Movatterモバイル変換


[0]ホーム

URL:


CN1950388A - Macrocyclic compounds and methods of making and using the same - Google Patents

Macrocyclic compounds and methods of making and using the same
Download PDF

Info

Publication number
CN1950388A
CN1950388ACN 200580013532CN200580013532ACN1950388ACN 1950388 ACN1950388 ACN 1950388ACN 200580013532CN200580013532CN 200580013532CN 200580013532 ACN200580013532 ACN 200580013532ACN 1950388 ACN1950388 ACN 1950388A
Authority
CN
China
Prior art keywords
alkyl
unsaturated
saturated
membered
aromatic
Prior art date
Legal status (The legal status is an assumption and is not a legal conclusion. Google has not performed a legal analysis and makes no representation as to the accuracy of the status listed.)
Pending
Application number
CN 200580013532
Other languages
Chinese (zh)
Inventor
杰伊·J·法默
阿肖克·包哈塔查杰
陈毅
乔尔·A·戈德伯格
约瑟夫·A·伊波利托
佐欧坦·F·凯尤
楼荣亮
阿德格博伊加·K·欧耶利尔
爱德华·C·舍瑞尔
乔伊斯·A·萨特克利夫
王德平
吴育生
杜严明
Current Assignee (The listed assignees may be inaccurate. Google has not performed a legal analysis and makes no representation or warranty as to the accuracy of the list.)
Melinta Subsidiary Corp
Original Assignee
Rib X Pharmaceuticals Inc
Priority date (The priority date is an assumption and is not a legal conclusion. Google has not performed a legal analysis and makes no representation as to the accuracy of the date listed.)
Filing date
Publication date
Application filed by Rib X Pharmaceuticals IncfiledCriticalRib X Pharmaceuticals Inc
Priority to CN201711431039.9ApriorityCriticalpatent/CN108101948A/en
Publication of CN1950388ApublicationCriticalpatent/CN1950388A/en
Pendinglegal-statusCriticalCurrent

Links

Landscapes

Abstract

Translated fromChinese

本发明涉及提供用作治疗药的大环化合物。具体来说,这些化合物用于作为抗感染药,抗增生药,抗炎药,以及蠕动促进剂。The present invention relates to providing macrocyclic compounds useful as therapeutic agents. Specifically, these compounds are useful as anti-infectives, anti-proliferatives, anti-inflammatory drugs, and motility enhancers.

Description

Translated fromChinese
大环化合物以及其制作和使用方法Macrocyclic compounds and methods of making and using same

相关申请related application

本申请要求申请日为2004年2月27日的美国专利申请No.60/548,280,以及申请日为2004年6月1日的美国专利申请No.60/575,949的优先权,上述两个申请公开的内容通过在此引证而全文合并于本文。This application claims priority to U.S. Patent Application No. 60/548,280, filed February 27, 2004, and U.S. Patent Application No. 60/575,949, filed June 1, 2004, both of which published The contents of are hereby incorporated by reference in their entirety.

发明领域field of invention

本申请涉及抗感染药,抗增生药,抗炎药,以及蠕动促进剂。更具体的说,本发明涉及可以做为这些药剂的一族大环化合物。This application relates to anti-infective drugs, anti-proliferative drugs, anti-inflammatory drugs, and motility promoters. More specifically, the present invention relates to a family of macrocyclic compounds that are useful as such agents.

技术背景technical background

自从20世纪二十年代发现盘尼西林和20世纪四十年代发现链霉素后,许多化合物被发现或者设计作为抗生素药物。人们一度相信通过此类药物的使用,传染病可以完全被控制和根除。然而,由于对有效的治疗药有耐药性的细胞株或微生物不断进化出来,这一信念被动摇了。实际上,任何一种开发出来的临床抗生素药物最终都由于有耐药性的细菌出现而遇到了问题。比如,抗性品系的格兰氏阳性细菌,例如,对甲氧苯青霉素有耐药性的葡萄球菌,对盘尼西林有耐药性的链球菌,以及对万古霉素有耐药性的肠球菌,都已产生。这些具有耐药性的细菌对于那些感染了这些细菌的患者来说可能导致严重和甚至致命的结果。对大环内酯物抗菌素具有耐药性的细菌也已经出现。同样,抗性品系的格兰氏阴性细菌,例如,流感嗜血杆菌和卡他莫拉杆菌已经被发现,参见,例如,F.D.Lowry,“Antimicrobial Resistance:The Example of Staphylococcus aureus,”J.Clin.Invest.,vol.111,no.9,pp.1265-1273(2003);和Gold,H.S.and Moellering,R.C.,Jr,“Antimicrobial-Drug Resistance,”N.Engl.J.Med.,vol.335,pp.1445-53(1996)。Since the discovery of penicillin in the 1920s and streptomycin in the 1940s, many compounds have been discovered or designed as antibiotic drugs. It was once believed that through the use of such drugs, infectious diseases could be completely controlled and eradicated. However, this belief has been shaken by the continuous evolution of cell lines or microorganisms that are resistant to effective therapeutics. Virtually any clinical antibiotic drug developed eventually runs into problems due to the emergence of resistant bacteria. For example, resistant strains of Gram-positive bacteria, such as methicillin-resistant staphylococci, penicillin-resistant streptococci, and vancomycin-resistant enterococci, have been generated. These drug-resistant bacteria can have serious and even fatal consequences for those infected with them. Bacteria resistant to macrolide antibiotics have also emerged. Likewise, resistant strains of Gram-negative bacteria such as Haemophilus influenzae and Moraxella catarrhalis have been found, see, eg, F.D. Lowry, "Antimicrobial Resistance: The Example of Staphylococcus aureus," J. Clin. Invest., vol.111, no.9, pp.1265-1273 (2003); and Gold, H.S. and Moellering, R.C., Jr, "Antimicrobial-Drug Resistance," N. Engl. J. Med., vol. 335 , pp. 1445-53 (1996).

耐药性问题不仅限于抗感染药物领域,因为在癌症的化疗中使用的抗增生药也遇到了这样的问题。因此,存在着找寻新的对有耐药性的细菌和癌症细胞株都有效的抗感染和抗增生药的需要。The problem of drug resistance is not limited to the field of anti-infective drugs, as it is also encountered with anti-proliferative drugs used in cancer chemotherapy. Therefore, there is a need to find new anti-infective and anti-proliferative drugs that are effective against both drug-resistant bacteria and cancer cell lines.

尽管存在着日益增加的对抗生素的耐药性,自从2000年Zyvox_牌子的包含了噁唑烷酮环的抗生素--吗啉噁酮,在美国上市后,再没有新的种类的抗生素被开发用于临床应用。参见,R.C.Moellering,Jr.,“Linezolid:The First oxazolidinoneAntimicrobial,”,Annals of Internal Medicine,vol.138,no.2,pp.135-142(2003)。吗啉噁酮被批准用于作为一种对革兰氏阳性有机微生物有活性的抗菌药物。然而,对吗啉噁酮有耐药性的有机微生物菌株已经被报导。参见,Tsiodras et al.,Lancet,vol.358,p.207(2001);Gonzales et al.,Lancet,vol 357,p.1179(2001);Zurenko et al.,Proceedings of The 39th Annual InterscienceConference On Antibacterial Agents And Chemotherapy(ICCAC),San Francisco,CA,USA(September 26-29,`1999)。Despite the increasing resistance to antibiotics, no new class of antibiotics has been developed since 2000, when theZyvox® brand of antibiotics containing an oxazolidinone ring, morpholinone, was launched in the United States for clinical applications. See, RC Moellering, Jr., "Linezolid: The First oxazolidinone Antimicrobial," Annals of Internal Medicine, vol. 138, no. 2, pp. 135-142 (2003). Morpholinone is approved for use as an antibacterial drug active against Gram-positive organic microorganisms. However, strains of organic microorganisms resistant to morpholinones have been reported. See, Tsiodras et al., Lancet, vol.358, p.207 (2001); Gonzales et al., Lancet, vol.357, p.1179 (2001); Zurenko et al., Proceedings of The39th Annual Interscience Conference On Antibacterial Agents And Chemotherapy (ICCAC), San Francisco, CA, USA (September 26-29, `1999).

另一类抗生素是大环内酯化合物,它们是以14-至16-元环的特征而得名的。大环内酯化合物也常常含有一个或多个六元糖类衍生物环联结在大内酯环上。第一个被发现的大环内酯化合物是红霉素,是于1952年在来自菲律宾的土壤样品中分离出来的。尽管红霉素是被广泛应用的抗生素之一,它的缺点是生物利用度相对较低,有肠胃副作用,以及适用谱系有限。另一个大环内酯化合物是阿奇霉素,是红霉素中的大内酯环上引入一个甲基取代的氮而得到的红霉素的氮衍生物。市售的阿奇霉素是Zithromax_牌的。新近上市的一种大环内酯化合物是泰利霉素,市售的是Ketek_牌的。泰利霉素是半合成的大环内酯类化合物,其分子中的羟基被氧化为了酮基。参见Yong-Ji Wu,Highlights ofSemi-synthetic Developments from Erythromycin A,Current Pharm.Design,vol.6,pp 181-223(2000),以及Yong-Ji Wu和Wei-uo Su,Recent Developments on Ketolides and Marcolides,Curr.Med.Chem.,vol.8,no.14,pp.1727-1758(2001)。Another class of antibiotics is the macrolide compounds, which are named for their characteristic 14- to 16-membered rings. Macrolide compounds also often contain one or more six-membered carbohydrate derivative rings linked to the macrolide ring. The first macrolide compound to be discovered was erythromycin, which was isolated in soil samples from the Philippines in 1952. Although erythromycin is one of the widely used antibiotics, its disadvantages are relatively low bioavailability, gastrointestinal side effects, and limited applicable spectrum. Another macrolide compound is azithromycin, which is a nitrogen derivative of erythromycin obtained by introducing a methyl-substituted nitrogen into the macrolide ring in erythromycin. Azithromycin is commercially available under the brand nameZithromax® . A recently marketed macrolide compound is telithromycin, commercially available under the brandKetek® . Telithromycin is a semi-synthetic macrolide compound, the hydroxyl group in its molecule is oxidized to a ketone group. See Yong-Ji Wu, Highlights of Semi-synthetic Developments from Erythromycin A, Current Pharm. Design, vol. 6, pp 181-223 (2000), and Yong-Ji Wu and Wei-uo Su, Recent Developments on Ketolides and Marcolides, Curr. Med. Chem., vol. 8, no. 14, pp. 1727-1758 (2001).

在寻找新的治疗药的过程中,研究者尝试将不同的抗生素分子的部分组合或者连接起来以创造出一种新的具有多重或者混合功能的化合物。另外的研究者试图通过将更多的取代基团连接在大环内酯环上或者加上糖类环,以此来制造新的大环内酯衍生物。然而,这些制作大环内酯衍生物的方法只取得了有限的成功。In the search for new therapeutics, researchers attempt to combine or link parts of different antibiotic molecules to create new compounds with multiple or mixed functions. Other researchers attempted to create new macrolide derivatives by attaching more substituent groups to the macrolide ring or adding sugar rings. However, these methods of making macrolide derivatives have had only limited success.

鉴于以上所述,现在存在着找到一种新的抗感染和抗增生药的需求。进一步,因为许多抗感染和抗增生药都能作为抗炎药和蠕动促进剂,现在同样存在着对能作为抗炎药和蠕动促进剂的化合物的需求。本发明能提供满足上述需求的化合物。In view of the above, there is a need to find a new anti-infective and anti-proliferative drug. Further, since many anti-infective and anti-proliferative drugs act as anti-inflammatory agents and motility-stimulators, there is a need for compounds which also act as anti-inflammatory agents and motility-stimulators. The present invention provides compounds satisfying the above needs.

发明简述Brief description of the invention

本发明提供能作为抗感染和/或抗增生药的化合物,例如,抗生素,抗菌剂,和化疗剂。本发明也提供了可以作为抗炎药和/或蠕动促进剂(肠胃调节)的化合物。本发明同样也提供这些化合物的药学上可接受的盐,酯,氮氧化物,或者其前体药物。The present invention provides compounds that are anti-infective and/or anti-proliferative agents, eg, antibiotics, antibacterials, and chemotherapeutics. The present invention also provides compounds that can act as anti-inflammatory agents and/or motility enhancers (gastrointestinal regulation). The present invention also provides pharmaceutically acceptable salts, esters, nitrogen oxides, or prodrugs of these compounds.

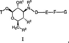
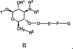
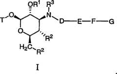
本发明提供具备下述结构式I和II的化合物:The present invention provides compounds having the following structural formulas I and II:

Figure A20058001353200471
Figure A20058001353200471

或者其立体异构体,药学上可接受的盐,酯,氮氧化物,或者其前体药物。在分子式中,变量T,D,E,F,G,R1,R2和R3,可选自下述在本发明中详细限定的化学基团。Or its stereoisomer, pharmaceutically acceptable salt, ester, nitrogen oxide, or its prodrug. In the molecular formula, the variables T, D, E, F, G, R1 , R2 and R3 may be selected from the chemical groups defined below in detail in the present invention.

此外,本发明还提供合成这些化合物的方法。后续组合,治疗学上活性量的一种或多种化合物可以与药学上可接受的载体配伍向哺乳动物,尤其是人类,给药,用作抗癌剂,抗生素,抗菌剂,抗菌药,抗真菌剂,抗寄生物或抗病毒药,或者治疗增生性疾病,炎症或者肠胃蠕动紊乱,或抑制由无义突变或错义突变引起或调节的病状和病态。相应地,本发明的化合物或者组合物可以被通过,例如,经口,注射,或局部方式,向哺乳动物施以有效的量。In addition, the present invention also provides methods for synthesizing these compounds. Subsequent combination, one or more compounds in a therapeutically active amount can be compatible with a pharmaceutically acceptable carrier to mammals, especially humans, administered for use as anticancer agents, antibiotics, antibacterial agents, antibacterial drugs, antibacterial agents, A fungal, antiparasitic or antiviral agent, or to treat proliferative diseases, inflammation or gastrointestinal motility disorders, or to inhibit conditions and conditions caused or modulated by nonsense or missense mutations. Accordingly, a compound or composition of the invention may be administered to a mammal in an effective amount, eg, orally, by injection, or topically.

本发明的前述的和其他的方面以及实施方案参照下面的详细描述和权利要求可被更全面地理解。The foregoing and other aspects and embodiments of the present invention can be more fully understood by reference to the following detailed description and claims.

发明详述Detailed description of the invention

本发明提供了一族化合物,能用于作为抗增生药物和/或抗感染药。这些化合物可以,但不局限于,用作,例如,用作抗癌药,抗生素,抗菌剂,抗菌药,抗真菌剂,抗寄生物和/或抗病毒药。更进一步,本发明提供一族化合物可以,但是不限于,用作抗炎药,例如,用作治疗气道的慢性炎症疾病,和/或促进肠胃蠕动药物,例如,用于治疗胃肠蠕动紊乱比如胃食管反流病,原发性胃轻瘫(糖尿病和术后),肠易激综合症,和便秘。更进一步,这些化合物可被用于治疗或者阻止在哺乳动物体内由无义突变或错义突变引起或调节的疾病状态。The present invention provides a family of compounds that can be used as anti-proliferation drugs and/or anti-infection drugs. These compounds can be used, but are not limited to, as, for example, as anticancer, antibiotic, antibacterial, antibacterial, antifungal, antiparasitic and/or antiviral agents. Furthermore, the present invention provides a family of compounds that can, but are not limited to, be used as anti-inflammatory agents, for example, for the treatment of chronic inflammatory diseases of the airways, and/or drugs for promoting gastrointestinal motility, for example, for the treatment of gastrointestinal motility disorders such as Gastroesophageal reflux disease, primary gastroparesis (diabetic and postoperative), irritable bowel syndrome, and constipation. Still further, these compounds can be used to treat or prevent disease states caused or modulated by nonsense or missense mutations in mammals.

此处的化合物可以含有不对称中心。包含了不对称取代的原子本发明的化合物可以被光学活性地分离或者以外消旋的形式分离。本领域公知如何分离光学活性的形式,例如通过分离外消旋混合物或者通过起始的光学活性原料合成。许多碳碳双键,C=N双键及类似结构的带来的几何异构体也包含在本发明之中,并且这样的稳定异构体都在本发明的考虑之中。顺式(Cis)和反式(trans)几何异构形式都在考虑之中,除非一个特定的立体化学或者同分异构形式被特别的指出。所有用以制备本发明的化合物和中间体的方法都是本发明的一部分。本发明化合物表现或描述的互变异构体也都是本发明的一部分。The compounds herein may contain asymmetric centers. Compounds of the invention containing asymmetrically substituted atoms may be isolated optically or in racemic form. It is well known in the art how to isolate optically active forms, for example by separation of racemic mixtures or by synthesis from starting optically active materials. The resulting geometric isomers of many carbon-carbon double bonds, C=N double bonds, and similar structures are also encompassed by this invention, and such stable isomers are contemplated herein. Both cis and trans geometric isomeric forms are contemplated unless a specific stereochemistry or isomeric form is specifically indicated. All methods used to prepare the compounds and intermediates of the invention are part of the invention. Tautomers represented or described by the compounds of the invention are also part of the invention.

1.定义1. Definition

本发明中的术语“取代的”,是指任何一个或者更多的特定原子上的氢原子,被选自指明的基团组中的一个基团所代替,前提是不超过该特定原子的正常价键,并且取代的结果是一个稳定的化合物。当取代基团是酮基(C=O),则该原子上的两个氢原子被代替。此处使用的环双键是指在两个相邻的环原子(例如,C=C,C=N,或N=N)之间形成的。The term "substituted" in the present invention means that any one or more hydrogen atoms on the specified atom are replaced by a group selected from the specified group, provided that the normal valence bond, and the result of the substitution is a stable compound. When a substituent group is keto (C=O), then two hydrogen atoms on that atom are replaced. Ring double bonds, as used herein, refer to those formed between two adjacent ring atoms (eg, C=C, C=N, or N=N).

本发明还包括了这些化合物中上各个原子的所有同位素原子。同位素包括了那些含有相同质子数但是不同的原子量的那些原子。作为通常的例子,且不限于此,氢的同位素包括氚和氘。碳的同位素包括C-13和C-14。The invention also includes all isotopic atoms of each atom in these compounds. Isotopes include those atoms that contain the same number of protons but different atomic masses. By way of general example, and without limitation, isotopes of hydrogen include tritium and deuterium. Isotopes of carbon include C-13 and C-14.

当一个变量(如R3)在一个化合物的不同的结构部分或者分子式中出现不止一次的时候,它的每一次出现的限定与另一次出现是互相独立没有影响的。这样,例如,当一个基团被一个或者更多的R3基团取代的时候,则该基团可以任意地被一个,两个,三个,四个,五个,或者更多的R3基团取代,并且每个R3独立地选自对R3限定中的基团。同样,这些取代基和/或变量的组合也是允许的,但是这些组合必须导致稳定的化合物。When a variable (eg R3 ) occurs more than once in different moieties or formulas of a compound, each occurrence of it is defined independently of the other occurrence. Thus, for example, when a group is substituted by one or moreR groups, the group can optionally be replaced by one, two, three, four, five, or more Rgroups The group is substituted, and each R3 is independently selected from the groups defined for R3 . Also, combinations of substituents and/or variables are permissible, but only if such combinations result in stable compounds.

化学结构式中的虚线代表可以存在或者没有的化学键。例如,与实键上的虚线说明了该处可能是单键或者双键。Dashed lines in chemical formulas represent chemical bonds that may or may not be present. For example, a dashed line above a real bond indicates that it may be a single or double bond.

当取代基团上的一个键显示出穿越过了一个连接两个环原子之间的键,这说明该取代基团可以连接在该环的任意位置。当一个列出来的取代基团并没有明确是通过该集团上的哪个原子连接在给出的分子式的其他部分上,这样则表明该取代基团可通过其上的任意原子连接。不同取代基和/或变量可以组合,只要该组合导致的化合物是稳定的。When a bond on a substituent is shown to traverse a bond connecting two ring atoms, this indicates that the substituent may be attached anywhere on the ring. When a substituent is listed without specifying through which atom of the group it is attached to the rest of the given formula, it is indicated that the substituent may be attached through any atom. Combinations of different substituents and/or variables are permissible only if the combinations result in stable compounds.

当本发明中的化合物中有氮原子,这些化合物可以被氧化剂(例如,MCPBA,和/或过氧化氢)氧化为N-氧化物以提供本发明的其他化合物。这样,所有的含氮的化合物都包含了其N-氧化物形式衍生物。When compounds of the present invention have nitrogen atoms, these compounds can be oxidized to N-oxides by oxidizing agents (eg, MCPBA, and/or hydrogen peroxide) to provide other compounds of the present invention. Thus, all nitrogen-containing compounds include their N-oxide form derivatives.

本发明中的术语“异头碳”是指糖苷分子的乙缩醛碳原子。The term "anomeric carbon" in the present invention refers to the acetal carbon atom of the glycoside molecule.

本发明中的术语“糖苷”是指环状乙缩醛。The term "glycoside" in the present invention refers to a cyclic acetal.

本发明中的术语“烷基”包括支链和直链的饱和的脂肪族具有特定碳原子数的碳氢化合物。C1-6烷基包括了C1,C2,C3,C4,C5和C6烷基。C1-8烷基包括了C1,C2,C3,C4,C5,C6,C7和C8烷基。烷基的例子包括,但是不限于,甲基,乙基,n-丙基,i-丙基,n-丁基,s-丁基,t-丁基,n-戊基,s-戊基,n-己基,n-庚基,和n-辛基。The term "alkyl" in the present invention includes branched and linear saturated aliphatic hydrocarbons having a specified number of carbon atoms. C1-6 alkyl includes C1 , C2 , C3 , C4 , C5 and C6 alkyl. C1-8 alkyl includes C1 , C2 , C3 , C4 , C5 , C6 , C7 and C8 alkyl. Examples of alkyl groups include, but are not limited to, methyl, ethyl, n-propyl, i-propyl, n-butyl, s-butyl, t-butyl, n-pentyl, s-pentyl , n-hexyl, n-heptyl, and n-octyl.

本发明中的术语“烯基”包括,直练或者支链结构的,一个或多个不饱和的碳-碳双键可以存在该链的任意稳定位置,比如乙烯基和丙烯基。C2-6烯基包括,C2,C3,C4,C5,和C6烯基。C2-8烯基包括,C2,C3,C4,C5,C6,C7和C8烯基。The term "alkenyl" in the present invention includes straight or branched chain structures, one or more unsaturated carbon-carbon double bonds can exist in any stable position of the chain, such as vinyl and propenyl. C2-6 alkenyl includes, C2 , C3 , C4 , C5 , and C6 alkenyl. C2-8 alkenyl includes C2 , C3 , C4 , C5 , C6 , C7 and C8 alkenyl.

本发明中的术语“炔基”包括,直链或者支链结构的,一个或多个不饱和的碳-碳三键可以存在该链的任意稳定位置,比如乙炔基和丙炔基。C2-6烯基包括,C2,C3,C4,C5和C6炔基。C2-8炔基包括,C2,C3,C4,C5,C6,C7和C8炔基。The term "alkynyl" in the present invention includes, straight chain or branched chain structure, one or more unsaturated carbon-carbon triple bonds can exist in any stable position of the chain, such as ethynyl and propynyl. C2-6 alkenyl includes, C2 , C3 , C4 , C5 and C6 alkynyl. C2-8 alkynyl includes C2 , C3 , C4 , C5 , C6 , C7 and C8 alkynyl.

进一步来说,“烷基”“烯基”“炔基”包括了由两个连接点形成的双基团,在本发明中的一个例子是当D选自这些基团。一个非限定性此类的双基团烷基的例子是例如-CH2CH2-,即一个C2烷基基团,该基团是终端碳原子通过共价键与该分子的其余部分连接起来。Further, "alkyl", "alkenyl" and "alkynyl" include diradicals formed by two points of attachment, an example in the present invention is when D is selected from these groups. A non-limiting example of such a diradical alkyl group is for example-CH2CH2- , i.e. aC2 alkyl group which is aterminal carbon atom covalently bonded to the rest of the molecule stand up.

本发明中用来描述各种含碳的分子,包括例如“烷基”“烯基”“炔基”“苯基”,和其他类似的术语,都包括了单价的,二价的,或者多价的形式。例如,“C1-6烷基-R3”包括了一个单价的C1-6烷基基团被一个R3基团取代,“O-C1-6烷基-R3”代表一个二价的C1-6烷基基团例如一个“亚烷基”基团,被一个氧原子和一个R3基团取代。As used herein to describe various carbon-containing molecules, including, for example, "alkyl,""alkenyl,""alkynyl,""phenyl," and other similar terms, include monovalent, divalent, or polyvalent price form. For example, "C1-6 alkyl-R3 " includes a monovalent C1-6 alkyl group substituted by an R3 group, "OC1-6 alkyl-R3 " represents a divalent A C1-6 alkyl group, such as an "alkylene" group, is substituted with an oxygen atom and an R3 group.

本发明中的术语“环烷基”意图包括饱和的环基团,例如环丙基,环丁基,或者环戊基。C3-8环烷基意图包括C3,C4,C5,C6,C7和C8环烷基基团。The term "cycloalkyl" in the present invention is intended to include saturated ring groups such as cyclopropyl, cyclobutyl, or cyclopentyl. C3-8 cycloalkyl is intended to include C3 , C4 , C5 , C6 , C7 and C8 cycloalkyl groups.

本发明中的术语“卤素”或“卤原子”指,氟,氯,溴和碘。“负离子”指,一个小的,带负电荷的基团比如,氯离子,溴离子,氢氧根,乙酸根,和硫酸根。The term "halogen" or "halogen atom" in the present invention refers to fluorine, chlorine, bromine and iodine. "Negative ion" refers to a small, negatively charged group such as chloride, bromide, hydroxide, acetate, and sulfate.

本发明中的“卤代烷基”包括了带有支链和直链的饱和的脂肪族的碳氢化合物族,具有特定数目的碳原子,被一个或者更多的卤素原子取代(比如,-CVFW,此处V=1到3和W=1到(2v+1))。卤代烷基的例子包括,但是并不限于,三氟代甲基,三氯代甲基,五氟代乙基和五氯代乙基。"Haloalkyl" in the present invention includes branched and linear saturated aliphatic hydrocarbons, with a specific number of carbon atoms, substituted by one or more halogen atoms (for example, -CV FW , where V=1 to 3 and W=1 to (2v+1)). Examples of haloalkyl include, but are not limited to, trifluoromethyl, trichloromethyl, pentafluoroethyl and pentachloroethyl.

本发明中的术语“烷氧基”指上述定义的具有特定碳原子数目的烷基基团与通过氧原子连结。C1-6烷氧基基团,包括C1,C2,C3,C4,C5和C6烷氧基基团。C1-8烷氧基基团,包括C1,C2,C3,C4,C5,C6,C7和C8烷氧基基团。例子包括,但是不限于,甲基烷氧基,乙基烷氧基,n-丙基烷氧基,i-丙基烷氧基,n-丁基烷氧基,s-丁基烷氧基,t-丁基烷氧基,n-戊基烷氧基,s-戊基烷氧基,n-己基烷氧基,n-庚基烷氧基,和n-辛基烷氧基。The term "alkoxy" in the present invention refers to an alkyl group defined above with a specific number of carbon atoms linked through an oxygen atom. C1-6 alkoxy groups, including C1 , C2 , C3 , C4 , C5 and C6 alkoxy groups. C1-8 alkoxy groups include C1 , C2 , C3 , C4 , C5 , C6 , C7 and C8 alkoxy groups. Examples include, but are not limited to, methylalkoxy, ethylalkoxy, n-propylalkoxy, i-propylalkoxy, n-butylalkoxy, s-butylalkoxy , t-butylalkoxy, n-pentylalkoxy, s-pentylalkoxy, n-hexylalkoxy, n-heptylalkoxy, and n-octylalkoxy.

本发明中的术语,“烷硫基”指上述定义的具有特定碳原子数目的烷基基团与通过硫原子连结。C1-6烷硫基基团,包括C1,C2,C3,C4,C5和C6烷硫基基团。C1-8烷硫基基团,包括C1,C2,C3,C4,C5,C6,C7和C8烷硫基基团。The term "alkylthio" in the present invention refers to an alkyl group defined above with a specific number of carbon atoms linked through a sulfur atom. C1-6 alkylthio groups, including C1 , C2 , C3 , C4 , C5 and C6 alkylthio groups. C1-8 alkylthio groups, including C1 , C2 , C3 , C4 , C5 , C6 , C7 and C8 alkylthio groups.

本发明中的术语“碳环”或“碳原子环”是指,除非另外指出,任何稳定的3,4,5,6,7,8,9,10,11,或者12元的单环,双环或三环,并可以是饱和的,不饱和的,或芳香族的,注意到特定数目的碳环不能是双环或者三环的,例如,一个三元碳环只能是单环的。这样的碳环,包括,但是不限于,环丙基,环丁基,环丁烯基,环戊基,环戊烯基,环己基,环己烯基,环庚基,环庚烯基,金刚烷基,环辛基,环辛烯基,环辛二烯基,[3.3.0]双环辛基,[4.3.0]双环壬基,[4.4.0]双环癸基,[2.2.2]双辛烷基,茀基,苯基,萘基,茚满基,金刚烷基,和四氢化萘基。如上所示的,桥环也包括在上述碳环的定义中(例如,[2.2.2]双辛烷基)。当一个或者多个碳原子连结了两个并不相邻的碳环原子是就出现了桥接。常见的桥结是一个或者两个碳原子。需要注意的是,桥接往往使一个单环转化为三环。当一个环被桥接,其上的取代基也与该桥环相连。稠合的(例如萘环和四氢化萘)和螺环也被包括在内。The term "carbocycle" or "carbon atom ring" in the present invention means, unless otherwise indicated, any stable 3, 4, 5, 6, 7, 8, 9, 10, 11, or 12-membered monocyclic ring, Bicyclic or tricyclic, and may be saturated, unsaturated, or aromatic, noting that the specified number of carbocycles cannot be bicyclic or tricyclic, for example, a three-membered carbocyclic ring can only be monocyclic. Such carbocycles include, but are not limited to, cyclopropyl, cyclobutyl, cyclobutenyl, cyclopentyl, cyclopentenyl, cyclohexyl, cyclohexenyl, cycloheptyl, cycloheptenyl, Adamantyl, Cyclooctyl, Cyclooctenyl, Cyclooctadienyl, [3.3.0] Bicyclooctyl, [4.3.0] Bicyclononyl, [4.4.0] Bicyclodecanyl, [2.2.2 ] bis-octyl, fenyl, phenyl, naphthyl, indanyl, adamantyl, and tetrahydronaphthyl. As indicated above, bridged rings are also included in the above definition of carbocycle (eg, [2.2.2]bisoctyl). Bridging occurs when one or more carbon atoms link two non-adjacent carbon ring atoms. Common bridging junctions are one or two carbon atoms. It should be noted that bridging often converts a monocyclic ring into a tricyclic ring. When a ring is bridged, the substituents on it are also connected to the bridged ring. Fused (eg, naphthalene and tetralin) and spiro rings are also included.

本发明中的术语,“杂环”是指,除非另有说明,稳定的3,4,5,6,7,8,9,10,11,或者12元的单环,双环或三环(注意到特定数目的碳环不能是双环或者三环的,例如,一个三元碳环只能是单环的),并可以是饱和的,不饱和的,或芳香族的,并由碳原子和一个或者更多的杂原子构成,如,1或1-2或1-3或1-4或1-5或1-6杂原子,单独地选自下列之中,氮,氧,和硫,并包括任何双环或者三环族,在上述环中任意上述定义的杂原子位于第二个环上(例如一个苯环)氮或者硫杂原子可以被氧化(例如,N→O和S(0)P,此处P=1或2)。环上的氮原子可能是N或者NH,取决于它是否连结于一个双键(例如,一个氢原子代表在需要的情况下来维持氮原子的饱和)。氮原子可以使取代的或者未取代的。(例如,N,或者NR,R是H或者其他取代基团,根据限定)。该杂环可以以杂原子或者碳原子与其他链连接形成稳定的结构。只要产物是稳定的,此处的杂环可以在碳原子或者杂原子处被取代。杂环上的氮原子可以选择地被季铵化。当杂环上的S和O原子的总数超过1,则该杂环不与其他环相邻。更希望的情况是,杂环上的S和O原子的总数不超过1。桥环同样也包含在所述的杂环中。桥接出现在当一个或者多个原子(例如,C,O,N,或者S)连结起两个不相邻的碳或者氮环。常见的桥环包括,但是不限于,一个碳原子,两个碳原子,一个氮原子,两个氮原子,和一个碳-氮族。需要注意的是,桥接总是将一个单环转化为三环。当一个环被桥接,该环的取代基也连接于该桥结构上。螺环和稠合环也包括在内。The term "heterocycle" in the present invention refers to, unless otherwise stated, a stable 3, 4, 5, 6, 7, 8, 9, 10, 11, or 12-membered monocyclic, bicyclic or tricyclic ( Note that the specified number of carbocycles cannot be bicyclic or tricyclic (e.g., a three-membered carbocycle can only be monocyclic), and can be saturated, unsaturated, or aromatic, and consist of carbon atoms and One or more heteroatoms, e.g., 1 or 1-2 or 1-3 or 1-4 or 1-5 or 1-6 heteroatoms, are independently selected from the group consisting of nitrogen, oxygen, and sulfur, and includes any bicyclic or tricyclic ring in which any of the above-defined heteroatoms are located on the second ring (e.g. a benzene ring) nitrogen or sulfur heteroatoms may be oxidized (e.g. N→O and S(0)P , where P=1 or 2). The nitrogen atom in the ring may be N or NH, depending on whether it is attached to a double bond (for example, a hydrogen atom represents the nitrogen atom required to maintain saturation). Nitrogen atoms can be substituted or unsubstituted. (eg, N, or NR, R is H or other substituents, as defined). The heterocycle can be connected with other chains through heteroatoms or carbon atoms to form a stable structure. The heterocyclic rings herein may be substituted at carbon atoms or heteroatoms as long as the product is stable. The nitrogen atoms on the heterocycle can optionally be quaternized. When the total number of S and O atoms on a heterocycle exceeds 1, the heterocycle is not adjacent to other rings. More desirably, the total number of S and O atoms on the heterocycle does not exceed one. Bridged rings are likewise included in said heterocycles. Bridging occurs when one or more atoms (eg, C, O, N, or S) join two non-adjacent carbon or nitrogen rings. Common bridged rings include, but are not limited to, one carbon atom, two carbon atoms, one nitrogen atom, two nitrogen atoms, and one carbon-nitrogen group. It is important to note that bridging always converts a monocyclic ring into a tricyclic ring. When a ring is bridged, the ring's substituents are also attached to the bridge structure. Spiro and fused rings are also included.

本发明中的术语“杂芳环”或者“杂芳基”,指稳定的5,6,7,8,9,10,11,或者12元的单或者双芳香环(注意到注意到特定数目的碳环不能是芳香双环,例如,一个五元环只能是单芳香环的),并且由碳原子和一个或者更多杂原子构成,例如1或1-2或1-3或1-4或1-5或1-6杂原子,单独地选自下列之中,氮,氧,和硫。在双杂芳环的情况下,尽管可能两个都是(例如,喹啉),只需两个环中的一个是芳环(例如,2,3-二氢吲哚)。第二个环可以稠合或者桥接在上述杂环上。该氮和硫杂原子可以任选的被氧化(例如,N→O和S(0)P,此处P=1或2)。需要注意的是,杂环上的S和O原子的总数不超过1。The term "heteroaryl ring" or "heteroaryl" in the present invention refers to a stable 5, 6, 7, 8, 9, 10, 11, or 12-membered single or double aromatic ring (note that the specific number Carbocyclic rings cannot be aromatic bicyclic rings, for example, a five-membered ring can only be monoaromatic), and consist of carbon atoms and one or more heteroatoms, such as 1 or 1-2 or 1-3 or 1-4 Or 1-5 or 1-6 heteroatoms, individually selected from the group consisting of nitrogen, oxygen, and sulfur. In the case of biheteroaromatic rings, only one of the two rings need be aromatic (eg, 2,3-dihydroindole), although both are possible (eg, quinoline). The second ring can be fused or bridged to the above heterocycle. The nitrogen and sulfur heteroatoms can optionally be oxidized (eg, N→O and S(0)P , where P=1 or 2). It should be noted that the total number of S and O atoms on the heterocycle does not exceed 1.

杂环的例子包括,但是不限于,吖啶基,azocinyl,苯并咪唑基,苯并呋喃基,苯并四氢呋喃基,苯并苯硫基,苯并噁唑基甲基,苯并异噻唑,苯并咪唑啉基,咔唑基,4aH-咔唑基,carbolinyl,苯并二氢吡喃基,chromenyl,cinnolinyl,十氢喹啉基,2H,6H-1,5,2-二噻嗪基,二氢呋喃并-[2,3-b]四氢呋喃,呋喃基,呋吖基,咪唑烷基,咪唑基,1H-吲唑基,吲哚基,吲哚啉基,吲哚基,3H-吲哚基,isatinoyl,异苯并呋喃基,异苯并二氢吡喃基,异吲唑基,异吲哚基,异吲哚啉基,异吲哚基,异喹啉基,异噻唑基,异噁唑基,亚甲基二氧苯基,吗啉基,naphthyridinyl,八氢异喹啉基,噁二唑基,1,2,3-噁二唑基,1,2,4-噁二唑基,1,2,5-噁二唑基,1,3,4-噁二唑基,噁唑烷基,噁唑基,oxindolyl,嘧啶基,啡啶基,phenanthrolinyl,吩嗪基,吩噻嗪基,phenoxathinyl,吩噁嗪基,酞嗪基,哌嗪基,哌啶基,哌啶酮基,4-哌啶酮基,胡椒基,pteridinyl,purinyl,吡喃基,吡嗪基,吡唑烷基,吡唑基,哒嗪基,吡啶唑基,吡啶咪唑基,吡啶噻唑基,嘧啶基,吡啶基,嘧啶酮基,吡咯啉基,2H-吡咯基,吡咯基,喹唑啉基,喹啉基,2H-喹唑啉基,喹噁啉基,奎宁基,四氢呋喃基,四氢异喹啉基,四氢喹啉基,四唑基,6H-1,2,5-噻二嗪基,1,2,3-噻二唑基,1,2,4-噻二唑基,1,2,5-噻二唑基,1,3,4-噻二唑基,噻重氮基,噻唑基,噻吩基,噻吩并噻唑基,噻吩并唑基,噻吩并咪唑基,噻吩基,三嗪基,1,2,3-三唑基,1,2,4-三唑基,1,2,5-三唑基,1,3,4-三唑基,和吨基。Examples of heterocyclic rings include, but are not limited to, acridinyl, azocinyl, benzimidazolyl, benzofuryl, benzotetrahydrofuranyl, benzophenylthio, benzoxazolylmethyl, benzisothiazole, Benzimidazolinyl, carbazolyl, 4aH-carbazolyl, carbolinyl, chromanyl, chromenyl, cinnolinyl, decahydroquinolinyl, 2H, 6H-1,5,2-dithiazinyl , Dihydrofuro-[2,3-b]tetrahydrofuran, furyl, furacryl, imidazolidinyl, imidazolyl, 1H-indazolyl, indolyl, indolinyl, indolyl, 3H- Indolyl, isatinoyl, isobenzofuranyl, isochromanyl, isoindazolyl, isoindolyl, isoindolinyl, isoindolyl, isoquinolinyl, isothiazolyl , isoxazolyl, methylenedioxyphenyl, morpholinyl, naphthyridinyl, octahydroisoquinolinyl, oxadiazolyl, 1,2,3-oxadiazolyl, 1,2,4-oxa Oxadiazolyl, 1,2,5-oxadiazolyl, 1,3,4-oxadiazolyl, oxazolidinyl, oxazolyl, oxindolyl, pyrimidinyl, phenanthrolinyl, phenanthrolinyl, phenazinyl, Phenothiazinyl, phenoxathinyl, phenoxazinyl, phthalazinyl, piperazinyl, piperidinyl, piperidinyl, 4-piperidinyl, piperonyl, pteridinyl, purinyl, pyranyl, pyrazinyl , pyrazolidinyl, pyrazolyl, pyridazinyl, pyridazolyl, pyridylimidazolyl, pyridylthiazolyl, pyrimidinyl, pyridinyl, pyrimidinonyl, pyrrolinyl, 2H-pyrrolyl, pyrrolyl, quinazole Linyl, Quinolinyl, 2H-Quinazolinyl, Quinoxalinyl, Quinyl, Tetrahydrofuranyl, Tetrahydroisoquinolyl, Tetrahydroquinolyl, Tetrazolyl, 6H-1, 2, 5 -thiadiazinyl, 1,2,3-thiadiazolyl, 1,2,4-thiadiazolyl, 1,2,5-thiadiazolyl, 1,3,4-thiadiazolyl, Thidiazo, thiazolyl, thienyl, thienothiazolyl, thienozolyl, thienoimidazolyl, thienyl, triazinyl, 1,2,3-triazolyl, 1,2,4-tri Azolyl, 1,2,5-triazolyl, 1,3,4-triazolyl, and tonne.

本发明中的术语,“药学上可接受的”是指那些化合物,材料,组合物,和/或制剂形式,在医学可接受的范围,适合人体或者动物体组织的,毒性、刺激、过敏反应没有超标的,或者其它问题或并发症,或者具有合理的受益/风险率。The term "pharmaceutically acceptable" in the present invention refers to those compounds, materials, compositions, and/or formulations that are, within the scope of medically acceptable, suitable for human or animal tissues, toxicity, irritation, and allergic reactions No excess, or other problems or complications, or a reasonable benefit/risk ratio.

本发明中的术语,“药学上可接受的盐”是指本发明的化合物的衍生物,这些衍生物是本发明的化合物通过酸或者碱的修饰形成的盐。药学上可接受的盐的例子包括,但是不限于,碱残基的有机酸盐,例如胺;酸残基的碱或者有机盐,例如羧酸;以及类似的物质。药学上可接受的盐包括通常本发明化合物的无毒的盐或者季铵盐,例如,来自无毒的无机或有机酸。例如,这样的无毒的盐包括,但不限于,来自以下无机或者有机酸的衍生物,2-安息香乙酸,2-羟乙基磺酸,乙酸,抗坏血酸,苯磺酸,安息香酸,双碳酸,碳酸,柠檬酸,乙二胺四乙酸,乙二磺酸,乙基磺酸,反丁烯二酸,葡庚糖酸,葡(萄)糖酸,谷氨酸,乙醇酸,glycollyarsanilic,己基间苯二酸,hydrabamic,氢溴酸,盐酸,氢碘酸,羟基马来酸,羟基萘甲酸,羟乙磺酸,乳酸,乳二酸,月桂磺酸,马来酸,苹果酸,苯基乙醇酸,乙磺酸,napsylic,硝酸,草酸,双羟萘酸,泛酸,苯乙酸,磷酸,多聚半乳糖醛酸,丙酸,水杨酸,硬脂酸,subacetic,丁二酸,对氨基苯磺酸,氨基磺酸,磺酸,丹宁酸,酒石酸,和甲苯磺酸。The term "pharmaceutically acceptable salt" in the present invention refers to derivatives of the compounds of the present invention, and these derivatives are salts formed by modification of the compounds of the present invention with acids or bases. Examples of pharmaceutically acceptable salts include, but are not limited to, organic acid salts of base residues, such as amines; base or organic salts of acid residues, such as carboxylic acids; and the like. Pharmaceutically acceptable salts include generally non-toxic or quaternary ammonium salts of the compounds of the invention, for example, derived from non-toxic inorganic or organic acids. For example, such non-toxic salts include, but are not limited to, derivatives derived from the following inorganic or organic acids, 2-benzoinacetic acid, 2-isethanesulfonic acid, acetic acid, ascorbic acid, benzenesulfonic acid, benzoic acid, biscarbonic acid , carbonic acid, citric acid, edetate, ethanedisulfonic acid, ethanesulfonic acid, fumaric acid, glucoheptonic acid, gluconic acid, glutamic acid, glycolic acid, glycollyarsanilic, hexyl Isophthalic acid, hydrabamic, hydrobromic acid, hydrochloric acid, hydriodic acid, hydroxymaleic acid, hydroxynaphthoic acid, isethionic acid, lactic acid, lactic acid, laurylsulfonic acid, maleic acid, malic acid, phenyl Glycolic acid, ethanesulfonic acid, napsylic acid, nitric acid, oxalic acid, pamoic acid, pantothenic acid, phenylacetic acid, phosphoric acid, polygalacturonic acid, propionic acid, salicylic acid, stearic acid, subacetic, succinic acid, para Sulphamic acid, sulfamic acid, sulfonic acid, tannin, tartaric acid, and toluenesulfonic acid.

本发明中药学上可接受的盐可以通过常规的化学方法从包含了碱或者酸根的本发明的化合物合成。通常,这样的盐可以通过,使这些化合物的自由酸或者自由碱形式与按照化学计量适量的碱或者酸,在水或者有机溶剂或者两者的混合溶液中,反应来制备;通常优选,无水的介质,例如酯,乙酸乙酯,乙醇,异丙醇,乙腈。可以在Remington’s Pharmaceutical Science 18th ed.Mack Publishing Company,Easton,PA,USA,p.1445(1990)中找到合适的溶液的列表。The pharmaceutically acceptable salts of the present invention can be synthesized from the compounds of the present invention containing base or acid groups by conventional chemical methods. Generally, such salts can be prepared by reacting the free acid or free base forms of these compounds with a stoichiometric amount of a base or acid in water or an organic solvent or a mixture of both; usually preferred, anhydrous media such as esters, ethyl acetate, ethanol, isopropanol, acetonitrile. A list of suitable solutions can be found in Remington's Pharmaceutical Science 18th ed. Mack Publishing Company, Easton, PA, USA, p. 1445 (1990).

既然前药可以加强很多药学上的期望的性质(例如,溶解度,生物利用度,加工性,等等),本发明的化合物可以以前药形式给药。因此,本发明意图包括目前要求保护的化合物的前体药物,以及施用这些化合物或者包含这些化合物的组合物的方法。“前药”意图包括所有那些当施用给有机体后在该或体内能释放出该活性物质的所有共价载体。本发明的前体药物通过对本发明的化合物的一些官能团修饰来制备,这种修饰是对母体化合物在操纵之下或者活体内进行一些常规的粘合。前药包括氢氧根、胺基、巯基连接在本发明的化合物的任意官能团上,当被施给哺乳动物时,这些基团能分离为游离的氢氧根、胺基、巯基。前药的例子包括,但不限于,本发明化合物醇基和氨基的醋酸盐,甲酸盐,安息香酸盐衍生物。Since prodrugs can potentiate many pharmaceutically desirable properties (eg, solubility, bioavailability, processability, etc.), the compounds of the invention can be administered in prodrug form. Accordingly, the present invention is intended to include prodrugs of the presently claimed compounds, as well as methods of administering these compounds or compositions comprising these compounds. "Prodrug" is intended to include all covalent carriers which, when administered to an organism, release the active substance in or in vivo. The prodrugs of the present invention are prepared by some functional group modification of the compounds of the present invention, such modification being some conventional binding to the parent compound under manipulation or in vivo. Prodrugs include hydroxide, amine, sulfhydryl groups attached to any functional group of the compounds of the present invention, and when administered to mammals, these groups can dissociate into free hydroxide, amine, sulfhydryl groups. Examples of prodrugs include, but are not limited to, acetate, formate, benzoate derivatives of the alcohol and amino groups of the compounds of the invention.

“稳定的化合物”和“稳定结构”指一个足够稳定的化合物足以能从反应混合物中被分离到有用的纯度,并可以以药用有效剂量配方。"Stable compound" and "stable structure" refer to a compound sufficiently stable to be isolated to a useful degree of purity from a reaction mixture and to be formulated in a pharmaceutically effective dosage.

本发明中的术语“治疗”或者“处理”是指,对哺乳动物的疾病状态进行治疗,尤其是对人,并包括:(a)阻止疾病状态在哺乳动物体内出现,尤其是,当该哺乳动物已经出现了这种疾病状态的倾向但是还没有出现这种疾病状态;(b)抑制这种疾病状态,例如,阻止它的发展;和/或(c)缓解疾病状态,例如使疾病状态衰退。The term "treatment" or "treating" in the present invention refers to treating a disease state in a mammal, especially a human, and includes: (a) preventing the disease state from occurring in a mammal, especially when the mammal The animal has developed a predisposition to the disease state but has not yet developed the disease state; (b) inhibiting the disease state, e.g., arresting its development; and/or (c) ameliorating the disease state, e.g., causing the disease state to decline .

本发明中的术语“哺乳动物”是指人类和非人类的患者。The term "mammal" in the present invention refers to human and non-human patients.

本发明中的术语,“药学活性量”是指,本发明的一种化合物,或者组合物,对于接受者来说能足以引起生物反应的量,例如,抗药性反应,抗菌反应,抗病毒反应,抗寄生反应,和/或抗增生反应。这些化合物的组合最好是增效组合。增效,正如所描述的,例如,Chou and Talalay,Adv.Enzyme Regul.vol.22,pp.27-55(1984),出现在组合给药时的作用比该组合物中的每种化合物单独给药时的作用加和起来要大。通常来说,增效作用可以被化合物在非最佳浓度时清楚地证明。相比于单独的化合物,增效作用可以降低细胞毒性,增加抗增生和/或抗感染效果,或带来其他益处。The term "pharmaceutically active amount" in the present invention refers to the amount of a compound of the present invention, or composition, that is sufficient to cause a biological response to the recipient, for example, drug resistance response, antibacterial response, antiviral response , antiparasitic response, and/or antiproliferative response. The combination of these compounds is preferably a synergistic combination. Synergy, as described, for example, by Chou and Talalay, Adv. Enzyme Regul.vol.22, pp.27-55 (1984), occurs when the combined effect is greater than that of each compound in the composition alone The effects when administered add up to be greater. In general, synergy can be clearly demonstrated by compounds at non-optimal concentrations. Synergy may reduce cytotoxicity, increase anti-proliferative and/or anti-infective effects, or bring about other benefits, compared to the individual compounds.

本发明中所有的百分比或者比例,除非另有描述,都是指重量。All percentages or ratios herein are by weight unless otherwise stated.

本申请全文中,当组合物被描述为包含,包括,或者由具体的成分组成,或者该制备过程被描述为包含,包括或者由具体的步骤组成,这就是说,本发明中的组合物基本上包括或者实际上包括所给出的成分,同样,本发明的方法,基本上包括或者实际上包括所给出的步骤。更进一步,应该理解的是,只要在本发明可以实现的条件下,这些步骤的顺序或者某些具体操作的顺序不是固定不变的。而且,两个或者更多的步骤是可以同时进行的。Throughout the application, when a composition is described as comprising, comprising, or consisting of specific ingredients, or the preparation process is described as comprising, comprising, or consisting of specific steps, it means that the composition of the present invention is essentially The composition above includes or actually includes the given ingredients, similarly, the method of the present invention basically includes or actually includes the steps given. Furthermore, it should be understood that as long as the present invention can be implemented, the order of these steps or the order of some specific operations is not fixed. Also, two or more steps can be performed simultaneously.

本发明的化合物Compounds of the invention

一方面,本发明提供如下结构的化合物:In one aspect, the invention provides compounds of the following structure:

或者其药学上可接受的盐,酯,N-氧化物,或者前体药物,其中,or a pharmaceutically acceptable salt, ester, N-oxide, or prodrug thereof, wherein,

T是14-,15-,或者16-元的大环内酯化合物,通过大环上的碳原子连接;T is a 14-, 15-, or 16-membered macrolide compound connected through a carbon atom on the macrocycle;

R1和R3独立地选自以下基团:(a)H,(b)C1-6烷基,(c)C2-6烯基,(d)C2-6炔基,(e)-C(O)R5,(f)-C(O)OR5,(g)-C(O)-NR4R4R4R4,(h)-C(S)R5,(i)-C(S)OR5,(i)-C(O)SR5,或(k)-C(S)-NR4R4R4R4;R2是氢或-OR12R1 and R3 are independently selected from the following groups: (a) H, (b) C1-6 alkyl, (c) C2-6 alkenyl, (d) C2-6 alkynyl, (e )-C(O)R5 , (f)-C(O)OR5 , (g)-C(O)-NR4 R4 R4 R4 , (h)-C(S)R5 , ( i)-C(S)OR5 , (i)-C(O)SR5 , or (k)-C(S)-NR4 R4 R4 R4 ; R2 is hydrogen or -OR12 ;

D选自下述基团:D is selected from the following groups:

(a)单键,(b)C1-6烷基,(c)C2-6烯基,(d)C2-6炔基(a) single bond, (b) C1-6 alkyl, (c) C2-6 alkenyl, (d) C2-6 alkynyl

(e)-C(O)-X-,(F)-C(O)O-X-,(g)-C(O)NR4R4-X-,(e)-C(O)-X-, (F)-C(O)OX-, (g)-C(O)NR4 R4 -X-,

(h)-C(=NR4)-X-,(i)-C(=NR4)O-X-,(i)-C(=NR4)N-X-,(h)-C(=NR4 )-X-, (i)-C(=NR4 )OX-, (i)-C(=NR4 )NX-,

(k)-SO2-X-,(l)-C(NR4)NR4-X-,(m)-C(S)-X-,(k)-SO2 -X-, (l)-C(NR4 )NR4 -X-, (m)-C(S)-X-,

(n)-C(S)NR4-X-,(o)-C(NRR4)S-X-,or(P)-C(O)S-X-,(n)-C(S)NR4 -X-, (o)-C(NRR4 )SX-, or (P)-C(O)SX-,

其中,in,

(i)D的(b)至(d)组中0-2个碳原子可任意地被选自O,S(O)P和NR4的基团取代,(i) 0-2 carbon atoms in groups (b) to (d) of D can be optionally substituted by groups selected from O, S(O)P andNR ,

(ii)(b)至(d)中的任意一个都可被一个或更多的R5基团取代,(ii) any of (b) to (d) may be substituted by one or moreR groups,

(iii)当(b)至(d)中R5为任意取代基时,R3和R5可以和其所连接的原子一起形成3-7元的环,和(iv)X选自以下基团(aa)C1-6烷基,(bb)C2-6烯基,(cc)C2-6炔基,其中(aa)-(cc)中的任何一个可以任意地被一个或更多的R5基团取代;(iii) When R5 in (b) to (d) is any substituent, R3 and R5 can form a 3-7 membered ring together with the atoms they are connected to, and (iv) X is selected from the following groups Group (aa) C1-6 alkyl, (bb) C2-6 alkenyl, (cc) C2-6 alkynyl, wherein any one of (aa)-(cc) can be arbitrarily replaced by one or more Many R5 groups are substituted;

F选自以下:F is selected from the following:

(a)单键,(b)C1-6烷基,(c)C2-6烯基,(d)C2-6炔基,其中,(a) single bond, (b) C1-6 alkyl, (c) C2-6 alkenyl, (d) C2-6 alkynyl, wherein,

(i)F的(b)至(d)组中0-2个碳原子可任意地被选自O,S(O)P和NR4的基团取代,(ii)F的(b)至(d)中的任意一个基团都可被一个或更多的R5基团取代,(iii)F的(b)至(d)中的任意一个基团都可被C1-6烷基-R5基团取代;(i) 0-2 carbon atoms in groups (b) to (d) of F can be arbitrarily replaced by groups selected from O, S(O)P and NR4 , (ii) (b) to (d) of F Any one of the groups in (d) can be substituted by one or moreR groups, and any one of the groups (b) to (d) of (iii) F can be replaced by C1-6 alkyl -R5 group substitution;

E选自以下:E is selected from the following:

(a)3-10元的,饱和\不饱和,或者芳香的杂环,包含一个或多个选自氮、氧和硫的杂原子,(a) 3-10 membered, saturated\unsaturated, or aromatic heterocycles containing one or more heteroatoms selected from nitrogen, oxygen and sulfur,

(b)3-10元的,饱和或不饱和的,或芳香族的,碳环(b) 3-10 membered, saturated or unsaturated, or aromatic, carbocyclic

(c)-W-[3-10元的,饱和或不饱和,或者芳香的杂环,包含一个或多个选自氮、氧和硫的杂原子],(c)-W-[3-10 membered, saturated or unsaturated, or aromatic heterocycle containing one or more heteroatoms selected from nitrogen, oxygen and sulfur],

(d)-W-[3-10元的,饱和或不饱和的,或芳香族的,碳环],(d)-W-[3-10 membered, saturated or unsaturated, or aromatic, carbocycle],

(e)-C(O)-,(f)-C(O)O-,(g)-C(O)NR4-,(h)-C(=Nr4)-,(e)-C(O)-, (f)-C(O)O-, (g)-C(O)NR4 -, (h)-C(=Nr4 )-,

(i)-C(=NR4)O-,(j)-C(=NR4)NR4-,(k)-OC(O)-,(l)-OC(O)O-,(i)-C(=NR4 )O-, (j)-C(=NR4 )NR4 -, (k)-OC(O)-, (l)-OC(O)O-,

(m)-OC(O)NR4-,(n)-NR4C(O)-,(o)-NR4C(O)O-,(m)-OC(O)NR4 -, (n)-NR4 C(O)-, (o)-NR4 C(O)O-,

(p)-NR4C(O)NR4-,(q)-NR4C(=NR4)NR4-,(r)-S(O)p-,(p)-NR4 C(O)NR4 -, (q)-NR4 C(=NR4 )NR4 -, (r)-S(O)p -,

(s)-NR4S(O)2-,(t)-S(O)2NR4-,(u)-C(N-OR4)-,(v)-CH2-,(s)-NR4 S(O)2 -, (t)-S(O)2 NR4 -, (u)-C(N-OR4 )-, (v)-CH2 -,

(w)-C(N-NR4R4)-,(x)-C(S)NR4-,(y)-NR4C(S)-,(z)-C(S)O-,或(w)-C(N-NR4 R4 )-, (x)-C(S)NR4 -, (y)-NR4 C(S)-, (z)-C(S)O-, or

(aa)-OC(S)-(aa)-OC(S)-

其中in

i)(a)至(d)中的任何一个都任意可被一个或更多的R5基团取代,和i) any of (a) to (d) can optionally be substituted by one or moreR groups, and

ii)W选自以下基团:ii) W is selected from the following groups:

(aa)-OCO-,(bb)-OC(O)O-,(cc)-OC(O)NR4-,(aa)-OCO-, (bb)-OC(O)O-, (cc)-OC(O)NR4 -,

(dd)-NR4C(O)O-,(ee)-OCNOR4-,(dd)-NR4 C(O)O-, (ee)-OCNOR4 -,

(ff)-NR4-C(O)O-,(gg)-C(S)(NR4)-,(hh)-NR4-,(ff)-NR4 -C(O)O-, (gg)-C(S)(NR4 )-, (hh)-NR4 -,

(ii)-OC(S)O-,(jj)-OC(S)NR4-,(kk)-NR4C(S)O-,(ll)-OC(S)NOR4-,(mm)-C(S)O-,(nn)-,OC(S)-,(oo)-C(O)-,(pp)-C(O)O-,(qq)-C(O)NR4-,(rr)-C(=NR4)-,(ii)-OC(S)O-, (jj)-OC(S)NR4 -, (kk)-NR4 C(S)O-, (ll)-OC(S)NOR4 -, (mm )-C(S)O-, (nn)-, OC(S)-, (oo)-C(O)-, (pp)-C(O)O-, (qq)-C(O)NR4- , (rr)-C(=NR4 )-,

(ss)-C(=NR4)O-,(tt)-C(=NR4)NR4-,(uu)-OC(O)-,(vv)-OC(O)O-,(ww)-OC(O)NR4-,(xx)-NR4C(O)-,(yy)-NR4C(O)O-,(zz)-NR4C(O)NR4-,(aaa)-NR4C(=NR4)NR4-,(ss)-C(=NR4 )O-, (tt)-C(=NR4 )NR4 -, (uu)-OC(O)-, (vv)-OC(O)O-, (ww )-OC(O)NR4 -, (xx)-NR4 C(O)-, (yy)-NR4 C(O)O-, (zz)-NR4 C(O)NR4 -, ( aaa)-NR4 C(=NR4 )NR4 -,

(bbb)-S(O)p-,(ccc)-NR4S(O)2-,(ddd)-S(O)2NR4-,(eee)-C(N-OR4)-,(fff)-C(N-NR4R4)-,(ggg)-C(S)NR4-,or(hhh)-NR4C(S)-;(bbb)-S(O)p -, (ccc)-NR4 S(O)2 -, (ddd)-S(O)2 NR4 -, (eee)-C(N-OR4 )-, (fff)-C(N-NR4 R4 )-, (ggg)-C(S)NR4 -, or(hhh)-NR4 C(S)-;

G选自下述:(a)B′和(b)B′-Z-B″,其中G is selected from the following: (a) B' and (b) B'-Z-B", wherein

i)每一个B′和B″,独立地选自(aa)芳基,(bb)杂芳基,(cc)联芳基,(dd)稠合的双环或者三环,是饱和的、不饱和的,或者芳香的环系统,含有一个或多个选自氮、氧或硫的杂原子,(ee)3-10元的,饱和或者不饱和的杂环,含有一个或多个选自氮、氧或硫的杂原子,(ff)3-10元的,饱和或者不饱和的碳环,其中,(aa)至(ff)中的任何一个可任选地被一个或者多个R11基团取代;和i) each of B' and B", independently selected from (aa) aryl, (bb) heteroaryl, (cc) biaryl, (dd) fused bicyclic or tricyclic, is saturated, not Saturated or aromatic ring systems containing one or more heteroatoms selected from nitrogen, oxygen or sulfur, (ee) 3-10 membered, saturated or unsaturated heterocycles containing one or more heteroatoms selected from nitrogen , a heteroatom of oxygen or sulfur, (ff) 3-10 membered, saturated or unsaturated carbocyclic ring, wherein, any one of (aa) to (ff) can be optionally replaced by one or more R11 groups group replacement; and

ii)Z选自下述,(aa)单键,(bb)C1-2烷基,(cc)C2烯基,ii) Z is selected from the following, (aa) single bond, (bb) C1-2 alkyl, (cc) C2 alkenyl,

(dd)C2炔基,(ee)-C(O)-,(ff)-C(O)O-,(gg)-C(O)NR4-,(hh)-C(=NR4)-,(ii)-C(=NR4)O-,(jj)-C(=NR4)NR4-,(kk)-S(O)p-,(ll)-OC(O)-,(mm)-C(S)-,(nn)-C(S)NR4-,(oo)-C(NR4)S-,(pp)-C(O)S-,(qq)-O-,(rr)-NR4-,(ss)-NR4C(O)-,(tr)-OC(NR4)-,(uu)-NC(NR4)-,(vv)-C(S)O-,(ww)-SC(O)-,or(xx)-OC(S);(dd)C2 alkynyl, (ee)-C(O)-, (ff)-C(O)O-, (gg)-C(O)NR4 -, (hh)-C(=NR4 )-, (ii)-C(=NR4 )O-, (jj)-C(=NR4 )NR4- , (kk)-S(O)p- , (ll)-OC(O)- , (mm)-C(S)-, (nn)-C(S)NR4 -, (oo)-C(NR4 )S-, (pp)-C(O)S-, (qq)- O-, (rr)-NR4 -, (ss)-NR4 C(O)-, (tr)-OC(NR4 )-, (uu)-NC(NR4 )-, (vv)-C (S)O-, (ww)-SC(O)-, or(xx)-OC(S);

每次出现的R4,都独立地选自下述:Each occurrence of R4 is independently selected from the following:

(a)H,(b)C1-6烷基,(c)C2-6烯基,(d)C2-6炔基,(e)C6-10饱和的,不饱和的,或者芳香的碳环,(f)3-12元的饱和的,不饱和的,或者芳香的杂环,包含一个或多个选自氮、氧或硫的杂原子,(g)-C(O)-C1-6烷基,(h)-C(O)-C2-6烯基,(i)-C(O)-C2-6炔基,(j)-C(O)-C6-10饱和的,不饱和的,或者芳香的碳环,(k)-C(O)-3-12元的饱和的,不饱和的,或者芳香的杂环,包含一个或多个选自氮、氧或硫的杂原子,(l)-C(O)O-C1-6烷基,(m)-C(O)O-C2-6烯基,(n)-C(O)O-C2-6炔基,(o)-C(O)O-C6-10饱和的,不饱和的,或者芳香的碳环,(p)-C(O)O-3-12元的饱和的,不饱和的,或者芳香的杂环,包含一个或多个选自氮、氧或硫的杂原子,和(q)-C(O)NR6R6(a) H, (b) C1-6 alkyl, (c) C2-6 alkenyl, (d) C2-6 alkynyl, (e) C6-10 saturated, unsaturated, or Aromatic carbocycle, (f) 3-12 membered saturated, unsaturated, or aromatic heterocycle containing one or more heteroatoms selected from nitrogen, oxygen, or sulfur, (g)-C(O) -C1-6 alkyl, (h)-C(O)-C2-6 alkenyl, (i)-C(O)-C2-6 alkynyl, (j)-C(O)-C6-10 saturated, unsaturated, or aromatic carbocyclic rings, (k)-C (O)-3-12 membered saturated, unsaturated, or aromatic heterocyclic rings, containing one or more selected from Heteroatoms of nitrogen, oxygen or sulfur, (l)-C(O)OC1-6 alkyl, (m)-C(O)OC2-6 alkenyl, (n)-C(O)OC2- 6 alkynyl, (o)-C(O)OC6-10 saturated, unsaturated, or aromatic carbocycle, (p)-C(O)O-3-12 membered saturated, unsaturated , or an aromatic heterocycle containing one or more heteroatoms selected from nitrogen, oxygen or sulfur, and (q)-C(O)NR6 R6 ,

其中任一个(b)-(p)基团可以任选地被一个或多个R5取代,wherein any of the (b)-(p) groups may optionally be substituted by one or more R5 ,

或者,NR4R4形成一个3-7元的,饱和的、不饱和的或芳香的环,包括R4连接在其上的氮原子,其中所述的环在与R4连接的位置上的氮原子以外的位置可被任选地取代,取代基是选自O,S(O)P,N,和NR8中的一个或多个;Alternatively, NR4 R4 forms a 3-7 membered, saturated, unsaturated or aromatic ring, including the nitrogen atom to which R4 is attached, wherein said ring is at the position where R4 is attached The position other than the nitrogen atom can be optionally substituted, and the substituent is one or more selected from O, S(O)P , N, and NR8 ;

R5选自下述:R is selected from the following:

(a)R7,(b)C1-8烷基,(c)C2-8烯基,(d)C2-8炔基,(e)3-12元的,饱和或者不饱和的,或芳香族的碳环,和(f)3-12元的饱和的,不饱和的,或者芳香的杂环,包含一个或多个选自氮、氧或硫的杂原子,或者当两个R5基团连接于同一个碳原子时,它们可与所连接的碳原子一起形成一个螺合的3-6元的碳环或者包含一个或多个选自氮、氧或硫的杂原子的杂环,(a) R7 , (b) C1-8 alkyl, (c) C2-8 alkenyl, (d) C2-8 alkynyl, (e) 3-12 yuan, saturated or unsaturated , or an aromatic carbocycle, and (f) a 3-12 membered saturated, unsaturated, or aromatic heterocycle containing one or more heteroatoms selected from nitrogen, oxygen, or sulfur, or when two When theR groups are connected to the same carbon atom, they can form a spiro-connected 3-6 membered carbocyclic ring together with the connected carbon atom or contain one or more heteroatoms selected from nitrogen, oxygen or sulfur heterocycle,

其中上述的(b)-(f)中的任何一个可以任选被一个或多个R7取代;Wherein any one of the above-mentioned (b)-(f) can be optionally replaced by one or moreR7 ;

每次出现的R6,都独立地选自下述:Each occurrence of R6 is independently selected from the following:

(a)H,(b)C1-6烷基,(c)C2-6烯基,(d)C2-6炔基,(e)C3-10饱和的,不饱和的,或者芳香的碳环,(f)3-10元的饱和的,不饱和的,或者芳香杂环,包含一个或多个选自氮、氧或硫的杂原子,(a) H, (b) C1-6 alkyl, (c) C2-6 alkenyl, (d) C2-6 alkynyl, (e) C3-10 saturated, unsaturated, or Aromatic carbocycles, (f) 3-10 membered saturated, unsaturated, or aromatic heterocycles containing one or more heteroatoms selected from nitrogen, oxygen, or sulfur,

其中上述的(b)-(f)中的任何一个可以任选被一个或多个下述基团取代:Any one of the above-mentioned (b)-(f) can be optionally substituted by one or more of the following groups:

(aa)羰基,(bb)甲酸基(cc)F,(dd)Cl,(ee)Br,(aa) carbonyl, (bb) formyl (cc) F, (dd) Cl, (ee) Br,

(ff)I,(gg)CN,(hh)NO2,(ii)-OR8(ff)I, (gg)CN, (hh)NO2 , (ii)-OR8 ,

(jj)-S(O)pR8,(kk)-C(O)R8,(ll)-C(O)OR8(jj)-S(O)p R8 , (kk)-C(O)R8 , (ll)-C(O)OR8 ,

(mm)-OC(O)R8,(nn)-C(O)NR8R8(mm)-OC(O)R8 , (nn)-C(O)NR8 R8 ,

(oo)-OC(O)NR8R8,(pp)-C(=NR8)R8(oo)-OC(O)NR8 R8 , (pp)-C(=NR8 )R8 ,

(qq)-C(R8)(R8)OR8,(rr)-C(R8)2OC(O)R8(qq)-C(R8 )(R8 )OR8 , (rr)-C(R8 )2 OC(O)R8 ,

(ss)-C(R8)(OR8)(CH2)rNR8R8,(tt)-NR8R8(ss)-C(R8 )(OR8 )(CH2 )r NR8 R8 , (tt)-NR8 R8 ,

