Movatterモバイル変換


[0]ホーム

URL:


CN201208249Y - Three-dimensional endoscopic measurement device based on grating projection - Google Patents

Three-dimensional endoscopic measurement device based on grating projection
Download PDF

Info

Publication number
CN201208249Y
CN201208249YCNU2008200580628UCN200820058062UCN201208249YCN 201208249 YCN201208249 YCN 201208249YCN U2008200580628 UCNU2008200580628 UCN U2008200580628UCN 200820058062 UCN200820058062 UCN 200820058062UCN 201208249 YCN201208249 YCN 201208249Y
Authority
CN
China
Prior art keywords
grating
dimensional
computer
image
type transmission
Prior art date
Legal status (The legal status is an assumption and is not a legal conclusion. Google has not performed a legal analysis and makes no representation as to the accuracy of the status listed.)
Expired - Fee Related
Application number
CNU2008200580628U
Other languages
Chinese (zh)
Inventor
周常河
王晓鑫
张军
谢金
贾伟
Current Assignee (The listed assignees may be inaccurate. Google has not performed a legal analysis and makes no representation or warranty as to the accuracy of the list.)
Shanghai Institute of Optics and Fine Mechanics of CAS
Original Assignee
Shanghai Institute of Optics and Fine Mechanics of CAS
Priority date (The priority date is an assumption and is not a legal conclusion. Google has not performed a legal analysis and makes no representation as to the accuracy of the date listed.)
Filing date
Publication date
Application filed by Shanghai Institute of Optics and Fine Mechanics of CASfiledCriticalShanghai Institute of Optics and Fine Mechanics of CAS
Priority to CNU2008200580628UpriorityCriticalpatent/CN201208249Y/en
Application grantedgrantedCritical
Publication of CN201208249YpublicationCriticalpatent/CN201208249Y/en
Anticipated expirationlegal-statusCritical
Expired - Fee Relatedlegal-statusCriticalCurrent

Links

Images

Landscapes

Abstract

Translated fromChinese

一种基于光栅投影的三维内窥测量装置,其特点在于由光纤导像束、振幅型透射光栅、准直透镜、半导体激光器光源、微型面阵CCD探测器、传输线、图像采集卡和计算机构成,所述的计算机具有相应的图像处理和三维形貌计算重构软件,各部件的连接关系是:所述的半导体激光器光源发出的激光依次经准直透镜、振幅型透射光栅和光纤导像束照射在待测物体表面,由微型面阵CCD探测器拍摄被待测物体表面三维形貌所调制的振幅型透射光栅的投影条纹后经传输线、图像采集卡进入计算机。本实用新型能够获得内窥对象的三维形貌信息,并具有测量速度快、测量精度较和方法简单的特点。

Figure 200820058062

A three-dimensional endoscopic measurement device based on grating projection is characterized in that it is composed of an optical fiber image guide bundle, an amplitude type transmission grating, a collimating lens, a semiconductor laser light source, a micro-array CCD detector, a transmission line, an image acquisition card and a computer. The computer has corresponding image processing and three-dimensional shape calculation and reconstruction software. The connection relationship of each component is as follows: the laser emitted by the semiconductor laser light source is sequentially irradiated on the surface of the object to be measured through the collimating lens, the amplitude type transmission grating and the optical fiber image guide bundle, and the projection stripes of the amplitude type transmission grating modulated by the three-dimensional shape of the surface of the object to be measured are photographed by the micro-array CCD detector and then enter the computer through the transmission line and the image acquisition card. The utility model can obtain the three-dimensional shape information of the endoscopic object, and has the characteristics of fast measurement speed, high measurement accuracy and simple method.

