
技术领域technical field
本实用新型涉及一种心电图机,具体涉及一种实现同步输出心电和心电向量的心电图机。The utility model relates to an electrocardiogram machine, in particular to an electrocardiogram machine capable of synchronously outputting electrocardiograms and electrocardiogram vectors.
背景技术Background technique
心电图指的是心脏在每个心动周期中,由起搏点、心房、心室相继兴奋,伴随着心电图生物电的变化,通过心电描记器从体表引出多种形式的电位变化的图形(简称ECG)。心电图是心脏兴奋的发生、传播及恢复过程的客观指标。心电向量图主要是依据心脏电激动的方向与大小在每一个瞬间是不同的,是记录心各瞬间产生的电激动在立体的方向及大小的一种特殊检查。能较真实地记录出心脏动作电流的立体图像,可用来阐明心电图产生的原理和解释心电图波形。Electrocardiogram means that the heart is excited successively by the pacemaker point, atrium, and ventricle in each cardiac cycle, accompanied by the change of bioelectricity in the electrocardiogram, and various forms of potential changes are drawn from the body surface through the electrocardiograph (referred to as ECG). The electrocardiogram is an objective indicator of the occurrence, propagation and recovery process of cardiac excitement. The ECG is mainly based on the fact that the direction and size of the electrical excitation of the heart are different at each moment. It is a special inspection that records the three-dimensional direction and size of the electrical excitation generated by the heart at each moment. It can more realistically record the three-dimensional image of the cardiac action current, which can be used to clarify the principle of the electrocardiogram and explain the electrocardiogram waveform.
常规的心电向量图是采用Frank导联正交校正导联体系中X,Y,Z三个正交导联来检查心电图,它是将心电向量环在人体X轴、Y轴和Z轴上的投影心电图,进行向量运算,获得空间的心电向量环。常规十二导联的心电图特异性较强,而Frank导联心电向量图灵敏度较高。它能够提供许多附加的心电信息,在表示导联间相位关系方面更加灵活,心电向量图标准解释了各向量环的外形,也揭示了幅度和持续时间的含义。因此将二者相结合可以有效的提高临床检测的精确性和有效性。The conventional ECG is to check the electrocardiogram by using the three orthogonal leads X, Y, and Z in the Frank lead orthogonal correction lead system to check the ECG. On the projected ECG, perform vector operations to obtain the spatial ECG vector ring. Conventional 12-lead ECG has strong specificity, while Frank-lead VECG has high sensitivity. It can provide a lot of additional ECG information, and it is more flexible in expressing the phase relationship between leads. The VECG standard explains the shape of each vector ring, and also reveals the meaning of amplitude and duration. Therefore, the combination of the two can effectively improve the accuracy and effectiveness of clinical testing.
但是心电图和心电向量图二者的导联体系不同,将常规十二导联心电图与Frank导联心电向量相结合,必须分别使用心电图机和心电向量图机,同时更换导联给临床带来了很多的不便。同时目前使用的同步心电信号图机,主要采用把常规十二导联的心电图和Frank导联的心电向量相结合同步显示心电图和心电向量图,这种检测装置,虽然能够实现检测的信号同步,但是相关性,导联方式复杂,繁复,操作不方便,而且价格昂贵,这些都阻碍了心电向量图在临床的广泛使用。However, the lead systems of ECG and VECG are different. To combine the conventional 12-lead ECG with the Frank lead ECG, it is necessary to use the ECG and VECG respectively, and at the same time replace the leads to the clinician. It has brought a lot of inconvenience. At the same time, the synchronous electrocardiogram machine currently used mainly adopts the combination of the conventional 12-lead electrocardiogram and the Frank lead electrocardiogram to synchronously display the electrocardiogram and the electrocardiogram vector diagram. Although this detection device can realize the detection The signal is synchronous, but the correlation, the lead way is complex and complicated, the operation is inconvenient, and the price is expensive, all of which hinder the widespread use of vector cardiogram in clinic.
