

技术领域technical field
本发明涉及无线通信技术领域,具体是涉及无线通信系统中的干扰检测方法及实现干扰检测的装置。 The invention relates to the technical field of wireless communication, in particular to an interference detection method in a wireless communication system and a device for realizing interference detection. the
背景技术Background technique
在无线通信网络建设中,由于无线信道的开放性,在现实中存在各种无线通信设备,这些无线通信设备不可避免地会在无线通信网络中引入空间干扰。众所周知,干扰问题会对业务造成不良后果。在现在的网络中,大量的干扰都是周期性的时分干扰,比如,目前常见的诸如个人便携电话系统(PHS,Personal Handle Phone System)和雷达信号之类的干扰都属于周期性干扰。当然也会有其他类型的干扰。这些干扰会严重影响无线通信。因此,需要及时发现干扰的存在以及干扰的特征,以便进行干扰清除处理。由此可以看出,发现干扰的存在,以及判断干扰的类型是很重要的问题。目前通常可采用的干扰检测方法是幅度检测方法,该方法主要是在确定接收信号超过一定的幅度后,即确认存在干扰。但幅度检测方法很不细致,只能粗略地区分出干扰信号。因此,该检测方法也就只能粗略地区分出周期性干扰。而由于该检测方法只能粗略地区分出周期性干扰,因此,即使能够确定周期性干扰的类型,也无法细致、准确地检测出周期性干扰及其类别。综上所述,目前还没有一种干扰检测方案能够细致、准确地检测出周期性干扰及其类别。 In the construction of wireless communication networks, due to the openness of wireless channels, there are various wireless communication devices in reality, and these wireless communication devices will inevitably introduce spatial interference into the wireless communication network. Interference issues are well known to have adverse consequences for business. In the current network, a large amount of interference is periodic time-division interference. For example, common interference such as Personal Handle Phone System (PHS, Personal Handle Phone System) and radar signals are periodic interference. Of course there are other types of distractions as well. These interferences can seriously affect wireless communications. Therefore, it is necessary to discover the existence and characteristics of interference in time, so as to perform interference removal processing. It can be seen from this that it is very important to find the existence of interference and determine the type of interference. The commonly used interference detection method at present is the amplitude detection method, which is mainly to confirm the existence of interference after it is determined that the received signal exceeds a certain amplitude. However, the amplitude detection method is very imprecise and can only roughly distinguish the interference signal. Therefore, this detection method can only roughly distinguish periodic interference. However, since this detection method can only roughly distinguish the periodic interference, even if the type of the periodic interference can be determined, it cannot detect the periodic interference and its type meticulously and accurately. To sum up, there is currently no interference detection scheme that can detect periodic interference and its types meticulously and accurately. the
发明内容Contents of the invention
本发明一实施例要解决的主要问题在于提供一种干扰检测方法,以确定周期性干扰的存在,并确定干扰的类型。本发明另一实施例还提供了一种实现干扰检测的装置。 The main problem to be solved by an embodiment of the present invention is to provide an interference detection method to determine the existence of periodic interference and determine the type of interference. Another embodiment of the present invention also provides a device for realizing interference detection. the
本发明一实施例的一种干扰检测方法,该方法包括以下步骤:根据接收信号获取所述接收信号的短时功率,并获得由所述接收信号的短时功率组成的接收信号短时功率序列,其中所述短时功率的时长小于干扰信号的干扰周 期的一半或者小于干扰信号的最小粒度的一半;根据所述获取的短时功率序列确定待检测序列;利用预设的干扰相关序列对所述待检测序列进行相关性检测,得到检测结果序列,其中所述预设的干扰相关序列根据干扰信号的干扰周期确定,且所述干扰相关序列中有干扰的周期对应的数值为1,无干扰的周期对应的数值为0;通过对所述检测结果序列中的值与预设的阈值范围进行比较,确定所述接收信号是否存在所述干扰相关序列对应的时分干扰。 An interference detection method according to an embodiment of the present invention, the method includes the following steps: acquiring the short-term power of the received signal according to the received signal, and obtaining a short-term power sequence of the received signal composed of the short-term power of the received signal , wherein the duration of the short-term power is less than half of the interference period of the interference signal or less than half of the minimum granularity of the interference signal; the sequence to be detected is determined according to the obtained short-term power sequence; the preset interference-related sequence is used to Perform correlation detection on the sequence to be detected to obtain a detection result sequence, wherein the preset interference correlation sequence is determined according to the interference period of the interference signal, and the value corresponding to the period with interference in the interference correlation sequence is 1, and there is no The value corresponding to the period of interference is 0; by comparing the value in the detection result sequence with a preset threshold range, it is determined whether there is time-division interference corresponding to the interference-related sequence in the received signal. the