(uu)-NR8OR8,(vv)-NR8C(O)R8(uu)-NR8 OR8 , (vv)-NR8 C(O)R8 ,

(ww)-NR8C(O)OR8,(xx)-NR8C(O)NR8R8(ww)-NR8 C(O)OR8 , (xx)-NR8 C(O)NR8 R8 ,

(yy)-NR8S(O)rR8,(zz)-C(OR8)(OR8)R8(yy)-NR8 S(O)r R8 , (zz)-C(OR8 )(OR8 )R8 ,

(ab)-C(R8)2NR8R8,(ac)=NR8(ab)-C(R8 )2 NR8 R8 , (ac)=NR8 ,

(ad)-C(S)NR8R8,(ae)-NR8C(S)R8(ad)-C(S)NR8 R8 , (ae)-NR8 C(S)R8 ,

(af)-OC(S)NR8R8,(ag)-NR8C(S)OR8(af)-OC(S)NR8 R8 , (ag)-NR8 C(S)OR8 ,

(ah)-NR8C(S)NR8R8,(ai)-SC(O)R8(ah)-NR8 C(S)NR8 R8 , (ai)-SC(O)R8 ,

(aj)C1-8烷基,(ak)C2-8烯基,(al)C2-8炔基,(am)C1-8烷氧基(an)C1-8巯基,(ao)C1-8酰基,(ap)-CF3,(aq)-SCF3,(ar)3-10元的,饱和的、或者不饱和的、或芳香的碳环,(as)3-10元的,饱和的、或者不饱和的、或者芳香的杂环,含有一个或多个选自氮、氧或硫的杂原子,(aj) C1-8 alkyl, (ak) C2-8 alkenyl, (al) C2-8 alkynyl, (am) C1-8 alkoxy (an) C1-8 mercapto, ( ao) C1-8 acyl, (ap)-CF3 , (aq)-SCF3 , (ar) 3-10 membered, saturated, or unsaturated, or aromatic carbocycle, (as) 3- 10-membered, saturated, or unsaturated, or aromatic heterocycles containing one or more heteroatoms selected from nitrogen, oxygen, or sulfur,

或者,NR6R6形成一个3-10元的饱和的、或不饱和的、或芳香的环,包括连接着R6的氮原子,所述环在与R6连接的位置上的氮原子以外的任意位置可被任选地取代,取代基选自O,S(O)P,N,和NR8Alternatively, NR6 R6 forms a 3-10 membered saturated, or unsaturated, or aromatic ring, including the nitrogen atom to which R6 is attached, and the ring is other than the nitrogen atom at the position to which R6 is attached Any position of can be optionally substituted, and the substituent is selected from O, S(O)P , N, and NR8 ;

或者,CR6R6形成羰基;Alternatively, CR6 R6 forms a carbonyl group;

每次出现的R7,都独立地选自下述:Each occurrence of R7 is independently selected from the following:

(a)H,(b)=O,(c)F,(d)Cl,(e)Br,(f)I,(g)-CF3(a)H, (b)=O, (c)F, (d)Cl, (e)Br, (f)I, (g)-CF3 ,

(h)-CN,(i)-N3(j)-NO2,(k)-NR6(CR6R6)tR9,(l)-OR9,(m)-S(O)pC(R6R6)tR9(h)-CN, (i)-N3 (j)-NO2 , (k)-NR6 (CR6 R6 )t R9 , (l)-OR9 , (m)-S(O)p C(R6 R6 )t R9 ,

(n)-C(O)(CR6R6)tR9,(o)-OC(O)(CR6R6)tR9,(p)-SC(O)(CR6R6)tR9,(q)-C(O)O(CR6R6)tR9,(r)-NR6C(O)(CR6R6)tR9,(s)-C(O)NR6(CR6R6)tR9,(t)-C(=NR6)(CR6R6)tR9,(u)-C(=NNR6R6)(CR6R6)tR9,(v)-C(=NNR6C(O)R6)(CR6R6)tR9,(w)-C(=NOR9)(CR6R6)tR9,(x)-NR6C(O)O(CR6R6)tR9,(y)-OC(O)NR6(CR6R6)tR9,(z)-NR6C(O)NR6(CR6R6)tR9,(aa)-NR6S(O)p(CR6R6)tR9,(bb)-S(O)pNR6(CR6R6)tR9,(cc)-NR6S(O)pNR6(CR6R6)tR9,(dd)-NR6R6,(ee)-NR6(CR6R6),(ff)-OH,(gg)-NR6R6,(hh)-OCH3,(ii)-S(O)pR6,(ij)-NC(O)R6,(kk)C1-6烷基,(ll)C2-6烯基,(mm)C2-6炔基,(nn)3-10元的,饱和的、或不饱和的,或芳香的碳环,和(oo)3-10元的,饱和的、或者不饱和的、或芳香的杂环,含有一个或多个选自氮、氧或硫的杂原子,(n)-C(O)(CR6 R6 )t R9 , (o)-OC(O)(CR6 R6 )t R9 , (p)-SC(O)(CR6 R6 )t R9 , (q)-C(O)O(CR6 R6 )t R9 , (r)-NR6 C(O)(CR6 R6 )t R9 , (s)-C(O )NR6 (CR6 R6 )t R9 , (t)-C(=NR6 )(CR6 R6 )t R9 , (u)-C(=NNR6 R6 )(CR6 R6 )t R9 , (v)-C(=NNR6 C(O)R6 )(CR6 R6 )t R9 , (w)-C(=NOR9 )(CR6 R6 )t R9 , (x)-NR6 C(O)O(CR6 R6 )t R9 , (y)-OC(O)NR6 (CR6 R6 )t R9 , (z)-NR6 C( O)NR6 (CR6 R6 )t R9 , (aa)-NR6 S(O)p (CR6 R6 )t R9 , (bb)-S(O)p NR6 (CR6 R6 )t R9 , (cc)-NR6 S(O)p NR6 (CR6 R6 )t R9 , (dd)-NR6 R6 , (ee)-NR6 (CR6 R6 ) , (ff)-OH, (gg)-NR6 R6 , (hh)-OCH3 , (ii)-S(O)p R6 , (ij)-NC(O)R6 , (kk)C1-6 alkyl, (ll) C2-6 alkenyl, (mm) C2-6 alkynyl, (nn) 3-10 membered, saturated, or unsaturated, or aromatic carbocycle, and (oo) 3-10 membered, saturated, or unsaturated, or aromatic heterocycles containing one or more heteroatoms selected from nitrogen, oxygen, or sulfur,

其中上述的(kk)至(oo)中的任何一个可任选被一个或多个R9取代Wherein any of the above (kk) to (oo) may be optionally substituted by one or more R9

或者,两个R7形成-O(CH2)UO-;Alternatively, two R7 form -O(CH2 )U O-;

R8选自下述:R is selected from the following:

(a)R5,(b)H,(c)C1-6烷基,(d)C2-6烯基,(e)C2-6炔基,(f)C3-10饱和的,不饱和的,或者芳香的碳环,(g)3-10元的饱和的,不饱和的,或者芳香的杂环,包含一个或多个选自氮、氧或硫的杂原子,(h)-C(O)-C1-6烷基,(i)-C(O)-C1-6烯基,(j)-C(O)-C1-6炔基,(k)-C(O)-C3-10饱和的,不饱和的,或者芳香的环,和(l)-C(O)-3-10元的饱和的,不饱和的,或者芳香的杂环,包含一个或多个选自氮、氧或硫的杂原子,(a) R5 , (b) H, (c) C1-6 alkyl, (d) C2-6 alkenyl, (e) C2-6 alkynyl, (f) C3-10 saturated , unsaturated, or aromatic carbocycle, (g) 3-10 membered saturated, unsaturated, or aromatic heterocycle, containing one or more heteroatoms selected from nitrogen, oxygen, or sulfur, (h )-C(O)-C1-6 alkyl, (i)-C(O)-C1-6 alkenyl, (j)-C(O)-C1-6 alkynyl, (k)- C(O)-C3-10 saturated, unsaturated, or aromatic rings, and (l)-C(O)-3-10 membered saturated, unsaturated, or aromatic heterocyclic rings, including one or more heteroatoms selected from nitrogen, oxygen or sulfur,

其中上述的(c)-(k)中的任何一个可以任意地被一个或多个以下基团取代:Wherein any one of the above-mentioned (c)-(k) can be arbitrarily replaced by one or more of the following groups:

(aa)H,(bb)F,(cc)Cl,(dd)Br,(ee)I,(ff)CN,(gg)NO2,(hh)OH,(ii)NH2,(jj)NH(C1-6烷基),(kk)N(C1-6烷基)2,(ll)C1-6烷氧基,(mm)芳基,(nn)取代的芳基,(oo)杂芳基,(pp)取代的杂芳基,和(qq)C1-6烷基,任选地被一个或多个选自芳基,取代的芳基,取代的杂芳基,F,Cl,Br,CN,NO2,CF3,SCF3和OH取代;(aa)H, (bb)F, (cc)Cl, (dd)Br, (ee)I, (ff)CN, (gg)NO2 , (hh)OH, (ii)NH2 , (jj) NH(C1-6 alkyl), (kk)N(C1-6 alkyl)2 , (ll)C1-6 alkoxy, (mm) aryl, (nn) substituted aryl, ( oo) heteroaryl, (pp) substituted heteroaryl, and (qq) C1-6 alkyl, optionally selected from aryl, substituted aryl, substituted heteroaryl, F, Cl, Br, CN, NO2 , CF3 , SCF3 and OH substitution;

每次出现的R9独立地选自下述:Each occurrence ofR is independently selected from the following:

(a)R10,(b)C1-6烷基,(c)C2-6烯基,(d)C2-6炔基,(e)C3-10饱和的,不饱和的,或者芳香的碳环,(f)3-10元的饱和的,不饱和的,或者芳香的杂环,包含一个或多个选自氮、氧或硫的杂原子,(a) R10 , (b) C1-6 alkyl, (c) C2-6 alkenyl, (d) C2-6 alkynyl, (e) C3-10 saturated, unsaturated, Or an aromatic carbocycle, (f) a 3-10 membered saturated, unsaturated, or aromatic heterocycle containing one or more heteroatoms selected from nitrogen, oxygen, or sulfur,

其中上述的(b)-(f)中的任何一个可以任选被一个或多个R10基团取代;wherein any of the above (b)-(f) can be optionally substituted by one or moreR groups;

在任何结构上出现的R10独立地选自下述:R10 occurring on any structure is independently selected from the following:

(a)H,(b)=O,(c)F,(d)Cl,(e)Br,(f)I,(g)-CF3,(h)-CN,(i)-NO2,(j)-NR6R6(a)H, (b)=O, (c)F, (d)Cl, (e)Br, (f)I, (g)-CF3 , (h)-CN, (i)-NO2 , (j)-NR6 R6 ,

(k)-OR6,(l)-S(O)pR6,(m)-C(O)R6,(n)-C(O)OR6,(o)-OC(O)R6,(p)NR6C(O)R6,(q)-(O)NR6R6,(r)-C(=NR6)R6,(s)-NR6C(O)NR6R6,(t)-NR6S(O)pR6,(u)-S(O)pNR6R6,(v)-NR6S(O)pNR6R6,(w)aC1-6烷基(k)-OR6 , (l)-S(O)p R6 , (m)-C(O)R6 , (n)-C(O)OR6 , (o)-OC(O)R6 , (p)NR6 C(O)R6 , (q)-(O)NR6 R6 , (r)-C(=NR6 )R6 , (s)-NR6 C(O)NR6 R6 , (t)-NR6 S(O)p R6 , (u)-S(O)p NR6 R6 , (v)-NR6 S(O)p NR6 R6 , (w )aC1-6 alkyl

(x)C2-6烯基,(y)C2-6炔基,(z)3-10元的,饱和的或不饱和的,或芳香的环,和(aa)3-10元的,饱和的、不饱和的、或芳香的杂环,含有一个或多个选自氮、氧或硫的杂原子,(x) C2-6 alkenyl, (y) C2-6 alkynyl, (z) 3-10 membered, saturated or unsaturated, or aromatic ring, and (aa) 3-10 membered , a saturated, unsaturated, or aromatic heterocycle containing one or more heteroatoms selected from nitrogen, oxygen, or sulfur,

其中上述的(w)-(aa)中的任何一个可以任选被一个或多个选自下组的基团取代:R6,F,Cl,Br,I,CN,NO2,OR6,-NH2,-NH(C1-6烷基),-N(C1-6烷基)2,C1-6烷氧基,C1-6烷硫基,和C1-6烷酰基;Where any of the above (w)-(aa) can be optionally substituted by one or more groups selected from the group consisting of R6 , F, Cl, Br, I, CN, NO2 , OR6 , -NH2 , -NH(C1-6 alkyl), -N(C1-6 alkyl)2 , C1-6 alkoxy, C1-6 alkylthio, and C1-6 alkanoyl ;

每次出现的R11独立地选自下述:Each occurrence ofR is independently selected from the following:

(a)羰基,(b)甲酸基,(c)F,(d)Cl,(e)Br,(f)I,(g)CN,(h)NO2,(i)OR8,(j)-S(O)pR8,(k)-C(O)R8,(l)-C(O)OR8(a) Carbonyl, (b) Formyl, (c) F, (d) Cl, (e) Br, (f) I, (g) CN, (h) NO2 , (i) OR8 , (j) )-S(O)p R8 , (k)-C(O)R8 , (l)-C(O)OR8 ,

(m)-OC(O)R8,(n)-C(O)NR8R8,(o)-OC(O)NR8R8(m)-OC(O)R8 , (n)-C(O)NR8 R8 , (o)-OC(O)NR8 R8 ,

(p)-C(=NR8)R8,(q)-C(R8)(R8)OR8,(r)-C(R8)2OC(O)R8(p)-C(=NR8 )R8 , (q)-C(R8 )(R8 )OR8 , (r)-C(R8 )2 OC(O)R8 ,

(s)-C(R8)(OR8)(CH2)rNR8R8,(t)-NR8R8,(u)-NR8OR8(s)-C(R8 )(OR8 )(CH2 )r NR8 R8 , (t)-NR8 R8 , (u)-NR8 OR8 ,

(v)-NR8C(O)R8,(w)-NR8C(O)OR8,(x)-NR8C(O)NR8R8,(y)-NR8S(O)rR8,(z)-C(OR8)(OR8)R8,(aa)-C(R8)2NR8R8,(bb)=NR8,(cc)-C(S)NR8R8,(dd)-NR8C(S)R8,(ee)-OC(S)NR8R8,(ff)-NR8C(S)OR8,(gg)-NR8C(S)NR8R8(v)-NR8 C(O)R8 , (w)-NR8 C(O)OR8 , (x)-NR8 C(O)NR8 R8 , (y)-NR8 S(O )r R8 , (z)-C(OR8 )(OR8 )R8 , (aa)-C(R8 )2 NR8 R8 , (bb)=NR8 , (cc)-C(S )NR8 R8 , (dd)-NR8 C(S)R8 , (ee)-OC(S)NR8 R8 , (ff)-NR8 C(S)OR8 , (gg)-NR8 C(S)NR8 R8 ,

(hh)-SC(O)R8,(ii)C1-8烷基,(jj)C2-8烯基,(kk)C2-8炔基,(hh)-SC(O)R8 , (ii) C1-8 alkyl, (jj) C2-8 alkenyl, (kk) C2-8 alkynyl,

(ll)C1-8烷氧基,(mm)C1-8烷硫基,(nn)C1-8烷酰基,(oo)3-10元的,饱和的、不饱和的,或芳香的碳环,和(pp)3-10元的,饱和的、不饱和的、或芳香的杂环,含有一个或多个选自氮、氧或硫的杂原子,(ll) C1-8 alkoxy, (mm) C1-8 alkylthio, (nn) C1-8 alkanoyl, (oo) 3-10 yuan, saturated, unsaturated, or aromatic Carbocycles, and (pp) 3-10 membered, saturated, unsaturated, or aromatic heterocycles containing one or more heteroatoms selected from nitrogen, oxygen, or sulfur,

其中(ii)-(kk)中的任何一个可任选地被一个或多个R5Any one of (ii)-(kk) can optionally be replaced by one or more R5

取代;replace;

R12,选自以下:R12 , selected from the following:

(a)H,(b)C1-6烷基,(c)C2-6烯基(d)C2-6炔基(e)-C(O)R5(a) H, (b) C1-6 alkyl, (c) C2-6 alkenyl (d) C2-6 alkynyl (e)-C (O) R5 ,

(f)-C(O)OR5,(g)-C(O)-NR4R4R4R4,(h)-C(S)R5,(i)-C(S)OR5,(j)-C(O)SR5,(k)-C(S)-NR4R4R4R4(f)-C(O)OR5 , (g)-C(O)-NR4 R4 R4 R4 , (h)-C(S)R5 , (i)-C(S)OR5 , (j)-C(O)SR5 , (k)-C(S)-NR4 R4 R4 R4 ,

(l)C3-10饱和的,不饱和的,或者芳香的碳环,(m)3-10元的饱和的,不饱和的,或者芳香的杂环,包含一个或多个选自氮、氧或硫的杂原子,(n)-(C1-6烷基)-C3-10饱和的,不饱和的,或者芳香的碳环,或者(o)-(C1-6烷基)-3-10元的饱和、不饱和或芳香的杂环,包含一个或多个选自氮、氧或硫的杂原子,(l) C3-10 saturated, unsaturated, or aromatic carbocyclic ring, (m) 3-10 membered saturated, unsaturated, or aromatic heterocyclic ring, containing one or more selected from nitrogen, A heteroatom of oxygen or sulfur, (n)-(C1-6 alkyl)-C3-10 saturated, unsaturated, or aromatic carbocycle, or (o)-(C1-6 alkyl) -3-10 membered saturated, unsaturated or aromatic heterocycles containing one or more heteroatoms selected from nitrogen, oxygen or sulfur,

其中上述的(a)至(d)和(l)至(o)中的任何一个可以任选地被一个或者多个R5取代;Wherein any of the above-mentioned (a) to (d) and (l) to (o) may be optionally substituted by one or more R5 ;

任何时候出现的p为0,1,或2;Any occurrence of p is 0, 1, or 2;

任何时候出现的r为0,1,或2;Any occurrence of r is 0, 1, or 2;

任何时候出现的t为0,1,或2;Any occurrence of t is 0, 1, or 2;

任何时候出现的u为0,1,2,3,或4;any time u appears as 0, 1, 2, 3, or 4;

但其条件是But the condition is

i)当T是一个14或15元大环内酯化合物时,D-E不是i) When T is a 14 or 15 membered macrolide compound, D-E is not

ii)当T是一个14或者15元的大环内酯化合物时,F-B’不是ii) When T is a 14- or 15-membered macrolide compound, F-B' is not

Figure A20058001353200671
Figure A20058001353200671

iii)当T是一个14或者15元的大环内酯化合物时,B’-Z-B”不是iii) When T is a 14- or 15-membered macrolide compound, B'-Z-B" is not

Figure A20058001353200672
Figure A20058001353200672

iv)当T是一个14或者15元的大环内酯化合物时,R11不是iv) When T is a 14- or 15-membered macrolide compound, R11 is not

v)当该化合物为式I,和T是v) when the compound is formula I, and T is

Figure A20058001353200681
Figure A20058001353200681

时,D不是一个单键或-CH2-,when D is not a single bond or -CH2 -,

vi)当该化合物为式I,和T是一个14或者15元的大环内酯化合物时,-D-E-F-不是-CH2-,vi) When the compound is of formula I, and T is a 14- or 15-membered macrolide compound, -DEF- is not -CH2 -,

vii)当该化合物为式I,和T是一个14或者15元的大环内酯化合物时,-D-E-F-G-不是下面表A中的基团vii) When the compound is formula I, and T is a 14- or 15-membered macrolide compound, -D-E-F-G- is not a group in Table A below

                     表AForm A

viii)当该化合物为式II,和T是一个16元的大环内酯化合物时,viii) when the compound is formula II, and T is a 16-membered macrolide compound,

i.-D-E不是通过其异头碳连接的葡糖苷,i.-D-E is not a glucoside linked through its anomeric carbon,

ii.-D-E-F-G-不是连接在5-10元单环或双环的碳环或者杂环的,或连接在5或6元的碳环或杂环且进一步连接了5或6元的碳环或杂环的C1-4(烷基),C2-4(烯基),C2-4(炔基)链,这里的所有碳环或杂环可任选地被一个或多个选自以下的基团取代,(aa)-OH,(bb)-F,(cc)-Cl,(dd)-I,和(ee)-NO2,和ii.-DEFG-is not attached to a 5-10-membered monocyclic or bicyclic carbocyclic or heterocyclic ring, or is attached to a 5- or 6-membered carbocyclic or heterocyclic ring and is further attached to a 5- or 6-membered carbocyclic or heterocyclic ring C1-4 (alkyl), C2-4 (alkenyl), C2-4 (alkynyl) chains of the ring, where all carbocyclic or heterocyclic rings may optionally be selected from one or more of the following The group substitution of, (aa)-OH, (bb)-F, (cc)-Cl, (dd)-I, and (ee)-NO2 , and

iii.-D-E-F-G-不是选自下面表B的基团iii. -D-E-F-G- is not a group selected from Table B below

                       表BForm B

Figure A20058001353200691
Figure A20058001353200691

在具体的实施方案中,本发明提供下式化合物:In specific embodiments, the invention provides compounds of the formula:

Figure A20058001353200692
Figure A20058001353200692

或者其药学上可接受的盐,酯,N-氧化物,或者前体药物,其中T,D,E,F,G,R1,R2,和R3是如前面所定义的。or a pharmaceutically acceptable salt, ester, N-oxide, or prodrug thereof, wherein T, D, E, F, G, R1 , R2 , and R3 are as defined above.

前述化合物的其他实施方案包括具有以下分子式的化合物:Other embodiments of the aforementioned compounds include compounds having the formula:

Figure A20058001353200701
Figure A20058001353200701

或者其药学上可接受的盐,酯,N-氧化物,或者前体药物,其中T,D,E,F,G,R1,R2,和R3如前面所定义。Or a pharmaceutically acceptable salt, ester, N-oxide, or prodrug thereof, wherein T, D, E, F, G, R1 , R2 , and R3 are as defined above.

前述化合物的其他实施方案还包括那些具有以下分子式的化合物:Other embodiments of the aforementioned compounds include those compounds having the formula:

或者其药学上可接受的盐,酯,N-氧化物,或者前体药物,其中T,D,E,F,G,R1,R2,和R3如前面所定义。Or a pharmaceutically acceptable salt, ester, N-oxide, or prodrug thereof, wherein T, D, E, F, G, R1 , R2 , and R3 are as defined above.

本发明前述化合物的其他实施方案还包括那些,当T是一个通过大环碳原子连接的14或者15元的大环内酯化合物,(即,不是16元的大环内酯化合物)。在其他实施方案中,T是一个通过大环碳原子连接的16元的大环内酯化合物,(即,不是14或15元的大环内酯化合物)。Other embodiments of the aforementioned compounds of this invention include those when T is a 14- or 15-membered macrolide compound, (ie, not a 16-membered macrolide compound) attached through a macrocyclic carbon atom. In other embodiments, T is a 16-membered macrolide linked through a macrocyclic carbon atom, (ie, not a 14- or 15-membered macrolide).

在其他的实施例中,当T是一个14-、15-,或16元大环内酯化合物时,In other embodiments, when T is a 14-, 15-, or 16-membered macrolide compound,

i)D-E不是i) D-E is not

ii)F-B′不是ii) F-B' is not

Figure A20058001353200712
Figure A20058001353200712

iii)B′-Z-B″不是iii) B'-Z-B" is not

iv)R11不是iv) R11 is not

Figure A20058001353200714
Figure A20058001353200714

前述化合物的其他实施方案包括那些G是B′的。前述化合物的另一些实施方案包括B′选自下述:(a)芳基,(b)杂芳基,(c)联芳基,和(d)稠和的双环或三环的不饱和的或者芳香的环系统,任选地被一个或者多个羰基和一个或多个选自氮、氧和硫的杂原子取代,其中上述的每一个(a)至(d)都可以被一个或者多个R11取代。Other embodiments of the foregoing compounds include those wherein G is B'. Other embodiments of the aforementioned compounds include B' selected from the group consisting of (a) aryl, (b) heteroaryl, (c) biaryl, and (d) fused bicyclic or tricyclic unsaturated Or an aromatic ring system, optionally substituted by one or more carbonyl groups and one or more heteroatoms selected from nitrogen, oxygen and sulfur, wherein each of (a) to (d) above can be replaced by one or more Each R11 is substituted.

前述化合物的其他实施方案包括那些E是Other embodiments of the aforementioned compounds include those where E is

(a)3-10元的,饱和的、或不饱和的,或者芳香的杂环,包含一个或多个选自氮、氧和硫的杂原子,(a) 3-10 membered, saturated, or unsaturated, or aromatic heterocycles containing one or more heteroatoms selected from nitrogen, oxygen, and sulfur,

(b)3-10元的,饱和或不饱和的,或芳香族的,碳环(b) 3-10 membered, saturated or unsaturated, or aromatic, carbocyclic

(c)-W-[3-10元的,饱和或不饱和,或者芳香的杂环,包含一个或多个选自氮、氧和硫的杂原子],(c)-W-[3-10 membered, saturated or unsaturated, or aromatic heterocycle containing one or more heteroatoms selected from nitrogen, oxygen and sulfur],

(d)-W-[3-10元的,饱和或不饱和的,或芳香族的,碳环](d)-W-[3-10 membered, saturated or unsaturated, or aromatic, carbocycle]

(e)-C(O)-,(f)-C(O)O-,(g)-C(O)NR4-,(h)-C(=NR4)-,(e)-C(O)-, (f)-C(O)O-, (g)-C(O)NR4 -, (h)-C(=NR4 )-,

(i)-C(=NR4)O-,(j)-C(=NR4)NR4-,(k)-OC(O)-,(l)-OC(O)O-,(i)-C(=NR4 )O-, (j)-C(=NR4 )NR4 -, (k)-OC(O)-, (l)-OC(O)O-,

(m)-OC(O)NR4-,(n)-NR4C(O)-,(o)-NR4C(O)O-,(m)-OC(O)NR4 -, (n)-NR4 C(O)-, (o)-NR4 C(O)O-,

(p)-NR4C(O)NR4-,(q)-NR4C(=NR4)NR4-,(r)-S(O)p-,(p)-NR4 C(O)NR4 -, (q)-NR4 C(=NR4 )NR4 -, (r)-S(O)p -,

(s)-NR4S(O)2-,(t)-S(O)2NR4-,(u)-C(N-OR4)-,(v)-C(N-NR4R4)-,(s)-NR4 S(O)2 -, (t)-S(O)2 NR4 -, (u)-C(N-OR4 )-, (v)-C(N-NR4 R4 )-,

(w)-C(S)NR4-,(x)-NR4C(S)-,(y)-C(S)O-,or(z)-OC(S)-,(w)-C(S)NR4 -, (x)-NR4 C(S)-, (y)-C(S)O-, or(z)-OC(S)-,

其中in

i)(a)至(d)中的任何一个都任意可被一个或更多的R5基团取代,和i) any of (a) to (d) can optionally be substituted by one or moreR groups, and

ii)W选自以下基团:ii) W is selected from the following groups:

(aa)-OCO-,(bb)-OC(O)O-,(cc)-OC(O)NR4-,(dd)-NR4C(O)O-,(ee)-OCNOR4-,(ff)-NR4-C(O)O-,(gg)-C(S)(NR4)-,(hh)-NR4-,(ii)-OC(S)O-,(ii)-OC(S)NR4-,(kk)-NR4C(S)O-,(ll)-OC(S)NOR4-,(mm)-C(S)O-,(nn)-OC(S)-,(aa)-OCO-, (bb)-OC(O)O-, (cc)-OC(O)NR4 -, (dd)-NR4 C(O)O-, (ee)-OCNOR4 - , (ff)-NR4 -C(O)O-, (gg)-C(S)(NR4 )-, (hh)-NR4 -, (ii)-OC(S)O-, (ii )-OC(S)NR4 -, (kk)-NR4 C(S)O-, (ll)-OC(S)NOR4 -, (mm)-C(S)O-, (nn)- OC(S)-,

(oo)-C(O)-,(pp)-C(O)O-,(qq)-C(O)NR4-,(rr)-C(=NR4)-,(oo)-C(O)-, (pp)-C(O)O-, (qq)-C(O)NR4 -, (rr)-C(=NR4 )-,

(ss)-C(=NR4)O-,(tt)-C(=NR4)NR4-,(uu)-OC(O)-,(vv)-OC(O)O-,(ww)-OC(O)NR4-,(xx)-NR4C(O)-,(yy)-NR4C(O)O-,(zz)-NR4C(O)NR4-,(aaa)-NR4C(=NR4)NR4-,(ss)-C(=NR4 )O-, (tt)-C(=NR4 )NR4 -, (uu)-OC(O)-, (vv)-OC(O)O-, (ww )-OC(O)NR4 -, (xx)-NR4 C(O)-, (yy)-NR4 C(O)O-, (zz)-NR4 C(O)NR4 -, ( aaa)-NR4 C(=NR4 )NR4 -,

(bbb)-S(O)p-,(ccc)-NR4S(O)2-,(ddd)-S(O)2NR4-,(eee)-C(N-OR4)-,(fff)-C(N-NR4R4)-,(ggg)-C(S)NR4-,or(hhh)-NR4C(S)-.(bbb)-S(O)p -, (ccc)-NR4 S(O)2 -, (ddd)-S(O)2 NR4 -, (eee)-C(N-OR4 )-, (fff)-C(N-NR4 R4 )-, (ggg)-C(S)NR4 -, or(hhh)-NR4 C(S)-.

前述化合物的其他实施方案包括那些Other embodiments of the aforementioned compounds include those

D选自下述基团:D is selected from the following groups:

(a)C1-6烷基,(b)C2-6烯基,(c)C2-6炔基,其中,(a) C1-6 alkyl, (b) C2-6 alkenyl, (c) C2-6 alkynyl, wherein,

(i)D的(a)至(c)组中任何一个的O-2个碳原子可任意地被选自O,S(O)P和NR4的基团取代,(i) O-2 carbon atoms of any one of (a) to (c) groups of D may be optionally substituted with a group selected from O, S(O)P andNR ,

(ii)D的(a)至c)中的任何一个都可被一个或更多的R5基团取代,和(ii) any of (a) to c) of D may be substituted with one or moreR groups, and

F选自以下基团:F is selected from the following groups:

(a)单键(b)C1-6烷基,(c)C2-6烯基,(d)C2-6炔基,其中,(a) single bond (b) C1-6 alkyl, (c) C2-6 alkenyl, (d) C2-6 alkynyl, wherein,

(i)F的(b)至(d)组中的任何一个的0-2个碳原子可任意地被选自O,S(O)P和NR4的基团取代,(i) 0-2 carbon atoms of any one of groups (b) to (d) of F may be optionally substituted by a group selected from O, S(O)P andNR ,

(ii)F的(b)至(d)中的任何一个都可被一个或更多的R5基团取代,(ii) any of (b) to (d) of F may be substituted by one or moreR groups,

(iii)F的(b)至(d)中的任何一个都可被C1-6烷基-R5基团取代;(iii) Any one of (b) to (d) of F may be substituted by a C1-6 alkyl-R5 group;

前述化合物的其他实施方案包括那些E选自以下基团:Other embodiments of the aforementioned compounds include those where E is selected from the following groups:

(a)3-10元的,饱和的、或不饱和的、或者芳香的杂环,包含一个或多个选自氮、氧和硫的杂原子,(a) 3-10 membered, saturated, or unsaturated, or aromatic heterocycles containing one or more heteroatoms selected from nitrogen, oxygen, and sulfur,

(b)3-10元的,饱和或不饱和的,或芳香族的,碳环,(b) 3-10 membered, saturated or unsaturated, or aromatic, carbocyclic,

(c)-W-[3-10元的,饱和的、或不饱和的,或者芳香的杂环,包含一个或多个选自氮、氧和硫的杂原子],(c)-W-[3-10 membered, saturated, or unsaturated, or aromatic heterocycle containing one or more heteroatoms selected from nitrogen, oxygen and sulfur],

(d)-W-[3-10元的,饱和或不饱和的,或芳香族的,碳环],(d)-W-[3-10 membered, saturated or unsaturated, or aromatic, carbocycle],

(e)-C(O)-,(f)-C(O)O-,(g)-C(O)NR4-,(h)-C(=NR4)-,(i)-C(=NR4)O-,(j)-C(=NR4)NR4-,(k)-OC(O)-,(l)-OC(O)O-,(e)-C(O)-, (f)-C(O)O-, (g)-C(O)NR4 -, (h)-C(=NR4 )-, (i)-C (=NR4 )O-, (j)-C(=NR4 )NR4 -, (k)-OC(O)-, (l)-OC(O)O-,

(m)-OC(O)NR4-,(n)-NR4C(O)-,(o)-NR4C(O)O-,(p)-NR4C(O)NR4-,(q)-NR4C(=NR4)NR4-,(r)-S(O)p-,(s)-NR4S(O)2-,(t)-S(O)2NR4-,(u)-C(N-OR4)-,(v)-CH2-,(w)-C(N-NR4R4)-,(x)-C(S)NR4,(Y)-NR4C(S)-,(Z)-C(S)O-,or(aa)-OC(S)-,(m)-OC(O)NR4 -, (n)-NR4 C(O)-, (o)-NR4 C(O)O-, (p)-NR4 C(O)NR4 - , (q)-NR4 C(=NR4 )NR4 -, (r)-S(O)p -, (s)-NR4 S(O)2 -, (t)-S(O)2 NR4 -, (u)-C(N-OR4 )-, (v)-CH2 -, (w)-C(N-NR4 R4 )-, (x)-C(S)NR4 , (Y)-NR4 C(S)-, (Z)-C(S)O-, or(aa)-OC(S)-,

其中in

i)(a)至(d)中的任何一个都任意可被一个或更多的R5基团取代,和i) any of (a) to (d) can optionally be substituted by one or moreR groups, and

ii)W选自以下基团:ii) W is selected from the following groups:

(aa)-OCO-,(bb)-OC(O)O-,(cc)-OC(O)NR4-,(aa)-OCO-, (bb)-OC(O)O-, (cc)-OC(O)NR4 -,

(dd)-NR4C(O)O-,(ee)-OCNOR4-,(dd)-NR4 C(O)O-, (ee)-OCNOR4 -,

(ff)-NR4-C(O)O-,(gg)-C(S)(NR4)-,(hh)-NR4(ff)-NR4 -C(O)O-, (gg)-C(S)(NR4 )-, (hh)-NR4 ,

(ii)-OC(S)O-,(jj)-OC(S)NR4-,(kk)-NR4C(S)O-,(ll)-OC(S)NOR4-,(mm)-C(S)O-,(nn)-OC(S),(oo)-C(O)-,(pp)-C(O)O-,(qq)-C(O)NR4-,(rr)-C(=NR4)-,(ii)-OC(S)O-, (jj)-OC(S)NR4 -, (kk)-NR4 C(S)O-, (ll)-OC(S)NOR4 -, (mm )-C(S)O-, (nn)-OC(S), (oo)-C(O)-, (pp)-C(O)O-, (qq)-C(O)NR4 - , (rr)-C(=NR4 )-,

(ss)-C(=NR4)O-,(tt)-C(=NR4)NR4-,(uu)-OC(O)-,(vv)-OC(O)O-,(ww)-OC(O)NR4-,(xx)-NR4C(O)-,(yy)-NR4C(O)O-,(zz)-NR4C(O)NR-,(aaa)-NR4C(=NR4)NR4-,(ss)-C(=NR4 )O-, (tt)-C(=NR4 )NR4 -, (uu)-OC(O)-, (vv)-OC(O)O-, (ww )-OC(O)NR4 -, (xx)-NR4 C(O)-, (yy)-NR4 C(O)O-, (zz)-NR4 C(O)NR-, (aaa )-NR4 C(=NR4 )NR4 -,

(bbb)-S(O)p-,(ccc)-NR4S(O)2-,(ddd)-S(O)2NR4-,(eee)-C(N-OR4)-,(fff)-C(N-NR4R4)-,(ggg)-C(S)NR4-,or(hhh)-NR4C(S)-.(bbb)-S(O)p -, (ccc)-NR4 S(O)2 -, (ddd)-S(O)2 NR4 -, (eee)-C(N-OR4 )-, (fff)-C(N-NR4 R4 )-, (ggg)-C(S)NR4 -, or(hhh)-NR4 C(S)-.

前述化合物其他的实施方案包括,E选自下述基团:Other embodiments of the aforementioned compounds include, E is selected from the following groups:

(a)3-10元的,饱和的、或不饱和的、或者芳香的杂环,包含一个或多个选自氮、氧和硫的杂原子,(a) 3-10 membered, saturated, or unsaturated, or aromatic heterocycles containing one or more heteroatoms selected from nitrogen, oxygen, and sulfur,

(b)3-10元的,饱和或不饱和的,或芳香族的,碳环,(b) 3-10 membered, saturated or unsaturated, or aromatic, carbocyclic,

其中(a)和(b)可以被一个或多个任选取代R5基团取代。wherein (a) and (b) may be substituted by one or more optionally substitutedR groups.

前述化合物其他的实施方案包括,E选自下述基团:Other embodiments of the aforementioned compounds include, E is selected from the following groups:

(a)-C(O)-,(b)-C(O)O-,(c)-C(O)NR4-,(d)-C(=NR4)-,(a)-C(O)-, (b)-C(O)O-, (c)-C(O)NR4 -, (d)-C(=NR4 )-,

(e)-C(=NR4)O-,(f)-C(=NR4)NR4-,(g)-OC(O)-,(h)-OC(O)O-,(i)-OC(O)NR4-,(j)-NR4C(O)-,(k)-NR4C(O)O-,(l)-NR4C(O)NR4-,(m)-NR4C(=NR4)NR4-,(n)-S(O)p-,(o)-NR4S(O)2-,(p)-S(O)2NR4-,(q)-C(N-OR4)-,(r)-CH2-,(s)-C(N-NR4R4)-,(t),-C(S)NR4,(u)-NR4C(S),(v)-C(S)O,and(w)-OC(S)-.(e)-C(=NR4 )O-, (f)-C(=NR4 )NR4 -, (g)-OC(O)-, (h)-OC(O)O-, (i )-OC(O)NR4 -, (j)-NR4 C(O)-, (k)-NR4 C(O)O-, (l)-NR 4C(O)NR4 -, ( m)-NR4 C(=NR4 )NR4 -, (n)-S(O)p -, (o)-NR4 S(O)2 -, (p)-S(O)2 NR4 -, (q)-C(N-OR4 )-, (r)-CH2 -, (s)-C(N-NR4 R4 )-, (t), -C(S)NR4 , (u)-NR4 C(S), (v)-C(S)O, and (w)-OC(S)-.

前述化合物其他的实施方案包括,T是:Other embodiments of the aforementioned compounds include, T is:

Figure A20058001353200761
Figure A20058001353200761

或者其N-氧化物,药学上可接受的盐,酯,或者前体药物,or its N-oxide, pharmaceutically acceptable salt, ester, or prodrug,

其中:in:

M选自以下基团:M is selected from the following groups:

(a)-C((O)-,(b)-CH(-OR114)-,(c)-NR114-CH2-,(d)-CH2-NR114-,(e)-CH(NR114R114)-,(f)-C(=NNR114R114)-,(g)-NR114-C(O)-,(h)-C(O)NR114-,(i)-C(=NR114)-,and(j)-CR115R115-,(k)-C(=NOR127)-;(a)-C((O)-, (b)-CH(-OR114 )-, (c)-NR114 -CH2 -, (d)-CH2 -NR114 -, (e)-CH (NR114 R114 )-, (f)-C(=NNR114 R114 )-, (g)-NR114 -C(O)-, (h)-C(O)NR114 -, (i) -C(=NR114 )-, and (j)-CR115 R115 -, (k)-C(=NOR127 )-;

R100选自氢或C1-6烷基;R100 is selected from hydrogen or C1-6 alkyl;

R101选自以下基团:R101 is selected from the following groups:

(a)H,(b)Cl,(c)F,(d)Br,(e)I,(f)-NR114R114,(g)-NR114C(O)R114,(h)-OR114(a) H, (b) Cl, (c) F, (d) Br, (e) I, (f)-NR114 R114 , (g)-NR114 C(O)R114 , (h) -OR114 ,

(i)-OC(O)R114,(j)-OC(O)OR114,(k)-OC(O)NR114R114,(l)-O-C1-6烷基,(i)-OC(O)R114 , (j)-OC(O)OR114 , (k)-OC(O)NR114 R114 , (l)-OC1-6 alkyl,

(m)-OC(O)-C1-6烷基,(n)-OC(O)O-C1-6烷基,(o)-OC(O)NR114-C1-6烷基,(p)C1-6烷基,(q)C1-6烯基,(r)C1-6炔基(m)-OC(O)-C1-6 alkyl, (n)-OC(O)OC1-6 alkyl, (o)-OC(O)NR114 -C1-6 alkyl, ( p) C1-6 alkyl, (q) C1-6 alkenyl, (r) C1-6 alkynyl

其中(l)至(r)中的任何一个可以任选地被一个或者多个R115取代;wherein any one of (l) to (r) can be optionally substituted by one or more R115 ;

R102是氢,R102 is hydrogen,

R103选自以下基团:R103 is selected from the following groups:

(a)H,(b)-OR114,(c)-O-C1-6烷基-R115,(d)-OC((O)R114(a) H, (b)-OR114 , (c)-OC1-6 alkyl-R115 , (d)-OC((O)R114 ,

(e)-OC(O)-C1-6烷基-R115,(f)-OC(O)OR114,(g)-OC(O)O-C1-6烷基-R115(e)-OC(O)-C1-6 alkyl-R115 , (f)-OC(O)OR114 , (g)-OC(O)OC1-6 alkyl-R115 ,

(h)-OC(O)NR114R114,(i)-OC(O)NR114-C1-6烷基-R115,和(j)(h)-OC(O)NR114 R114 , (i)-OC(O)NR114 -C1-6 alkyl-R115 , and (j)

或者,R102和R103一起构成羰基;Alternatively, R102 and R103 together form a carbonyl;

或者,R101和R103都与它们所连接的碳之间为单键,这样在R100和R102之间形成了一个双键;Alternatively, both R101 and R103 are single bonds to the carbons to which they are attached, thus forming a double bond between R100 and R102 ;

或者,R101和R103一起取自环氧基团。Alternatively, R101 and R103 are taken together from an epoxy group.

R104取自以下基团:R104 is taken from the following groups:

(a)H,(b)R114,(c)-C(O)R114(d)-C(O)OR114(e)-C(O)NR114R114,(f)-C1-6烷基-K-R114,(g)-C2-6烯基-K-R114,和(h)C2-6炔基-K-R114(a)H, (b)R114 , (c)-C(O)R114 (d)-C(O)OR114 (e)-C(O)NR114 R114 , (f)-C1 -6 alkyl-KR114 , (g)-C2-6 alkenyl-KR114, and (h) C2-6 alkynyl-KR114 ;

或者,R103和R104与它们所连接的原子一起共同形成:Alternatively, R103 and R104 together with the atoms they are attached to form:

Figure A20058001353200781
Figure A20058001353200781

K选自以下基团:K is selected from the following groups:

(a)-C(O)-,(b)-C(O)O-,(c)-C(O)NR114-,(d)-C(=NR114)-,(e)-C(=NR114)O-,(a)-C(O)-, (b)-C(O)O-, (c)-C(O)NR114 -, (d)-C(=NR114 )-, (e)-C (=NR114 )O-,

(f)-C(=NR114)NR114-,(g)-OC(O)-,(h)-OC(O)O-,(i)-OC(O)NR114-,(f)-C(=NR114 )NR114 -, (g)-OC(O)-, (h)-OC(O)O-, (i)-OC(O)NR114 -,

(j)-NR114C(O)-,(k)-NR114C(O)O-,(l)-NR114C(O)NR114-,(j)-NR114 C(O)-, (k)-NR114 C(O)O-, (l)-NR114 C(O)NR114- ,

(m)-NR114C(=NR114)NR114-,和(o)-S(O)p-;(m)-NR114 C (=NR114 )NR114 -, and (o)-S(O)p -;

R105选自以下基团:R105 is selected from the following groups:

(a)R114,(b)-OR114,(c)-NR114,(d)-O-C1-6烷基-R115,(e)-C(O)-R114,(f)- C(O)-C1-6烷基-R115,(g)-OC(O)-R114,(h)-OC(O)-C1-6烷基-R115(a) R114 , (b)-OR114 , (c)-NR114 , (d)-OC1-6 alkyl-R115 , (e)-C(O)-R114 , (f)- C(O)-C1-6 alkyl-R115 , (g)-OC(O)-R114 , (h)-OC(O)-C1-6 alkyl-R115 ,

(i)-OC(O)O-R114,(j)-OC(O)O-C1-6烷基-R115,(K)-OC(O)NR114R114(i)-OC(O)OR114 , (j)-OC(O)OC1-6 alkyl-R115 , (K)-OC(O)NR114 R114 ,

(l)-OC(O)NR114-C1-6烷基-R115,(m)-C(O)-C2-6烯基-R115,和(l)-OC(O)NR114 -C1-6 alkyl-R115 , (m)-C(O)-C2-6 alkenyl-R115 , and

(n)-C(O)-C2-6炔基-R115(n)-C(O)-C2-6 alkynyl-R115 ;

或者,R104和R105与它们所连接的原子一起共同形成:Alternatively, R104 and R105 together with the atoms they are attached to form:

Figure A20058001353200791
Figure A20058001353200791

其中Q是CH或N,和R126是-OR114,-NR114,或R114wherein Q is CH or N, and R126 is -OR114 , -NR114 , or R114 ;

或者R104和R105与它们所连接的原子一起共同形成:Or R104 and R105 together with the atoms they are attached to form:

其中in

i)R101如前述定义的;i) R101 is as defined above;

ii)或者R101和R109一起构成羰基,ii) or R101 and R109 together form a carbonyl group,

iii)或者R101和R109一起共同形成-O(CR116R116)UO-;iii) or R101 and R109 together form -O(CR116 R116 )U O-;

或者R104和R105与它们所连接的原子一起共同形成:Or R104 and R105 together with the atoms they are attached to form:

Figure A20058001353200793
Figure A20058001353200793

i)R130是-OH,=C(O),或R114i) R130 is -OH, =C(O), or R114 ,

ii)R131是-OH,=C(O)或R114ii) R131 is -OH, =C(O) or R114 ,

iii)或者,R130和R131同他们共同连接的碳原子一起形成3-7元的,饱和的、不饱和的、或芳香族的碳环或者杂环,并可任选地被一个或多个R114基团取代;iii) Alternatively, R130 and R131 form a 3-7 membered, saturated, unsaturated, or aromatic carbocyclic or heterocyclic ring together with their common carbon atoms, and may optionally be surrounded by one or more R114 groups are substituted;

R106选自以下基团:R106 is selected from the following groups:

(a)-OR114,(b)-C1-6alkoxy-R115,(c)-C(O)R114,(d)-OC(O)R114,(e)-OC(O)OR114,(f)-OC(O)NR114R114,和(g)-NR114R114(a)-OR114 , (b)-C1-6 alkoxy-R115 , (c)-C(O)R114 , (d)-OC(O)R114 , (e)-OC(O) OR114 , (f)-OC(O)NR114 R114 , and (g)-NR114 R114 ,

或者,R105和R106与他们共同相连的原子,通过与选自下列的基团相连从而共同形成一个5元环:Alternatively, R105 and R106 and the atoms they are jointly connected to form a 5-membered ring together by connecting with a group selected from the following groups:

(a)-OC(R115)2O-,(b)-OC(O)O-,(c)-OC(O)NR114-,(d)-NR114C(O)O-,(a)-OC(R115 )2 O-, (b)-OC(O)O-, (c)-OC(O)NR114- , (d)-NR114 C(O)O-,

(e)-OC(O)NOR114-,(f)-NOR114-C(O)O-,(g)-OC(O)NNR114R114-,(e)-OC(O)NOR114- , (f)-NOR114 -C(O)O-, (g)-OC(O)NNR114 R114- ,

(h)-NNR114R114-C(O)O-,(i)-OC(O)C(R115)2-,(j)-C(R115)2C(O)O-,(k)-OC(S)O-,(l)-OC((S)NR114-,(m)-NR114C(S)O-,(n)-OC(S)NOR114-,(o)-NOR114-C(S)O-,(p)-OC(S)NNR114R114-,(q)-NNR114R114-C(S)O-,(r)-OC(S)C(R115)2-,and(s)-C(R115)2C(S)O-;(h)-NNR114 R114 -C(O)O-, (i)-OC(O)C(R115 )2 -, (j)-C(R115 )2 C(O)O-, ( k)-OC(S)O-, (l)-OC((S)NR114 -, (m)-NR114 C(S)O-, (n)-OC(S)NOR114 -, (o )-NOR114 -C(S)O-, (p)-OC(S)NNR114 R114 -, (q)-NNR114 R114 -C(S)O-, (r)-OC(S) C(R115 )2 -, and(s)-C(R115 )2 C(S)O-;

或者,M,R105,和R106一起与他们所相连的原子共同形成:Alternatively, M, R105 , and R106 together form with the atoms to which they are attached:

其中J选自O,S和NR114Wherein J is selected from O, S and NR114 ;

或者,M和R104与它们相连接的原子共同形成以下结构:Alternatively, M and R104 together with the atoms to which they are attached form the following structure:

Figure A20058001353200821
Figure A20058001353200821

R107选自以下基团:R107 is selected from the following groups:

(a)H,(b)-C1-4烷基,(c)-C2-4烯基,并可进一步被C1-12烷基或者一个或更多卤素原子取代,(d)-C2-4炔基,并可进一步被C1-12烷基或者一个或更多卤素原子取代,(e)芳基或杂芳基,并可进一步被C1-12烷基或者一个或更多卤素原子取代,(f)-C(O)H,(g)-COOH,(h)-CN  (i)-COOR114,(j)-C(O)NR114R114,(k)-C(O)R114,和(l)-C(O)SR114,上述的(b)可进一步被一个或多个以下基团取代:(a) H, (b)-C1-4 alkyl, (c)-C2-4 alkenyl, and can be further replaced by C1-12 alkyl or one or more halogen atoms, (d)- C2-4 alkynyl, and may be further substituted by C1-12 alkyl or one or more halogen atoms, (e) aryl or heteroaryl, and may be further substituted by C1-12 alkyl or one or more Multi-halogen substitution, (f)-C(O)H, (g)-COOH, (h)-CN (i)-COOR114 , (j)-C(O)NR114 R114 , (k)- C(O)R114 , and (l)-C(O)SR114 , the above (b) can be further substituted by one or more of the following groups:

(aa)-OR114,(bb)卤素,(cc)-SR114,(dd)C1-12烷基,可进一步被卤素原子和羟基取代,(ee)-OR114,(ff)-SR114,(gg)-NR114R114,(hh)-CN,(ii)-NO2,(jj)-NCR114,(kk)-COO R114,(ll)-N3,(mm)=N-O-R114,(nn)=N R114,(oo)=NNR114R114,(pp)=N-NH-C(O)R114,和(qq)=N-NH-C(O)NR114R114(aa)-OR114 , (bb) halogen, (cc)-SR114 , (dd) C1-12 alkyl, which can be further substituted by halogen atoms and hydroxyl, (ee)-OR114 , (ff)-SR114 , (gg)-NR114 R114 , (hh)-CN, (ii)-NO2 , (jj)-NCR114 , (kk)-COO R114 , (ll)-N3 , (mm)= NOR114 , (nn)=NR114 , (oo)=NNR114 R114 , (pp)=N-NH-C(O)R114 , and (qq)=N-NH-C(O)NR114 R114 ;

或者,R106和R107与它们所连接的原子共同形成一个环氧基团,羰基,烯烃,或取代的烯烃,或一个C3-7碳环,碳酸盐或氨基甲酸盐,所述氨基甲酸盐上的氮可进一步被C1-6烷基取代;Alternatively, R106 and R107 together with the atoms they are connected to form an epoxy group, carbonyl, alkene, or substituted alkene, or a C3-7 carbon ring, carbonate or carbamate, said The nitrogen on the carbamate can be further substituted by C1-6 alkyl;

R108选自以下基团:R108 is selected from the following groups:

(a)C1-6烷基,(b)C2-6烯基,和(c)C2-6炔基,所述的(a)至(c)中的任何一个可任选被一个或更多的R114取代;(a) C1-6 alkyl, (b) C2-6 alkenyl, and (c) C2-6 alkynyl, any one of (a) to (c) can be optionally replaced by one or more R114 substitutions;

R111选自H和-C(O)R114R111 is selected from H and -C(O)R114 ;

R112选自H,OH和-OR114R112 is selected from H, OH and -OR114 ;

R113选自以下基团:R113 is selected from the following groups:

(a)H,(b)R114,(c)-C1-6烷基-K-R114,(d)-C2-6烯基-K-R114,(e)-C2-6炔基-K-R114(a) H, (b) R114 , (c)-C1-6 alkyl-KR114 , (d)-C2-6 alkenyl-KR114 , (e)-C2-6 alkynyl- KR114 ,

其中(c)-(e)中的任何一个可任选地被一个或多个R115取代;wherein any of (c)-(e) may be optionally substituted by one or more R115 ;

每次出现的R114独立地选自以下基团:Each occurrence of R114 is independently selected from the following groups:

(a)H,(b)C1-6烷基,(c)C2-6烯基,(d)C2-6炔基,(e)C6-10饱和的,不饱和的,或者芳香的碳环,(f)3-12元的饱和的,不饱和的,或者芳香的杂环,包含一个或多个选自氮、氧或硫的杂原子,(g)-C(O)-C1-6烷基,(h)-C(O)-C2-6烯基,(i)-C(O)-C2-6炔基,(j)-C(O)-C6-10饱和的,不饱和的,或者芳香的碳环,(k)-C(O)-3-12元的饱和的,不饱和的,或者芳香的杂环,包含一个或多个选自氮、氧或硫的杂原子,(l)-C(O)O-C1-6烷基,(m)-C(O)O-C2-6烯基,(n)-C(O)O-C2-6炔基,(o)-C(O)O-C6-10饱和的,不饱和的,或者芳香的碳环,(p)-C(O)O-3-12元的饱和的,不饱和的,或者芳香的杂环,包含一个或多个选自氮、氧或硫的杂原子,和(q)-C(O)NR116R116R116(a) H, (b) C1-6 alkyl, (c) C2-6 alkenyl, (d) C2-6 alkynyl, (e) C6-10 saturated, unsaturated, or Aromatic carbocycle, (f) 3-12 membered saturated, unsaturated, or aromatic heterocycle containing one or more heteroatoms selected from nitrogen, oxygen, or sulfur, (g)-C(O) -C1-6 alkyl, (h)-C(O)-C2-6 alkenyl, (i)-C(O)-C2-6 alkynyl, (j)-C(O)-C6-10 saturated, unsaturated, or aromatic carbocyclic rings, (k)-C (O)-3-12 membered saturated, unsaturated, or aromatic heterocyclic rings, containing one or more selected from Heteroatoms of nitrogen, oxygen or sulfur, (l)-C(O)OC1-6 alkyl, (m)-C(O)OC2-6 alkenyl, (n)-C(O)OC2- 6 alkynyl, (o)-C(O)OC6-10 saturated, unsaturated, or aromatic carbocycle, (p)-C(O)O-3-12 membered saturated, unsaturated , or an aromatic heterocycle containing one or more heteroatoms selected from nitrogen, oxygen or sulfur, and (q)-C(O)NR116 R116 R116 ,

其中(b)-(p)中的任何一个可以任选地被一个或多个R115Any one of (b)-(p) can optionally be replaced by one or more R115

取代,(b)-(p)其中任何一个非端点的碳可以任选地被氧,S(O)p或-NR116取代;Replacement, (b)-(p) wherein any non-terminal carbon can be optionally substituted by oxygen, S(O)p or -NR116 ;

或者,NR114R114形成3-7元的,饱和或不饱和的,或芳香族的碳环,包括与R114连接的氮原子,并且可任选地被一个或多个氧,S(O)P,氮或-NR118取代;Alternatively, NR114 R114 forms a 3-7 membered, saturated or unsaturated, or aromatic carbocyclic ring comprising a nitrogen atom attached to R114 and optionally replaced by one or more oxygen, S(O )P , nitrogen or -NR118 substitution;

R115选自:R115 is selected from:

(a)R117,(b)C1-8烷基,(c)C2-8烯基,(d)C2-8炔基,(e)C3-12饱和的,不饱和的,或者芳香的碳环,(f)3-12元的饱和的,不饱和的,或者芳香的杂环,包含一个或多个选自氮、氧或硫的杂原子,其中任一个(b)-(p)基团可以任选地被一个或多个R117取代;(a) R117 , (b) C1-8 alkyl, (c) C2-8 alkenyl, (d) C2-8 alkynyl, (e) C3-12 saturated, unsaturated, Or an aromatic carbocyclic ring, (f) 3-12 membered saturated, unsaturated, or aromatic heterocyclic rings, containing one or more heteroatoms selected from nitrogen, oxygen or sulfur, wherein any of (b)- (p) groups may optionally be substituted by one or more R117 ;

每次出现的R116独立地选自以下基团:Each occurrence of R116 is independently selected from the following groups:

(a)H,(b)C1-6烷基,(c)C2-6烯基,(d)C2-6炔基,(e)C3-10饱和的,不饱和的,或者芳香的碳环,(f)3-10元的饱和的,不饱和的,或者芳香的杂环,包含一个或多个选自氮、氧或硫的杂原子,(b)-(p)其中任何一个非端点的碳可以任选地被氧,S(O)P或-NR116取代,其中任一个(b)-(p)基团可以任选地被一个或多个以下基团取代:(a) H, (b) C1-6 alkyl, (c) C2-6 alkenyl, (d) C2-6 alkynyl, (e) C3-10 saturated, unsaturated, or Aromatic carbocycles, (f) 3-10 membered saturated, unsaturated, or aromatic heterocycles containing one or more heteroatoms selected from nitrogen, oxygen, or sulfur, (b)-(p) wherein Any non-terminal carbon can be optionally substituted by oxygen, S(O)P or -NR116 , wherein any one of the (b)-(p) groups can be optionally substituted by one or more of the following groups:

(aa)羰基,(bb)甲酸基,(cc)F,(dd)Cl,(ee)Br,(ff)I,(gg)CN,(aa) carbonyl, (bb) formyl, (cc) F, (dd) Cl, (ee) Br, (ff) I, (gg) CN,

(hh)N3,(ii)NO2,(jj)OR118,(kk)-S(O)pR118,(ll)-C(O)R118,(mm)-(O)OR118,(nn)-OC(O)R118,(oo)-C(O)NR118R118,(pp)-OC(O)NR118R118,(qq)-C(=NR118)R118,(rr)-C(R118)(R118)OR118(hh)N3 , (ii)NO2 , (jj)OR118 , (kk)-S(O)p R118 , (ll)-C(O)R118 , (mm)-(O)OR118 , (nn)-OC(O)R118 , (oo)-C(O)NR118 R118 , (pp)-OC(O)NR118 R118 , (qq)-C(=NR118 )R118 , (rr)-C(R118 )(R118 )OR118 ,

(ss)-C(R118)2OC(O)R118,(tt)-C(R118)(OR118)(CH2)rNR118R118(ss)-C(R118 )2 OC(O)R118 , (tt)-C(R118 )(OR118 )(CH2 )r NR118 R118 ,

(uu)-NR118R118;(vv)-NR118OR118,(ww)-NR118C(O)R118,(xx)-NR118C(O)OR118,(yy)-NR118C(O)NR118R118,(zz)-NR118S(O)rR118,(ab)-C(OR118)(OR118)R118,(ac)-C(R118)2NR118R118,(ad)=NR118,(ae)-C(S)NR118R118,(af)-NR118C(S)R118,(ag)-OC(S)NR118R118,(ah)-NR118C(S)OR118,(ai-NR118C(S)NR118R118,(ai)-SC(O)R118,(ak)C1-8烷氧基,(al)C2-8烯基,(am)C2-8炔基,(an)C1-8alkoxy,(ao)C1-8巯基,(ap)C1-8酰基,(uu)-NR118 R118 ; (vv)-NR118 OR118 , (ww)-NR118 C(O)R118 , (xx)-NR118 C(O)OR118 , (yy)-NR118 C(O)NR118 R118 , (zz)-NR118 S(O)r R118 , (ab)-C(OR118 )(OR118 )R118 , (ac)-C(R118 )2 NR118 R118 , (ad)=NR118 , (ae)-C(S)NR118 R118 , (af)-NR118 C(S)R118 , (ag)-OC(S)NR118 R118 , (ah)-NR118 C(S)OR118 , (ai-NR118 C(S)NR118 R118 , (ai)-SC(O)R118 , (ak)C1-8 alkoxy, ( al) C2-8 alkenyl, (am) C2-8 alkynyl, (an) C1-8 alkoxy, (ao) C1-8 mercapto, (ap) C1-8 acyl,

(aq)C3-10饱和的,不饱和的,或者芳香的碳环,和(ar)3-10元的饱和的,不饱和的,或者芳香的杂环,包含一个或多个选自氮、氧或硫的杂原子,(aq) C3-10 saturated, unsaturated, or aromatic carbocyclic ring, and (ar) 3-10 membered saturated, unsaturated, or aromatic heterocyclic ring, containing one or more selected from nitrogen , oxygen or sulfur heteroatoms,

或者,NR116R116形成3-10元的饱和的、不饱和的、或芳香的环,包括连接于R116的氮原子并可任选地被一个或多个氧,S(O)P,氮和-NR118取代;Alternatively, NR116 R116 forms a 3-10 membered saturated, unsaturated, or aromatic ring comprising a nitrogen atom attached to R116 and optionally replaced by one or more oxygen, S(O)P , Nitrogen and -NR118 substitution;

或者,CR116R116形成羰基;Alternatively, CR116 R116 forms a carbonyl;

每次出现的R117独立地选自以下基团:Each occurrence of R117 is independently selected from the following groups:

(a)H,(b)=O,(c)F,(d)Cl,(e)Br,(f)I,(g)(CR116R116)rCF3,(h)(CR116R116)rCN,(a) H, (b)=O, (c) F, (d) Cl, (e) Br, (f) I, (g) (CR116 R116 )r CF3 , (h) (CR116 R116 )r CN,

(i)(CR116R116)rNO2,(j)(CR116R116)rNR116(CR116R116)tR119,(k)(CR116R116)rOR119(i) (CR116 R116 )r NO2, (j) (CR116 R116 )r NR116 (CR116 R116 )t R119 , (k) (CR116 R116 )r OR119 ,

(l)(CR116R116)rS(O)p(CR116R116)tR119,(m)(CR116R116)rC(O)(CR116R116)tR119(l)(CR116 R116 )r S(O)p (CR116 R116 )t R119 , (m)(CR116 R116 )r C(O)(CR116 R116 )t R119 ,

(n)(CR116R116)rOC(O)(CR116R116)tR119,(o)(CR116R116)tSC(O)(CR116R116)tR119(n)(CR116 R116 )r OC(O)(CR116 R116 )t R119 , (o)(CR116 R116 )t SC(O)(CR116 R116 )t R119 ,

(p)(CR116R116)rC(O)O(CR116R116)tR119,(q)(CR116R116)rNR116C(O)(CR116R116)tR119,(r)(CR116R116)rC(O)NR116(CR116R116)tR119,(s)(CR116R116)rC(=NR116)(CR116R116)tR119(p)(CR116 R116 )r C(O)O(CR116 R116 )t R119 , (q)(CR116 R116 )r NR116 C(O)(CR116 R116 )t R119 , (r)(CR116 R116 )r C(O)NR116 (CR116 R116 )t R119 , (s)(CR116 R116 )r C(=NR116 )(CR116 R116 )t R119 ,

(t)(CR116R116)rC(=NNR116R116)(CR116R116)tR119(t)(CR116 R116 )r C (=NNR116 R116 )(CR116 R116 )t R119 ,

(u)(CR116R116)rC(=NNR116C(O)R116)(CR116R116)tR119(u)(CR116 R116 )r C (=NNR116 C(O)R116 )(CR116 R116 )t R119 ,

(v)(CR116R116)rC(=NOR119)(CR116R116)tR119(v)(CR116 R116 )r C (=NOR119 )(CR116 R116 )t R119 ,

(w)(CR116R116)rNR116C(O)O(CR116R116)tR119(w)(CR116 R116 )r NR116 C(O)O(CR116 R116 )t R119 ,

(x)(CR116R116)rOC(O)NR116(CR116R116)tR119(x)(CR116 R116 )r OC(O)NR116 (CR116 R116 )t R119 ,

(y)(CR116R116)rNR116C(O)NR116(CR116R116)tR119(y)(CR116 R116 )r NR116 C(O)NR116 (CR116 R116 )t R119 ,

(z)(CR116R116)rNR116S(O)p(CR116R116)tR119(z)(CR116 R116 )r NR116 S(O)p (CR116 R116 )t R119 ,

(aa)(CR116R116)rS(O)pNR116(CR116R116)tR119(aa)(CR116 R116 )r S(O)p NR116 (CR116 R116 )t R119 ,

(bb)(CR116R116)rNR116S(O)pNR116(CR116R116)tR119,(cc)(CR116R116)rNR116R116(bb)(CR116 R116 )r NR116 S(O)p NR116 (CR116 R116 )t R119 , (cc)(CR116 R116 )r NR116 R116 ,

(dd)C1-6烷基,(ee)C2-6烯基,(ff)C2-6炔基,(dd) C1-6 alkyl, (ee) C2-6 alkenyl, (ff) C2-6 alkynyl,

(gg)(CR116R116)r-3-10元饱和的,不饱和的,或者芳香的碳环,和(hh)(CR116R116)r-3-10元的饱和的,不饱和的,或者芳香的杂环,包含一个或多个选自氮、氧或硫的杂原子,(gg)(CR116 R116 )r -3-10 membered saturated, unsaturated, or aromatic carbocycle, and (hh)(CR116 R116 )r -3-10 membered saturated, unsaturated , or an aromatic heterocycle containing one or more heteroatoms selected from nitrogen, oxygen or sulfur,

其中(dd)至(hh)中的任何一个可任选地被一个或多个R119基团取代;wherein any of (dd) to (hh) may be optionally substituted by one or moreR groups;

或者两个R117基团形成-O(CH2)UO-;Or two R117 groups form -O(CH2 )U O-;

每次出现的R118独立地选自以下基团:Each occurrence of R118 is independently selected from the following groups:

(a)H,(b)C1-6烷基,(c)C2-6烯基,(d)C2-6炔基,(e)C3-10饱和的,不饱和的,或者芳香的碳环,(f)3-10元的饱和的,不饱和的,或者芳香的杂环,包含一个或多个选自氮、氧或硫的杂原子,(g)-C(O)-C1-6烷基,(h)-C(O)-C1-6烯基,(g)-C(O)-C1-6炔基,(i)-C(O)-C3-10饱和的,不饱和的,或者芳香的碳环,(j)-C(O)-C3-10饱和的,不饱和的,或者芳香的杂环,包含一个或多个选自氮、氧或硫的杂原子,(a) H, (b) C1-6 alkyl, (c) C2-6 alkenyl, (d) C2-6 alkynyl, (e) C3-10 saturated, unsaturated, or Aromatic carbocycle, (f) 3-10 membered saturated, unsaturated, or aromatic heterocycle containing one or more heteroatoms selected from nitrogen, oxygen, or sulfur, (g)-C(O) -C1-6 alkyl, (h)-C(O)-C1-6 alkenyl, (g)-C(O)-C1-6 alkynyl, (i)-C(O)-C3-10 saturated, unsaturated, or aromatic carbocyclic rings, (j)-C(O)-C3-10 saturated, unsaturated, or aromatic heterocyclic rings, containing one or more selected from nitrogen , oxygen or sulfur heteroatoms,

其中(b)至(j)中的任何一个可任选地被下列基团取代:(aa)H,(bb)F,(cc)Cl,(dd)Br,(ee)I,(ff)CN,(gg)NO2,(hh)OH,(ii)NH2,(jj)NH(C1-6烷基),(kk)N(C1-6烷基)2,(ll)C1-6烷氧基,(mm)芳基,(nn)取代的芳基,(oo)杂芳基,(pp)取代的杂芳基,和(qq)C1-6烷基,任选地被一个或多个芳基、取代的芳基、杂芳基、取代的杂芳基、F、Cl、Br、I、CN、NO2和OH取代;wherein any of (b) to (j) may be optionally substituted by the following groups: (aa)H, (bb)F, (cc)Cl, (dd)Br, (ee)I, (ff) CN, (gg)NO2 , (hh)OH, (ii)NH2 , (jj)NH(C1-6 alkyl), (kk)N(C1-6 alkyl)2 , (ll)C1-6 alkoxy, (mm) aryl, (nn) substituted aryl, (oo) heteroaryl, (pp) substituted heteroaryl, and (qq) C1-6 alkyl, optional is substituted with one or more of aryl, substituted aryl, heteroaryl, substituted heteroaryl, F, Cl, Br, I, CN, NO2 and OH;

每次出现的R119独立地选自以下基团:Each occurrence of R119 is independently selected from the following groups:

(a)R120,(b)C1-6烷基,(c)C2-6烯基,(d)C2-6炔基,(e)C3-10饱和的,不饱和的,或者芳香的碳环,(f)3-10元的饱和的,不饱和的,或者芳香的杂环,包含一个或多个选自氮、氧或硫的杂原子,(a) R120 , (b) C1-6 alkyl, (c) C2-6 alkenyl, (d) C2-6 alkynyl, (e) C3-10 saturated, unsaturated, Or an aromatic carbocycle, (f) a 3-10 membered saturated, unsaturated, or aromatic heterocycle containing one or more heteroatoms selected from nitrogen, oxygen, or sulfur,

其中任一个(b)-(f)基团可以任选地被一个或多个R119取代;Any one of the (b)-(f) groups may be optionally substituted by one or more R119 ;

每次出现的R120独立地选自以下基团:Each occurrence of R120 is independently selected from the following groups:

(a)H,(b)=O,(c)F,(d)Cl,(e)Br,(f)I,(g)(CR116R116)rCF3,(h)(CR116R116)rCN,(a) H, (b)=O, (c) F, (d) Cl, (e) Br, (f) I, (g) (CR116 R116 )r CF3 , (h) (CR116 R116 )r CN,