实用新型内容Utility model content
针对现有技术中的不足之处,本实用新型提供了一种导联简单,操作方便,经济效益高的实现同步输出心电和心电向量的心电图机。Aiming at the deficiencies in the prior art, the utility model provides an electrocardiograph with simple lead, convenient operation and high economic benefit, which realizes synchronous output of electrocardiogram and electrocardiogram vector.
本实用新型提供的一种实现同步输出心电和心电向量的心电图机,包括Wilson十二导联方式的电极、放大滤波保护隔离电路、数模转换电路和嵌入式控制系统;所述Wilson十二导联方式的电极采集的电信号输入放大滤波保护隔离电路,放大滤波保护隔离电路的信号输出端连接数模转换电路,数模转换电路的信号输出端连接嵌入式控制系统。The utility model provides an electrocardiograph for synchronously outputting electrocardiogram and electrocardiogram vector, including electrodes in the Wilson twelve-lead mode, an amplification filter protection isolation circuit, a digital-to-analog conversion circuit and an embedded control system; the Wilson ten The electrical signal collected by the electrodes in the two-lead mode is input to the amplification filter protection isolation circuit, the signal output end of the amplification filter protection isolation circuit is connected to the digital-analog conversion circuit, and the signal output end of the digital-analog conversion circuit is connected to the embedded control system.
进一步,包括LCD显示器和打印机,所述嵌入式控制系统通过VGA接口与LCD显示器连接,所述嵌入式控制系统通过串口驱动电路与打印机连接。Further, it includes an LCD display and a printer, the embedded control system is connected to the LCD display through a VGA interface, and the embedded control system is connected to the printer through a serial port drive circuit.
本实用新型的有益效果:本实用新型采用常规的Wilson中心电端的十二导联将电极获取人体的电信号输入放大滤波保护隔离电路,导联方式简单,电极少;同步检测心电信号和心电向量信号无需切换,即降低了成本,而且在临床应用中操作简单、方便,同时降低了操作人员的操作专业性的要求和操作的失误性。Beneficial effects of the utility model: the utility model adopts the twelve leads of the conventional Wilson central electric terminal to input the electric signal of the human body into the amplifying filter protection isolation circuit obtained by the electrode, the lead mode is simple, and the electrodes are few; synchronous detection of the ECG signal and The electrocardiographic vector signal does not need to be switched, which reduces the cost, and is simple and convenient to operate in clinical applications, and at the same time reduces the operator's professional requirements and operational errors.
附图说明Description of drawings
图1为心电图机的结构示意图;Fig. 1 is the structural representation of electrocardiograph;
图2为推导反投影法的心电数据采集流程图。Figure 2 is a flow chart of ECG data collection for deriving the back projection method.
具体实施方式Detailed ways
下面结合附图和具体实施方式对本实用新型作进一步详细地说明。Below in conjunction with accompanying drawing and specific embodiment the utility model is described in further detail.
图1为心电图机的结构示意图,如图所示。一种实现同步输出心电和心电向量的心电图机,包括Wilson十二导联方式的电极、放大滤波保护隔离电路、数模转换电路、嵌入式控制系统、LCD显示器和打印机。Wilson十二导联方式的电极采集的电信号输入放大滤波保护隔离电路,放大滤波保护隔离电路的信号输出端连接数模转换电路,数模转换电路的信号输出端连接嵌入式控制系统,嵌入式控制系统通过VGA接口与LCD显示器连接,嵌入式控制系统通过串口驱动电路与打印机连接。Figure 1 is a schematic diagram of the structure of the electrocardiograph, as shown in the figure. An electrocardiograph capable of synchronously outputting electrocardiograms and electrocardiogram vectors, including electrodes in the form of Wilson twelve leads, amplifying and filtering protection isolation circuits, digital-to-analog conversion circuits, embedded control systems, LCD displays and printers. The electrical signal collected by the electrode of the Wilson twelve-lead mode is input into the amplification filter protection isolation circuit, the signal output terminal of the amplification filter protection isolation circuit is connected to the digital-to-analog conversion circuit, and the signal output terminal of the digital-to-analog conversion circuit is connected to the embedded control system. The control system is connected with the LCD display through the VGA interface, and the embedded control system is connected with the printer through the serial port drive circuit.