本发明实施例的一种实现干扰检测的装置,所述装置包括:短时功率获取模块及干扰检测模块,其中,所述短时功率获取模块,用于根据接收信号获取所述接收信号的短时功率,将所述接收信号的短时功率组成的序列作为短时功率序列,以及将所述短时功率序列发送给干扰检测模块,其中所述短时功率的时长小于干扰信号的干扰周期的一半或者小于干扰信号的最小粒度的一半;所述干扰检测模块,用于根据收到的所述短时功率序列确定待检测序列,利用预设的干扰相关序列对所述待检测序列进行相关性检测,得到检测结果序列,以及通过对得到的所述检测结果序列中的值与预设的阈值范围进行比较,确定所述接收信号是否存在所述干扰相关序列对应的时分干扰,其中所述预设的干扰相关序列根据干扰信号的干扰周期确定,且所述干扰相关序列中有干扰的周期对应的数值为1,无干扰的周期对应的数值为0。 A device for implementing interference detection according to an embodiment of the present invention, the device includes: a short-term power acquisition module and an interference detection module, wherein the short-term power acquisition module is used to obtain the short-term power of the received signal according to the received signal Time power, using the short-time power sequence of the received signal as a short-time power sequence, and sending the short-time power sequence to the interference detection module, wherein the duration of the short-time power is less than the interference period of the interference signal Half or less than half of the minimum granularity of the interference signal; the interference detection module is used to determine the sequence to be detected according to the received short-term power sequence, and use the preset interference correlation sequence to correlate the sequence to be detected Detecting, obtaining a detection result sequence, and comparing the obtained values in the detection result sequence with a preset threshold range to determine whether there is time-division interference corresponding to the interference-related sequence in the received signal, wherein the predetermined It is assumed that the interference correlation sequence is determined according to the interference period of the interference signal, and the value corresponding to the period with interference in the interference correlation sequence is 1, and the value corresponding to the period without interference is 0. the
本发明实施例通过获取接收信号的短时功率序列,并确定相应的待检测序列,之后利用预设的干扰相关序列对待检测序列进行相关性检测,以及通过对检测得到的每个值与预设的阈值范围的比较,确定接收信号是否存在干扰相关序列对应的时分干扰,从而实现了对时分干扰的检测,即能够细致、准确地检测出周期性干扰,并能获得干扰的干扰特性,进而可以减少误触发。 In the embodiment of the present invention, by obtaining the short-term power sequence of the received signal, and determining the corresponding sequence to be detected, and then using the preset interference correlation sequence to perform correlation detection on the sequence to be detected, and by comparing each value obtained by detection with the preset Comparing the threshold range of the received signal to determine whether there is time-division interference corresponding to the interference-related sequence in the received signal, thereby realizing the detection of time-division interference, that is, the periodic interference can be detected meticulously and accurately, and the interference characteristics of the interference can be obtained. Reduce false triggers. the
附图说明Description of drawings
图1为本发明方法实施例的实现流程图; Fig. 1 is the realization flowchart of the method embodiment of the present invention;
图2为本发明一装置实施例的结构图; Fig. 2 is the structural diagram of a device embodiment of the present invention;
图3为本发明又一装置实施例的结构图。 Fig. 3 is a structural diagram of another device embodiment of the present invention. the
具体实施方式Detailed ways
下面结合附图对本发明实施例做进一步详细的描述。 Embodiments of the present invention will be described in further detail below in conjunction with the accompanying drawings. the
本发明实施例所提出的方案用于WCDMA和CDMA之类的无线通信网 络。为方便描述,下面主要以WCDMA网络为例进行描述。 The scheme proposed by the embodiment of the present invention is used in wireless communication networks such as WCDMA and CDMA. For the convenience of description, the WCDMA network is mainly used as an example for description below. the
由于WCDMA系统运行时,其接收信号的时域结构应该是平稳的,具有白噪声特性,即信号虽然由于功控而有起伏,但不存在时间上的周期结构。而如果存在周期性的干扰,则会存在一定的时间结构。 When the WCDMA system is running, the time-domain structure of the received signal should be stable and have white noise characteristics, that is, although the signal has fluctuations due to power control, there is no periodic structure in time. And if there are periodic disturbances, there will be a certain temporal structure. the
且对于WCDMA系统来说,基于WCDMA系统的功控特性,干扰存在时,功控会要求UE提高功率,从而导致基站接收到的信号的功率增大。而在干扰不存在时,功控会要求UE降低功率,从而导致接收到的信号功率减小。其中,接收到的信号包括UE信号和干扰信号。虽然功控能保证WCDMA系统在一定干扰下的信噪比,但干扰的周期性仍然会体现出来。由此可以看出,即使是对于具有功控特性的系统,本发明的实施例也可以根据接收到的信号的特性来判断是否存在干扰。 And for the WCDMA system, based on the power control characteristics of the WCDMA system, when interference exists, the power control will require the UE to increase the power, which will increase the power of the signal received by the base station. When the interference does not exist, the power control will require the UE to reduce the power, thereby reducing the received signal power. Wherein, the received signal includes UE signal and interference signal. Although the power control can guarantee the signal-to-noise ratio of the WCDMA system under certain interference, the periodicity of the interference will still be reflected. It can be seen from this that even for a system with power control characteristics, the embodiment of the present invention can determine whether there is interference according to the characteristics of the received signal. the