Figure 200820058062

Description

Based on the amount of spying out device in the three-dimensional of optical grating projection
Technical field
This patent relates to endoscope, and is particularly a kind of based on the amount of spying out device in the three-dimensional of optical grating projection.
Background technology
Endoscope is the bonded accurate Medical Instruments of a kind of ray machine electricity, is used to observe in-vivo tissue and structure, is that medical diagnosis, particularly Minimally Invasive Surgery provide the diagnostic message of science.From initial hard tube endoscope fibrescope and fujinon electronic video endoscope till now, the technical development of endoscope is ripe day by day.
Existing endoscope comprises fibrescope and fujinon electronic video endoscope.Endoscope generally is made up of illuminator and image capturing system.Illuminator mainly is that the illumination light that light source (commonly used as the halogen cold light source) produces is conducted in the body, for tissue to be observed is provided as the picture illumination.The non-structured light source lighting of the many employings of existing illuminator, illumination light field itself can not be carried any encoding information.Image capturing system then is to gather tissue image by optical fiber image guide bundles or CCD, obtains the two-dimensional image information of tested tissue.
The message reflection that this endoscopic picture comprised the two dimensional surface information of tested tissue, Flame Image Process work concentrates on the quality (for example definition and coloured image) that improves existing plane picture and eliminates because the various aberrations of system's generation.The J.F.Rey etc. of France carries out graphical analysis and processing in the computer [referring to technology 1:J.F.Rey formerly with the video signal collective of endoscope's output, etc, al., Electronic Video Endoscopy:Preliminary Resultsof Imaging Modification, Endoscopy, Vol.20,1988:8-10].Gondola S.Guadagni etc. are core with fujinon electronic video endoscope and one 386 computer, fujinon electronic video endoscope Flame Image Process, analytical system have been developed [referring to technology 2:S.Guadagni formerly, etc, al., Imaging in Digestive Videoendoscopy, SPIE, Optic Fibersin Medicine, Vol.1420,1991:178-182].Recently, the appearance of miniature CCD has improved the information quality that plane picture comprised greatly.Good condition has been created in the medical diagnosis that develops into of these technology.
But, existing endoscopic system is because the information that light field comprised is considerably less, can only obtain the planar information of tested tissue, and lose the three-dimensional appearance information of inclusion bulk phase to the degree of depth and lateral dimension, losing to science diagnosis and medical research of this information caused very big restriction.The method that overcomes this shortcoming is to adopt the optical three-dimensional measurement technology, and this technology can effectively combine with the based endoscopic imaging technology, and the 3 d shape of measurement target distributes, and Three-dimension Target pattern information is provided.
Optical 3-dimensional topography measurement technology is the sophisticated measuring technique of a class, is widely used in various fields of measurement, has the precision height, speed is fast and advantage such as untouchable measurement.Wherein a kind of optical 3-dimensional topography measurement technology adopts active optics three-dimensional measurement principle, make illumination light field structureization (point, line, grating fringe etc.), utilize the Structured Illumination testee, the testee three-dimensional surface is modulated the structured light of illumination, makes light field carry the three-dimensional appearance information on testee surface.Take the image of modulated structure light field again by CCD, machine is handled as calculated, by the three-dimensional appearance restructing algorithm, obtains the three-dimensional appearance information of measured target.Especially, utilize the Fourier transform technology of profiling (FTP) of grating fringe as structured light, propose [referring to technology 3:TakedaMitsuo formerly in nineteen eighty-three by people such as Takeda, Mutoh Kazuhiro, " Fourier transform profilometry for the automaticmeasurement of 3-D object shapes ", Applied Optics, Vol.22, Issue.24,1983].This method as the structure light source, by image intensity being distributed image and demodulates information algorithm process such as carrying out Fourier transform, filtering, inverse fourier transform, position phase demodulation, obtains the three-dimensional appearance information of measurement target with the grating fringe light field.
Peep three-dimension measuring system in existing and adopt the laser elevation scanning technique.But, the control structure complexity of this laser scanning system, required time is longer, and embodiment is loaded down with trivial details, and technology is still immature.
Summary of the invention
This utility model will solve the deficiencies such as the problem of losing of above-mentioned prior art endoscope output image three-dimensional information, provide a kind of based on the amount of spying out device in the three-dimensional of optical grating projection, peeping the three-dimensional appearance information of object in obtaining, and have that measuring speed is fast, certainty of measurement and the method characteristic of simple.