(i)(CR116R116)rNO2,(j)(CR116R116)rNR116R116,(k)(CR116R116)rOR114(i) (CR116 R116 )r NO2 , (j) (CR116 R116 )r NR116 R116 , (k) (CR116 R116 )r OR114 ,

(l)(CR116R116)rS(O)pR116,(m)(CR116R116)rC(O)R116,(m)(CR116R116)rC(O)OR116(l)(CR116 R116 )r S(O)p R116 , (m)(CR116 R116 )r C(O)R116 , (m)(CR116 R116 )r C(O)OR116 ,

(o)(CR116R116)rOC(O)R116,(p)(CR116R116)rNR116C(O)R116(o)(CR116 R116 )r OC(O)R116 , (p)(CR116 R116 )r NR116 C(O)R116 ,

(q)(CR116R116)rC(O)NR116R116,(r)(CR116R116)rC(=NR116)R116(q)(CR116 R116 )r C(O)NR116 R116 , (r)(CR116 R116 )r C(=NR116 )R116 ,

(s)(CR116R116)rNR116C(O)NR116R116,(t)(CR116R116)rNR116S(O)pR116(s)(CR116 R116 )r NR116 C(O)NR116 R116 , (t)(CR116 R116 )r NR116 S(O)p R116 ,

(u)(CR116R116)rS(O)pNR116R116,(v)(CR116R116)rNR116S(O)pNR116R116(u)(CR116 R116 )r S(O)p NR116 R116 , (v)(CR116 R116 )r NR116 S(O)p NR116 R116 ,

(w)C1-6烷基,(x)C2-6烯基,(y)C2-6炔基,(z)(CR116R116)(w) C1-6 alkyl, (x) C2-6 alkenyl, (y) C2-6 alkynyl, (z) (CR116 R116 )

r-3-10元的饱和的,不饱和的或芳香的碳环,和(aa)(CR116R116)r-3-10 membered saturated, unsaturated or aromatic carbocycle, and (aa)(CR116 R116 )

r-3-10元的饱和的,不饱和的,或者芳香的杂环,包含一个或多个选自氮、氧或硫的杂原子,r-3-10 membered saturated, unsaturated, or aromatic heterocycles containing one or more heteroatoms selected from nitrogen, oxygen, or sulfur,

其中,(w)至(aa)中的任意一个都可被一个或多个选自以下的基团取代,R116、F、Cl、Br、I、CN、NO2、-OR116、-NH2、-NH(C1-6烷基)、-N(C1-6烷基)2、C1-6烷氧基、C1-6巯基和C1-6酰基;Wherein, any one of (w) to (aa) can be substituted by one or more groups selected from the following groups, R116 , F, Cl, Br, I, CN, NO2 , -OR116 , -NH2. -NH(C1-6 alkyl), -N(C1-6 alkyl)2 , C1-6 alkoxy, C1-6 mercapto and C1-6 acyl;

每次出现的R121独立地选自以下基团:Each occurrence of R121 is independently selected from the following groups:

(a)H,(b)-OR118,(c)-O-C1-6烷基-OC(O)R118,(d)-O-C1-6烷基-OC(O)OR118(a) H, (b)-OR118 , (c)-OC1-6 alkyl-OC(O)R118 , (d)-OC1-6 alkyl-OC(O)OR118 ,

(e)-O-C1-6烷基-OC(O)NR118R118,(f)-O-C1-6烷基-C(O)NR118R118,(g)-O-C1-6烷基-NR118C(O)R118,(h)-O-C1-6烷基-NR118C(O)OR118,(i)-O-C1-6烷基-NR118C(O)NR118R118,(j)-O-C1-6烷基-NR118C(=N(H)NR118R118,(K)-O-C1-6烷基-S(O)pR118,(l)-O-C2-6烯基-OC(O)R118,(m)-O-C2-6烯基-OC(O)OR118,(n)-O-C2-6烯基-OC(O)NR118R118,(o)-O-C2-6烯基-C(O)NR118R118,(p)-O-C2-6烯基-NR118C(O)R118,(q)-O-C2-6烯基-NR118C(O)OR118,(r)O-C2-6烯基-NR118C(O)NR118R118,(s)-O-C2-6烯基-NR118C(=N(H)NR118R118,(t)-O-C2-6烯基-(O)pR118(e)-OC1-6 alkyl-OC(O)NR118 R118 , (f)-OC1-6 alkyl-C(O)NR118 R118 , (g)-OC1-6 alkyl -NR118 C(O)R118 , (h)-OC1-6 alkyl-NR118 C(O)OR118 , (i)-OC1-6 alkyl-NR118 C(O)NR118 R118 , (j)-OC1-6 alkyl-NR118 C(=N(H)NR118 R118 , (K)-OC1-6 alkyl-S(O)p R118 , (l)- OC2-6 alkenyl-OC(O)R118 , (m)-OC2-6 alkenyl-OC(O)OR118 , (n)-OC2-6 alkenyl-OC(O)NR118 R118 , (o)-OC2-6 alkenyl-C(O)NR118 R118 , (p)-OC2-6 alkenyl-NR118 C(O)R118 , (q)-OC2-6 Alkenyl-NR118 C(O)OR118 , (r)OC2-6 alkenyl-NR118 C(O)NR118 R118 , (s)-OC2-6 alkenyl-NR118 C(=N (H)NR118 R118 , (t)-OC2-6 alkenyl-(O)p R118 ,

(u)-O-C2-6炔基-OC(O)R118,(v)-O-C2-6炔基-OC(O)OR118(u)-OC2-6 alkynyl-OC(O)R118 , (v)-OC2-6 alkynyl-OC(O)OR118 ,

(w)-O-C2-6炔基-OC(O)NR118R118,(x)-O-C2-6炔基-C(O)NR118R118,(y)-O-C2-6炔基-NR118C(O)R118,(z)-O-C2-6炔基-NR118C(O)OR118,(aa)-O-C2-6炔基-NR118C(O)NR118R118(w)-OC2-6 alkynyl-OC(O)NR118 R118 , (x)-OC2-6 alkynyl-C(O)NR118 R118 , (y)-OC2-6 alkynyl -NR118 C(O)R118 , (z)-OC2-6 alkynyl-NR118 C(O)OR118 , (aa)-OC2-6 alkynyl-NR118 C(O)NR118 R118 ,

(bb)-O-C2-6炔基-NR118C(=N(H)NR118R118,(cc)-O-C2-6炔基-S(O)pR118;和(dd)-NR118R118(bb)-OC2-6 alkynyl-NR118 C(=N(H)NR118 R118 , (cc)-OC2-6 alkynyl-S(O)p R118 ; and (dd)-NR118 R118 ;

或者两个R121基团形成=O,=NOR118,和=NNR118R118Or two R121 groups form =O, =NOR118 , and =NNR118 R118 ;

R122是R115R122 is R115 ;

R123选自以下基团:(a)R116,(b)F,(c)Cl,(d)Br,(e)I,(f)CN,(g)NO2,和(h)OR114R123 is selected from the following groups: (a) R116 , (b) F, (c) Cl, (d) Br, (e) I, (f) CN, (g) NO2 , and (h) OR114 ,

或者R122和R123形成-O(CH2)UO-;Or R122 and R123 form -O(CH2 )U O-;

每次出现的R124独立地选自以下基团:(a)H,(b)F,(c)Cl,(d)Br,(e)I,(f)CN,(g)OR114,(h)NO2(i)-N R114R114,(j)C1-6烷基,(k)C1-6酰基,和(l)C1-6烷氧基;Each occurrence of R124 is independently selected from the following groups: (a) H, (b) F, (c) Cl, (d) Br, (e) I, (f) CN, (g) OR114 , (h) NO2 (i)-N R114 R114 , (j) C1-6 alkyl, (k) C1-6 acyl, and (l) C1-6 alkoxy;

R125选自以下基团:(a)C1-6烷基,(b)C2-6烯基,(c)C2-6炔基,(d)C1-6酰基,(e)C1-6烷氧基,(f)C1-6巯基,(g)C5-10饱和的,不饱和的,或者芳香的碳环,(h)5-10元的饱和的,不饱和的,或者芳香的杂环,包含一个或多个选自氮、氧或硫的杂原子,(i)-O-C1-6烷基-5-10元的饱和的,不饱和的,或者芳香的杂环,包含一个或多个选自氮、氧或硫的杂原子,(j)-NR114-C1-6烷基-5-10元的饱和的,不饱和的,或者芳香的杂环,包含一个或多个选自氮、氧或硫的杂原子,(k)10元的饱和的、不饱和的、或芳香的双环,包含任选的一个或多个选自氮、氧或硫的杂原子,(l)13元的饱和的、不饱和的、或芳香的三环,包含一个或多个任选的选自氮、氧或硫的杂原子,(m)-OR114,(n)-NR114R114,(o)-S(O)PR114,和(p)-R124R125 is selected from the following groups: (a) C1-6 alkyl, (b) C2-6 alkenyl, (c) C2-6 alkynyl, (d) C1-6 acyl, (e) C1-6 alkoxy, (f) C1-6 mercapto, (g) C5-10 saturated, unsaturated, or aromatic carbocycle, (h) 5-10 membered saturated, unsaturated , or an aromatic heterocycle, containing one or more heteroatoms selected from nitrogen, oxygen, or sulfur, (i)-OC1-6 alkyl-5-10 membered saturated, unsaturated, or aromatic Heterocycle, containing one or more heteroatoms selected from nitrogen, oxygen or sulfur, (j)-NR114 -C1-6 alkyl-5-10 membered saturated, unsaturated, or aromatic heterocycle , containing one or more heteroatoms selected from nitrogen, oxygen or sulfur, (k) 10-membered saturated, unsaturated, or aromatic bicyclic rings, containing optionally one or more heteroatoms selected from nitrogen, oxygen or sulfur heteroatoms, (l) 13-membered saturated, unsaturated, or aromatic tricyclic rings, containing one or more heteroatoms optionally selected from nitrogen, oxygen or sulfur, (m)-OR114 , ( n)-NR114 R114 , (o)-S(O)P R114 , and (p)-R124 ,

其中,任一个(a)-(l)基团可以任选地被一个或多个R115取代;Wherein, any one (a)-(l) group can be optionally replaced by one or more R115 ;

或者,R125和R124与它们连接的碳原子形成5-7元的,饱和或不饱和的碳环,并任选地被一个或多个R115基团取代;或者5-7元的,饱和或不饱和的杂环,包含一个或多个选自氮、氧或硫的杂原子,并任选地被一个或多个R115基团取代;Alternatively, R125 and R124 form a 5-7 membered, saturated or unsaturated carbocyclic ring with the carbon atoms to which they are attached, and are optionally substituted by one or more R115 groups; or 5-7 membered, A saturated or unsaturated heterocycle comprising one or more heteroatoms selected from nitrogen, oxygen or sulfur, and optionally substituted by one or moreR groups;

每次出现的R126独立地选自以下基团:Each occurrence of R126 is independently selected from the following groups:

(a)H,(b)电子去除基团,(c)芳基,(d)取代的芳基,(e)杂芳基,(f)取代的杂芳基,(g)C1-6烷基,任选地被一个或更多个R115取代;(a) H, (b) electron-removing group, (c) aryl, (d) substituted aryl, (e) heteroaryl, (f) substituted heteroaryl, (g)C1-6 Alkyl, optionally substituted by one or more R115 ;

或者,任何的R126和任何的R123与其所连接的原子共同构成5-7元的饱和或不饱和碳环,并任选地被一个或更多个R115取代;或构成5-7元的饱和或不饱和杂环,包含一个或更多个选自氮、氧或硫的杂原子,并且任选地被一个或更多个R115取代;Alternatively, any R126 and any R123 together form a 5-7 membered saturated or unsaturated carbocycle, and are optionally substituted by one or more R115 ; or form a 5-7 membered A saturated or unsaturated heterocyclic ring comprising one or more heteroatoms selected from nitrogen, oxygen or sulfur, and optionally substituted by one or more R115 ;

R109是H或F;R109 is H or F;

R127是R114,单糖或二糖(包括氨基糖或卤代糖),R127 is R114 , monosaccharide or disaccharide (including amino sugar or halogenated sugar),

-(CH2)n-(O-CH2CH2-)m-O(CH2)pCH3or-(CH2)n-(O-CH2CH2-)m-OH-(CH2 )n -(O-CH2 CH2 -)m -O(CH2 )p CH3 or-(CH2 )n -(O-CH2 CH2 -)m -OH

R128是R114R128 is R114

R129是R114R129 is R114

R110是R114R110 is R114

或者,R109和R110与其所连接的碳原子共同形成以下结构:Alternatively, R109 and R110 together form the following structure with the carbon atom to which they are attached:

或者,R128和R129与它们相连接的碳共同形成3-6元的,饱和的、不饱和的、芳香的碳环或杂环,并可以任选地被一个或多个R114取代;Alternatively, R128 and R129 together with the carbons to which they are attached form a 3-6 membered, saturated, unsaturated, aromatic carbocyclic or heterocyclic ring, which may be optionally substituted by one or more R114 ;

每次出现的m为0,1,2,3,4,或5;Each occurrence of m is 0, 1, 2, 3, 4, or 5;

每次出现的n为1,2,或3;Each occurrence of n is 1, 2, or 3;

前述化合物的其他实施方案包括那些T是选自以下的大环内酯化合物:Other embodiments of the foregoing compounds include those wherein T is a macrolide compound selected from the group consisting of:

Figure A20058001353200921
Figure A20058001353200921

或者其N-氧化物,药学上可接受的盐,酯,或者前体药物,其中M,R100,R101,R104,R105,R106,R107,R108,R109,R110和R120如前述所定义。Or its N-oxide, pharmaceutically acceptable salt, ester, or prodrug, wherein M, R100 , R101 , R104 , R105 , R106 , R107 , R108 , R109 , R110 and R120 are as defined above.

前述化合物的其他实施方案包括那些T是选自以下的大环内酯化合物:Other embodiments of the foregoing compounds include those wherein T is a macrolide compound selected from the group consisting of:

Figure A20058001353200941
Figure A20058001353200941

或者其N-氧化物,药学上可接受的盐,酯,或者前体药物,其中M,R100,R101,R102,R104,R109,R114,R126和R127如前述所定义。Or its N-oxide, pharmaceutically acceptable salt, ester, or prodrug, wherein M, R100 , R101 , R102 , R104 , R109 , R114 , R126 and R127 are as mentioned above definition.

前述化合物的其他实施方案包括那些T是选自以下的大环内酯化合物:Other embodiments of the foregoing compounds include those wherein T is a macrolide compound selected from the group consisting of:

Figure A20058001353200952
Figure A20058001353200952

或者其N-氧化物,药学上可接受的盐,酯,或者前体药物,其中M,R1,R2,R104,R114,R109和R127如前述所定义。Or its N-oxide, pharmaceutically acceptable salt, ester, or prodrug, wherein M, R1 , R2 , R104 , R114 , R109 and R127 are as defined above.

前述化合物的其他实施方案包括那些T是选自以下从T1到T33的大环内酯化合物:Other embodiments of the foregoing compounds include those in which T is a macrolide compound selected from the following from T1 to T33:

Figure A20058001353200991
Figure A20058001353200991

Figure A20058001353201001
Figure A20058001353201001

在另一方面,本发明提供一种药物组合物,其包括药学活性量的一种或多种前述化合物和药学上可接受的载体。在另一方面,本发明还提供一种治疗哺乳动物体内病菌感染、细菌感染以及真菌感染、寄生物病、增生性疾病、滤过性毒菌引起的感染、炎症、或者肠胃蠕动紊乱的方法,通过施以有效量的本发明的化合物或本发明的药学上可接受的化合物。在这一方面的实施方案中,本发明的化合物可以经口、注射、或局部给药。在另一方面,本发明还提供一种医疗装置,例如,一种医疗支架,该支架包含或者涂覆了一种或者更多种本发明前述的化合物。In another aspect, the present invention provides a pharmaceutical composition comprising a pharmaceutically active amount of one or more of the aforementioned compounds and a pharmaceutically acceptable carrier. In another aspect, the present invention also provides a method for treating bacterial infection, bacterial infection and fungal infection, parasitic disease, proliferative disease, infection caused by viral bacteria, inflammation, or gastrointestinal motility disorder in mammals, By administering an effective amount of a compound of the present invention or a pharmaceutically acceptable compound of the present invention. In embodiments of this aspect, the compounds of the invention may be administered orally, injectable, or topically. In another aspect, the present invention also provides a medical device, for example, a medical stent comprising or coated with one or more of the aforementioned compounds of the present invention.

3.本发明化合物的合成3. Synthesis of the compounds of the present invention

本发明还提供了制备本发明化合物的方法。下述的各流程举例性地描述了可用于制备本发明化合物的化学方法。The invention also provides methods of preparing the compounds of the invention. The following schemes illustrate illustrative chemistries that can be used to prepare compounds of the invention.

在标题为“3.本发明化合物的合成”的第三部分中使用的编号1,2,3等的化合物仅仅在该部分使用,并不与标题为“6.实施例”的第6部分中任何编号相似的编号化合物混淆。Compounds numbered 1, 2, 3, etc. used in the third part entitled "3. Synthesis of compounds of the present invention" are used only in this part and are not related to those in the 6th part entitled "6. Examples". Any similarly numbered numbered compounds are confused.

流程1表明了第5和6类型的三唑化合物的合成。红霉素可以被N-脱甲基化,如在现有技术中有所描述(U.S.PatentNo.3,725,385;Flynn et al.(1954)J.AM.CHEM.SOC.76:3121;Ku etal.(1997)BIOORG.MED.CHEM.LETT.7:1203;Stenmark et al(2000)J.ORG.CHEM.65:3875,)可获得二级胺1。用编号2的亲电子试剂将1烷基化可以得到编号3的包含一个合适长度烷基链的炔,该烷基链通常介于一个碳原子和四个碳原子之间,位于氮原子和该炔基之间。编号4的叠氮化物的和编号3的炔的环加成产生两个三唑的异构体。本反应可以被热催化,或者加入各种催化剂加速本反应(例如,但是不限于,碘化铜(I):参见Tornoe,C.W.et al(2002)J.OR G.CHEM.67:3057)。主要的异构体(由于空间排列的原因)是“反”式异构体5,一个1,4双取代的三唑。少量的成分是“顺”式异构体6,一个1,5双取代的三唑。Scheme 1 shows the synthesis of triazole compounds of types 5 and 6. Erythromycin can be N-demethylated as described in the prior art (U.S. Patent No. 3,725,385; Flynn et al. (1954) J.AM.CHEM.SOC.76:3121; Ku et al. ( 1997) BIOORG.MED.CHEM.LETT.7:1203; Stenmark et al (2000) J.ORG.CHEM.65:3875,) can obtain secondary amines 1. Alkylation of 1 with the electrophile No. 2 yields an alkyne No. 3 containing an alkyl chain of suitable length, usually between one and four carbon atoms, located between the nitrogen atom and the between alkynyl groups. The cycloaddition of the azide of number 4 and the alkyne of number 3 produces two isomers of the triazole. The reaction can be thermally catalyzed, or various catalysts can be added to accelerate the reaction (for example, but not limited to, copper(I) iodide: see Tornoe, C.W. et al (2002) J.OR G.CHEM.67:3057). The major isomer (due to steric arrangement) is the "trans" isomer 5, a 1,4 disubstituted triazole. A minor component is the "cis" isomer 6, a 1,5 disubstituted triazole.

流程1Process 1

可以理解的是,其他的大环内酯物,例如,但是不限于,阿奇霉素和甲红霉素,可以被脱甲基化并作为流程一的起始原料。衍生自这种大环内酯物前体的目标化合物也在本发明范围之内。It is understood that other macrolides, such as, but not limited to, azithromycin and clarithromycin, can be demethylated and used as starting materials for Scheme 1. Compounds of interest derived from such macrolide precursors are also within the scope of the present invention.

流程2表明了本发明中的可重复的四唑衍生物的合成。胺1(或者其他的大环内酯胺)被7类的包含氰基的亲电子试剂烷基化后可以得到编号8类的大环内酯腈中间体。编号8的腈与编号4类的叠氮化物环加成反应后,得到两种四唑异构体;编号9类的二取代四唑(期望的主要产物),和编号10的1,5异构体。Scheme 2 demonstrates the synthesis of reproducible tetrazole derivatives in the present invention. Alkylation of amine 1 (or other macrolide amines) with cyano-containing electrophiles of class 7 can yield macrolide nitrile intermediates of class 8. After the cycloaddition reaction of the nitrile of No. 8 with the azide of No. 4, two tetrazole isomers are obtained; Construct.

流程2Process 2

流程3表明了本发明中的异噁唑衍生物的合成。编号3类的炔用编号11类的氧化腈处理,得到环加成的异构体12和13。由于空间结构的因素,主要的异构体产物同样是12“反式”衍生物。Scheme 3 shows the synthesis of the isoxazole derivatives of the present invention. Alkynes of class 3 are treated with nitrile oxides of class 11 to afford cycloaddition isomers 12 and 13. Due to the steric structure, the main isomer product is also the 12 "trans" derivative.

流程3Process 3

Figure A20058001353201032
Figure A20058001353201032

其他类似的方法可以得到编号5,6,9,10,12,和13类的衍生物,这在流程4中被表明。编号14类的炔醇用编号4类的叠氮化物处理,得到编号15类的醇中间体(同时有少量的三唑异构体)。将15磺酸醯化得到16,16可以作为编号为1类的大环内酯胺化合物的烷基化试剂以得到目标产物5(和其异构体6)。(应该理解的是,其他磺酸衍生物或者卤化物可以通过中间体醇15合成,并且这些可以作为类似1的大环内酯化合物烷基化的亲电子试剂,以得到本发明的化合物)。编号17类的羟烷基腈(此处n并不等于1)可以与叠氮化物4环加成反应得到四唑中间体18(同时有少量的四唑异构体)。18磺酸醯化得到19,19可与1类的胺烷基化反应得到衍生物9(和其异构体10)。以类似的方式,乙炔14可被转化为异噁唑20(和其异构体)。衍生自20的一个亲电子试剂可以将胺1烷基化得到目标产物12(和其异构体13)Other similar methods can obtain derivatives numbered 5, 6, 9, 10, 12, and 13, which are shown in scheme 4. Treatment of acetylenic alcohols of class 14 with azides of class 4 affords alcohol intermediates of class 15 (along with a small amount of triazole isomer). Sulfonylating 15 gives 16, which can be used as an alkylating agent for macrolide amine compounds numbered as class 1 to obtain the target product 5 (and its isomer 6). (It is understood that other sulfonic acid derivatives or halides can be synthesized via the intermediate alcohol 15, and these can serve as electrophiles for the alkylation of macrolide compounds like 1 to give compounds of the invention). Hydroxyalkylnitriles of class 17 (where n is not equal to 1) can be cycloadditioned with azide 4 to give tetrazole intermediate 18 (along with a small amount of tetrazole isomer). Sulfonated acylation of 18 gave 19, which could be alkylated with class 1 amines to give derivative 9 (and its isomer 10). In a similar manner, acetylene 14 can be converted to isoxazole 20 (and its isomers). An electrophile derived from 20 can alkylate amine 1 to give the desired product 12 (and its isomer 13)

流程4Process 4

Figure A20058001353201041
Figure A20058001353201041

合成本发明化合物的其他起始原料容易被合成。例如,des-甲基大环内酯胺22和23可以分别从阿奇霉素和甲红霉素制备,利用从红霉素合成1的相同的步骤。本发明化合物的酮内酯衍生物(从大环内酯类化合物合成的C-3酮化合物)可以通过流程5的过程来制备。甲红霉素的胺衍生物23与甲苯磺酸盐24烷基化反应得到炔25。C-3克拉定糖水解得到C-3羟基中间体26,26可以被氨基糖的羟基基团选择性地乙酰化得到27.27被氧化得到C-3酮衍生物28,28可以脱乙酰基得到炔29。炔29可以通过前述流程1和3的化学方法产生本发明的三唑和异噁唑化合物,这些化合物具备甲红霉素C-3酮衍生物的结构。可以理解的是,23与亲电试剂27的烷基化反应,该产物随后以流程5和2的过程暴露于叠氮化物,将得到具备甲红霉素C-3酮结构的四唑。此外,C-3酮阿奇霉素和红霉素中间体可通过1和22利用流程5的方法制备,并且可进一步作为合成本发明化合物的起始原料。Other starting materials for the synthesis of compounds of the invention are readily synthesized. For example, des-methylmacrolide amines 22 and 23 can be prepared from azithromycin and clarithromycin, respectively, using the same procedure used to synthesize 1 from erythromycin. Ketolide derivatives of the compounds of the present invention (C-3 keto compounds synthesized from macrolides) can be prepared by the process of scheme 5. Alkylation of amine derivative 23 of clarithromycin with tosylate 24 affords alkyne 25. Hydrolysis of C-3 cladinose gives C-3 hydroxyl intermediate 26, 26 can be selectively acetylated by aminosugar hydroxyl group to give 27. 27 is oxidized to give C-3 ketone derivative 28, 28 can be deacetylated to give alkyne 29. Alkyne 29 can be produced by the chemistry of schemes 1 and 3 described above to produce the triazole and isoxazole compounds of the present invention, which possess the structure of clarithromycin C-3 ketone derivatives. It is understood that alkylation of 23 with the electrophile 27, followed by exposure of this product to azide as in Schemes 5 and 2, will yield a tetrazole with the clarithromycin C-3 ketone structure. In addition, C-3 keto azithromycin and erythromycin intermediates can be prepared by the method of Scheme 5 through 1 and 22, and can be further used as starting materials for the synthesis of the compounds of the present invention.

Figure A20058001353201051
Figure A20058001353201051

流程5Process 5

Figure A20058001353201052
Figure A20058001353201052

编号2类的化合物的乙炔,用以在本化合物上合成可变长度的烷基链,可使用来自于商业上可获得的卤烷基例如炔丙基溴制备,或者可用现有技术中常用的方法通过羟烷基乙炔合成。流程6表明了如何用现有技术中的简单方法从羟烷基乙炔合成编号14类的化合物。The acetylenes of compounds numbered 2, used to synthesize variable-length alkyl chains on the present compounds, can be prepared from commercially available haloalkyl groups such as propargyl bromide, or can be prepared using Method Synthesis by hydroxyalkylacetylene. Scheme 6 shows how compounds of class 14 can be synthesized from hydroxyalkylacetylenes using simple methods known in the art.

流程6Process 6

编号4类的用于制备本发明化合物的叠氮化合物中间体,可以用流程7和8的方法合成。编号30类的酚,苯胺,和硫酚可以与α,ω-卤代乙醇(例如,但是不限于2-溴乙醇)经mitsunobu醚化反应形成编号31类的卤化物。叠氮化物钠盐置换卤原子得到编号4a的叠氮化物。同样的,编号30的中间体与α,ω-卤代乙醇直接烷基化反应可以得到编号32类的乙醇,可以转化为卤化物31或转化为如33的磺酸盐衍生物,进一步的与叠氮化物取代得到4a的叠氮化物。编号34类的芳基丙醇,和编号35类的吡啶丙醇,像36和37那样,经过磺酸化可以被转化为4b和4c的叠氮化物。众所周知的是,取代的(直链或支链)吡啶衍生物,和芳基与叠氮基团只见的一定长度的链,可以用现有技术中常用的化学方法制备。本发明的保护范围涉及到所有这样的异构体和同系物。The azide intermediates No. 4 used to prepare the compounds of the present invention can be synthesized by the methods of Schemes 7 and 8. Phenols, anilines, and thiophenols of class 30 can be reacted with α,ω-haloethanols (such as, but not limited to, 2-bromoethanol) via mitsunobu etherification to form halides of class 31. The azide sodium salt replaces the halogen atom to obtain the azide compound numbered 4a. Similarly, the direct alkylation reaction between the intermediate of No. 30 and α, ω-halogenated ethanol can obtain the ethanol of No. 32, which can be converted into halide 31 or into a sulfonate derivative such as 33, and further combined with Azide substitution affords the azide of 4a. The aryl propanols of class 34, and the pyridine propanols of class 35, like 36 and 37, can be converted to azides 4b and 4c by sulfonation. It is well known that substituted (linear or branched) pyridine derivatives, and chain lengths of aryl and azide groups, can be prepared by chemical methods commonly used in the art. The protection scope of the present invention covers all such isomers and homologues.

流程7Process 7

流程8Process 8

Figure A20058001353201072
Figure A20058001353201072

用于制备本发明化合物的编号11类的叠氮氧化物,可以用流程9中的方法合成。各种长度的芳基和烷醇集团之间的链,编号32类的芳基烷醇(或者吡啶基烷醇)可以被氧化为醛38。接着可通过使用氯胺T(或者其他在于例如N-溴琥珀酰亚胺,N-氯琥珀酰亚胺,,t-丁基次氯酸盐,四乙酸铅,等有机胺碱合成中使用的试剂)实现向叠氮氧化物中间体11的转化后,醛转化为肟39。形成跌氮氧化物的反应可以在一种合适的炔存在下进行以直接获取不稳定的中间体11,获得反式和顺式异噁唑的混合产物。Azide oxides of No. 11, which are used to prepare the compounds of the present invention, can be synthesized by the method in Scheme 9. Chains between aryl and alkanol groups of various lengths, aryl alkanols (or pyridyl alkanols) of class 32 can be oxidized to aldehydes 38. This can then be achieved by using chloramine T (or other organic amine bases such as N-bromosuccinimide, N-chlorosuccinimide, t-butyl hypochlorite, lead tetraacetate, etc. reagent) to achieve conversion to the azide intermediate 11, the aldehyde is converted to the oxime 39. The reaction to form the nitroxide can be carried out in the presence of an appropriate alkyne to directly access the unstable intermediate 11, giving a mixed product of trans and cis isoxazoles.

流程9Process 9

Figure A20058001353201081
Figure A20058001353201081

4.本发明化合物的特性描述:4. Characteristic description of the compound of the present invention:

用上述方法设计、选择和/或优化的化合物,一旦被制备出来,可以用本领域技术人员熟知的方法来检测该化合物是否具备生物活性。例如,可以用下面介绍的常规手段,但不限于这些,来评估化合物分子是否具备预测的活,结合活性和/或结合特异性。Once the compound designed, selected and/or optimized by the above methods is prepared, methods well known to those skilled in the art can be used to test whether the compound has biological activity. For example, conventional means described below, but not limited to, can be used to assess whether a compound molecule has the predicted activity, binding activity and/or binding specificity.

进一步,高通量筛查可以用来加速这样的分析。作为结果,其使此处所述的分子的性质,例如抗癌、抗菌、抗真菌、抗寄生或抗滤过性毒菌的性质,的检测和评估加速。同时,它也可以评估该化合物如何与核糖体或核糖体亚单位交互作用和/或为什么像现有技术中蛋白质合成中的调整基因(例如,抑制子)一样有效。常规的高通量筛查的操作方法在,例如,in Devlin(1998)High Throughput Screening Marcel Dekker;和美国专利No.5,763,263.中有所描述。高通量评估可以适用一个或多个不同的评估技术,包括但不限于,以下所述的:Further, high-throughput screening can be used to speed up such analyses. As a result, it facilitates the detection and evaluation of the properties of the molecules described herein, such as anticancer, antibacterial, antifungal, antiparasitic or antiviral properties. At the same time, it can also assess how the compound interacts with ribosomes or ribosomal subunits and/or why it works as a state-of-the-art tuner gene (eg, repressor) in protein synthesis. Conventional high throughput screening procedures are described, eg, in Devlin (1998)High Throughput Screening Marcel Dekker; and US Patent No. 5,763,263. High-throughput assessments may employ one or more of different assessment techniques, including, but not limited to, those described below:

(1)表面结合研究。许多结合研究都可用于筛查新分子的结合活性。一种方法包括表面等离子体共振(SPR),该方法可以评估待研究的分子对核糖体或核糖体亚单位或其碎片的结合性质。(1) Surface binding studies. A number of binding studies are available to screen new molecules for binding activity. One method involves surface plasmon resonance (SPR), which allows the assessment of the binding properties of the molecule of interest to ribosomes or ribosomal subunits or fragments thereof.

SPR方法是通过量子力学表面等离子体产生,实时测量两个或者更多的大分子之间的相互作用。一个装置,(BIAcoreBiosensor RTM from Pharmacia Biosensor,Piscatawy,N.J),在金膜(假设是一个一次性的生物传感器“芯片”)和可被用户调节的缓冲器之间的界面上提供了一个多色光的聚光。一个100纳米厚的由右旋糖苷羧酸盐组成的“水凝胶”附着在该金膜上,该水凝胶可以提供分析对象的共价固化基质。当聚光与金膜的自由电子云反应,等离子体共振就被加强。涉及共振部分的反射光被消耗了。通过将彩色光的成分按波长分开(通过棱镜),确定被消耗的那部分的频率,BIAcore建立一个光学分界面,可以及时报告产生的表面等离子体共振的情况。当如上述设计的时候,等离子体共振(和消失了的光谱)对渐渐消失的区域的量(对应于水凝胶的厚度)十分敏感。一旦一个交互作用对的一种成分固定于该水凝胶上,则该对另一种成分则穿过缓冲器,两种成分之间的交互作用可以被实时测量,基于消失域的量的累积,以及其与通过消耗光谱的测定的等离子共振的对应作用。这一系统允许对分子交互作用的快速和敏感的实时测量,不需标记每一种成分。The SPR method is to measure the interaction between two or more macromolecules in real time by generating surface plasmons through quantum mechanics. One device, (BIAcoreBiosensor RTM from Pharmacia Biosensor, Piscatawy, N.J), provides a polychromatic light at the interface between a gold film (assumed to be a disposable biosensor "chip") and a user-tunable buffer. Spotlight. A 100-nanometer-thick "hydrogel" composed of dextran carboxylate was attached to the gold membrane, which provided a covalently solidified matrix for the analytes. When the concentrated light reacts with the free electron cloud of the gold film, the plasmon resonance is enhanced. The reflected light involved in the resonant part is consumed. By separating the components of colored light by wavelength (through a prism) and determining the frequency of the fraction that is consumed, BIAcore establishes an optical interface that can report in time the state of the generated surface plasmon resonance. When designed as described above, the plasmon resonance (and vanishing spectrum) is very sensitive to the amount of faded region (corresponding to the thickness of the hydrogel). Once one component of an interacting pair is immobilized on the hydrogel and the other component of the pair passes through the buffer, the interaction between the two components can be measured in real time, based on the accumulation of the volume of the vanishing domain , and its corresponding role with the plasmon resonance determined by depletion spectroscopy. This system allows rapid and sensitive real-time measurement of molecular interactions without labeling each component.

(2)荧光光度偏振。荧光光度偏振(FP)是一种方便的测量方法,易于应用于蛋白质-蛋白质,蛋白质-配体,或RNA-配体之间的交互作用以获得两个分子间关联反应的IC50S和KDs。在这一方法中,被研究的分子之一与荧光团结合。通常是该系统中较小的分子(在本发明中,是被研究的化合物)。混合样品,包括配体-探针结合体和核糖体或核糖体亚单位或其碎片,被垂直的偏振光激化。光线被探测器荧光团吸收,并在一小段时间后被再发射出来。发射光的极化光度被测量。发射光的极化光度取决于几个因素,但最重要的是溶液的粘度和荧光团表面分子量。在合适的控制之下,发射光的极化光度的变化可以只取决于荧光团表面分子量的变化,进而只取决于探针-配体对在溶液中自由的还是结合于一个受体之上。基于FP的结合评估有很多重要的优点,包括在真实同质的平衡点条件下测定IC50S和KDs,加速分析和使自动操作愉快,以及能够在混浊的悬浮液和有色溶液中测量。(2) Fluorescence photometric polarization. Fluorescence photometric polarization (FP) is a convenient measurement that is easily applied to protein-protein, protein-ligand, or RNA-ligand interactions to obtain theIC50S and KDs of two intermolecular association reactions. In this method, one of the molecules under study is bound to a fluorophore. Usually it is the smaller molecule in the system (in this invention, the compound being studied). The mixed sample, including ligand-probe conjugates and ribosomes or ribosomal subunits or fragments thereof, is excited by vertically polarized light. Light is absorbed by the detector fluorophore and re-emitted after a short time. The polarizability of the emitted light is measured. The polarization of emitted light depends on several factors, but the most important are the viscosity of the solution and the surface molecular weight of the fluorophore. Under proper control, changes in the polarization of emitted light can be dependent only on changes in the molecular weight of the fluorophore surface, and thus only on whether the probe-ligand pair is free in solution or bound to a receptor. FP-based binding assessment has many important advantages, including determination ofIC50S and KDs under truly homogeneous equilibrium point conditions, speeding up analysis and making automation pleasant, and the ability to measure in turbid suspensions and colored solutions.

(3)蛋白质合成。据预测,除了前述化学评估所确定的性质外,本发明的化合物也可作为核糖体或核糖体亚单元某些活性的调节子(例如,蛋白质合成的抑制子)。(3) Protein synthesis. It is predicted that, in addition to the properties identified by the foregoing chemical assessments, the compounds of the invention may also act as modulators of certain activities of the ribosome or ribosomal subunits (eg, inhibitors of protein synthesis).

进一步,可以通过将本发明的化合物施给整个生物体、组织、器官、细胞器官、细胞、一个细胞的或亚细胞的提取物、或纯化核糖体,通过测定,例如它的抑制常数(IC50),对蛋白质合成的抑制来观察其药理学和抑制性质。3H亮氨酸或35S蛋氨酸的结合,或类似实验可以用以观察蛋白质合成活性。在本发明化合物存在的条件下,细胞中的蛋白质合成率或者总量的变化暗示了该化合物分子是蛋白质合成的调节子。蛋白质合成率或者总量的降低说明该分子是蛋白质合成的抑制子。Further, by administering the compound of the present invention to a whole organism, tissue, organ, organelle, cell, a cellular or subcellular extract, or purified ribosomes, for example, its inhibition constant (IC50 ), inhibition of protein synthesis to observe its pharmacological and inhibitory properties. Binding of3 H leucine or35 S methionine, or similar assays can be used to observe protein synthesis activity. In the presence of the compound of the present invention, changes in the protein synthesis rate or total amount in cells suggest that the compound molecule is a regulator of protein synthesis. A reduction in the rate or amount of protein synthesis indicates that the molecule is an inhibitor of protein synthesis.

此外,可以在细胞水平上评估本化合物的抗增生或抗感染性质。例如,当目标生物体是一个微生物,本发明化合物的活性,可以通过在有或者没有本发明化合物的介质中培养该微生物,来评估。对生长的抑制可以表明该化合物分子可以作为蛋白质合成的抑制子。更具体的是,本发明的化合物对病原体的抵抗作用可以通过该化合物对人类病原体菌株生长的抑制来证明。为达到此目的,收集一面板不同细菌的菌株,其中包括多种不同类别的病原体,一些包含了所述的耐药性。使用这样一个有机体可以确定结构与活性之间的关系不光与光谱有关,也与避免耐药性有关。实验可以在常规的微量滴定条件下完成,该方法参见TheNational Committee for Clinical Laboratory Standard(NCCLS)guidelines(NCCLS.M7-A5-Methods for Dilution AntimicrobialSusceptibility Tests for Bacteria That Grow Aerobically;ApprovedStandard-Fifth Edition.NCCLS Document M100-S12/M7(ISBN1-56238-394-9))。Furthermore, the anti-proliferative or anti-infective properties of the present compounds can be assessed at the cellular level. For example, when the target organism is a microorganism, the activity of the compound of the invention can be assessed by culturing the microorganism in a medium with or without the compound of the invention. Inhibition of growth may indicate that the compound molecule may act as an inhibitor of protein synthesis. More specifically, the resistance of the compounds of the invention to pathogens can be demonstrated by the inhibition of growth of human pathogenic strains by the compounds. For this purpose, a panel of different strains of bacteria is collected, including many different classes of pathogens, some of which contain the described drug resistance. The use of such an organism allows the determination of the structure-activity relationship not only for spectra but also for avoiding drug resistance. The experiment can be done under conventional micro titration conditions. For this method, see TheNational Committee for Clinical Laboratory Standard (NCCLS) guidelines (NCCLS. -S12/M7(ISBN1-56238-394-9)).

5.配方和给药5. Formulation and Administration

本发明的化合物可用于抑制或者治疗人类或其他动物的,包括哺乳动物和非哺乳动物,的疾病,包括,例如,细菌感染,真菌感染,滤过性毒菌感染,寄生疾病和癌症。据预测,一旦被确定,本发明的活性分子可以与现有技术中所有合适的载体合用。活性分子的剂量、给药方式和使用的合适载体取决于患者或者目标生物体。无论是对动物还是对人的配方,一般都包含本发明的化合物和药学上可接受的载体。The compounds of the invention are useful for inhibiting or treating diseases in humans or other animals, including mammals and non-mammals, including, for example, bacterial infections, fungal infections, viral infections, parasitic diseases and cancers. It is anticipated that, once identified, the active molecules of the invention may be combined with all suitable carriers known in the art. The dose of active molecule, the mode of administration and the suitable carrier used will depend on the patient or target organism. Formulations, whether for animals or humans, generally comprise a compound of the invention and a pharmaceutically acceptable carrier.

载体从与配方中的其他成分的兼容性上来说,应当是“可接受的”,并且对患者是无毒的。药学上可接受的载体,从这个角度上说,意图包括任何和所有溶剂、分散媒介、涂层、抗菌和抗真菌剂、等张和吸收延迟剂、其他类似组分,与药理学上给药相兼容的。这类介质或试剂作为药学上活性成分的使用方法是公知的。除非任何常规范围内的介质或试剂与活性化合物(按本发明定义或设计的)不能配伍。附加的活性化合物(现有技术中的)也可被引入组合物中。配方可以被按剂量制成单元形式病用药剂学/微生物学中公知的方法制备。通常情况下,有些配方的制备通过将本化合物混入一种液体载体或者被分碎的固体载体或者两者,然后,如果需要的话,可以将产品做成期望的配方。The carrier should be "acceptable" in terms of compatibility with the other ingredients in the formulation and nontoxic to the patient. A pharmaceutically acceptable carrier is, in this sense, intended to include any and all solvents, dispersion media, coatings, antibacterial and antifungal agents, isotonic and absorption delaying agents, and other similar ingredients, relevant to pharmacologically administered Compatible. The methods of use of such media or agents as pharmaceutically active ingredients are well known. Unless any conventional range of media or agents is incompatible with the active compounds (defined or contemplated herein). Additional active compounds (in the prior art) may also be incorporated into the compositions. Formulations may be prepared in dosage unit form by methods well known in medical pharmacy/microbiology. Generally, some formulations are prepared by incorporating the compound into a liquid carrier or a finely divided solid carrier or both, and then, if necessary, shaping the product into the desired formulation.

本发明药学上可接受的组合物与其给药途径相适应。给要途径例如,口服,注射比如静脉注射、皮下注射,吸入给药,经皮给药(局部),转化粘液质和直肠给药。用以注射、皮下注射或皮下给药的溶液或悬浮液可以包括以下成分:消过毒的稀释液,例如注射用水、盐水、固化油、聚乙烯乙二醇、丙三醇、丙烯乙二醇、或其他合成溶剂;抗菌剂例如苄基乙醇或甲基parabens;抗氧化剂例如抗坏血酸或亚硫酸钠;螯合剂例如乙二胺四乙酸;缓冲液例如醋酸盐、柠檬酸盐或磷酸盐,和调节张力的试剂如氯化钠或葡萄糖。Ph值可用酸或碱调节例如盐酸或氢氧化钠。The pharmaceutically acceptable composition of the present invention is compatible with its administration route. The main routes of administration are, for example, oral administration, injection such as intravenous injection, subcutaneous injection, inhalation administration, transdermal administration (topical), mucotransformation and rectal administration. Solutions or suspensions for injection, subcutaneous injection or subcutaneous administration may contain the following ingredients: sterile diluents such as water for injection, saline, solidified oils, polyethylene glycol, glycerol, propylene glycol , or other synthetic solvents; antibacterial agents such as benzyl alcohol or methyl parabens; antioxidants such as ascorbic acid or sodium sulfite; chelating agents such as ethylenediaminetetraacetic acid; buffers such as acetate, citrate or phosphate, and tonicity reagents such as sodium chloride or glucose. The pH can be adjusted with acids or bases such as hydrochloric acid or sodium hydroxide.

对口服或注射给药有用的溶液可被现有药学技术中公知的方法制备,记载在,例如,Remington‘s PhaarmaceuticalScience,(Gennaro A.,ed.),Mack Pub.,(1990)注射给药的配方可以包括甘胆酸盐用以口腔给药,也可包括甲氧基水杨酸盐用以直肠给药,或者柠檬酸用以阴道给药。注射配方可制备在一次用量的制剂、可任意使用的注射器中或玻璃或塑料制的多种剂量的小瓶中。为直肠给药的栓剂其制备可以将该药物与非刺激性的如可可油,其他甘油酯,或其他在室温下为固态、人体温度下为液态的赋形剂混合。配方中也可包括,例如,聚乙烯乙二醇、植物油和氢化萘。直接给药的配方可以包括甘油和其他高张力组分。其他对这些药物有用的注射载体包括乙烯-乙烯基醋酸盐共聚物微粒,或为鼻腔滴药的油溶液,或者为用于鼻内做成凝胶。也可在直肠给药时加上保持力灌肠剂。Solutions useful for oral or parenteral administration can be prepared by methods well known in the art of pharmacy, described, for example, in Remington's Phaarmaceutical Science, (Gennaro A., ed.), Mack Pub., (1990) Injection Administration The formulations may include glycocholate for oral administration, methoxysalicylate for rectal administration, or citric acid for vaginal administration. Formulations for injection can be prepared in single-dose formulations, disposable syringes or multiple-dose vials made of glass or plastic. Suppositories for rectal administration may be prepared by mixing the drug with non-irritating excipients such as cocoa butter, other glycerides, or other solid at room temperature but liquid at body temperature. Formulations may also include, for example, polyethylene glycols, vegetable oils and hydrogenated naphthalenes. Formulations for direct administration may include glycerol and other high tonicity components. Other useful injectable vehicles for these drugs include ethylene-vinyl acetate copolymer microparticles, or as an oil solution for nasal drops, or as a gel for intranasal use. Retention enemas may also be added to rectal administration.

本发明适于口服给药的配方可以以下形式:离散的单元如胶囊、凝胶胶囊、小袋、片剂、药片或药糖块,每一份都包含预先设定的药量;粉状或粒状组合物;溶液或水溶性或非水溶性悬浮液;或水包油型的乳剂或油包水状型的乳剂。此药物也可被以丸药、干药糖剂或浆的形式给药。片剂可以将此药和其他可接受成分以压榨或者模铸的形式制成。压缩片剂可以用合适的机器通过压制的方法制备,此药物以一种可以自由流动的形式如粉或粒,任意地与粘合剂、滑润剂、惰性稀释剂、表面活性或分散剂,在合适的机器中压制。铸模片可以在合适的机器中,将粉状的药物与合适的载体与惰性稀释剂湿混,铸造而成。Formulations of the present invention suitable for oral administration may be in the form of discrete units such as capsules, gel capsules, sachets, tablets, troches or lozenges, each containing a predetermined amount of drug; powder or granules A composition; a solution or a water-soluble or water-insoluble suspension; or an oil-in-water emulsion or a water-in-oil emulsion. This medication may also be given as a pill, electuary, or syrup. Tablets may be made from the drug and other acceptable ingredients in compressed or molded form. Compressed tablets may be prepared by compression, using a suitable machine, of the drug in a free-flowing form such as powder or granules, optionally with a binder, lubricant, inert diluent, surface active or dispersing agent, in the Press in a suitable machine. Molded tablets may be cast by wet mixing the powdered drug with a suitable carrier and an inert diluent in a suitable machine.

口服组合物通常包括一种非刺激性稀释剂或者一种可食用载体。为口服治疗的目的,本活性化合物可以与赋形剂共用。口服组合物的制备使用一种流动载体作为漱口其中包括了此化合物,并且应用于口腔和漱口并吐出。药学上可接受的凝固剂和/或辅药材料可以包括在组合物成分内。药片、药丸、胶囊、片剂可以包含下述任意一种成分,或者具有相同性质的化合物:一种凝固剂例如微晶纤维素、黄蓍胶或白明胶;赋形剂例如淀粉或乳糖;崩解剂例如褐藻酸、羟基乙酸淀粉钠、或玉米淀粉;一种滑润剂例如硬脂酸镁或Sterotes;一种助流剂例如胶质二氧化硅;一种甜味剂例如蔗糖或糖精;或一种调味剂例如薄荷油、甲基水杨酸盐或橙味调味剂。Oral compositions generally include a non-irritating diluent or an edible carrier. For the purpose of oral therapy, the active compound may be combined with excipients. Oral compositions are prepared using a fluid carrier as a mouthwash in which the compound is included and applied to the mouth and swished and expectorated. Pharmaceutically acceptable coagulants and/or adjuvant materials may be included in the composition ingredients. Tablets, pills, capsules, tablets may contain any of the following ingredients, or compounds of the same nature: a coagulating agent such as microcrystalline cellulose, tragacanth or gelatin; excipients such as starch or lactose; a debonding agent such as alginic acid, sodium starch glycolate, or corn starch; a lubricant such as magnesium stearate or Sterotes; a glidant such as colloidal silicon dioxide; a sweetener such as sucrose or saccharin; or a flavoring such as peppermint oil, methyl salicylate, or orange flavoring.

适合于注射的药学上组合物通常包含消过毒的水溶液(水溶性的)或分散剂,和为即时使用的消毒溶液或分散剂准备的消过毒的粉末。为静脉给药,合适的载体包括生理盐水、细菌抑制水、Cremophor ELTM(BASF Parsippany,NJ)、生理盐水磷酸盐缓冲液(PBS)。在制备和储藏的条件下,它应该是稳定的,并且能对抗例如细菌和真菌的感染行为。载体可以是溶剂或者分散介质包含,例如,水、酒精、多羟基化合物(例如,例如,丙三醇、丙烯乙二醇、和液态聚乙二烯乙二醇)和上述的化合物的稳定混合物。合适的流体可以被保持,通过,例如涂覆卵磷脂的方式,在分散剂存在的条件下使用合适的微粒形状和通过使用表面活性剂。无论在何种条件下,组合物中都可包括等张试剂,例如糖,聚乙醇类例如木糖醇、山梨糖醇,氯化钠。在可注射用的组合种种键入延缓吸收的试剂,例如,单硬脂酸铝和凝胶,以延长吸收时间。Pharmaceutical compositions suitable for injection generally comprise sterile aqueous solutions (water soluble) or dispersions, and sterile powders for ready-to-use sterile solutions or dispersions. For intravenous administration, suitable carriers include physiological saline, bacteriostatic water, Cremophor ELTM (BASF Parsippany, NJ), physiological saline phosphate buffered saline (PBS). It should be stable under the conditions of manufacture and storage and resistant to the infective action of, for example, bacteria and fungi. The carrier can be a solvent or dispersion medium containing, for example, water, alcohol, polyol (eg, for example, glycerol, propylene glycol, and liquid polyethylene glycol) and stable mixtures of the above-mentioned compounds. Proper fluidity can be maintained, for example, by means of coating lecithin, using suitable particle shapes in the presence of dispersants and by using surfactants. Regardless of the conditions, isotonic agents may be included in the composition, for example sugars, polyalcohols such as xylitol, sorbitol, sodium chloride. Injectable combinations include various agents that delay absorption, for example, aluminum monostearate and gelatin, to prolong the absorption time.

消过毒的注射液可以通过,将需要量的活性化合物和一个或多个上述成分的组合,溶于合适的溶剂中来制备,如果需要的话,可以随后过滤消毒。同学行情况下,通过将活性化合物注入一个消过毒的包含一种基础分散介质和上述列举的其他所需成分的容器中,来制备。对于用于消过毒的注射液的消过毒的粉末,制备方法包括真空干燥和冷冻干燥,从而从之前过滤消毒的溶液获得包括活性成分和任何期望的附加成分的粉末。Sterile injections can be prepared by dissolving the active compound in the required amount in an appropriate solvent with one or more of the above-mentioned ingredients in combination, followed by filtration sterilization, if necessary. It is prepared by filling the active compound into a sterile container containing a basic dispersion medium and the required other ingredients from those enumerated above. In the case of sterile powders for sterile injectable solutions, methods of preparation include vacuum drying and freeze-drying to obtain a powder comprising the active ingredient plus any desired accessory ingredient from a previously filter-sterilized solution.

适合于关节内给药的配方可以在消过毒的液体中制备该药物,该药物可以是微晶形式,例如以液体微晶悬浮液的形式。脂质体或生物硝化的聚合物都可用于关节内和眼内给药。Formulations suitable for intra-articular administration may be prepared in sterile liquid, which may be in microcrystalline form, for example as a liquid microcrystalline suspension. Both liposomes and bionitrated polymers can be used for intra-articular and intraocular administration.

适合局部给药的配方,包括眼部治疗,可制成包括液体或半-液体,例如擦剂、洗剂、凝胶、applicants,水包油或油包水乳状液例如乳脂、油膏或浆;或者溶液或悬浮液例如滴剂。对皮肤表面的局部给药配方可以用将该药物分散到皮肤可接受的载体中来制备,所述载体例如洗剂、乳脂、油膏或油脂。特别有用的是那些能够在皮肤表面形成一层膜或药层可定点作用并不会移动。用于内部组织局部给药,该制剂可被分散到可黏附于组织的液体或者其他能加强组织表面吸收的物质。或者,能够覆盖于组织的溶液例如包含胶质的配方可以被使用。Formulations suitable for topical administration, including ophthalmic treatments, may be formulated to include liquids or semi-liquids such as liniments, lotions, gels, applicants, oil-in-water or water-in-oil emulsions such as creams, ointments or pastes ; or solutions or suspensions such as drops. Formulations for topical administration to the skin surface may be prepared by dispersing the drug in a dermatologically acceptable carrier such as a lotion, cream, ointment or oil. Particularly useful are those that form a film or layer on the skin surface that acts on a site and does not move. For topical administration to internal tissues, the formulation may be dispersed in a tissue-adhering liquid or other substance that enhances tissue surface absorption. Alternatively, solutions capable of coating tissue such as gelatin-containing formulations may be used.

对于吸入治疗,吸入粉(自推进或者喷雾配方)位于喷雾盒之中,喷雾器或喷瓶可以被使用。这样的配方可以做成适合从一个喷雾装置向肺部给药的粉末或者自推进式的粉末分配配方。在自推进溶液和喷雾配方中,达到这样的效果可以通过选择包含预期喷雾性质的阀(例如,可以制造预定剂量的喷雾)或将该活性成分作为悬浊粉末制成一定大小的颗粒。对于吸入给药,本化合物也可以气雾剂的形式从一个包含合适推进物(例如像二氧化碳样的气体,或nebulizer)的压力容器或分散器中喷出。For inhalation therapy, inhalation powders (self-propelling or spray formulations) are provided in spray packs, nebulisers or spray bottles can be used. Such formulations are available as powders suitable for pulmonary administration from a spray device or as self-propelling powder dispensing formulations. In self-propelling solution and spray formulations, this can be achieved by selecting a valve that incorporates the desired spray properties (e.g., allowing a pre-dose spray to be produced) or by sizing the active ingredient as a suspended powder. For administration by inhalation, the compound can also be administered as an aerosol from a pressurized container or dispenser containing a suitable propellant (eg, a gas such as carbon dioxide, or a nebulizer).

系统给药可以通过经粘膜或经皮的途径。对于经粘膜或经皮给药,用以渗透的针对特定阻碍的合适的渗透剂被包含在配方中。这样的渗透剂在现有技术中很公知,包括,例如,对于经粘膜给药,去污剂和胆汁盐。经皮给药可以通过使用鼻腔喷雾和栓剂实现。对于经皮给药,活性化合物配制入药膏、软膏、胶或者公知技术中的凝胶,之中。Systemic administration can be by transmucosal or transdermal routes. For transmucosal or transdermal administration, suitable penetrants for the particular barrier to permeation are included in the formulation. Such penetrants are well known in the art and include, for example, for transmucosal administration, detergents and bile salts. Transdermal administration can be achieved through the use of nasal sprays and suppositories. For transdermal administration, the active compounds are formulated into ointments, ointments, gels or gels, as known in the art.

该活性化合物可以与那些保护该化合物不被迅速代谢的载体制备在一起,例如控制释放的配方,包括灌输和微胶囊送药系统。可被生物消化和接受的聚合物,例如乙烯-醋酸乙烯共聚物、聚酸酐、聚乙醇酸、胶原质、聚原酸酯、聚乳酸可以被使用。本领域技术人员知晓制备这些配方的方法。脂质体悬浮液也可用作药学上可接受的载体。这些可按照本领域技术人员公知的方法制备,例如,参见美国专利No.4,522,811。The active compounds can be prepared with carriers which will protect the compound against rapid metabolism, such as a controlled release formulation, including infusion and microencapsulated delivery systems. Biodigestible and acceptable polymers such as ethylene vinyl acetate, polyanhydrides, polyglycolic acid, collagen, polyorthoesters, polylactic acid can be used. Methods for preparing such formulations are known to those skilled in the art. Liposomal suspensions can also be used as pharmaceutically acceptable carriers. These can be prepared according to methods known to those skilled in the art, see, for example, US Patent No. 4,522,811.

口服或者注射给药可以制成方便给药的和固定剂量的单元。剂量单元形式,是指分散的单元适合作为单位剂量施给受体;每一个剂量单元包含预定量的活性化合物,与所需要的药学载体一起产生所期望的治疗效果。该单元形式中本发明化合物的具体剂量取决和依赖于该活性化合物的单独性质和所希望的具体的疗效,并且还受制于该活性化合物针对个体治疗时组合物技术中的一些固有的限制。进一步,可以周期式注射给药,或者可更持续地从外部药袋(例如输液袋)通过静脉肌肉或腹膜给药。Oral or parenteral administration may be presented in convenient dosing and fixed dosage units. Dosage unit form refers to discrete units suitable as unitary dosages for recipients; each dosage unit containing a predetermined quantity of active compound in association with the required pharmaceutical carrier to produce the desired therapeutic effect. The particular dosage of the compound of the invention in the unit form will depend upon and depend upon the individual nature of the active compound and the particular therapeutic effect desired, and is also subject to some of the limitations inherent in the art of composition of the active compound for individual treatment. Further, administration may be administered by periodic injection, or may be administered more continuously intravenously, intramuscularly or peritoneally from an external bag such as an infusion bag.

当需要该组合物黏附在组织表面时,该组合物可以包括分散于纤维蛋白原-凝血酶该药物的组合物或其他黏附剂。这样,该化合物可以被涂、喷或者其他方式应用至预期的组织表面。或者,该药物可以以口服或注射方式给药至人类或者其他哺乳动物,例如,有效治疗量的如像目标组织提供足以引起目标组织预期效果的合适浓度的本化合物。When the composition needs to be adhered to the tissue surface, the composition may include the drug dispersed in the fibrinogen-thrombin composition or other adhesive agent. Thus, the compound can be painted, sprayed or otherwise applied to the desired tissue surface. Alternatively, the drug may be administered to humans or other mammals orally or by injection, for example, a therapeutically effective amount of the compound at a suitable concentration sufficient to provide the desired effect on the target tissue.

当本活性化合物被用于作为移植手术的一个步骤,可以在该组织或者器官从供体移出前施加给该活组织和器官。本化合物可以提供给供体。或者,还可以,一旦从供体移出,该器官或者活组织可以放入包含本化合物的溶液中保存。在任何情况下,该活性化合物可以直接给药至预期的组织,通过注射,或者可以系统给药,不管是口服或者注射给药,使用现有技术中描述的任何方法和配方。当该药物包含保存组织或器官的溶液时任何商业上可获得的保存液都可使用。例如,现有技术中有用的溶液包括Collin溶液,Wisconsin溶液,Belzer溶液,Eurocollins溶液和Ringer’s乳酸盐溶液。When the active compounds are used as a procedure in transplant surgery, they can be administered to the living tissue or organ prior to removal of the tissue or organ from the donor. The present compound may be provided to a donor. Alternatively, once removed from the donor, the organ or living tissue may be preserved in a solution comprising the present compound. In any event, the active compound can be administered directly to the desired tissue, by injection, or can be administered systemically, either orally or by injection, using any of the methods and formulations described in the art. When the medicament comprises a solution for preserving tissues or organs, any commercially available preservation solution may be used. For example, solutions useful in the art include Collin's solution, Wisconsin's solution, Belzer's solution, Eurocollins' solution and Ringer's lactate solution.

本发明的化合物可以直接给药至特定组织的位置,通过将该化合物加入位于该组织上的一个医疗装置上。医疗装置的一个例子是一个支架,该支架包含或者涂覆了一种或多种本发明的化合物。Compounds of the present invention can be administered directly to a specific tissue site by incorporating the compound on a medical device located on the tissue. An example of a medical device is a stent comprising or coated with one or more compounds of the invention.

例如,活性化合物可以被用在位于血管破损处。支架可通过药学领域现有技术的任何方法制备。参见,例如,Fattori,R.andPiva,T.,“Drug Eluting Stents in Vascular Intervention”,Lancet,2003361,247-249;Morice,M.C.,“A New Era in the Treatment ofCoronary Disease?”European Heart Journal,2003,24,209-211;和Toutouzas,K.et  al.“Sirolimus-Eluting Stent:A Review ofExperimental and Clinical Findings,”Z.Kardiol.,2002,91(3),49-57。所述支架可以由不锈钢金属或者其他生物可兼容的金属制成,或者可以由生物兼容的聚合物制成。活性化合物与支架的表面相连,从聚合物材料的表面释放,或者被覆盖在该支架表面的载体包裹并释放。所述支架可以用于单一或者复合给药,将该化合物施给支架临近的组织。For example, the active compound may be used at the site of a blood vessel break. Stents can be prepared by any method known in the art of pharmacy. See, eg, Fattori, R. and Piva, T., "Drug Eluting Stents in Vascular Intervention", Lancet, 2003361, 247-249; Morice, M.C., "A New Era in the Treatment of Coronary Disease?" European Heart Journal, 2003 , 24, 209-211; and Toutouzas, K. et al. "Sirolimus-Eluting Stent: A Review of Experimental and Clinical Findings," Z. Kardiol., 2002, 91(3), 49-57. The stent may be made of stainless steel or other biocompatible metal, or may be made of a biocompatible polymer. The active compound is attached to the surface of the stent, released from the surface of the polymer material, or encapsulated and released by a carrier covering the surface of the stent. The stent can be used for single or compound administration, and the compound is administered to the tissue adjacent to the stent.

按照本发明的方法设计的活性化合物可被给药至个体以治疗疾病(预防或治疗)。配合这样的治疗,需要考虑药物遗传学(研究个体基因与个体对外界化合物的反应)的因素。不同剂量和药学活性药物血液浓度之间的关系,使得治疗中新陈代谢的区别可以导致严重的毒性或者治疗失败。于是,医师或药剂师可以应用从药物遗传学研究中获得的知识来决定是选择一定剂量的药物治疗还是使用含有该药物的食物疗法。Active compounds designed according to the methods of the present invention can be administered to an individual for the treatment of a disease (prophylaxis or therapy). In conjunction with such treatments, considerations of pharmacogenetics (the study of an individual's genes and the individual's response to external compounds) need to be considered. The relationship between different doses and blood concentrations of pharmaceutically active drugs makes differences in metabolism during treatment can lead to serious toxicity or treatment failure. A physician or pharmacist can then apply the knowledge gained from pharmacogenetic studies to decide whether to choose a dose of drug therapy or to use a diet containing the drug.

在治疗或者抑制哺乳动物细菌感染的治疗应用中,本发明的化合物或者包含其的药学组合物可以通过口服、注射和/或局部以可以获得并维持一定浓度的剂量给药,该剂量是,血液浓度或者组织水平浓度,在治疗过程中该活性成分在动物体内有效抗菌量的。通常情况下,活性成分的有效剂量每天相对于体重在0.1到100mg/kg之间,优选的是1.0至大约50mg/kg。该给药剂量也依赖于所需要治疗的疾病的类型和程度,以及患者的总体健康程度,化合物给药的相对生物利用度,该药物的配方,配方中的载体,以及给药途径。同样,应该理解的是,最初的给药剂量应该可被提高至能够迅速获得预期血液水平或组织水平的上限制上,或者最初的给药剂量可以小于最适宜的剂量并每日剂量可以在治疗期间根据特定的条件逐渐增加。如果需要的话,每日剂量可被分为多次给药,例如一日两次或者四次。In the therapeutic application of treating or inhibiting bacterial infection in mammals, the compound of the present invention or the pharmaceutical composition comprising it can be administered orally, by injection and/or locally at a dose that can obtain and maintain a certain concentration, the dose is, blood The concentration, or tissue level concentration, of the active ingredient in an antibacterially effective amount in the animal during the course of treatment. Usually, the effective dose of the active ingredient is between 0.1 and 100 mg/kg, preferably 1.0 to about 50 mg/kg of body weight per day. The dosage also depends on the type and extent of the disease to be treated, as well as the general health of the patient, the relative bioavailability of the administered compound, the formulation of the drug, the carrier in the formulation, and the route of administration. Likewise, it should be understood that the initial dose administered should be escalated up to the upper limit to rapidly achieve the desired blood or tissue levels, or that the initial dose administered may be less than optimal and the daily dose may be adjusted during treatment. The period increases gradually according to certain conditions. The daily dosage may, if desired, be divided into several administrations, for example twice or four times a day.

人体和其他哺乳动物的许多疾病状态和状况被发现是被无义或错义突变引起或调节的。疾病状态和状况被发现是被无义或错义突变引起或调节的例子包括,血友病(凝血因子VIII基因)、神经纤维瘤病(NF1和NF2基因)、色素性视网膜炎(人类USH2A基因)皮肤水疱病例如大疱性表皮松解症(COL7A1基因)、囊性纤维症(控制上皮细胞跨细胞膜离子转运通道基因),乳腺和卵巢癌(BRCA1和BRCA2基因)、肌肉萎缩症(Dystrophin基因),结肠癌(错配修复基因,位于MLNH1和MLNH2)和庞贝氏症例如Neimann-pick病(酸性鞘磷脂酶基因)。参见Sanders CR,Myers JK.Disease-related misassembly of membrane proteins.Annu Rev Biophys BiomolStruct.2004;33:25-51;National Center for Biotechnology Information(U.S.)Genes and diseaseBethesda,MD:NCBI,NLM ID:101138560[Book];and Raskó,István;Downes,C S Genes inmedicine:molecular biology and human genetic disorders 1st ed.London;New York:Chapman&Hall,1995.NLM ID:9502404[BooK].Many disease states and conditions in humans and other mammals have been found to be caused or modulated by nonsense or missense mutations. Examples of disease states and conditions found to be caused or regulated by nonsense or missense mutations include, hemophilia (coagulation factor VIII gene), neurofibromatosis (NF1 and NF2 genes), retinitis pigmentosa (human USH2A gene ) skin blistering disorders such as epidermolysis bullosa (COL7A1 gene), cystic fibrosis (gene controlling ion transport channels across the cell membrane in epithelial cells), breast and ovarian cancer (BRCA1 and BRCA2 genes), muscular dystrophy (Dystrophin gene ), colon cancer (mismatch repair genes, located in MLNH1 and MLNH2) and Pompe diseases such as Neimann-pick disease (acid sphingomyelinase gene). See Sanders CR, Myers JK. Disease-related misassembly of membrane proteins. Annu Rev Biophys BiomolStruct. 2004; 33: 25-51; National Center for Biotechnology Information (US)Genes and disease Bethesda, MD: NCBI, NLM ID:101138560 [ Book]; and Raskó, István; Downes, C SGenes inmedicine: molecular biology and human genetic disorders 1st ed. London; New York: Chapman&Hall, 1995. NLM ID:9502404 [BooK].

本发明的化合物可以通过向患有被无义或错义突变引起的疾病状态的哺乳动物施以有效量的本发明的化合物,来治疗或阻止哺乳动物中被无义或错义突变引起或调节的疾病状态。The compounds of the present invention can be used to treat or prevent the disease state caused by nonsense or missense mutations caused or regulated in mammals by administering an effective amount of the compounds of the present invention to mammals suffering from the disease state caused by nonsense or missense mutations disease state.

6.实施例6. Example

核磁共振(NMR)光谱由Bruker Avance300或500兆分光计获得,或者某些个例中由GE-Nicolet300兆分光计获得。常用的反应溶剂是高效液相色谱程度或者美国化学会程度,除非另有说明是在获得的无水条件下。“色谱法”或“硅胶纯化”指使用硅胶(EM Merck,Silica Gel 60,230-400目)洗脱色谱柱。Nuclear Magnetic Resonance (NMR) spectra were obtained on a Bruker Avance 300 or 500 Mega-Spectrometer, or in some cases a GE-Nicolet 300 Mega-Spectrometer. Common reaction solvents were HPLC grade or American Chemical Society grade, unless otherwise stated under anhydrous conditions obtained. "Chromatography" or "silica gel purification" refers to the use of silica gel (EM Merck, Silica Gel 60, 230-400 mesh) to elute a chromatographic column.

本申请在第六部分和名为“6.实施例”的部分中使用的编号例如1,2,3的化合物,仅仅在第六部分使用,不包括也不与本申请名为“3.本发明化合物的合成”的第三部分中的编号混同。The compound of the number such as 1,2,3 that the application uses in the sixth part and the part named "6. Embodiment" is only used in the sixth part, and does not include and is not related to the application named "3. The numbering in the third part of "Synthesis of Inventive Compounds" is confusing.

根据本发明合成的化合物在表1中列出。Compounds synthesized according to the present invention are listed in Table 1.