另外,由于不仅周期性干扰信号会造成信号起伏,传播环境、业务变化等也会引起信号起伏,为区分周期性干扰与其它原因引起的信号起伏,需要针对接收信号进行相关检测,如果与某种周期性干扰的模式相关且匹配,则可证明存在该类型的干扰,而如果无法匹配,则说明该信号起伏可能是前述的其它原因引起的。 In addition, because not only periodic interference signals cause signal fluctuations, but also propagation environment and service changes, etc., in order to distinguish periodic interference from signal fluctuations caused by other reasons, it is necessary to perform correlation detection on received signals. If the patterns of the periodic interference are correlated and matched, it can prove the existence of this type of interference, and if they cannot match, it means that the signal fluctuation may be caused by other reasons mentioned above. the
鉴于上述分析,本发明实施例提供的干扰检测方法的实现方案对应以下步骤: In view of the above analysis, the implementation scheme of the interference detection method provided by the embodiment of the present invention corresponds to the following steps:
步骤101、根据接收信号获取短时功率,并由此获得由接收信号的短时功率组成的接收信号短时功率序列。 Step 101. Obtain the short-term power according to the received signal, and thereby obtain a short-term power sequence of the received signal composed of the short-term power of the received signal. the
本步骤中,根据接收信号获取短时功率具体可以是:对接收信号进行短时功率积分获取短时功率。 In this step, obtaining the short-term power according to the received signal may specifically include: integrating the short-term power of the received signal to obtain the short-term power. the
本步骤中所获取的短时功率的时长可以大于干扰信号的干扰周期,也可以小于干扰信号周期的一半。比如,对于占空比较大的接收信号来说,短时功率的时长即使大于干扰信号的周期,也可以通过本发明实施例查找出干扰信号。 The duration of the short-term power obtained in this step may be greater than the interference period of the interference signal, or less than half of the interference signal period. For example, for a received signal with a large duty ratio, even if the duration of the short-term power is longer than the period of the interference signal, the embodiment of the present invention can be used to find the interference signal. the
具体地,还可以设置所获取的短时功率的时长小于干扰周期的一半。还可以进一步设置所获取的短时功率的时长小于干扰信号的最小粒度的一半。之所以作后一种设置,是因为,时域干扰的时间粒度一般比较小,其时间粒 度在100us级,比如,PHS干扰的周期为5ms,其时隙周期为625us,为确保一定能检测出此级别粒度的干扰,因此要求接收信号中用于检测的检测粒度,即采样周期,小于该干扰时隙时长的一半,以保证干扰信号不会被平均值平滑掉。 Specifically, the duration of the acquired short-term power may also be set to be less than half of the interference period. It may further be set that the duration of the acquired short-term power is less than half of the minimum granularity of the interference signal. The reason for the latter setting is that the time granularity of time-domain interference is generally small, and its time granularity is at the level of 100us. For example, the period of PHS interference is 5ms, and its time slot period is 625us. To ensure that it can detect Therefore, the detection granularity used for detection in the received signal, that is, the sampling period, is required to be less than half the duration of the interference time slot, so as to ensure that the interference signal will not be smoothed out by the average value. the
且本步骤所进行的短时功率积分具体可以是每隔设定的码片(chips)数对接收信道的I信道和Q信道进行积分,其中,该设定的chips数可以通过干扰信号的周期特性计算得到,这里,干扰信号的周期特性通常为干扰的发送时长、静默时长等。 And the short-term power integration carried out in this step can specifically be to integrate the I channel and the Q channel of the receiving channel every set number of chips (chips), wherein the set number of chips can pass the period of the interference signal The characteristics are calculated. Here, the periodic characteristics of the interference signal are usually the transmission duration of the interference, the silence duration, and the like. the
具体来说,对I信道和Q信道进行的功率积分包括:首先分别获得I信道和Q信道的功率PI、PQ,再对这两个功率PI、PQ进行平方求和,之后再对该和开平方根。该功率积分具体如公式