Technical solution of the present utility model is as follows:
A kind of based on the amount of spying out device in the three-dimensional of optical grating projection, its characteristics are by the optical fiber image guide bundles, vibration amplitude type transmission grating, collimating lens, the semiconductor laser light source, miniature area array CCD detector, transmission line, image pick-up card and computer constitute, described computer has corresponding Flame Image Process and three-dimensional appearance calculates reconstruction software, the annexation of each parts is: the laser that described semiconductor laser light source sends is successively through collimating lens, vibration amplitude type transmission grating and optical fiber image guide bundles are radiated at the object under test surface, by miniature area array CCD detector take by the object under test three-dimensional surface shape the projected fringe of synthetic vibration amplitude type transmission grating after transmission line, image pick-up card enters computer.
Technique effect of the present utility model:
The method and apparatus of the amount of spying out in this utility model is applied to the Fourier transform technology of profiling solves technical problems such as sweep unit complexity, the control accuracy requirement is high, Measuring Time is long.The 3 d shape that this measuring method only needs the optical grating projection image of a frame deformation just can calculate object distributes.Compare existing endoscopic system, peep the three-dimensional appearance information of object in it can obtain, and have that measuring speed is fast, certainty of measurement and the method characteristic of simple.
Description of drawings
Fig. 1 is that this utility model adopts the amount of spying out schematic representation of apparatus in the three-dimensional of vibration amplitude type transmission grating projection.
Fig. 2 is the principle schematic of the Fourier transform technology of profiling that adopts of this utility model.
The specific embodiment
The utility model is described in further detail below in conjunction with drawings and Examples.
See also Fig. 1 earlier, Fig. 1 is that this utility model is based on the amount of spying out schematic representation of apparatus in the three-dimensional of optical grating projection.It also is the structural representation of this utility model embodiment.As seen from the figure, this utility model is based on the amount of spying out device in the three-dimensional of optical grating projection, by optical fiber image guide bundles 2, vibration amplitudetype transmission grating 3, collimating lens 4, semiconductor laser light source 5, miniature areaarray CCD detector 6, transmission line 7, image pick-up card 8 and computer 9 constitute, the annexation of each parts is: the laser that described semiconductor laser light source 5 sends is successively through collimating lens 4, vibration amplitudetype transmission grating 3 and optical fiber image guide bundles 2 are radiated at the object under test surface, by miniature areaarray CCD detector 6 take by the object under test three-dimensional surface shape the projected fringe of synthetic vibration amplitude type transmission grating after transmission line 7, image pick-up card 8 enters computer 9, and described computer 9 has corresponding Flame Image Process and three-dimensional appearance calculates reconstruction software.The end face zoomed-in view of 1 expression optical fiber image guide bundles 2 and miniature areaarray CCD detector 6 among the figure.
The related measuring principle of this utility model is that the basic physical principle of Fourier transform technology of profiling is as follows:
See also Fig. 2, Fig. 2 is the principle schematic of the Fourier transform technology of profiling that adopts of this utility model.Light channel structure as shown in Figure 2.The P1P2 presentation video is gathered the optical axis of light path, and L1L2 represents the optical axis of optical grating projection light path.Reference plane are imaginary planes, as to be measured witness mark.(x y) is illustrated in the height of object under test surface D point with respect to reference plane to h, and the d presentation video is gathered the entrance pupil center of light path and the distance between the optical grating projection light path light axis, and after system structure was determined, d was a known quantity.L0 represents the distance of optical grating projection light path entrance pupil and reference plane, is similarly known quantity in system.
On reference plane, promptly h (x, y)=0 o'clock, stripe pattern is initial optical grating projection, does not have deformation, its optical field distribution can be expressed as:
Figure Y200820058062D00051
When grating fringe projects to surface to be measured, the height distribution h on surface to be measured (x y) ≠ 0, obtains the stripe pattern of deformation, and its optical field distribution can be expressed as:
Figure Y200820058062D00052
Wherein, r0(x, y), (x y) represents the surface reflectivity heterogeneous of above-mentioned two kinds of situations respectively, A to rnThe weight factor of representing fourier series at different levels,
Figure Y200820058062D00053
With
Figure Y200820058062D00054
