of the three phase mains rectifier of the utility model the second embodiment;
Fig. 5 is according to the flow chart of the closed-loop control of the three phase mains rectifier of the utility model embodiment;
Fig. 6 is according to the circuit diagram of the three phase mains frequency converter of the utility model embodiment;
During Fig. 7 according to the oscillogram of the phase current of three phase mains in prior art and phase voltage;
Fig. 8 is according to the oscillogram of the phase current of the three phase mains of the utility model embodiment and phase voltage;
Fig. 9 is the subharmonic distribution map according to three phase mains in prior art; And
Figure 10 is the subharmonic distribution map according to the three phase mains of the utility model embodiment.
Embodiment
It should be noted that, in the situation that not conflicting, embodiment and the feature in embodiment in the application can combine mutually.Describe below with reference to the accompanying drawings and in conjunction with the embodiments the utility model in detail.
The utility model embodiment provides a kind of three phase mains rectifier, and this three phase mains rectifier can be for air conditioner.
Fig. 1 is according to the circuit diagram of the three phase mains rectifier of the utility model the first embodiment.As shown in Figure 1, this three phase mains rectifier comprises:current sampling circuit 2,voltage sampling circuit 1, processor, three-phasePWM rectification circuit 3 and capacitance group C1.
Current sampling circuit 2 is connected with three phase mains, for the phase current of sampling three-phase power supply.The phase current ofcurrent sampling circuit 2 sampling can be R phase in three phase mains, S phase and T mutually in the phase current of arbitrary phase, can be also the phase current of a plurality of phases wherein.Wherein, in three phase mains, R phase, S phase and T are alternating current AC mutually.The phase current I thatcurrent sampling circuit 2 obtains sampling exports to processor and processes.
Voltage sampling circuit 1 is connected with three phase mains, for the line voltage of sampling three-phase power supply.The line voltage ofvoltage sampling circuit 1 sampling can be R phase in three phase mains, S phase and T mutually in line voltage between wantonly two, can be the line voltage of sampling, also can time sample a plurality of line voltage.Voltage sampling circuit 1 is processed the processor of exporting to of the line voltage V sampling.
Processor comprises current input terminal, voltage input end and signal output part, and current input terminal is connected with current sampling circuit, and voltage input end is connected with voltage sampling circuit.Processor can be digital signal processor (digital signal processor, referred to as DSP), can be also other processor.The current input terminal current sampling circuit of processor is connected for the phase current of received current sample circuit sampling, and voltage input end is connected with voltage sampling circuit for the line voltage of receiver voltage sample circuit sampling.By current sampling circuit and voltage input end by analog input in processor, control method calculation process through three-phase PFC, finally press SPWM(Sinusoidal Pulse Width Modulation, a kind of pulse width modulation method) rule exports PWM1-PWM6 six tunnel control signals by signal output part.
Three-phasePWM rectification circuit 3 is connected respectively with signal output part with three phase mains.This three-phasePWM rectification circuit 3 comprises the switching tube assembly that forms upper and lower bridge arm, this three-phasePWM rectification circuit 3 can be power model, preferably, three-phasePWM rectification circuit 3 is Intelligent Power Module (Intelligent Power Module of integrated chip, referred to as IPM), as shown in Figure 1, this three-phasePWM rectification circuit 3 comprises insulated gate bipolar transistor (Insulated Gate Bipolar Transistor, referred to as IGBT) Q1, Q2, Q3, Q4, Q5 and Q6 and sustaineddiode 1, D2, D3, D4, D5 and D6.In three-phasePWM rectification circuit 3, the grid of Q1, Q2, Q3, Q4, Q5 and Q6 is connected successively with the PWM1~PWM6 of processor respectively, the collector electrode of IGBT pipe Q1 is connected with sustaineddiode 1 negative electrode, the emitter of IGBT pipe Q1 is connected withsustained diode 1 anode, the annexation of IGBT pipe Q2, Q3, Q4, Q5 and Q6 and sustaineddiode 2, D3, D4, D5 and D6 is similar with the annexation of IGBT pipe Q1 and sustaineddiode 1, does not repeat here.The emitter of IGBT pipe Q1 is connected with IGBT pipe Q2 collector electrode, and the emitter of IGBT pipe Q3 is connected with IGBT pipe Q4 collector electrode, and the emitter of IGBT pipe Q5 is connected with IGBT pipe Q6 collector electrode.The R phase of three phase mains is connected with the emitter of IGBT pipe Q1, and its voltage is designated as ua, and the S phase of three phase mains is connected with the emitter of IGBT pipe Q3, and its voltage is designated as ub, and the T phase of three phase mains is connected with the emitter of IGBT pipe Q5, and its voltage is designated as uc.
Processor is controlled respectively the break-make of the IGBT pipe in the Q1~Q6 of three-phasePWM rectification circuit 3 by output driving pulse width modulated (Pulse Width Modulation is called for short PWM) output PWM1~PWM6.
Capacitance group C1 is connected with three-phase PWM rectification circuit 3.As shown in Figure 1, in the anode of capacitance group and three-phasePWM rectification circuit 3, the collector electrode of IGBT pipe Q1, Q3 and Q5 is connected, and negative electrode is connected with the emitter of IGBT pipe Q2, Q4 and Q6.Capacitance group C1 carries out the direct current after rectification for storing to three phase mains, and has certain filter action.
The three phase mains rectifier of the utility model embodiment also comprises reactor Lr, Lsand Lt, wherein, r represents the internal resistance that each reactor is corresponding.