对于上述确定chips的具体数值来说,以WCDMA系统,且需要所获得的短时功率的时长比干扰信号的最小粒度的一半小为例,WCDMA系统中1秒有3.84Mchips,因此每chip对应1/3.84M=0.26us,针对625us的时隙周期,也即625us的发送时长,该短时功率的chips数应少于:312.5/0.26=1202,从而,该chips数具体可以设置为512chips。因此,如需要检测出时隙周期为625us的干扰,则可以每隔512chips对接收信道的I信道和Q信道的功率进行积分计算,以获得接收信道的多个短时功率。显然,如果所获取的短时功率的时长比干扰信号的干扰周期的一半小,则短时功率的chips数应少于:2500/0.26=9615,从而可以取比该值小的值作为所使用的chips数。如果所获取的短时功率的时长没有限制,则可以以一个干扰周期进行计算,比如,短时功率的chips数应少于5000/0.26=19230,当然也可以采用其它计算方法确定该chips数。 For the above-mentioned specific value of determining chips, take the WCDMA system, and the duration of the short-term power that needs to be obtained is less than half of the minimum granularity of the interference signal as an example. In the WCDMA system, there are 3.84 Mchips per second, so each chip corresponds to 1 /3.84M=0.26us, for the time slot period of 625us, that is, the transmission duration of 625us, the number of chips of the short-term power should be less than: 312.5/0.26=1202, thus, the number of chips can be specifically set to 512 chips. Therefore, if it is necessary to detect interference with a time slot period of 625us, the power of the I channel and the Q channel of the receiving channel can be integrated every 512chips to obtain multiple short-term powers of the receiving channel. Obviously, if the duration of the obtained short-term power is less than half of the interference period of the interference signal, the number of chips of the short-term power should be less than: 2500/0.26=9615, so a value smaller than this value can be taken as the used The number of chips. If the duration of the obtained short-term power is not limited, it can be calculated with one interference period, for example, the number of chips of the short-term power should be less than 5000/0.26=19230, of course, other calculation methods can also be used to determine the number of chips. the
步骤102、根据步骤101所得的短时功率序列确定待检测序列X(n)。 Step 102. Determine the sequence X(n) to be detected according to the short-term power sequence obtained in step 101. the
本步骤所确定的待检测序列可以直接是步骤101所得的短时功率序列,也可以是从短时功率序列中截取一定个数的数据,并由所截取出的数据组成待检测序列。 The sequence to be detected determined in this step can be directly the short-term power sequence obtained in step 101, or a certain number of data can be intercepted from the short-term power sequence, and the sequence to be detected can be composed of the intercepted data. the
对于截取一定个数的数据的情况来说,为减小因信号的随机性而导致的 误触发,还可以预设一个特定值,步骤101中所截取的数据个数需要大于该特定值。其中,该特定值可以根据精度范围计算,比如,可以根据公式
具体来说,对于不同的检测精度要求,上述步骤101中从短时功率序列中截取的数据个数不同。比如,如果接收信号在无干扰情况下的均方根差σ为1,设定阈值为0.1,则根据公式
另外,步骤102中还可以在确定待检测序列X(n)之前,对相应的每个功率值作归一化处理,之后将得到的序列(n)作为在步骤103中使用的待检测序列。 In addition, before determining the sequence to be detected X(n) in step 102 , normalization processing can be performed on each corresponding power value, and then the obtained sequence (n) can be used as the sequence to be detected in step 103 . the
且所执行的归一化处理具体可以是对每个功率值求平均值,并将每个功率值减去平均值。从而使得待检测序列X(n)中的每个值为减去所述平均值之后的功率值。因此,在采用归一化处理后,待检测序列X(n)的均值x为0。 And the executed normalization processing may specifically be calculating an average value for each power value, and subtracting the average value from each power value. Therefore, each value in the sequence X(n) to be detected is a power value after subtracting the average value. Therefore, after normalization processing, the mean value x of the sequence X(n) to be detected is 0. the
步骤103、利用预设的干扰相关序列对步骤102确定的待检测序列X(n)进行相关性检测,从而得到检测结果序列,并通过对检测结果序列中的每个值与预设的阈值范围的比较,确定该接收信号是否存在所述干扰相关序列对应的时分干扰。 Step 103, use the preset interference correlation sequence to perform correlation detection on the sequence to be detected X(n) determined in step 102, thereby obtaining the detection result sequence, and by comparing each value in the detection result sequence with the preset threshold range to determine whether there is time-division interference corresponding to the interference-related sequence in the received signal. the
在详细描述步骤103在具体实施例中的处理之前,首先对接收信号及干扰相关序列进行分析。 Before describing in detail the processing of step 103 in a specific embodiment, the received signal and the interference-related sequence are analyzed first. the
对于接收信号来说,如果没有干扰存在,则可以认为是满足白噪声特性 的序列,且其分布满足正态分布,该序列的均值为x,均方根差为σ。依据白噪声特性,提取其中的部分值所组成的新序列也满足正态分布。 For the received signal, if there is no interference, it can be considered as a sequence that satisfies the characteristics of white noise, and its distribution satisfies a normal distribution. The mean value of the sequence is x, and the root mean square error is σ. According to the characteristics of white noise, the new sequence formed by extracting some of its values also satisfies the normal distribution. the
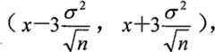
因此,本步骤103可以利用干扰相关序列截取步骤102所得的序列X(n)中的n个值,并对该n个值求均值,如果没有与干扰相关序列对应的干扰存在,则所提取的序列均值有97.7%的可能性会落在其置信区间内,且该正常信号的置信区间为
从而,通过由0和1组成的干扰相关序列与步骤102得到的序列X(n)进行卷积,且0代表无干扰,1代表有干扰,如果干扰相关序列与序列X(n)对齐,则卷积得到的值为可能由于干扰引起的接收信号强调增大的值,在此情况下,如果这些值的均值大于或小于则说明有97.7%以上的概率存在干扰。 Thus, the sequence X(n) obtained in step 102 is convolved with the interference correlation sequence composed of 0 and 1, and 0 represents no interference, and 1 represents interference. If the interference correlation sequence is aligned with the sequence X(n), then The value obtained by convolution is the value that may be due to the increased emphasis of the received signal due to interference. In this case, if the mean of these values is greater than or less It means that there is more than 97.7% probability of interference.