表1Table 1

Figure A20058001353201191
Figure A20058001353201191

Figure A20058001353201201
Figure A20058001353201201

Figure A20058001353201211
Figure A20058001353201211

Figure A20058001353201221
Figure A20058001353201221

Figure A20058001353201241
Figure A20058001353201241

Figure A20058001353201251
Figure A20058001353201251

Figure A20058001353201261
Figure A20058001353201261

Figure A20058001353201271
Figure A20058001353201271

Figure A20058001353201321
Figure A20058001353201321

Figure A20058001353201341
Figure A20058001353201341

Figure A20058001353201371
Figure A20058001353201371

Figure A20058001353201381
Figure A20058001353201381

Figure A20058001353201391
Figure A20058001353201391

Figure A20058001353201401
Figure A20058001353201401

Figure A20058001353201411
Figure A20058001353201411

Figure A20058001353201421
Figure A20058001353201421

Figure A20058001353201431
Figure A20058001353201431

Figure A20058001353201441
Figure A20058001353201441

Figure A20058001353201481
Figure A20058001353201481

Figure A20058001353201501
Figure A20058001353201501

Figure A20058001353201521
Figure A20058001353201521

Figure A20058001353201531
Figure A20058001353201531

Figure A20058001353201551
Figure A20058001353201551

Figure A20058001353201571
Figure A20058001353201571

Figure A20058001353201581
Figure A20058001353201581

Figure A20058001353201601
Figure A20058001353201601

Figure A20058001353201651
Figure A20058001353201651

Figure A20058001353201661
Figure A20058001353201661

Figure A20058001353201671
Figure A20058001353201671

Figure A20058001353201681
Figure A20058001353201681

Figure A20058001353201691
Figure A20058001353201691

Figure A20058001353201701
Figure A20058001353201701

Figure A20058001353201711
Figure A20058001353201711

Figure A20058001353201731
Figure A20058001353201731

Figure A20058001353201741
Figure A20058001353201741

Figure A20058001353201751
Figure A20058001353201751

Figure A20058001353201761
Figure A20058001353201761

Figure A20058001353201771
Figure A20058001353201771

Figure A20058001353201781
Figure A20058001353201781

Figure A20058001353201791
Figure A20058001353201791

Figure A20058001353201801
Figure A20058001353201801

Figure A20058001353201811
Figure A20058001353201811

Figure A20058001353201821
Figure A20058001353201821

Figure A20058001353201831
Figure A20058001353201831

Figure A20058001353201881
Figure A20058001353201881

Figure A20058001353201891
Figure A20058001353201891

Figure A20058001353201911
Figure A20058001353201911

Figure A20058001353201921
Figure A20058001353201921

Figure A20058001353201931
Figure A20058001353201931

Figure A20058001353201961
Figure A20058001353201961

Figure A20058001353201971
Figure A20058001353201971

Figure A20058001353201981
Figure A20058001353201981

Figure A20058001353201991
Figure A20058001353201991

Figure A20058001353202001
Figure A20058001353202001

Figure A20058001353202011
Figure A20058001353202011

Figure A20058001353202021
Figure A20058001353202021

Figure A20058001353202031
Figure A20058001353202031

Figure A20058001353202041
Figure A20058001353202041

Figure A20058001353202051
Figure A20058001353202051

Figure A20058001353202061
Figure A20058001353202061

Figure A20058001353202071
Figure A20058001353202071

Figure A20058001353202081
Figure A20058001353202081

Figure A20058001353202101
Figure A20058001353202101

Figure A20058001353202121
Figure A20058001353202121

Figure A20058001353202141
Figure A20058001353202141

Figure A20058001353202161
Figure A20058001353202161

Figure A20058001353202191
Figure A20058001353202191

Figure A20058001353202211
Figure A20058001353202211

Figure A20058001353202221
Figure A20058001353202221

Figure A20058001353202281
Figure A20058001353202281

Figure A20058001353202291
Figure A20058001353202291

Figure A20058001353202301
Figure A20058001353202301

实施例1-化合物101-280的合成Example 1 - Synthesis of Compounds 101-280

以下流程100和101描述了化合物101-280的合成。通过阿奇霉素1的脱甲基作用选择性地生成3’-N-去甲基阿奇霉素2。胺2与甲苯磺酸酯11,12,13被选择性地烷基化分别生成炔烃3,4,5。如流程101所示炔烃3,4或5与叠氮化合物14a-14gm在碘化亚铜的存在下选择性地提供三氮唑101-280。Schemes 100 and 101 below describe the synthesis of compounds 101-280. 3'-N-desmethylazithromycin 2 is selectively generated by demethylation of azithromycin 1. Amine 2 was selectively alkylated with tosylate 11, 12, 13 to generate alkynes 3, 4, 5, respectively. As shown in Scheme 101, alkynes 3, 4 or 5 and azides 14a-14gm selectively provide triazoles 101-280 in the presence of cuprous iodide.

流程100:炔烃3,4和5的合成。Scheme 100: Synthesis of alkynes 3, 4 and 5.

3’-N-去甲基阿奇霉素2的合成Synthesis of 3'-N-desmethylazithromycin 2

阿奇霉素1(0.80克,1.02毫摩尔)和醋酸钠(0.712克,8.06毫摩尔)溶解在80%的甲醇水溶液(25毫升)中。将溶液加热到50度,然后在三分钟内分三组加入碘(0.272克,1.07毫摩尔)。反应的PH值通过在10-45的时间间隔内加入1N氢氧化钠(1ml)保持在8-9之间。溶液在45分钟内变为无色液体,但是需要继续搅拌两个小时。TLC(二氯甲烷/甲醇溶液/氢氧化铵10∶1∶0.05)在两小时之后出现单一主产品(Rf=0.66)。将反映液冷却到室温(n),倒入包含NH4OH(1.5毫升)的水溶液(75毫升)并且用氯仿(3×30毫升)萃取。混合的有机层用包含NH4OH(1.5毫升)的水溶液(30毫升)冲洗,用Na2SO4干燥同时溶液蒸发得到白色的残余。将粗产品在硅胶柱上用二氯甲烷/甲醇/氯化铵18∶1∶0.05洗提得到胺2(0.41克,55%)。Azithromycin 1 (0.80 g, 1.02 mmol) and sodium acetate (0.712 g, 8.06 mmol) were dissolved in 80% aqueous methanol (25 mL). The solution was heated to 50°C, then iodine (0.272 g, 1.07 mmol) was added in three portions over three minutes. The pH of the reaction was maintained between 8-9 by adding 1N sodium hydroxide (1 ml) at intervals of 10-45. The solution became a colorless liquid within 45 minutes, but continued stirring was required for two hours. TLC (dichloromethane/methanol solution/ammonium hydroxide 10:1:0.05) showed a single main product (Rf = 0.66) after two hours. The reaction was cooled to room temperature (n), poured into an aqueous solution (75 mL) containingNH4OH (1.5 mL) and extracted with chloroform (3 x 30 mL). The combined organic layers were washed withaqueous solution (30 mL) containingNH4OH (1.5 mL), dried overNa2SO4 while the solution was evaporated to give a white residue. The crude product was eluted on a silica gel column with dichloromethane/methanol/ammonium chloride 18:1:0.05 to afford amine 2 (0.41 g, 55%).

炔5的合成Synthesis of alkyne 5

将3’-N-去甲基阿奇霉素2(0.5克,0.7毫摩尔)与甲苯磺酸盐13(0.20克,0.82毫摩尔)的混合物在N,N-二异丙基乙胺(Hunig’s base)(3毫升)中在80℃下搅拌4个小时。反应混合物用醋酸乙酯稀释到50ml同时用NaHCO3和盐水(1×30毫升)。有机层用K2CO3干燥同时溶液蒸发后得到0.65克黄色泡沫。将粗产品在硅胶柱上用二氯甲烷/甲醇40∶1洗提得到白色固体胺5(0.42克,74%)。A mixture of 3'-N-desmethylazithromycin 2 (0.5 g, 0.7 mmol) and tosylate 13 (0.20 g, 0.82 mmol) in N,N-diisopropylethylamine (Hunig's base) (3 mL) at 80°C for 4 hours. The reaction mixture was diluted to 50ml with ethyl acetate whileNaHCO3 and brine (1 x 30ml) were added. The organic layer was dried overK2CO3 andthe solution was evaporated to give 0.65 g of yellow foam. The crude product was eluted on a silica gel column with dichloromethane/methanol 40:1 to afford amine 5 as a white solid (0.42 g, 74%).

炔4的合成Synthesis of alkyne 4

炔4由3’-N-去甲基阿奇霉素2和甲苯磺酸盐12采用与所述化合物5相同的合成过程制备。Alkyne 4 was prepared from 3'-N-desmethylazithromycin 2 and tosylate 12 using the same synthetic procedure as described for compound 5.

炔3的合成Synthesis of alkyne 3

炔3由3’-N-去甲基阿奇霉素2和甲苯磺酸盐11采用与所述化合物5相同的合成过程制备。Alkyne 3 was prepared from 3'-N-desmethylazithromycin 2 and tosylate 11 using the same synthetic procedure as described for compound 5.

表2Table 2

Figure A20058001353202341
Figure A20058001353202341

Figure A20058001353202361
Figure A20058001353202361

Figure A20058001353202371
Figure A20058001353202371

Figure A20058001353202381
Figure A20058001353202381

Figure A20058001353202401
Figure A20058001353202401

Figure A20058001353202411
Figure A20058001353202411

流程101:表2化合物的合成Scheme 101: Synthesis of compounds in Table 2

Figure A20058001353202431
Figure A20058001353202431

三氮唑101-280由炔烃3,4,和5使用叠氮化合物14a-14gm在若干相似的反应条件之一下生成,例如以下条件A,B,C和D分别对应以下化合物151,155,l59和l58。采用条件A和C,其中不包括反应混合物的脱气阶段,导致明显数量的除所希望的产品之外的碘化副产品的生成,由此带来了低产率。同时,减少反应中的碘化亚铜的数量到0.5摩尔当量或者如条件B和D中的用量,同样可以减少碘化副产品的生成。条件D表明,Hunig’s基质的存在对于三氮唑形成阶段的成功而言并不是必要的;但是,事实表明此基质之所以被包括进来是因为它通常能够带来较高的产率同时相对地缩短了反应时间。Triazoles 101-280 are generated from alkynes 3, 4, and 5 using azides 14a-14gm under one of several similar reaction conditions, for example the following conditions A, B, C, and D correspond to the following compounds 151, 155, respectively, l59 and l58. The use of conditions A and C, which did not include a degassing stage of the reaction mixture, resulted in the formation of significant amounts of iodinated by-products other than the desired product, thereby resulting in low yields. Simultaneously, reducing the amount of cuprous iodide in the reaction to 0.5 molar equivalents or as the consumption in condition B and D can reduce the formation of iodide by-products equally. Condition D shows that the presence of Hunig's substrate is not essential for the success of the triazole formation stage; reaction time.

条件ACondition A

三氮唑151的合成Synthesis of Triazole 151

将溶液炔烃3(30mg,0.04毫摩尔),叠氮化合物14az(10mg,0.07毫摩尔)和Hunig’s基质(10μL)在0.5毫升四氢呋喃中搅拌,加入CuI(5毫克,0.03毫摩尔)。将混合物在室温下搅拌16小时之后用CH2CL2(10ml)稀释,用3∶1的NH4CL饱和水溶液和28%的NH4OH(10毫升)水溶液以及盐水(10毫升)的混合溶液冲洗,冲洗液用CH2CL2(2×10毫升)反萃取。混合有机萃取液用K2CO3干燥,过滤,浓缩得到52毫克粗产品,该粗产品用硅胶色谱仪(用40:12M NH3在甲醇溶液和CH2CL2中洗提)纯化,得到白色固体化合物(22毫克,60%)。(943.4[M+Na]+,921.3[M+H]+,461.3[M+2H]2+A solution of alkyne 3 (30 mg, 0.04 mmol), azide 14az (10 mg, 0.07 mmol) and Hunig's matrix (10 μL) in 0.5 mL THF was stirred and CuI (5 mg, 0.03 mmol) was added. Afterthe mixture was stirred at room temperature for 16 h, it was diluted withCH2CL2 (10 mL), and a 3:1 mixture of saturated aqueousNH4CL and 28% aqueousNH4OH (10 mL) and brine (10 mL) was added. Rinse and back extract therinse withCH2Cl2 (2 x 10 mL). The combined organic extracts were dried overK2CO3 , filtered andconcentrated to give 52mg of crude product which was purified by silica gel chromatography (eluting with 40:12MNH3 in methanol andCH2Cl2 ) to give a white Solid compound (22 mg, 60%). (943.4[M+Na]+ , 921.3[M+H]+ , 461.3[M+2H]2+ .

条件B:Condition B:

三氮唑155的合成Synthesis of Triazole 155

将炔烃3(80mg,0.10毫摩尔),叠氮化合物14bd(21mg,0.12毫摩尔)和Hunig’s基质溶液在0.4毫升四氢呋喃中,通过交替排出反应气同时通入干燥氩气彻底地除气。然后加入CuI(2mg,0.01毫摩尔),将混合物进一步除气。然后将反应物在氩气下搅拌6个小时,再用CH2CL2(20毫升)稀释,然后用饱和NH4CL水溶液和28%的NH4OH溶液(10毫升)以3∶1的比例混合,加之盐溶液(10毫升)冲洗,冲洗液用CH2CL2(2×15毫升)反萃取。混合有机萃取液用K2CO3干燥,过滤,浓缩得到115毫克粗产品,该粗产品用硅胶色谱仪(用2M NH3在甲醇溶液(2.5%)和CH2CL2(97.5%)中洗提)纯化。得到白色固体化合物(94毫克,0.094毫摩尔)。MS(ESI)m/e999.3[M+H]+,500.4[M+2H]2+A solution of alkyne 3 (80 mg, 0.10 mmol), azide 14bd (21 mg, 0.12 mmol) and Hunig's substrate in 0.4 mL THF was thoroughly degassed by alternately evacuating the reaction gas while bubbling dry argon. CuI (2 mg, 0.01 mmol) was then added and the mixture was further degassed. The reaction was then stirred under argon for 6 hours, diluted withCH2CL2 (20 mL), then washed with saturated aqueousNH4CL and 28%NH4OH solution (10 mL) in a 3: 1 ratioMix and rinse with brine (10 mL) and back extract withCH2Cl2 (2 x 15 mL). The combined organic extracts were dried overK2CO3 , filtered and concentrated to give 115 mg of crude product which was chromatographed on silicagel (washed with 2MNH3 in methanol (2.5%) andCH2Cl2 (97.5 %) extract) purification. A white solid compound (94 mg, 0.094 mmol) was obtained. MS (ESI) m/e 999.3 [M+H]+ , 500.4 [M+2H]2+ .

条件CCondition C

三氮唑159的合成Synthesis of Triazole 159

将炔烃3(79mg,0.10毫摩尔)和Hunig’s基质(0.2毫升)在3毫升四氢呋喃溶液中搅拌,加入叠氮化合物14bh(115mg,0.50毫摩尔)和CuI(20毫克,0.10毫摩尔)。然后将反应混合物在氩气下搅拌60个小时,然后倒入饱和NH4CL溶液并用CH2CL2(2×15毫升)萃取。有机萃取液用Na2SO4干燥,过滤,浓缩得到粗产品,该粗产品用硅胶色谱仪(用25∶1∶0.1的CH2CL2∶MeOH∶NH4OH洗提)纯化,然后通过TLC纯化(用25∶1∶0.1的CH2CL2∶MeOH∶NH4OH洗提),得到白色固体化合物(38毫克,0.037毫摩尔)。MS(ESI)m/e 1017.9[M+H]+,509.7[M+2H]2+Alkyne 3 (79 mg, 0.10 mmol) and Hunig's substrate (0.2 mL) were stirred in 3 mL of THF, and azide 14bh (115 mg, 0.50 mmol) and CuI (20 mg, 0.10 mmol) were added. The reaction mixture was then stirred under argon for 60 hours, then poured into saturatedNH4CL solution and extracted withCH2CL2 (2x 15 mL). The organic extract was dried overNa2SO4 , filtered and concentrated to give the crude product which was purified by silica gel chromatography (eluting withCH2CL2:MeOH :NH4OH 25:1:0.1 ) followed by TLC Purification (eluting withCH2CL2: MeOH:NH4OH25 :1:0.1) afforded the compound as a white solid (38 mg, 0.037 mmol). MS (ESI) m/e 1017.9 [M+H]+ , 509.7 [M+2H]2+ .

条件D:Condition D:

三氮唑158的合成Synthesis of triazole 158

将炔烃3(120mg,0.15毫摩尔)和叠氮化合物14bg(60mg,0.25毫摩尔)和在2.7毫升四氢呋喃中,通过交替排出反应气同时通入干燥氩气彻底地除气。然后加入CuI(10mg,0.05毫摩尔),将混合物进一步除气。然后将反应物在氩气下搅拌4个小时,然后在真空中浓缩,溶解在CH2CL2(1毫升)中,然后直接放置在硅胶柱上。用2摩尔NH3在甲醇溶液(3%)和CH2CL2(97%)中洗提得到白色固体化合物(80毫克,0.08毫摩尔)。MS(ESI)m/e1019.6[M+H]+,510.6[M+2H]2+Alkyne 3 (120 mg, 0.15 mmol) and azide 14bg (60 mg, 0.25 mmol) in 2.7 mL THF were thoroughly degassed by alternate venting of reaction gas while bubbling dry argon. CuI (10 mg, 0.05 mmol) was then added and the mixture was further degassed. The reaction was then stirred under argon for 4 hours, then concentrated in vacuo, dissolved inCH2Cl2 (1 mL), and placed directly ona silica gel column. Elution with 2MNH3 in methanol solution (3%) andCH2Cl2 (97%) afforded the compound as a white solid (80 mg,0.08 mmol). MS (ESI) m/e 1019.6 [M+H]+ , 510.6 [M+2H]2+ .

表2中的化合物的残余物是由炔烃3,4,5和适当的叠氮化合物14a-14gm作为表2所示的与以上所示的四个反应条件类似的条件之一下合成的。每个反应所需的时间因以下若干因素而异,包括:特定的基质;所使用的Cu(I)盐的用量;Hunig’s基质的存在与否;以及反应物的浓度。因为开始物质的消失通过TLC和/或LCMS来监测反应,通常地允许反应进行2-72小时。当分析显示开始的炔烃物质被大量地消耗时反应就被停止。在条件A-D中的纯化和试验的建立就是在所有试验中这些应用的典型。对所述过程的少量更改也已经被使用(这些更改包括不同冲洗溶液的使用,不同的有机萃取溶液,用于干燥有机萃取液的其它无水盐的使用,采用不同的混合溶液对化合物进行色谱的纯化)。在所有的试验中,反应混合物的建立方式,萃取的产品,有机萃取物的干燥,以及化合物的分离和纯化都是有机合成方案设计的典型过程。对于反应产品的分离和纯化过程没有特殊的或者不寻常的试验设计,但是它们在反应过程中是至关重要的。合成化合物101-280的分离率是不同的,显示在表2的倒数第2栏中。The residues of the compounds in Table 2 were synthesized from the alkynes 3, 4, 5 and the appropriate azides 14a-14gm as shown in Table 2 under one of the conditions similar to the four reaction conditions shown above. The time required for each reaction varies with several factors including: the specific substrate; the amount of Cu(I) salt used; the presence or absence of Hunig's substrate; and the concentration of the reactants. Reactions were typically allowed to proceed for 2-72 hours as the reaction was monitored by TLC and/or LCMS for disappearance of starting material. The reaction was stopped when analysis showed that the starting alkyne species was substantially consumed. Purification and assay set-up in Conditions A-D were typical of these applications in all assays. Minor modifications to the described procedure have also been used (these modifications include use of different wash solutions, different organic extraction solutions, use of other anhydrous salts for drying organic extracts, use of different mixed solutions for chromatography of compounds purification). In all experiments, the way the reaction mixture was set up, the products extracted, the drying of the organic extracts, and the isolation and purification of the compounds were typical procedures for the design of organic synthesis schemes. There are no special or unusual experimental designs for the isolation and purification of reaction products, but they are critical to the reaction process. The isolated ratios of the synthesized compounds 101-280 are different and are shown in the penultimate column of Table 2.

实施例2-化合物301-357的合成Example 2 - Synthesis of Compounds 301-357

以下;流程103和104是化合物301-357的合成。通过红霉素A的脱甲基作用选择性地生成3’-N-去甲基红霉素A20。同样地,脱甲基克拉霉素生成3’-N-去甲基克拉霉素21。胺20和21与炔丙基溴或与甲苯磺酸酯11或12选择性地N-烷基化分别生成炔烃23,24,25,26,27,或28。如方案2所示炔烃23-28与叠氮化合物14a-14eb在碘化亚铜的存在下选择性地提供三氮唑301-357。Below; Schemes 103 and 104 are the synthesis of compounds 301-357. 3'-N-desmethylerythromycin A20 is selectively generated by demethylation of erythromycin A. Likewise, demethyl clarithromycin produces 3'-N-desmethyl clarithromycin21. Selective N-alkylation of amines 20 and 21 with propargyl bromide or with tosylate 11 or 12 yielded alkynes 23, 24, 25, 26, 27, or 28, respectively. As shown in Scheme 2, alkynes 23-28 and azides 14a-14eb selectively provide triazoles 301-357 in the presence of cuprous iodide.

3’-N-去甲基红霉素A20的合成Synthesis of 3'-N-desmethylerythromycin A20

化合物20通过红霉素采用U.S专利号3,725,385所述的方法制备。Compound 20 was prepared from erythromycin using the method described in U.S. Patent No. 3,725,385.

3’-N-去甲基克拉霉素21的合成Synthesis of 3'-N-desmethyl clarithromycin 21

在克拉霉素(1.00克,1.3毫摩尔)和NaOAc·H2O(0.885克,6.5毫摩尔)混合物中加入MeOH-H2O(20ml,4∶1),将混合物加热到55-60℃。加入碘(0.330克,1.3毫摩尔)并将反应物在55-60℃下搅拌3小时。将反应混合物倒入50毫升CHCL3-包含1毫升氨溶液中。用CHCL3(4×50毫升)萃取,用包含5毫升氨溶液的水70毫升冲洗,干燥(无水Na2SO4),浓缩,用快速色谱法纯化(硅胶,CHCL3∶MeOH∶NH4OH 100∶10∶0.1)得到21。产率:0.9克(92%)。Add MeOH-H2 O (20ml, 4:1) to a mixture of clarithromycin (1.00 g, 1.3 mmol) and NaOAc·H2 O (0.885 g, 6.5 mmol), and heat the mixture to 55-60°C . Iodine (0.330 g, 1.3 mmol) was added and the reaction was stirred at 55-60°C for 3 hours. The reaction mixture was poured into 50 mLCHCl3 -containing 1 mL ammonia solution. Extracted withCHCL3 (4 x 50 mL), rinsed with 70 mL of water containing 5 mL of ammonia solution, dried (anhydrousNa2SO4 ), concentrated and purified byflash chromatography (silica gel,CHCL3: MeOH:NH4 OH 100:10:0.1) afforded 21. Yield: 0.9 g (92%).

炔烃24的合成Synthesis of Alkyne 24

在无水THF(15ml)和Hunig’s基质(2.2毫升,11.9毫摩尔)中混合3’-N-去甲基红霉素A20(1.0克,1.4毫摩尔)和甲苯磺酸酯11(1.25克,5.6毫摩尔),在55℃下搅拌48小时。将反应混合物倒入CH2CL2(50毫升),用2%的无水NH4OH(3×30毫升)和饱和盐水(1×30毫升)萃取,有机层用Na2SO4干燥,蒸发溶液。粗产品用硅胶柱纯化,CH2CL2∶MeOH:10∶1,得到24。(0.35克,32%)。3'-N-desmethylerythromycin A20 (1.0 g, 1.4 mmol) and tosylate 11 (1.25 g, 5.6 mmol), stirred at 55°C for 48 hours. Thereaction mixture was poured intoCH2CL2 (50 mL), extracted with 2% anhydrousNH4OH (3 x 30 mL) and saturated brine (1 x 30 mL), the organic layer was dried overNa2SO4 and evaporated solution. The crude product was purified by silica gel column,CH2CL2 :MeOH : 10:1 to give 24. (0.35 g, 32%).

炔烃23的合成Synthesis of Alkyne 23

炔烃23由3’-N-去甲基红霉素A20和炔丙基溴采用与所述化合物24相同的合成过程制备。Alkyne 23 was prepared from 3'-N-desmethylerythromycin A20 and propargyl bromide using the same synthetic procedure as described for compound 24.

炔烃25的合成Synthesis of Alkyne 25

炔烃25由3’-N-去甲基红霉素A20和甲苯磺酸盐12采用与所述化合物24相同的合成过程制备。Alkyne 25 was prepared from 3'-N-desmethylerythromycin A20 and tosylate 12 using the same synthetic procedure as compound 24.

炔烃26的合成Synthesis of Alkyne 26

炔烃26由3’-N-去甲基克拉霉素A21和炔丙基溴采用与所述化合物24相同的合成过程制备。Alkyne 26 was prepared from 3'-N-desmethyl clarithromycin A21 and propargyl bromide using the same synthetic procedure as described for compound 24.

炔烃27的合成Synthesis of Alkyne 27

炔烃27由3’-N-去甲基克拉霉素A21和甲苯磺酸盐11采用与所述化合物24相同的合成过程制备。Alkyne 27 was prepared from 3'-N-desmethyl clarithromycin A21 and tosylate 11 using the same synthetic procedure as described for compound 24.

炔烃28的合成Synthesis of Alkyne 28

炔烃28由3’-N-去甲基克拉霉素A21和甲苯磺酸盐12采用与所述化合物24相同的合成过程制备。Alkyne 28 was prepared from 3'-N-desmethyl clarithromycin A21 and tosylate 12 using the same synthetic procedure as described for compound 24.

表3table 3

Figure A20058001353202491
Figure A20058001353202491

Figure A20058001353202501
Figure A20058001353202501

Figure A20058001353202511
Figure A20058001353202511

流程104:表3化合物的合成Scheme 104: Synthesis of compounds of Table 3

Figure A20058001353202521
Figure A20058001353202521

三氮唑301-357由炔烃23-28使用叠氮化合物14a-14gm在以上实施例1中合成化合物101-280的反应条件A,B,C和D下生成。如上所述,采用条件A和C,不包括反应混合物的脱气阶段,导致明显数量的碘化副产品的生成,由此带来了低产率。此外,减少反应中的铜盐数量到0.5摩尔当量或者如条件B和D中的用量,可以减少碘化副产品的生成。Triazoles 301-357 were generated from alkynes 23-28 using azides 14a-14gm under reaction conditions A, B, C and D for the synthesis of compounds 101-280 in Example 1 above. As mentioned above, the use of conditions A and C, without a degassing stage of the reaction mixture, resulted in the formation of significant amounts of iodinated by-products and thus low yields. In addition, reducing the amount of copper salt in the reaction to 0.5 molar equivalents or the amount used in conditions B and D can reduce the formation of iodized by-products.

表2化合物在与如上所述条件A,B,C和D相似的反应条件之下合成,每个反应所需的时间因以下若干因素而异,包括:特定的基质;所使用的Cu(I)盐的用量;Hunig’s基质的存在与否;以及反应物的浓度。因为开始物质的消失通过TLC和/或LCMS来监测反应,通常地允许反应进行2-72小时。当分析显示开始的炔烃物质被大量地消耗时反应就被停止。条件A-D中的纯化和试验的建立就是在表2的所有产品的典型应用。对所述过程的少量更改显示在表2中。The compounds of Table 2 are synthesized under similar reaction conditions as described above for Conditions A, B, C and D, and the time required for each reaction varies depending on several factors, including: the specific substrate; the Cu(I ) amount of salt; presence or absence of Hunig's substrate; and concentration of reactants. Reactions were typically allowed to proceed for 2-72 hours as the reaction was monitored by TLC and/or LCMS for disappearance of starting material. The reaction was stopped when analysis showed that the starting alkyne species was substantially consumed. Purification and assay set-up in Conditions A-D are typical for all products in Table 2. Minor changes to the described procedure are shown in Table 2.

实施例3-化合物401-417的合成Example 3 - Synthesis of Compounds 401-417

表4所示的化合物401-417是由泰利霉素通过类似上述表2和3的方法导出。泰利霉素与如上所述的阿奇霉素,红霉素和克拉霉素类似,选择性地去甲基然后与甲苯磺酸盐烷基化。结果炔烃通过与前述叠氮化合物14相同的铜环加成催化[3+2]作用被加到相应的三氮唑上。Compounds 401-417 shown in Table 4 were derived from telithromycin by a method similar to Tables 2 and 3 above. Telithromycin, like azithromycin, erythromycin and clarithromycin as described above, is selectively demethylated and then alkylated with tosylate. As a result, alkynes were added to the corresponding triazoles via the same copper cycloaddition catalysis [3+2] as described above for azide 14.

3’-N-去甲基泰利霉素30的合成Synthesis of 3'-N-desmethyltelithromycin 30

在含有泰利霉素29(3.0克,3.60毫摩尔)的无水乙腈溶液中加入N-碘代琥珀酰亚胺(NIS)(0.98克,4.32毫摩尔)分两部分在0℃下通入氩气30分钟。将混合物加热到室温并搅拌过夜。加入CH2CL2(250毫升)和5%Na2S2O3(80毫升)待两层分离。有机层用5%的Na2S2O3(1×80毫升)萃取,用NH4CL(1×80毫升)稀释并用Na2SO4干燥。蒸发溶液,所得到的粗产品用0-8%的氨水(2N NH3)和CH2CL2的硅胶洗脱纯化,得到白色固体化合物(1.95克,68%)。MS(ESI)M/E;M+H+798.6。To a solution of telithromycin 29 (3.0 g, 3.60 mmol) in anhydrous acetonitrile was added N-iodosuccinimide (NIS) (0.98 g, 4.32 mmol) in two portions with argon at 0 °C Air for 30 minutes. The mixture was warmed to room temperature and stirred overnight. CH2 Cl2 (250 mL) and 5% Na2 S2 O3 (80 mL) were added and the two layers were separated.The organic layer was extracted with 5%Na2S2O3 (1x80 mL), dilutedwithNH4CL( 1x80 mL) and dried overNa2SO4 . The solution was evaporated and the obtained crude product was purified by silica gel eluting with 0-8% ammonia (2N NH3 ) and CH2 Cl2 to give the compound as a white solid (1.95 g, 68%). MS (ESI) M/E; M+H+ 798.6.

流程105炔烃31的合成Scheme 105 Synthesis of Alkyne 31

Figure A20058001353202541
Figure A20058001353202541

3’-N-(丁-3-炔基)泰利霉素31的合成Synthesis of 3'-N-(but-3-ynyl)telithromycin 31

方案A:将胺30(0.66克,0.83毫摩尔),甲苯磺酸盐11(0.33克,1.49毫摩尔)混合在溶液THF(15毫升)和Hunig’s基质(3毫升)中,在90℃下加热5天。蒸发溶液,将剩余液溶解在1N HCL(50毫升)中,在室温下搅拌1小时。加入CH2CL2(30毫升)待两层分离。水层用CH2CL2(2×30毫升)萃取同时用NaOH(1N)碱化形成白色的混悬液。混悬液用CH2CL2(3×30毫升)萃取,有机层用Na2SO4干燥。蒸发溶液,所得到的粗产品用0-6%的氨水(2N NH3)和CH2CL2硅胶洗脱纯化,得到白色固体化合物31(0.12克,17%)。MS(ESI)m/e 850.8(M+H)+Protocol A: Amine 30 (0.66 g, 0.83 mmol), tosylate 11 (0.33 g, 1.49 mmol) were mixed in a solution of THF (15 mL) and Hunig's matrix (3 mL) and heated at 90 °C 5 days. The solution was evaporated and the residue was dissolved in 1N HCl (50 mL) and stirred at room temperature for 1 hour.CH2CL2 (30 mL) was added and the two layers were separated. The aqueous layer was extracted withCH2Cl2 (2 x 30 mL) while beingbasified with NaOH (1N) to form a white suspension. The suspension was extracted withCH2CL2 (3x 30 mL), and the organic layerwas dried overNa2SO4 . The solution was evaporated, and the resulting crude product was purified by eluting with 0-6% ammonia (2N NH3 ) and CH2 Cl2 silica gel to give compound 31 as a white solid (0.12 g, 17%). MS (ESI) m/e 850.8 (M+H)+ .

3’-N-(丁-3-炔基)泰利霉素31的合成Synthesis of 3'-N-(but-3-ynyl)telithromycin 31

方案B:将胺30(0.66克,0.83毫摩尔),甲苯磺酸盐11(0.40克,1.84毫摩尔)混合在溶液乙腈(10毫升)和Hunig’s基质(0.18毫升,1.0毫摩尔)中,在10分钟内用微波加热到90℃,并保持90℃的温度1.5小时。反应通风15分钟,溶液蒸发。将剩余液溶解在1N HCL(60毫升)中,在室温下搅拌2小时。加入CH2CL2(30毫升)待两层分离。水层用CH2CL2(2×30毫升)萃取同时用5%的KOH(1N)碱化形成白色的混悬液。混悬液用CH2CL2(3×30毫升)萃取,有机层用Na2SO4干燥。蒸发溶液,所得到的粗产品用TLC(2000微米片),CH2CL2/氨水(2N NH3)12∶1洗脱纯化,得到白色固体化合物31(0.19克,27%)。MS(ESI)m/e 850.8(M+H)+Protocol B: Amine 30 (0.66 g, 0.83 mmol), tosylate 11 (0.40 g, 1.84 mmol) were mixed in a solution of acetonitrile (10 mL) and Hunig's matrix (0.18 mL, 1.0 mmol) in Microwave to 90°C within 10 minutes and maintain the temperature at 90°C for 1.5 hours. The reaction was ventilated for 15 minutes and the solution evaporated. The remaining solution was dissolved in 1N HCl (60 mL) and stirred at room temperature for 2 hours.CH2CL2 (30 mL) was added and the two layers were separated. The aqueous layer was extracted withCH2CL2 (2 x 30 mL) andbasified with 5% KOH (1N) to form a white suspension. The suspension was extracted withCH2CL2 (3x 30 mL), and the organic layerwas dried overNa2SO4 . The solution was evaporated and the resulting crude product was purified by TLC (2000 micron tablets), CH2 Cl2 /ammonia (2N NH3 ) 12:1 to give compound 31 as a white solid (0.19 g, 27%). MS (ESI) m/e 850.8 (M+H)+ .

表4Table 4

三氮唑401-417由炔烃31使用叠氮化合物14a-14gm在与前述表4和5相似的反应条件下生成,如前所述,反应条件的采用不包括反应混合物的脱气阶段,导致碘化副产品的生成,由此带来了低产率。同时,减少反应中的铜盐的使用量到0.5摩尔当量或者更少,可以减少碘化副产品的生成。Triazoles 401-417 were produced from alkynes 31 using azides 14a-14gm under similar reaction conditions to those in Tables 4 and 5 previously described, the reaction conditions were employed without a degassing stage of the reaction mixture, resulting in Formation of iodinated by-products, resulting in low yields. At the same time, reducing the amount of copper salt used in the reaction to 0.5 molar equivalents or less can reduce the generation of iodized by-products.

以下化合物406通过叠氮化合物14ad具体合成过程即表4所述化合物的典型用途。如实施例1所示,每个反应所需的时间因以下若干因素而异,包括:特定的基质;所使用的Cu(I)盐的用量;Hunig’s基质的存在与否;以及反应物的浓度。因为开始物质的消失通过TLC和/或LCMS来监测反应,通常地允许反应进行6-24小时。当分析显示开始的炔烃物质被大量地消耗时反应就被停止。在实施例1条件A-D中的纯化和试验的建立就是在实施例1对于表4的化合物的合成的典型应用。The specific synthesis process of the following compound 406 through the azide compound 14ad is the typical application of the compounds described in Table 4. As shown in Example 1, the time required for each reaction varies with several factors including: the specific substrate; the amount of Cu(I) salt used; the presence or absence of Hunig's substrate; and the concentration of the reactants . Reactions were typically allowed to proceed for 6-24 hours as the disappearance of starting material was monitored by TLC and/or LCMS. The reaction was stopped when analysis showed that the starting alkyne species was substantially consumed. The purification and assay set-up in Example 1 Conditions A-D are typical applications of Example 1 for the synthesis of the compounds in Table 4.

流程106:化合物406的合成Scheme 106: Synthesis of Compound 406

Figure A20058001353202571
Figure A20058001353202571

化合物406的合成Synthesis of Compound 406

该化合物是由炔烃31(0.06克,0.07毫摩尔)与叠氮化合物14ad(0.030克,0.14毫摩尔)在氩气环境下,在CuI(0.030克,0.14毫摩尔)存在下,在THF(5毫升)和Hunig’s基质(0.05毫升)混合溶液在室温下过夜的反应获得的。所得到的粗产品用TLC(2000微米片),CH2CL2/氨水(2N NH3)12∶1洗脱纯化,得到白色固体三氮唑406(0.025克,34%)。MS(ESI)m/e 533.7(M+2H)2+The compound was synthesized from alkyne 31 (0.06 g, 0.07 mmol) and azide 14ad (0.030 g, 0.14 mmol) in the presence of CuI (0.030 g, 0.14 mmol) in THF ( 5 ml) and Hunig's matrix (0.05 ml) were reacted overnight at room temperature. The obtained crude product was purified by TLC (2000 micron tablets), CH2 Cl2 /ammonia (2N NH3 ) 12:1 elution, and triazole 406 was obtained as a white solid (0.025 g, 34%). MS (ESI) m/e 533.7 (M+2H)2+ .

实施例4:化合物425-451的合成Embodiment 4: the synthesis of compound 425-451

表5的肟425-433由炔烃400a到400i通过Cu(I)与叠氮化合物14a-14gm在前述过程下的环加成催化作用合成的。Oximes 425-433 in Table 5 were synthesized from alkynes 400a to 400i by cycloaddition catalysis of Cu(I) and azides 14a-14gm under the aforementioned procedure.

流程107Process 107

Figure A20058001353202581
Figure A20058001353202581

醇27a的合成Synthesis of Alcohol 27a

在炔烃27(0.700克)中加入10毫升0.9N HCL然后将混合物在室温下搅拌4小时。将反应混合物用氯化钠中和并用NH4OH水溶液调整PH值到8。将溶液用醋酸乙酯(3×30毫升)萃取,干燥(用Na2SO4),在减压条件下浓缩。将粗反应混合物用快速色谱法纯化(硅胶,60%醋酸乙酯己烷)得到0.200克(产率35%)去红霉糖衍生物27a。27a的数据:1HNMR(300MHZ,CDCL3.partial):δ0.82(t,3H),2.25(s,3H),3.00(s,3H),3.25(dd,1H),3.55(m,2H),3.70(s,1H),3.85(s,1H),3.95(s,1H),4.40(d,1H),5.15(dd,1H)To alkyne 27 (0.700 g) was added 10 mL of 0.9N HCl and the mixture was stirred at room temperature for 4 hours. The reaction mixture was neutralized with sodium chloride and adjusted to pH 8 with aqueousNH4OH . The solution was extracted with ethyl acetate (3 x 30 mL), dried (Na2SO4 ), concentrated under reduced pressure. The crude reaction mixture was purified by flash chromatography (silica gel, 60% ethyl acetate in hexanes) to afford 0.200 g (35% yield) of erythromycin derivative 27a. Data of 27a:1 HNMR (300MHZ, CDCL3 .partial): δ0.82(t, 3H), 2.25(s, 3H), 3.00(s, 3H), 3.25(dd, 1H), 3.55(m, 2H ), 3.70(s, 1H), 3.85(s, 1H), 3.95(s, 1H), 4.40(d, 1H), 5.15(dd, 1H)

醋酸盐27b的合成Synthesis of Acetate 27b

在含有27a(0.200克,0.32毫摩尔)的丙酮(2毫升)溶液中加入无水醋酸(0.05毫升,0.5毫摩尔),然后将混合物在室温下搅拌过夜。将反应混合物用水冷浸,然后用醋酸乙酯(3×50毫升)萃取,将混合有机成分用饱和碳酸氢钠(3×50毫升)冲洗,干燥(无水Na2SO4),在减压条件下浓缩。将粗反应混合物用快速色谱法纯化(硅胶,50%醋酸乙酯己烷)得到0.100克(产率50%)醋酸盐27b。27b的数据:To a solution of 27a (0.200 g, 0.32 mmol) in acetone (2 mL) was added anhydrous acetic acid (0.05 mL, 0.5 mmol), and the mixture was stirred at room temperature overnight. The reaction mixture was soaked in water, then extracted with ethyl acetate (3×50 mL), the combined organic components were washed with saturated sodium bicarbonate (3×50 mL), dried (anhydrous Na2 SO4 ), and concentrated under conditions. The crude reaction mixture was purified by flash chromatography (silica gel, 50% ethyl acetate in hexanes) to afford 0.100 g (50% yield) of acetate 27b. Data for 27b:

1MR(300MHz,CDCl3,partial):δ0.84(t,3H,2.00(s,3H),2.20(s,3H),2.90(s,3H),3.00(q,1H),3.25(s,1H,3.47(m,2H),3.70(bs,1H),3.82(bs,1H),3.97(s,1H),4.60(d,1H),4.77(dd,1H),5.15(dd,1H).1 MR (300MHz, CDCl3 , partial): δ0.84(t, 3H, 2.00(s, 3H), 2.20(s, 3H), 2.90(s, 3H), 3.00(q, 1H), 3.25(s , 1H, 3.47(m, 2H), 3.70(bs, 1H), 3.82(bs, 1H), 3.97(s, 1H), 4.60(d, 1H), 4.77(dd, 1H), 5.15(dd, 1H ).

酮内酯27c的合成Synthesis of Ketolide 27c

在含有醋酸盐27b(0.090克,0.134毫摩尔),EDC·HCL(0.172克,0.90毫摩尔),和二甲基亚砜(DMSO)(0.171毫升,2.41毫摩尔)的CH2CL2(1.5毫升)溶液中,在15℃下滴入含有三氟醋酸吡啶(0.174克,0.90毫摩尔)的CH2CL2(1毫升)溶液。将反应混合物缓慢加热到室温并搅拌3小时。将反应混合物用水(2毫升)冷浸,缓慢搅拌30分钟。然后将混合物倒入CHCL3(50毫升)中,有机层用水(2×50毫升)冲洗,,干燥(无水Na2SO4),在减压条件下浓缩。将粗反应混合物用快速色谱法纯化(硅胶,30%醋酸乙酯己烷)得到0.070克(产率78%)醋酸盐27c。27c的数据:In CH2 Cl2 ( 1.5 mL) solution, a CH2 Cl2 (1 mL) solution containing pyridine trifluoroacetate (0.174 g, 0.90 mmol) was added dropwise at 15°C. The reaction mixture was slowly warmed to room temperature and stirred for 3 hours. The reaction mixture was soaked in water (2 mL) and stirred slowly for 30 minutes. The mixture was then poured intoCHCL3 (50 mL), the organic layer was washed with water (2 x 50 mL), dried (anhydrousNa2SO4 ), and concentrated under reduced pressure. The crude reaction mixture was purified by flash chromatography (silica gel, 30% ethyl acetate in hexanes) to afford 0.070 g (78% yield) of acetate 27c. Data for 27c:

MS(ESI)m/e 668 (M+H)+1HNMR(300 MHz,CDCl3,partial):δ0.86(t,3H,2.00(s,3H),2.24(s,3H),2.70(s,3H),2.95-3.10(m,1H),3.15-3.05(m,1H),3.45-3.65(m,1H),3.80(q,1H),3.90(s,1H),4.28(d,1H),4.40(d,1H),4.76(dd,1H),5.10(dd,1H).MS(ESI) m/e 668 (M+H)+ ;1 HNMR (300 MHz, CDCl3 , partial): δ0.86(t, 3H, 2.00(s, 3H), 2.24(s, 3H), 2.70 (s, 3H), 2.95-3.10(m, 1H), 3.15-3.05(m, 1H), 3.45-3.65(m, 1H), 3.80(q, 1H), 3.90(s, 1H), 4.28(d , 1H), 4.40(d, 1H), 4.76(dd, 1H), 5.10(dd, 1H).

肟400a的合成Synthesis of oxime 400a

在含有27c(2.0克,2.9毫摩尔)的MeOH(10毫升)溶液中加入(R)-N-哌啶-3-基-羟基胺氢溴酸盐(1.26克,4.4毫摩尔)。将反应混合物在室温下搅拌14小时。然后将混合物(50毫升)倒入水(50毫升)中,通过加入NH4OH调节PH值到11,待有机层分离后用盐水(50毫升)冲洗,干燥(通过无水Na2SO4),在减压条件下浓缩。将粗反应混合物用快速色谱法纯化(硅胶,12∶1CH2CL2和2M氨水)得到2克(产率78%)肟400a与E/Z异构体1∶1的混合物。400a的数据:MS(ESI)m/e 724.7(M+H)+To a solution of 27c (2.0 g, 2.9 mmol) in MeOH (10 mL) was added (R)-N-piperidin-3-yl-hydroxylamine hydrobromide (1.26 g, 4.4 mmol). The reaction mixture was stirred at room temperature for 14 hours. The mixture (50 mL) was then poured into water (50 mL), the pH was adjusted to 11 by adding NH4 OH, the organic layer was separated and washed with brine (50 mL), dried (over anhydrous Na2 SO4 ) , concentrated under reduced pressure. The crude reaction mixture was purified by flash chromatography (silica gel,12 :1CH2Cl2 and 2M ammonia) to afford 2 g (78% yield) of a 1:1 mixture of oxime 400a and E/Z isomers. Data for 400a: MS (ESI) m/e 724.7 (M+H)+ .

肟400b的合成Synthesis of oxime 400b

肟400b由酮内酯27c和(R)-N-咯萘啶-3-基-羟基胺采用上述肟400a的条件合成。肟400b的数据:MS(ESI)m/e 710.6(M+H)+Oxime 400b was synthesized from ketolide 27c and (R)-N-pyronelidin-3-yl-hydroxylamine using the conditions described above for oxime 400a. Data for oxime 400b: MS (ESI) m/e 710.6 (M+H)+ .

流程108Process 108

肟400c的合成Synthesis of oxime 400c

肟400c由酮内酯27c和N-[2-二甲氨乙基]-羟基胺氢溴酸盐采用上述肟400a的条件合成。肟400c的数据:MS(ESI)m/e 726.5(M+H)+Oxime 400c was synthesized from ketolide 27c and N-[2-dimethylaminoethyl]-hydroxylamine hydrobromide using the above conditions for oxime 400a. Data for oxime 400c: MS (ESI) m/e 726.5 (M+H)+ .

肟400d的合成Synthesis of oxime 400d

肟400d由酮内酯27c和N-哌啶-4-基-羟基胺氢溴酸盐采用上述肟400a的条件合成。肟400d的数据:MS(ESI)m/e 724.6(M+H)+Oxime 400d was synthesized from ketolide 27c and N-piperidin-4-yl-hydroxylamine hydrobromide using the conditions described above for oxime 400a. Data for oxime 400d: MS (ESI) m/e 724.6 (M+H)+ .

肟400e的合成Synthesis of Oxime 400e

肟400e由酮内酯27c和cis-4-氨基环己基-羟基胺氢溴酸盐采用上述肟400a的条件合成。肟400e的数据:MS(ESI)m/e 738.7(M+H)+Oxime 400e was synthesized from ketolide 27c and cis-4-aminocyclohexyl-hydroxylamine hydrobromide using the conditions described above for oxime 400a. Data for oxime 400e: MS (ESI) m/e 738.7 (M+H)+ .

肟400f的合成Synthesis of oxime 400f

在含有肟400f(20毫克,0.02毫摩尔)的CHCL3(0.2毫升)溶液中加入甲醛(5毫克37%的无水溶液,0.06毫摩尔)和甲酸(6毫克,0.12毫摩尔)。将反应混合物在密封试管中持续加热到50℃12小时。反应混合物在无水NaHCO3(10毫升)和氯仿(10毫升)中分段,有机段用K2SO4干燥,经过滤浓缩得到白色固体肟400f(18毫克)。肟400f的数据:MS(ESI)m/e 766.7(M+H)+To a solution of oxime 400f (20 mg, 0.02 mmol) inCHCl3 (0.2 mL) was added formaldehyde (5 mg of 37% anhydrous solution, 0.06 mmol) and formic acid (6 mg, 0.12 mmol). The reaction mixture was continuously heated to 50° C. for 12 hours in a sealed tube. The reaction mixture was partitioned between anhydrous NaHCO3 (10 mL) and chloroform (10 mL), the organic portion was dried over K2 SO4 , concentrated by filtration to give oxime 400f (18 mg) as a white solid. Data for oxime 400f: MS (ESI) m/e 766.7 (M+H)+ .

肟三氮唑425-431,和439的合成Synthesis of Oxime Triazoles 425-431, and 439

这些三氮唑均由炔烃400a和表6所示的叠氮化合物在前述的铜催化环加成作用的条件下合成。These triazoles were all synthesized from the alkyne 400a and the azides shown in Table 6 under the aforementioned copper-catalyzed cycloaddition conditions.

肟三氮唑432-434,和444-445的合成Synthesis of Oxime Triazoles 432-434, and 444-445

这些三氮唑均由炔烃400b和表6所示的叠氮化合物在前述的铜催化环加成作用的条件下合成。These triazoles were all synthesized from the alkyne 400b and the azides shown in Table 6 under the aforementioned copper-catalyzed cycloaddition conditions.

肟三氮唑437和438的合成Synthesis of Oxime Triazoles 437 and 438

这些三氮唑均由炔烃400c和表6所示的叠氮化合物在前述的铜催化环加成作用的条件下合成。These triazoles were all synthesized from alkyne 400c and azides shown in Table 6 under the aforementioned conditions of copper-catalyzed cycloaddition.

肟三氮唑440和441的合成Synthesis of Oxime Triazoles 440 and 441

这些三氮唑均由炔烃400d和表6所示的叠氮化合物在前述的铜催化环加成作用的条件下合成。These triazoles were all synthesized from alkyne 400d and azides shown in Table 6 under the aforementioned conditions of copper-catalyzed cycloaddition.

肟三氮唑443的合成Synthesis of Oxime Triazole 443

这些三氮唑均由炔烃400e和叠氮化合物14w在前述的铜催化环加成作用的条件下合成。These triazoles were all synthesized from alkyne 400e and azide 14w under the aforementioned copper-catalyzed cycloaddition conditions.

肟三氮唑448的合成Synthesis of Oxime Triazole 448

这些三氮唑均由炔烃400f和叠氮化合物14w在前述的铜催化环加成作用的条件下合成。These triazoles were all synthesized from alkyne 400f and azide 14w under the aforementioned copper-catalyzed cycloaddition conditions.

化合物448和449的合成Synthesis of Compounds 448 and 449

化合物449由炔烃400g合成。该炔烃由如下流程109所示的27c和中间体39衍生而来。O-红霉脱氧糖胺羟胺39由去氧糖胺盐酸盐在4个合成阶段中通过苯甲基酯对2’OH基团的保护而成,与N-羟基邻苯二甲酰亚胺,脱苄基进行Mitsunobu反应并减少邻苯二甲酰亚胺基团。Compound 449 was synthesized from alkyne 400g. This alkyne is derived from 27c and intermediate 39 as shown in Scheme 109 below. O-erythromycetes deoxyglucosamine hydroxylamine 39 was prepared from deoxyglucosamine hydrochloride in 4 synthetic stages through the protection of the 2'OH group by benzyl ester, and N-hydroxyphthalimide , debenzylation proceeds to the Mitsunobu reaction and reduces the phthalimide group.

流程109Process 109

合成34Synthesis 34

红霉脱氧糖胺羟胺可根据文献(JACS,1954,76,3121-3131)记载的方法制备。Erythromycetes deoxyglucosamine hydroxylamine can be prepared according to the method recorded in literature (JACS, 1954, 76, 3121-3131).

合成35Synthesis 35

在含有34(3.5克,16.5毫摩尔)的丙酮混悬液中加入K2CO3(4.6克,33.1毫摩尔)并搅拌30分钟。然后加入苯甲酸酐(4.5克,19.8毫摩尔)在环境温度下搅拌16小时。将反应混合物用CH2CL2(100毫升)和水(100毫升)稀释。待有机层分离,含水层用CH2CL2(2×100毫升)萃取。干燥混合有机层,浓缩并用快速色谱法纯化(硅胶,50%醋酸乙酯己烷)。得到2克(产率61%)产品。化合物35为混合异构体作为未经进一步纯化的下一步骤使用。35(混合异构体)的数据:To a suspension of 34 (3.5 g, 16.5 mmol) in acetone was addedK2CO3 (4.6 g, 33.1 mmol) and stirred for 30 min. Benzoic anhydride (4.5 g, 19.8 mmol) was then added and stirred at ambient temperature for 16 hours. The reaction mixture was diluted withCH2Cl2 (100 mL) and water (100 mL). After the organic layer was separated, theaqueous layer was extracted withCH2Cl2 (2 x 100 mL). The combined organic layers were dried, concentrated and purified by flash chromatography (silica gel, 50% ethyl acetate in hexanes). 2 g (61% yield) of product were obtained. Compound 35 was used as mixed isomers in the next step without further purification. Data for 35 (mixed isomers):

1HNMR(300MHz,CDCl3):δ1.22(d,1.5H),1.30(d,1.5H),1.40-1.54(m,1H),1.80(m,1H),2.32(s,3H),2.34(s,3H),2.95-3.04(m,1H),3.31-3.40(m,0.5H),3.63-3.72(m,0.5H),4.19-4.27(m,0.5H),4.67(d,0.5H),4.98(dd,0.5H),5.16(dd,0.5H),5.43(d,0.5H),7.43(t,2H),7.57(t,1H),8.07(t,2H).1 HNMR (300MHz, CDCl3 ): δ1.22(d, 1.5H), 1.30(d, 1.5H), 1.40-1.54(m, 1H), 1.80(m, 1H), 2.32(s, 3H), 2.34(s, 3H), 2.95-3.04(m, 1H), 3.31-3.40(m, 0.5H), 3.63-3.72(m, 0.5H), 4.19-4.27(m, 0.5H), 4.67(d, 0.5H), 4.98(dd, 0.5H), 5.16(dd, 0.5H), 5.43(d, 0.5H), 7.43(t, 2H), 7.57(t, 1H), 8.07(t, 2H).

36-37的合成:Synthesis of 36-37:

0℃下,在含有35(2.7克,9.7毫摩尔),N-羟基邻苯二甲酰胺(1.7克,10.7毫摩尔)和Ph3P(2.8克,10.7毫摩尔)的THF中加入DIAD(2.1毫升,10.7毫摩尔),在周围温度下搅拌12小时。将所得到的溶液在减压下浓缩并将粗产品再溶解到EtOAc(100毫升)中。有机层用1N NaOH(2×75毫升),水(1×75毫升)和盐水(2×75毫升)冲洗。干燥(无水Na2SO4),浓缩并通过快速色谱法用硅胶纯化(30%醋酸乙酯己烷),得到36(0.9克)和37(1.8克)(产率61%)产品。数据:DIAD ( 2.1 mL, 10.7 mmol), stirred at ambient temperature for 12 hours. The resulting solution was concentrated under reduced pressure and the crude product was redissolved in EtOAc (100 mL). The organic layer was washed with 1N NaOH (2 x 75 mL), water (1 x 75 mL) and brine (2 x 75 mL). Drying (anhydrousNa2SO4 ), concentration and purification by flash chromatography on silica gel (30% ethyl acetate hexanes) afforded 36 (0.9 g) and 37 (1.8 g) (61% yield) as the product. data:

1HNMR(300MHz,CDCl3):δ1.33(d,3H),1.69(dd,1H),1.84(ddd,1H),2.34(s,6H),3.02(ddd,1H),3.67(dq,1H),5.16(d,1H),5.45(dd,1H),7.50(t, 2H),7.55(d,1H),7.71(dd,2H),7.81(dd,2H),8.19(d,2H).1 HNMR (300MHz, CDCl3 ): δ1.33(d, 3H), 1.69(dd, 1H), 1.84(ddd, 1H), 2.34(s, 6H), 3.02(ddd, 1H), 3.67(dq, 1H), 5.16(d, 1H), 5.45(dd, 1H), 7.50(t, 2H), 7.55(d, 1H), 7.71(dd, 2H), 7.81(dd, 2H), 8.19(d, 2H ).

38的合成Synthesis of 38

含有37(1.8克)的溶液MeOH(50毫升)在室温下搅拌12小时。减压浓缩溶液并通过快速色谱法用硅胶纯化(50%醋酸乙酯己烷)粗产品,得到0.6克38。A solution of 37 (1.8 g) in MeOH (50 mL) was stirred at room temperature for 12 h. The solution was concentrated under reduced pressure and the crude product was purified by flash chromatography on silica gel (50% ethyl acetate in hexanes) to afford 0.6 g of 38.

39的合成Synthesis of 39

将肼(0.514毫升,16.4毫摩尔)加入到含有38(0.55克1.64毫摩尔)的溶液EtOH(5毫升)中,加热到60℃1小时。然后将白色混悬液在室温下搅拌12小时。过滤白色产品并用MeOH(3×20毫升)冲洗。将混合的虑出液浓缩并通过快速色谱法用硅胶纯化(CH2CL2:2%NH3-MeOH=9∶1),得到0.155克纯产品,使用2M HCL修饰盐酸盐39。Hydrazine (0.514 mL, 16.4 mmol) was added to a solution of 38 (0.55 g 1.64 mmol) in EtOH (5 mL) and heated to 60 °C for 1 h. The white suspension was then stirred at room temperature for 12 hours. The white product was filtered and rinsed with MeOH (3 x 20 mL). The combined filtrates were concentrated and purified by flash chromatography on silica gel (CH2CL2 :2%NH3 -MeOH=9:1 ) to give 0.155 g of pure product, the hydrochloride 39 was modified using 2M HCL.

400g的合成400g of synthesis

含有39(0.82克)和大环内酯炔烃27c的EtOH(3毫升)溶液在60℃下加热72小时。浓缩溶液并通过快速色谱法用硅胶纯化(CH2CL2:2%NH3-MeOH=10∶1),得到白色固体400d(0.08克)。MS(ESI)m/e 799(M+H)+,400(M+2H)+A solution of 39 (0.82 g) and the macrolide alkyne 27c in EtOH (3 mL) was heated at 60 °C for 72 h. The solution was concentrated and purified by flash chromatography on silica gel (CH2 Cl2 : 2% NH3 -MeOH = 10:1) to give 400d (0.08 g) as a white solid. MS (ESI) m/e 799 (M+H)+ , 400 (M+2H)+ .

449的合成Synthesis of 449

在400d(0.0275克,0.034毫摩尔),14w(0.001克,0.052毫摩尔)和CuI(0.007克,0.034毫摩尔)的混合溶液中通入氩气并加入THF(2毫升)。滴入少量Hunig’s基质并在室温下搅拌2小时。将反应混合物用含有20%NH4OH(10毫升)的饱和NH4OH溶液冷却并在室温下搅拌30分钟。将混合物用CH2CL2(3×20毫升)萃取并将混合有机萃取液用含有10%氨水(1×50毫升)的饱和氯化铵溶液冲洗。将所得到的溶液用无水Na2SO4干燥,浓缩并用快速色谱法纯化(CH2CL2:2%NH3-MeOH=10∶1),得到0.023克。A mixed solution of 400d (0.0275 g, 0.034 mmol), 14w (0.001 g, 0.052 mmol) and CuI (0.007 g, 0.034 mmol) was bubbled with argon and THF (2 mL) was added. A small amount of Hunig's base was added dropwise and stirred at room temperature for 2 hours. The reaction mixture was cooled with saturatedNH4OH solution containing 20%NH4OH (10 mL) and stirred at room temperature for 30 minutes. The mixture was extracted withCH2Cl2 (3 x 20 mL) and the combined organic extracts were washed with saturated ammonium chloride solution containing 10% ammonia (1 x 50 mL). The resulting solution was dried overanhydrousNa2SO4 , concentrated and purified by flash chromatography (CH2CL2 :2%NH3 -MeOH=10: 1) to yield 0.023 g.

449.MS(ESI)m/e 496(M+2H)2+1H NMR(300MHz,CDCl3,partial):δ0.85(t,3H),1.05(d,3H),1.15(d,3H),3.33(t,2H),3.81(d,1H),4.10-4.28(m,3H),4.58(d,2H),4.84(d,1H),5.20(d,1H),7.08(s,1H),7.24(d,2H),8.14(d,2H).449.MS(ESI) m/e 496(M+2H)2+ ;1 H NMR (300MHz, CDCl3 , partial): δ0.85(t, 3H), 1.05(d, 3H), 1.15(d, 3H), 3.33(t, 2H), 3.81(d, 1H), 4.10-4.28(m, 3H), 4.58(d, 2H), 4.84(d, 1H), 5.20(d, 1H), 7.08(s , 1H), 7.24(d, 2H), 8.14(d, 2H).

448的合成Synthesis of 448

化合物448由中间产品36采用与所述449相同的化学步骤合成。448的数据:MS(ESI)m/e 496(M+2H)2+Compound 448 was synthesized from intermediate 36 using the same chemical procedure as described for 449. Data for 448: MS (ESI) m/e 496 (M+2H)2+ .

肟434和435由化合物425通过哌啶基肟与3-溴代-1-氟代丙烷或2-溴代氟乙醇分别氮烷基化合成,如下述流程110所示。Oximes 434 and 435 were synthesized from compound 425 by nitrogen alkylation of piperidinyl oxime with 3-bromo-1-fluoropropane or 2-bromofluoroethanol, respectively, as shown in Scheme 110 below.

流程110Process 110

Figure A20058001353202671
Figure A20058001353202671

434的合成Synthesis of 434

将含有肟425(0.04克,0.04毫摩尔)和3-溴-1-氟代丙烷(0.012毫升,0.13毫摩尔)的DMF溶液加热到60℃14小时。反应混合物用水(20毫升)和盐水(10毫升)稀释,然后用CH2CL2(3×30毫升)萃取,混合有机萃取液经干燥(Na2SO4),过滤并浓缩。粗产品经快速色谱法纯化(硅胶,3∶100∶0.1MeOH/CH2CL2/NH4OH),得到0.023克肟434。434的数据:MS(ESI)m/e 489.1(M+2H)2+A DMF solution containing oxime 425 (0.04 g, 0.04 mmol) and 3-bromo-1-fluoropropane (0.012 mL, 0.13 mmol) was heated to 60° C. for 14 hours. The reaction mixture was diluted with water (20 mL) andbrine (10 mL), then extracted withCH2Cl2 (3 x 30 mL), the combined organic extracts were dried (Na2SO4 ), filtered and concentrated. The crude product was purified by flash chromatography (silica gel, 3:100:0.1 MeOH/CH2CL2 /NH4OH ) to afford 0.023 g of oxime 434.Data for 434: MS (ESI) m/e 489.1 (M+2H)2+ .

435的合成Synthesis of 435

化合物435由化合物425和2-溴代氟代丙烷在前述化合物434的合成条件下合成。435的数据:MS(ESI)m/e 482.1(M+2H)2+Compound 435 was synthesized from compound 425 and 2-bromofluoropropane under the synthesis conditions of compound 434 described above. Data for 435: MS (ESI) m/e 482.1 (M+2H)2+ .

化合物436如流程110所述通过肟化后环加成作用的方式制备。Compound 436 was prepared as described in Scheme 110 by oximation followed by cycloaddition.

化合物436的合成Synthesis of Compound 436

下述流程111的化合物436的合成开始于炔烃27c。27c在甲醇中通过脱酰作用得到炔烃27d,经过叠氮化合物14au的处理得到三氮唑436a。该三氮唑与3(R)-羟氨基-哌啶-1-羧酸苯酯作用得到苄酯基(CBZ)-保护的肟,作为E/Z异构体的混合物。CBZ基团通过氢解作用被移动得到化合物436。The synthesis of compound 436 in Scheme 111 described below begins with alkyne 27c. Deacylation of 27c in methanol gave alkyne 27d, which was treated with azide 14au to give triazole 436a. The triazole is reacted with phenyl 3(R)-hydroxyamino-piperidine-1-carboxylate to give the carboxybenzyl (CBZ)-protected oxime as a mixture of E/Z isomers. The CBZ group was removed by hydrogenolysis to afford compound 436.

流程111Process 111

Figure A20058001353202681
Figure A20058001353202681

炔烃27d的合成Synthesis of Alkyne 27d

包含酮内酯27c(0.230克)的MeOH(10毫升)溶液被加热到50℃48小时。溶液在减压条件下被移动得到纯的脱乙酰基产品27d(0.190克,88%)。27d的数据:A solution of ketolide 27c (0.230 g) in MeOH (10 mL) was heated to 50 °C for 48 h. The solution was removed under reduced pressure to afford the pure deacetylated product 27d (0.190 g, 88%). 27d data:

MS(ESI) m/e 626(M+H)+1HNMR(300MHz,CDCl3,partial):TM 0.85(t,3H),2.25(s,3H),2.70(s,3H),2.97(q,1H),3.10(t,1H),3.18(dd,1H),3.5(m,1H),3.80-3.97(m,2H),4.32(m,2H),5.15(dd,1H).MS(ESI) m/e 626(M+H)+ ;1HNMR (300MHz,CDCl3 , partial):TM 0.85(t, 3H), 2.25(s, 3H), 2.70(s, 3H), 2.97( q, 1H), 3.10(t, 1H), 3.18(dd, 1H), 3.5(m, 1H), 3.80-3.97(m, 2H), 4.32(m, 2H), 5.15(dd, 1H).

436a的合成Synthesis of 436a

三氮唑436a由炔烃27d和叠氮化合物14au在表1化合物的铜催化环加成作用的条件下合成。Triazole 436a was synthesized from alkyne 27d and azide 14au under the conditions of copper-catalyzed cycloaddition of compounds in Table 1.

436的合成Synthesis of 436

含有烷氧基胺33(0.13克,0.50毫摩尔)的麻醉乙醚(1.0毫升)溶液,与2.0M HCL在乙醚(1.5毫升,3.0毫摩尔)中反应,在23℃下搅拌1小时,蒸发得到白色泡沫。该盐酸盐溶液在乙醇中(3.5毫升)与436a(0.15克,0.17毫摩尔)作用,并将反应混合物在55℃下搅拌16小时,然后冷却到室温并用水(30毫升)稀释。加入NH4OH调节PH值到10,然后将反应混合物用醋酸乙酯(3×30毫升)萃取,干燥(Na2SO4),蒸发后得到黄色油。A solution of alkoxyamine 33 (0.13 g, 0.50 mmol) in anesthetic ether (1.0 mL) was reacted with 2.0 M HCL in ether (1.5 mL, 3.0 mmol), stirred at 23 °C for 1 h and evaporated to give white foam. The hydrochloride salt solution in ethanol (3.5 mL) was treated with 436a (0.15 g, 0.17 mmol) and the reaction mixture was stirred at 55°C for 16 hours, then cooled to room temperature and diluted with water (30 mL). After addingNH4OH to adjust the pH to 10, the reaction mixture was extracted with ethyl acetate (3 x 30 mL), dried (Na2SO4 ) and evaporated to give a yellow oil.

在乙醇中的粗CBZ-保护的中间体溶液与10%的Pd/C(100毫升)反应,同时将反应混合物在23℃下的氢气室中搅拌12小时。过滤并蒸发所得到的粗产品并通过薄层色谱法纯化(SiO2,10%2M NH3-甲醇/二氯甲烷)得到白色固体436(80毫克,0.080毫摩尔):LCMS(ESI)m/e 550(M+2H)2+A solution of the crude CBZ-protected intermediate in ethanol was reacted with 10% Pd/C (100 mL) while the reaction mixture was stirred at 23 °C in a hydrogen chamber for 12 h. The resulting crude product was filtered and evaporated and purified by thin layer chromatography (SiO2 , 10% 2MNH3 -methanol/dichloromethane) to give 436 as a white solid (80 mg, 0.080 mmol): LCMS (ESI) m/ e 550(M+2H)2+ .

流程112:中间体400h的合成Scheme 112: Synthesis of Intermediate 400h

Figure A20058001353202701
Figure A20058001353202701

化合物27e的合成Synthesis of compound 27e

在含有罗红霉素(850毫克,0.914毫摩尔,90%)和NaAc(828毫克,10.000毫摩尔)的MeOH(6.0毫升)和水(1.5毫升)的混合溶液中,在48℃下在30分钟里分四份加入I2(每份:63.5毫克),在每份I2之后加入1N NaOH(400微升)。反应继续30分钟。溶液被移走然后加入EtOAc(100毫升),随后加入水(20毫升)。有机部分用盐水(40毫升×2)冲洗,Na2SO4干燥。剩余物用快速色普法分离(FC)(6/94/0.2MeOH/CH2CL2/NH4CL),得到化合物27e600毫克,产率80%。In a mixed solution of MeOH (6.0 ml) and water (1.5 ml) containing roxithromycin (850 mg, 0.914 mmol, 90%) and NaAc (828 mg, 10.000 mmol), at 48 ° C at 30I2 was added in four portions (per portion: 63.5 mg) over 10 min, followed by 1N NaOH (400 μl) after eachportion of I2. The reaction was continued for 30 minutes. The solution was removed and EtOAc (100 mL) was added followed by water (20 mL). The organic portion was washed with brine (40 mL×2) and dried over Na2 SO4 . The residue was separated by flash chromatography (FC) (6/94/0.2MeOH/CH2 CL2 /NH4 CL) to obtain 600 mg of compound 27e with a yield of 80%.

LCMS(ESI)m/e 824(M+H)+LCMS(ESI)m/e 824(M+H)+

化合物400h的合成Synthesis of Compound 400h

含有化合物27e(500毫克,0.608毫摩尔)和甲苯-4-磺酸丁-3-炔酯的THF(5.4毫升)和Hunig’s基质(1.6毫升)混合溶液回流48小时。将反应混合物浓缩,然后加入EtOAc(100毫升)。有机层用饱和NaHCO3溶液(20毫升)和盐水(50毫升)冲洗。化合物400h通过FC(3/100/0.2MeOH/CH2CL2/NH4CL)被分离,得到产品316毫克,产率59%。LCMS(ESI)m/e 876(M+H)+A mixed solution of compound 27e (500 mg, 0.608 mmol) and but-3-ynyl toluene-4-sulfonate in THF (5.4 mL) and Hunig's matrix (1.6 mL) was refluxed for 48 hours. The reaction mixture was concentrated, then EtOAc (100 mL) was added. The organic layer was washed with saturated NaHCO3 solution (20 mL) and brine (50 mL). Compound 400h was isolated by FC (3/100/0.2MeOH/CH2 CL2 /NH4 CL) to obtain 316 mg of product with a yield of 59%. LCMS(ESI)m/e 876(M+H)+

化合物447的合成Synthesis of Compound 447

该化合物由炔烃400h和叠氮化合物14bt通过实施例1的条件合成。This compound is synthesized from alkyne 400h and azide 14bt under the conditions of Example 1.