According to the utility model embodiment, phase current and line voltage byvoltage sampling circuit 1 and 2 pairs of three phase mains of current sampling circuit are sampled, and by sampling analog input in processor, control method calculation process through three-phase PFC, finally by SPWM rule, by signal output part, export the break-make that PWM1~PWM6 six tunnel control signals are controlled the IGBT pipe in three-phasePWM rectification circuit 3, make R, S, T three-phase current pass through according to certain rules reactor, IGBT pipe and fly-wheel diode and capacitance group C1, at reactor Lr~Ltinterior storage power and releasing energy, thus make R, S, T three-phase current phase place follow in real time corresponding voltage-phase, make phase place sineization of electric current, thereby reached the effect of raising power factor.
Preferably,voltage sampling circuit 1 comprises the first voltage sample electronic circuit and second voltage sampling electronic circuit.The incoming end of the first voltage sample electronic circuit is connected with three phase mains, first output of voltage sample electronic circuit and the voltage input end of processor are connected, the first voltage sample electronic circuit First Line voltage that is used for sampling, First Line voltage be R phase, S phase and T mutually in the line voltage between two-phase arbitrarily.First Line voltage can be the line voltage between R phase and S phase, can be also the line voltage between R phase and T phase, can be the line voltage between any two-phase.
The incoming end of second voltage sampling electronic circuit is connected with three phase mains, the output of second voltage sampling electronic circuit is connected with voltage input end, the second voltage sampling electronic circuit second line voltage that is used for sampling, the second line voltage be R phase, S phase and T mutually in any line voltage between two-phase, wherein, the second line voltage and First Line voltage are different line voltage.The second line voltage can be that the line voltage between R phase and S phase can be also the line voltage between S phase and T phase.First Line voltage and the second line voltage are different line voltage.
It should be noted that, " first " and " second " in " the first voltage sample electronic circuit " and " second voltage sampling electronic circuit " be ordinal relation not, here just for the ease of distinguish two sampling electronic circuits and a kind of describing method of adopting, " First Line voltage " and " the second line voltage " in like manner, does not all have improper restriction to the utility model.
Preferably,current sampling circuit 2 comprises the first current sample electronic circuit and the second current sample electronic circuit.
The incoming end of the first current sample electronic circuit is connected with three phase mains, the output of the first current sample electronic circuit is connected with current input terminal, the first current sample electronic circuit first-phase electric current that is used for sampling, first-phase electric current be R phase, S phase and T mutually in the phase current of arbitrary phase.First-phase electric current can be the phase current of R phase, can be also the phase current of S phase, can be the phase current of any phase.
The incoming end of the second current sample electronic circuit is connected with three phase mains, the output of the second current sample electronic circuit is connected with current input terminal, the second current sample electronic circuit second-phase electric current that is used for sampling, second-phase electric current be R phase, S phase and T mutually in the phase current of arbitrary phase, wherein second-phase electric current and first-phase electric current are different phase currents.Second-phase electric current can be the phase current of S phase, can be also the phase current of T phase.Second-phase electric current can be the phase current of other phases different from first-phase electric current.
It should be noted that, " first " at this place and " second " with above-mentioned in aforementioned in " first ", " second " there is similar function, the utility model is not had to improper restriction.
By the utility model embodiment, only adopt two-way voltage sampling circuit for detection of two different line voltages with two-way current detection circuit for detection of the different phase current of two-phase, according to phase current, mathematical relationship between the phase current of phase voltage and sampling and line voltage calculates other phase current and all phase voltages, sampled signal is simplified, circuit is simple, has reduced sampling error.
Fig. 2 is according to the circuit diagram of the three phase mains rectifier of the utility model the second embodiment.The three phase mains rectifier of this embodiment can be used as a kind of preferred implementation of the three phase mains rectifier of above-described embodiment.As shown in Figure 2, this three phase mains rectifier comprises: current sampling circuit, voltage sampling circuit, processor, three-phase PWM rectification circuit and capacitance group C1.Wherein, voltage sampling circuit comprises the first voltage sample electronic circuit and second voltage sampling electronic circuit, and current sampling circuit comprises the first current sample electronic circuit and the second current sample electronic circuit.Wherein, processor, three-phase PWM rectification circuit and capacitance group C1 and the processor shown in Fig. 1, three-phasePWM rectification circuit 3 are identical with capacitance group C1 function, do not repeat here.
The first voltage sample electronic circuit comprises the first operational amplifier OP1, the first input end and R phase of this first operational amplifier OP1, S phase and T any one are connected in mutually mutually, the second input of the first operational amplifier OP1 and R phase, S phase and T are arbitrary in to be mutually connected mutually, wherein, it is mutually different that the first input end of the first operational amplifier OP1 is connected from three phase mains with the second input, the first output of operational amplifier OP1 and the voltage input end of processor are connected, wherein, the second input of the first operational amplifier OP1 is connected with the output of the first operational amplifier OP1.Because the first voltage sample electronic circuit is for the line voltage between any two-phase of sampling three-phase power supply, therefore first input end and the second input of the first operational amplifier OP1 are connected to different going up mutually.