基于上述分析,可以确定上述方案中,首先要依据可能存在的干扰特性预置干扰相关序列H(n),所设置的干扰相关序列H(n)与待检测序列X(n)中的数据个数可以相同,也可以不同,只要保证干扰相关序列H(n)中的0和1的设置与其对应的干扰信号的干扰周期对应即可。比如,对于PHS基站的单信道干扰来说,该干扰相关序列H(n)中包括0.625ms的1和4.375ms的0,对于512chips的短时功率来说,在5ms,即5000us的时间内可以进行5000/(512×0.26)=37.5次干扰检测,而在每个干扰周期,即625us的时间 内,可以进行625/(512×0.26)=4次干扰检测,由于序列必须是整数,因此该序列可以设置为包括75个数值,该序列具体为:1、1、1、1、0、0、0(共34个0)、1、1、1、1、0、0、0(共33个0)。对于PHS4信道干扰来说,则该干扰相关序列H(n)中包括2.5ms的1和2.5ms的0,因此该序列也是包括75个数值,且该序列具体可以是:1、1、1、1(共19个1)、0、0、0(共19个0)、1、1、1、1(共19个1)、0、0、0(共18个0)。对于其它干扰,则同样可以根据其干扰周期确定相应的干扰相关序列H(n)。 Based on the above analysis, it can be determined that in the above scheme, the interference correlation sequence H(n) must first be preset according to the possible interference characteristics, and the set interference correlation sequence H(n) and the data in the sequence X(n) to be detected The numbers can be the same or different, as long as the setting of 0 and 1 in the interference correlation sequence H(n) corresponds to the interference period of the corresponding interference signal. For example, for the single-channel interference of the PHS base station, the interference-related sequence H(n) includes 0.625ms of 1 and 4.375ms of 0, and for the short-term power of 512chips, within 5ms, that is, 5000us can be Perform 5000/(512×0.26)=37.5 times of interference detection, and in each interference period, that is, within the time of 625us, 625/(512×0.26)=4 times of interference detection can be performed, because the sequence must be an integer, so the The sequence can be set to include 75 values. The sequence is specifically: 1, 1, 1, 1, 0, 0, 0 (a total of 34 0s), 1, 1, 1, 1, 0, 0, 0 (a total of 33 0). For PHS4 channel interference, the interference-related sequence H(n) includes 1 of 2.5 ms and 0 of 2.5 ms, so the sequence also includes 75 values, and the sequence can specifically be: 1, 1, 1, 1 (19 1s in total), 0, 0, 0 (19 0s in total), 1, 1, 1, 1 (19 1s in total), 0, 0, 0 (18 0s in total). For other interference, the corresponding interference correlation sequence H(n) can also be determined according to its interference period. the
之后步骤103的处理具体包括: After that, the processing of step 103 specifically includes:
步骤A、对预设的干扰相关序列H(n)进行逐步移位,将步骤102得到的待检测序列X(n)与每次移位后的干扰相关序列进行卷积,并对每次卷积得到的多个值取均值,得到的所有均值组成检测结果序列Y(τ)。 Step A, gradually shifting the preset interference correlation sequence H(n), convolving the sequence X(n) to be detected obtained in step 102 with each shifted interference correlation sequence, and convolving each convolution The multiple values obtained by the product are averaged, and all the obtained averages form the detection result sequence Y(τ). the
Y(τ)=∑X(n)H(n-τ) Y(τ)=∑X(n)H(n-τ)
步骤B、对检测结果序列Y(τ)中的所有值与预设的阈值范围进行比较,以确定接收信号是否存在与该干扰相关序列对应的时分干扰。 Step B, comparing all values in the detection result sequence Y(τ) with a preset threshold range to determine whether there is time-division interference corresponding to the interference-related sequence in the received signal. the
由以上分析可知,该阈值范围可以是
本发明实施例还提供了一种实现干扰检测的系统,该系统中的通信装置包括图2所示的短时功率获取模块和干扰检测模块。该通信装置具体可以是基站,也可以是系统中的其他装置。下面结合图2及图3对该装置进行具体描述。 The embodiment of the present invention also provides a system for implementing interference detection, and the communication device in the system includes the short-term power acquisition module and the interference detection module shown in FIG. 2 . Specifically, the communication device may be a base station, or may be other devices in the system. The device will be described in detail below with reference to FIG. 2 and FIG. 3 . the
实现上述方法实施例的干扰检测装置实施例如图2所示,具体包括短时功率获取模块及干扰检测模块,其中, The embodiment of the interference detection device implementing the above method embodiment is shown in Figure 2, which specifically includes a short-term power acquisition module and an interference detection module, wherein,
短时功率获取模块,用于根据接收信号获取短时功率,将接收信号的短 时功率组成的序列作为短时功率序列,以及将该短时功率序列发送给干扰检测模块; The short-term power acquisition module is used to obtain short-term power according to the received signal, the sequence formed by the short-term power of the received signal is used as the short-term power sequence, and the short-term power sequence is sent to the interference detection module;
干扰检测模块,用于根据收到的短时功率序列确定待检测序列,利用预设的干扰相关序列对该待检测序列进行相关性检测,以及通过对得到的检测结果序列中的每个值与预设的阈值范围进行比较,确定该接收信号是否存在该干扰相关序列对应的时分干扰。 The interference detection module is used to determine the sequence to be detected according to the received short-term power sequence, use the preset interference correlation sequence to perform correlation detection on the sequence to be detected, and compare each value in the obtained detection result sequence with The preset threshold range is compared to determine whether there is time-division interference corresponding to the interference-related sequence in the received signal. the
由图3可以看出,上述短时功率获取模块具体可以包括:短时功率序列形成模块及短时功率序列发送模块。具体来说,短时功率序列形成模块可以根据接收信号获取短时功率,以及将接收信号的短时功率组成的序列作为短时功率序列,并通过所述短时功率序列发送模块发送给所述干扰检测模块。 It can be seen from FIG. 3 that the above-mentioned short-term power acquisition module may specifically include: a short-term power sequence forming module and a short-term power sequence sending module. Specifically, the short-term power sequence forming module can obtain short-term power according to the received signal, and use the short-term power sequence of the received signal as a short-term power sequence, and send it to the Interference detection module. the
由图3可以看出,上述干扰检测模块具体可以包括:相关性检测模块及干扰判断模块。 It can be seen from FIG. 3 that the above-mentioned interference detection module may specifically include: a correlation detection module and an interference judgment module. the