流程113Process 113

Figure A20058001353202711
Figure A20058001353202711

化合物450和451的合成Synthesis of Compounds 450 and 451

含有9-肟化合物27f(100毫克,0.125毫摩尔),NaCO3(106毫克,0.998毫摩尔)和2-氯乙烯二甲胺盐酸盐(109毫克,0.749毫摩尔)的丙酮混合溶液在封闭的试管里在70℃下搅拌5天,然后加入EtOAc(30毫升)并用1N NaOH(2毫升)和水(15毫升)冲洗。化合物400h通过FC(3/100/0.2MeOH/CH2CL2/NH4CL)被分离,得到产品75毫克,产率70%。MS(ESI)m/e 859(M+H)+Containing 9-oxime compound 27f (100 mg, 0.125 mmol), NaCO3 (106 mg, 0.998 mmol) and 2-chloroethylene dimethylamine hydrochloride (109 mg, 0.749 mmol) in acetone mixed solution The tube was stirred at 70°C for 5 days, then EtOAc (30 mL) was added and rinsed with 1N NaOH (2 mL) and water (15 mL). Compound 400h was isolated by FC (3/100/0.2MeOH/CH2 CL2 /NH4 CL) to give 75 mg of product in 70% yield. MS(ESI)m/e 859(M+H)+

三氮唑450由炔烃400i和叠氮化合物14w通过实施例1的条件合成。Triazole 450 is synthesized from alkyne 400i and azide 14w under the conditions of Example 1.

炔烃400j的合成Synthesis of Alkyne 400j

在含有9-肟化合物27f(180毫克,0.229毫摩尔),3-氟代丙基溴(161毫克,1.144毫摩尔)和Bu4NBr(37毫克,0.115毫摩尔)的CH2CL2混合溶液中加入50%的NaOH(3.0毫升)。将混合物在室温下搅拌45分钟,然后加入水(20毫升)。水层用CH2CL2(20毫升×2)萃取。混合有机层用盐水(50毫升)冲洗。化合物400j通过FC(25/75/0.2丙酮/己烷/NH4OH)被分离,得到产品94毫克,产率48%。MS(ESI)m/e 848(M+H)+In CH2 Cl2 mixed solution containing 9-oxime compound 27f (180 mg, 0.229 mmol), 3-fluoropropyl bromide (161 mg, 1.144 mmol) and BuNBr (37 mg, 0.115 mmol) 50% NaOH (3.0 mL) was added. The mixture was stirred at room temperature for 45 minutes, then water (20 mL) was added. The aqueous layer was extracted with CH2 Cl2 (20 mL×2). The combined organic layers were washed with brine (50 mL). Compound 400j was isolated by FC (25/75/0.2 acetone/hexane/NH4 OH) to give 94 mg of product in 48% yield. MS (ESI) m/e 848 (M+H)+ .

三氮唑451的合成是由肟炔烃27f和炔烃400i通过与3-氟代-1-丙基溴的烃化和叠氮化合物14w通过合成化合物450的条件合成。Triazole 451 was synthesized from oxime alkyne 27f and alkyne 400i by alkylation with 3-fluoro-1-propyl bromide and azide 14w by synthesis of compound 450.

表5table 5

Figure A20058001353202731
Figure A20058001353202731

Figure A20058001353202741
Figure A20058001353202741

实施例5:化合物460-466的合成Embodiment 5: the synthesis of compound 460-466

方案114所述的炔烃41是由9’-N-去甲基阿齐霉素在实施例1为炔烃4的合成条件下合成的。该炔烃是表6所列的化合物的一般中间体。化合物466直接由炔烃41与叠氮化合物14w通过铜的催化[3+2]环加和作用在实施例1的条件下衍生而成的。The alkyne 41 described in scheme 114 is synthesized under the synthesis conditions of alkyne 4 by 9'-N-desmethyl azithromycin in embodiment 1. This alkyne is a general intermediate for the compounds listed in Table 6. Compound 466 was directly derived from alkyne 41 and azide 14w by copper-catalyzed [3+2] cycloaddition under the conditions of Example 1.

流程114Process 114

炔烃41的合成Synthesis of Alkyne 41

5.0克(6.93毫摩尔)3’,9’-双-N-去甲阿奇霉素40和3.107克(13.80毫摩尔)甲苯磺酸盐11在60毫升Hunig’s基质和8毫升乙腈溶液中加热到100℃24小时。冷却后,溶液通过旋转蒸发被去除,剩余物通过硅胶柱色普法纯化得到1.70克最终产品。MS(ESI)m/e 774(M+H)+5.0 g (6.93 mmol) of 3',9'-bis-N-desmethylazithromycin 40 and 3.107 g (13.80 mmol) of tosylate 11 were heated to 100 °C in 60 mL of Hunig's matrix and 8 mL of acetonitrile 24 Hour. After cooling, the solution was removed by rotary evaporation, and the residue was purified by silica gel column chromatography to obtain 1.70 g of the final product. MS(ESI)m/e 774(M+H)+

化合物42的合成Synthesis of compound 42

含有0.200克(0.26毫摩尔)41,0.262克(1.29毫摩尔)3-(N-邻苯二甲酰胺)-丙醛,和0.110克(0.52毫摩尔)NaB(OAc)3H的1.5毫升DMF溶液在25℃下搅拌4小时。将反应混合物用水稀释,用CH2CL2(50毫升×3)萃取,混合有机层用盐水冲洗,MgSO3干燥,浓缩,通过硅胶柱色普法纯化得到0.200克产品。MS(ESI)m/e 961(M+H)+1.5 mL DMF containing 0.200 g (0.26 mmol) 41, 0.262 g (1.29 mmol) 3-(N-phthalamide)-propionaldehyde, and 0.110 g (0.52 mmol) NaB(OAc)3 H The solution was stirred at 25°C for 4 hours. The reaction mixture was diluted with water, extracted with CH2 Cl2 (50 mL×3), the combined organic layer was washed with brine, dried over MgSO3 , concentrated, and purified by silica gel column chromatography to obtain 0.200 g of the product. MS(ESI)m/e 961(M+H)+

三氮唑460的合成Synthesis of Triazole 460

将含有0.200克(0.20毫摩尔)炔烃42,0.080克(0.41毫摩尔)的叠氮化合物14w和0.040克(0.20毫摩尔)CuI的15毫升THF的混合溶液除气,然后通入氩气。加入0.2毫升Hunig’s基质。反应混合物在25℃下搅拌6小时。然后在反应混合物中加入40毫升10%的NH4OH,搅拌10分钟,用CH2CL2(50毫升×3)萃取,混合有机层用盐水冲洗,干燥,浓缩,并用TLC纯化得到化合物4600.098毫克。MS(ESI)m/e 1153(M+H)+A mixed solution containing 0.200 g (0.20 mmol) of alkyne 42, 0.080 g (0.41 mmol) of azide 14w and 0.040 g (0.20 mmol) of CuI in 15 mL of THF was degassed and then flushed with argon. Add 0.2 ml of Hunig's matrix. The reaction mixture was stirred at 25°C for 6 hours. Then 40 ml of 10% NH4 OH was added to the reaction mixture, stirred for 10 minutes, extracted with CH2 Cl2 (50 ml×3), the combined organic layer was washed with brine, dried, concentrated, and purified by TLC to obtain 4600.098 mg of compound . MS(ESI)m/e 1153(M+H)+

三氮唑461的合成Synthesis of Triazole 461

将含有0.025克(0.02毫摩尔)RX-460和0.002克(0.04毫摩尔)肼的2.0毫升乙醇混合溶液加热回流6小时。冷却,将乙醇除去,剩余的混悬液置于5.0毫升CH2CL2中,通过棉芯移液管过滤,收集有机溶液并浓缩。必要时将此过程重复若干次,直至MS和质子NMR显示得到纯的0.020克终产品。MS(ESI)m/e 1023(M+H)+A mixed solution containing 0.025 g (0.02 mmol) of RX-460 and 0.002 g (0.04 mmol) of hydrazine in 2.0 ml of ethanol was heated to reflux for 6 hours. After cooling, the ethanol was removed, and the remaining suspension was taken up in 5.0 mLofCH2Cl2 , filtered through a cotton wick pipette, and the organic solution was collected and concentrated. This process was repeated several times as necessary until MS and proton NMR showed 0.020 g of pure final product. MS(ESI)m/e 1023(M+H)+

化合物462和463的合成Synthesis of Compounds 462 and 463

化合物462由炔烃41和2-(N-邻苯二甲酰胺)-乙醛在前述化合物460的制备条件下合成。Compound 462 was synthesized from alkyne 41 and 2-(N-phthalamide)-acetaldehyde under the preparation conditions of compound 460 described above.

化合物463由化合物462使用与上述由460合成化合物461的条件下合成。Compound 463 was synthesized from compound 462 using the conditions described above for the synthesis of compound 461 from 460.

化合物464和465的合成Synthesis of Compounds 464 and 465

化合物464由炔烃41和4-(N-邻苯二甲酰胺)-丁醛在前述化合物460的制备条件下合成。Compound 464 was synthesized from alkyne 41 and 4-(N-phthalamide)-butanal under the conditions for the preparation of compound 460 described above.

化合物465由化合物464使用与上述由460合成化合物461的条件下合成。Compound 465 was synthesized from compound 464 using the conditions described above for the synthesis of compound 461 from 460.

表6Table 6

Figure A20058001353202771
Figure A20058001353202771

实施例6化合物475-480的合成The synthesis of embodiment 6 compound 475-480

表7Table 7

Figure A20058001353202781
Figure A20058001353202781

如下流程115所示,羧酸衍生物的前体44和46由胺2通过与相应的omega溴代酯皂化(作用)之后烃基化生成。这些羧酸通过与相应的胺作用得到终产品化合物475-477和480Carboxylic acid derivative precursors 44 and 46 are generated from amine 2 by saponification with the corresponding omega bromoester followed by hydrocarbylation as shown in Scheme 115 below. These carboxylic acids react with the corresponding amines to give the final products compounds 475-477 and 480

流程115Process 115

Figure A20058001353202782
Figure A20058001353202782

化合物43的合成Synthesis of Compound 43

含有去甲基阿奇霉素2(3.7克,5毫摩尔)的二异丙基乙胺(25毫升)溶液与乙基5-溴代丁酸盐(7.2克,50毫摩尔)反应,在105℃下搅拌5小时。将反应混合物冷却到室温,缓慢倒出,液体部分蒸发得到黄色油。通过快速色普法(SiO2,6%2M NH3-甲醇/二氯甲烷)得到白色泡沫固体43(2.7克,3.2毫摩尔)。LCMS(ESI)m/e 850(M+H)+A solution of desmethylazithromycin 2 (3.7 g, 5 mmol) in diisopropylethylamine (25 mL) was reacted with ethyl 5-bromobutyrate (7.2 g, 50 mmol) at 105 °C Stir for 5 hours. The reaction mixture was cooled to room temperature, decanted slowly and the liquid part evaporated to give a yellow oil. Flash chromatography (SiO2 , 6% 2MNH3 -methanol/dichloromethane) afforded 43 as a white foam solid (2.7 g, 3.2 mmol). LCMS(ESI)m/e 850(M+H)+

化合物44的合成Synthesis of compound 44

含有43(0.60克,0.70毫摩尔)的甲醇(16毫升)和水(2.4毫升)溶液与1.0M氯化钠水溶液(2.0毫升,2.0毫摩尔)反应,在50℃下搅拌2.5小时。将反应混合物冷却到室温,加入乙酸(0.12毫升,2.0毫摩尔),蒸发得到白色粉末。通过快速色普法(SiO2,10%2M NH3-甲醇/二氯甲烷)得到白色粉末固体44(0.40克,0.49毫摩尔)。LCMS(ESI)m/e 836(M+Na)+A solution of 43 (0.60 g, 0.70 mmol) in methanol (16 mL) and water (2.4 mL) was reacted with 1.0 M aqueous NaCl (2.0 mL, 2.0 mmol) and stirred at 50°C for 2.5 hours. The reaction mixture was cooled to room temperature, acetic acid (0.12 mL, 2.0 mmol) was added and evaporated to give a white powder. Flash chromatography (SiO2 , 10% 2MNH3 -methanol/dichloromethane) afforded 44 as a white powder solid (0.40 g, 0.49 mmol). LCMS(ESI)m/e 836(M+Na)+

化合物45的合成Synthesis of Compound 45

含有去甲基阿奇霉素2(3.7克,5毫摩尔)的二异丙基乙胺(25毫升)溶液与乙基5-溴代丁酸盐(5.2克,25毫摩尔)反应,在105℃下搅拌4小时。将反应混合物冷却到室温,用二氯甲烷(100毫升)稀释,用水(100毫升)冲洗,干燥(Na2SO3)并蒸发。通过快速色普法(SiO2,6%2M NH3-甲醇/二氯甲烷)得到无色油45(0.55克,0.64毫摩尔)。LCMS(ESI)m/e 864(M+H)+A solution of desmethylazithromycin 2 (3.7 g, 5 mmol) in diisopropylethylamine (25 mL) was reacted with ethyl 5-bromobutyrate (5.2 g, 25 mmol) at 105 °C Stir for 4 hours. The reaction mixture was cooled to room temperature, diluted with dichloromethane (100 mL), rinsed with water (100 mL),dried (Na2SO3 ) and evaporated. Flash chromatography (SiO2 , 6% 2MNH3 -methanol/dichloromethane) gave 45 as a colorless oil (0.55 g, 0.64 mmol). LCMS(ESI)m/e 864(M+H)+

化合物46的合成Synthesis of compound 46

含有45(0.54克,0.62毫摩尔)的甲醇(10毫升)和水(1.25毫升)溶液与1.0M氯化钠水溶液(1.25毫升,1.25毫摩尔)反应,在45℃下搅拌2.5小时。将反应混合物冷却到室温,加入1.0M乙酸(1.25毫升,1.25毫摩尔),用二氯甲烷(3×30毫升)萃取,干燥(Na2SO3),蒸发,得到白色粉末46。LCMS(ESI)m/e 836(M+2H)+A solution of 45 (0.54 g, 0.62 mmol) in methanol (10 mL) and water (1.25 mL) was reacted with 1.0M aqueous NaCl (1.25 mL, 1.25 mmol) and stirred at 45°C for 2.5 hours. The reaction mixture was cooled to room temperature, 1.0M acetic acid (1.25 mL, 1.25 mmol) was added, extracted with dichloromethane (3 x 30 mL), dried (Na2SO3 ) and evaporated to give 46 as a white powder. LCMS(ESI)m/e 836(M+2H)+

流程116Process 116

化合物477的合成Synthesis of compound 477

含有46(30毫克,0.035毫摩尔)的二氯甲烷(0.5毫升)溶液与4-硝基苯乙胺盐酸化物(14毫克,0.070毫摩尔),二异丙基乙胺(0.018毫升,0.11毫摩尔)和1-ethyl-3-(3-二甲胺基丙胺)碳化二亚胺反应(10毫克,0.053毫摩尔),在23℃下搅拌12小时。将反应混合物蒸发成为黄色薄片,用薄层色谱法纯化(SiO2,5%2M NH3-甲醇/二氯甲烷),得到白色薄片477(7.0毫克,0.0071毫摩尔)LCMS(ESI)m/e 493(M+2H)+A solution of 46 (30 mg, 0.035 mmol) in dichloromethane (0.5 mL) was mixed with 4-nitrophenethylamine hydrochloride (14 mg, 0.070 mmol), diisopropylethylamine (0.018 mL, 0.11 mol) and 1-ethyl-3-(3-dimethylaminopropylamine) carbodiimide (10 mg, 0.053 mmol), and stirred at 23°C for 12 hours. The reaction mixture was evaporated to yellow flakes, purified by TLC (SiO2 , 5% 2MNH3 -methanol/dichloromethane) to give white flakes 477 (7.0 mg, 0.0071 mmol) LCMS (ESI) m/e 493(M+2H)+

流程117Process 117

Figure A20058001353202811
Figure A20058001353202811

含有46(31毫克,0.037毫摩尔)的DMF(0.4毫升)溶液与D-(-)异边-2-氨基-1-(4-硝基苯基)-1,3-丙二醇(7.9毫克,0.037毫摩尔)和1-乙基-3-(3-二甲胺基丙胺)碳化二亚胺(8.5毫克,0.037毫摩尔)反应,在23℃下搅拌16小时。将反应混合物蒸发成为黄色薄片,用薄层色谱法纯化(SiO2,5%2M NH3-甲醇/二氯甲烷),得到白色薄片476(10毫克,0.0097毫摩尔)LCMS(ESI)m/e 516(M+2H)2+A solution of 46 (31 mg, 0.037 mmol) in DMF (0.4 mL) was mixed with D-(-)iso-2-amino-1-(4-nitrophenyl)-1,3-propanediol (7.9 mg, 0.037 mmol) and 1-ethyl-3-(3-dimethylaminopropylamine) carbodiimide (8.5 mg, 0.037 mmol), and stirred at 23°C for 16 hours. The reaction mixture was evaporated to yellow flakes, purified by TLC (SiO2 , 5% 2MNH3 -methanol/dichloromethane) to give white flakes 476 (10 mg, 0.0097 mmol) LCMS (ESI) m/e 516(M+2H)2+

流程118Process 118

Figure A20058001353202812
Figure A20058001353202812

含有46(40毫克,0.048毫摩尔)的CH2CL2(0.7毫升)溶液与Flofenicol胺47(12毫克,0.048毫摩尔)和1-乙基-3-(3-二甲胺基丙胺)碳化二亚胺(10毫克,0.053毫摩尔)反应,在23℃下搅拌16小时。将反应混合物蒸发成为黄色薄片,用薄层色谱法纯化(SiO2,5%2M NH3-甲醇/二氯甲烷),得到白色固体475(10毫克,0.0097毫摩尔)LCMS(ESI)m/e 532.1(M+2H)2+Carbonation of a solution of 46 (40 mg, 0.048 mmol) inCHCl (0.7 mL) with Flofenicol amine 47 (12 mg, 0.048 mmol) and 1- ethyl-3-(3-dimethylaminopropylamine) Diimine (10 mg, 0.053 mmol) was reacted and stirred at 23°C for 16 hours. The reaction mixture was evaporated to yellow flakes and purified by TLC (SiO2 , 5% 2MNH3 -methanol/dichloromethane) to give 475 as a white solid (10 mg, 0.0097 mmol) LCMS (ESI) m/e 532.1(M+2H)2+

化合物478和479的合成Synthesis of Compounds 478 and 479

化合物462由克拉霉素胺21乙基4-溴代丁酸盐或乙基3-溴代丙酸盐以及4氟代苯乙基胺在前述化合物477的化学作用下合成。Compound 462 was synthesized from clarithromycin 21 ethyl 4-bromobutyrate or ethyl 3-bromopropionate and 4-fluorophenethylamine under the chemical action of the aforementioned compound 477.

化合物480合成Synthesis of compound 480

化合物480由胺2和如方案117所述的溴化物48采用在实施例1中的胺3的合成条件下的烷化反应合成。Compound 480 was synthesized from amine 2 and bromide 48 as described in Scheme 117 using the alkylation reaction of amine 3 in Example 1 under the synthesis conditions.

流程119Process 119

Figure A20058001353202821
Figure A20058001353202821

实施例7:化合物501-515的合成Embodiment 7: the synthesis of compound 501-515

表8Table 8

与表8中的酰胺基,氨苯磺胺基和尿素基有关的衍生物通过在合适的条件下,在胺500a和500b上加入相应的羧酸,磺酰氯,或者酰基咪唑合成。胺500a-b由流程120合成。Derivatives related to the amide, sulfonamide and urea groups in Table 8 were synthesized by adding the corresponding carboxylic acid, sulfonyl chloride, or acyl imidazole to the amines 500a and 500b under appropriate conditions. Amines 500a-b are synthesized by Scheme 120.

流程120Process 120

Figure A20058001353202841
Figure A20058001353202841

胺500a的合成Synthesis of Amine 500a

含有胺2(2.0克,2.7毫摩尔)的Hunig’s(5毫升)溶液加入N-[2-溴乙烷]-酞酰亚胺(0.76克,3毫摩尔)。将混合物在密闭试管内加热到100℃1.5小时。将反应混合物用水(100毫升)稀释并用CH2CL2(50毫升×3)萃取。混合有机萃取液经干(K2CO3),浓缩。所得粗产品用硅胶色普法纯化(用含1-4%甲基乙醇胺(2M NH3)的CH2CL2洗提)得到酞酰亚胺白色固体衍生物(1.8克,1.9毫摩尔)。To a Hunig's (5 mL) solution containing amine 2 (2.0 g, 2.7 mmol) was added N-[2-bromoethane]-phthalimide (0.76 g, 3 mmol). The mixture was heated to 100°C for 1.5 hours in a closed tube. The reaction mixture was diluted with water (100 mL) and extracted with CH2 Cl2 (50 mL×3).The combined organic extracts were dried (K2CO3 ) and concentrated. The resulting crude productwas purified by silica gel chromatography (eluting with 1-4% methylethanolamine (2MNH3 ) inCH2Cl2 ) to give the phthalimide derivative as a white solid (1.8 g, 1.9 mmol).

在含有酞酰亚胺(1.0克,1.1毫摩尔)的EtOH(10毫升)中加入肼(1毫升80%的水溶液)。将混合物在室温下搅拌8小时,然后将固体反应剩余物溶解在CH2CL2(100毫升)中并用水(3×50毫升)冲洗。有机层通过K2CO3干燥,过滤浓缩后得到未经进一步纯化的0.82克白色固体。To EtOH (10 mL) containing phthalimide (1.0 g, 1.1 mmol) was added hydrazine (1 mL of 80% in water). The mixture was stirred at room temperature for 8hours , then the solid reaction residue was dissolved inCH2Cl2 (100 mL) and washed with water (3 x 50 mL). The organic layer was dried overK2CO3 and concentrated by filtration to give0.82 g of a white solid without further purification.

胺500b的合成Synthesis of Amine 500b

化合物500b由胺2N-[3-溴代丙烷]-酞酰亚胺在上述化合物500a的条件下合成。Compound 500b was synthesized from amine 2N-[3-bromopropane]-phthalimide under the conditions of compound 500a above.

化合物503由胺500a和D-(-)-异边-2-氨基-1-(4-硝基苯基)-1,3-丙二醇的二甲硅烷基醚的N-酰基咪唑衍生物合成。Compound 503 was synthesized from amine 500a and the N-acyl imidazole derivative of the disilyl ether of D-(-)-iso-2-amino-1-(4-nitrophenyl)-1,3-propanediol.

流程121Process 121

化合物503的合成Synthesis of compound 503

含有D-(-)-异边-2-氨基-1-(4-硝基苯基)-1,3-丙二醇(2.1克,10毫摩尔)的二甲基甲酰胺(200毫升)与咪唑(2.0克,30毫摩尔)和叔丁基二甲氯硅烷(3.0克,20毫摩尔)反应,将反应混合物在23℃下搅拌16小时。反应混合物通过乙醚(300毫升)稀释,用水(3×300毫升)冲洗,并干燥(Na2SO3)。通过快速色谱法(SiO2,20%醋酸乙酯/己烷),得到黄色油二-甲硅烷基50(2.6克,5.9毫摩尔)D-(-)-iso-2-amino-1-(4-nitrophenyl)-1,3-propanediol (2.1 g, 10 mmol) in dimethylformamide (200 mL) with imidazole (2.0 g, 30 mmol) and tert-butyldimethylchlorosilane (3.0 g, 20 mmol) were reacted, and the reaction mixture was stirred at 23° C. for 16 hours. The reaction mixture was diluted with ether (300 mL), washed with water (3 x 300 mL), anddried (Na2SO3 ). Flash chromatography (SiO2 , 20% ethyl acetate/hexanes) afforded bis-silyl 50 as a yellow oil (2.6 g, 5.9 mmol)

含有二-甲硅烷基50(44毫克,0.10毫摩尔)的二氯甲烷(1.0毫升)溶液与三乙胺(0.028毫升,0.20毫摩尔)和1,1-羰二咪唑(16毫克,0.10毫摩尔)反应,将反应混合物在23℃下搅拌3小时。加入胺500a(78毫克,0.10毫摩尔),然后将反应混合物在23℃下搅拌12小时,蒸发得到黄色薄片,用薄层色谱法纯化(SiO2,10%2M NH3 甲醇/二氯甲烷)得到白色薄片503a:LCMS(ESI)m/e 623(M+2H)2+A solution of dichloromethane (1.0 mL) containing di-silyl 50 (44 mg, 0.10 mmol) was mixed with triethylamine (0.028 mL, 0.20 mmol) and 1,1-carbonyldiimidazole (16 mg, 0.10 mmol mol) reaction, the reaction mixture was stirred at 23°C for 3 hours. Amine 500a (78 mg, 0.10 mmol) was added and the reaction mixture was stirred at 23 °C for 12 h and evaporated to give yellow flakes which were purified by TLC (SiO2 , 10% 2MNH3 methanol/dichloromethane) White flakes 503a were obtained: LCMS (ESI) m/e 623 (M+2H)2+

含有503a(50毫克,0.040毫摩尔)的四氢呋喃(0.8毫升)溶液与四丁基氟化铵(0.16毫升的1.0M溶液,0.16毫摩尔)和乙酸(0.005毫升,0.08毫摩尔)反应,将反应混合物在23℃下搅拌4小时。用水(20毫升)稀释,用二氯甲烷(3×20毫升)萃取,干燥(Na2SO3),蒸发,通过薄层色谱法纯化(SiO2,5%2M NH3 甲醇/二氯甲烷)得到白色薄片503(19毫克,0.019毫摩尔):LCMS(ESI)m/e 509(M+2H)2+A solution of 503a (50 mg, 0.040 mmol) in tetrahydrofuran (0.8 mL) was reacted with tetrabutylammonium fluoride (0.16 mL of a 1.0M solution, 0.16 mmol) and acetic acid (0.005 mL, 0.08 mmol), and the reaction The mixture was stirred at 23°C for 4 hours. Diluted with water( 20 mL), extracted with dichloromethane (3 x 20 mL), dried (Na2SO3 ), evaporated, purified by thin layer chromatography (SiO2 , 5% 2MNH3 methanol/dichloromethane) 503 was obtained as white flakes (19 mg, 0.019 mmol): LCMS (ESI) m/e 509 (M+2H)2+

化合物502的合成Synthesis of compound 502

化合物502由胺500b和D-(-)-异边-2-氨基-1-(4-硝基苯基)-1,3-丙二醇在化合物503的条件下合成的。Compound 502 was synthesized from amine 500b and D-(-)-iso-2-amino-1-(4-nitrophenyl)-1,3-propanediol under the conditions of compound 503.

化合物501的合成Synthesis of compound 501

流程122Process 122

Figure A20058001353202861
Figure A20058001353202861

含有CBZ胺51(US专利号5,164,402)(1.5克,5.2毫摩尔)的甲醇溶液(30毫升)与10%Pd/C(0.15克)反应,充入氢气并在23℃下搅拌2小时。反应混合物通过硅胶泵过滤并蒸发得到粗产品黄色油胺52。A solution of CBZ amine 51 (US Patent No. 5,164,402) (1.5 g, 5.2 mmol) in methanol (30 mL) was reacted with 10% Pd/C (0.15 g), filled with hydrogen and stirred at 23°C for 2 hours. The reaction mixture was filtered through a silica gel pump and evaporated to give the crude product oleylamine 52 as yellow.

含有胺52的乙腈(5.0毫升)与二异丙基乙胺(2.0毫升,12毫摩尔)和4-氟-硝基苯(0.60毫升,5.7毫摩尔)反应,在70℃下搅拌16小时。将反应混合物蒸发并通过快速色谱法纯化(SiO2,20-50%醋酸乙酯/己烷)得到黄色油状乙酯503(0.76克,2.8毫摩尔)Acetonitrile (5.0 mL) containing amine 52 was reacted with diisopropylethylamine (2.0 mL, 12 mmol) and 4-fluoro-nitrobenzene (0.60 mL, 5.7 mmol) and stirred at 70°C for 16 hours. The reaction mixture was evaporated and purified by flash chromatography (SiO2 , 20-50% ethyl acetate/hexanes) to give ethyl ester 503 (0.76 g, 2.8 mmol) as yellow oil

流程123Process 123

含有乙酯53(0.43克,1.6毫摩尔)的四氢呋喃(12毫升)与甲醇(4.0毫升)溶液与1.0M氢氧化钠水溶液(3.1毫升,3.1毫摩尔)反应,在50℃下搅拌6小时。将反应混合物冷却到室温并加入1.0M盐酸(3.1毫升,3.1毫摩尔),用二氯甲烷(3×20毫升)萃取,干燥(Na2SO3),将反应混合物蒸发得到黄色粉末羧酸54(0.32克,1.1毫摩尔)A solution of ethyl ester 53 (0.43 g, 1.6 mmol) in tetrahydrofuran (12 mL) and methanol (4.0 mL) was reacted with 1.0 M aqueous sodium hydroxide solution (3.1 mL, 3.1 mmol), and stirred at 50°C for 6 hours. The reaction mixture was cooled to room temperature and 1.0M hydrochloric acid (3.1 mL, 3.1 mmol) was added, extracted with dichloromethane (3 x 20 mL), dried (Na2SO3) , and the reaction mixture was evaporated to give carboxylic acid 54 as a yellow powder (0.32 g, 1.1 mmol)

流程124Process 124

含有500a(78毫克,0.10毫摩尔)的二氯甲烷(1.0毫升)溶液与羧酸54(25毫克,0.10毫摩尔)和三乙胺(0.042毫升,0.3毫摩尔)和O-(7-乙酰唑胺苯并三唑-1-yl)-N,N,N’,N’-四甲基脲六氟丙稀(57毫克,0.15毫摩尔)反应,将反应混合物在23℃下搅拌4小时。蒸发得到黄色薄片,通过薄层色谱法纯化(SiO2,5%2M NH3 甲醇/二氯甲烷)得到黄色薄片501(20毫克,0.02毫摩尔):LCMS(ESI)m/e 505(M+2H)2+A solution of 500a (78 mg, 0.10 mmol) in dichloromethane (1.0 mL) was mixed with carboxylic acid 54 (25 mg, 0.10 mmol) and triethylamine (0.042 mL, 0.3 mmol) and O-(7-acetyl Triazolamidobenzotriazole-1-yl)-N,N,N',N'-tetramethyluronium hexafluoropropene (57 mg, 0.15 mmol) was reacted, and the reaction mixture was stirred at 23°C for 4 hours . Evaporation afforded yellow flakes, purification by TLC (SiO2 , 5% 2MNH3methanol /dichloromethane) afforded yellow flakes 501 (20 mg, 0.02 mmol): LCMS (ESI) m/e 505 (M+ 2H)2+

化合物504,505,507,508,和512-515的合成Synthesis of Compounds 504, 505, 507, 508, and 512-515

这些化合物由胺500a和500b以及相应的羧酸采用与前述化合物501相似的试验条件合成。These compounds were synthesized from amines 500a and 500b and the corresponding carboxylic acids using similar experimental conditions to compound 501 previously described.

化合物506的合成Synthesis of compound 506

在含有500a(50毫克,0.056毫摩尔)的二氯甲烷(10毫升)溶液与Hunig’s基质(0.1毫升)中加入8-氮萘磺酰氯(0.07毫摩尔)。将反应混合物在室温下搅拌1小时,然后将反应混合物直接放置在硅胶柱上并通过含1-3%2M氨水的CH2CL2洗提,得到白色固体506(52毫克,0.052毫摩尔)。LCMS(ESI)m/e535(M+2H)2+To a solution of 500a (50 mg, 0.056 mmol) in dichloromethane (10 mL) and Hunig's matrix (0.1 mL) was added 8-azinaphthalenesulfonyl chloride (0.07 mmol). The reaction mixture was stirred at room temperature for 1 h, then the reaction mixturewas placed directly on a silica gel column and eluted with 1-3% 2M ammonia inCH2Cl2 to afford 506 as a white solid (52 mg, 0.052 mmol). LCMS(ESI)m/e535(M+2H)2+

化合物509,510和511的合成Synthesis of Compounds 509, 510 and 511

化合物509,510和511由胺500a和500b采用与化合物506相似的条件合成。Compounds 509, 510 and 511 were synthesized from amines 500a and 500b using similar conditions to compound 506.

实施例8化合物525-529的合成The synthesis of embodiment 8 compound 525-529

表9Table 9

Figure A20058001353202891
Figure A20058001353202891

与表9的化合物有关的噻唑由烷基化3’-N-去甲基阿奇霉素2与4-[2-溴代乙烷]噻唑通过流程125和下述化合物529的合成方法制得。Thiazoles related to the compounds of Table 9 were prepared by alkylation of 3'-N-desmethylazithromycin 2 with 4-[2-bromoethane]thiazole by the synthesis of Scheme 125 and Compound 529 below.

流程125Process 125

Figure A20058001353202901
Figure A20058001353202901

4-氨基苯乙酰胺55a的合成Synthesis of 4-aminophenylacetamide 55a

在含有4-硝基苯乙酰胺55(3.2克,1.78毫摩尔)的甲醇(50毫升)溶液中加入10%Pd-C(0.32克),将反应混合物在室温下和1个大气压的氢气条件并搅拌24小时。Pd-C通过过滤被除去。滤液蒸发后得到55a。10% Pd-C (0.32 g) was added to a methanol (50 mL) solution containing 4-nitrophenylacetamide 55 (3.2 g, 1.78 mmol), and the reaction mixture was heated at room temperature under 1 atmosphere of hydrogen and stirred for 24 hours. Pd-C was removed by filtration. Evaporation of the filtrate afforded 55a.

1HNMR(300MHz,CDCl3-CD3OD):δ7.06(d,J=8Hz,2H),6.72(d,J=8Hz,2H),3.41(s,2H).1 HNMR (300MHz, CDCl3 -CD3 OD): δ7.06(d, J=8Hz, 2H), 6.72(d, J=8Hz, 2H), 3.41(s, 2H).

叠氮化合物55b的合成Synthesis of azide compound 55b

叠氮55b由55a通过制备叠氮14au的过程制备。产率44%;Azide 55b was prepared from 55a by the procedure for preparing azide 14au. Yield 44%;

1HNMR(300MHz,CDCl3-CD3OD):δ7.20(d,J=6Hz,2H),6.94(d,J=63.45(s,2H).1 HNMR (300MHz, CDCl3 -CD3 OD): δ7.20(d, J=6Hz, 2H), 6.94(d, J=63.45(s, 2H).

叠氮化合物55c的合成Synthesis of azide compound 55c

含有叠氮化合物55b(640毫克,3.64毫摩尔)和三甲基乙炔(700毫克,7.14毫摩尔)的DMF(25毫升)溶液加热到90℃持续48小时。将反应混合物蒸发并在真空中干燥。剩余物溶解在THF(15毫升)中。加入TBAF(1.0M在THF中,7.5毫升,7.5毫摩尔)和乙酸(220毫升,3.6毫摩尔)。将反应混合物在室温下搅拌24小时。THF被除去之后剩余物为在水中的悬浊液,搅拌15分钟。经过滤后得到白色固体55c(596毫克,产率81%)。A solution of azide 55b (640 mg, 3.64 mmol) and trimethylacetylene (700 mg, 7.14 mmol) in DMF (25 mL) was heated to 90°C for 48 hours. The reaction mixture was evaporated and dried in vacuo. The residue was dissolved in THF (15 mL). TBAF (1.0M in THF, 7.5 mL, 7.5 mmol) and acetic acid (220 mL, 3.6 mmol) were added. The reaction mixture was stirred at room temperature for 24 hours. After THF was removed the residue was a suspension in water which was stirred for 15 minutes. White solid 55c (596 mg, 81% yield) was obtained after filtration.

1HNMR(300MHz,CDCl3-CD3OD):δ8.01(d,J=1Hz,1H),7.69(d,J=1Hz,1H),7.57(d,J=8Hz,2H),7.33(d,J=8Hz,2H),3.45(s,2H).1 HNMR (300MHz, CDCl3 -CD3 OD): δ8.01(d, J=1Hz, 1H), 7.69(d, J=1Hz, 1H), 7.57(d, J=8Hz, 2H), 7.33( d, J=8Hz, 2H), 3.45(s, 2H).

硫代羧酸胺55d的合成Synthesis of Amine Thiocarboxylate 55d

含有55c(180毫克,0.89毫摩尔)和Lawesson’s试剂(288毫克,0.71毫摩尔)的THF(3毫升)混合溶液在氩气下回流2小时。然后将反应物用CH2CL2稀释,盐水冲洗,MgSO4干燥并在真空中浓缩。通过色谱法(25∶1∶0.1/CH2CL2∶MeOH∶NH3·H2O)得到粗产品55d(150毫克,产率77%)。A solution of 55c (180 mg, 0.89 mmol) and Lawesson's reagent (288 mg, 0.71 mmol) in THF (3 mL) was refluxed for 2 hours under argon. The reaction was then diluted withCH2Cl2 , rinsed with brine,dried overMgSO4 and concentrated in vacuo. The crude product 55d (150 mg, 77% yield) was obtained by chromatography (25:1:0.1/CH2CL2 :MeOH:NH3 -H2O ).

1HNMR(300MHz,CDCl3-CD3OD):δ8.01(s,1H),7.75(s,1H),7.62(d,J=8Hz,2H),7.44(d,J=8Hz,2H),3.96(s,2H).1 HNMR (300MHz, CDCl3 -CD3 OD): δ8.01(s, 1H), 7.75(s, 1H), 7.62(d, J=8Hz, 2H), 7.44(d, J=8Hz, 2H) , 3.96(s, 2H).

噻唑55e的合成Synthesis of Thiazole 55e

在含有55d(165毫克,0.72毫摩尔)的THF(8毫升)和MeOH(2毫升)的溶液中加入1,4-溴代丁酮(130毫克,0.60毫摩尔)。在回流2小时之后用CH2CL2稀释,饱和NaHCO3冲洗,MgSO4干燥并浓缩。通过色谱法(25∶1∶0.1/CH2CL2∶MeOH∶NH3·H2O)得到粗产品55e(165毫克,产率79%)。To a solution of 55d (165 mg, 0.72 mmol) in THF (8 mL) and MeOH (2 mL) was added 1,4-bromobutanone (130 mg, 0.60 mmol). After refluxing for 2 hours, it was diluted withCH2Cl2 , rinsed with saturatedNaHCO3 , driedwithMgSO4 and concentrated. Chromatography (25:1:0.1/CH2CL2 :MeOH:NH3 -H2O ) afforded the crude product 55e (165 mg, 79% yield).

1HNMR(300MHz,CDCl3-CD3OD):δ7.92(d,J=1Hz,1H),7.76(d,J=1Hz,1H),7.64(d,J=9Hz,2H),7.39(d,J=9Hz,2H),6.87(s,1H),4.29(s,2H),3.63(t,J=7Hz,2H),3.22(t,J=7Hz,2H).1 HNMR (300MHz, CDCl3 -CD3 OD): δ7.92(d, J=1Hz, 1H), 7.76(d, J=1Hz, 1H), 7.64(d, J=9Hz, 2H), 7.39( d, J=9Hz, 2H), 6.87(s, 1H), 4.29(s, 2H), 3.63(t, J=7Hz, 2H), 3.22(t, J=7Hz, 2H).

529的合成Synthesis of 529

含有55e(150毫克,0.43毫摩尔),N-去甲基阿奇霉素2(276毫克,0.363毫摩尔),Hunig’s基质(4毫升)和KI(300毫克,1.81毫摩尔)的THF(10毫升)溶液回流8小时。THF在真空中被除去然后将剩余物溶解在CH2CL2中。溶液经盐水冲洗,MgSO4干燥并浓缩。通过色谱法(25∶1∶0.1/CH2CL2∶MeOH∶NH3·H2O)得到产品529(255毫克,产率71%)。A solution in THF (10 mL) containing 55e (150 mg, 0.43 mmol), N-desmethylazithromycin 2 (276 mg, 0.363 mmol), Hunig's matrix (4 mL) and KI (300 mg, 1.81 mmol) Reflux for 8 hours. THF was removed in vacuo and the residue was dissolvedinCH2Cl2 . The solution was washed with brine, dried over MgSO4 and concentrated. Chromatography (25:1:0.1/CH2CL2 :MeOH:NH3 -H2O ) afforded the product 529 (255 mg, 71% yield).

MS(ESI:1003.4(M+H)+,502.5(100%).1HNMR(300MHz,CDCl3,partial)δ7.92(s,1H),7.78(s,1H),7.64(d,J=8Hz,2H),7.42(d,J=8Hz,2H),6.78(s,1H),4.38(d,J=7Hz,1H),4.29(s,2H),3.26(s,3H),2.28(s,3H),2.25(s,3H).MS (ESI: 1003.4 (M+H)+ , 502.5 (100%).1 H NMR (300MHz, CDCl3 , partial) δ7.92 (s, 1H), 7.78 (s, 1H), 7.64 (d, J= 8Hz, 2H), 7.42(d, J=8Hz, 2H), 6.78(s, 1H), 4.38(d, J=7Hz, 1H), 4.29(s, 2H), 3.26(s, 3H), 2.28( s, 3H), 2.25(s, 3H).

表9中的剩余化合物由3’-N-去甲基阿奇霉素2与相应的4-[2-溴代乙基]噻唑取代物采用上述化合物529的方法制备。The remaining compounds in Table 9 were prepared from 3'-N-desmethylazithromycin 2 and the corresponding 4-[2-bromoethyl]thiazole substituent using the method of compound 529 above.

实施例9化合物550-556的合成The synthesis of embodiment 9 compound 550-556

流程126Process 126

Figure A20058001353202941
Figure A20058001353202941

2-叠氮基乙醇(56)的合成Synthesis of 2-Azidoethanol (56)

将2-溴代乙醇(2毫升,26.8毫摩尔)和NaN3(3.48毫升,53.6毫摩尔)的混合溶液加热到70℃12小时,然后倒入乙醚和水(150毫升,1∶1)混合溶液中。有机层分离,水层用乙醚(2×30毫升)萃取。有机层用水(1×100毫升)冲洗,干燥并小心地减少体积,未经进一步纯化,备下一步使用。A mixed solution of 2-bromoethanol (2 ml, 26.8 mmol) and NaN3 (3.48 ml, 53.6 mmol) was heated to 70°C for 12 hours, then poured into ether and water (150 ml, 1:1) to mix in solution. The organic layer was separated and the aqueous layer was extracted with ether (2 x 30 mL). The organic layer was washed with water (1 x 100 mL), dried and carefully reduced in volume and used in the next step without further purification.

2-叠氮基乙基甲基磺酸盐(57)的合成Synthesis of 2-Azidoethyl Methanesulfonate (57)

将氯化甲烷磺酰氯(3.1毫升,40.2毫摩尔)在0℃下加入到溶液2(26.8毫摩尔)和三胺(5.6毫升,40.2毫摩尔)的二氯甲烷(50毫升)中,在室温下搅拌12小时。将反应混合物用二氯甲烷(50毫升)稀释并用饱和碳酸氢盐溶液(2×100毫升)冲洗。将溶液用无水Na2SO4干燥,过滤并小心浓缩直至体积减少,未经进一步纯化,备下一步使用。Methanesulfonyl chloride (3.1 mL, 40.2 mmol) was added to solution 2 (26.8 mmol) and triamine (5.6 mL, 40.2 mmol) in dichloromethane (50 mL) at 0° C. Stirring was continued for 12 hours. The reaction mixture was diluted with dichloromethane (50 mL) and washed with saturated bicarbonate solution (2 x 100 mL). The solution was dried over anhydrousNa2SO4 , filtered and concentrated carefully until the volume was reduced, and was used in the next step without furtherpurification .

58的合成Synthesis of 58

含有胺2(2克,2.7毫摩尔)和57(8.2毫摩尔)的THF和Hunig’s基质(40毫升,1∶1)混合溶液,回流24小时。将反应混合物浓缩并溶解在CH2CL2(100毫升)中。有机层用盐水(2×100毫升)冲洗,干燥,减压浓缩。通过硅胶快速色谱法(CH2CL2:2%NH3-MeOH)得到1克58。MS(ESI)m/e 805(M+H)+A mixed solution of amines 2 (2 g, 2.7 mmol) and 57 (8.2 mmol) in THF and Hunig's matrix (40 mL, 1:1) was refluxed for 24 hours. The reaction mixture was concentrated and dissolved inCH2Cl2 (100 mL). The organic layer was washed with brine (2 x 100 mL), dried and concentrated under reduced pressure. Flash chromatography on silica gel (CH2CL2 : 2%NH3 -MeOH)afforded 1 g of 58. MS (ESI) m/e 805 (M+H)+ .

59a-c,59d和59g的合成:Synthesis of 59a-c, 59d and 59g:

炔烃59a-c由文献(J.Med.Chem,1996,39,904-917)记载的方法制备。Alkynes 59a-c were prepared by methods described in the literature (J. Med. Chem, 1996, 39, 904-917).

59a的数据:1H NMR(300MHz,CDCl3):δ2.29(t,1H),4.04(dd,2H),4.68(brs,1H),6.65(d,2H),8.14(d,2H).Data for 59a:1 H NMR (300 MHz, CDCl3 ): δ 2.29 (t, 1H), 4.04 (dd, 2H), 4.68 (brs, 1H), 6.65 (d, 2H), 8.14 (d, 2H) .

59b的数据:1H NMR(300MHz,CDCl3):δ2.32(t,1H),4.09(dd,2H),4.90(brs,1H),6.79(t,1H),7.93(dd,1H),8.06(dd,1H).Data for 59b:1 H NMR (300 MHz, CDCl3 ): δ 2.32 (t, 1H), 4.09 (dd, 2H), 4.90 (brs, 1H), 6.79 (t, 1H), 7.93 (dd, 1H) , 8.06(dd, 1H).

59c的数据:1H NMR(300MHz,CDCl3):δ2.27(t,1H),3.02(s,3H),4.01(dd,2H),4.53(brs,1H),6.73(d,2H),7.75(d,2H).Data for 59c:1 H NMR (300 MHz, CDCl3 ): δ 2.27 (t, 1H), 3.02 (s, 3H), 4.01 (dd, 2H), 4.53 (brs, 1H), 6.73 (d, 2H) , 7.75(d, 2H).

炔烃59d通过4-二甲亚砜苯酚与炔丙基溴在K2CO3中的烷基化合成。Alkyne 59d was synthesized by the alkylation of 4-dimethylsulfoxidephenol withpropargyl bromide inK2CO3 .

1H NMR(300MHz,CDCl3):δ2.58(t,1H),3.04(s,3H),4.78(d,2H),7.11(d2H),7.89(d,2H).1 H NMR (300MHz, CDCl3 ): δ2.58(t, 1H), 3.04(s, 3H), 4.78(d, 2H), 7.11(d2H), 7.89(d, 2H).

炔烃59g:在0℃下在含有4-硝基酚(1克,7.2毫摩尔),4-戊炔-1-ol(0.775毫升,7.9毫摩尔)和Ph3P(2.2克,8.28毫摩尔)的THF混合溶液中加入DIAD(2毫升,7.9毫摩尔),在室温下搅拌24小时。浓缩溶液并将剩余物溶解在乙醚(75毫升)中。乙醚层用盐水(1×50毫升),1N NaOH(1×50毫升)和水(1×50毫升)冲洗。干燥剩余溶液(无水NaSO4),浓缩,然后通过硅胶快速色谱法(20%EtOAc-己烷)。用乙醚滴定后,分离出1克灰白色固体59。Alkyne 59g: at 0°C in the presence of 4-nitrophenol (1 g, 7.2 mmol), 4-pentyne-1-ol (0.775 ml, 7.9 mmol) and Ph3 P (2.2 g, 8.28 mg mol) in THF mixed solution was added DIAD (2 ml, 7.9 mmol) and stirred at room temperature for 24 hours. The solution was concentrated and the residue was dissolved in ether (75 mL). The ether layer was washed with brine (1 x 50 mL), 1N NaOH (1 x 50 mL) and water (1 x 50 mL). The remaining solution was dried (anhydrousNaSO4 ), concentrated, and flashed by silica gel chromatography (20% EtOAc-Hex). After titration with ether, 1 g of 59 was isolated as an off-white solid.

1H NMR(300MHz,CDCl3):δ1.99(t,1H),2.03-2.09(m,2H),2.44(dt,2H),4.18(t,2H),6.97(d,2H),8.22(d,2H).1 H NMR (300MHz, CDCl3 ): δ1.99(t, 1H), 2.03-2.09(m, 2H), 2.44(dt, 2H), 4.18(t, 2H), 6.97(d, 2H), 8.22 (d, 2H).

550-556的合成Synthesis of 550-556

通常方法:Usual method:

在含有59a-g(0.0746毫摩尔),58(0.0622毫摩尔)和CuI(0.0746毫摩尔)的混合溶液中,在氩气下加入THF(5毫升)。然后滴入少量Hunig’s基质并在室温下搅拌2小时。将反应混合物用含有20%NH3OH的NH3OH的饱和溶液(25毫升)冷却,并在室温下搅拌30分钟。混合物用二氯甲烷(3×50毫升)萃取,混合有机萃取液用含有10%的NH3OH的NH3CL的饱和溶液(2×50毫升)冲洗。剩余溶液用无水NaSO4干燥,浓缩并通过TLC纯化(首先使用:CH2CL2:2% NH3-MeOH=10∶1然后EtOAc∶Et3N=8∶2)得到纯的550-556。To a mixed solution containing 59a-g (0.0746 mmol), 58 (0.0622 mmol) and CuI (0.0746 mmol), THF (5 mL) was added under argon. Then a small amount of Hunig's base was added dropwise and stirred at room temperature for 2 hours. The reaction mixture was cooled with a saturated solution ofNH3OH containing 20%NH3OH (25 mL) and stirred at room temperature for 30 min. The mixture was extracted with dichloromethane (3 x 50 mL), and the combined organic extracts were washed with a saturated solution ofNH3Cl containing 10%NH3OH (2 x 50 mL). The remaining solution was dried over anhydrous NaSO4 , concentrated and purified by TLC (using first: CH2 Cl2 : 2% NH3 -MeOH=10:1 then EtOAc:Et3 N=8:2) to give pure 550-556 .

555的数据:Yield 50%.MS(ESI)m/e 981(M+H)+,491(M+2H)+1H NMR(300MHz,CDCl3,partial):δ0.86-0.91(m,6H),0.94(d,2H),3.21(t,1H),3.3(s,3H),4.05(t,1H),4.26(brs,1H),4.36(d,1H),4.44(t,2H),4.51(d,2H),4.68(d,2H),5.12(d,2H),5.2(brs,1H),6.61(d,2H),7.67(s,1H),8.14(d,2H).555 data: Yield 50%. MS (ESI) m/e 981 (M+H)+ , 491 (M+2H)+ ;1 H NMR (300MHz, CDCl3 , partial): δ0.86-0.91 (m , 6H), 0.94(d, 2H), 3.21(t, 1H), 3.3(s, 3H), 4.05(t, 1H), 4.26(brs, 1H), 4.36(d, 1H), 4.44(t, 2H), 4.51(d, 2H), 4.68(d, 2H), 5.12(d, 2H), 5.2(brs, 1H), 6.61(d, 2H), 7.67(s, 1H), 8.14(d, 2H ).

551的数据:Yield 60%.MS(ESI)m/e 999(M+H)+,500(M+2H)+1H NMR(300MHz,CDCl3,partial):δ0.86-0.90(m,6H),0.91(d,3H),3.29(s,3H),4.57(d,2H),5.15(d,1H),5.30(brs,1H),6.76(t,1H),7.70(s,1H),7.89(dd,1H),7.99(dd,1H).Data of 551: Yield 60%. MS (ESI) m/e 999 (M+H)+ , 500 (M+2H)+ ;1 H NMR (300MHz, CDCl3 , partial): δ0.86-0.90 (m , 6H), 0.91(d, 3H), 3.29(s, 3H), 4.57(d, 2H), 5.15(d, 1H), 5.30(brs, 1H), 6.76(t, 1H), 7.70(s, 1H), 7.89(dd, 1H), 7.99(dd, 1H).

550的数据:Yield 50%.MS(ESI) m/e 1014(M+H)+,507(M+2H)+1H NMR(300MHz,CDCl3,partial):δ0.87(d,3H),0.91(d,3H),1.09(d,3H),3.32(s,3H),3.61(d,1H),4.66(d,1H),4.99(t,1H),5.11(d,1H),6.68(d,2H),7.63(s,1H),7.70(d,2H).Data of 550: Yield 50%. MS(ESI) m/e 1014(M+H)+ , 507(M+2H)+ ;1 H NMR (300MHz, CDCl3 , partial): δ0.87(d, 3H ), 0.91(d, 3H), 1.09(d, 3H), 3.32(s, 3H), 3.61(d, 1H), 4.66(d, 1H), 4.99(t, 1H), 5.11(d, 1H) , 6.68(d, 2H), 7.63(s, 1H), 7.70(d, 2H).

552的数据:Yield 55%.MS(ESI)m/e 1015(M+H)+,508(M+2H)+1H NMR(300MHz,CDCl3,partial):δ0.86-0.91(m,6H),0.99(d,3H),3.28(s,3H),3.64(d,1H),3.67(s,1H),4.05(m,1H),4.25(d,1H),4.38(d,1H),4.45(t,1H),4.70(d,1H),5.11(d,1H),5.27(s,2H),7.12(d,2H),7.81(s,1H),7.86(d,2H).Data of 552: Yield 55%. MS (ESI) m/e 1015 (M+H)+ , 508 (M+2H)+ ;1 H NMR (300MHz, CDCl3 , partial): δ0.86-0.91 (m , 6H), 0.99(d, 3H), 3.28(s, 3H), 3.64(d, 1H), 3.67(s, 1H), 4.05(m, 1H), 4.25(d, 1H), 4.38(d, 1H), 4.45(t, 1H), 4.70(d, 1H), 5.11(d, 1H), 5.27(s, 2H), 7.12(d, 2H), 7.81(s, 1H), 7.86(d, 2H ).

553的数据:Yield 50%.MS(ESI)m/e 935(M+H)+,468(M+2H)+1H NMR(300MHz,CDCl3,partial):δ0.86-0.92(m,6H),0.99(d,3H),3.48(s,3H),3.62(d,1H),3.66(s,1H),4.02-4.07(m,1H),4.35-4.41(m,3H),4.67(dd,1H),5.09(d,1H),7.17-7.31(m,6H).Data of 553: Yield 50%. MS (ESI) m/e 935(M+H)+ , 468(M+2H)+ ;1 H NMR (300MHz, CDCl3 , partial): δ0.86-0.92(m , 6H), 0.99(d, 3H), 3.48(s, 3H), 3.62(d, 1H), 3.66(s, 1H), 4.02-4.07(m, 1H), 4.35-4.41(m, 3H), 4.67(dd, 1H), 5.09(d, 1H), 7.17-7.31(m, 6H).

554的数据:Yield 40%.MS(ESI)m/e 908(M+H)+,455(M+2H)+1H NMR(300MHz,CDCl3,partial):δ0.86-0.91(m,6H),0.97(d,3H),3.25(s,3H),3.62(d,1H),3.66(s,1H),4.05(brt,1H),4.23(brs,1H),4.38(d,1H),4.50(t,2H),4.67(d,1H),5.11(d,1H),7.35(dd,1H),8.17(s,1H),8.20(d,1H),8.56(d,1H),8.98(s,1H).Data of 554: Yield 40%. MS (ESI) m/e 908 (M+H)+ , 455 (M+2H)+ ;1 H NMR (300MHz, CDCl3 , partial): δ0.86-0.91 (m , 6H), 0.97(d, 3H), 3.25(s, 3H), 3.62(d, 1H), 3.66(s, 1H), 4.05(brt, 1H), 4.23(brs, 1H), 4.38(d, 1H), 4.50(t, 2H), 4.67(d, 1H), 5.11(d, 1H), 7.35(dd, 1H), 8.17(s, 1H), 8.20(d, 1H), 8.56(d, 1H ), 8.98(s, 1H).

556的数据:Yield 90%.MS(ESI)m/e 1010(M+H)+,505.5(M+2H)+1H NMR(300MHz,CDCl3,partial):δ0.86-0.91(m,6H),0.94(d,3H),3.30(s,3H),4.12(t,2H),4.26(t,2H),4.27-4.42(m,3H),4.67(dd,1H),5.05(d,1H),6.96(d,2H),7.42(s,1H),8.20(d,2H).Data of 556: Yield 90%. MS (ESI) m/e 1010(M+H)+ , 505.5(M+2H)+ ;1 H NMR (300MHz, CDCl3 , partial): δ0.86-0.91(m , 6H), 0.94(d, 3H), 3.30(s, 3H), 4.12(t, 2H), 4.26(t, 2H), 4.27-4.42(m, 3H), 4.67(dd, 1H), 5.05( d, 1H), 6.96(d, 2H), 7.42(s, 1H), 8.20(d, 2H).

叠氮化合物14a-14gm的合成Synthesis of Azides 14a-14gm

表11所示的叠氮化合物14a-14gm通常由本发明的包括101-280,301-357,401-417,425-451和460-466在内的若干化合物合成。这些叠氮化合物通过文献记载的已知方法合成。下面列出具体实施例。表11的其余化合物由类似的方法通过相应的商业可获得的起始物合成。Azides 14a-14gm shown in Table 11 are generally synthesized from several compounds of the present invention including 101-280, 301-357, 401-417, 425-451 and 460-466. These azides are synthesized by known methods described in the literature. Specific examples are listed below. The rest of the compounds in Table 11 were synthesized by similar methods from the corresponding commercially available starting materials.

表11Table 11

Figure A20058001353202991
Figure A20058001353202991

流程127,叠氮化合物14au的合成Scheme 127, the synthesis of azide compound 14au

Figure A20058001353203012
Figure A20058001353203012

14au的合成Synthesis of 14au

含有氟苯尼考(0.090克,0.25毫摩尔)的乙酸溶液(3.0毫升)与硫酸(10%,15毫升)反应,加热到110℃12小时。然后将反应混合物冷却到室温,加入10M氢氧化钠水溶液调节PH值到14,再用二氯甲烷(3×30毫升)萃取,NaSO4干燥,蒸发后得到黄色油氟苯尼考胺60(65毫克,0.25毫摩尔)。Acetic acid solution (3.0 mL) containing florfenicol (0.090 g, 0.25 mmol) was reacted with sulfuric acid (10%, 15 mL) and heated to 110°C for 12 hours. Then the reaction mixture was cooled to room temperature, 10M aqueous sodium hydroxide solution was added to adjust the pH value to 14, and then extracted with dichloromethane (3 × 30 ml), dried over NaSO4 and evaporated to obtain florfenicol amine 60 (65 mg, 0.25 mmol).

含有氟苯尼考胺60(0.90克,3.6毫摩尔)的水(10毫升)和甲醇(30毫升)溶液与三乙胺(1.5毫升,10.8毫摩尔)和甲基磺酰基三氟醚叠氮化物(13.4毫摩尔溶解在20毫升二氯乙烷中;根据J.Am.Chem.Soc.2002,124,10773记载的方法制备该溶液)反应,在0℃下搅拌3小时,然后加热到23℃1小时。将反应混合物用水(30毫升)稀释,再用二氯乙烷(30毫升)萃取,蒸发。快速色谱法纯化(SiO2,50-100%醋酸乙酯/己烷)得到黄色固体叠氮化合物14au(0.65克,2.4毫摩尔)。A solution of florfenicol amine 60 (0.90 g, 3.6 mmol) in water (10 mL) and methanol (30 mL) with triethylamine (1.5 mL, 10.8 mmol) and methylsulfonyl trifluoroether azide compound (13.4 millimoles were dissolved in 20 milliliters of dichloroethane; the solution was prepared according to the method described in J.Am.Chem.Soc.2002, 124, 10773), stirred at 0°C for 3 hours, and then heated to 23 °C for 1 hour. The reaction mixture was diluted with water (30 mL), extracted with dichloroethane (30 mL) and evaporated. Purification by flash chromatography (SiO2 , 50-100% ethyl acetate/hexanes) afforded the azide 14au (0.65 g, 2.4 mmol) as a yellow solid.

流程128,叠氮化合物14s的合成Scheme 128, the synthesis of azide compound 14s

Figure A20058001353203021
Figure A20058001353203021

叠氮化合物14s的合成Synthesis of Azide 14s

含有D-(-)-异边-2-氨基-1-(4-硝基苯基)-1,3-丙二醇(0.42克,2.0毫摩尔)的水(5毫升)和甲醇(17毫升)溶液与三乙胺(0.84毫升,6毫摩尔)和甲基磺酰基三氟醚叠氮化物(3毫摩尔溶解在5毫升二氯乙烷中;根据J.Am.Chem.Soc.2002,124,10773记载的方法制备该溶液)反应,在23℃下搅拌3小时。将反应混合物用水(30毫升)稀释,再用二氯乙烷(30毫升)萃取,蒸发。快速色谱法纯化(SiO2,50-100%醋酸乙酯/己烷)得到黄色固体叠氮化合物14s(0.28克,1.2毫摩尔)。D-(-)-iso-2-amino-1-(4-nitrophenyl)-1,3-propanediol (0.42 g, 2.0 mmol) in water (5 mL) and methanol (17 mL) The solution was mixed with triethylamine (0.84 mL, 6 mmol) and methylsulfonyl trifluoroether azide (3 mmol) dissolved in 5 mL of dichloroethane; according to J.Am.Chem.Soc.2002, 124 , 10773 recorded method to prepare the solution) reaction, stirred at 23 ° C for 3 hours. The reaction mixture was diluted with water (30 mL), extracted with dichloroethane (30 mL) and evaporated. Purification by flash chromatography (SiO2 , 50-100% ethyl acetate/hexanes) afforded azide 14s as a yellow solid (0.28 g, 1.2 mmol).

流程129,叠氮化合物14bq的合成Scheme 129, the synthesis of azide compound 14bq

Figure A20058001353203022
Figure A20058001353203022

叠氮化合物14bq的合成Synthesis of Azide Compound 14bq

在含有4-硝基苯基丙氨酸(4.6克,20毫摩尔)和NaBH4(3.2克,84毫摩尔)的THF(50毫升)溶液中加入BF3·OEt(14.8毫升,106毫摩尔),在0℃下搅拌。将反应混合物加热到室温并搅拌24小时。然后将混合物冷却到0℃并用甲醇冷浸。将反应混合物过滤,过滤浓缩后得到固体剩余物。将10%的剩余物溶解在水(5毫升),甲醇(20毫升)和三乙胺(0.9毫升)中。加入叠氮三氟甲磺酸(triflic azide)溶液(3.5毫摩尔溶解在7毫升二氯乙烷中;根据J.Am.Chem.Soc.2002,124,10773记载的方法制备该溶液),在室温下搅拌14小时。将反应混合物用水二氯乙烷(30毫升)稀释,再用饱和NaCO3和盐水冲洗。将有机萃取物干燥,过滤,浓缩得到白色固体14bq(150毫克)。To a solution of 4-nitrophenylalanine (4.6 g, 20 mmol) and NaBH4 (3.2 g, 84 mmol) in THF (50 mL) was added BF3 ·OEt (14.8 mL, 106 mmol ), stirred at 0°C. The reaction mixture was warmed to room temperature and stirred for 24 hours. The mixture was then cooled to 0°C and soaked with methanol. The reaction mixture was filtered and concentrated to give a solid residue. The 10% residue was dissolved in water (5 mL), methanol (20 mL) and triethylamine (0.9 mL). Add azide trifluoromethanesulfonic acid (triflic azide) solution (3.5 mmol is dissolved in 7 milliliters of dichloroethanes; Prepare this solution according to the method described in J.Am.Chem.Soc.2002,124,10773), in Stir at room temperature for 14 hours. The reaction mixture was diluted with water dichloroethane (30 mL), washed with saturated NaCO3 and brine. The organic extracts were dried, filtered and concentrated to give 14bq (150 mg) as a white solid.

叠氮化合物14ed的合成Synthesis of Azide 14ed

流程130Process 130

Figure A20058001353203031
Figure A20058001353203031

含有氟苯尼考(0.494克,1.38毫摩尔)的乙腈溶液(15.0毫升)与四溴化碳(0.594克,1.66毫摩尔)和三苯基磷化氢(0.434克,1.66毫摩尔)反应,在23℃下搅拌12小时。然后将反应混合物蒸发得到黄色剩余物,通过快速色谱法纯化(SiO2,10%醋酸乙酯/二氯甲烷)得到白色粉末61(0.28克,0.67毫摩尔)。A solution of florfenicol (0.494 g, 1.38 mmol) in acetonitrile (15.0 mL) was reacted with carbon tetrabromide (0.594 g, 1.66 mmol) and triphenylphosphine (0.434 g, 1.66 mmol), Stir at 23°C for 12 hours. The reaction mixture was then evaporated to give a yellow residue, which was purified by flash chromatography (SiO2 , 10% ethyl acetate/dichloromethane) to give 61 as a white powder (0.28 g, 0.67 mmol).

流程131Process 131

含有61(0.20克,0.41毫摩尔)的甲醇溶液(5.0毫升)与10%置于木炭(20毫克)上的钯反应,在23℃下的氢气室中搅拌2小时。然后将反应混合物过滤,蒸发,并通过薄层色谱法纯化(SiO2,10%醋酸乙酯/二氯甲烷)得到白色薄片62(90毫克,0.67毫摩尔)。A solution of 61 (0.20 g, 0.41 mmol) in methanol (5.0 mL) was reacted with 10% palladium on charcoal (20 mg) and stirred in a hydrogen chamber at 23°C for 2 hours. The reaction mixture was then filtered, evaporated, and purified by thin layer chromatography (SiO2 , 10% ethyl acetate/dichloromethane) to afford white flakes 62 (90 mg, 0.67 mmol).

流程132Process 132

含有62(90毫克,0.26毫摩尔)的乙酸溶液(3.0毫升)与10%的硫酸(15毫升)溶液反应,加热到110℃12小时。然后将反应混合物冷却到室温,加入10M氢氧化钠水溶液调节PH值到14,再用二氯甲烷(3×30毫升)萃取,NaSO4干燥,蒸发后得到黄色油状粗产品63。将含有该粗胺(83毫克)的甲醇(3.6毫升)和二氯甲烷(3.0毫升)溶液冷却到0℃并与三乙胺(0.14毫升,1毫摩尔)和叠氮三氟甲磺酸(1.2毫升0.3M的二氯甲烷),加热到23℃。2小时后,然后将反应混合物蒸发,并通过薄层色谱法纯化(SiO2,10%醋酸乙酯/二氯甲烷)得到无色油63(60毫克,0.23毫摩尔)。A solution of 62 (90 mg, 0.26 mmol) in acetic acid (3.0 mL) was reacted with a solution of 10% sulfuric acid (15 mL) and heated to 110°C for 12 hours. The reaction mixture was then cooled to room temperature, adjusted to pH 14 by adding 10M aqueous sodium hydroxide solution, extracted with dichloromethane (3×30 mL), dried over NaSO4 , and evaporated to give crude product 63 as a yellow oil. A solution of the crude amine (83 mg) in methanol (3.6 mL) and dichloromethane (3.0 mL) was cooled to 0 °C and mixed with triethylamine (0.14 mL, 1 mmol) and azidotrifluoromethanesulfonic acid ( 1.2 ml of 0.3M dichloromethane) and heated to 23°C. After 2 hours, the reaction mixture was then evaporated and purified by thin layer chromatography (SiO2 , 10% ethyl acetate/dichloromethane) to give 63 as a colorless oil (60 mg, 0.23 mmol).

叠氮化合物14ag的合成Synthesis of Azide 14ag

叠氮化合物14ag由1S,2S 2-氨基-1-(4-甲基磺酸基-苯基)-丙烷-1,3-二醇采用叠氮化合物14bq所述的过程合成。Azide 14ag was synthesized from 1S,2S 2-amino-1-(4-methylsulfono-phenyl)-propane-1,3-diol using the procedure described for azide 14bq.

叠氮化合物14a,14t,14u,14at,14aw,14ax,14ay,14df,14ds,14dv,14dw,和14dz,采用流程133的Mitsunobu途径和以下实施例所述的叠氮化合物14dw的方法合成。Azides 14a, 14t, 14u, 14at, 14aw, 14ax, 14ay, 14df, 14ds, 14dv, 14dw, and 14dz were synthesized using the Mitsunobu route of Scheme 133 and the method for azide 14dw described in the Examples below.

流程133,叠氮化合物14dw的合成Scheme 133, the synthesis of azide compound 14dw

Figure A20058001353203051
Figure A20058001353203051

在含有水杨酸乙酯(1.0克,6.0毫摩尔),2-溴代乙醇(0.445毫升,6.06毫摩尔),和三苯基膦(1.8克,6.9毫摩尔)的THF混合溶液(10毫升)中,在0℃下加入DIAD(1.4毫升,6.60毫摩尔)。将反应混合物缓慢加热到室温并搅拌2小时。再将反应混合物浓缩,溶解在乙醚(50毫升)中。然后用盐水(3×50毫升)冲洗,干燥(NaSO4),浓缩并通过快速色谱法纯化(硅胶,5%醋酸乙酯/己烷)得到0.8克中间体溴代乙醚。将溴代乙醚(0.678克,2.4毫摩尔)溶解在DMF(5毫升)中,加入叠氮化钠(0.473克,7.2毫摩尔)。将混合物用油浴加热到70℃2-3小时。再用乙醚稀释(50毫升),水冲洗(4×50毫升),无水NaSO4干燥,减压浓缩。将粗产品通过快速色谱法纯化(硅胶,10%醋酸乙酯/己烷)得到0.52克纯叠氮化合物14dw(89%)。In THF containing ethyl salicylate (1.0 g, 6.0 mmol), 2-bromoethanol (0.445 ml, 6.06 mmol), and triphenylphosphine (1.8 g, 6.9 mmol) ), DIAD (1.4 mL, 6.60 mmol) was added at 0°C. The reaction mixture was slowly warmed to room temperature and stirred for 2 hours. The reaction mixture was then concentrated and dissolved in ether (50 mL). It was then rinsed with brine (3 x 50 mL), dried (NaSO4 ), concentrated and purified by flash chromatography (silica gel, 5% ethyl acetate/hexanes) to yield 0.8 g of the intermediate bromoether. Bromoether (0.678 g, 2.4 mmol) was dissolved in DMF (5 mL), and sodium azide (0.473 g, 7.2 mmol) was added. The mixture was heated to 70°C with an oil bath for 2-3 hours. It was diluted with ether (50 mL), washed with water (4×50 mL), dried over anhydrous NaSO4 , and concentrated under reduced pressure. The crude product was purified by flash chromatography (silica gel, 10% ethyl acetate/hexanes) to yield 0.52 g of pure azide 14dw (89%).