As shown in Figure 2, the First Line voltage of the first voltage sample electronic circuit sampling in the present embodiment can be the line voltage V for sampling between R phase and T phasetR, wherein, the first input end of the first operational amplifier OP1 is connected with the T of three phase mains mutually byresistance R 1, and the second input of the first operational amplifier OP1 is connected with the R of three phase mains mutually by resistance R 3.The line voltage V that sampling is obtainedtRoutput through the first operational amplifier OP1 is exported to processor.
Second voltage sampling electronic circuit comprises the second operational amplifier OP2, the first input end and R phase of this second operational amplifier OP2, S phase and T are arbitrary in to be mutually connected mutually, the second input of the second operational amplifier OP2 and R phase, S phase and T are arbitrary in to be mutually connected mutually, wherein, it is mutually different that the first input end of the second operational amplifier OP2 is connected from three phase mains with the second input, two inputs of the second operational amplifier OP2 connect all not identical mutually of three phase mains with two inputs of the first operational amplifier OP1, the second output of operational amplifier OP2 and the voltage input end of processor are connected, wherein, the second input of the second operational amplifier OP2 is connected with the output of the second operational amplifier OP2.Because the line voltage of second voltage sampling electronic circuit sampling is different from the line voltage of the first sampling electronic circuit sampling, what therefore, two inputs of the second operational amplifier OP2 in second voltage sampling electronic circuit and two inputs of the first operational amplifier OP1 were connected with three phase mains is all not identical mutually.
As shown in Figure 2, the second line voltage of the second operational amplifier OP2 sampling in the present embodiment can be the line voltage V for sampling between R phase and S phaserS, wherein, the first input end of the second operational amplifier OP2 is connected with the T of three phase mains mutually byresistance R 4, and the second input of the second operational amplifier OP2 is connected with the R of three phase mains mutually by resistance R 2.The line voltage V that sampling is obtainedrSoutput through the second operational amplifier OP2 is exported to processor.
The first input end of the first input end of the first operational amplifier OP1 and the second operational amplifier OP2 accesses respectively reference voltage Verf.Between the first input end of reference voltage Verf and the first operational amplifier OP1, be connected byresistance R 5, between the first input end of reference voltage Verf and the second operational amplifier OP2, be connected by resistance R 6.
The first current sample electronic circuit comprises: the firstcurrent sensor 4, is arranged on that R phase, S phase and T are arbitrary in mutually to be gone up mutually; Resistance R 9, the first end of this resistance R 9 is connected with the firstcurrent sensor 4; Resistance R 10, the first end of this resistance R 10 is connected with the second end of resistance R 9, the second end ground connection of resistance R 10; The 3rd operational amplifier OP3, the first input end of the 3rd operational amplifier OP3 is connected respectively with the first end of resistance R 10 with the second end of resistance R 9, the second input of the 3rd operational amplifier OP3 is connected with the output of the 3rd operational amplifier OP3, and the output of the 3rd operational amplifier OP3 is also connected with the voltage input end of processor.The first-phase electric current of the first current sample electronic circuit sampling can be the phase current of going up mutually arbitrarily, and therefore, the firstcurrent sensor 4 can be arranged on that R phase, S phase and T are arbitrary in mutually to be gone up mutually, for this phase current of going up mutually of sampling.
As shown in Figure 2, the first-phase electric current of the first current sample electronic circuit sampling of the present embodiment can be the phase current I that R goes up mutuallyr, the firstcurrent sensor 4 is arranged on to R and goes up mutually.
The second current sample electronic circuit comprises: the secondcurrent sensor 5, is arranged on R phase, S phase and T different from the firstcurrent sensor 4 arbitraryly go up mutually in mutually; Resistance R 11, the first end of resistance R 11 is connected with the secondcurrent sensor 5; Resistance R 12, the first end of resistance R 12 is connected with the second end of resistance R 11, the second end ground connection of resistance R 12; Four-operational amplifier OP4, the first input end of four-operational amplifier OP4 and the second end of resistance R 11 and being connected respectively of resistance R 12 first ends, the second input of four-operational amplifier OP4 is connected with the output of four-operational amplifier OP4, and the output of four-operational amplifier OP4 is also connected with the voltage input end of processor.The second-phase electric current of the second current sample electronic circuit sampling can be to go up mutually arbitrarily the phase current different from first-phase electric current, therefore, the secondcurrent sensor 5 can be arranged on R phase, S phase and T different from the first current sensor arbitraryly go up mutually in mutually, for this phase current of going up mutually of sampling.
As shown in Figure 2, the second-phase electric current of the second current sample electronic circuit sampling of the present embodiment can be the phase current I that S goes up mutuallys, the secondcurrent sensor 5 is arranged on to S and goes up mutually.