Expression stripe pattern non-modulated distributes f mutually with position under two kinds of situations of ovennodulation0The fundamental frequency of expression projection grating striped.
(1) formula is made one dimensional fourier transform along the x axle obtain fourier spectrum, select suitable filter function (filter function commonly used has rectangular window function) that the frequency spectrum that obtains is carried out filtering, remake inverse fourier transform after extracting its fundamental component, can obtain the complex signal of the stripe pattern of reference plane non-modulated:
g^0(x,y)=A1r0(x,y)exp(i2πf0x+φ0(x,y))---(3)
(2) formula is carried out same processing, obtains the complex signal of deformation stripe pattern:
g^(x,y)=A1r(x,y)exp(i2πf0x+φ(x,y))---(4)
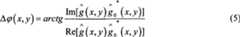
The result that (3) and (4) formula relatively, institute's object dimensional pattern of surveying are modulated the projection grating striped causes variation having taken place mutually in the complex exponential item, and size is
Figure Y200820058062D00063
On the other hand, in Fig. 2, can get by geometrical relationship:
Figure Y200820058062D00064
AC/d=h/(L0-h) (7)
Calculate by (6), (7) formula, height h to be measured (x, y) and phase differenceBetween relation:
Figure Y200820058062D00066
In concrete measuring process, from reference raster image and deformation modulated grating image, calculate phase difference by (5) formula, the three-dimensional appearance that (8) formula of bringing into then obtains the object of surveying distributes.
The vibration amplitude type transmission grating that embodiment of the present utility model adopted is to be 100 μ m in the cycle, aperture efficiency is the chromium optical grating mold plate of 1:1, the illumination light of described semiconductor laser 5 outputs can be modulated into the structured light of grating fringe shape, from information-theoretical angle, promptly produced the projected light of carrying encoding information.Optical fiber image guide bundles 2 transmits, projects to the object under test surface with the structured light that the chromium grating produces.Miniature areaarray CCD detector 6 has a small angle with the optical axis of optical fiber image guide bundles 2, and this miniature areaarray CCD detector 6 is by computer 9 controls, with the situation of change of real-time monitoring projected fringe.
Gather the striped distribution pattern on the reference plane.Before the Measuring Object three-dimensional appearance, at first utilize miniature areaarray CCD detector 6 and image pick-up card 8 to gather a width of cloth reference plane and (highly be distributed as h (x, y)=0 the grating fringe image), be stored in the computer 9 as basic reference data, so that calculate relative phase difference, the relative altitude of extracting plane to be measured and reference plane distributes.In order to extract three-dimensional appearance information reliably, the distance of set reference plane and miniature areaarray CCD detector 6 is roughly suitable with the distance of object under test and miniature areaarray CCD detector 6.
Gather the deformation grating fringe distributed image on the measurement target.The miniature areaarray CCD detector 6 of peeping three-dimensional measuring apparatus in shown in Figure 1 is aimed on the measurand, adjust the position, make object to be measured blur-free imaging on miniature areaarray CCD detector 6, collection is subjected to target three-dimensional appearance modulation to be measured and produces the grating fringe image of deformation, is stored in the Flame Image Process for the treatment of next step in the computer 9.
Calculate two width of cloth image bit and differ, the Three-dimension Target pattern is surveyed in reconstruct.Synthetic grating fringe image and reference plane stripe pattern are carried out Flame Image Process.In order to improve the speed of measurement, the processing of reference plane stripe pattern can be handled in advance.Image to miniature areaarray CCD detector 6 is taken carries out necessary image processing, to improve the contrast of image, reduces picture noise, carries out Fourier transform, fundamental frequency filtering, inverse fourier transform then, and the result who handles is stored in the computer 9.The deformation stripe pattern of the target modulation of surveying is through same Flame Image Process and analysis, and the result that will handle brings following formula into the result of the plane of reference stripe pattern of being stored and calculates again:
Figure Y200820058062D00071
Obtain the relative phase difference of two width of cloth images.Because the arc-tangent value of COMPUTER CALCULATION is positioned at [π, π], so the phase para-position distributes mutually and has discontinuous transition, therefore need carry out phase unwrapping to the phase difference that calculates.Utilize (8) formula at last, reconstruct the Three-dimension Target topographic profile of surveying.
Experiment shows, this utility model is based on the amount of spying out apparatus and method in the three-dimensional of optical grating projection, and it is fast to have a measuring speed, implementation method is simple, and higher advantages such as certainty of measurement are arranged, by the computer fast processing, can the high speed dynamic monitoring, have important practical value and application prospect.