叠氮化合物14a,14t,14u,14at,14aw,14ax,14ay,14df,14ds,和14dz的合成Synthesis of Azides 14a, 14t, 14u, 14at, 14aw, 14ax, 14ay, 14df, 14ds, and 14dz

这些化合物通过所述的叠氮化合物14dw的方法合成。These compounds were synthesized by the method described for the azide compound 14dw.

叠氮化合物14dv的合成Synthesis of azide compound 14dv

该化合物由水杨酸乙酯采用与叠氮化合物14dw的方法合成,只是3-溴代丙醇被2-溴代乙醇代替。The compound is synthesized from ethyl salicylate by the method of azide compound 14dw, except that 3-bromopropanol is replaced by 2-bromoethanol.

叠氮化合物14dg,14dh,14di,14dj,和14dn的合成Synthesis of Azides 14dg, 14dh, 14di, 14dj, and 14dn

这些叠氮化合物由相应的氨基苯通过流程134和以下实施例所示的化合物14dg的重氮化作用合成。These azides were synthesized from the corresponding aminobenzenes by diazotization of compounds 14dg as shown in Scheme 134 and in the Examples below.

流程134:叠氮化合物14dg的合成Scheme 134: Synthesis of azide compound 14dg

Figure A20058001353203061
Figure A20058001353203061

叠氮化合物14dg的合成Synthesis of Azide 14dg

3-硝基苯胺4(2.00克,14.20毫摩尔)在室温的10%的HCL(80毫升)下剧烈搅拌,直到完全溶解。将溶液在冰-水浴中冷却到0℃,然后加入NaNO2(1.13克,16.33毫摩尔)并搅拌30分钟。将含有NaN3(1.39克,21.3毫摩尔)的水溶液(20毫升)滴入并再搅拌1小时。将EtOAc(120毫升)加入到混悬液中使两层分离。有机层用10%的HCL(100毫升),饱和NaHCO3(100毫升),饱和盐水(100毫升)萃取一次,再用NaSO4干燥。蒸发溶液得到白色固体14dg(2.27克,97%)3-Nitroaniline 4 (2.00 g, 14.20 mmol) was vigorously stirred under 10% HCl (80 mL) at room temperature until completely dissolved. The solution was cooled to 0° C. in an ice-water bath, then NaNO2 (1.13 g, 16.33 mmol) was added and stirred for 30 minutes. An aqueous solution (20 mL) containingNaN3 (1.39 g, 21.3 mmol) was added dropwise and stirred for another 1 h. EtOAc (120 mL) was added to the suspension and the two layers were separated. The organic layer was extracted once with 10% HCL (100 mL), saturated NaHCO3 (100 mL), saturated brine (100 mL), and dried over NaSO4 . The solution was evaporated to give a white solid 14dg (2.27g, 97%)

叠氮化合物14dg,14di,14dj,和14dn的合成Synthesis of Azides 14dg, 14di, 14dj, and 14dn

这些叠氮化合物由相应的氨基苯通过化合物14dg的条件用合成。These azides were synthesized from the corresponding aminobenzenes using the conditions of compound 14dg.

叠氮化合物14z由叠氮化合物14v通过流程135所述的顺序合成。Azide 14z was synthesized from azide 14v by the sequence described in Scheme 135.

流程135:叠氮化合物14z的合成Scheme 135: Synthesis of azide 14z

叠氮化合物14z的合成Synthesis of Azide 14z

叠氮化合物14(0.66克,3.43毫摩尔)和1-丁炔-4-醇(0.32毫升,4.12毫摩尔)在CuI(0.668克,3.43毫摩尔)存在的情况下在THF(20毫升)和Hunig’s基质(10毫升)中进行环加成反应,室温下3小时内得到化合物15。粗产品15与含有Pd/C(0.10克,10%重量,Degussa)的EtOH(15毫升)在氢气9(气室)下反应,然后与含NaNO2(0.14ke,2.0毫摩尔)10%的HCL(20毫升)进行重氮化反应,再与含NaN3(0.17克,2.6毫摩尔)的水(1.0毫升)采用叠氮化合物14dg所述的方法进行迭氮化反应,得到粗产品叠氮化合物14z。Azide 14 (0.66 g, 3.43 mmol) and 1-butyn-4-ol (0.32 mL, 4.12 mmol) were dissolved in THF (20 mL) in the presence of CuI (0.668 g, 3.43 mmol) and Cycloaddition in Hunig's matrix (10 mL) afforded compound 15 within 3 hours at room temperature. Crude product 15 was reacted with EtOH (15 mL) containing Pd/C (0.10 g, 10 wt%, Degussa) under hydrogen 9 (gas chamber), followed byNaNO2 (0.14 ke, 2.0 mmol) 10% HCL (20 mL) was diazotized, followed by azidation with NaN (0.17g , 2.6 mmol) in water (1.0 mL) using the method described for azide 14dg to give crude azide Compound 14z.

叠氮化合物14aa按照流程136图示的方法合成。The azide compound 14aa was synthesized according to the method shown in Scheme 136.

流程136:叠氮化合物14aa的合成。Scheme 136: Synthesis of azide 14aa.

Figure A20058001353203081
Figure A20058001353203081

叠氮化合物14aa的合成:Synthesis of azide 14aa:

4-叠氮基苯乙基乙醇(0.6克,3.68毫摩尔)溶解在无水THF(15毫升),DMF(5毫升)和三乙胺(Et3N)(0.54毫升,3.7毫摩尔)中。将溶液在冰-水浴中冷却到0℃,加入MsCL(0.30毫升,3.7毫摩尔)并在0℃下继续搅拌2小时。将反应物用水(1毫升)冷浸并在真空中浓缩。然后加入EtOAc(60毫升)和饱和NaHCO3(40毫升)使两层分离。水层用EtOAc(2×40毫升)冲洗,混合有机层用NaSO4干燥,溶液蒸发后得到褐色固体甲磺酸化衍生物。将粗甲磺酸化产品与炔丙基乙醇(0.40毫升,6.83毫摩尔)在CuI(0.54克,2.84毫摩尔)存在的情况下在THF(10毫升)和Hunig’s基质(1毫升)中,室温下反应12小时。反应按照14v所述的方法进行。在粗产品的DMF溶液(10毫升)中加入NaN3(0.96克,14.7毫摩尔)并将混合物加热到85℃6小时。过滤并蒸发溶液。剩余物与水(30毫升)和5%MeOH的EtOAc(40毫升)叠氮化合反应。含水层用含有5%MeOH的EtOAc(5×20毫升)萃取,混合有机层用NaSO4干燥并蒸发溶液。粗产品通过硅胶纯化,CH2CL2/MeOH 17∶1洗提得到固体叠氮化合物14aa(0.51克,57%)。4-Azidophenethylethanol (0.6 g, 3.68 mmol) was dissolved in anhydrous THF (15 mL), DMF (5 mL) and triethylamine (EtN ) (0.54 mL, 3.7 mmol) . The solution was cooled to 0°C in an ice-water bath, MsCL (0.30 mL, 3.7 mmol) was added and stirring was continued at 0°C for 2 hours. The reaction was chilled with water (1 mL) and concentrated in vacuo. Then EtOAc (60 mL) and saturatedNaHCO3 (40 mL) were added to separate the two layers. The aqueous layer was washed with EtOAc (2 x 40 mL), the combined organic layers were dried over NaSO4 and the solution was evaporated to give the mesylated derivative as a brown solid. The crude mesylated product was mixed with propargyl ethanol (0.40 mL, 6.83 mmol) in the presence of CuI (0.54 g, 2.84 mmol) in THF (10 mL) and Hunig's matrix (1 mL) at room temperature React for 12 hours. The reaction was carried out as described for 14v. To a solution of the crude product in DMF (10 mL) was addedNaN3 (0.96 g, 14.7 mmol) and the mixture was heated to 85 °C for 6 h. Filter and evaporate the solution. The residue was azide reacted with water (30 mL) and 5% MeOH in EtOAc (40 mL). The aqueous layer was extracted with 5% MeOH in EtOAc (5 x 20 mL), the combined organic layers were dried over NaSO4 and the solution was evaporated. The crude product was purified by silica gel with CH2 Cl2 /MeOH 17:1 to give azide 14aa as a solid (0.51 g, 57%).

流程137:叠氮化合物14af的合成Scheme 137: Synthesis of azide 14af

Figure A20058001353203091
Figure A20058001353203091

叠氮化合物14af的合成:Synthesis of azide 14af:

氰基乙醇65(0.65克,4.42毫摩尔),咪唑(0.67克,9.73毫摩尔)和DMAP(0.05克,0.44毫摩尔)溶解在无水THF(20毫升)中。在溶液中加入TBSCI(0.70克,4.65毫摩尔),持续搅拌3小时,TLC指示出65的消耗量。将CH2CL2(60毫升)加入到混合物中并用饱和NaHCO3(1×30毫升)和饱和盐水(1×30毫升)萃取,用NaSO4干燥。蒸发溶液并得到无色油。Cyanoethanol 65 (0.65 g, 4.42 mmol), imidazole (0.67 g, 9.73 mmol) and DMAP (0.05 g, 0.44 mmol) were dissolved in anhydrous THF (20 mL). TBSCI (0.70 g, 4.65 mmol) was added to the solution and stirring was continued for 3 hours, TLC indicated the consumption of 65. CH2 Cl2 (60 mL) was added to the mixture and extracted with saturated NaHCO3 (1×30 mL) and saturated brine (1×30 mL), dried over NaSO4 . The solution was evaporated and a colorless oil was obtained.

在含有粗产品的异丙醇(15毫升)溶液中加入碳酸钾(0.28克,2.04毫摩尔)和盐酸羟胺(0.29克,4.08毫摩尔),然后将混合溶液温和回流加热(约100℃)24小时。基线产品的实际结构通过TLC表示,除了新产品(Rf=3.1,CH2CL2/MeOH 30∶1)。将反应物过滤并蒸发溶液得到白色固体。MS(ESI)分析证实carboxami-doxime 66(M+N+=295.1)和相应的TBS-脱保护产品(M+N+=181.0)的比率约为1∶1。Potassium carbonate (0.28 g, 2.04 mmol) and hydroxylamine hydrochloride (0.29 g, 4.08 mmol) were added to a solution containing the crude product in isopropanol (15 mL), and the mixed solution was heated under gentle reflux (about 100° C.) for 24 Hour. The actual structuresof the baseline products were shown by TLC, except for the new product (Rf = 3.1,CH2CL2 /MeOH 30:1). The reaction was filtered and the solution evaporated to give a white solid. MS (ESI) analysis confirmed that the ratio of carboxami-doxime 66 (M+N+ =295.1) and the corresponding TBS-deprotected product (M+N+ =181.0) was about 1:1.

一半的粗产品66(约2.2毫摩尔根据65)溶解在THF(10毫升)和Hunig’s基质(5毫升)中。在溶液中加入无水醋酸(1.05毫升,11.0毫摩尔)并将混合物加热回流3小时。蒸发溶液,剩余物在CH2CL2(40毫升)和饱和NaHCO3(30毫升)中分段。两层分离,有机层用饱和NaHCO3(2×30毫升),饱和盐水(1×30毫升)萃取,并用NaSO4干燥。蒸发溶液,粗产品通过硅胶纯化,EtOAc/Hexanes 1∶8到1∶6到1∶4到1∶3洗提,得到噁二唑(oxidiazole)67(0.040克,6%)。在含有噁二唑67(0.039克,0.12毫摩尔)的THF(3毫升)溶液中加入BF3:OEt2(0.16毫升,1.26毫摩尔),在0℃下搅拌。将反应混合物加热到室温并持续搅拌过夜。加入乙醇消耗掉过量的BF3:OEt2并蒸发溶液。剩余物被CH2CL2(40毫升)吸收,用饱和NaHCO3(2×25毫升)萃取,用NaSO4干燥。溶液被蒸发掉之后得到的粗产品未经进一步纯化。粗产品溶解在CH2CL2(2毫升)和Et3N(0.05毫升,0.36毫摩尔)中。在溶液中加入MsCL(0.04毫升,0.48毫摩尔)并在室温下搅拌。搅拌持续2小时,反应液在CH2CL2(40毫升)和饱和NaHCO3(30毫升)中分段。两层分离,有机层用饱和NaHCO3(2×30毫升),饱和盐水(1×20毫升)萃取,并用NaSO4干燥。蒸发溶液,粗产品溶解在加入DMF(3毫升),NaN3(0.10克,1.5毫摩尔)的混合液中,并加热到55℃过夜。再加入二乙醚(50毫升),溶液用饱和NaHCO3(3×30毫升),饱和盐水(1×30毫升)萃取,并用NaSO4干燥。蒸发溶液。粗产品通过硅胶纯化,CH2CL2/MeOH s120∶1洗提,得到无色浓油叠氮化合物14af(0.018克,产率66%)。Half of the crude product 66 (about 2.2 mmol based on 65) was dissolved in THF (10 mL) and Hunig's matrix (5 mL). Anhydrous acetic acid (1.05 mL, 11.0 mmol) was added to the solution and the mixture was heated to reflux for 3 hours. The solution was evaporated and the residue partitioned betweenCH2Cl2 (40 mL) and saturatedNaHCO3 (30 mL). The two layers were separated, and the organic layer was extracted with saturated NaHCO3 (2×30 mL), saturated brine (1×30 mL), and dried over NaSO4 . The solution was evaporated and the crude product was purified by silica gel eluting with EtOAc/Hexanes 1:8 to 1:6 to 1:4 to 1:3 to afford oxidiazole 67 (0.040 g, 6%). BF3 :OEt2 (0.16 mL, 1.26 mmol) was added to a THF (3 mL) solution containing oxadiazole 67 (0.039 g, 0.12 mmol), and stirred at 0°C. The reaction mixture was warmed to room temperature and stirring was continued overnight. Ethanol was added to consume excessBF3 :OEt2 and the solution was evaporated. The residue was taken up inCH2CL2 (40 mL), extractedwith saturatedNaHCO3 (2 x 25 mL), dried overNaSO4 . The crude product obtained after the solution was evaporated was not further purified.The crude product was dissolved inCH2CL2 (2 mL) andEt3N (0.05 mL, 0.36 mmol). MsCL (0.04 mL, 0.48 mmol) was added to the solution and stirred at room temperature. Stirring was continued for 2 hours, and the reaction was partitioned between CH2 Cl2 (40 mL) and saturated NaHCO3 (30 mL). The two layers were separated, and the organic layer was extracted with saturated NaHCO3 (2×30 mL), saturated brine (1×20 mL), and dried over NaSO4 . The solution was evaporated and the crude product was dissolved in a mixture of DMF (3 mL),NaN3 (0.10 g, 1.5 mmol) and heated to 55°C overnight. Further diethyl ether (50 mL) was added, and the solution was extracted with saturated NaHCO3 (3×30 mL), saturated brine (1×30 mL), and dried over NaSO4 . The solution was evaporated. The crude product was purified by silica gel, eluting with CH2 Cl2 /MeOH s 120:1 to give azide 14af as a colorless thick oil (0.018 g, yield 66%).

流程138:叠氮化物14x的合成Scheme 138: Synthesis of azide 14x

叠氮化物14x的合成Synthesis of azide 14x

含有α-溴代-对甲苯基氰(196毫克,1毫摩尔),NH4CL(107毫克,2毫摩尔)和NaN3(260毫克,4毫摩尔)的DMF(2毫升)溶液加热到120℃8小时。将反应物用CH2CL2洗提。无机盐通过过滤除去,剩余溶液浓缩并通过快速色谱柱纯化(10∶1∶0.1/CH2CL2∶MeOH∶NH3·H2O)得到叠氮化物20(180克,产率90%)。A solution of α-bromo-p-tolyl cyanide (196 mg, 1 mmol), NH4 Cl (107 mg, 2 mmol) and NaN3 (260 mg, 4 mmol) in DMF (2 mL) was heated to 120°C for 8 hours. The reactionwas eluted withCH2Cl2 . Inorganic salts were removed by filtration and the remaining solution was concentrated and purified by flash column chromatography (10:1:0.1/CH2CL2: MeOH:NH3 ·H2O ) to give azide 20 (180 g, 90% yield) .

流程139:叠氮化物14bp的合成Scheme 139: Synthesis of azide 14bp

Figure A20058001353203112
Figure A20058001353203112

叠氮化物14bp的合成Synthesis of azide 14bp

含有敏使朗68(700毫克,3.1毫摩尔),NH4CL(332毫克,6.2毫摩尔)和NaN3(808毫克,12.4毫摩尔)的DMF(5毫升)溶液加热到120℃4小时。将反应物用CH2CL2洗提。无机盐通过过滤除去,剩余溶液浓缩并通过快速色谱柱纯化(10∶1∶0.1/CH2CL2∶MeOH∶NH3·H2O)得到叠氮化物14dp(600克,产率90%)。A DMF (5 mL) solution containing Mintelon 68 (700 mg, 3.1 mmol), NH4 Cl (332 mg, 6.2 mmol) and NaN3 (808 mg, 12.4 mmol) was heated to 120° C. for 4 hours. The reactionwas eluted withCH2Cl2 . Inorganic salts were removed by filtration and the remaining solution was concentrated and purified by flash column chromatography (10:1:0.1/CH2CL2: MeOH:NH3 ·H2O ) to give azide 14dp (600 g, 90% yield) .

流程140:叠氮化物14bd的合成Scheme 140: Synthesis of azide 14bd

Figure A20058001353203121
Figure A20058001353203121

叠氮化物14bd的合成Synthesis of azide 14bd

含有p-甲苯磺酰胺(6.84克,40毫摩尔),N-溴丁二酰亚胺(7.12克,40毫摩尔)和过氧化苯酰(0.29克,1.2毫摩尔)的四氯化碳(100毫升)溶液回流3小时。将反应混合物浓缩,将剩余物用EtOAc萃取。将得到的粗产品在CH2CL2里结晶得到69(2.60克,产率26%)。将含有69(150毫克,0.6毫摩尔)和NaN3(156毫克,2.4毫摩尔)的DMF溶液(2毫升)加热到80℃6小时。然后将反应物用醋酸乙酯洗提,用盐水冲洗,用NaSO4干燥,蒸发得到叠氮化物14bd(110毫克,产率86%)。Carbon tetrachloride ( 100 ml) solution was refluxed for 3 hours. The reaction mixture was concentrated, and the residue was extracted with EtOAc. The resulting crude product was crystallizedfromCH2Cl2 to afford 69 (2.60 g, 26% yield). A DMF solution (2 mL) containing 69 (150 mg, 0.6 mmol) andNaN3 (156 mg, 2.4 mmol) was heated to 80 °C for 6 h. The reaction was then eluted with ethyl acetate, rinsed with brine, dried over NaSO4 and evaporated to give azide 14bd (110 mg, 86% yield).

流程141:叠氮化合物14bz的合成Scheme 141: Synthesis of azide compound 14bz

Figure A20058001353203122
Figure A20058001353203122

叠氮化合物14bz的合成Synthesis of Azide Compound 14bz

叠氮化物14bz由溴化物28和叠氮化纳反应通过14bd合成法制备,产率90%。溴化物28由N-(2-羟乙基)-p-甲苯磺酰胺和N-溴丁二酰亚胺反应通过17合成法制备,产率23%。Azide 14bz was prepared from bromide 28 and sodium azide via the 14bd synthesis in 90% yield. Bromide 28 was prepared by the synthesis of 17 from N-(2-hydroxyethyl)-p-toluenesulfonamide and N-bromosuccinimide in 23% yield.

叠氮化合物14bm的合成Synthesis of Azide 14bm

叠氮化物14bm由2-氟-sulfonamido甲苯根据上述14bd的制备法合成。Azide 14bm was synthesized from 2-fluoro-sulfonamidotoluene following the preparation of 14bd above.

叠氮化合物14bh的合成Synthesis of Azide 14bh

叠氮化物14bh由3-氟-4-sulfonamido甲苯根据上述14bd的制备法合成。Azide 14bh was synthesized from 3-fluoro-4-sulfonamidotoluene following the preparation of 14bd above.

叠氮化合物14bo的合成Synthesis of Azide 14bo

叠氮化物14bo由1-p-甲苯基-乙酰甲苯根据上述14bd的制备法合成。Azide 14bo was synthesized from 1-p-tolyl-acetyltoluene following the preparation of 14bd above.

叠氮化合物14cm的合成Synthesis of Azide 14cm

叠氮化物14cm由4-二甲基氨基磺酰基甲苯根据上述14bd的制备法合成。Azide 14cm was synthesized from 4-dimethylaminosulfonyltoluene following the preparation of 14bd above.

叠氮化合物14cn的合成Synthesis of Azide Compound 14cn

叠氮化物14cn由4-甲基氨基磺酰基甲苯根据上述14bd的制备法合成。Azide 14cn was synthesized from 4-methylaminosulfonyltoluene following the preparation of 14bd above.

叠氮化合物14cr的合成Synthesis of azide compound 14cr

叠氮化物14cn由3-(2-氟代-4-甲基-苯基)-5-羟甲基-羟基保泰松-2-1根据上述14bd的制备法合成。Azide 14cn was synthesized from 3-(2-fluoro-4-methyl-phenyl)-5-hydroxymethyl-hydroxybutazone-2-1 according to the preparation of 14bd above.

叠氮化合物14cp的合成Synthesis of Azide 14cp

叠氮化物14cp由N-[3-(2-氟代-4-甲基-苯基)-2-含氧-羟基保泰松-5-一甲基]-乙酰唑胺根据上述14bd的制备法合成。Azide 14cp was prepared from N-[3-(2-fluoro-4-methyl-phenyl)-2-oxo-hydroxybutazone-5-monomethyl]-acetazolamide according to the procedure of 14bd above synthetic method.

叠氮化合物14bl的合成Synthesis of azide compound 14bl

叠氮化物14bl由3-甲氧-4-亚磺酰氨基甲苯根据上述14bd的制备法合成。Azide 14bl was synthesized from 3-methoxy-4-sulfonamidotoluene following the preparation of 14bd above.

叠氮化合物14ca的合成Synthesis of azide compound 14ca

叠氮化物14ca由p-甲苯酰胺和N-溴代琥珀酰亚胺与叠氮化钠根据上述14bz的制备法合成。产率40%。Azide 14ca was synthesized from p-toluamide and N-bromosuccinimide with sodium azide following the preparation of 14bz above. Yield 40%.

流程142:叠氮化合物14cb的合成Scheme 142: Synthesis of azide compound 14cb

叠氮化物14cb的合成Synthesis of azide 14cb

将甲磺酰氯(1.7毫升,22毫摩尔)在0℃下,加入到含有4-氨基苯乙基乙醇(1.37克,10毫升)和Et3N(2.5克,25毫摩尔)的CH2CL2(20毫升)中。将反应混合液在0℃下持续搅拌2小时,再将反应混合物用盐水冲洗,MgSO4干燥并浓缩得到69b(2.6克,产率89%)。Methanesulfonyl chloride (1.7 mL, 22 mmol) was added to CH2Cl containing 4-aminophenethylethanol (1.37 g, 10 mL) andEt3N (2.5 g, 25 mmol) at0 °C2 (20ml). The reaction mixture was continuously stirred at 0° C. for 2 h, then the reaction mixture was washed with brine, dried over MgSO4 and concentrated to give 69b (2.6 g, 89% yield).

叠氮化物14cb由二-敏使朗69b和叠氮化钠根据上述14bd的制备法合成。产率90%。The azide 14cb was synthesized from di-sensitron 69b and sodium azide following the preparation of 14bd above. Yield 90%.

叠氮化14cq的合成Synthesis of azide 14cq

叠氮化14cq由乙酸3-[2-氟代-4-(2-(羟基-乙基)-苯基)-2-含氧-羟基保泰松-5-一甲酯通过前述叠氮化物14cb的制备法合成。Azidation of 14cq from 3-[2-fluoro-4-(2-(hydroxy-ethyl)-phenyl)-2-oxy-hydroxybutazone-5-monomethyl acetate via the aforementioned azide The preparative synthesis of 14cb.

叠氮化14cs由4-溴代甲基苯基乙酸通过流程143的方法合成。Azide 14cs was synthesized from 4-bromomethylphenylacetic acid by the method of Scheme 143.

流程143:叠氮化物14cs的合成Scheme 143: Synthesis of azide 14cs

Figure A20058001353203151
Figure A20058001353203151

叠氮化14cs的合成Synthesis of azide 14cs

4-溴代甲基苯基乙酸(1.15克,5毫摩尔)与NaBH4,BF3-OEt在合成叠氮化物14b的条件下反应。粗p-溴代甲基苯基乙醇与炔丙基胺盐酸化物(0.85克,9.3毫摩尔)在室温下的Hunig’s基质中反应2小时。将反应混合物浓缩并将粗的剩余物溶解在2∶1TF水混和液(30毫升)中,然后与t-丁氧基羰基(Boc)酐(1.1克)和K2CO3反应12小时。反应混合物在水和EtOAc中分段,干燥有机层,过滤并浓缩后得到剩余物,将剩余物通过TLC纯化(15∶1∶0.1CH2CL2∶MeOH∶NH4OH洗提)得到0.89克中间产品13cs。炔烃13cs(0.62克,2.15毫摩尔)通过与叠氮化钠和NHCL在前述14dp的合成条件下反应成为相应的三氮唑。三氮唑与甲磺酰氯和叠氮化物在下述合成14dx的条件下合成无色油状叠氮化14cs。4-Bromomethylphenylacetic acid (1.15 g, 5 mmol) was reacted with NaBH4 , BF3-OEt under conditions for the synthesis of azide 14b. Crude p-bromomethylphenylethanol was reacted with propargylamine hydrochloride (0.85 g, 9.3 mmol) in Hunig's matrix at room temperature for 2 hours. The reaction mixture was concentrated and the crude residue was dissolved in 2: 1 TF water mixture (30 mL), then reacted with t-butoxycarbonyl (Boc) anhydride (1.1 g) andK2CO3 for 12 h. The reaction mixture was partitioned between water and EtOAc, the organic layer was dried, filtered and concentrated to give a residue which was purified by TLC (15:1:0.1 CH2CL2:MeOH :NH4OH eluting) to give 0.89 g Intermediate 13cs. Alkyne 13cs (0.62 g, 2.15 mmol) was converted to the corresponding triazole by reaction with sodium azide and NHCL under the conditions described above for the synthesis of 14dp. Triazole, methanesulfonyl chloride and azide were used to synthesize colorless oily azide 14cs under the following conditions for the synthesis of 14dx.

叠氮化物14o-14r由相应的异氰酸苯酯与2-溴代乙醇通过叠氮化合物的离子取代而合成。叠氮化14o的典型制备过程见后。Azides 14o-14r were synthesized from the corresponding phenylisocyanate and 2-bromoethanol by ion substitution of azide compounds. A typical preparation of 14o azide is given below.

流程144Process 144

Figure A20058001353203161
Figure A20058001353203161

叠氮化14o的合成Synthesis of 14o Azide

在经过搅拌的含有3-氟代异氰酸苯酯(2克,14.6毫摩尔)的甲苯中加入溴代乙醇(2毫升,29.2毫摩尔)。将反应混合物加热回流7小时。再用乙醚(100毫升)洗提,并用水(3×100毫升)冲洗。经有机萃取,干燥,过滤浓缩后将剩余物溶解在DMF(30毫升)中。加入NaN3(2.5克,30.5毫摩尔)并将反应混合物在70℃下搅拌4小时。反应混合物在乙醚和水中分层。有机层被分离出来并用水(3×100毫升)冲洗,然后干燥并浓缩。粗产品经硅胶色谱法纯化(用9∶1的Hexane EtOAc洗提)得到白色固体14o(2.4克)。To stirred toluene containing 3-fluoroisocyanate (2 g, 14.6 mmol) was added bromoethanol (2 mL, 29.2 mmol). The reaction mixture was heated to reflux for 7 hours. It was extracted with ether (100 mL) and washed with water (3 x 100 mL). After organic extraction, drying, filtration and concentration, the residue was dissolved in DMF (30 mL).NaN3 (2.5 g, 30.5 mmol) was added and the reaction mixture was stirred at 70 °C for 4 hours. The reaction mixture was partitioned between ether and water. The organic layer was separated and washed with water (3 x 100 mL), then dried and concentrated. The crude product was purified by silica gel chromatography (eluting with 9:1 Hexane EtOAc) to give 14o (2.4 g) as a white solid.

叠氮化物14p,14q,14r由相应的异氰酸盐在与叠氮化物14o相同的条件下合成。Azides 14p, 14q, 14r were synthesized from the corresponding isocyanates under the same conditions as azide 14o.

叠氮化14ar由4-(2-溴代乙烷基)苯甲酸通过流程145所述的方式合成。Azide 14ar was synthesized from 4-(2-bromoethyl)benzoic acid in the manner described in Scheme 145.

流程145:叠氮化物14ar的合成Scheme 145: Synthesis of azide 14ar

叠氮化物14ar的合成Synthesis of azide 14ar

将含有4-(2-溴代乙烷基)苯甲酸(1.0克,4.40毫摩尔)和叠氮化钠(0.72克,11.0毫摩尔)的DMF(10毫升)加热到80℃并搅拌12小时。蒸发溶液后剩余物为悬浊液,在冷水中(40毫升)滴入少量醋酸使之酸化。将悬浊液过滤,剩余物用冷水(40毫升)冲洗,滴入少量醋酸使之酸化,并在40℃的真空中干燥得到白色固体羧酸(0.8克,95%)(Rf=0.51,EtOAc/Hexanes/MeOH4∶1∶0.02)。4-(2-Bromoethyl)benzoic acid (1.0 g, 4.40 mmol) and sodium azide (0.72 g, 11.0 mmol) in DMF (10 mL) was heated to 80 °C and stirred for 12 h . After evaporating the solution, the residue was a suspension, which was acidified by adding a small amount of acetic acid dropwise in cold water (40 ml). The suspension was filtered, the residue was rinsed with cold water (40 mL), acidified by adding a small amount of acetic acid dropwise, and dried in vacuo at 40 °C to give the carboxylic acid (0.8 g, 95%) as a white solid (Rf = 0.51, EtOAc /Hexanes/MeOH 4:1:0.02).

在0℃下将含有该羧酸(0.70克,3.87毫摩尔)的THF(8毫升)水溶液中加入1M BH3THF(12毫升,12.0毫摩尔)。在0℃下搅拌2小时后将反应混合物加热到室温。将反应混合物在室温下搅拌14小时。TLC(用水合茚三酮染剂显像)显示叠氮化合物还原的发生。再加入NaBH4(0.46克,12毫摩尔)和BF3:OEt2(1.6毫升,12毫摩尔)并持续搅拌18小时来确保叠氮化物的完全的还原。多余的三氟化硼醚合物被乙醇消耗,然后将混合物过滤。将滤液蒸发后的到半固体。粗产品再与新配置的三氟化叠氮化物(12毫升)通过叠氮化物14s的合成法反应。粗产品在硅胶上纯化,用2∶3的EtOAc/Hexane洗提,得到干净的油状4-(2-叠氮基乙基)-苯基醇(0.56克,82%)(Rf=0.53,EtOAc/Hexanes2∶3)。To an aqueous THF (8 mL) solution containing the carboxylic acid (0.70 g, 3.87 mmol) was added 1MBH3THF (12 mL, 12.0 mmol) at 0°C. After stirring at 0°C for 2 hours the reaction mixture was allowed to warm to room temperature. The reaction mixture was stirred at room temperature for 14 hours. TLC (visualized with ninhydrin stain) showed that azide reduction occurred. Additional NaBH4 (0.46 g, 12 mmol) and BF3 :OEt2 (1.6 mL, 12 mmol) were added and stirring was continued for 18 hours to ensure complete reduction of the azide. Excess boron trifluoride etherate was consumed with ethanol, and the mixture was filtered. The filtrate was evaporated to a semi-solid. The crude product was then reacted with fresh azide trifluoride (12 mL) via the azide 14s synthesis. The crude product was purified on silica gel with 2:3 EtOAc/Hexane to give 4-(2-azidoethyl)-phenyl alcohol (0.56 g, 82%) as a clean oil (Rf = 0.53, EtOAc /Hexanes2:3).

将含有叠氮基醇(0.40克,2.26毫摩尔)和Dess-Martin试剂(1.25克,2.93毫摩尔)的CH2CL2(15毫升)在室温下搅拌过夜。将反应混合物用10%Na2S2O3∶饱和NaHCO3(1∶1)(30毫升)冷却,加入CH2CL2(30毫升)使两层分离。有机层用10%的Na2S2O3∶NaHCO3(1∶1)(2×30毫升),饱和NaHCO3(2×30毫升)冲洗,NaSO4干燥。将滤液蒸发后剩余物通过在硅胶上纯化,用1∶6的EtOAc/Hexane洗提,得到干净的油状4-(2-叠氮基乙基)-苯基醇(0.23克,58%)(Rf=0.46,EtOAc/Hexanes 1∶4)。CH2Cl2 (15 mL) containing azido alcohol (0.40 g, 2.26 mmol) and Dess-Martin reagent (1.25 g, 2.93 mmol) was stirred overnight at room temperature. The reaction mixture was cooled with 10%Na2S2O3: sat.NaHCO3 (1: 1) (30 mL) andCH2CL2 (30 mL) was added to separate the two layers. The organic layer was washed with 10% Na2 S2 O3 :NaHCO3 (1:1) (2×30 mL), saturated NaHCO3 (2×30 mL), and dried over NaSO4 . After evaporation of the filtrate the residue was purified by silica gel eluting with 1:6 EtOAc/Hexane to give 4-(2-azidoethyl)-phenyl alcohol (0.23 g, 58%) as a clean oil ( Rf = 0.46, EtOAc/Hexanes 1:4).

将含有叠氮基乙醛(0.23克,1.31毫摩尔)和3-氟丙基胺盐酸化物(0.25克,2.20毫摩尔)的DMF(4毫升)和THF(10毫升)在室温下搅拌30分钟。加入NaBH(Oac)3(0.51克,2.40毫摩尔),在室温下继续搅拌18小时。加入MeOH(20毫升),将混悬液过滤,将滤液蒸发后得到油状剩余物。剩余物在含有10%MeOH的CH2CL2(40毫升)和水(25毫升)中分层,有机层通过NaSO4干燥。将滤液蒸发后剩余物通过TLC(2000微米片)纯化,用18∶1的CH2CL2/MeOH(2N NH3)洗提,得到黄色油状叠氮化14ar(0.077克,25%)(Rf=0.34,CH2CL2/MeOH(2NNH3)18∶1)。MS(ESI)M/E;M+H+237.0。Azidoacetaldehyde (0.23 g, 1.31 mmol) and 3-fluoropropylamine hydrochloride (0.25 g, 2.20 mmol) in DMF (4 mL) and THF (10 mL) were stirred at room temperature for 30 min . NaBH(Oac)3 (0.51 g, 2.40 mmol) was added and stirring was continued at room temperature for 18 hours. MeOH (20 mL) was added and the suspension was filtered to give an oily residue after evaporation of the filtrate. The residue was partitioned betweenCH2Cl2 (40 mL) containing 10%MeOH and water (25 mL), and the organic layer was dried overNaSO4 . After evaporation of the filtrate the residue was purified by TLC (2000 micron plate) eluting with 18:1CH2CL2 /MeOH (2NNH3 ) to give 14ar azide (0.077 g, 25%) as a yellow oil (Rf =0.34, CH2 Cl2 /MeOH(2NNH3 ) 18:1). MS (ESI) M/E; M+H+ 237.0.

流程146:叠氮化物14dt和14cz的合成Scheme 146: Synthesis of azides 14dt and 14cz

Figure A20058001353203191
Figure A20058001353203191

醇70的合成Synthesis of Alcohol 70

在含有氯霉素(6.26克,20毫摩尔)和氯化叔丁基二甲基甲硅烷(3.32克,22毫摩尔)的CH2CL2(40毫升)中加入咪唑(1.70克,25毫摩尔)。在室温下搅拌4小时,将反应混合物用饱和NaHCO3溶液冷却。有机层用盐水冲洗,无水MgSO4干燥并在减压下浓缩。通过快速色谱法纯化(硅胶,己烷∶醋酸乙酯/6∶1),得到8.85克白色晶体70,产率96%。To CH2 Cl2 (40 mL) containing chloramphenicol (6.26 g, 20 mmol) and tert-butyldimethylsilyl chloride (3.32 g, 22 mmol) was added imidazole (1.70 g, 25 mmol Moore). After stirring at room temperature for 4 hours, the reaction mixture was cooled with saturated NaHCO3 solution. The organic layer was washed with brine, dried over anhydrousMgSO4 and concentrated under reduced pressure. Purification by flash chromatography (silica gel, hexane:ethyl acetate/6:1) afforded 8.85 g of white crystals of 70, 96% yield.

敏使朗71的合成Synthesis of Minshilang 71

在0℃下,将氯化甲磺酸(0.32克,2.75毫摩尔)滴入含有溶液70(1.09克,2.5毫摩尔)和Et3N(0.51克,5.0毫摩尔)的CH2CL2溶液(5毫升)中。将反应混合物在0℃下持续搅拌2小时并在室温下搅拌12小时。溶液在减压下被除去,剩余物溶解在EtOAc中。EtOAc溶液用盐水冲洗,无水MgSO4干燥并在减压下浓缩,得到1.22克浅黄色油71,产率95%。Methanesulfonic acid chloride (0.32 g, 2.75 mmol) was added dropwise to a CH2Cl2 solution containing solution 70 (1.09 g, 2.5 mmol) andEt3N (0.51 g, 5.0 mmol) at0° C (5 ml). The reaction mixture was continuously stirred at 0°C for 2 hours and at room temperature for 12 hours. The solution was removed under reduced pressure and the residue was dissolved in EtOAc. The EtOAc solution was washed with brine, dried over anhydrousMgSO4 and concentrated under reduced pressure to afford 1.22 g of pale yellow oil 71 in 95% yield.

叠氮化合物14dt合成Synthesis of Azide 14dt

将含有敏使朗71(1.32克,2.5毫摩尔)和叠氮化钠(0.65克,10毫摩尔)的DMF混合溶液(5毫升)在50-60℃下搅拌5小时。将反应混合物用水冷却。溶液通过EtOAc萃取,盐水冲洗,无水MgSO4干燥并在真空中浓缩。粗产品通过色谱法纯化(硅胶,己烷∶醋酸乙酯/15∶1),得到0.75克浅黄色油53,产率65%。MS(ESI)m/e 460(M-H)+A DMF mixed solution (5 mL) containing Minsiron 71 (1.32 g, 2.5 mmol) and sodium azide (0.65 g, 10 mmol) was stirred at 50-60° C. for 5 hours. The reaction mixture was cooled with water. The solution was extracted by EtOAc, washed with brine, dried over anhydrousMgSO4 and concentrated in vacuo. The crude product was purified by chromatography (silica gel, hexane:ethyl acetate/15:1) to afford 0.75 g of pale yellow oil 53, 65% yield. MS (ESI) m/e 460 (MH)+ .

醋酸盐72的合成Synthesis of Acetate 72

在0℃下,将三乙胺(2.5毫升,17.9毫摩尔)加入到含有溶液70(3.3克,7.6毫摩尔),无水醋酸(2.4克,23.3毫摩尔)和4-二甲基氨基吡啶(60毫克,0.49毫摩尔)的CH2CL2(30毫升)中。在相同温度下搅拌2小时后,将反应混合物用CH2CL2稀释,饱和NaHCO3冲洗,无水MgSO4干燥并浓缩。快色色谱法纯化(硅胶,己烷∶醋酸乙酯/6∶1),得到3.4克白色晶状粗产品73,产率94%。At 0 °C, triethylamine (2.5 mL, 17.9 mmol) was added to a solution containing 70 (3.3 g, 7.6 mmol), anhydrous acetic acid (2.4 g, 23.3 mmol) and 4-dimethylaminopyridine (60 mg, 0.49 mmol) in CH2 Cl2 (30 mL). After stirring at the same temperature for 2 h, the reaction mixture was diluted withCH2Cl2 , washedwith saturatedNaHCO3 , dried with anhydrousMgSO4 and concentrated. Purification by flash chromatography (silica gel, hexane:ethyl acetate/6:1) afforded 3.4 g of crude product 73 as white crystals, yield 94%.

醇73的合成Synthesis of Alcohol 73

在含有溶液72(3.59克,7.5毫摩尔)的THF(50毫升)溶液中加入含有1.0M TBAF的THF(7.5毫克,7.5毫摩尔)。在室温的氩气下搅拌2小时。蒸发溶液并减压下浓缩,剩余物溶解在EtOAc中并用盐水冲洗。有机层用无水MgSO4干燥,浓缩,通过色谱法纯化(硅胶,己烷∶醋酸乙酯/4∶1),得到2.40克浅黄色油73,产率88%。To a solution of solution 72 (3.59 g, 7.5 mmol) in THF (50 mL) was added 1.0 M TBAF in THF (7.5 mg, 7.5 mmol). Stir at room temperature under argon for 2 hours. The solution was evaporated and concentrated under reduced pressure, the residue was dissolved in EtOAc and washed with brine. The organic layer was dried over anhydrous MgSO4 , concentrated, and purified by chromatography (silica gel, hexane:ethyl acetate/4:1) to afford 2.40 g of pale yellow oil 73, 88% yield.

敏使朗74的合成Synthesis of Minshilang 74

在0℃下,将三乙胺(1.8毫升,12.7毫摩尔)加入到含有溶液73(2.32克,6.36毫摩尔)和甲磺酰氯(0.8克,7.0毫摩尔)的CH2CL2(30毫升)中。在相同温度下搅拌2小时后,将溶液在减压下除去,剩余物溶解在EtOAc中并用盐水冲洗。有机层用无水MgSO4干燥,减压浓缩,得到2.8克浅黄色油74,产率99%。Triethylamine (1.8 mL, 12.7 mmol) was added to solution 73 (2.32 g, 6.36 mmol) and methanesulfonyl chloride (0.8 g, 7.0 mmol) in CH2 Cl2 (30 mL) at 0°C. )middle. After stirring at the same temperature for 2 hours, the solution was removed under reduced pressure, and the residue was dissolved in EtOAc and washed with brine. The organic layer was dried over anhydrousMgSO4 and concentrated under reduced pressure to obtain 2.8 g of light yellow oil 74 in 99% yield.

叠氮化物14cz的合成Synthesis of Azide 14cz

将含有敏使朗74(3.0克,6.8毫摩尔)和叠氮化钠(1.76克,27.1毫摩尔)的DMF混合溶液(15毫升)在60℃下的氩气中搅拌2小时。将反应混合物用水冷却,溶液通过EtOAc稀释。有机层用盐水冲洗,无水MgSO4干燥,并通过色谱法纯化(硅胶,己烷∶醋酸乙酯/4∶1),得到1.65克浅黄色固体57,产率63%。MS(ESI)m/e 388(M-H)+A DMF mixed solution (15 mL) containing Sentinel 74 (3.0 g, 6.8 mmol) and sodium azide (1.76 g, 27.1 mmol) was stirred at 60° C. under argon for 2 hours. The reaction mixture was cooled with water and the solution was diluted with EtOAc. The organic layer was washed with brine, dried over anhydrous MgSO4 , and purified by chromatography (silica gel, hexane:ethyl acetate/4:1) to afford 1.65 g of pale yellow solid 57, 63% yield. MS (ESI) m/e 388 (MH)+ .

叠氮化物14cx的合成Synthesis of azide 14cx

该叠氮化物的通过专利申请WO2004029066A3描述的方法合成。The azide was synthesized by the method described in patent application WO2004029066A3.

大多数表11所示的叠氮化物,包括那些合成的细节并没有被当前的文本所描述的,都是根据已知的过程采用前述方案的反应合成的。对每一种叠氮化物的特殊的合成方法由可以商业获得的原料决定。当可能的叠氮化物的生成是通过相应的溴代烷基与叠氮化离子的直接置换的取代时,所采用的方法就是下述叠氮化物14c的合成的实施例。当所需的溴代烷基不是容易获得的,该化合物就由取代的链烯醇类衍生而来:为了达到这一目的,醇首先作为它们的磺酰基酯的衍生物然后被叠氮化离子取代。这一过程由下述叠氮化物14dx的合成作为示例。如果所需要的溴化物或链烯醇类均不是商业可获得的,则由相应的羧酸与硼氢化物还原成相应的醇,所得到的链烯醇再通过上述方法处理以得到所述叠氮化物。试验人员通过下述的化合物14b的实施例来实现从羧酸到叠氮化物的转化。最后,表11所示的某些叠氮化物是由相应的烷基胺与叠氮三氟甲磺酸取代反应而合成的。这一过程的实施例提供了下述叠氮化物14w的合成。Most of the azides shown in Table 11, including those whose synthetic details are not described in the current text, were synthesized according to known procedures using the reactions of the preceding schemes. The specific synthesis method for each azide is determined by commercially available starting materials. When the possible azide formation is substitution by direct displacement of the corresponding bromoalkyl group with the azide ion, the method employed is the example for the synthesis of azide 14c described below. When the desired bromoalkyl group is not readily available, the compound is derived from substituted alkenols: to achieve this, the alcohols are first derived as their sulfonyl esters and then the azide ion replace. This procedure is exemplified by the synthesis of azide 14dx described below. If neither the desired bromide nor the alkenol is commercially available, the corresponding carboxylic acid and borohydride are reduced to the corresponding alcohol, and the resulting alkenol is then treated as described above to obtain the alkene nitride. The experimenter realized the transformation from carboxylic acid to azide by following the example of compound 14b. Finally, some of the azides shown in Table 11 were synthesized by substitution of the corresponding alkylamines with azidotrifluoromethanesulfonic acid. An example of this procedure is provided below for the synthesis of azide 14w.

流程147。叠氮化物14c,14dx,14d和14w的合成。Process 147. Synthesis of azides 14c, 14dx, 14d and 14w.

叠氮化14c的合成Synthesis of azide 14c

在含有4-溴代甲磺酰苯(1克,4.0毫摩尔)的DMF溶液(20毫升)中加入NaN3(0.52克,8.0毫摩尔)。将混合物在室温下搅拌1小时,然后倒入200毫升1∶1的水-乙醚混合物。水层分离并用乙醚(2×50毫升)萃取,将混合物有机萃取液用MgSO4干燥,在减压下浓缩后得到粗产品。通过硅胶色谱法纯化(用30%的EtOAc己烷洗提),得到纯的叠氮化白色固体(0.52克,2.5毫摩尔)。To a DMF solution (20 mL) containing 4-bromomethanesulfonylbenzene (1 g, 4.0 mmol) was addedNaN3 (0.52 g, 8.0 mmol). The mixture was stirred at room temperature for 1 hour, then poured into 200 ml of a 1:1 water-ether mixture. The aqueous layer was separated and extracted with ether (2 x 50 mL), the organic extract of the mixture was dried over MgSO4 and concentrated under reduced pressure to give crude product. Purification by silica gel chromatography (eluting with 30% EtOAc in hexanes) afforded pure azide as a white solid (0.52 g, 2.5 mmol).

叠氮化14dx的合成Synthesis of azidated 14dx

在含有2-(2-羟乙基)吡啶(2克,16.2毫摩尔)和二异丙基乙胺(5.6毫升,32.4毫克)的CH2CL2溶液(40毫升)中,在0℃下加入甲磺酰氯(1.4毫升,17.8毫摩尔)。将混合物加热到室温并搅拌3小时,然后用水冷却,并用CH2CL2(30毫升)稀释。有机层用NaHCO3(2×50毫升)冲洗,用MgSO4干燥,在减压下浓缩后得到3.2克粗的敏使朗。该敏使朗通过与水杨酸乙酯的溴代乙醚合成14dw相同的方法转化成叠氮化14dx。InCH2CL2 solution (40 mL) containing 2-(2-hydroxyethyl)pyridine (2 g, 16.2 mmol) and diisopropylethylamine (5.6 mL, 32.4 mg) at 0 °C Methanesulfonyl chloride (1.4 mL, 17.8 mmol) was added. The mixture was warmedto room temperature and stirred for 3 hours, then cooled with water and diluted withCH2Cl2 (30 mL). The organic layer was washed with NaHCO3 (2×50 mL), dried over MgSO4 , and concentrated under reduced pressure to give 3.2 g of crude minzilan. This sensitization was converted to azidated 14dx by the same method as 14dw was synthesized from the bromoether of ethyl salicylate.

叠氮化14d的合成Synthesis of azide 14d

在含有4-甲磺酰苯基乙酸(1克,4.7毫摩尔)的THF(25毫升)溶液中加入NaBH4(0.54克,14.1毫摩尔),5分钟后加入BF3·OEt(2.4毫升,18.8毫摩尔),将反应混合物在室温下搅拌16小时。然后将混合物用MeOH冷却,过滤并在真空中浓缩,然后在CH2CL2中形成悬浊液。将固体过滤,干燥,并再次在CH2CL2(10毫升)中形成悬浊液。加入三乙胺(1.3毫升,9.4毫摩尔),随后加入MsMCL(0.6毫升,7.0毫摩尔)。4小时后加入三乙胺(1.3毫升,9.4毫摩尔),随后加入MsMCL(0.6毫升,7.0毫摩尔),并继续搅拌16小时。反应混合物用CH2CL2(50毫升)稀释,再用饱和NaCO3和盐水冲洗,用MgSO4干燥,过滤并浓缩。To a solution of 4-methanesulfonylphenylacetic acid (1 g, 4.7 mmol) in THF (25 mL) was added NaBH4 (0.54 g, 14.1 mmol), followed by BF3 ·OEt (2.4 mL, 18.8 mmol), and the reaction mixture was stirred at room temperature for 16 hours. Themixture was then cooled with MeOH, filtered and concentrated in vacuo, then suspended inCH2Cl2 . The solid was filtered, dried, andresuspended inCH2Cl2 (10 mL). Triethylamine (1.3 mL, 9.4 mmol) was added followed by MsMCL (0.6 mL, 7.0 mmol). After 4 hours triethylamine (1.3 mL, 9.4 mmol) was added followed by MsMCL (0.6 mL, 7.0 mmol) and stirring was continued for 16 hours. The reaction mixture was diluted withCH2CL2 (50 mL),washed with saturatedNaCO3 and brine, dried overMgSO4 , filtered and concentrated.

将粗的敏使朗溶解在DMF(10毫升)中,加入NaN3,并将反应混合物在80℃下搅拌2小时。反应混合物在水和乙醚中分层,水层用乙醚(3×30毫升)进一步萃取。混合有机萃取物用盐水(100毫升)萃取,NaSO4干燥,过滤,并浓缩,得到粗产品,通过硅胶色谱法纯化(用40%的EtOAc己烷洗提),得到白色固体14d(0.70克,12毫摩尔)。The crude mintlan was dissolved in DMF (10 mL), NaN3 was added, and the reaction mixture was stirred at 80° C. for 2 h. The reaction mixture was partitioned between water and ether, and the aqueous layer was further extracted with ether (3 x 30 mL). The combined organic extracts were extracted with brine (100 mL), dried over NaSO4 , filtered, and concentrated to give the crude product, which was purified by silica gel chromatography (eluting with 40% EtOAc in hexanes) to give 14d as a white solid (0.70 g, 12 mmol).

在表11的少数例子中,叠氮化物的合成是由其他叠氮化物的变形通过上述的合成方法而制备:In the few examples in Table 11, azides were synthesized from modifications of other azides by the synthetic methods described above:

流程148Process 148

Figure A20058001353203241
Figure A20058001353203241

叠氮化物14bp通过叠氮化物14bo的合成:Synthesis of azide 14bp via azide 14bo:

在含有叠氮化物14bo(0.18克,1毫摩尔)的MeOH溶液中加入HONH2·HCL(0.35克,5毫摩尔)和三乙胺(0.35毫升,2.5毫摩尔)。将混合物回流8小时,然后用EtOAc稀释,水和盐水冲洗。有机萃取液用NaSO4干燥,过滤,并浓缩得到白色固体14bp(180毫克)。To a solution of azide 14bo (0.18 g, 1 mmol) in MeOH was addedHONH2 -HCl (0.35 g, 5 mmol) and triethylamine (0.35 mL, 2.5 mmol). The mixture was refluxed for 8 hours, then diluted with EtOAc, washed with water and brine. The organic extract was dried over NaSO4 , filtered, and concentrated to give 14bp (180 mg) as a white solid.

叠氮化物14bn通过叠氮化物14bk的合成:Synthesis of azide 14bn via azide 14bk:

叠氮化物14bn由14bk通过叠氮化物14bp的合成过程制备。Azide 14bn was prepared from 14bk by the synthetic procedure of azide 14bp.

流程149Process 149

Figure A20058001353203242
Figure A20058001353203242

叠氮化物14bt通过叠氮化物14bq的合成:Synthesis of azide 14bt via azide 14bq:

在-78℃下边搅拌边在含有叠氮化物14bt(111毫克,0.5毫摩尔)的CH2CL2溶液中加入三氟化(二乙基氨基磺胺二甲噁唑(DAST)(0.1毫升,0.82毫摩尔),将混合物在-78℃下搅拌2小时,然后加热到室温并搅拌14小时。将反应混合物倒入水中并用CH2CL2萃取。将有机萃取液用NaSO4干燥,过滤,并浓缩得到固体14bq(36毫克,0.16毫摩尔)。To a CH2 Cl2 solution containing azide 14bt (111 mg, 0.5 mmol) was added (diethylsulfamethoxazole (DAST) (0.1 mL, 0.82 mmol), the mixture was stirred at -78 °C for 2 hours, then warmed to room temperature and stirred for 14 hours. The reaction mixture was poured into water and extracted withCH2Cl2 . The organic extract was dried overNaSO4 ,filtered , and concentrated 14bq was obtained as a solid (36 mg, 0.16 mmol).

流程150Process 150

叠氮化物14ct通过叠氮化物14cs的合成:Synthesis of azide 14ct via azide 14cs:

边搅拌边在含有叠氮化物14ct(0.21克)的CH2CL2溶液(10毫升)中加入含4M HCL的1,4-二噁烷(2毫升),将混合物在室温下搅拌10小时,将反应混合物在减压下浓缩得到盐酸盐白色固体叠氮化14cz(0.15克)。1,4-Dioxane (2 mL) containing4M HCl was added to a CH2Cl2 solution (10 mL) containing azide 14 g (0.21 g) while stirring, and the mixture was stirred at room temperature for 10 hours. The reaction mixture was concentrated under reduced pressure to give the hydrochloride salt of 14cz azide as a white solid (0.15 g).

流程151Process 151

Figure A20058001353203252
Figure A20058001353203252

14ah通过14ag的合成:14ah through the synthesis of 14ag:

含有叠氮化物14ah(0.27克,1.1毫摩尔)的CH2CL2溶液(15毫升)中加入mCPBA(1.10克,4.5毫摩尔),将混合物在室温下搅拌过夜,蒸发溶液并将所得的粗产品用硅胶纯化,用CH2CL2/MeOH20∶1到15∶1到12∶1洗提,得到无色浆糊状,通过静置可凝固的叠氮化14ag(0.26克,87%)。To a solution of azide 14ah (0.27 g, 1.1 mmol) inCH2Cl2 (15 mL) was added mCPBA (1.10 g, 4.5 mmol),the mixture was stirred at room temperature overnight, the solution was evaporated and the resulting crude The product was purified on silica gel eluting withCH2CL2 /MeOH20 :1 to 15:1 to 12:1 to give azide 14ag (0.26 g, 87%) as a colorless paste which solidified on standing.

实施例11化合物601-630的合成The synthesis of embodiment 11 compound 601-630

表12Table 12

Figure A20058001353203271
Figure A20058001353203271

Figure A20058001353203281
Figure A20058001353203281

Figure A20058001353203291
Figure A20058001353203291

Figure A20058001353203301
Figure A20058001353203301

化合物601的合成Synthesis of Compound 601

化合物601由流程152的方法合成。实施例3的胺30根据US专利6,124,269记载的过程制备得到2-氟胺30a。然后与甲苯磺酸盐11在实施例3的条件下发生烷基化反应得到氟代胺31a。该化合物与叠氮化14bd通过实施例1的过程得到化合物601。Compound 601 was synthesized by the method of Scheme 152. Amine 30 of Example 3 was prepared according to the process described in US Patent No. 6,124,269 to obtain 2-fluoroamine 30a. Then it undergoes alkylation reaction with tosylate 11 under the conditions of Example 3 to obtain fluoroamine 31a. Compound 601 was obtained by aziding 14bd with this compound through the procedure of Example 1.

流程152Process 152

Figure A20058001353203302
Figure A20058001353203302

化合物602由实施例1的化合物122和碳酸次乙酯通过流程153的方法合成。Compound 602 was synthesized from compound 122 of Example 1 and ethylene carbonate by the method of scheme 153.

流程153Process 153

Figure A20058001353203311
Figure A20058001353203311

化合物602的合成Synthesis of Compound 602

将含有122(0.1克,0.1毫摩尔)的苯酚溶液(5毫升)中加入K2CO3(0.2克)和碳酸次乙酯。将反应混合物加热回流12小时然后在水和乙醚中分层。将乙醚层用K2CO3干燥,过滤,浓缩得到0.28克油状剩余物,进一步通过硅胶色谱法纯化(2%的methanolic ammonia洗提)(2M NH3),得到0.1克白色固体601。MS(ESI)m/e 513.2(M+2H)2+To a phenol solution (5 mL) containing 122 (0.1 g, 0.1 mmol) was addedK2CO3 (0.2 g) and ethylene carbonate. The reaction mixture was heated to reflux for 12 hours then partitioned between water and ether. The ether layer was dried overK2CO3 , filtered and concentrated to give 0.28 g of an oily residue, which was further purified by silica gel chromatography (2% methanolic ammonia) (2MNH3 ) to give 0.1g of 601 as a white solid. MS (ESI) m/e 513.2 (M+2H)2+ .

化合物609的合成Synthesis of Compound 609

流程154Process 154

Figure A20058001353203312
Figure A20058001353203312

将含有N-去甲基阿奇霉素2(0.1克,0.136毫摩尔),敏使朗(0.067克,0.15毫摩尔)和Hunig’s基质(1毫升)的DMF溶液(1毫升)加热到70℃12小时。将反应混合物浓缩并通过硅胶色谱法纯化(CH2CL2-MeOH-NH4OH=20∶1∶0.05)得到0.055克609(38%)。MS(ESI)m/z 1086(M+H)+,544(M+2H)+A DMF solution (1 mL) containing N-desmethylazithromycin 2 (0.1 g, 0.136 mmol), mitran (0.067 g, 0.15 mmol) and Hunig's matrix (1 mL) was heated to 70°C for 12 hours. The reaction mixture was concentrated and purified by silica gel chromatography (CH2CL2- MeOH-NH4OH =20:1:0.05) to give 0.055 g of 609 (38%). MS (ESI) m/z 1086 (M+H)+ , 544 (M+2H)+ .

化合物610的合成Synthesis of Compound 610

流程155Process 155

Figure A20058001353203321
Figure A20058001353203321

将含有酰基咪唑75(0.74克,1.0毫摩尔)的乙腈(2毫升)和水(3毫升)混合溶液与一水合肼(0.50毫升,10毫摩尔)反应,并在50℃下搅拌1小时。将反应混合物蒸发得到黄色泡沫,然后溶解在甲醇(50毫升)中并加热回流20小时。蒸发溶液并通过快速色谱法纯化(二氧化硅,50-100%醋酸乙酯/己烷)得到白色粉末炔烃碳二酰肼76(0.50克,0.75毫摩尔)。A mixed solution of acetonitrile (2 mL) and water (3 mL) containing acyl imidazole 75 (0.74 g, 1.0 mmol) was reacted with hydrazine monohydrate (0.50 mL, 10 mmol), and stirred at 50°C for 1 hour. The reaction mixture was evaporated to give a yellow foam which was then dissolved in methanol (50 mL) and heated to reflux for 20 hours. The solution was evaporated and purified by flash chromatography (silica, 50-100% ethyl acetate/hexanes) to give alkyne carbodihydrazide 76 (0.50 g, 0.75 mmol) as a white powder.

含有76(0.10克,0.15毫摩尔)的四氢呋喃溶液(3.0毫升)与叠氮化合物14au(62毫克,0.22毫升),二异丙基乙胺(0.080毫升,0.46毫摩尔),和碘化铜(8.0毫克,0.042毫摩尔)反应,同时将反应混合物在23℃下搅拌24小时。将反应混合物用氢氧化铵(30毫升)并用二氯甲烷(3×30毫升)萃取,NaSO4干燥,蒸发。通过薄层色谱法纯化(SiO2,10%甲醇/二氯甲烷,然后乙醚)得到白色固体610(98毫克,0.10毫摩尔):LCMS(ESI)m/e940(M+H)+A THF solution (3.0 mL) containing 76 (0.10 g, 0.15 mmol) was mixed with the azide 14au (62 mg, 0.22 mL), diisopropylethylamine (0.080 mL, 0.46 mmol), and copper iodide ( 8.0 mg, 0.042 mmol) and the reaction mixture was stirred at 23°C for 24 hours. The reaction mixture was extracted with ammonium hydroxide (30 mL) and dichloromethane (3 x 30 mL), dried over NaSO4 and evaporated. Purification by thin layer chromatography (SiO2 , 10% methanol/dichloromethane, then diethyl ether) afforded 610 (98 mg, 0.10 mmol) as a white solid: LCMS (ESI) m/e 940 (M+H)+ .

化合物611的合成Synthesis of Compound 611

方案156说明了三唑611的合成。2-戊烯-4-炔-1-醇被转化为甲苯磺酸盐77,它被用于烷基化胺2以制得炔烃78。炔烃78与叠氮化14w通过环加和反应得到三唑611。Scheme 156 illustrates the synthesis of triazole 611. 2-Penten-4-yn-1-ol was converted to tosylate 77, which was used to alkylate amine 2 to give alkyne 78. Cycloaddition reaction of alkyne 78 with azidation 14w affords triazole 611.

流程156Process 156

甲苯磺酸盐77的合成Synthesis of Tosylate 77

在冰水混合的含有2-戊烯-4-炔-1-醇(0.821克,10毫摩尔)的乙醚溶液(25毫升)中,一边搅拌一边加入氯化p-甲苯磺酰(2.0克,10.5毫摩尔)。过五分钟后加入粉状的KOH(1.0克,17.8毫摩尔)。将黏液在0℃下搅拌45分钟。将反应混合物倒入100毫升水中,用乙醚(2×50毫升)萃取。混合有机萃取液用盐水冲洗,MgSO4干燥,过滤,浓缩得到黄色油77(2.1克,产率98%)。数据To a diethyl ether solution (25 ml) containing 2-penten-4-yn-1-ol (0.821 g, 10 mmol) mixed with ice and water, p-toluenesulfonyl chloride (2.0 g, 10.5 mmol). After five minutes powdered KOH (1.0 g, 17.8 mmol) was added. The slime was stirred at 0 °C for 45 min. The reaction mixture was poured into 100 mL of water and extracted with ether (2 x 50 mL). The combined organic extracts were washed with brine, dried over MgSO4 , filtered, and concentrated to give yellow oil 77 (2.1 g, 98% yield). data

1HNMR(300MHz,CDCl3):δ7.80(d,J=8Hz,2H),7.35(d,J=8Hz,2H),6.12(dt,J=16,6Hz,1H),5.70(ddd,J=16,2,2Hz,1H),4.60-4.50(m,2H),2.95(d,J=2,Hz 1H),2.45(s,3H);13C NMR(75MHz,CDCl3):δ145.1,135.9,132.9,130.0,127.9,113.9,80.3,79.8,69.0,21661 HNMR (300MHz, CDCl3 ): δ7.80(d, J=8Hz, 2H), 7.35(d, J=8Hz, 2H), 6.12(dt, J=16, 6Hz, 1H), 5.70(ddd, J=16, 2, 2Hz, 1H), 4.60-4.50(m, 2H), 2.95(d, J=2, Hz 1H), 2.45(s, 3H);13 C NMR (75MHz, CDCl3 ): δ145 .1, 135.9, 132.9, 130.0, 127.9, 113.9, 80.3, 79.8, 69.0, 2166

烯炔(enyne)78的合成Synthesis of enyne 78

20毫升的管形瓶装入甲苯磺酸盐77(0.20克,0.85毫摩尔)N-去甲基阿奇霉素2(0.5克,0.68毫摩尔),和Hunig’s基质(10毫升),然后通入氩气并密封。将溶液在100℃的油浴中搅拌1小时。冷却到室温,将反应混合物倒入饱和NaHCO3水溶液(50O毫升)并用CH2CL2(3×50毫升)萃取。混合有机萃取液用盐水冲洗,K2CO3干燥,过滤,浓缩得到粘稠的黄色油0.72克。快速硅胶色谱法纯化(25mm ×6”柱,50∶1 CH2CL2/2N NH3的MeOH洗提)得到黄色固体78(0.48克,产率88%)。数据A 20-mL vial was filled with tosylate 77 (0.20 g, 0.85 mmol), N-desmethylazithromycin 2 (0.5 g, 0.68 mmol), and Hunig's matrix (10 mL), then flushed with argon and seal. The solution was stirred in an oil bath at 100°C for 1 hour. After cooling to room temperature, the reaction mixture was poured into saturated aqueous NaHCO3 (500 mL) and extracted with CH2 Cl2 (3×50 mL). The combined organic extracts were washed with brine, dried overK2CO3 , filtered and concentrated to give0.72 g of a viscous yellow oil. Flash chromatography on silica gel (25 mm x 6" column, 50:1CH2CL2 /2NNH3 in MeOH) afforded 78 as a yellow solid (0.48 g, 88% yield). Data

MS(ESI)m/e 400.2(M+2H)2+,799.3(M+H)+,821.2(M+Na)+;1HNMR(300MHz,CDCl3,partial):δ8.00(bs,1H),6.20(dt,J=16,7,Hz,1H),5.70-5.60(m,1H),5.00(d,J=4Hz,1H),4.65(m,1H),4.48(d,J=7Hz,1H),4.28(dd,J=6,2Hz,1H),4.15-3.99(m,1H),3.82(d,J=6Hz,1H),3.65(d,J=7Hz,1H),3.60-3.40(m,1H),3.32(s,3H),3.32-3.20(m,2H),2.32(s,3H),2.26(s,3H),0.86(m,6H);13C NMR(75MHz),CDCl3):δ179.3,144.4,11.8,103.8,96.2,85.1,82.6,79.7,79.0,78.5,77.5,75.7,75.3,74.4,73.8,71.9,71.0,69.4,66.5,65.4,62.9,57.0,50.39,45.9,43.4,42.0,37.6,37.5,35.9,31.8,31.2,28.2,27.7,22.8,22.5,22.2,22.0,19.3,17.1,16.3,12.1,10.3,8.6.MS(ESI) m/e 400.2(M+2H)2+ , 799.3(M+H)+ , 821.2(M+Na)+;1 HNMR(300MHz, CDCl3 , partial): δ8.00(bs, 1H ), 6.20(dt, J=16, 7, Hz, 1H), 5.70-5.60(m, 1H), 5.00(d, J=4Hz, 1H), 4.65(m, 1H), 4.48(d, J= 7Hz, 1H), 4.28(dd, J=6, 2Hz, 1H), 4.15-3.99(m, 1H), 3.82(d, J=6Hz, 1H), 3.65(d, J=7Hz, 1H), 3.60 -3.40(m, 1H), 3.32(s, 3H), 3.32-3.20(m, 2H), 2.32(s, 3H), 2.26(s, 3H), 0.86(m, 6H);13 C NMR (75MHz ), CDCl3 ): δ179.3, 144.4, 11.8, 103.8, 96.2, 85.1, 82.6, 79.7, 79.0, 78.5, 77.5, 75.7, 75.3, 74.4, 73.8, 71.9, 71.0, 69.4, 66.5, 65.4, 62.9, 57.0, 50.39, 45.9, 43.4, 42.0, 37.6, 37.5, 35.9, 31.8, 31.2, 28.2, 27.7, 22.8, 22.5, 22.2, 22.0, 19.3, 17.1, 16.3, 12.1, 10.3, 8.6.

三氮唑611的合成Synthesis of Triazole 611

在含有78(20毫克,25μmol)的THF(100μL)溶液中,一边搅拌一边加入Hunig’s基质(20μL),叠氮化物14au(16毫克,50μmol)和碘化亚铜(2.4毫克,13μmol)。将所得的混合溶液通过交替提供真空和通入氩气除气。将粘稠液在室温下通入氩气并搅拌4小时。再将全部的反应混合物置于快速色谱法的硅胶柱顶端,并用50∶1 CH2CL2/2N NH3的MeOH洗提,得到白色固体三唑611(14毫克,产率50%):MS(ESI)m/z 496.8(M+2H)+,992.3(M+H)+To a solution of 78 (20 mg, 25 μmol) in THF (100 μL), Hunig's matrix (20 μL), azide 14au (16 mg, 50 μmol) and cuprous iodide (2.4 mg, 13 μmol) were added with stirring. The resulting mixed solution was degassed by alternately applying vacuum and bubbling argon. The viscous solution was bubbled under argon and stirred at room temperature for 4 hours. The entire reaction mixture was then flash-chromatographed on top of a silica column and eluted with 50:1CH2CL2/ 2NNH3 in MeOH to afford triazole 611 as a white solid (14 mg, 50% yield): MS (ESI) m/z 496.8 (M+2H)+ , 992.3 (M+H)+ .

化合物612的合成Synthesis of Compound 612

化合物612由实施例4的炔烃27d和表11的叠氮化物14au采用实施例1的铜催化环加和反应条件合成。Compound 612 was synthesized from alkyne 27d of Example 4 and azide 14au of Table 11 using the copper-catalyzed cycloaddition reaction conditions of Example 1.