The phase current I of current sampling circuit samplingr, Is, and the line voltage V of voltage sampling circuit samplingrS, VtR, and phase current Ir, Is, Itwith phase voltage Vr, Vs, Vtbetween mathematical relationship, by dsp processor, calculate It, Vr, Vs, Vt.The phase current of the two-phase of only sampling and two phase voltages, simplify sampled signal, and circuit is simple, has reduced sampling error, avoided by setting up complicated position of source appraising model estimation Vr, Vs, Vtposition, has improved reliability, so the three phase mains rectifier in the present embodiment is applicable to being applied in the product of three phase mains transducer air conditioning.
Preferably, the three phase mains rectifier of the present embodiment also comprises busbar voltage sample circuit, and this busbar voltage sample circuit comprises resistance R 13 and resistance R 14, for sampling by the busbar voltage V after rectifier rectificationdC.
As shown in Figure 2, the first end of resistance R 13 and the anode of capacitance group are connected.The first end of resistance R 14 is connected with the second end of resistance R 13, and the second end of resistance R 14 is connected with the negative electrode of capacitance group, and wherein, the first end of resistance R 14 is connected with the voltage input end of processor.The voltage input end of processor comprises: First Line voltage VtRinput, the second line voltage VrSinput and busbar voltage VdCinput, the current input terminal of processor comprises first-phase current input terminal Irwith second-phase current input terminal Is.
According to the utility model embodiment, by busbar voltage sample circuit sampling busbar voltage, and busbar voltage is sent to processor process, when processor carries out the control of phase current and phase voltage, control bus voltage stabilization is on the set-point Vref of busbar voltage.
In three-phase PWM rectification circuit, Q1 and D1, Q3 and D3, Q5 and D5 are upper brachium pontis, the Q2 that it is complementary and D2, Q4 and D4, Q6 and D6 are lower brachium pontis, corresponding driving PWM1 and PWM2, PWM3 and PWM4, PWM5 and PWM6 signal are also complementary, be that PWM1, PWM3, PWM5 are logical (breaking), distinguish corresponding PWM2, PWM4, PWM6 for breaking (leading to).During initial condition, Q1~Q6 disconnects, and dsp processor is according to duty ratio dxsend the pwm signal of the break-make of controlling IGBT pipe, duty ratio
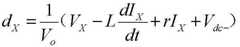
dX=1Vo(VX-LdIXdt+rIX+Vdc-)
Wherein, X represents the arbitrary phase during R phase in three phase mains, S phase, T are mutually, V0for the initial voltage after rectification, that is, and from the direct voltage of three-phase PWM rectification circuit output, Vxfor the line voltage of X phase, the inductance of the reactor of going up mutually that L is corresponding, Ixfor the phase current of corresponding phase, r is the internal resistance of going up mutually reactor accordingly, Vdc-voltage for the negative terminal of capacitance group.
When pwm signal is high level, the IGBT of its corresponding brachium pontis manages conducting, and complementary pair answers the IGBT of brachium pontis to turn-off.The R of take is example mutually, and roughly the same, when Q2 conducting, electric current is from R phase Q2 for other phases, and flow through D4 or D6, reach S phase or T phase and corresponding reactor thereof.Reactor current rises, storage power, and when Q2 turn-offs, reactor current declines, and the energy of storage is transferred in capacitance group by D4 or D6, for load, then arrives S phase or T phase.By regulating the duty ratio of pwm signal, make three-phase input current and corresponding input voltage same-phase, improved power factor (PF), and made the busbar voltage of exporting be elevated to a steady state value.
Control method by three phase mains rectifier is introduced the operation principle of three phase mains rectifier below.
Fig. 3 is according to the flow chart of the control method of the three phase mains rectifier of the utility model the first embodiment.As shown in Figure 3, the control method of this three phase mains rectifier is for the three phase mains rectifier shown incontrol chart 1, and it is as follows that the method comprising the steps of:
Step S101, is calculated the phase voltage of three phase mains by phase current and line voltage.Phase current is the phase current that current sampling circuit sampling obtains, and line voltage is the line voltage of voltage sampling circuit sampling.Owing to existing certain mathematical relationship between the phase current in three phase mains, phase voltage and line voltage, when the phase current of sampling is a phase or two-phase phase current, according to the line voltage of the phase current of current sampling circuit sampling and voltage sampling circuit sampling, can calculate phase current the phase current obtaining except sampling and all phase voltages; When the phase current of sampling is three phase currents, the line voltage according to the phase current of current sampling circuit sampling and voltage sampling circuit sampling, only need to calculate all phase voltages.For example, the phase current of current sampling circuit sampling is Ir, Is, the line voltage of voltage sampling circuit sampling is VrS, VtR, according to phase current Ir, Is, Itwith phase voltage Vr, Vs, Vtand the phase current of sampling and the mathematical relationship between line voltage, just can calculate It, Vr, Vs, Vt.
Step S102, the reference value of the phase voltage that obtains three phase mains by phase current and the phase voltage of three phase mains.The reference value of this phase voltage comprises the phase voltage reference value V of R phasepWM_R, the phase voltage reference value V of S phasepWM_S, the phase voltage reference value V of T phasepWM_T.Phase current I by the three phase mains calculatingr, Is, Itand the set-point I of phase currentref_R, Iref_S, Iref_Tby PID(proportion integration differentiation) regulate, the amount after regulating and the phase voltage that calculates are converted successively to the reference value of the phase voltage that obtains three phase mains.
Step S103, follows the phase place of phase voltage according to the phase place of the reference value adjustments phase current of the phase voltage of three phase mains.The reference value of the phase voltage of three phase mains can be carried out to pulse width modulation by SPWM method, obtain pulse width modulating signal, that is, and pwm signal, by exporting this pwm signal, regulate the phase place of phase current to follow the phase place of phase voltage, thereby reach the effect that improves power factor (PF).