使用该实现同步输出心电和心电向量的心电图机时:When using this electrocardiograph that realizes synchronous output of ECG and ECG vector:
(1)、将电极(电极为金属镀银电极)吸附在人体的表面以获得人体的电信号,将通过Wilson十二导联方式的电极获取人体电信号输入心电信号采集装置(如图2所示),心电信号采集装置输出十二导联心电信号图Ⅰ、Ⅱ、Ⅲ、VR、VF、VL、Ⅴ胸1、Ⅴ胸2、Ⅴ胸3、Ⅴ胸4、Ⅴ胸5和Ⅴ胸6,其中,Ⅰ为心电标准Ⅰ导联信号,Ⅱ为心电标准Ⅱ导联信号,VR、VF和VL为单极肢体导联信号,Ⅴ胸1~胸6为心电单极胸导联信号;将通过frank导联方式的电极获取的人体电信号输入心电向量采集装置,心电向量采集装置输出X、Y、Z方向上的心电向量值分别为VX、VY、VZ;由于计算机的运算速度很高,输入到计算机中进行处理的心电信号和心电向量信号可以认为在人体上测得是同一时刻的信号,从而获得大量的一一对应的心电信号和心电向量信号数据,把获取的所有的数据构建一个数据库。(1) Adsorb the electrode (the electrode is a metal silver-plated electrode) on the surface of the human body to obtain the electrical signal of the human body, and input the electrical signal of the human body through the electrode of the Wilson 12-lead method into the ECG signal acquisition device (as shown in Figure 2 shown), the ECG signal acquisition device outputs twelve-lead ECG signal diagrams Ⅰ, Ⅱ, Ⅲ,VR , VF , VL , Ⅴchest 1 , Ⅴ chest2 , Ⅴchest 3 , Ⅴchest 4 , ⅤChest 5 and ⅤChest 6 , among them, Ⅰ is the standard lead Ⅰ signal of ECG, Ⅱ is the standard lead Ⅱ signal of ECG,VR , VF and VL are unipolar limb lead signals, and Ⅴchest 1~chest 6 is the electrocardiographic unipolar chest lead signal; the human body electrical signal obtained by the electrode of the frank lead mode is input into the electrocardiographic vector acquisition device, and the electrocardiographic vector acquisition device outputs the electrocardiographic vector values in the X, Y, and Z directions respectively VX , VY , VZ ; due to the high computing speed of the computer, the ECG signal and the ECG vector signal input to the computer for processing can be considered as signals measured at the same time on the human body, thus obtaining a large number of One-to-one correspondence of ECG signal and ECG vector signal data, constructing a database of all the acquired data.
(2)、将上述参量带入如下多元线性回归数学模型:(2) Bring the above parameters into the following multiple linear regression mathematical model:
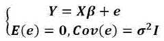
上式中,为P个因变量的n次观测数据阵,为m-1个自变量的已知设计的矩阵,且r(X)=m,为未知的回归系数矩阵,为随机误差矩阵,为系统的方差,I为单位矩阵;In the above formula, is the n-time observation data array of P dependent variables, is a matrix of known designs with m-1 independent variables, and r(X)=m, is the unknown regression coefficient matrix, is the random error matrix, is the variance of the system, I is the identity matrix;
运用Math Works公司的MATLAB软件将1.1)所述建立的数据库的数据执行上述的多元线性回归数学模型的计算式,得到心电向量图和心电图的多元线性回归关系矩阵:Use the MATLAB software of Math Works Company to carry out the calculation formula of the above-mentioned multiple linear regression mathematical model with the data of the database established as described in 1.1), and obtain the multiple linear regression relationship matrix of the electrocardiogram vector diagram and the electrocardiogram:
求出反投影矩阵:Find the backprojection matrix:
上述中:表示从心电图信号到心电向量的回归矩阵,表示与心电向量在同一时刻的心电图信号。Among the above: Represents the regression matrix from ECG signal to ECG vector, Indicates the ECG signal at the same moment as the ECG vector.