化合物613的合成Synthesis of Compound 613

化合物613由实施例4的炔烃27d和表11的叠氮化物14b采用实施例1的铜催化环加和反应条件合成。Compound 613 was synthesized from alkyne 27d of Example 4 and azide 14b of Table 11 using the copper-catalyzed cycloaddition reaction conditions of Example 1.

619的合成Synthesis of 619

将含有炔烃611(0.05克,0.0504毫摩尔)的丙酮(1.5毫升)-水(0.2毫升)溶液加入到含有N-甲基吗啉N-氧化物的水溶液(0.13毫升,50%的水),随后加入含有OsO4的三丁醇(0.005毫摩尔,0.1M in ButOH)。将剩余溶液在室温下搅拌过夜,并用CH2CL2(50毫升)和盐水(50毫升)稀释。有机层分离并用盐水(2×50毫升)冲洗,干燥(无水NaSO4),浓缩并通过TLC纯化(CH2CL2:2%NH3-MeOH=13∶1)。产率:20毫克(40%)。MS(ESI)m/z 1026(M+H)+,513.5(M+2H)+A solution of alkyne 611 (0.05 g, 0.0504 mmol) in acetone (1.5 mL)-water (0.2 mL) was added to an aqueous solution of N-methylmorpholine N-oxide (0.13 mL, 50% in water) , followed by the addition of tributanol (0.005 mmol, 0.1M inButOH ) containingOsO4 . The remaining solutionwas stirred at room temperature overnight and diluted withCH2Cl2 (50 mL) and brine (50 mL). The organic layer was separated and washed with brine (2 x 50 mL), dried (anhydrous NaSO4 ), concentrated and purified by TLC (CH2 Cl2 : 2% NH3 -MeOH=13:1). Yield: 20 mg (40%). MS (ESI) m/z 1026 (M+H)+ , 513.5 (M+2H)+ .

化合物614和615的合成Synthesis of Compounds 614 and 615

化合物614由实施例3的化合物411通过与盐酸的反应合成。化合物615如方案158所示的由化合物614与吡啶-4-羧基乙醛烃基化还原反应合成。Compound 614 was synthesized from compound 411 of Example 3 by reacting with hydrochloric acid. Compound 615 was synthesized by alkylation reduction reaction of compound 614 with pyridine-4-carboxyacetaldehyde as shown in Scheme 158.

流程158Process 158

将含有0.015克(0.015毫摩尔)的614,0.006克(0.060毫摩尔)含有吡啶4-羧基乙醛的1.0毫升DMF溶液加入到0.007克(0.030毫摩尔)的NaBH(OAc)3中。将反应混合物在25℃下搅拌4小时,通过旋转蒸发将DMF除去,剩余物通过TLC纯化得到0.003克化合物615。MS(M+1):1097。A solution containing 0.015 g (0.015 mmol) of 614, 0.006 g (0.060 mmol) of pyridine 4-carboxyacetaldehyde in 1.0 mL of DMF was added to 0.007 g (0.030 mmol) of NaBH(OAc)3 . The reaction mixture was stirred at 25 °C for 4 hours, DMF was removed by rotary evaporation, and the residue was purified by TLC to obtain 0.003 g of compound 615. MS (M+1): 1097.

化合物616的合成Synthesis of Compound 616

该化合物的合成是通过加热敏使朗82(0.18克,0.46毫摩尔)和胺2(0.43克,0.55毫摩尔)的DMF(6毫升)和Hunig’s,加热回流20小时。溶液被蒸发。溶液蒸发后的粗的剩余物在CH2CL2(50毫升)中形成悬浊液,用饱和NaHCO3(2×30毫升)和饱和盐水(1×30毫升)萃取。有机层用脱色木炭脱色并用Na2SO4干燥。蒸发溶液所得的粗产品用硅胶柱纯化,并用CH2CL2/MeOH14∶1∶0.05到12∶1∶0.05到10∶1∶0.05洗提,得到白色固体616(0.048克,产率10%)。LCMS;M+H+1031.5。The compound was synthesized by heating sensitive Lang 82 (0.18 g, 0.46 mmol) and amine 2 (0.43 g, 0.55 mmol) in DMF (6 mL) and Hunig's at reflux for 20 hours. The solution was evaporated. The crude residue after evaporation of the solution was suspended inCH2Cl2 (50 mL), extracted with saturatedNaHCO3 (2 x 30mL ) and saturated brine (1 x 30 mL). The organic layer was decolorized with decolorized charcoal and driedoverNa2SO4 . The crude product obtained by evaporating the solution was purified by silica gel column and eluted withCH2CL2/ MeOH 14:1:0.05 to 12:1:0.05 to 10:1:0.05 to give 616 as a white solid (0.048 g, 10% yield) . LCMS; M+H+ 1031.5.

化合物82的合成Synthesis of Compound 82

醇80被转化为敏使朗衍生物81(LC-MS;M+H+322.9)。Alcohol 80 was converted to the minazan derivative 81 (LC-MS; M+H+ 322.9).

化合物81(0.39克,1.21毫摩尔)与含有炔烃82a(0.13毫升,2.22毫摩尔),CuI(0.183克,0.96毫摩尔)的THF(10毫升)和Hunig’s基质(1毫升)在室温下12小时内反应。反应混合物在饱和氯化铵(30毫升)和EtOAc(40毫升)。水层用EtOAc(4×20毫升)萃取,混合有机层用NaSO4干燥。蒸发溶液,粗产品在硅胶柱上纯化,用CH2CL2/MeOH 19∶1到17∶1洗提,得到白色固体醇82(0.171克,产率37%)。LC-MS;M+H+378.8。Compound 81 (0.39 g, 1.21 mmol) was treated with alkyne 82a (0.13 mL, 2.22 mmol), CuI (0.183 g, 0.96 mmol) in THF (10 mL) and Hunig's matrix (1 mL) at room temperature for 12 Response within hours. The reaction mixture was dissolved in saturated ammonium chloride (30 mL) and EtOAc (40 mL). The aqueous layer was extracted with EtOAc (4 x 20 mL), and the combined organic layers were dried overNaSO4 . The solution was evaporated and the crude product was purified on a silica gel column eluting withCH2CL2 /MeOH 19:1 to 17:1 to give alcohol 82 as a white solid (0.171 g, 37% yield). LC-MS; M+H+ 378.8.

化合物83的合成Synthesis of Compound 83

该化合物由化合物80和炔烃83a通过82的方法合成,不同的是粗产品83没有经过进一步纯化(产率90%,白-黄色固体)。LC-MS;M+H+392.9。This compound was synthesized from compound 80 and alkyne 83a by the method of 82, except that the crude product 83 was not further purified (90% yield, white-yellow solid). LC-MS; M+H+ 392.9.

流程159Process 159

Figure A20058001353203371
Figure A20058001353203371

化合物617的合成Synthesis of Compound 617

该化合物的合成是通过加热含有醇83(0.14克,0.37毫摩尔)和胺2(0.346克,0.44毫摩尔)的DMF(4毫升)和Hunig’s基质(2毫升)的混合物,在110℃加热24小时。蒸发溶液,粗产品在硅胶柱上纯化,用CH2CL2/MeOH/H4OH20∶1∶0.05到18∶1∶0.05到15∶1∶0.05洗提,得到白色固体醇617(0.173克,产率46%)。LC-MS;M+H+1017.4。The compound was synthesized by heating a mixture of alcohol 83 (0.14 g, 0.37 mmol) and amine 2 (0.346 g, 0.44 mmol) in DMF (4 mL) and Hunig's matrix (2 mL) at 110 °C for 24 Hour. The solution was evaporated and the crude product was purified on a silica gel column eluting withCH2CL2 /MeOH /H4OH20 :1:0.05 to 18:1:0.05 to 15:1:0.05 to give alcohol 617 as a white solid (0.173 g, Yield 46%). LC-MS; M+H+ 1017.4.

化合物629的合成Synthesis of Compound 629

流程160Process 160

Figure A20058001353203381
Figure A20058001353203381

84的合成Synthesis of 84

在含有Boc-Hyp(Bz)-OH(321.4毫克,1.0毫摩尔),Thr-Ome盐酸化物(155.6毫克,1.0毫摩尔),DEC(249.2毫克,1.3毫摩尔),和HOBT(202.7毫克,1.5毫摩尔)的CH2CL2溶液中,一边搅拌一边在室温下加入Et3N(0.42毫升)。将混合物在室温下搅拌3小时。加入水(10毫升),水层用CH2CL2(20毫升×3)萃取。混合有机层用盐水冲洗,MgSO4干燥。浓缩后的剩余物在硅胶上纯化,用1∶9到7∶3的EtOAc∶己烷洗提,得到纯净的油二肽84(374.6毫克,95%)。In the presence of Boc-Hyp(Bz)-OH (321.4 mg, 1.0 mmol), Thr-Ome hydrochloride (155.6 mg, 1.0 mmol), DEC (249.2 mg, 1.3 mmol), and HOBT (202.7 mg, 1.5 mmol) in CH2 Cl2 , Et3 N (0.42 mL) was added at room temperature with stirring. The mixture was stirred at room temperature for 3 hours. Water (10 mL) was added, and the aqueous layer was extracted with CH2 Cl2 (20 mL×3). The combined organic layers were washed with brine and dried over MgSO4 . The concentrated residue was purified on silica gel eluting with 1:9 to 7:3 EtOAc:hexanes to afford pure oily dipeptide 84 (374.6 mg, 95%).

85的合成Synthesis of 85

由上述步骤制备的二肽84(775.0毫克)溶解在CH2CL2/TFA(5毫升/5毫升)中。将混合物在室温下搅拌1.5小时并浓缩干燥。将获得的固体剩余物溶解在EtOH(70毫升)中,并与(CH2O)N(514.5毫克,17.15毫摩尔),Pd/C(77.5毫克)在氢气下(气瓶)反应过夜。过滤混合物。将浓缩的滤液在硅胶上纯化,用1∶1到1∶0的EtOAc∶己烷洗提,得到白色固体N-甲基化的二肽85(320.2毫克,53%)。Dipeptide 84 (775.0 mg) prepared by the above procedure was dissolved in CH2 Cl2 /TFA (5 mL/5 mL). The mixture was stirred at room temperature for 1.5 hours and concentrated to dryness. The obtained solid residue was dissolved in EtOH (70 mL) and reacted with (CH2O )N (514.5 mg, 17.15 mmol), Pd/C (77.5 mg) under hydrogen (cylinder) overnight. Filter the mixture. The concentrated filtrate was purified on silica gel eluting with 1:1 to 1:0 EtOAc:hexanes to afford the N-methylated dipeptide 85 (320.2 mg, 53%) as a white solid.

629的合成Synthesis of 629

在-78℃时将DIBAL(1.0M的甲苯,2.1毫升)在10分钟之内一边搅拌一边加入到二肽85(320.2毫克,1.05毫摩尔)甲苯中。在此温度下,两小时之后将该混合物用甲醇(0.6毫升)冷却。再将反应混合物用EtOAc稀释并与饱和酒石酸钾钠(5.2毫升)在0℃下搅拌1.5小时。再将水溶液用EtOAc(20毫升×3)萃取。将混合有机层用盐水冲洗,MgSO4干燥。DIBAL (1.0 M in toluene, 2.1 mL) was added with stirring to dipeptide 85 (320.2 mg, 1.05 mmol) in toluene at -78°C over 10 minutes. At this temperature, after two hours the mixture was cooled with methanol (0.6 mL). The reaction mixture was further diluted with EtOAc and stirred with saturated potassium sodium tartrate (5.2 mL) at 0 °C for 1.5 h. The aqueous solution was then extracted with EtOAc (20 mL x 3). The combined organic layers were washed with brine and dried over MgSO4 .

将上述获得的浓缩后的剩余物溶解在1,2-二氯乙烷(10毫升)中,并与去甲基阿奇霉素2(308.7毫克,0.42毫摩尔),和NaBH(OAc)3(133.5毫克,0.63毫摩尔)反应。将混合物在室温下搅拌16小时,再用饱和NaHCO3冷却。有机层分离,用盐水冲洗,MgSO4干燥。浓缩剩余物,并在硅胶柱上纯化,用0∶1到15∶85的MeOH/CH2CL2洗提,得到白色固体629(105.8毫克,25%)。The concentrated residue obtained above was dissolved in 1,2-dichloroethane (10 mL), and mixed with desmethylazithromycin 2 (308.7 mg, 0.42 mmol), and NaBH(OAc)3 (133.5 mg , 0.63 mmol) reaction. The mixture was stirred at room temperature for 16 h, then cooled with saturated NaHCO3 . The organic layer was separated, washed with brine, and dried overMgSO4 . The residue was concentrated and purified on a silica gel column eluting with MeOH/CH2Cl2 from 0:1 to 15:85 to afford 629 as a white solid (105.8 mg, 25%).

化合物603,604,622,627和628的合成Synthesis of Compounds 603, 604, 622, 627 and 628

化合物603,604,622,627和628的合成方法与化合物629所示的过程相似,这些过程均包括相应的二肽取代。Compounds 603, 604, 622, 627 and 628 were synthesized in a manner similar to that shown for compound 629, all involving the corresponding dipeptide substitutions.

化合物618通过下述流程161的方法合成Compound 618 is synthesized by the method of following scheme 161

流程161Process 161

Figure A20058001353203401
Figure A20058001353203401

中间体87的合成Synthesis of Intermediate 87

二肽86(495.9毫克,2.07毫摩尔)和Burgess试剂(738.6毫克,3.10毫摩尔)溶解在THF(15毫升)中。将反应混合物加热回流3小时。待混合物冷却后,加入水(10毫升),然后用EtOAc(30毫升×3)萃取。有机层分离,用盐水冲洗,MgSO4干燥。浓缩剩余物,并在硅胶柱上纯化,用0∶1到3∶7的EtOAc∶己烷洗提,得到浅黄色油脱水的二肽(348.1毫克,76%)。Dipeptide 86 (495.9 mg, 2.07 mmol) and Burgess reagent (738.6 mg, 3.10 mmol) were dissolved in THF (15 mL). The reaction mixture was heated to reflux for 3 hours. After the mixture was cooled, water (10 mL) was added, followed by extraction with EtOAc (30 mL x 3). The organic layer was separated, washed with brine, and dried overMgSO4 . The residue was concentrated and purified on a silica gel column eluting with 0:1 to 3:7 EtOAc:hexanes to give the dehydrated dipeptide as a pale yellow oil (348.1 mg, 76%).

化合物618的合成Synthesis of Compound 618

化合物由中间体87和胺2采用上述化合物629由中间体85的合成法制备。Compounds were prepared from intermediate 87 and amine 2 using the synthesis of intermediate 85 from compound 629 described above.

化合物630的合成Synthesis of Compound 630

流程162Process 162

Figure A20058001353203411
Figure A20058001353203411

化合物89的合成Synthesis of Compound 89

在含有化合物88(2.00克,2.54毫摩尔)的THF(17毫升)溶液,在0℃下中加入Et3N(1.5毫升,10.67毫摩尔),随后加入无水醋酸(946μL,9.91毫摩尔),然后加入DMAP(34毫克,0.25毫摩尔)。将混合物在0℃下搅拌3小时,然后再加入Et3N(150μL,1.07毫摩尔)和无水醋酸(95μL,0.99毫摩尔)。将混合物搅拌3小时,然后加入MeOH(2.0毫升)。浓缩反应混合物并加入EtOAc(100毫升),饱和NaHCO3(30.0毫升)和盐水(30.0毫升)冲洗,干燥NaSO4,得到2.28克89。剩余物未经进一步纯化,以备下一步反应。MS(ESI)m/e 913(M+H)+To a solution of compound 88 (2.00 g, 2.54 mmol) in THF (17 mL), Et3 N (1.5 mL, 10.67 mmol) was added at 0 °C, followed by anhydrous acetic acid (946 μL, 9.91 mmol) , then DMAP (34 mg, 0.25 mmol) was added. The mixture was stirred at 0° C. for 3 h, then Et3 N (150 μL, 1.07 mmol) and anhydrous acetic acid (95 μL, 0.99 mmol) were added. The mixture was stirred for 3 hours, then MeOH (2.0 mL) was added. The reaction mixture was concentrated and added EtOAc (100 mL), washed with saturatedNaHCO3 (30.0 mL) and brine (30.0 mL), dried overNaSO4 to give 2.28 g of 89. The residue was used for the next reaction without further purification. MS (ESI) m/e 913 (M+H)+ .

化合物90的合成Synthesis of compound 90

在含有三乙酸盐化合物89(913毫克,1.00毫摩尔,粗产品),2-甲基-1,3-丙烷-[二-(叔丁基)碳酸盐](865毫克,3.00毫摩尔)和1,4-二(联苯膦基)-丁烷(dppb)(305毫克,0.70毫摩尔)的THF(10毫升,除气)的溶液,在室温下中加入Pd2(dba)3(92毫克,0.10毫摩尔)。将反应混合物回流12小时,浓缩反应混合物并加入EtOAc(100毫升),饱和NaHCO3(30.0毫升)和盐水(30.0毫升)冲洗,干燥NaSO4,剩余物用硅胶色谱法分离(含有2%MeOH的CH2CL2,包含0.2%的NH4OH)分两步得到340毫克90,产率35%。剩余物未经进一步纯化,以备下一步反应。MS(ESI)m/e 966(M+H)+Compound 89 (913 mg, 1.00 mmol, crude product) containing triacetate, 2-methyl-1,3-propane-[di-(tert-butyl)carbonate] (865 mg, 3.00 mmol ) and 1,4-bis(biphenylphosphino)-butane (dppb) (305 mg, 0.70 mmol) in THF (10 mL, degassed) were added at room temperature with Pd2 (dba)3 (92 mg, 0.10 mmol). The reaction mixture was refluxed for 12 hours, the reaction mixture was concentrated and EtOAc (100 mL) was added, washed with saturated NaHCO3 (30.0 mL) and brine (30.0 mL), dried over NaSO4 , and the residue was chromatographed on silica gel (containing 2% MeOH in CH2 Cl2 containing 0.2% NH4 OH) afforded 340 mg of 90 in 35% yield in two steps. The residue was used for the next reaction without further purification. MS (ESI) m/e 966 (M+H)+ .

化合物91的合成Synthesis of compound 91

化合物90(330毫升,0.34毫摩尔)的MeOH(6毫升),回流5天。剩余物通过FC(含有2%MeOH的CH2CL2,包含0.2%的NH4OH)分离,得到143毫克91,产率50%。Compound 90 (330 mL, 0.34 mmol) in MeOH (6 mL) was refluxed for 5 days. The residue was separated by FC (CH2Cl2 with 2%MeOH , containing 0.2%NH4OH ) to afford 143 mg of 91, 50% yield.

MS(ESI)m/e 839(M+H)+MS (ESI) m/e 839 (M+H)+ .

化合物630的合成Synthesis of Compound 630

含有化合物91(58毫克,0.07毫摩尔)和叠氮化物14w(40毫克,0.21毫摩尔),CuI(2毫克)和Hung’s基质(3滴)的THF混合溶液,在室温下搅拌10小时。反应混合物通过加入NH4OH(3滴),饱和NH4CL(1滴),水(2毫升)和CH2CL2(3毫升)冷却。搅拌20分钟后,有机层分离,水层用CH2CL2(10毫升×3)萃取,NaSO4干燥,剩余物通过FC(2/100/0.2MeOH/CH2CL2/NH4OH)分离,得到62毫克630,产率86%。MS(ESI)m/e 1031(M+H)+A THF mixed solution containing compound 91 (58 mg, 0.07 mmol) and azide 14w (40 mg, 0.21 mmol), CuI (2 mg) and Hung's substrate (3 drops) was stirred at room temperature for 10 hours. The reaction mixture was cooled by addingNH4OH (3 drops), saturatedNH4CL (1 drop), water (2 mL) andCH2CL2 (3 mL). After stirring for 20 min, the organic layer was separated, the aqueous layer was extracted with CH2 Cl2 (10 mL×3), dried over NaSO4 , and the residue was separated by FC (2/100/0.2 MeOH/CH2 Cl2 /NH4 OH) , yielding 62 mg of 630 in 86% yield. MS (ESI) m/e 1031 (M+H)+ .

化合物625和626的合成Synthesis of Compounds 625 and 626

流程163Process 163

化合物92的合成Synthesis of compound 92

在室温下,在含有1.00克(1.30毫摩尔)的泰乐霉素的乙醇溶液中加入0.26克(1.36毫摩尔)p-甲苯磺酸,将反应混合物搅拌3小时。然后用饱和NaHCO3水溶液稀释,EtOAc萃取。混合有机层用乙酸乙酯和盐水冲洗,MgSO4干燥,浓缩得到1.220克没有经过进一步纯化的92。To an ethanol solution containing 1.00 g (1.30 mmol) of tylomycin was added 0.26 g (1.36 mmol) of p-toluenesulfonic acid at room temperature, and the reaction mixture was stirred for 3 hours. It was then diluted with saturated aqueous NaHCO3 and extracted with EtOAc. The combined organic layers were washed with ethyl acetate and brine, dried overMgSO4 , and concentrated to afford 1.220 g of 92 without further purification.

化合物93的合成Synthesis of compound 93

在含有0.250克(0.29毫摩尔)的92和0.486克(5.92毫摩尔)的NaOAc的10毫升MeOH/H2O(80%MeOH),在55℃下加入0.075克(0.29毫摩尔)的固体碘。在加入碘之后,通过时间间隔10,30和60分钟,在反应混合物中加入1N NaOH将PH值保持在9。将反应混合物在55℃下搅拌1小时,最后加入NaOH溶液,然后用饱和NaHCO3水溶液25毫升稀释,EtOAc(50毫升×2)萃取。混合的EtOAc萃取液用15毫升5%的NaS2O4和盐水冲洗,MgSO4干燥,过滤并浓缩得到0.221克93。In 10 mL of MeOH/H2O (80% MeOH) containing 0.250 g (0.29 mmol) of 92 and 0.486 g (5.92 mmol) of NaOAc at 55 °C was added 0.075 g (0.29 mmol) of solid iodine . After the addition of iodine, the pH was maintained at 9 by the addition of 1 N NaOH to the reaction mixture at intervals of 10, 30 and 60 minutes. The reaction mixture was stirred at 55 °C for 1 h, and finally NaOH solution was added, then diluted with saturated aqueous NaHCO3 solution 25 mL, extracted with EtOAc (50 mL×2). Thecombined EtOAc extracts were washed with 15 mL of 5%NaS2O4 and brine, dried overMgSO4 , filtered and concentrated to give 0.221 g of 93.

炔烃94的合成Synthesis of Alkyne 94

在含有0.200克(0.249毫摩尔)的93和0.270克(1.20毫摩尔)的甲苯磺酸盐11,0.311克(2.41毫摩尔)的二异丙基乙胺和10毫克二甲氨基嘧啶的5毫升THF溶液在55℃下搅拌48小时。将反应混合物用饱和NaHCO3水溶液20毫升稀释,EtOAc(30毫升×3)萃取。混合有机层用盐水(20毫升)冲洗,MgSO4干燥,过滤并浓缩,通过快速硅胶色谱法纯化,得到0.065克产品94和0.063克还原的原料93。In 5 mL containing 0.200 g (0.249 mmol) of 93 and 0.270 g (1.20 mmol) of tosylate 11, 0.311 g (2.41 mmol) of diisopropylethylamine and 10 mg of dimethylaminopyrimidine The THF solution was stirred at 55°C for 48 hours. The reaction mixture was diluted with 20 mL of saturated aqueous NaHCO3 , extracted with EtOAc (30 mL×3). The combined organic layers were washed with brine (20 mL), dried overMgSO4 , filtered and concentrated, and purified by flash silica gel chromatography to give 0.065 g of product 94 and 0.063 g of reduced starting material 93.

化合物625的合成Synthesis of Compound 625

含有0.300克(0.03毫摩尔)的炔烃94,0.018克(0.06毫摩尔)叠氮化物14ez和0.006克(0.03毫摩尔)ICu的3毫升THF溶液,经除气后置于氩气中。在该混合物中加入4滴Hunig’s基质。将反应物在25℃下搅拌6小时。再加入20毫升10%的NH4OH,搅拌10分钟,用CH2CL2(30毫升×3)萃取,混合有机层用盐水冲洗,干燥,浓缩,并通过TLC纯化得到0.020克最终产品。MS(ESI)m/e 1145(M+H)+A solution containing 0.300 g (0.03 mmol) of alkyne 94, 0.018 g (0.06 mmol) of azide 14ez and 0.006 g (0.03 mmol) of ICu in 3 mL of THF was degassed and placed under argon. To this mixture was added 4 drops of Hunig's base. The reaction was stirred at 25°C for 6 hours. Another 20 mL of 10% NH4 OH was added, stirred for 10 min, extracted with CH2 Cl2 (30 mL×3), the combined organic layer was washed with brine, dried, concentrated, and purified by TLC to obtain 0.020 g of the final product. MS (ESI) m/e 1145 (M+H)+ .

化合物626的合成Synthesis of Compound 626

将含有0.015克(0.013毫摩尔)化合物625的1.0毫升0.2NHCL溶液和1.0毫升乙腈在25℃下搅拌4小时。加入15毫升饱和NaHCO3水溶液15毫升,水层用CH2CL2(40毫升×3)萃取,混合有机层用盐水冲洗,干燥,浓缩,得到0.003克纯产品626。MS(ESI)m/e 1172(M+H)+A solution containing 0.015 g (0.013 mmol) of compound 625 in 1.0 mL of 0.2N HCL and 1.0 mL of acetonitrile was stirred at 25°C for 4 hours. 15 mL of saturated NaHCO3 aqueous solution (15 mL) was added, the aqueous layer was extracted with CH2 Cl2 (40 mL×3), the combined organic layer was washed with brine, dried and concentrated to obtain 0.003 g of pure product 626. MS (ESI) m/e 1172 (M+H)+ .

化合物623和624的合成Synthesis of Compounds 623 and 624

这些化合物是由中间体94和叠氮化物14w采用前述化合物625和626所述的过程合成。These compounds were synthesized from intermediate 94 and azide 14w using the procedure described for compounds 625 and 626 above.

实施例12:化合物701-756的合成Embodiment 12: the synthesis of compound 701-756

本发明另外的化合物见下述表13。这些化合物根据上述实施例1-11所述的过程制备。Additional compounds of the invention are shown in Table 13 below. These compounds were prepared according to the procedures described above in Examples 1-11.

表13Table 13

Figure A20058001353203471
Figure A20058001353203471

Figure A20058001353203481
Figure A20058001353203481

Figure A20058001353203491
Figure A20058001353203491

Figure A20058001353203511
Figure A20058001353203511

Figure A20058001353203521
Figure A20058001353203521

Figure A20058001353203531
Figure A20058001353203531

Figure A20058001353203541
Figure A20058001353203541

Figure A20058001353203551
Figure A20058001353203551

Figure A20058001353203561
Figure A20058001353203561

Figure A20058001353203571
Figure A20058001353203571

Figure A20058001353203581
Figure A20058001353203581

文献的引证Citation of literature

本申请中所引证的专利文献和科技文章的全部内容都通过在此引证而合并于本文。The entire contents of patent documents and scientific articles cited in this application are hereby incorporated by reference.

等同内容equivalent content

在不脱离本发明的宗旨和实质特征的情况下,本发明可以体现为其他的特定形式。前述实施例被认为是对本发明的进一步说明而不是限制。本发明所要求保护的范围由权利要求来限定,而非前面的描述,所有的与本发明的权利要求等同的意义和范围均落入本发明的保护范围内。The present invention may be embodied in other specific forms without departing from the spirit and essential characteristics of the present invention. The foregoing examples are considered to be further illustrations of the invention rather than limitations. The protection scope of the present invention is defined by the claims rather than the foregoing description, and all meanings and scopes equivalent to the claims of the present invention fall within the protection scope of the present invention.

Claims (32)