Preferably, step S101 can realize by following steps:
Step S1011, receives the first-phase electric current that the first current sample electronic circuit is sampled, and first-phase electric current is R phase, S phase and the T phase current of middle any one mutually.First-phase electric current can be the phase current of R in mutually, can be also the phase current of other phases.
Step S1012, receives the second-phase electric current of the second current sample electronic circuit sampling, second-phase electric current be R phase, S phase and T mutually in the phase current of arbitrary phase, wherein, second-phase electric current and first-phase electric current are out of phase phase current.When the first-phase electric current of the first current sample electronic circuit sampling is the phase current of R phase, second-phase electric current can be the phase current of S phase, can be also the phase current of T phase.
Step S1013, receives the First Line voltage of the first voltage sample electronic circuit sampling, First Line voltage be R phase, S phase and T mutually in the phase voltage between two-phase arbitrarily.First Line voltage can be R phase and the S line voltage between mutually, can be also the line voltage between other two-phase.
Step S1014, receives the second line voltage of second voltage sampling electronic circuit sampling, the second line voltage be R phase, S phase and T mutually in the phase voltage between two-phase arbitrarily, wherein, the second line voltage and First Line voltage are different line voltage.When the First Line voltage of the first voltage sample electronic circuit sampling is the line voltage between R phase and S phase, the second line voltage can be the line voltage between R phase and T phase, can be also the line voltage between S phase and T phase.
Step S1015, calculates the first-phase electric current of three phase mains, phase current outside second-phase electric current and the phase voltage of three phase mains by first-phase electric current, second-phase electric current, First Line voltage and the second line voltage.According to the mathematical relationship between phase current, phase voltage and line voltage, by first-phase electric current, second-phase electric current, First Line voltage and the second line voltage receiving, just can calculate the first-phase electric current of three phase mains, phase current and the phase voltage outside second-phase electric current.
According to the utility model embodiment, by phase current, the mathematical relationship between the phase current of phase voltage and sampling and line voltage calculates other phase current and all phase voltages, and sampled signal is simplified, and circuit is simple, has reduced sampling error.
Fig. 4 is according to the flow chart of the control method of the three phase mains rectifier of the utility model the second embodiment.The control method of the three phase mains rectifier of the present embodiment can be used as a kind of preferred implementation of the control method of the three phase mains rectifier in above-described embodiment.As shown in Figure 4, the control method of this three phase mains rectifier comprises that step is as follows:
Step S201, is calculated the phase voltage of three phase mains by phase current and line voltage.Phase current is the phase current that current sampling circuit sampling obtains, and line voltage is the line voltage of voltage sampling circuit sampling.Owing to existing certain mathematical relationship between the phase current in three phase mains, phase voltage and line voltage, when the phase current of sampling is a phase or two-phase phase current, according to the line voltage of the phase current of current sampling circuit sampling and voltage sampling circuit sampling, can calculate phase current the phase current obtaining except sampling and all phase voltages; When the phase current of sampling is three phase currents, the line voltage according to the phase current of current sampling circuit sampling and voltage sampling circuit sampling, only need to calculate all phase voltages.For example, the phase current of current sampling circuit sampling is Ir, Is, the line voltage of voltage sampling circuit sampling is VrS, VtR, according to phase current Ir, Is, Itwith phase voltage Vr, Vs, Vtand the phase current of sampling and the mathematical relationship between line voltage, just can calculate It, Vr, Vs, Vt.
Step S102, the reference value of the phase voltage that obtains three phase mains by phase current and the phase voltage of three phase mains.The reference value of this phase voltage comprises the phase voltage reference value V of R phasepWM_R, the phase voltage reference value V of S phasepWM_S, the phase voltage reference value V of T phasepWM_T.Phase current I by the three phase mains calculatingr, Is, Itand the set-point I of phase currentref_R, Iref_S, Iref_Tby PID(proportion integration differentiation) regulate, the amount after regulating and the phase voltage that calculates are converted successively to the reference value of the phase voltage that obtains three phase mains.
Step S203, using the reference value of the phase voltage of three phase mains as input signal.This input signal can, for pulse width modulation, produce and drive signal.
Step S204, modulates input signal by SPWM, obtains pulse width modulating signal.Sampling SPWM method is modulated the reference value of the phase voltage of three phase mains, obtains pwm signal, drives signal, in order to control the break-make of IGBT pipe, to reach the object of the waveform that regulates phase current.
Step S205, the duty ratio of calculating pulse width modulating signal.According to formula, calculate pwm signal duty ratio
dX=1Vo(VX-LdIXdt+rIX+Vdc-)
