Movatterモバイル変換


[0]ホーム

URL:


CN201984776U - Fault diagnosis instrument for dot matrix screen - Google Patents

Fault diagnosis instrument for dot matrix screen
Download PDF

Info

Publication number
CN201984776U
CN201984776UCN201020696703XUCN201020696703UCN201984776UCN 201984776 UCN201984776 UCN 201984776UCN 201020696703X UCN201020696703X UCN 201020696703XUCN 201020696703 UCN201020696703 UCN 201020696703UCN 201984776 UCN201984776 UCN 201984776U
Authority
CN
China
Prior art keywords
dot matrix
matrix screen
screen
dot
eeprom
Prior art date
Legal status (The legal status is an assumption and is not a legal conclusion. Google has not performed a legal analysis and makes no representation as to the accuracy of the status listed.)
Expired - Fee Related
Application number
CN201020696703XU
Other languages
Chinese (zh)
Inventor
翟任何
王占领
赵永强
Current Assignee (The listed assignees may be inaccurate. Google has not performed a legal analysis and makes no representation or warranty as to the accuracy of the list.)
Shaanxi University of Technology
Original Assignee
Shaanxi University of Technology
Priority date (The priority date is an assumption and is not a legal conclusion. Google has not performed a legal analysis and makes no representation as to the accuracy of the date listed.)
Filing date
Publication date
Application filed by Shaanxi University of TechnologyfiledCriticalShaanxi University of Technology
Priority to CN201020696703XUpriorityCriticalpatent/CN201984776U/en
Application grantedgrantedCritical
Publication of CN201984776UpublicationCriticalpatent/CN201984776U/en
Anticipated expirationlegal-statusCritical
Expired - Fee Relatedlegal-statusCriticalCurrent

Links

Images

Landscapes

Abstract

Translated fromChinese

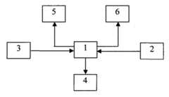
一种点阵屏故障诊断仪,用于在调试检修点阵屏时快速查找、清除其故障。它由1个单片机控制器(1)、1个EEPROM(2)、1个数据接口(3)、一个矩阵键盘(4)、一个液晶屏(5)、一个语音模块(6)组成。单片机控制器、EEPROM、数据接口和语音模块布置在电路板上,矩阵键盘和液晶屏在布置仪器面板上。在诊断点阵屏故障时,用户用数据线连接诊断仪和点阵屏,选择、输入点阵屏类型信息和后续操作的结果信息,诊断仪用液晶屏显示和语音提示两种方式指导用户操作,直至完全排除点阵屏的故障。本装置具有体积小、智能程度高、便于人机交互、诊断速度快和诊断准确率高等优点,适合于点阵屏用户和维修人员使用。

Figure 201020696703

A dot-matrix screen fault diagnosis instrument is used for quickly finding and clearing the faults of the dot-matrix screen during debugging and maintenance. It consists of a single chip controller (1), an EEPROM (2), a data interface (3), a matrix keyboard (4), a liquid crystal screen (5) and a voice module (6). The single-chip controller, EEPROM, data interface and voice module are arranged on the circuit board, and the matrix keyboard and LCD screen are arranged on the instrument panel. When diagnosing the dot matrix screen fault, the user connects the diagnostic instrument and the dot matrix screen with a data cable, selects and inputs the type information of the dot matrix screen and the result information of the subsequent operation, and the diagnostic instrument guides the user to operate in two ways: LCD display and voice prompts , until the failure of the dot matrix screen is completely eliminated. The device has the advantages of small size, high intelligence, convenient human-computer interaction, fast diagnosis speed and high diagnosis accuracy, and is suitable for dot matrix screen users and maintenance personnel.