具体来说,相关性检测模块,用于根据收到的短时功率序列确定待检测序列,以及利用预设的干扰相关序列对所述待检测序列进行相关性检测,并将所得的检测结果序列发送给所述干扰判断模块。 Specifically, the correlation detection module is used to determine the sequence to be detected according to the received short-term power sequence, and use the preset interference correlation sequence to perform correlation detection on the sequence to be detected, and convert the obtained detection result sequence Send to the interference judging module. the
干扰判断模块,则用于对收到的检测结果序列中的值与预设的阈值范围进行比较,确定所述接收信号是否存在所述干扰相关序列对应的时分干扰。 The interference judging module is used to compare the value in the received detection result sequence with a preset threshold range, and determine whether there is time-division interference corresponding to the interference-related sequence in the received signal. the
图2中的短时功率获取模块根据接收信号获取短时功率具体可以是,短时功率获取模块通过对接收信号进行短时功率积分获取短时功率。当然,如果短时功率获取模块由短时功率序列形成模块和短时功率序列发送模块组成,则该处理具体由短时功率序列形成模块执行。 The short-term power acquisition module in FIG. 2 may acquire the short-term power according to the received signal. Specifically, the short-term power acquisition module acquires the short-term power by integrating the short-term power of the received signal. Of course, if the short-term power acquisition module is composed of a short-term power sequence forming module and a short-term power sequence sending module, this processing is specifically performed by the short-term power sequence forming module. the
并且,所述对接收信号进行短时功率积分具体可以包括:每隔设定的chips数对接收信道的I信道和Q信道进行积分,且所述chips数的设定值通过所估计的干扰信号的周期特征确定。具体的积分处理如前所述,这里不再赘述。 Moreover, the short-term power integration of the received signal may specifically include: integrating the I channel and the Q channel of the received channel every set number of chips, and the set value of the number of chips is passed by the estimated interference signal The periodic characteristics of are determined. The specific integral processing is as described above, and will not be repeated here. the
短时功率获取模块,或者是其中的短时功率序列形成模块,对接收信号进行短时功率积分,具体可以是获取时长小于干扰信号的干扰周期的一半的短时功率,也可以是获取时长小于干扰信号的最小粒度的一半的短时功率。 The short-term power acquisition module, or the short-term power sequence forming module therein, performs short-term power integration on the received signal, specifically, it can be the short-time power whose acquisition duration is less than half of the interference period of the interference signal, or the acquisition duration is less than half of the interference period of the interference signal. The short-term power of half the smallest granularity of the interfering signal. the
另外,预设的干扰相关序列具体可以根据干扰信号的干扰周期确定,且 在序列中,有干扰的周期对应的数值为1,无干扰的周期对应的数值为0。 In addition, the preset interference-related sequence can be specifically determined according to the interference period of the interference signal, and in the sequence, the value corresponding to the period with interference is 1, and the value corresponding to the period without interference is 0. the
上述干扰检测模块中,根据收到的短时功率序列确定待检测序列,具体可以是直接将收到的短时功率序列作为待检测序列,还可以是从短时功率序列中截取多个数据,并将其作为待检测序列。且对于上述第二种情况来说,即对于从短时功率序列中截取多个数据的处理来说,所截取的数据数目还可以设置为大于预设的特定值。该特定值的计算方法如前所述,这里不再赘述。另外,如果干扰检测模块具体由相关性检测模块和干扰判断模块组成,则上述处理具体可以由其中的相关性检测模块执行,下述的这些处理也同样由相关性检测模块执行。 In the above-mentioned interference detection module, the sequence to be detected is determined according to the received short-term power sequence. Specifically, the received short-term power sequence can be directly used as the sequence to be detected, or multiple data can be intercepted from the short-term power sequence. and take it as the sequence to be detected. And for the second case above, that is, for the processing of intercepting a plurality of data from the short-term power sequence, the number of intercepted data may also be set to be greater than a preset specific value. The calculation method of the specific value is as described above, and will not be repeated here. In addition, if the interference detection module is specifically composed of a correlation detection module and an interference judgment module, the above processing may be specifically performed by the correlation detection module, and the following processes are also performed by the correlation detection module. the
上述干扰检测模块中,根据短时功率序列确定待检测序列时,还可以是对组成待检测序列的数据进行归一化处理,并将处理后的数值组成所述待检测序列。 In the above interference detection module, when the sequence to be detected is determined according to the short-term power sequence, normalization processing may be performed on the data forming the sequence to be detected, and the processed values form the sequence to be detected. the
上述干扰检测模块进行的相关性检测具体可以是,通过对干扰相关序列进行逐步移位,并将将待检测序列与每次移位后的干扰相关序列进行卷积,且对每次卷积得到的多个值取均值,得到的所有均值组成检测结果序列。 The correlation detection performed by the above-mentioned interference detection module may be specifically carried out by gradually shifting the interference correlation sequence, and convolving the sequence to be detected with the interference correlation sequence after each shift, and obtaining each convolution The multiple values of are averaged, and all the obtained averages form the detection result sequence. the
另外,如前所述,预设的阈值范围可以是:
预设的阈值范围还可以是:和在此情况下,干扰检测模块则在确定所述检测结果序列中的所有值均不在所述阈值范围内时,确定不存在干扰信号,在确定有一个或多个值在所述阈值范围内时,确定存在干扰信号。 The preset threshold range can also be: and In this case, when the interference detection module determines that all values in the detection result sequence are not within the threshold range, it determines that there is no interference signal, and when it determines that one or more values are within the threshold range , to determine the presence of interference signals.