Wherein, X represents the arbitrary phase during R phase in three phase mains, S phase, T are mutually, V0for the initial voltage after rectification, that is, and from the direct voltage of three-phase PWM rectification circuit output, Vxfor the line voltage of X phase, the inductance of the reactor of going up mutually that L is corresponding, Ixfor the phase current of corresponding phase, r is the internal resistance of going up mutually reactor accordingly, Vdc-voltage for the negative terminal of capacitance group.According to the output of Duty ratio control pwm signal.
Step S206, sends pulse width modulating signal according to duty ratio and controls three-phase PWM rectification circuit to regulate the phase place of phase current to follow the phase place of phase voltage.By the output time of the Duty ratio control pwm signal of pwm signal, make three-phase input current and corresponding input voltage same-phase.
Fig. 5 is according to the flow chart of the closed-loop control of the three phase mains rectifier of the utility model embodiment.
As shown in Figure 5, according to the sampled value V of busbar voltagedCand set-point Vrefwith R, S, T three-phase actual phase voltage V separatelyr, Vs, Vt, through PID, regulate I and convert accordingly I, obtain the set-point I of R, S, T three-phase phase current separatelyref_R, Iref_S, Iref_T, as the outer shroud of varying DC link voltage, regulate in real time busbar voltage VdC, make its rising and be stabilized in set-point Vref.Again by the set-point I of R, S, T three-phase phase current separatelyref_R, Iref_S, Iref_Twith corresponding actual phase current Ir, Is, Itand actual phase voltage Vr, Vs, Vtthrough PID, regulate II and convert accordingly II, obtain the reference value V of R, S, T three-phase phase voltage separatelypWM_R, VpWM_S, VpWM_T, as the corresponding phase current I of three-phaser, Is, Itthe interior ring regulating, regulates three-phase input phase current I in real timer, Is, Itwaveform phase follow the phase voltage V of corresponding phaser, Vs, Vtwaveform phase, thereby improve power factor, make phase current waveform " sineization ", thereby greatly reduce harmonic components and the content of each phase of three phase mains transducer air conditioning.Finally, by VpWM_R, VpWM_S, VpWM_Tas input, through the modulation of SPWM method, obtain PWM1, PWM2, PWM3, PWM4, PWM5, PWM6 six tunnels driving signals, and calculate the make-and-break time T of PFC module three corresponding brachium pontisr, Ts, Ttand duty ratio
Figure BDA0000413713160000112
x=R, S, T.According to make-and-break time and duty ratio output PWM1, PWM2, PWM3, PWM4, PWM5, PWM6 six roads, drive signal controlling PFC module, reactor L, capacitance group C and each sample circuit.
As seen from Figure 5, the utility model embodiment adopts the Direct Current Control method of the Three-phase PWM Voltage Rectifier system of current inner loop, outer voltage.First by PWM, trigger analog quantity sampling and interrupt, and in breaking therein, read and process the sampled data of phase current, line voltage and the busbar voltage of sample circuit.Then carry out input current, voltage, the protection detections such as the abnormal and IPM module temperature anomaly of busbar voltage.After receiving PFC open command, adopt the first calculating voltage outer shroud of control flow of accompanying drawing 5, then calculate current inner loop, finally calculate the comparison value of PWM comparand register.Dsp processor, according to the comparison value of the PWM comparand register of real-time update and fixing periodic quantity, draws the driving signal of controlling IGBT pipe, i.e. pwm signal.
According to the utility model embodiment, also provide a kind of three phase mains frequency converter.
Fig. 6 is according to the circuit diagram of the three phase mains frequency converter of the utility model embodiment.As shown in Figure 6, this three phase mains frequency converter comprises: the three phase mains rectifier that inverter 6 and the utility model embodiment provide.Wherein, the two ends of the capacitance group C1 of three phase mains rectifier are connected with inverter 6.
According to the three phase mains rectifier of the utility model embodiment and three phase mains frequency converter, can be so that the each harmonic content in three phase mains reduces, power factor (PF) is brought up to 0.999, total harmonic current effective value of electric current and the ratio (referred to as THDi) of fundamental current effective value are less than 5%, with respect to the passive PFC of three-phase, power factor (PF) has improved 0.2, electric current THDi has reduced 15%, in addition, by busbar voltage lifting values set-point, make three phase mains rectifier and frequency converter in the application of air conditioner, can expand the torque range of the compressor of air conditioner, increase the carrying load ability of air conditioner.
During Fig. 7 according to the oscillogram of the phase current of three phase mains in prior art and phase voltage.As shown in Figure 7, in phase in the same time, the phase place of phase current I ' is not identical with the phase place of phase voltage V '.
Fig. 8 is according to the oscillogram of the phase current of the three phase mains of the utility model embodiment and phase voltage.As shown in Figure 8, the phase place of phase current I is followed the phase place of phase voltage V.
By Fig. 7 and Fig. 8, can be found out, adopt the scheme of the utility model embodiment can make phase current follow phase voltage, thereby improve power factor (PF).
Fig. 9 is the subharmonic distribution map according to three phase mains in prior art.As shown in Figure 9, in figure, the length of block diagram represents the size of subharmonic, does not use the very large of subharmonic in the three phase mains before this programme.
Figure 10 is the subharmonic distribution map according to the three phase mains of the utility model embodiment.As shown in figure 10, in figure, the subharmonic of histogram graph representation significantly reduces with respect to the subharmonic shown in Fig. 9.
The foregoing is only preferred embodiment of the present utility model, be not limited to the utility model, for a person skilled in the art, the utility model can have various modifications and variations.All within spirit of the present utility model and principle, any modification of doing, be equal to replacement, improvement etc., within all should being included in protection range of the present utility model.