(3)将通过Wilson十二导联方式的电极获取的人体电信号输入到放大滤波保护隔离电路进行电信号滤波放大处理,滤波放大的信号经数模转换电路转化为数字信号后输入到嵌入式控制系统中进行进一步处理,最终实现输心电图的输出。(3) Input the human body electrical signal obtained by the Wilson twelve-lead electrode to the amplification filter protection isolation circuit for electrical signal filtering and amplification processing, and the filtered and amplified signal is converted into a digital signal by a digital-to-analog conversion circuit and then input to the embedded Further processing is carried out in the control system, and the output of the electrocardiogram is finally realized.
(4)同时由嵌入式控制系统对(3)中最终实现的输出的心电图执行下列反投影计算:(4) Simultaneously, the embedded control system performs the following back projection calculation on the ECG output finally realized in (3):
,进而得到了与(3)所述最终实现的心电图在同一时刻的心电向量图。进一步将(3)所述的心电图与(4)所述的心电向量图通过VGA接口同步输入LCD显示器,由LCD显示器显示;或者将(3)所述的心电图与(4)所述的心电向量图通过串口驱动电路同步输入打印机,由打印机打印输出结果。 , and then obtain the ECG vector diagram at the same time as the final ECG described in (3). Further, the electrocardiogram described in (3) and the vector electrocardiogram described in (4) are synchronously input to the LCD display through the VGA interface, and displayed by the LCD display; or the electrocardiogram described in (3) and the cardiogram described in (4) The electric vector diagram is synchronously input to the printer through the serial port drive circuit, and the result is printed out by the printer.
本实施例中,放大滤波保护电路主要是保护采集电路的安全,防止对电极以及电子器件的破坏;滤除信号的干扰以及把信号放大到一定的范围内以适应数模转换电路的处理。In this embodiment, the amplification and filtering protection circuit mainly protects the safety of the acquisition circuit, prevents damage to electrodes and electronic devices; filters out signal interference and amplifies the signal to a certain range to adapt to the processing of the digital-to-analog conversion circuit.
最后说明的是,以上实施例仅用以说明本实用新型的技术方案而非限制,尽管参照较佳实施例对本实用新型进行了详细说明,本领域的普通技术人员应当理解,可以对本实用新型的技术方案进行修改或者等同替换,而不脱离本实用新型技术方案的宗旨和范围,其均应涵盖在本实用新型的权利要求范围当中。Finally, it is noted that the above embodiments are only used to illustrate the technical solutions of the present utility model without limitation. Although the utility model has been described in detail with reference to the preferred embodiments, those of ordinary skill in the art should understand that the utility model can be Modifications or equivalent replacements of the technical solutions without departing from the purpose and scope of the technical solutions of the utility model shall be covered by the claims of the utility model.
| Application Number | Priority Date | Filing Date | Title |
|---|---|---|---|
| CN 201120009841CN201912078U (en) | 2011-01-13 | 2011-01-13 | Electrocardiogram machine for synchronously outputting electrocardio and electrocardial vector |
| Application Number | Priority Date | Filing Date | Title |
|---|---|---|---|
| CN 201120009841CN201912078U (en) | 2011-01-13 | 2011-01-13 | Electrocardiogram machine for synchronously outputting electrocardio and electrocardial vector |
| Publication Number | Publication Date |
|---|---|
| CN201912078Utrue CN201912078U (en) | 2011-08-03 |
| Application Number | Title | Priority Date | Filing Date |
|---|---|---|---|
| CN 201120009841Expired - LifetimeCN201912078U (en) | 2011-01-13 | 2011-01-13 | Electrocardiogram machine for synchronously outputting electrocardio and electrocardial vector |
| Country | Link |
|---|---|
| CN (1) | CN201912078U (en) |
| Publication number | Priority date | Publication date | Assignee | Title |
|---|---|---|---|---|
| CN102028458A (en)* | 2011-01-13 | 2011-04-27 | 深圳市科曼医疗设备有限公司 | Method for synchronously outputting electrocardiogram and vectorcardiogram |
| CN109480827A (en)* | 2018-12-18 | 2019-03-19 | 武汉中旗生物医疗电子有限公司 | Vectorcardigram classification method and device |