Figure 201020696703

Description

Dot matrix screen failure diagnostic apparatus
1, affiliated technical field
The utility model relates to a kind of dot matrix screen failure diagnostic apparatus, and this device can call different diagnosis schemes automatically according to the dot matrix screen type and the failure message of user's input, by liquid crystal display and voice suggestion user operation, until finding, fixing a breakdown.This instrument has that volume is little, degree of intelligence is high, is convenient to man-machine interaction, diagnosis speed is fast and the accuracy rate of diagnosis advantages of higher, is suitable for dot matrix screen user and maintenance technician's diagnosis, gets rid of dot matrix screen fault.
2, background technology
Along with dot matrix shields use more and more general in advertising, the debugging and the maintenance work of dot matrix screen are also heavy day by day, and the user just can't diagnose, fix a breakdown if do not understand the principle of work of dot matrix screen.Can find failure cause rapidly and get rid of the problem that the dot matrix screen uses the user to pay close attention to by the simple operations of intelligent diagnostics instrument.
At present, only having in the dot matrix screen system by sending the particular diagnosis signal observes the output of dot matrix screen with the failure judgement point for the maintenance personal, the maintenance personal must have abundant debugging maintenance experience, and the identical reason that phenomenon of the failure produced is not quite similar, and wastes time and energy so search fault.In order to reduce the fault diagnosis difficulty of dot matrix screen, improve diagnosis speed, design a kind of dot matrix screen failure diagnostic apparatus.
3, summary of the invention
The utility model relates to a kind of dot matrix screen failure diagnostic apparatus, is used for dot matrix screen user or maintenance personal and carries out fault quick diagnosis and eliminating.
A kind of dot matrix screen failure diagnostic apparatus, form by 1 singlechip controller, 1 EEPROM, 1 data interface, 1 matrix keyboard, 1 liquid crystal display and 1 voice module, singlechip controller, EEPROM, data-interface and voice module are distributed on the circuit board, and matrix keyboard and liquid crystal display are on instrument panel.
Be built-in with dot matrix screen fault diagnosis expert system in the singlechip controller, type and diagnostic result according to the dot matrix screen call the dedicated system program, propose the fault related causes that produces and measure, the suggestion of fixing a breakdown.
Data-interface is used for being connected communication with dissimilar dot matrix screen; EEPROM stores the parameter of various dot matrix screens, is applicable to the data storage of different size dot matrix screen; Matrix keyboard carries out man-machine interaction for type and current diagnostic result that the user imports the dot matrix screen; Liquid crystal display is used to show various dot matrix screen types, possible diagnostic result and operation indication and user's input; Voice module is assisted the liquid crystal display displaying contents, with the mode reminder announced user of voice, is convenient in distance, uses when liquid crystal display is observed in inconvenience.
4, description of drawings
Fig. 1 dot matrix screen failure diagnostic apparatus system composition diagram.
Among Fig. 1, the 1st, singlechip controller, the 2nd, the EEPROM of storage different model dot matrix screen, the 3rd and the dot matrix screen transmit the interface of data, the 4th, for the matrix keyboard of user's input, the 5th, be used for the liquid crystal display of display reminding information, the 6th, voice module.More than 1,2,3,4 device arrangements on the equipment circuit plate, on the instrument panel on the equipment circuit plate.
5, embodiment
The utility model relates to a kind of dot matrix screen failure diagnostic apparatus, is made up of singlechip controller, EEPROM, data-interface, matrix keyboard, liquid crystal display, voice module.
When the user need diagnose the failure message of dot matrix screen appearance, directly the data-interface of the data-interface of failure diagnostic apparatus with the dot matrix screen linked to each other, show common dot matrix screen type on the liquid crystal display of failure diagnostic apparatus.The user is by the type that matrix keyboard is selected, diagnostic points battle array screen is treated in input, and singlechip controller calls dot matrix screen type, parameter corresponding among the EEPROM.The type selecting judgement is carried out in singlechip controller inside, and shows the possible cause that current dot matrix screen breaks down on liquid crystal display, plays displaying contents with voice module simultaneously.The user selects the type of fault once more by matrix keyboard, singlechip controller is selected the fault item, calls built-in expert system program, shows diagnostic message and running program on liquid crystal display, plays displaying contents with voice module simultaneously.The user carries out assigned operation according to prompting, and selects the result that occurs with matrix keyboard, and singlechip controller calls the expert system program once more according to current operating result, provides next step operational order and the result that may occur.So repeatedly, the user progressively carries out according to system prompt, and all faults up to getting rid of existing dot matrix screen make its operate as normal.