Claims (8)

1. a three phase mains rectifier, is characterized in that, comprising:
Current sampling circuit, is connected with three phase mains, for the phase current of the described three phase mains of sampling;
Voltage sampling circuit, is connected with described three phase mains, for the line voltage of the described three phase mains of sampling;
Processor, comprises current input terminal, voltage input end and signal output part, and described current input terminal is connected with described current sampling circuit, and described voltage input end is connected with described voltage sampling circuit;
Three-phase PWM rectification circuit, is connected respectively with described signal output part with described three phase mains; And
Capacitance group, is connected with described three-phase PWM rectification circuit.
2. three phase mains rectifier according to claim 1, is characterized in that, described three phase mains comprises: R phase, S phase and T phase, and wherein, described voltage sampling circuit comprises:
The first voltage sample electronic circuit, the incoming end of described the first voltage sample electronic circuit is connected with described three phase mains, the output of described the first voltage sample electronic circuit is connected with described voltage input end, described the first voltage sample electronic circuit First Line voltage that is used for sampling, described First Line voltage be described R phase, described S phase and described T mutually in the line voltage between two-phase arbitrarily; And
Second voltage sampling electronic circuit, the incoming end of described second voltage sampling electronic circuit is connected with described three phase mains, the output of described second voltage sampling electronic circuit is connected with described voltage input end, the described second voltage sampling electronic circuit second line voltage that is used for sampling, described the second line voltage be described R phase, described S phase and described T mutually in any line voltage between two-phase, wherein, described the second line voltage and described First Line voltage are different line voltage.
3. three phase mains rectifier according to claim 2, is characterized in that, described current sampling circuit comprises:
The first current sample electronic circuit, the incoming end of described the first current sample electronic circuit is connected with described three phase mains, the output of described the first current sample electronic circuit is connected with described current input terminal, described the first current sample electronic circuit first-phase electric current that is used for sampling, described first-phase electric current be described R phase, described S phase and described T mutually in the phase current of arbitrary phase;
The second current sample electronic circuit, the incoming end of described the second current sample electronic circuit is connected with described three phase mains, the output of described the second current sample electronic circuit is connected with described current input terminal, described the second current sample electronic circuit second-phase electric current that is used for sampling, described second-phase electric current be described R phase, described S phase and described T mutually in the phase current of arbitrary phase, wherein said second-phase electric current and described first-phase electric current are different phase currents.
4. three phase mains rectifier according to claim 2, is characterized in that,
Described the first voltage sample electronic circuit comprises the first operational amplifier OP1, the first input end of described the first operational amplifier OP1 and described R phase, described S phase and described T any one are connected in mutually mutually, the second input of described the first operational amplifier OP1 and described R phase, described S phase and described T are arbitrary in to be mutually connected mutually, wherein, it is mutually different that the first input end of described the first operational amplifier OP1 is connected from described three phase mains with the second input, described the first output of operational amplifier OP1 and the voltage input end of described processor are connected, wherein, the second input of described the first operational amplifier OP1 is connected with the output of described the first operational amplifier OP1,
Described second voltage sampling electronic circuit comprises the second operational amplifier OP2, the first input end of described the second operational amplifier OP2 and described R phase, described S phase and described T are arbitrary in to be mutually connected mutually, the second input of described the second operational amplifier OP2 and described R phase, described S phase and described T are arbitrary in to be mutually connected mutually, wherein, it is mutually different that the first input end of described the second operational amplifier OP2 is connected from described three phase mains with the second input, two inputs of described the second operational amplifier OP2 connect all not identical mutually of described three phase mains with two inputs of described the first operational amplifier OP1, described the second output of operational amplifier OP2 and the voltage input end of described processor are connected, wherein, the second input of described the second operational amplifier OP2 is connected with the output of described the second operational amplifier OP2, and
The first input end of the first input end of described the first operational amplifier OP1 and described the second operational amplifier OP2 accesses respectively reference voltage Verf.
5. three phase mains rectifier according to claim 3, is characterized in that,
Described the first current sample electronic circuit comprises: the first current sensor, is arranged on that described R phase, described S phase and described T are arbitrary in mutually to be gone up mutually; Resistance R 9, the first end of described resistance R 9 is connected with described the first current sensor; Resistance R 10, the first end of described resistance R 10 is connected with the second end of described resistance R 9, the second end ground connection of described resistance R 10; The 3rd operational amplifier OP3, the first input end of described the 3rd operational amplifier OP3 is connected respectively with the first end of described resistance R 10 with the second end of described resistance R 9, the second input of described the 3rd operational amplifier OP3 is connected with the output of described the 3rd operational amplifier OP3, and the output of described the 3rd operational amplifier OP3 is also connected with the described voltage input end of described processor;
Described the second current sample electronic circuit comprises: the second current sensor, is arranged on described R phase, described S phase and described T different from described the first current sensor arbitraryly go up mutually in mutually; Resistance R 11, the first end of described resistance R 11 is connected with described the second current sensor; Resistance R 12, the first end of described resistance R 12 is connected with the second end of described resistance R 11, the second end ground connection of described resistance R 12; Four-operational amplifier OP4, the first input end of described four-operational amplifier OP4 and the second end of described resistance R 11 and being connected respectively of described resistance R 12 first ends, the second input of described four-operational amplifier OP4 is connected with the output of described four-operational amplifier OP4, and the output of described four-operational amplifier OP4 is also connected with the described voltage input end of described processor.
6. three phase mains rectifier according to claim 1, is characterized in that, described three phase mains rectifier also comprises busbar voltage sample circuit, and described busbar voltage sample circuit comprises:
Resistance R 13, the first end of described resistance R 13 is connected with the anode of described capacitance group;
Resistance R 14, the first end of described resistance R 14 is connected with the second end of described resistance R 13, and the second end of described resistance R 14 is connected with the negative electrode of described capacitance group, and wherein, the first end of described resistance R 14 is connected with the described voltage input end of described processor.
7. according to the three phase mains rectifier described in claim 1 to 6 any one, it is characterized in that, described three-phase PWM rectification circuit is Intelligent Power Module.
8. a three phase mains frequency converter, is characterized in that, comprising:
Inverter; And
Three phase mains rectifier described in claim 1 to 7 any one, the two ends of the capacitance group of described three phase mains rectifier are connected with described inverter.
CN201320719280.2U2013-11-142013-11-14Three-phase power rectifier and three-phase power converterExpired - LifetimeCN203537255U (en)