以上所述仅为本发明实施例的较佳实现方式,并不用以限定本发明的保护范围。The above descriptions are only preferred implementation manners of the embodiments of the present invention, and are not intended to limit the protection scope of the present invention.
| Application Number | Priority Date | Filing Date | Title |
|---|---|---|---|
| CN2006101694782ACN1972165B (en) | 2006-12-15 | 2006-12-15 | Interference detection method and device |
| Application Number | Priority Date | Filing Date | Title |
|---|---|---|---|
| CN2006101694782ACN1972165B (en) | 2006-12-15 | 2006-12-15 | Interference detection method and device |
| Publication Number | Publication Date |
|---|---|
| CN1972165A CN1972165A (en) | 2007-05-30 |
| CN1972165Btrue CN1972165B (en) | 2010-12-08 |
| Application Number | Title | Priority Date | Filing Date |
|---|---|---|---|
| CN2006101694782AActiveCN1972165B (en) | 2006-12-15 | 2006-12-15 | Interference detection method and device |
| Country | Link |
|---|---|
| CN (1) | CN1972165B (en) |
| Publication number | Priority date | Publication date | Assignee | Title |
|---|---|---|---|---|
| TWI487297B (en)* | 2009-06-24 | 2015-06-01 | Mstar Semiconductor Inc | Interference detector and method thereof |
| CN102045738B (en)* | 2009-10-19 | 2015-10-21 | 中兴通讯股份有限公司 | Interference detection method and device |
| CN102833190B (en)* | 2011-06-13 | 2015-05-20 | 联芯科技有限公司 | Edge detection method and device for constant envelope same frequency interference |
| CN105165052A (en)* | 2014-02-21 | 2015-12-16 | 华为技术有限公司 | Spectrum conflict processing method and apparatus |
| CN108882303B (en)* | 2017-05-08 | 2020-09-25 | 大唐移动通信设备有限公司 | Interference avoidance method and device |
| CN110275171B (en)* | 2018-03-15 | 2021-03-02 | 郑州宇通客车股份有限公司 | Vehicle radar detection control method and vehicle |
| CN112887235B (en)* | 2020-12-30 | 2022-11-29 | 鹤壁天海电子信息系统有限公司 | Interference detection method of received signal, terminal and storage device |
| CN115052309A (en)* | 2021-03-09 | 2022-09-13 | 中兴通讯股份有限公司 | Interference detection method, device, equipment and storage medium |
| CN113923091B (en)* | 2021-08-25 | 2024-10-15 | 珠海全志科技股份有限公司 | Offset interference detection method and device based on phase weighting |
| CN115379476B (en)* | 2022-08-10 | 2024-03-19 | 中国联合网络通信集团有限公司 | Methods, devices, equipment and storage media for determining cell interference types |
| Publication number | Priority date | Publication date | Assignee | Title |
|---|---|---|---|---|
| CN1103222A (en)* | 1992-11-20 | 1995-05-31 | 马格纳沃斯电子系统公司 | Spread spectrum communication system |
| US5475869A (en)* | 1993-05-28 | 1995-12-12 | Nec Corporation | Radio base station capable of distinguishing between interference due to collisions of outgoing call signals and an external interference noise |
| CN1157073A (en)* | 1994-08-02 | 1997-08-13 | 艾利森公司 | Method of and apparatus for interference rejection combining in multi-antenna digital cellular communications systems |
| CN1228643A (en)* | 1997-12-29 | 1999-09-15 | 三星电子株式会社 | Pseudo-noise code acquisition device for direct-sequence spread spectrum communication |
| CN1278971A (en)* | 1997-09-15 | 2001-01-03 | 自动电信公司 | Practical space-time radio method for cdma communication capacity enhancement |
| CN1279567A (en)* | 1999-06-25 | 2001-01-10 | 中国科学技术大学 | Multiple user interferences cancellation method for database inquiry and threshold judgement and receiver |
| CN1339202A (en)* | 1999-01-22 | 2002-03-06 | 艾利森公司 | Apparatus and methods for interference cancellation in spread spectrum communication system |
| CN1388662A (en)* | 2001-05-25 | 2003-01-01 | 株式会社Ntt都科摩 | Interference detecting method and interference avoiding system for radio communication line |
| Publication number | Priority date | Publication date | Assignee | Title |
|---|---|---|---|---|
| CN1103222A (en)* | 1992-11-20 | 1995-05-31 | 马格纳沃斯电子系统公司 | Spread spectrum communication system |
| US5475869A (en)* | 1993-05-28 | 1995-12-12 | Nec Corporation | Radio base station capable of distinguishing between interference due to collisions of outgoing call signals and an external interference noise |