Claims (1)

1. a dot matrix shields failure diagnostic apparatus, it is characterized in that forming by 1 singlechip controller, 1 EEPROM, 1 data interface, 1 matrix keyboard, 1 liquid crystal display and 1 voice module, singlechip controller, EEPROM, data-interface and voice module are distributed on the circuit board, and matrix keyboard and liquid crystal display are on instrument panel.
CN201020696703XU2010-12-312010-12-31Fault diagnosis instrument for dot matrix screenExpired - Fee RelatedCN201984776U (en)

Priority Applications (1)

Application NumberPriority DateFiling DateTitle
CN201020696703XUCN201984776U (en)2010-12-312010-12-31Fault diagnosis instrument for dot matrix screen

Applications Claiming Priority (1)

Application NumberPriority DateFiling DateTitle
CN201020696703XUCN201984776U (en)2010-12-312010-12-31Fault diagnosis instrument for dot matrix screen

Publications (1)

Publication NumberPublication Date
CN201984776Utrue CN201984776U (en)2011-09-21

Family

ID=44612232

Family Applications (1)

Application NumberTitlePriority DateFiling Date
CN201020696703XUExpired - Fee RelatedCN201984776U (en)2010-12-312010-12-31Fault diagnosis instrument for dot matrix screen

Country Status (1)

CountryLink
CN (1)CN201984776U (en)

Similar Documents

PublicationPublication DateTitle
CN102262190B (en)Device and method for online discharge monitoring of ultrahigh voltage power transmission line
WO2012016004A3 (en)Handheld field maintenance tool with improved diagnostics
CN103832330A (en)Vehicle alarm device and method
CN102385378A (en)Offline-detection auxiliary apparatus for new energy automobiles
CN113325820A (en)Automobile body controller fault diagnosis system and diagnosis method
CN101876825B (en)Human-computer interface device of small PLC
CN106933403A (en)Spliced touch screen device and touch detection method of touch screen thereof
CN114326678A (en)Simulation detection system for robot power supply controller
CN201297940Y (en)Motor meter and diagnostic system thereof
CN101950476B (en)Multiway voltage signal monitoring device
CN201984776U (en)Fault diagnosis instrument for dot matrix screen
CN103309547A (en)Information display method and electronic equipment
WO2019114130A1 (en)Visual human-computer interaction vehicle battery swapping control system, and vehicle-mounted battery operating system
CN103176726B (en)Page touch control and terminal
CN203796426U (en)Diesel generator set controller with remote diagnosis function
CN102194037B (en)Ultrasonic diagnosis instrument and control method for displaying public area of user interface by using same
CN203025556U (en)Detection device for vehicle man-machine interface (MMI) terminal
JP2013245976A (en)Test system
CN104423718B (en)The infrared multi-point touch screen system of multi-mode operation
CN101123012A (en)Examination room seat random arrangement device
CN114967636A (en)Simulation detection method for robot power supply controller
CN202497140U (en)Multifunctional electrocardio diagnosis monitoring system
CN100375125C (en) A vehicle condition monitoring and fault diagnosis device
CN201408019Y (en)Display operating instrument of environment-friendly data acquisition instrument
CN201876715U (en)Practical motor monitoring device

Legal Events

DateCodeTitleDescription
C14Grant of patent or utility model
GR01Patent grant
C17Cessation of patent right
CF01Termination of patent right due to non-payment of annual fee

Granted publication date:20110921

Termination date:20111231


[8]ページ先頭

©2009-2025 Movatter.jp