Priority Applications (1)

Application NumberPriority DateFiling DateTitle
CN201320719280.2UCN203537255U (en)2013-11-142013-11-14Three-phase power rectifier and three-phase power converter

Applications Claiming Priority (1)

Application NumberPriority DateFiling DateTitle
CN201320719280.2UCN203537255U (en)2013-11-142013-11-14Three-phase power rectifier and three-phase power converter

Publications (1)

Publication NumberPublication Date
CN203537255Utrue CN203537255U (en)2014-04-09

Family

ID=50423426

Family Applications (1)

Application NumberTitlePriority DateFiling Date
CN201320719280.2UExpired - LifetimeCN203537255U (en)2013-11-142013-11-14Three-phase power rectifier and three-phase power converter

Country Status (1)

CountryLink
CN (1)CN203537255U (en)

Cited By (4)

* Cited by examiner, † Cited by third party
Publication numberPriority datePublication dateAssigneeTitle
CN104638952A (en)*2013-11-142015-05-20珠海格力电器股份有限公司Three-phase power supply rectifier, control method thereof and three-phase power supply frequency converter
TWI578687B (en)*2015-10-132017-04-11國立清華大學Three-phase inverting apparatus and control method and paralleled power conversion system thereof
CN107754567A (en)*2017-10-272018-03-06重庆市机电设计研究院The collaborative work circuit and method of work of organic exhaust gas are handled by producing microbubble
CN108075670A (en)*2016-11-142018-05-25青岛海尔智能技术研发有限公司For the power supply change-over device and its control method of transducer air conditioning

Cited By (6)

* Cited by examiner, † Cited by third party
Publication numberPriority datePublication dateAssigneeTitle
CN104638952A (en)*2013-11-142015-05-20珠海格力电器股份有限公司Three-phase power supply rectifier, control method thereof and three-phase power supply frequency converter
TWI578687B (en)*2015-10-132017-04-11國立清華大學Three-phase inverting apparatus and control method and paralleled power conversion system thereof
US9680397B2 (en)2015-10-132017-06-13National Tsing Hua UniversityThree-phase inverting apparatus and control method and paralleled power conversion system thereof
CN108075670A (en)*2016-11-142018-05-25青岛海尔智能技术研发有限公司For the power supply change-over device and its control method of transducer air conditioning
CN107754567A (en)*2017-10-272018-03-06重庆市机电设计研究院The collaborative work circuit and method of work of organic exhaust gas are handled by producing microbubble
CN107754567B (en)*2017-10-272019-10-01重庆市机电设计研究院The collaborative work circuit and working method of organic exhaust gas are handled by generating microbubble

Similar Documents

PublicationPublication DateTitle
Erickson et al.Fundamentals of power electronics
US8503204B2 (en)Power converter circuit
CN104638952A (en)Three-phase power supply rectifier, control method thereof and three-phase power supply frequency converter
CN203537255U (en)Three-phase power rectifier and three-phase power converter
CN114448248B (en) Control circuit of coupled inductor interleaved four-switch buck-boost bidirectional converter
CN104113200A (en)Bridgeless APFC system used for variable frequency air conditioner and method for controlling the system
CN108075670A (en)For the power supply change-over device and its control method of transducer air conditioning
CN203387399U (en)Low-standby power consumption active power factor correction module
CN108768146A (en)Power inverter and its control circuit and control method
CN102324855A (en) Special power supply for AC adjustable power measurement and its control method
CN102684518B (en)High-frequency redundancy PWM (pulse-width modulation) rectifier device and method based on instantaneous current feedforward control
CN108696158A (en)The compensating control method of CRM Boost pfc converter input filter capacitor electric currents
CN105006967A (en)Double-integration indirect sliding mode controller of DC/DC converter and control method thereof
CN106851885A (en)Frequency-conversion microwave oven power control circuit and its closed loop control method
CN104113199A (en)Active PFC circuit and control method thereof
Dwivedi et al.Parametric variation analysis of CUK converter for constant voltage applications
CN103746551A (en)Current closed loop combined regulation system of bidirectional triple DC (direct current)-DC converter
CN203301359U (en)Active PFC circuit
CN202150804U (en)AC adjustable special-purpose power supply for electric power measuring
CN204190642U (en)Based on the load phase adjuster of current follow-up control
CN210111852U (en)Switching power supply voltage-reducing and voltage-boosting conversion circuit
CN209030117U (en) A single-phase sinusoidal inverter power system based on feedforward regulation
CN113890198A (en)Inductance coil charge-discharge source based on direct current voltage reduction and output current control
TWI296460B (en)High-performance power conditioner for clean energy with low input voltage
CN106026032A (en)Light-load soft shutdown circuit for Buck converter

Legal Events

DateCodeTitleDescription
C14Grant of patent or utility model
GR01Patent grant
CX01Expiry of patent term

Granted publication date:20140409

CX01Expiry of patent term

[8]ページ先頭

©2009-2025 Movatter.jp