| CN1157073A (en)* | 1994-08-02 | 1997-08-13 | 艾利森公司 | Method of and apparatus for interference rejection combining in multi-antenna digital cellular communications systems |
| CN1278971A (en)* | 1997-09-15 | 2001-01-03 | 自动电信公司 | Practical space-time radio method for cdma communication capacity enhancement |
| CN1228643A (en)* | 1997-12-29 | 1999-09-15 | 三星电子株式会社 | Pseudo-noise code acquisition device for direct-sequence spread spectrum communication |
| CN1339202A (en)* | 1999-01-22 | 2002-03-06 | 艾利森公司 | Apparatus and methods for interference cancellation in spread spectrum communication system |
| CN1279567A (en)* | 1999-06-25 | 2001-01-10 | 中国科学技术大学 | Multiple user interferences cancellation method for database inquiry and threshold judgement and receiver |
| CN1388662A (en)* | 2001-05-25 | 2003-01-01 | 株式会社Ntt都科摩 | Interference detecting method and interference avoiding system for radio communication line |
| Publication number | Publication date |
|---|---|
| CN1972165A (en) | 2007-05-30 |
| Publication | Publication Date | Title |
|---|---|---|
| CN1972165B (en) | Interference detection method and device | |
| Lehtomaki et al. | On the measurement of duty cycle and channel occupancy rate | |
| Salama et al. | Enhanced energy detection using matched filter for spectrum sensing in cognitive radio networks | |
| US8098780B2 (en) | Rake receiver finger assignment based on signal path concentration | |
| US11303485B2 (en) | Signal acquisition method and device | |
| CN104253659B (en) | Spectrum sensing method and device | |
| JP7315836B2 (en) | object detection system | |
| Dikmese et al. | Maximum-minimum energy based spectrum sensing under frequency selectivity for cognitive radios | |
| CN101072046B (en) | Multi-path selecting method and receiver | |
| Rao et al. | Wavelet based spectrum sensing techniques in cognitive radio | |
| Liu et al. | An adaptive double thresholds scheme for spectrum sensing in cognitive radio networks | |
| CN105453442A (en) | Method for detecting interference in a channel of a wireless network | |
| Chede et al. | Use of Bayesian changepoint detection for spectrum sensing in mobile cognitive radio | |
| WO2013136774A1 (en) | Signal detector device and signal detection method | |
| Cameron et al. | Synchronization of CDMA systems employing interference cancellation | |
| KR101494966B1 (en) | Method and apparatus for wideband spectrum sensing in cognitive radio | |
| Putra et al. | Kurtosis and energy based spectrum detection for sdr based rf monitoring system | |
| CN102882617A (en) | Spectrum correlation characteristics-based frequency spectrum detection method | |
| Armi et al. | Sensing time-based throughput performance in OFDM cognitive radio system | |
| Captain et al. | Performance of wideband spectrum sensing under fading channel | |
| Patil et al. | A Review on the Evolution of Eigenvalue Based Spectrum Sensing Algorithms for Cognitive Radio. | |
| EP1252721B1 (en) | System for continuous wave rejection | |
| Mukherjee et al. | Source Number detection and Realization of ROC for Spectrum sensing in Cognitive Radio | |
| Stasionis et al. | Burst signal detector based on signal energy and standard deviation | |
| Mohamoud et al. | A comparative study of energy detector performance under AWGN and fading channels |
| Date | Code | Title | Description |
|---|---|---|---|
| C06 | Publication | ||
| PB01 | Publication | ||
| C10 | Entry into substantive examination | ||
| SE01 | Entry into force of request for substantive examination | ||
| C14 | Grant of patent or utility model | ||
| GR01 | Patent grant | ||
| TR01 | Transfer of patent right | Effective date of registration:20220118 Address after:450046 Floor 9, building 1, Zhengshang Boya Plaza, Longzihu wisdom Island, Zhengdong New Area, Zhengzhou City, Henan Province Patentee after:xFusion Digital Technologies Co., Ltd. Address before:518129 Bantian HUAWEI headquarters office building, Longgang District, Guangdong, Shenzhen Patentee before:HUAWEI TECHNOLOGIES Co.,Ltd. | |
| TR01 | Transfer of patent right |