| CN111543979A (en)* | 2020-05-13 | 2020-08-18 | 许祥林 | Method for outputting vector cardiogram through conventional leads |
| Publication number | Priority date | Publication date | Assignee | Title |
|---|---|---|---|---|
| CN102028458A (en)* | 2011-01-13 | 2011-04-27 | 深圳市科曼医疗设备有限公司 | Method for synchronously outputting electrocardiogram and vectorcardiogram |
| CN102028458B (en)* | 2011-01-13 | 2012-05-23 | 深圳市科曼医疗设备有限公司 | Method for synchronously outputting electrocardiogram and vectorcardiogram |
| CN109480827A (en)* | 2018-12-18 | 2019-03-19 | 武汉中旗生物医疗电子有限公司 | Vectorcardigram classification method and device |
| CN109480827B (en)* | 2018-12-18 | 2021-04-16 | 武汉中旗生物医疗电子有限公司 | Vector electrocardiogram classification method and device |
| CN111543979A (en)* | 2020-05-13 | 2020-08-18 | 许祥林 | Method for outputting vector cardiogram through conventional leads |
| CN111543979B (en)* | 2020-05-13 | 2024-02-06 | 许祥林 | A method for outputting electrocardiogram vector diagram with conventional leads |
| Publication | Publication Date | Title |
|---|---|---|
| CN103027675B (en) | Novel portable three-lead real-time wireless electrocardiogram monitoring system and analyzing method | |
| CN103479429B (en) | A kind of based on hear sounds and cardiac electrical heart overall checkout equipment | |
| CN105769173B (en) | A kind of cardioelectric monitor system with electrocardiosignal noise removal function | |
| CN101966080B (en) | Portable active electroencephalogram monitor and control method thereof | |
| JP2015536690A (en) | Real-time QRS period measurement in ECG | |
| EP0818016A1 (en) | Apparatus and method for monitoring activity of the human heart | |
| CN104382583B (en) | A kind of 18 harvester leading electrocardiosignal and methods thereof | |
| CN103371814A (en) | Remote wireless electrocardiograph monitoring system and feature extraction method on basis of intelligent diagnosis | |
| CN102028458B (en) | Method for synchronously outputting electrocardiogram and vectorcardiogram | |
| CN107456228A (en) | Wireless pressure electrocardio measuring device | |
| CN201912078U (en) | Electrocardiogram machine for synchronously outputting electrocardio and electrocardial vector | |
| TW201831138A (en) | Method and device for measuring blood pressure | |
| CN203138474U (en) | 18-lead ECG (electrocardiograph) workstation | |
| CN116350228A (en) | Electronic device, detection method and storage medium | |
| CN104188651B (en) | Electrocardiograph monitoring device and its control method | |
| WO2018018570A1 (en) | Device and method for measuring electrocardiogram | |
| CN109431493A (en) | Wearable body surface potential acquisition device and method based on range segment separating weighting algorithm | |
| CN110090013B (en) | Electrocardiosignal acquisition method and acquisition circuit based on navel reference electrode | |
| CN210931395U (en) | A dynamic electrocardiograph | |
| CN103876731A (en) | Extraction device and method for fetus electrocardiosignals | |
| CN203506868U (en) | Heart comprehensive detection equipment based on heart sounds and electrocardio | |
| CN107212863A (en) | Human heart bounce impact force detection system | |
| CN203828923U (en) | Electrocardiogram monitoring system based on wireless communication | |
| CN203138476U (en) | Electrocardiogram signal processing device | |
| CN106473735A (en) | A kind of electrocardio measures glove |
| Date | Code | Title | Description |
|---|---|---|---|
| C14 | Grant of patent or utility model | ||
| GR01 | Patent grant | ||
| CX01 | Expiry of patent term | ||
| CX01 | Expiry of patent term | Granted publication date:20110803 |