Claims (1)

1, a kind of based on the amount of spying out device in the three-dimensional of optical grating projection, it is characterized in that by optical fiber image guide bundles (2), vibration amplitude type transmission grating (3), collimating lens (4), semiconductor laser light source (5), miniature area array CCD detector (6), transmission line (7), image pick-up card (8) and computer (9) constitute, the annexation of each parts is: the laser that described semiconductor laser light source (5) sends is successively through collimating lens (4), vibration amplitude type transmission grating (3) and optical fiber image guide bundles (2) are radiated at the object under test surface, by miniature area array CCD detector (6) take by the object under test three-dimensional surface shape the projected fringe of synthetic vibration amplitude type transmission grating after transmission line (7), image pick-up card (8) enters computer (9), and described computer (9) has corresponding Flame Image Process and three-dimensional appearance calculates reconstruction software.
CNU2008200580628U2008-05-062008-05-06 Three-dimensional endoscopic measurement device based on grating projectionExpired - Fee RelatedCN201208249Y (en)

Priority Applications (1)

Application NumberPriority DateFiling DateTitle
CNU2008200580628UCN201208249Y (en)2008-05-062008-05-06 Three-dimensional endoscopic measurement device based on grating projection

Applications Claiming Priority (1)

Application NumberPriority DateFiling DateTitle
CNU2008200580628UCN201208249Y (en)2008-05-062008-05-06 Three-dimensional endoscopic measurement device based on grating projection

Publications (1)

Publication NumberPublication Date
CN201208249Ytrue CN201208249Y (en)2009-03-18

Family

ID=40478972

Family Applications (1)

Application NumberTitlePriority DateFiling Date
CNU2008200580628UExpired - Fee RelatedCN201208249Y (en)2008-05-062008-05-06 Three-dimensional endoscopic measurement device based on grating projection

Country Status (1)

CountryLink
CN (1)CN201208249Y (en)

Cited By (1)

* Cited by examiner, † Cited by third party
Publication numberPriority datePublication dateAssigneeTitle
CN103513329A (en)*2012-06-282014-01-15耿征Structured light generation device, structured light processing method and miniature three-dimensional imaging device

Cited By (1)

* Cited by examiner, † Cited by third party
Publication numberPriority datePublication dateAssigneeTitle
CN103513329A (en)*2012-06-282014-01-15耿征Structured light generation device, structured light processing method and miniature three-dimensional imaging device

Similar Documents

PublicationPublication DateTitle
CN101264002A (en) Three-dimensional endoscopic measurement device and method based on grating projection
US12166953B2 (en)Optical imaging system and methods thereof
CN101305899A (en) Three-dimensional endoscopic measurement device and method based on amplitude-type transmission grating projection
US9983065B2 (en)Method and apparatus for analyzing images
US9706929B2 (en)Method and apparatus for imaging tissue topography
US9314150B2 (en)System and method for detecting tooth cracks via surface contour imaging
EP3401876B2 (en)Detection of a movable object when 3d scanning a rigid object
CN103959040B (en)Optical coherence tomography system is attached on smart mobile phone
CN101288105A (en) Method and system for object reproduction
CN105358092A (en) Video-Based Automated Acquisition for Dental Surface Imaging Devices
CN106455978A (en) Diagnostic device for dermatology with combined OCT and epidermal luminescence dermoscopy
JP5847454B2 (en) Subject information acquisition apparatus, display control method, and program
CN201208249Y (en) Three-dimensional endoscopic measurement device based on grating projection
Long et al.A marching cubes algorithm: application for three-dimensional surface reconstruction based on endoscope and optical fiber
CN201234971Y (en) Three-dimensional endoscopic measurement device based on amplitude-type transmission grating projection
CN109313016A (en) Intraoral 3D Scanner Using Fluid Segmentation
Wu et al.Optical imaging for medical diagnosis based on active stereo vision and motion tracking
Decker et al.Performance evaluation and clinical applications of 3D plenoptic cameras
Visentini-Scarzanella et al.Tissue shape acquisition with a hybrid structured light and photometric stereo endoscopic system
Ricci et al.High-resolution laser radar for 3D imaging in artwork cataloging, reproduction, and restoration
ArshadRole of 3d Scanning In Visible Surgical Swellings
Zhou et al.A three-dimensional measurement method for medical electric endoscope
RU2522840C1 (en)Electronic space scanning method
PalamoniSkin lesion monitoring and reconstruction using computational methods and monte carlo simulations in biomedical optics
JP6400068B2 (en) Information processing apparatus and information processing method

Legal Events

DateCodeTitleDescription
C14Grant of patent or utility model
GR01Patent grant
C17Cessation of patent right
CF01Termination of patent right due to non-payment of annual fee

Granted publication date:20090318

Termination date:20100506


[8]ページ先頭

©2009-2025 Movatter.jp