Translated fromChinese
1.具有以下分子式的化合物:1. A compound having the following molecular formula:或者其药学上可接受的盐,酯,N-氧化物,或者前体药物,or a pharmaceutically acceptable salt, ester, N-oxide, or prodrug thereof,其中inT是14-,15-,或者16-元的大环内酯化合物,通过大环上的碳原子连接;T is a 14-, 15-, or 16-membered macrolide compound connected through a carbon atom on the macrocycle;R1和R3独立地选自以下基团:R1 and R3 are independently selected from the following groups:(a)H,(b)C1-6烷基,(c)C2-6烯基,(d)C2-6炔基,(e)-C(O)R5,(f)-C(O)OR5,(g)-C(O)-NR4R4R4R4,(h)-C(S)R5,(i)-C(S)OR5,(j)-C(O)SR5,or(k)-C(S)-NR4R4R4R4(a) H, (b) C1-6 alkyl, (c) C2-6 alkenyl, (d) C2-6 alkynyl, (e)-C(O)R5 , (f)- C(O)OR5 , (g)-C(O)-NR4 R4 R4 R4 , (h)-C(S)R5 , (i)-C(S)OR5 , (j) -C(O)SR5 , or(k)-C(S)-NR4 R4 R4 R4 ;R2是H或-OR12R2 is H or -OR12 ;D选自下述基团:D is selected from the following groups:(a)单键,(b)C1-6烷基,(c)C2-6烯基,(d)C2-6炔基,(a) single bond, (b) C1-6 alkyl, (c) C2-6 alkenyl, (d) C2-6 alkynyl,(e)-C(O)-X-,(f)-C(O)O-X-,(g)-C(O)NR4R4-X-,(e)-C(O)-X-, (f)-C(O)OX-, (g)-C(O)NR4 R4 -X-,(h)-C(=NR4)-X-,(i)-C(=NR4)O-X-,(j)-C(=NR4)N-X-,(h)-C(=NR4 )-X-, (i)-C(=NR4 )OX-, (j)-C(=NR4 )NX-,(k)-SO2-X-,(l)-C(NR4)NR4-X-,(m)-C(S)-X-,(k)-SO2 -X-, (l)-C(NR4 )NR4 -X-, (m)-C(S)-X-,(n)-C(S)NR4-X-,(o)-C(NR4)S-X-,或(p)-C(O)S-X-,(n)-C(S)NR4 -X-, (o)-C(NR4 )SX-, or (p)-C(O)SX-,其中in(i)D的(b)至(d)组中任何一个的0-2个碳原子可任意地被选自O,S(O)P和NR4的基团取代,(i) 0-2 carbon atoms in any one of (b) to (d) groups of D may be optionally substituted by a group selected from O, S(O)P andNR ,(ii)(b)至(d)中的任意一个基团都可被一个或更多的R5基团取代,(ii) any one of (b) to (d) may be substituted by one or moreR groups,(iii)当(b)至(d)中R5为任意取代基时,R3和R5可以与其所连接的原子形成3-7元的环,和(iii) when R in (b) to (d) is any substituent, R andR can form a 3-7 membered ring with theatoms they areconnected to, and(iv)X选自以下基团(aa)C1-6烷基,(bb)C2-6烯基,(cc)C2-6炔基,其中(aa)-(cc)中的任何一个可以任意地被一个或更多的R5基团取代;(iv) X is selected from the following groups (aa) C1-6 alkyl, (bb) C2-6 alkenyl, (cc) C2-6 alkynyl, wherein any of (aa)-(cc) One can be optionally substituted by one or moreR groups;F选自以下:F is selected from the following:(a)单键,(b)C1-6烷基,(c)C2-6烯基,(d)C2-6炔基,(a) single bond, (b) C1-6 alkyl, (c) C2-6 alkenyl, (d) C2-6 alkynyl,其中,in,(i)F的(b)至(d)组中的任何一个的0-2个碳原子可任意地被选自O,S(O)P和NR4的基团取代,(i) 0-2 carbon atoms in any one of (b) to (d) groups of F may be optionally substituted by a group selected from O, S(O)P andNR ,(ii)F的(b)至(d)中的任意一个基团都可被一个或更多的R5基团取代,(ii) any one of (b) to (d) of F may be substituted by one or moreR groups,(iii)F的(b)至(d)中的任意一个基团都可被C1-6烷基-R5基团取代;(iii) Any one group in (b) to (d) of F can be replaced by a C1-6 alkyl-R5 group;E选自以下:E is selected from the following:(a)3-10元的,饱和的、不饱和的、或者芳香的杂环,包含一个或更多个选自氮、氧和硫的杂原子,(a) 3-10 membered, saturated, unsaturated, or aromatic heterocycles containing one or more heteroatoms selected from nitrogen, oxygen, and sulfur,(b)3-10元的,饱和或不饱和的,或芳香族的,碳环,(b) 3-10 membered, saturated or unsaturated, or aromatic, carbocyclic,(c)-W-[3-10元的,饱和的、不饱和的、或者芳香的杂环,包含一个或更多个选自氮、氧和硫的杂原子],(c)-W-[3-10 membered, saturated, unsaturated, or aromatic heterocycles containing one or more heteroatoms selected from nitrogen, oxygen, and sulfur],(d)-W-[3-10元的,饱和或不饱和的,或芳香族的,碳环],(d)-W-[3-10 membered, saturated or unsaturated, or aromatic, carbocycle],(e)-C(O)-,(f)-C(O)O-,(g)-C(O)NR4-,(h)-C(=NR4)-,(e)-C(O)-, (f)-C(O)O-, (g)-C(O)NR4 -, (h)-C(=NR4 )-,(i)-C(=NR4)O-,(j)-C(=NR4)NR4-,(k)-OC(O)-,(l)-OC(O)O-,(i)-C(=NR4 )O-, (j)-C(=NR4 )NR4 -, (k)-OC(O)-, (l)-OC(O)O-,(m)-OC(O)NR4,(n)-NR4C(O)-,(o)-NR4C(O)O-,(m)-OC(O)NR4 , (n)-NR4 C(O)-, (o)-NR4 C(O)O-,(p)-NR4C(O)NR4-,(q)-NR4C(=NR4)NR4-,(r)-S(O)p-,(p)-NR4 C(O)NR4 -, (q)-NR4 C(=NR4 )NR4 -, (r)-S(O)p-,(s)-NR4S(O)2-,(t)-S(O)2NR4-,(u)-C(N-OR4)-,(v)-CH2-,(s)-NR4 S(O)2 -, (t)-S(O)2 NR4 -, (u)-C(N-OR4 )-, (v)-CH2 -,(w)-C(N-NR4R4)-,(x)-C(S)NR4-,(y)-NR4C(S)-,(z)-C(S)O-,或(w)-C(N-NR4 R4 )-, (x)-C(S)NR4 -, (y)-NR4 C(S)-, (z)-C(S)O-, or(aa)-OC(S)-,其中(aa)-OC(S)-, wherei)(a)至(d)中的任何一个可任选地被一个或更多的R5基团取代,和i) any of (a) to (d) may be optionally substituted with one or moreR groups, andii)W选自以下基团:ii) W is selected from the following groups:(aa)-OCO-,(bb)-OC(O)O-,(cc)-OC(O)NR4-,(aa)-OCO-, (bb)-OC(O)O-, (cc)-OC(O)NR4 -,(dd)-NR4C(O)O-,(ee)-OCNOR4-,(dd)-NR4 C(O)O-, (ee)-OCNOR4 -,(ff)-NR4-C(O)O-,(gg)-C(S)(NR)-,(hh)-NR4-,(ff)-NR4 -C(O)O-, (gg)-C(S)(NR)- , (hh)-NR4 -,(ii)-OC(S)O-,(jj)-OC(S)NR4-,(kk)-NR4C(S)O-,(ll)(ii)-OC(S)O-, (jj)-OC(S)NR4 -, (kk)-NR4 C(S)O-, (ll)-OC(S)NOR4-,(mm)-C(S)O-,(nn)-,OC(S)-,(oo)-C(O)-,(pp)-OC(S)NOR4 -, (mm)-C(S)O-, (nn)-, OC(S)-, (oo)-C(O)-, (pp)-C(O)O-,(qq)-C(O)NR4-,(rr)-C(=NR4)-,-C(O)O-, (qq)-C(O)NR4 -, (rr)-C(=NR4 )-,(ss)-C(=NR4)O-,(tt)-C(=NR4)NR4-,(uu)-OC(O)-,(vv)(ss)-C(=NR4 )O-, (tt)-C(=NR4 )NR4 -, (uu)-OC(O)-, (vv)-OC(O)O-,(ww)-OC(O)NR4-,(xx)-NR4C(O)-,(yy)-OC(O)O-, (ww)-OC(O)NR4 -, (xx)-NR4 C(O)-, (yy)-NR4C(O)O-,(zz)-NR4C(O)NR4-,(aaa)-NR4C(=NR4)NR4-,-NR4 C(O)O-, (zz)-NR4 C(O)NR4 -, (aaa)-NR4 C(=NR4 )NR4 -,(bbb)-S(O)p-,(ccc)-NR4S(O)2-,(ddd)-S(O)2NR4-,(eee)-C(N-OR4)-,(bbb)-S(O)p -, (ccc)-NR4 S(O)2 -, (ddd)-S(O)2 NR4 -, (eee)-C(N-OR4 )-,(fff)-C(N-NR4R4)-,(ggg)-C(S)NR4-,or(hhh)(fff)-C(N-NR4 R4 )-, (ggg)-C(S)NR4 -, or(hhh)NR4C(S)-;NR4 C(S)-;G选自:(a)B′和(b)B′-Z-B″,其中G is selected from: (a) B' and (b) B'-Z-B", whereini)每一个B′和B″,独立地选自(aa)芳基,(bb)杂芳基,(cc)联芳基,(dd)稠合的双环或者三环,是饱和的、不饱和的、或者是芳香的环系统,含有一个或多个选自氮、氧或硫的杂原子,(ee)3-10元的,饱和或者不饱和的杂环,含有一个或多个选自氮、氧或硫的杂原子,(ff)3-10元的,饱和或者不饱和的碳环,其中,(aa)至(ff)中的任何一个可任选地被一个或者更多个R11基团取代;和i) each of B' and B", independently selected from (aa) aryl, (bb) heteroaryl, (cc) biaryl, (dd) fused bicyclic or tricyclic, is saturated, not Saturated or aromatic ring system containing one or more heteroatoms selected from nitrogen, oxygen or sulfur, (ee) 3-10 membered, saturated or unsaturated heterocycles containing one or more heteroatoms selected from A heteroatom of nitrogen, oxygen or sulfur, (ff) 3-10 membered, saturated or unsaturated carbocyclic ring, wherein, any one of (aa) to (ff) can optionally be replaced by one or more R11 group substitutions; andii)Z选自下述,(aa)单键,(bb)C1-2烷基,(cc)C2烯基,ii) Z is selected from the following, (aa) single bond, (bb) C1-2 alkyl, (cc) C2 alkenyl,(dd)C2炔基,(ee)-C(O)-,(ff)-C(O)O-,(gg)(dd)Calkynyl , (ee)-C(O)-, (ff)-C(O)O-, (gg)-C(O)NR4,(hh)-C(=NR4)-,(ii)-C(=NR4)O-,(jj)-C(=NR4)NR4--C(O)NR4 , (hh)-C(=NR4 )-, (ii)-C(=NR4 )O-, (jj)-C(=NR4 )NR4 -,(kk)-S(O)p-,(ll)-OC(O)-,(mm)-C(S)-,(nn)-C(S)NR4-,(oo), (kk)-S(O)p -, (ll)-OC(O)-, (mm)-C(S)-, (nn)-C(S)NR4 -, (oo)-C(NR4)S-,(pp)-C(O)S-,(qq)-O-,(rr)-NR4-,(ss)-NR4C(O)-,-C(NR4 )S-, (pp)-C(O)S-, (qq)-O-, (rr)-NR4 -, (ss)-NR4 C(O)-,(tt)-OC(NR4)-,(uu)-NC(NR4)-,(vv)-C(S)O-,(ww)-SC(O)-,(tt)-OC(NR4 )-, (uu)-NC(NR4 )-, (vv)-C(S)O-, (ww)-SC(O)-,或(xx)-OC(S)-;or (xx)-OC(S)-;每次R4的出现,都独立地选自下述:Each occurrence ofR is independently selected from the following:(a)H,(b)C1-6烷基,(c)C2-6烯基,(d)C2-6炔基,(e)C6-10饱和的,不饱和的,或者芳香的碳环,(f)3-12元的饱和的,不饱和的,或者芳香的杂环,包含一个或更多个选自氮、氧或硫的杂原子,(g)-C(O)-C1-6烷基,(h)-C(O)-C2-6烯基,(i)-C(O)-C2-6炔基,(j)-C(O)-C6-10饱和的,不饱和的,或者芳香的碳环,(k)-C(O)-3-12元的饱和的,不饱和的,或者芳香的杂环,包含一个或多个选自氮、氧或硫的杂原子,(l)-C(O)O-C1-6烷基,(m)-C(O)O-C2-6烯基,(n)-C(O)O-C2-6炔基,(o)-C(O)O-C6-10饱和的,不饱和的,或者芳香的碳环,(p)-C(O)O-3-12元的饱和的,不饱和的,或者芳香的杂环,包含一个或更多个选自氮、氧或硫的杂原子,和(q)-C(O)NR6R6(a) H, (b) C1-6 alkyl, (c) C2-6 alkenyl, (d) C2-6 alkynyl, (e) C6-10 saturated, unsaturated, or Aromatic carbocycle, (f) 3-12 membered saturated, unsaturated, or aromatic heterocycle containing one or more heteroatoms selected from nitrogen, oxygen or sulfur, (g)-C(O )-C1-6 alkyl, (h)-C(O)-C2-6 alkenyl, (i)-C(O)-C2-6 alkynyl, (j)-C(O)- C6-10 saturated, unsaturated, or aromatic carbocyclic ring, (k)-C (O)-3-12 membered saturated, unsaturated, or aromatic heterocyclic ring, containing one or more selected A heteroatom from nitrogen, oxygen or sulfur, (l)-C(O)OC1-6 alkyl, (m)-C(O)OC2-6 alkenyl, (n)-C(O)OC2 -6 alkynyl, (o)-C(O)OC6-10 saturated, unsaturated, or aromatic carbocycle, (p)-C(O)O-3-12 membered saturated, unsaturated , or an aromatic heterocycle comprising one or more heteroatoms selected from nitrogen, oxygen or sulfur, and (q)-C(O)NR6 R6 ,其中(b)-(p)中的任何一个可以任选地被一个或更多个R5取代,wherein any of (b)-(p) can be optionally substituted by one or more R5 ,或者,NR4R4形成一个3-7元的,饱和或不饱和的或芳香的环,包括连接着R4的氮原子,其中在所述环上的与R4连接的位置上的氮原子之外的任意位置上可被任选地取代,取代基选自O,S(O)P,N,和NR8Alternatively, NR4 R4 forms a 3-7 membered, saturated or unsaturated or aromatic ring, including the nitrogen atom connected to R4 , wherein the nitrogen atom at the position connected to R4 on the ring Any position other than can be optionally substituted, and the substituent is selected from O, S(O)P, N, and NR8 ;R5选自下述:R is selected from the following:(a)R7,(b)C1-8烷基,(c)C2-8烯基,(d)C2-8炔基,(e)3-12元的,饱和或者不饱和的,或芳香族的碳环,和(f)3-12元的饱和的,不饱和的,或者芳香的杂环,包含一个或更多个选自氮、氧或硫的杂原子,或者当两个R5基团连接于同一个碳原子时,它们可以连接形成一个螺合的3-6元的碳环或者包含一个或更多个选自氮、氧或硫的杂原子的杂环,(a) R7 , (b) C1-8 alkyl, (c) C2-8 alkenyl, (d) C2-8 alkynyl, (e) 3-12 yuan, saturated or unsaturated , or an aromatic carbocycle, and (f) a 3-12 membered saturated, unsaturated, or aromatic heterocycle containing one or more heteroatoms selected from nitrogen, oxygen, or sulfur, or when two When twoR groups are connected to the same carbon atom, they can be connected to form a spiro 3-6 membered carbocyclic ring or a heterocyclic ring containing one or more heteroatoms selected from nitrogen, oxygen or sulfur,其中所述的(b)-(f)中的任何一个可以任选被一个或多个R7取代;Any one of (b)-(f) described therein may be optionally substituted by one or more R7 ;每次出现的R6,都独立地选自下述:Each occurrence of R6 is independently selected from the following:(a)H,(b)C1-6烷基,(c)C2-6烯基,(d)C2-6炔基,(e)C3-10饱和的,不饱和的,或者芳香的碳环,(f)3-10元的饱和的,不饱和的,或者芳香的杂环,包含一个或多个选自氮、氧或硫的杂原子,(a) H, (b) C1-6 alkyl, (c) C2-6 alkenyl, (d) C2-6 alkynyl, (e) C3-10 saturated, unsaturated, or Aromatic carbocycles, (f) 3-10 membered saturated, unsaturated, or aromatic heterocycles containing one or more heteroatoms selected from nitrogen, oxygen or sulfur,其中上述的(b)-(f)中的任何一个可以任选被一个或多个下述基团取代:Any one of the above-mentioned (b)-(f) can be optionally substituted by one or more of the following groups:(aa)羰基,(bb)甲酸基(cc)F,(dd)Cl,(ee)Br,(aa) carbonyl, (bb) formyl (cc) F, (dd) Cl, (ee) Br,(ff)I,(gg)CN,(hh)NO2,(ii)-OR8(ff)I, (gg)CN, (hh)NO2 , (ii)-OR8 ,(jj)-S(O)pR8,(kk)-C(O)R8,(ll)-C(O)OR8(jj)-S(O)pR8 , (kk)-C(O)R8 , (ll)-C(O)OR8 ,(mm)-OC(O)R8,(nn)-C(O)NR8R8(mm)-OC(O)R8 , (nn)-C(O)NR8 R8 ,(oo)-OC(O)NR8R8,(pp)-C(=NR8)R8(oo)-OC(O)NR8 R8 , (pp)-C(=NR8 )R8 ,(qq)-C(R8)(R8)OR8,(rr)-C(R8)2OC(O)R8(qq)-C(R8 )(R8 )OR8 , (rr)-C(R8 )2 OC(O)R8 ,(ss)-C(R8)(OR8)(CH2)rNR8R8,(tt)-NR8R8(ss)-C(R8 )(OR8 )(CH2 )r NR8 R8 , (tt)-NR8 R8 ,(uu)-NR8OR8,(vv)-NR8C(O)R8(uu)-NR8 OR8 , (vv)-NR8 C(O)R8 ,(ww)-NR8C(O)OR8,(xx)-NR8C(O)NR8R8(ww)-NR8 C(O)OR8 , (xx)-NR8 C(O)NR8 R8 ,(yy)-NR8S(O)rR8,(zz)-C(OR8)(OR8)R8(yy)-NR8 S(O)r R8 , (zz)-C(OR8 )(OR8 )R8 ,(ab)-C(R8)2NR8R8,(ac)=NR8(ab)-C(R8 )2 NR8 R8 , (ac)=NR8 ,(ad)-C(S)NR8R8,(ae)-NR8C(S)R8(ad)-C(S)NR8 R8 , (ae)-NR8 C(S)R8 ,(af)-OC(S)NR8R8,(ag)-NR8C(S)OR8(af)-OC(S)NR8 R8 , (ag)-NR8 C(S)OR8 ,(ah)-NR8C(S)NR8R8,(ai)-SC(O)R8(ah)-NR8 C(S)NR8 R8 , (ai)-SC(O)R8 ,(aj)C1-8烷基,(ak)C2-8烯基,(al)C2-8炔基,(am)C1-8烷氧基(an)C1-8巯基,(ao)C1-8酰基,(ap)-CF3,(aq)-SCF3,(ar)3-10元的,饱和的、不饱和的或者芳香的碳环,(as)3-10元的,饱和的、不饱和的的或者芳香的杂环,含有一个或多个选自氮、氧或硫的杂原子,(aj) C1-8 alkyl, (ak) C2-8 alkenyl, (al) C2-8 alkynyl, (am) C1-8 alkoxy (an) C1-8 mercapto, ( ao) C1-8 acyl, (ap)-CF3 , (aq)-SCF3 , (ar) 3-10 membered, saturated, unsaturated or aromatic carbocycle, (as) 3-10 membered A saturated, unsaturated or aromatic heterocycle containing one or more heteroatoms selected from nitrogen, oxygen or sulfur,或者,NR6R6形成3-10元的饱和的、不饱和的、或者芳香的环,包括连接着R6的氮原子,所述环除与R6连接的位置上的氮原子外可在任意位置被取代,取代基选自O,S(O)p,N,和NR8Alternatively, NR6 R6 forms a saturated, unsaturated, or aromatic ring of 3-10 members, including the nitrogen atom connected to R6 , and the ring can be in addition to the nitrogen atom at the position connected to R6 Any position is substituted, and the substituent is selected from O, S(O)p , N, and NR8 ;或者,CR6R6形成羰基;Alternatively, CR6 R6 forms a carbonyl group;每次出现的R7,都独立地选自下述:)H,(b)=O,(c)F,(d)Cl,(e)Br,(f)I,(g)-CF3,)-CN,(i)-N3(j)-NO2,(k)-NR6(CR6R6)tR9,(l)-OR9,(m)-S(O)pC(R6R6)tR9,)-C(O)(CR6R6)tR9,(o)-OC(O)(CR6R6)tR9,(p)-SC(O)(CR6R6)tR9,(q)-(O)O(CR6R6)tR9,(r)-NR6C(O)(CR6R6)tR9,(s)-C(O)NR6(CR6R6)tR9,(t)-(=NR6)(CR6R6)tR9,(u)-C(=NNR6R6)(CR6R6)tR9,(v)-(=NNR6C(O)R6)(CR6R6)tR9,(w)-C(=NOR9)(CR6R6)tR9,(x)-R6C(O)O(CR6R6)tR9,(y)-OC(O)NR6(CR6R6)tR9,(z)-R6C(O)NR6(CR6R6)tR9,(aa)-NR6S(O)p(CR6R6)tR9,(bb)-(O)pNR6(CR6R6)tR9,(cc)-NR6S(O)pNR6(CR6R6)tR9,(dd)-NR6R6,(ee)-R6(CR6R6),(ff)-OH,(gg)-NR6R6,(hh)-OCH3,(ii)-S(O)nR6,(jj)-NC(O)R6Each occurrence of R7 is independently selected from the following: )H, (b)=O, (c)F, (d)Cl, (e)Br, (f)I, (g)-CF3 ,)-CN, (i)-N3 (j)-NO2 , (k)-NR6 (CR6 R6 )t R9 , (l)-OR9 , (m)-S(O)p C(R6 R6 )t R9 ,)-C(O)(CR6 R6 )t R9 , (o)-OC(O)(CR6 R6 )t R9 , (p)-SC (O)(CR6 R6 )t R9 , (q)-(O)O(CR6 R6 )t R9 , (r)-NR6 C(O)(CR6 R6 )t R9 , (s)-C(O)NR6 (CR6 R6 )t R9 , (t)-(=NR6 )(CR6 R6 )t R9 , (u)-C(=NNR6 R6 )(CR6 R6 )t R9 , (v)-(=NNR6 C(O)R6 )(CR6 R6 )t R9 , (w)-C(=NOR9 )(CR6 R6 )t R9 , (x)-R6 C(O)O(CR6 R6 )t R9 , (y)-OC(O)NR6 (CR6 R6 )t R9 , (z )-R6 C(O)NR6 (CR6 R6 )t R9 , (aa)-NR6 S(O)p (CR6 R6 )t R9 , (bb)-(O)pNR6 (CR6 R6 )t R9 , (cc)-NR6 S(O)pNR6 (CR6 R6 )t R9 , (dd)-NR6 R6 , (ee)-R6 (CR6 R6 ), (ff)-OH, (gg)-NR6 R6 , (hh)-OCH3 , (ii)-S(O)n R6 , (jj)-NC(O)R6 ,(kk)C1-6烷基,(ll)C2-6烯基,(mm)C2-6炔基,(nn)3-10元的,饱和的、不饱和的、或芳香的碳环,和(oo)3-10元的,饱和的、不饱和的、或者芳香的杂环,含有一个或多个选自氮、氧或硫的杂原子,(kk) C1-6 alkyl, (ll) C2-6 alkenyl, (mm) C2-6 alkynyl, (nn) 3-10 yuan, saturated, unsaturated, or aromatic carbon Ring, and (oo) 3-10 membered, saturated, unsaturated, or aromatic heterocycles containing one or more heteroatoms selected from nitrogen, oxygen, or sulfur,上述的(kk)至(oo)的任何一个可任选被一个或多个R9取代;Any one of the above-mentioned (kk) to (oo) may be optionally substituted by one or more R9 ;或者,两个R7形成-O(CH2)UO-;Alternatively, two R7 form -O(CH2 )U O-;R8选自下述:R is selected from the following:(a)R5,(b)H,(c)C1-6烷基,(d)C2-6烯基,(e)C2-6炔基,(f)C3-10饱和的、不饱和的、或者芳香的碳环,(g)3-10元的饱和的、不饱和的、或者芳香的杂环,包含一个或多个选自氮、氧或硫的杂原子,(h)-C(O)-C1-6烷基,(i)-C(O)-C1-6烯基,(j)-C(O)-C1-6炔基,(k)-C(O)-C3-10饱和的、不饱和的、或者芳香的杂环,和(l)-C(O)-3-10元的饱和的、不饱和的、或者芳香的杂环,包含一个或多个选自氮、氧或硫的杂原子,(a) R5 , (b) H, (c) C1-6 alkyl, (d) C2-6 alkenyl, (e) C2-6 alkynyl, (f) C3-10 saturated , unsaturated, or aromatic carbocyclic ring, (g) 3-10 membered saturated, unsaturated, or aromatic heterocyclic ring, containing one or more heteroatoms selected from nitrogen, oxygen, or sulfur, (h )-C(O)-C1-6 alkyl, (i)-C(O)-C1-6 alkenyl, (j)-C(O)-C1-6 alkynyl, (k)- C(O)-C3-10 saturated, unsaturated, or aromatic heterocycle, and (l)-C(O)-3-10 membered saturated, unsaturated, or aromatic heterocycle, contains one or more heteroatoms selected from nitrogen, oxygen or sulfur,上述的(c)-(k)可以任意地一个或多个以下基团取代:The above (c)-(k) can be optionally substituted by one or more of the following groups:(aa)H,(bb)F,(cc)Cl,(dd)Br,(ee)I,(ff)CN,(gg)NO2,(hh)OH,(ii)NH2,(jj)NH(C1-6烷基),(kk)N(C1-6烷基)2,(ll)C1-6烷氧基,(mm)芳基,(nn)取代的芳基,(oo)杂芳基,(pp)取代的杂芳基,和(qq)C1-6烷基,任选地被一个或多个芳基、取代的芳基、杂芳基、取代的杂芳基或者F,Cl,Br,CN,NO2,CF3,SCF3和OH取代;(aa)H, (bb)F, (cc)Cl, (dd)Br, (ee)I, (ff)CN, (gg)NO2 , (hh)OH, (ii)NH2 , (jj) NH(C1-6 alkyl), (kk)N(C1-6 alkyl)2 , (ll)C1-6 alkoxy, (mm) aryl, (nn) substituted aryl, ( oo) heteroaryl, (pp) substituted heteroaryl, and (qq) C1-6 alkyl, optionally substituted by one or more aryl, substituted aryl, heteroaryl, substituted heteroaryl group or F, Cl, Br, CN, NO2 , CF3 , SCF3 and OH substitution;每次出现的R9独立地选自下述:Each occurrence ofR is independently selected from the following:(a)R10,(b)C1-6烷基,(c)C2-6烯基,(d)C2-6炔基,(e)C3-10饱和的、不饱和的、或者芳香的碳环,(f)3-10元的饱和的、不饱和的、或者芳香的杂环,包含一个或多个选自氮、氧或硫的杂原子,(a) R10 , (b) C1-6 alkyl, (c) C2-6 alkenyl, (d) C2-6 alkynyl, (e) C3-10 saturated, unsaturated, Or an aromatic carbocycle, (f) a 3-10 membered saturated, unsaturated, or aromatic heterocycle containing one or more heteroatoms selected from nitrogen, oxygen, or sulfur,其中上述的(b)-(f)中的任何一个可以任选被一个或多个R10基团取代;wherein any of the above (b)-(f) can be optionally substituted by one or moreR groups;每次出现的R10独立地选自下述:Each occurrence of R10 is independently selected from the following:(a)H,(b)=O,(c)F,(d)Cl,(e)Br,(f)I,(g)-CF3,(h)-CN,(i)-NO2,(j)-NR6R6,(k)-OR6,(l)-S(O)pR6,(m)-C(O)R6,(n)-C(O)OR6,(o)-OC(O)R6,(p)NR6C(O)R6,(q)-C(O)NR6R6,(r)-C(=NR6)R6,(s)-NR6C(O)NR6R6,(t)-NR6S(O)pR6,(u)-S(O)pNR6R6,(v)-NR6S(O)pNR6R6,(w)C1-6烷基,(a)H, (b)=O, (c)F, (d)Cl, (e)Br, (f)I, (g)-CF3 , (h)-CN, (i)-NO2 , (j)-NR6 R6 , (k)-OR6 , (l)-S(O)p R6 , (m)-C(O)R6 , (n)-C(O)OR6 , (o)-OC(O)R6 , (p)NR6 C(O)R6 , (q)-C(O)NR6 R6 , (r)-C(=NR6 )R6 , (s)-NR6 C(O)NR6 R6 , (t)-NR6 S(O)p R6 , (u)-S(O)p NR6 R6 , (v)-NR6 S (O)p NR6 R6 , (w) C1-6 alkyl,(x)C2-6烯基,(y)C2-6炔基,(z)3-10元的,饱和的、不饱和的、或芳香的碳环,和(aa)3-10元的,饱和的、不饱和的、或者芳香的杂环,含有一个或多个选自氮、氧或硫的杂原子,(x) C2-6 alkenyl, (y) C2-6 alkynyl, (z) 3-10 membered, saturated, unsaturated, or aromatic carbocycle, and (aa) 3-10 membered A saturated, unsaturated, or aromatic heterocycle containing one or more heteroatoms selected from nitrogen, oxygen, or sulfur,其中上述的(w)-(aa)中的任何一个可以任选被一个或多个下述基团取代:R6,F,Cl,Br,I,CN,NO2,OH,-NH2,-NH(C1-6烷基),-N(C1-6烷基)2,C1-6烷氧基,C1-6烷硫基,和C1-6烷酰基;Where any of the above (w)-(aa) can be optionally substituted by one or more of the following groups: R6 , F, Cl, Br, I, CN, NO2 , OH, -NH2 , -NH(C1-6 alkyl), -N(C1-6 alkyl)2 , C1-6 alkoxy, C1-6 alkylthio, and C1-6 alkanoyl;每次出现的R11独立地选自下述:Each occurrence ofR is independently selected from the following:(a)羰基,(b)甲酸基,(c)F,(d)Cl,(e)Br,(f)I,(g)CN,(h)NO2,(i)OR8,(j)-S(O)pR8,(k)-C(O)R8,(l)-C(O)OR8,(m)-OC(O)R8,(n)-C(O)NR8R8,(o)-OC(O)NR8R8,(p)-C(=NR8)R8,(q)-C(R8)(R8)OR8,(r)-C(R8)2OC(O)R8,(s)-C(R8)(OR8)(CH2)rNR8R8,(t)-NR8R8,(u)-NR8OR8,(v)-NR8C(O)R8,(w)-NRC(O)OR,(x)-NR8C(O)NR8R8,(y)-NR8S(O)rR8,-C(OR8)(OR8)R8,(aa)-C(R8)2NR8R8,(bb)=NR8,(cc)-C(S)NR8R8,(dd)-NR8C(S)R8,(ee)-OC(S)NR8R8,(ff)-NR8C(S)OR8,(gg)-NR8C(S)NR8R8,(hSC(O)R8,(ii)C1-8烷基(jj)C2-8烯基(kk)C2-8炔基(a) Carbonyl, (b) Formyl, (c) F, (d) Cl, (e) Br, (f) I, (g) CN, (h) NO2 , (i) OR8 , (j) )-S(O)p R8 , (k)-C(O)R8 , (l)-C(O)OR8 , (m)-OC(O)R8 , (n)-C(O)R 8 )NR8 R8 , (o)-OC(O)NR8 R8 , (p)-C(=NR8 )R8 , (q)-C(R8 )(R8 )OR8 , (r )-C(R8 )2 OC(O)R8 , (s)-C(R8 )(OR8 )(CH2 )r NR8 R8 , (t)-NR8 R8 , (u) -NR8 OR8 , (v)-NR8 C(O)R8 , (w)-NRC(O)OR , (x)-NR8 C(O)NR8 R8 , (y)-NR8 S(O)r R8 , -C(OR8 )(OR8 )R8 , (aa)-C(R8 )2 NR8 R8 , (bb)=NR8 , (cc)-C(S )NR8 R8 , (dd)-NR8 C(S)R8 , (ee)-OC(S)NR8 R8 , (ff)-NR8 C(S)OR8 , (gg)-NR8 C(S)NR8 R8 , (hSC(O)R8 , (ii) C1-8 alkyl (jj) C2-8 alkenyl (kk) C2-8 alkynyl(ll)C1-8烷氧基,(mm)C1-8烷硫基,(nn)C1-8烷酰基,(oo)C-3-10元的,饱和的、不饱和的、或芳香的碳环,和(pp)3-10元的,饱和的、不饱和的、或者芳香的杂环,含有一个或多个选自氮、氧或硫的杂原子,(ll) C1-8 alkoxy, (mm) C1-8 alkylthio, (nn) C1-8 alkanoyl, (oo) C-3-10, saturated, unsaturated, or aromatic carbocycles, and (pp) 3-10 membered, saturated, unsaturated, or aromatic heterocycles containing one or more heteroatoms selected from nitrogen, oxygen or sulfur,其中(ii)-(kk)中的任何一个可任选地被一个或多个R5取代;Wherein any one of (ii)-(kk) can be optionally replaced by one or more R5 ;R12选自:R12 is selected from:(a)H,(b)a C1-6 alkyl group,(c)a C2-6 alkenyl group,(d)a C2-6 alkynyl group,(e)-C(O)R5,(f)-C(O)OR5,(g)-C(O)-NR4R4R4R4,(h)-C(S)R5,(i)-C(S)OR5,(j)-C(O)SR5,(k)-C(S)-NR4R4R4R4(a) H, (b) a C1-6 alkyl group, (c) a C2-6 alkenyl group, (d) a C2-6 alkylnyl group, (e)-C(O)R5 , ( f)-C(O)OR5 , (g)-C(O)-NR4 R4 R4 R4 , (h)-C(S)R5 , (i)-C(S)OR5 , (j)-C(O)SR5 , (k)-C(S)-NR4 R4 R4 R4 ,(l)C3-10饱和的、不饱和的、或者芳香的碳环,(m)3-10元的饱和的、不饱和的、或者芳香的杂环,包含一个或多个选自氮、氧或硫的杂原子,(n)-(C1-6烷基)-3-10元的饱和的、不饱和的、或者芳香的碳环,或者(o)-(C1-6烷基)-3-10元的饱和的、不饱和的、或者芳香的杂环,包含一个或多个选自氮、氧或硫的杂原子,(l) C3-10 saturated, unsaturated, or aromatic carbocyclic ring, (m) 3-10 membered saturated, unsaturated, or aromatic heterocyclic ring, containing one or more selected from nitrogen, A heteroatom of oxygen or sulfur, (n)-(C1-6 alkyl)-3-10 membered saturated, unsaturated, or aromatic carbocycle, or (o)-(C1-6 alkyl )-3-10 membered saturated, unsaturated, or aromatic heterocycles containing one or more heteroatoms selected from nitrogen, oxygen, or sulfur,上述的(a)至(d)和(l)至(o)中的任何一个可以任选地被一个或者多个R5取代;Any of the above (a) to (d) and (l) to (o) may be optionally substituted by one or more R5 ;在任何时候出现时,appear at any time,p为0,1,或2;p is 0, 1, or 2;r为0,1,或2;r is 0, 1, or 2;t为0,1,或2;t is 0, 1, or 2;u为0,1,2,3或4;u is 0, 1, 2, 3 or 4;其前提条件是The prerequisites arei)当T是一个14或15元大环内酯化合物时,D-E不是i) When T is a 14 or 15 membered macrolide compound, D-E is not
Figure A2005800135320011C1
Figure A2005800135320011C1
ii)当T是一个14或者15元的大环内酯化合物时,F-B’不是ii) When T is a 14- or 15-membered macrolide compound, F-B' is not
Figure A2005800135320011C2
Figure A2005800135320011C2
iii)当T是一个14或者15元的大环内酯化合物时,B′-Z-B′不是iii) When T is a 14- or 15-membered macrolide compound, B'-Z-B' is not
Figure A2005800135320012C1
Figure A2005800135320012C1
iv)当T是一个14或者15元的大环内酯化合物时,R11不是iv) When T is a 14- or 15-membered macrolide compound, R11 is not
Figure A2005800135320012C2
Figure A2005800135320012C2
v)当该化合物为式I,和T是v) when the compound is formula I, and T is时,D不是一个单键或-CH2-,when D is not a single bond or -CH2 -,vi)当该化合物为式I,和T是一个14或者15元的大环内酯化合物时,-D-E-F-不是-CH2-,vi) When the compound is of formula I, and T is a 14- or 15-membered macrolide compound, -DEF- is not -CH2 -,vii)当该化合物为式I,和T是一个14或者15元的大环内酯化合物时,-D-E-F-G-不是下面表A中的基团vii) When the compound is formula I, and T is a 14- or 15-membered macrolide compound, -D-E-F-G- is not a group in Table A below                        表AForm A
Figure A2005800135320013C1
Figure A2005800135320013C1
and
viii)当该化合物为式II,和T是一个16元的大环内酯化合物时,viii) when the compound is formula II, and T is a 16-membered macrolide compound,i.-D-E不是通过其异头碳连接的葡糖苷,i.-D-E is not a glucoside linked through its anomeric carbon,ii.-D-E-F-G-不是连接在5-10元单环或双环碳环或者杂环的、或连接在5或6元的碳环或杂环且进一步连接到5或6元的碳环或杂环的C1-4(烷基),C2-4(烯基),C2-4(炔基)链,这里的所有碳环或杂环可能任选地被一个或多个选自以下的基团取代,(aa)-OH,(bb)-F,(cc)-Cl,(dd)-I,和(ee)-NO2,和ii.-DEFG-is not attached to a 5-10 membered monocyclic or bicyclic carbocyclic or heterocyclic ring, or attached to a 5 or 6 membered carbocyclic or heterocyclic ring and further attached to a 5 or 6 membered carbocyclic or heterocyclic ring C1-4 (alkyl), C2-4 (alkenyl), C2-4 (alkynyl) chains, where all carbocyclic or heterocyclic rings may optionally be selected from one or more of the following group substitution, (aa)-OH, (bb)-F, (cc)-Cl, (dd)-I, and (ee)-NO2 , andIII.-D-E-F-G-不是选自下面表B的基团III.-D-E-F-G- is not a group selected from Table B below                          表BForm B2.如权利要求1所述的化合物,具有以下分子式2. The compound of claim 1 having the molecular formula或者其药学上可接受的盐,酯,N-氧化物,或者前体药物,or a pharmaceutically acceptable salt, ester, N-oxide, or prodrug thereof,其中T,D,E,F,G,R1,R2,和R3如权利要求1所定义的。wherein T, D, E, F, G, R1 , R2 , and R3 are as defined in claim 1.3.如权利要求1或2所述的化合物,具有以下分子式3. The compound as claimed in claim 1 or 2, having the following molecular formula
Figure A2005800135320014C2
Figure A2005800135320014C2
或者其药学上可接受的盐,酯,N-氧化物,或者前体药物,or a pharmaceutically acceptable salt, ester, N-oxide, or prodrug thereof,其中T,D,E,F,G,R1,R2,和R3如权利要求1所定义的。wherein T, D, E, F, G, R1 , R2 , and R3 are as defined in claim 1.
4.如权利要求1或2所述的化合物,具有以下分子式4. The compound as claimed in claim 1 or 2, having the following molecular formula
Figure A2005800135320015C1
Figure A2005800135320015C1
或者其药学上可接受的盐,酯,N-氧化物,或者前体药物,or a pharmaceutically acceptable salt, ester, N-oxide, or prodrug thereof,其中T,D,E,F,G,R1,R2,和R3如权利要求1所定义的。wherein T, D, E, F, G, R1, R2, and R3 are as defined in claim 1.
5.如权利要求1-4中任何一项所述的化合物,其中T是一个通过大环碳原子连接的14或者15元的大环内酯化合物。5. The compound according to any one of claims 1-4, wherein T is a 14- or 15-membered macrolide compound linked via a macrocyclic carbon atom.6.如权利要求1-5中任何一项所述的化合物,其中G是B′。6. The compound of any one of claims 1-5, wherein G is B'.7.如权利要求6所述的化合物,其中B′选自下述:(a)芳基,(b)杂芳基,(c)联芳基,和(d)稠和的双环或三环的不饱和的或者芳香的环系统,任选地被一个或者多个羰基和一个或多个选自氮、氧和硫的杂原子取代,上述(a)至(d)中的任何一个都可以被一个或者多个R11取代。7. The compound of claim 6, wherein B' is selected from the group consisting of (a) aryl, (b) heteroaryl, (c) biaryl, and (d) fused bicyclic or tricyclic An unsaturated or aromatic ring system, optionally substituted with one or more carbonyl groups and one or more heteroatoms selected from nitrogen, oxygen and sulfur, any of the above (a) to (d) can be Substituted by one or more R11 .8.如权利要求6所述的化合物,其中E是8. The compound of claim 6, wherein E is(a)3-10元的,饱和的、不饱和的、或者芳香的杂环,包含一个或多个选自氮、氧和硫的杂原子,(a) 3-10 membered, saturated, unsaturated, or aromatic heterocycles containing one or more heteroatoms selected from nitrogen, oxygen, and sulfur,(b)3-10元的,饱和的、不饱和的、或芳香族的,碳环,(b) 3-10 membered, saturated, unsaturated, or aromatic, carbocyclic,(c)-W-[3-10元的,饱和的、不饱和的、或者芳香的杂环,包含一个或多个选自氮、氧和硫的杂原子],(c)-W-[3-10 membered, saturated, unsaturated, or aromatic heterocycles containing one or more heteroatoms selected from nitrogen, oxygen, and sulfur],(d)-W-[3-10元的,饱和的、不饱和的、或芳香族的,碳环],(d)-W-[3-10 membered, saturated, unsaturated, or aromatic, carbocycle],(e)-C(O)-,(f)-C(O)O-,(g)-C(O)NR4-,(h)-C(=NR4)-(e)-C(O)-, (f)-C(O)O-, (g)-C(O)NR4 -, (h)-C(=NR4 )-(i)-C(=NR4)O-,(j)-C(=NR4)NR4-,(k)-OC(O)-,(l)-OC(O)O-,(i)-C(=NR4 )O-, (j)-C(=NR4 )NR4 -, (k)-OC(O)-, (l)-OC(O)O-,(m)-OC(O)NR4-,(n)-NR4C(O)-,(o)-NR4C(O)O-,(m)-OC(O)NR4 -, (n)-NR4 C(O)-, (o)-NR4 C(O)O-,(p)-NR4C(O)NR4-,(q)-NR4C(=NR4)NR4-,(r)-S(O)p-,(p)-NR4 C(O)NR4 -, (q)-NR4 C(=NR4 )NR4 -, (r)-S(O)p -,(s)-NR4S(O)2-,(t)-S(O)2NR4-,(u)-C(N-OR4)-,(v)-C(N-NR4R4)-,(s)-NR4 S(O)2 -, (t)-S(O)2 NR4 -, (u)-C(N-OR4 )-, (v)-C(N-NR4 R4 )-,(w)-C(S)NR4-,(x)-NR4C(S)-,(y)-C(S)O-,or(z)-OC(S)-,其中(w)-C(S)NR4 -, (x)-NR4 C(S)-, (y)-C(S)O-, or(z)-OC(S)-, wherei)(a)至(d)中的任何一个都任意可被一个或更多的R5基团取代,i) any of (a) to (d) may optionally be substituted by one or moreR groups,andii)W选自以下基团:ii) W is selected from the following groups:(aa)-OCO-,(bb)-OC(O)O-,(cc)-OC(O)NR4-,(dd)(aa)-OCO-, (bb)-OC(O)O-, (cc)-OC(O)NR4 -, (dd)-NR4C(O)O-,(ee)-OCNOR4-,(ff)-NR4-C(O)O-,(gg)-NR4 C(O)O-, (ee)-OCNOR4 -, (ff)-NR4 -C(O)O-, (gg)-C(S)(NR4)-,(hh)-NR4-,(ii)-OC(S)O-,(jj)-OC(S)NR4-,(kk)-C(S)(NR4 )-, (hh)-NR4 -, (ii)-OC(S)O-, (jj)-OC(S)NR4 -, (kk)-NR4C(S)O-,(ll)-OC(S)NOR4-,(mm)-C(S)O-,(nn)-OC(S)-,-NR4 C(S)O-, (ll)-OC(S)NOR4- , (mm)-C(S)O-, (nn)-OC(S)-,(oo)-C(O)-,(pp)-C(O)O-,(qq)-C(O)NR4-,(rr)-C(=NR4)-,(oo)-C(O)-, (pp)-C(O)O-, (qq)-C(O)NR4 -, (rr)-C(=NR4 )-,(ss)-C(=NR4)O-,(tt)-C(=NR4)NR4-,(uu)-OC(O)-,(vv)(ss)-C(=NR4 )O-, (tt)-C(=NR4 )NR4 -, (uu)-OC(O)-, (vv)-OC(O)O-,(ww)-OC(O)NR4-,(xx)-NR4C(O)-,(yy)-OC(O)O-, (ww)-OC(O)NR4 -, (xx)-NR4 C(O)-, (yy)-NR4C(O)O-,(zz)-NR4C(O)NR4-,(aaa)-NR4C(=NR4)NR4-,-NR4 C(O)O-, (zz)-NR4 C(O)NR4 -, (aaa)-NR4 C(=NR4 )NR4 -,(bbb)-S(O)p-,(ccc)-NR4S(O)2-,(ddd)-S(O)2NR4-,(eee)(bbb)-S(O)p -, (ccc)-NR4 S(O)2 -, (ddd)-S(O)2 NR4 -, (eee)-C(N-OR4)-,(fff)-C(N-NR4R4)-,(ggg)-C(S)NR4-,or(hhh)-C(N-OR4 )-, (fff)-C(N-NR4 R4 )-, (ggg)-C(S)NR4 -, or(hhh)-NR4C(S)-.-NR4 C(S)-.9.如权利要求1-8任意一项所述的化合物,其中D选自下述基团:9. The compound of any one of claims 1-8, wherein D is selected from the following groups:(a)C1-6烷基,(b)C2-6烯基,(c)C2-6炔基,(a) C1-6 alkyl, (b) C2-6 alkenyl, (c) C2-6 alkynyl,其中,in,(i)D的(a)至(c)组中的任何一个的0-2个碳原子可任意地被选自O,S(O)P和NR4的基团取代,(i) 0-2 carbon atoms in any one of (a) to (c) groups of D may be optionally substituted by a group selected from O, S(O)P andNR ,(ii)(a)至c)中的任意一个都可任选地被一个或更多的R5基团取代,和(ii) any of (a) to c) may be optionally substituted with one or moreR groups, andF选自以下基团:F is selected from the following groups:(a)单键(b)C1-6烷基,(c)C2-6烯基,(d)C2-6炔基,其中,(a) single bond (b) C1-6 alkyl, (c) C2-6 alkenyl, (d) C2-6 alkynyl, wherein,(i)F的(b)至(d)组中的任何一个的0-2个碳原子可任意地被选自O,S(O)P和NR4的基团取代,(i) 0-2 carbon atoms of any one of groups (b) to (d) of F may be optionally substituted by a group selected from O, S(O)P andNR ,(ii)F的(b)至(d)中的任何一个都可任选地被一个或更多的R5基团取代,(ii) any of (b) to (d) of F may optionally be substituted with one or moreR groups,(iii)F的(b)至(d)中的任何一个都可任选地被C1-6烷基-R5基团取代。(iii) Any one of (b) to (d) of F may be optionally substituted with a C1-6 alkyl-R5 group.10.如权利要求9所述的化合物,其中E选自以下基团:10. The compound of claim 9, wherein E is selected from the group consisting of:(a)3-10元的,饱和的、不饱和的、或者芳香的杂环,包含一个或多个选自氮、氧和硫的杂原子,(a) 3-10 membered, saturated, unsaturated, or aromatic heterocycles containing one or more heteroatoms selected from nitrogen, oxygen, and sulfur,(b)3-10元的,饱和的、不饱和的、或芳香族的,碳环,(b) 3-10 membered, saturated, unsaturated, or aromatic, carbocyclic,(c)-W-[3-10元的,饱和的、不饱和的、或者芳香的杂环,包含一个或多个选自氮、氧和硫的杂原子],(c)-W-[3-10 membered, saturated, unsaturated, or aromatic heterocycles containing one or more heteroatoms selected from nitrogen, oxygen, and sulfur],(d)-W-[3-10元的,饱和的、不饱和的、或芳香族的,碳环],(d)-W-[3-10 membered, saturated, unsaturated, or aromatic, carbocycle],(e)-C(O)-,(f)-C(O)O-,(g)-C(O)NR4-,(h)-C(=NR4)-,(i)-C(=NR4)O-,(j)(e)-C(O)-, (f)-C(O)O-, (g)-C(O)NR4 -, (h)-C(=NR4 )-, (i)-C (=NR4 )O-, (j)C(=NR4)NR4-,(k)-OC(O)-,(l)-OC(O)O-,C(=NR4 )NR4 -, (k)-OC(O)-, (l)-OC(O)O-,(m)-OC(O)NR4-,(n)-NR4C(O)-,(o)-NR4C(O)O-,(p)-NR4C(O)NR4-,(q)(m)-OC(O)NR4 -, (n)-NR4 C(O)-, (o)-NR4 C(O)O-, (p)-NR4 C(O)NR4 - , (q)NR4C(=NR4)NR4-,(r)-S(O)p-,(s)-NR4S(O)2-,(t)-S(O)2NR4-,(u)NR4 C(=NR4 )NR4 -, (r)-S(O)p -, (s)-NR4 S(O)2 -, (t)-S(O)2 NR4 -, ( u)-C(N-OR4)-,(v)-CH2-,(w)-C(N-NR4R4)-,(x)-C(S)NR4,(Y)-NR4C(S)-,(Z)-C(N-OR4 )-, (v)-CH2 -, (w)-C(N-NR4 R4 )-, (x)-C(S)NR4 , (Y)-NR4 C(S)-, (Z)-C(S)O-,or(aa)-OC(S)-,其中-C(S)O-, or(aa)-OC(S)-, wherei)(a)至(d)中的任何一个都可任选地被一个或更多的R5基团取代,和i) any of (a) to (d) may optionally be substituted by one or more R5 groups, andii)W选自以下基团:ii) W is selected from the following groups:(aa)-OCO-,(bb)-OC(O)O-,(cc)-OC(O)NR4-,(aa)-OCO-, (bb)-OC(O)O-, (cc)-OC(O)NR4 -,(dd)-NR4C(O)O-,(ee)-OCNOR4-,(dd)-NR4 C(O)O-, (ee)-OCNOR4 -,(ff)-NR4-C(O)O-,(gg)-C(S)(NR4)-,(hh)-NR4(ff)-NR4 -C(O)O-, (gg)-C(S)(NR4 )-, (hh)-NR4 ,(ii)-OC(S)O-,(jj)-OC(S)NR4-,(kk)-NR4C(S)O-,(ll)(ii)-OC(S)O-, (jj)-OC(S)NR4 -, (kk)-NR4 C(S)O-, (ll)-OC(S)NOR4-,(mm)-C(S)O-,(nn)-OC(S),(oo)-C(O)-,(pp)-OC(S)NOR4 -, (mm)-C(S)O-, (nn)-OC(S), (oo)-C(O)-, (pp)-C(O)O-,(qq)-C(O)NR4-,(rr)-C(=NR4)-,-C(O)O-, (qq)-C(O)NR4 -, (rr)-C(=NR4 )-,(ss)-C(=NR4)O-,(tt)-C(=NR4)NR4-,(uu)-OC(O)-,(vv)(ss)-C(=NR4 )O-, (tt)-C(=NR4 )NR4 -, (uu)-OC(O)-, (vv)-OC(O)O-,(ww)-OC(O)NR4,(xx)-NR4C(O)-,(yy)-OC(O)O-, (ww)-OC(O)NR4 , (xx)-NR4 C(O)-, (yy)-NR4C(O)O-,(zz)-NR4C(O)NR4-,(aaa)-NR4C(=NR4)NR4-,-NR4 C(O)O-, (zz)-NR4 C(O)NR4 -, (aaa)-NR4 C(=NR4 )NR4 -,(bbb)-S(O)p-,(ccc)-NR4S(O)2-,(ddd)-S(O)2NR4-,(eee)(bbb)-S(O)p -, (ccc)-NR4 S(O)2 -, (ddd)-S(O)2 NR4 -, (eee)-C(N-OR4)-,(fff)-C(N-NR4R4)-,(ggg)-C(S)NR4-,or(hhh)-C(N-OR4 )-, (fff)-C(N-NR4 R4 )-, (ggg)-C(S)NR4 -, or(hhh)-NR4C(S)-.-NR4 C(S)-.11.如权利要求10所述的化合物,其中11. The compound of claim 10, whereinE选自下述基团:E is selected from the following groups:(a)3-10元的,饱和的、不饱和的、或者芳香的杂环,包含一个或多个选自氮、氧和硫的杂原子,(a) 3-10 membered, saturated, unsaturated, or aromatic heterocycles containing one or more heteroatoms selected from nitrogen, oxygen, and sulfur,(b)3-10元的,饱和的、不饱和的、或芳香族的,碳环,(b) 3-10 membered, saturated, unsaturated, or aromatic, carbocyclic,其中(a)和(b)可以被一个或多个任选取代R5基团取代。wherein (a) and (b) may be substituted by one or more optionally substitutedR groups.12.如权利要求9所述的化合物,其中E选自以下基团:12. The compound of claim 9, wherein E is selected from the group consisting of:(a)-C(O)-,(b)-C(O)O-,(c)-C(O)NR4-,(d)-C(=NR4)-,(a)-C(O)-, (b)-C(O)O-, (c)-C(O)NR4 -, (d)-C(=NR4 )-,(e)-C(=NR4)O-,(f)-C(=NR4)NR4-,(g)-OC(O)-,(h)-OC(O)O-,(i)(e)-C(=NR4 )O-, (f)-C(=NR4 )NR4 -, (g)-OC(O)-, (h)-OC(O)O-, (i )-OC(O)NR4-,(j)-NR4C(O)-,(k)-NR4C(O)O-,(l)-NR4C(O)NR4-,(m)-OC(O)NR4 -, (j)-NR4 C(O)-, (k)-NR4 C(O)O-, (l)-NR4 C(O)NR4 -, (m )-NR4C(=NR4)NR4-,(n)-S(O)p-,(o)-NR4S(O)2-,(p)-S(O)2NR4-,(q)-NR4 C(=NR4 )NR4 -, (n)-S(O)p -, (o)-NR4 S(O)2 -, (p)-S(O)2 NR4 -, (q)-C(N-OR4)-,(r)-CH2-,(s)-C(N-NR4R4)-,(t),-C(S)NR4,(u)-NR4C(S)-,(v)-C(S)O,-C(N-OR4 )-, (r)-CH2 -, (s)-C(N-NR4 R4 )-, (t), -C(S)NR4 , (u)-NR4 C(S)-, (v)-C(S)O,and(w)-OC(S)-.and(w)-OC(S)-.13.如权利要求1-12任意一项所述的化合物,其中T是:13. The compound of any one of claims 1-12, wherein T is:
Figure A2005800135320019C1
Figure A2005800135320019C1
或者其N-氧化物,药学上可接受的盐,酯,或者前体药物,or its N-oxide, pharmaceutically acceptable salt, ester, or prodrug,其中:in:M选自以下基团:M is selected from the following groups:(a)-C((O)-,(b)-CH(-OR114)-,(c)-NR114-CH2-,(d)-CH2-NR114-,(e)(a)-C((O)-, (b)-CH(-OR114 )-, (c)-NR114 -CH2 -, (d)-CH2 -NR114 -, (e)-CH(NR114R114)-,(f)-C(=NNR114R114)-,(g)-NR114-C(O)-,(h)-C(O)NR114-,(i)-CH(NR114 R114 )-, (f)-C(=NNR114 R114 )-, (g)-NR114 -C(O)-, (h)-C(O)NR114 -, ( i)-C(=NR114)-,and(j)-CR115R115-,(k)-C(=NOR127)-;-C(=NR114 )-, and (j)-CR115 R115 -, (k)-C(=NOR127 )-;R100选自氢或C1-6烷基;R100 is selected from hydrogen or C1-6 alkyl;R101选自以下基团:R101 is selected from the following groups:(a)H,(b)Cl,(c)F,(d)Br,(e)I,(f)-NR114R114,(g)-NR114C(O)R114,(h)-OR114,(i)-OC(O)R114,(j)-OC(O)OR114,(k)-OC(O)NR114R114,(l)-O-C1-6烷基,(m)-OC(O)-C1-6烷基,(n)-OC(O)O-C1-6烷基,(o)-OC(O)NR114-C1-6烷基,(p)C1-6烷基,(q)C1-6烯基,(r)C1-6炔基,(a) H, (b) Cl, (c) F, (d) Br, (e) I, (f)-NR114 R114 , (g)-NR114 C(O)R114 , (h) -OR114 , (i)-OC(O)R114 , (j)-OC(O)OR114 , (k)-OC(O)NR114 R114 , (l)-OC1-6 alkyl, (m)-OC(O)-C1-6 alkyl, (n)-OC(O)OC1-6 alkyl, (o)-OC(O)NR114 -C1-6 alkyl, ( p) C1-6 alkyl, (q) C1-6 alkenyl, (r) C1-6 alkynyl,其中(l)至(r)中的任何一个可以任选地被一个或者多个R115取代;wherein any one of (l) to (r) can be optionally substituted by one or more R115 ;R102是氢R102 is hydrogenR103选自以下基团:R103 is selected from the following groups:(a)H,(b)-OR114,(c)-O-C1-6烷基-R115,(d)-OC((O)R114(a) H, (b)-OR114 , (c)-OC1-6 alkyl-R115 , (d)-OC((O)R114 ,(e)-OC(O)-C1-6烷基-R115,(f)-OC(O)OR114,(g)-OC(O)O-C1-6烷基-R(e)-OC(O)-C1-6 alkyl-R115 , (f)-OC(O)OR114 , (g)-OC(O)OC1-6 alkyl-R(h)-OC(O)NR114R114,(i)-OC(O)NR114-C1-6烷基-R115,和(h)-OC(O)NR114 R114 , (i)-OC(O)NR114 -C1-6 alkyl-R115 , and(j)(j)或者,R102和R103一起构成羰基;Alternatively, R102 and R103 together form a carbonyl;或者,R101和R103都在与这两个基团连接的碳之间为单键,这样在R100和R102之间形成了一个双键;Alternatively, both R101 and R103 are single bonds between the carbons to which these two groups are attached, thus forming a double bond between R100 and R102 ;或者,R101和R103都取自环氧基团;Alternatively, both R101 and R103 are derived from epoxy groups;R104取自以下基团:R104 is taken from the following groups:(a)H,(b)R114,(c)-C(O)R114(d)-C(O)OR114(e)-C(O)NR114R114,(f)(a) H, (b) R114 , (c)-C(O)R114 (d)-C(O)OR114 (e)-C(O)NR114 R114 , (f)-C1-6K-R114,(g)-C2-6烯基-K-R114,和(h)-C2-6炔基-K-R114-C1-6 KR114 , (g)-C2-6 alkenyl-KR114 , and (h)-C2-6 alkynyl-KR114 ;或者,R103和R104以及其所连接的原子共同形成:Alternatively, R103 and R104 together with the atoms they are attached to form:
Figure A2005800135320020C2
Figure A2005800135320020C2
K选自以下基团:K is selected from the following groups:(a)-C(O)-,(b)-C(O)O-,(c)-C(O)NR114-,(d)-C(=NR114)-,(e)-C(=NR114)O-(a)-C(O)-, (b)-C(O)O-, (c)-C(O)NR114 -, (d)-C(=NR114 )-, (e)-C (=NR114 )O-(f)-C(=NR114)NR114-,(g)-OC(O)-,(h)-OC(O)O-,(i)-OC(O)NR114-,(f)-C(=NR114 )NR114 -, (g)-OC(O)-, (h)-OC(O)O-, (i)-OC(O)NR114 -,(j)-NR114C(O)-,(k)-NR114C(O)O-,(l)-NR114C(O)NR114-,(j)-NR114 C(O)-, (k)-NR114 C(O)O-, (l)-NR114 C(O)NR114- ,(m)-NR114C(=NR114)NR114-,和(o)-S(O)p-;(m)-NR114 C (=NR114 )NR114 -, and (o)-S(O)p -;R105选自以下基团:R105 is selected from the following groups:(a)R114,(b)-OR114,(c)-NR114R114,(d)-O-C1-6烷基-R115,(e)-C(O)-R1(a) R114 , (b)-OR114 , (c)-NR114 R114 , (d)-OC1-6 alkyl-R115 , (e)-C(O)-R1(f)-C(O)-C1-6烷基-R115,(g)-OC(O)-R114,(h)-OC(O)-C1-6烷基-R115(f)-C(O)-C1-6 alkyl-R115 , (g)-OC(O)-R114 , (h)-OC(O)-C1-6 alkyl-R115 ,(i)-OC(O)O-R114,(j)-OC(O)O-C1-6烷基-R115,(k)-OC(O)NR114R114(i)-OC(O)OR114 , (j)-OC(O)OC1-6 alkyl-R115 , (k)-OC(O)NR114 R114 ,(l)-OC(O)NR114-C1-6烷基-R115,(m)-C(O)-C2-6烯基-R115,和(l)-OC(O)NR114 -C1-6 alkyl-R115 , (m)-C(O)-C2-6 alkenyl-R115 , and(n)-C(O)-C2-6炔基-R115(n)-C(O)-C2-6 alkynyl-R115 ;或者,R104和R105以及其所连接的原子共同形成:Alternatively, R104 and R105 together with the atoms they are attached to form:
Figure A2005800135320021C1
Figure A2005800135320021C1
其中Q是CH或N,和R126是-OR114,-NR114,或R114wherein Q is CH or N, and R126 is -OR114 , -NR114 , or R114 ;或者R104和R105以及其所连接的原子共同形成:Or R104 and R105 together with the atoms they are attached to form:其中ini)R101如前述定义的;i) R101 is as defined above;ii)或者R101和R109可以一起构成羰基;ii) or R101 and R109 can together form a carbonyl group;iii)或者R101和R109可以共同形成-O(CR116R116)UO-;iii) or R101 and R109 can jointly form -O(CR116 R116 )U O-;或者R104和R105以及其所连接的原子共同形成:Or R104 and R105 together with the atoms they are attached to form:
Figure A2005800135320022C1
Figure A2005800135320022C1
i)R130is-OH,=C(O),或R114i) R130 is-OH, =C(O), or R114 ,i)R130是-OH,=C(O)或R114i) R130 is -OH, =C(O) or R114 ,ii)R131是-OH,=C(O)或R114ii) R131 is -OH, =C(O) or R114 ,iii)或者,R130和R131以及其所连接的原子一起形成3-7元的,饱和的、不饱和的、或芳香族的碳环或者杂环,并可任选地被一个或多个R114基团取代;iii) Alternatively, R130 and R131 and the atoms they are connected to together form a 3-7 membered, saturated, unsaturated, or aromatic carbocyclic or heterocyclic ring, and may optionally be surrounded by one or more R114 group substitution;R106选自以下基团:R106 is selected from the following groups:(a)-OR114,(b)-C1-6 alkoxy-R115,(c)-C(O)R114,(d)-OC(O)R114,(e)(a)-OR114 , (b)-C1-6 alkoxy-R115 , (c)-C(O)R114 , (d)-OC(O)R114 , (e)-OC(O)OR114,(f)-OC(O)NR114R114,and(g)-NR114R114-OC(O)OR114 , (f)-OC(O)NR114 R114 , and (g)-NR114 R114 ,或者,R105和R106以及其所连接的原子,通过都与选自下列的基团相连从而共同形成一个5元环:Alternatively, R105 and R106 , and the atoms to which they are attached, together form a 5-membered ring by being all attached to a group selected from:(a)-OC(R115)2O-,(b)-OC(O)O-,(c)-OC(O)NR114-,(d)-NR114C(O)O-,(a)-OC(R115 )2 O-, (b)-OC(O)O-, (c)-OC(O)NR114- , (d)-NR114 C(O)O-,(e)-OC(O)NOR114-,(f)-NOR114-C(O)O-,(g)-OC(O)NNR114R114-,(e)-OC(O)NOR114- , (f)-NOR114 -C(O)O-, (g)-OC(O)NNR114 R114- ,(h)-NNR114R114-C(O)O-,(i)-OC(O)C(R115)2-,(j)-C(R115)2C(O)O-,(k)(h)-NNR114 R114 -C(O)O-, (i)-OC(O)C(R115 )2 -, (j)-C(R115 )2 C(O)O-, ( k)-OC(S)O-,(l)-OC((S)NR114-,(m)-NR114C(S)O-,(n)-OC(S)NOR114-,(o)-OC(S)O-, (l)-OC((S)NR114 -, (m)-NR114 C(S)O-, (n)-OC(S)NOR114 -, (o)-NOR114-C(S)O-,(p)-OC(S)NNR114R114-,(q)-NNR114R114-C(S)O-,(r)-NOR114 -C(S)O-, (p)-OC(S)NNR114 R114 -, (q)-NNR114 R114 -C(S)O-, (r)OC(S)C(R115)2-,and(s)-C(R115)2C(S)O-;OC(S)C(R115 )2 -, and(s)-C(R115 )2 C(S)O-;或者,M,R105,和R106以及其所连接的原子共同形成:Alternatively, M, R105 , and R106 together with the atoms to which they are attached form:其中J选自O,S和NR114Wherein J is selected from O, S and NR114 ;或者,M和R104以及其所连接的原子共同形成以下结构:Alternatively, M and R104 and the atoms to which they are attached together form the following structure:
Figure A2005800135320024C1
Figure A2005800135320024C1
R107选自以下基团:R107 is selected from the following groups:(a)H,(b)-C1-4烷基,(c)-C2-4烯基,并可进一步被C1-12烷基或者一个或更多卤素原子取代,(d)-C2-4炔基,并可进一步被C1-12烷基或者一个或更多卤素原子取代,(e)芳基或杂芳基,并可进一步被C1-12烷基或者一个或更多卤素原子取代,(f)-C(O)H,(g)-COOH,(h)-CN,(i)-COOR114,(j)-C(O)NR114R114,(k)-C(O)R114,和(l)-C(O)SR114,上述的(b)可进一步被一个或多个以下基团取代:(a) H, (b)-C1-4 alkyl, (c)-C2-4 alkenyl, and can be further replaced by C1-12 alkyl or one or more halogen atoms, (d)- C2-4 alkynyl, and may be further substituted by C1-12 alkyl or one or more halogen atoms, (e) aryl or heteroaryl, and may be further substituted by C1-12 alkyl or one or more Multi-halogen substitution, (f)-C(O)H, (g)-COOH, (h)-CN, (i)-COOR114 , (j)-C(O)NR114 R114 , (k) -C(O)R114 , and (l)-C(O)SR114 , the above (b) can be further substituted by one or more of the following groups:(aa)-OR114,(bb)卤素,(cc)-SR114,(dd)C1-12烷基,可进一步被卤素原子,羟基,C1-6烷氧基或氨基取代,(ee)-OR114,(ff)-SR114,(gg)-NR114R114,(hh)-CN,(ii)-NO2,(jj)-NC(O)R114,(kk)-COOR114,(ll)-N3,(mm)=N-O-R114,(nn)=NR114,(oo)=NNR114R114,(pp)=N-NH-C(O)R114,和(qq)=N-NH-C(O)NR114R114(aa)-OR114 , (bb) halogen, (cc)-SR114 , (dd) C1-12 alkyl, which can be further substituted by halogen atom, hydroxyl, C1-6 alkoxy or amino, (ee )-OR114 , (ff)-SR114 , (gg)-NR114 R114 , (hh)-CN, (ii)-NO2 , (jj)-NC(O)R114 , (kk)-COOR114 , (ll)-N3 , (mm)=NOR114 , (nn)=NR114 , (oo)=NNR114 R114 , (pp)=N-NH-C(O)R114 , and (qq )=N-NH-C(O)NR114 R114 ;或者,R106和R107以及其所连接的原子原子共同形成一个环氧基团,羰基,烯烃,或取代的烯烃,或一个C3-7碳环,碳酸盐或氨基甲酸盐,其中所述氨基甲酸盐上的氮可进一步被C1-6烷基取代;Alternatively, R106 and R107 and the atoms they are connected to together form an epoxy group, carbonyl, alkene, or substituted alkene, or a C3-7 carbon ring, carbonate or carbamate, wherein The nitrogen on the carbamate can be further replaced by C1-6 alkyl;R108选自以下基团:R108 is selected from the following groups:(a)C1-6烷基,(b)C2-6烯基,和(c)C2-6炔基,所述的(a)至(c)中的任何一个可任选被R114取代;(a) C1-6 alkyl, (b) C2-6 alkenyl, and (c) C2-6 alkynyl, any one of the (a) to (c) can be optionally replaced by R114 replaces;R111选自H和-C(O)R114R111 is selected from H and -C(O)R114 ;R112选自H,OH和-OR114R112 is selected from H, OH and -OR114 ;R113选自以下基团:R113 is selected from the following groups:(a)H,(b)R114,(c)-C1-6烷基-K-R114,(d)-C2-6烯基-K-R114,(e)-C2-6炔基-K-R114(a) H, (b) R114 , (c)-C1-6 alkyl-KR114 , (d)-C2-6 alkenyl-KR114 , (e)-C2-6 alkynyl- KR114 ,其中(c)-(e)中的任何一个可任选地被一个或多个R115取代;wherein any of (c)-(e) may be optionally substituted by one or more R115 ;每次出现的R114独立地选自以下基团:Each occurrence of R114 is independently selected from the following groups:(a)H,(b)C1-6烷基,(c)C2-6烯基,(d)C2-6炔基,(e)C6-10饱和的、不饱和的、或者芳香的碳环,(f)3-12元的饱和的、不饱和的、或者芳香的杂环,包含一个或多个选自氮、氧或硫的杂原子,(g)-C(O)-C1-6烷基,(h)-C(O)-C2-6烯基,(i)-C(O)-C2-6炔基,(j)-C(O)-C6-10饱和的,不饱和的,或者芳香的碳环,(k)-C(O)-3-12元的饱和的,不饱和的,或者芳香的杂环,包含一个或多个选自氮、氧或硫的杂原子,(l)-C(O)O-C1-6烷基,(m)-C(O)O-C2-6烯基,(n)-C(O)O-C2-6炔基,(o)-C(O)O-C6-10饱和的,不饱和的,或者芳香的碳环,(p)-C(O)O-3-12元的饱和的,不饱和的,或者芳香的杂环,包含一个或多个选自氮、氧或硫的杂原子,和(q)-C(O)NR116R116(a) H, (b) C1-6 alkyl, (c) C2-6 alkenyl, (d) C2-6 alkynyl, (e) C6-10 saturated, unsaturated, or Aromatic carbocycles, (f) 3-12 membered saturated, unsaturated, or aromatic heterocycles containing one or more heteroatoms selected from nitrogen, oxygen or sulfur, (g)-C(O) -C1-6 alkyl, (h)-C(O)-C2-6 alkenyl, (i)-C(O)-C2-6 alkynyl, (j)-C(O)-C6-10 saturated, unsaturated, or aromatic carbocyclic rings, (k)-C (O)-3-12 membered saturated, unsaturated, or aromatic heterocyclic rings, containing one or more selected from Heteroatoms of nitrogen, oxygen or sulfur, (l)-C(O)OC1-6 alkyl, (m)-C(O)OC2-6 alkenyl, (n)-C(O)OC2- 6 alkynyl, (o)-C(O)OC6-10 saturated, unsaturated, or aromatic carbocycle, (p)-C(O)O-3-12 membered saturated, unsaturated , or an aromatic heterocycle containing one or more heteroatoms selected from nitrogen, oxygen or sulfur, and (q)-C(O)NR116 R116 ,其中(b)-(p)中的任何一个可以任选地被一个或多个R115取代,(b)-(p)其中任何一个非端点的碳可以任选地被氧,S(O)P或-NR116取代;Wherein (b)-(p) any one can be optionally replaced by one or more R115 , (b)-(p) wherein any non-terminal carbon can optionally be oxygen, S(O) P or -NR116 substitution;或者,NR114R114形成3-7元的,饱和或不饱和的,或芳香族的碳环,包括该与R114连接的氮原子,该环可任选地被一个或多个氧,S(O)P,氮或-NR118取代;Alternatively, NR114 R114 forms a 3-7 membered, saturated or unsaturated, or aromatic carbocyclic ring, including the nitrogen atom to which R114 is attached, which ring may optionally be replaced by one or more oxygen, S (O)P , nitrogen or -NR118 substitution;R115选自:R115 is selected from:(a)R117,(b)C1-8烷基,(c)C2-8烯基,(d)C2-8炔基,(e)C3-12饱和的,不饱和的,或者芳香的碳环,(f)3-12元的饱和的,不饱和的,或者芳香的杂环,包含一个或多个选自氮、氧或硫的杂原子,(a) R117 , (b) C1-8 alkyl, (c) C2-8 alkenyl, (d) C2-8 alkynyl, (e) C3-12 saturated, unsaturated, Or an aromatic carbocycle, (f) 3-12 membered saturated, unsaturated, or aromatic heterocycles containing one or more heteroatoms selected from nitrogen, oxygen, or sulfur,其中(b)-(p)中的任何一个可以任选地被一个或多个R117取代;wherein any of (b)-(p) can be optionally substituted by one or more R117 ;每次出现的R116独立地选自以下基团:Each occurrence of R116 is independently selected from the following groups:(a)H,(b)C1-6烷基,(c)C2-6烯基,(d)C2-6炔基,(e)C3-10饱和的,不饱和的,或者芳香的碳环,(f)3-10元的饱和的,不饱和的,或者芳香的杂环,包含一个或多个选自氮、氧或硫的杂原子,(a) H, (b) C1-6 alkyl, (c) C2-6 alkenyl, (d) C2-6 alkynyl, (e) C3-10 saturated, unsaturated, or Aromatic carbocycles, (f) 3-10 membered saturated, unsaturated, or aromatic heterocycles containing one or more heteroatoms selected from nitrogen, oxygen or sulfur,其中(b)-(d)中的任何一个非端点的碳可以任选地被氧,S(O)P或-NR116取代,其中任一个(b)-(f)基团可以任选地被一个或多个以下基团取代:Any non-terminal carbon in (b)-(d) can optionally be replaced by oxygen, S(O)P or -NR116 , and any one of (b)-(f) groups can be optionally Substituted by one or more of the following groups:(aa)羰基,(bb)甲酸基,(cc)F,(dd)Cl,(ee)Br,(ff)I,(gg)CN,(aa) carbonyl, (bb) formyl, (cc) F, (dd) Cl, (ee) Br, (ff) I, (gg) CN,(hh)N3,(ii)NO2,(ij)OR118,(kk)-S(O)pR118,(ll)-C(O)R118,(mm)(hh)N3 , (ii)NO2 , (ij)OR118 , (kk)-S(O)p R118 , (ll)-C(O)R118 , (mm)-C(O)OR118,(nn)-OC(O)R118,(oo)-C(O)NR118R118,(pp)-C(O)OR118 , (nn)-OC(O)R118 , (oo)-C(O)NR118 R118 , (pp)-OC(O)NR118R118,(qq)-C(=NR118)R118,(rr)-C(R118)(R118)OR118-OC(O)NR118 R118 , (qq)-C(=NR118 )R118 , (rr)-C(R118 )(R118 )OR118 ,(ss)-C(R118)2OC(O)R118,(tt)-C(R118)(OR118)(CH2)rNR118R118(ss)-C(R118 )2 OC(O)R118 , (tt)-C(R118 )(OR118 )(CH2 )r NR118 R118 ,(uu)-NR118R118;(vv)-NR118OR118,(ww)-NR118C(O)R118,(xx)(uu)-NR118 R118 ; (vv)-NR118 OR118 , (ww)-NR118 C(O)R118 , (xx)-NR118C(O)OR118,(yy)-NR118C(O)NR118R118,(zz)-NR118 C(O)OR118 , (yy) -NR118 C(O)NR118 R118 , (zz)NR118S(O)rR118,(ab)-C(OR118)(OR118)R118,(ac)NR118 S(O)r R118 , (ab)-C(OR118 )(OR118 )R118 , (ac)-C(R118)2NR118R118,(ad)=NR118,(ae)-C(S)NR118R118,(af)-C(R118 )2 NR118 R118 , (ad)=NR118 , (ae)-C(S)NR118 R118 , (af)-NR118C(S)R118,(ag)-OC(S)NR118R118,(ah)-NR118C(S)OR118,(ai)-NR118 C(S)R118 , (ag)-OC(S)NR118 R118 , (ah)-NR118 C(S)OR118 , (ai)-NR118C(S)NR118R118,(aj)-SC(O)R118,(ak)C1-8烷基,(al)-NR118 C(S)NR118 R118 , (aj)-SC(O)R118 , (ak)C1-8 alkyl, (al)C2-8烯基,(am)C2-8炔基,(an)C1-8 alkoxy,(ao)C1-8C2-8 alkenyl, (am) C2-8 alkynyl, (an) C1-8 alkoxy, (ao) C1-8巯基,(ap)C1-8酰基,Mercapto, (ap)C1-8 acyl,(aq)C3-10饱和的,不饱和的,或者芳香的碳环,和(ar)3-10元的饱和的,不饱和的,或者芳香的杂环,包含一个或多个选自氮、氧或硫的杂原子,(aq) C3-10 saturated, unsaturated, or aromatic carbocyclic ring, and (ar) 3-10 membered saturated, unsaturated, or aromatic heterocyclic ring, containing one or more selected from nitrogen , oxygen or sulfur heteroatoms,或者,NR116R116形成3-10元的,饱和的、不饱和的、或芳香的环,包括连接于R116的氮原子,并可任选地被一个或多个氧,S(O)P,氮和-NR118取代;Alternatively, NR116 R116 forms a 3-10 membered, saturated, unsaturated, or aromatic ring comprising a nitrogen atom attached to R116 , optionally replaced by one or more oxygen, S(O)P , nitrogen and -NR118 substitution;或者,CR116R116形成羰基;Alternatively, CR116 R116 forms a carbonyl;每次出现的R117独立地选自以下基团:Each occurrence of R117 is independently selected from the following groups:(a)H,(b)=O,(c)F,(d)Cl,(e)Br,(f)I,(g)(CR116R116)rCF3,(h)(CR116R116)rCN,(a) H, (b)=O, (c) F, (d) Cl, (e) Br, (f) I, (g) (CR116 R116 )r CF3 , (h) (CR116 R116 )r CN,(i)(CR116R116)rNO2,(j)(CR116R116)rNR116(CR116R116)tR119,(k)(CR116R116)rOR119(i) (CR116 R116 )r NO2, (j) (CR116 R116 )r NR116 (CR116 R116 )t R119 , (k) (CR116 R116 )r OR119 ,(l)(CR116R116)rS(O)p(CR116R116)tR119,(m)(CR116R116)rC(O)(CR116R116)tR119(l)(CR116 R116 )r S(O)p (CR116 R116 )t R119 , (m)(CR116 R116 )r C(O)(CR116 R116 )t R119 ,(n)(CR116R116)rOC(O)(CR116R116)tR119,(o)(CR116R116)rSC(O)(CR116R116)tR119(n)(CR116 R116 )r OC(O)(CR116 R116 )t R119 , (o)(CR116 R116 )r SC(O)(CR116 R116 )t R119 ,(p)(CR116R116)rC(O)O(CR116R116)tR119,(q)(CR116R116)rNR116C(O)(CR116R116)tR119(p)(CR116 R116 )r C(O)O(CR116 R116 )t R119 , (q)(CR116 R116 )r NR116 C(O)(CR116 R116 )t R119 ,(r)(CR116R116)rC(O)NR116(CR116R116)tR119,(s)(r)(CR116 R116 )r C(O)NR116 (CR116 R116 )t R119 , (s)(CR116R116)rC(=NR116)(CR116R116)tR119(CR116 R116 )r C (=NR116 )(CR116 R116 )t R119 ,(t)(CR116R116)rC(=NNR116R116)(CR116R116)tR119(t)(CR116 R116 )r C (=NNR116 R116 )(CR116 R116 )t R119 ,(u)(CR116R116)rC(=NNR116C(O)R116)(CR116R116)tR119(u)(CR116 R116 )r C (=NNR116 C(O)R116 )(CR116 R116 )t R119 ,(v)(CR116R116)rC(=NOR119)(CR116R116)tR119(v)(CR116 R116 )r C (=NOR119 )(CR116 R116 )t R119 ,(w)(CR116R116)rNR116C(O)O(CR116R116)tR119(w)(CR116 R116 )r NR116 C(O)O(CR116 R116 )t R119 ,(x)(CR116R116)rOC(O)NR116(CR116R116)tR119(x)(CR116 R116 )r OC(O)NR116 (CR116 R116 )t R119 ,(y)(CR116R116)rNR116C(O)NR116(CR116R116)tR119(y)(CR116 R116 )r NR116 C(O)NR116 (CR116 R116 )t R119 ,(z)(CR116R116)rNR116S(O)p(CR116R116)tR119(z)(CR116 R116 )r NR116 S(O)p (CR116 R116 )t R119 ,(aa)(CR116R116)rS(O)pNR116(CR116R116)tR119(aa)(CR116 R116 )r S(O)p NR116 (CR116 R116 )t R119 ,(bb)(CR116R116)rNR116S(O)pNR116(CR116R116)tR119,(cc)(CR116R116)rNR116R116(bb)(CR116 R116 )r NR116 S(O)p NR116 (CR116 R116 )t R119 , (cc)(CR116 R116 )r NR116 R116 ,(dd)C1-6 alkyl,(ee)C2-6 alkenyl,(ff)C2-6 alkynyl,(dd)C1-6 alkyl, (ee)C2-6 alkenyl, (ff)C2-6 alkynyl,(gg)(CR116R116)-C3-10元饱和的,不饱和的,或者芳香的碳环,和(hh)(CR116R116)r-3-10元的饱和的,不饱和的,或者芳香的杂环,包含一个或多个选自氮、氧或硫的杂原子,(gg)(CR116 R116 )-C3-10 membered saturated, unsaturated, or aromatic carbocycle, and (hh)(CR116 R116 )r -3-10 membered saturated, unsaturated , or an aromatic heterocycle containing one or more heteroatoms selected from nitrogen, oxygen or sulfur,其中(dd)至(hh)中的任何一个可任选地被一个或多个R119基团取代;wherein any of (dd) to (hh) may be optionally substituted by one or moreR groups;或者两个R117基团形成-O(CH2)UO-;Or two R117 groups form -O(CH2 )U O-;每次出现的R118独立地选自以下基团:Each occurrence of R118 is independently selected from the following groups:(a)H,(b)C1-6烷基,(c)C2-6烯基,(d)C2-6炔基,(e)C3-10饱和的,不饱和的,或者芳香的碳环,(f)3-10元的饱和的,不饱和的,或者芳香的杂环,包含一个或多个选自氮、氧或硫的杂原子,(g)-C(O)-C1-6烷基,(h)-C(O)-C1-6烯基,(g)-C(O)-C1-6炔基,(i)-C(O)-C3-10饱和的,不饱和的,或者芳香的碳环,和(j)-C(O)-C3-10饱和的,不饱和的,或者芳香的杂环,包括一个或更多个选自氮、氧或硫的杂原子,(a) H, (b) C1-6 alkyl, (c) C2-6 alkenyl, (d) C2-6 alkynyl, (e) C3-10 saturated, unsaturated, or Aromatic carbocycle, (f) 3-10 membered saturated, unsaturated, or aromatic heterocycle containing one or more heteroatoms selected from nitrogen, oxygen, or sulfur, (g)-C(O) -C1-6 alkyl, (h)-C(O)-C1-6 alkenyl, (g)-C(O)-C1-6 alkynyl, (i)-C(O)-C3-10 saturated, unsaturated, or aromatic carbocyclic rings, and (j)-C(O)-C3-10 saturated, unsaturated, or aromatic heterocyclic rings, including one or more selected Heteroatoms from nitrogen, oxygen or sulfur,其中(b)至(j)中的任何一个可任选地被下列基团取代:(aa)H,(bb)F,(cc)Cl,(dd)Br,(ee)I,(ff)CN,(gg)NO2,(hh)OH,(ii)NH2,(jj)NH(C1-6烷基),(kk)N(C1-6烷基)2,(ll)C1-6烷氧基,(mm)芳基,(nn)取代的芳基,(oo)杂芳基,(pp)取代的杂芳基,和(qq)C1-6烷基,任选地被一个或多个芳基、取代的芳基、杂芳基、取代的杂芳基、F、Cl、Br、I、CN、NO2和OH取代;wherein any of (b) to (j) may be optionally substituted by the following groups: (aa)H, (bb)F, (cc)Cl, (dd)Br, (ee)I, (ff) CN, (gg)NO2 , (hh)OH, (ii)NH2 , (jj)NH(C1-6 alkyl), (kk)N(C1-6 alkyl)2 , (ll)C1-6 alkoxy, (mm) aryl, (nn) substituted aryl, (oo) heteroaryl, (pp) substituted heteroaryl, and (qq) C1-6 alkyl, optional is substituted with one or more of aryl, substituted aryl, heteroaryl, substituted heteroaryl, F, Cl, Br, I, CN, NO2 and OH;每次出现的R119独立地选自以下基团:Each occurrence of R119 is independently selected from the following groups:(a)R120,(b)C1-6烷基,(c)C2-6烯基,(d)C2-6炔基,(e)C3-10饱和的,不饱和的,或者芳香的碳环,(f)3-10元的饱和的,不饱和的,或者芳香的杂环,包含一个或多个选自氮、氧或硫的杂原子,(a) R120 , (b) C1-6 alkyl, (c) C2-6 alkenyl, (d) C2-6 alkynyl, (e) C3-10 saturated, unsaturated, Or an aromatic carbocycle, (f) a 3-10 membered saturated, unsaturated, or aromatic heterocycle containing one or more heteroatoms selected from nitrogen, oxygen, or sulfur,其中(b)-(f)中的任何一个可以任选地被一个或多个R119取代;wherein any of (b)-(f) can be optionally substituted by one or more R119 ;每次出现的R120独立地选自以下基团:Each occurrence of R120 is independently selected from the following groups:(a)H,(b)=O,(c)F,(d)Cl,(e)Br,(f)I,(g)(CR116R116)rCF3,(h)(CR116R116)rCN,(a) H, (b)=O, (c) F, (d) Cl, (e) Br, (f) I, (g) (CR116 R116 )r CF3, (h) (CR116 R116 )r CN,(i)(CR116R116)rNO2,(j)(CR116R116)rNR116R116,(k)(CR116R116)rOR114(i) (CR116 R116 )r NO2 , (j) (CR116 R116 )r NR116 R116 , (k) (CR116 R116 )r OR114 ,(l)(CR116R116)rS(O)pR116,(m)(CR116R116)rC(O)R116,(n)(CR116R116)rC(O)OR116(l)(CR116 R116 )r S(O)p R116 , (m)(CR116 R116 )r C(O)R116 , (n)(CR116 R116 )r C(O)OR116 ,(o)(CR116R116)rOC(O)R116,(p)(CR116R116)rNR116C(O)R116(o)(CR116 R116 )r OC(O)R116 , (p)(CR116 R116 )r NR116 C(O)R116 ,(q)(CR116R116)rC(O)NR116R116,(r)(CR116R116)rC(=NR116)R116(q)(CR116 R116 )r C(O)NR116 R116 , (r)(CR116 R116 )r C(=NR116 )R116 ,(s)(CR116R116)rNR116C(O)NR116R116,(t)(CR116R116)rNR116S(O)pR116(s)(CR116 R116 )r NR116 C(O)NR116 R116 , (t)(CR116 R116 )r NR116 S(O)p R116 ,(u)(CR116R116)rS(O)pNR116R116,(v)(CR116R116)rNR116S(O)pNR116R116(u)(CR116 R116 )r S(O)p NR116 R116 , (v)(CR116 R116 )r NR116 S(O)p NR116 R116 ,(w)C1-6烷基,(x)C2-6烯基,(y)C2-6炔基,(z)(CR116R116)r-C-3-10元的饱和的,不饱和的,或芳香的碳环,和(aa)(CR116R116)r-3-10元的饱和的,不饱和的,或者芳香的杂环,包含一个或多个选自氮、氧或硫的杂原子,(w) C1-6 alkyl, (x) C2-6 alkenyl, (y) C2-6 alkynyl, (z) (CR116 R116 )r -C-3-10 saturated , unsaturated, or aromatic carbocycle, and (aa)(CR116 R116 )r -3-10 membered saturated, unsaturated, or aromatic heterocycle, containing one or more selected from nitrogen, heteroatoms of oxygen or sulfur,其中,(w)至(aa)中的任意一个都可任选地被一个或多个选自以下的基团取代,R116、F、Cl、Br、I、CN、NO2、-OR116、-NH2、-NH(C1-6烷基)、-N(C1-6烷基)2、C1-6烷氧基、C1-6巯基和C1-6酰基;Wherein, any one of (w) to (aa) can be optionally substituted by one or more groups selected from the group consisting of R116 , F, Cl, Br, I, CN, NO2 , -OR116 , -NH2 , -NH(C1-6 alkyl), -N(C1-6 alkyl)2 , C1-6 alkoxy, C1-6 mercapto and C1-6 acyl;每次出现的R121独立地选自以下基团:Each occurrence of R121 is independently selected from the following groups:(a)H,(b)-OR118,(c)-O-C1-6 alkyl-OC(O)R118,(d)-O-C1-6 alkyl-OC(O)OR118(a) H, (b)-OR118 , (c)-OC1-6 alkyl-OC(O)R118 , (d)-OC1-6 alkyl-OC(O)OR118 ,(e)-O-C1-6 alkyl-OC(O)NR118R118,(f)-O-C1-6 alkyl-C(O)NR118R118,(g)(e)-OC1-6 alkyl-OC(O)NR118 R118 , (f)-OC1-6 alkyl-C(O)NR118 R118 , (g)O-C1-6 alyl-NR118C(O)R118,(h)-O-C1-6 alkyl-NR118C(O)OR118,(i)OC1-6 alkyl-NR118 C(O)R118 , (h)-OC1-6 alkyl-NR118 C(O)OR118 , (i)-O-C1-6alkyl-NR118C(O)NR118R118,(j)-O-C1-6 alkyl-NR118C(=N(H)NR118R118,(k)-OC1-6 alkyl-NR118 C(O)NR118 R118 , (j)-OC1-6 alkyl-NR118 C(=N(H)NR118 R118 , (k)-O-C1-6 alkyl-S(O)pR118,(l)-O-C2-6 alkenyl-OC(O)R118,(m)-O-C2-6 alkenyl-OC(O)OR118-OC1-6 alkyl-S(O)p R118 , (l)-OC2-6 alkenyl-OC(O)R118 , (m)-OC2-6 alkenyl-OC(O)OR118 ,(n)-O-C2-6 alkenyl-OC(O)NR118R118,(o)-O-C2-6 alkenyl-C(O)NR118R118(n)-OC2-6 alkenyl-OC(O)NR118 R118 ,(o)-OC2-6 alkenyl-C(O)NR118 R118(p)-O-C2-6 alkenyl-NR118C(O)R118,(q)-O-C2-6 alkenyl-NR118C(O)OR118(p)-OC2-6 alkenyl-NR118 C(O)R118 , (q)-OC2-6 alkenyl-NR118 C(O)OR118 ,(r)-O-C2-6 alkenyl-NR118C(O)NR118R118,(s)C2-6 alkenyl-(r)-OC2-6 alkenyl-NR118 C(O)NR118 R118 , (s)C2-6 alkenyl--O-C2-6 alkenyl-NR118C(=N(H)NR118R118,(t)-O-C2-6 alkenyl-S(O)pR118-OC2-6 alkenyl-NR118 C(=N(H)NR118 R118 , (t)-OC2-6 alkenyl-S(O)pR118 ,(u)-O-C2-6 alkynyl-OC(O)R118,(v)-O-C2-6 alkynyl-OC(O)OR118(u)-OC2-6 alkynyl-OC(O)R118 , (v)-OC2-6 alkynyl-OC(O)OR118 ,(w)-O-C2-6 alkynyl-OC(O)NR118R118,(x)-O-C2-6 alkynyl-C(O)NR118R118,(y)(w)-OC2-6 alkynyl-OC(O)NR118 R118 , (x)-OC2-6 alkynyl-C(O)NR118 R118 , (y)-O-C2-6 alkynyl-NR118C(O)R118,(z)-O-C2-6 alkyny1-NR118C(O)OR118,(aa)-OC2-6 alkynyl-NR118 C(O)R118 , (z)-OC2-6 alkyny1-NR118 C(O)OR118 , (aa)-O-C2-6 alkynyl-NR118C(O)NR118R118-OC2-6 alkynyl-NR118 C(O)NR118 R118 ,(bb)-O-C2-6 alkynyl-NR118C(=N(H)NR118R118,(cc)-O-C2-6 alkynyl-S(O)pR118(bb)-OC2-6 alkynyl-NR118 C(=N(H)NR118 R118 , (cc)-OC2-6 alkynyl-S(O)p R118 ;和(dd)-NR118R118and (dd)-NR118 R118 ;或者两个R121基团共同形成=O,=NOR118,和=NNR118R118Or two R121 groups together form =O, =NOR118 , and =NNR118 R118 ;R122是R115R122 is R115 ;R123选自以下基团:(a)R116,(b)F,(c)Cl,(d)Br,(e)I,(f)CN,(g)NO2,和(h)OR114R123 is selected from the following groups: (a) R116 , (b) F, (c) Cl, (d) Br, (e) I, (f) CN, (g) NO2 , and (h) OR114 ,或者R122和R123形成-O(CH2)UO-;Or R122 and R123 form -O(CH2 )U O-;每次出现的R124独立地选自以下基团:(a)H,(b)F,(c)Cl,(d)Br,(e)I,(f)CN,(g)OR114,(h)NO2,(i)-NR114R114,(j)C1-6烷基,(k)C1-6酰基,和(l)C1-6烷氧基;Each occurrence of R124 is independently selected from the following groups: (a) H, (b) F, (c) Cl, (d) Br, (e) I, (f) CN, (g) OR114 , (h) NO2 , (i)-NR114 R114 , (j) C1-6 alkyl, (k) C1-6 acyl, and (l) C1-6 alkoxy;R125选自以下基团:(a)C1-6烷基,(b)C2-6烯基,(c)C2-6炔基,(d)C1-6酰基,(f)C1-6烷氧基,(g)C5-10饱和的,不饱和的,或者芳香的碳环,(h)5-10元的饱和的,不饱和的,或者芳香的杂环,包含一个或多个选自氮、氧或硫的杂原子,(i)-O-C1-6烷基-5-10元的饱和的,不饱和的,或者芳香的杂环,包含一个或多个选自氮、氧或硫的杂原子,(j)-NR114-C1-6烷基-5-10元的饱和的,不饱和的,或者芳香的杂环,包含一个或多个选自氮、氧或硫的杂原子,(k)10元的饱和的、不饱和的、或芳香的双环系统,任选地包含一个或多个选自氮、氧或硫的杂原子,(1)13元的饱和的、不饱和的、或芳香的三环系统,任选地包含一个或多个选自氮、氧或硫的杂原子,(m)-OR114,(n)-NR114R114,(o)-S(O)PR114,和(p)-R124R125 is selected from the following groups: (a) C1-6 alkyl, (b) C2-6 alkenyl, (c) C2-6 alkynyl, (d) C1-6 acyl, (f) C1-6 alkoxy, (g) C5-10 saturated, unsaturated, or aromatic carbocyclic ring, (h) 5-10 membered saturated, unsaturated, or aromatic heterocyclic ring, including One or more heteroatoms selected from nitrogen, oxygen or sulfur, (i)-OC1-6 alkyl-5-10 membered saturated, unsaturated, or aromatic heterocycles, containing one or more Heteroatoms from nitrogen, oxygen or sulfur, (j)-NR114 -C1-6 alkyl-5-10 membered saturated, unsaturated, or aromatic heterocycles, containing one or more selected from nitrogen , oxygen or sulfur heteroatoms, (k) 10-membered saturated, unsaturated, or aromatic bicyclic ring systems, optionally containing one or more heteroatoms selected from nitrogen, oxygen or sulfur, (1) 13 A membered saturated, unsaturated, or aromatic tricyclic ring system optionally containing one or more heteroatoms selected from nitrogen, oxygen, or sulfur, (m)-OR114 , (n)-NR114 R114 , (o)-S(O)P R114 , and (p)-R124 ,其中,(a)-(l)中的任何一个可以任选地被一个或多个R115取代;Wherein, any one of (a)-(l) can be optionally replaced by one or more R115 ;或者,R125和R124与它们连接的碳原子一起形成5-7元的,饱和或不饱和的碳环,并任选地被一个或多个R115基团取代;或者5-7元的,饱和或不饱和的杂环,包含一个或多个选自氮、氧或硫的杂原子,并任选地被一个或多个R115基团取代;Alternatively, R125 and R124 form a 5-7 membered, saturated or unsaturated carbocyclic ring together with the carbon atoms to which they are attached, and are optionally substituted by one or more R115 groups; or 5-7 membered , a saturated or unsaturated heterocycle comprising one or more heteroatoms selected from nitrogen, oxygen or sulfur, and optionally substituted by one or moreR groups;每次R126出现,独立地选自以下基团:Each occurrence of R126 is independently selected from the following groups:(a)H,(b)电子去除基团,(c)芳基,(d)取代的芳基,(e)杂芳基,(f)取代的杂芳基,(g)C1-6烷基,任选地被一个或更多个OR115取代;(a) H, (b) electron-removing group, (c) aryl, (d) substituted aryl, (e) heteroaryl, (f) substituted heteroaryl, (g)C1-6 Alkyl, optionally substituted by one or more OR115 ;或者,任何R126和任何R123与其所连接的原子一起形成5-7元的,饱和的或不饱和的碳环,任选地被一个或更多个R115取代;或形成5-7元的,饱和的或不饱和的杂环,包含一个或更多个选自氮、氧或硫的杂原子,并任选地被一个或更多个R115取代;Alternatively, any R126 and any R123 together form a 5-7 membered, saturated or unsaturated carbocycle, optionally substituted by one or more R115 ; or form a 5-7 membered A saturated or unsaturated heterocyclic ring comprising one or more heteroatoms selected from nitrogen, oxygen or sulfur, and optionally substituted by one or more R115 ;R109是H或F;R109 is H or F;R127是R114,一个单糖或二糖(包括氨基糖或卤代糖),R127 is R114 , a monosaccharide or disaccharide (including amino sugar or halogenated sugar),-(CH2)n-(O-CH2CH2-)m-O(CH2)pCH3 or-(CH2)n-(O-CH2CH2-)m-OH-(CH2 )n -(O-CH2 CH2 -)m -O(CH2 )p CH3 or-(CH2 )n -(O-CH2 CH2 -)m -OHR128是R114R128 is R114 ,R129是R114R129 is R114 ,R110是R114R110 is R114 ,或者,R109和R110与其所连接的碳共同形成以下结构:Alternatively, R109 and R110 together with the carbon to which they are attached form the following structure:或者,R128和R129与它们相连的碳共同形成3-6元的,饱和的、不饱和的、或芳香的碳环或杂环,并可以任选地被一个或多个R114取代;Alternatively, R128 and R129 together with their attached carbons form a 3-6 membered, saturated, unsaturated, or aromatic carbocyclic or heterocyclic ring, and may be optionally substituted by one or more R114 ;m为0,1,2,3,4,或5;m is 0, 1, 2, 3, 4, or 5;n为1,2,或3。n is 1, 2, or 3.
14.如权利要求1-13中任意一项所述的化合物,其中T是选自以下的大环内酯化合物:14. The compound of any one of claims 1-13, wherein T is a macrolide compound selected from the group consisting of:
Figure A2005800135320032C2
Figure A2005800135320032C2
或者其N-氧化物,药学上可接受的盐,酯,或者前体药物,其中M,R100,R101,R104,R105,R106,R107,R108,R109,R110,和R120如权利要求13所定义的。Or its N-oxide, pharmaceutically acceptable salt, ester, or prodrug, wherein M, R100 , R101 , R104 , R105 , R106 , R107 , R108 , R109 , R110 , and R120 are as defined in claim 13.
15.如权利要求1-14中任意一项所述的化合物,其中T是选自以下的大环内酯化合物:15. The compound of any one of claims 1-14, wherein T is a macrolide compound selected from the group consisting of:
Figure A2005800135320033C1
Figure A2005800135320033C1
Figure A2005800135320034C1
Figure A2005800135320034C1
Figure A2005800135320035C1
Figure A2005800135320035C1
或者其N-氧化物,药学上可接受的盐,酯,或者前体药物,其中M,R100,R101,R102,R104,R109,R114,R126和R127如权利要求13所定义的。Or its N-oxide, pharmaceutically acceptable salt, ester, or prodrug, wherein M, R100 , R101 , R102 , R104 , R109 , R114 , R126 and R127 are as claimed in the claims 13 as defined.
16.如权利要求1-15中任意一项所述的化合物,其中T是选自以下的大环内酯化合物:16. The compound of any one of claims 1-15, wherein T is a macrolide compound selected from the group consisting of:
Figure A2005800135320036C1
Figure A2005800135320036C1
Figure A2005800135320037C1
Figure A2005800135320037C1
或者其N-氧化物,药学上可接受的盐,酯,或者前体药物,其中M,R1,R2,R104,R114,R109和R127如权利要求13所定义的。Or its N-oxide, pharmaceutically acceptable salt, ester, or prodrug, wherein M, R1 , R2 , R104 , R114 , R109 and R127 are as defined in claim 13.
17.如权利要求1-16中任意一项所述的化合物,其中T是选自以下从T1到T33的的大环内酯化合物:17. The compound of any one of claims 1-16, wherein T is a macrolide compound selected from T1 to T33 below:
Figure A2005800135320038C1
Figure A2005800135320038C1
Figure A2005800135320039C1
Figure A2005800135320039C1
Figure A2005800135320040C1
Figure A2005800135320040C1
Figure A2005800135320041C1
Figure A2005800135320041C1
18.一种化合物,具有表1至表13中任何一个的结构或其药学上可接受的盐,酯,N-氧化物,或者前体药物。18. A compound having the structure of any one of Tables 1 to 13 or a pharmaceutically acceptable salt, ester, N-oxide, or prodrug thereof.19.一种药物组合物,其包括权利要求1-18中任何一项所述的化合物和药学上可接受的载体。19. A pharmaceutical composition comprising the compound of any one of claims 1-18 and a pharmaceutically acceptable carrier.20.一种治疗或者阻止哺乳动物疾病状态的方法,包括向需要的哺乳动物施加有效量的权利要求1-18中任何一项所述的化合物。20. A method of treating or preventing a disease state in a mammal comprising administering to a mammal in need thereof an effective amount of a compound of any one of claims 1-18.21.一种治疗哺乳动物细菌感染的方法,包括向需要的哺乳动物施加有效量的权利要求1-18中任何一项所述的化合物。21. A method of treating a bacterial infection in a mammal comprising administering to a mammal in need thereof an effective amount of a compound of any one of claims 1-18.22.一种治疗哺乳动物真菌感染的方法,包括向需要的哺乳动物施加有效量的权利要求1-18中任何一项所述的化合物。22. A method of treating a fungal infection in a mammal comprising administering to a mammal in need thereof an effective amount of a compound of any one of claims 1-18.23.一种治疗哺乳动物寄生虫病的方法,包括向需要的哺乳动物施加有效量的权利要求1-18中任何一项所述的化合物。23. A method of treating a parasitic disease in a mammal comprising administering to a mammal in need thereof an effective amount of a compound of any one of claims 1-18.24.一种治疗哺乳动物增生性疾病的方法,包括向需要的哺乳动物施加有效量的权利要求1-18中任何一项所述的化合物。24. A method of treating a proliferative disease in a mammal comprising administering to a mammal in need thereof an effective amount of a compound of any one of claims 1-18.25.一种治疗哺乳动物滤过性毒菌引起的疾病的方法,包括向需要的哺乳动物施加有效量的权利要求1-18中任何一项所述的化合物。25. A method for treating a disease caused by a viral virus in a mammal, comprising administering an effective amount of the compound of any one of claims 1-18 to a mammal in need thereof.26.一种治疗哺乳动物炎症的方法,包括向需要的哺乳动物施加有效量的权利要求1-18中任何一项所述的化合物。26. A method of treating inflammation in a mammal comprising administering to a mammal in need thereof an effective amount of a compound of any one of claims 1-18.27.一种治疗哺乳动物肠胃蠕动紊乱的方法,包括向需要的哺乳动物施加有效量的权利要求1-18中任何一项所述的化合物。27. A method of treating gastrointestinal motility disorders in a mammal, comprising administering to a mammal in need thereof an effective amount of a compound of any one of claims 1-18.28.一种治疗哺乳动物无义或错义突变引起或调节的疾病的方法,包括向需要的哺乳动物施加有效量的权利要求1-18中任何一项所述的化合物。28. A method of treating a disease caused or modulated by a nonsense or missense mutation in a mammal comprising administering to a mammal in need thereof an effective amount of a compound of any one of claims 1-18.29.根据权利要求20-26中任何一项的方法,其中该化合物通过口服、注射或局部给药。29. The method according to any one of claims 20-26, wherein the compound is administered orally, by injection or topically.30.一种合成权利要求1-18中任何一项所述的化合物的方法。30. A method of synthesizing the compound of any one of claims 1-18.31.一种医疗装置,其包括权利要求1-18中任何一项所述的化合物。31. A medical device comprising a compound of any one of claims 1-18.32.如权利要求31所述的装置,所述装置是一个支架。32. The device of claim 31, said device being a stent.
CN 2005800135322004-02-272005-02-25Macrocyclic compounds and methods of making and using the samePendingCN1950388A (en)

Priority Applications (1)

Application NumberPriority DateFiling DateTitle
CN201711431039.9ACN108101948A (en)2004-02-272005-02-25Macrocyclic compound and its making and use method

Applications Claiming Priority (3)

Application NumberPriority DateFiling DateTitle
US54828004P2004-02-272004-02-27
US60/548,2802004-02-27
US60/575,9492004-06-01

Related Child Applications (2)

Application NumberTitlePriority DateFiling Date
CN201711431039.9ADivisionCN108101948A (en)2004-02-272005-02-25Macrocyclic compound and its making and use method
CN2012102533942ADivisionCN102816194A (en)2004-02-272005-02-25Macrocyclic compounds and methods of making and using the same

Publications (1)

Publication NumberPublication Date
CN1950388Atrue CN1950388A (en)2007-04-18

Family

ID=38019336

Family Applications (2)

Application NumberTitlePriority DateFiling Date
CN201711431039.9APendingCN108101948A (en)2004-02-272005-02-25Macrocyclic compound and its making and use method
CN 200580013532PendingCN1950388A (en)2004-02-272005-02-25Macrocyclic compounds and methods of making and using the same

Family Applications Before (1)

Application NumberTitlePriority DateFiling Date
CN201711431039.9APendingCN108101948A (en)2004-02-272005-02-25Macrocyclic compound and its making and use method

Country Status (1)

CountryLink
CN (2)CN108101948A (en)

Cited By (8)

* Cited by examiner, † Cited by third party
Publication numberPriority datePublication dateAssigneeTitle
CN102164999B (en)*2008-07-312014-05-143M创新有限公司Azide compositions and methods of making and using thereof
CN104302653A (en)*2011-11-252015-01-21拜耳知识产权有限责任公司Antibacterial tylosin derivatives and methods for their preparation
WO2016173308A1 (en)*2015-04-282016-11-03天津国际生物医药联合研究院Macrolide derivatives and use thereof
CN106478542A (en)*2016-10-172017-03-08南开大学A kind of macrolide derivative salt, Preparation Method And The Use
CN106478541A (en)*2016-10-172017-03-08南开大学Derivative of macrolides and application thereof
CN106866454A (en)*2017-02-272017-06-20海南大学A kind of chloramphenicol haptens and its preparation method and application
CN115141118A (en)*2022-07-012022-10-04中山大学1-aryl substituted (cis ) -2-azido-1,3-difluoro compound and preparation method thereof
CN116574014A (en)*2023-05-252023-08-11山东锐顺药业有限公司Preparation method of zolmitriptan intermediate

Family Cites Families (4)

* Cited by examiner, † Cited by third party
Publication numberPriority datePublication dateAssigneeTitle
CN1271363A (en)*1997-09-302000-10-25艾博特公司3' -N-modified 6-O-substituted erythromycin ketolide derivatives having antibacterial activity
ZA989885B (en)*1997-10-311999-05-05Abbott LabUse of macrolides for the treatment of cancer and macular degeneration
AU2002225724A1 (en)*2000-12-012002-07-08Kosan Biosciences, Inc.Motilide compounds
ITMI20021726A1 (en)*2002-08-012004-02-02Zambon Spa MACROLIDS WITH ANTI-INFLAMMATORY ACTIVITY.

Cited By (12)

* Cited by examiner, † Cited by third party
Publication numberPriority datePublication dateAssigneeTitle
CN102164999B (en)*2008-07-312014-05-143M创新有限公司Azide compositions and methods of making and using thereof
CN104302653A (en)*2011-11-252015-01-21拜耳知识产权有限责任公司Antibacterial tylosin derivatives and methods for their preparation
CN104302653B (en)*2011-11-252017-02-22拜耳知识产权有限责任公司Antibacterial tylosin derivatives and methods for their preparation
WO2016173308A1 (en)*2015-04-282016-11-03天津国际生物医药联合研究院Macrolide derivatives and use thereof
CN106138038A (en)*2015-04-282016-11-23天津国际生物医药联合研究院Derivative of macrolides and application thereof
CN106138038B (en)*2015-04-282021-04-20天津国际生物医药联合研究院Macrolide derivative and application thereof
CN106478542A (en)*2016-10-172017-03-08南开大学A kind of macrolide derivative salt, Preparation Method And The Use
CN106478541A (en)*2016-10-172017-03-08南开大学Derivative of macrolides and application thereof
CN106866454A (en)*2017-02-272017-06-20海南大学A kind of chloramphenicol haptens and its preparation method and application
CN115141118A (en)*2022-07-012022-10-04中山大学1-aryl substituted (cis ) -2-azido-1,3-difluoro compound and preparation method thereof
CN116574014A (en)*2023-05-252023-08-11山东锐顺药业有限公司Preparation method of zolmitriptan intermediate
CN116574014B (en)*2023-05-252024-10-22山东锐顺药业有限公司Preparation method of zolmitriptan intermediate

Also Published As

Publication numberPublication date
CN108101948A (en)2018-06-01

Similar Documents

PublicationPublication DateTitle
CN1065069A (en) Preparation method of new erythromycin derivatives
CN1419450A (en) Nitrates of Antimicrobials
CN1678620A (en) Macrolide compounds with anti-inflammatory activity
CN1095377A (en) 7-halogenated and 7β,8β-methylene-paclitaxel, antineoplastic use and pharmaceutical compositions containing them
CN1649829A (en) New florfenicol antibiotics
CN1714079A (en) Mandelic acid derivatives
CN102816194A (en)Macrocyclic compounds and methods of making and using the same
CN1237183A (en)6-0-substituted ketolides with antibacterial activity
CN1244202A (en)Tricyclic erythromycin derivatives
CN1842521A (en) Caspase Inhibitors Containing Isoxazoline Rings
CN1238777A (en) Erythromycin A Derivatives
CN1032786A (en)N-acyl amino acid derivative and uses thereof
CN1633444A (en) 6-11 bicyclic ketone macrolide derivatives
CN1659178A (en)6,11 bicyclic erythromycin derivatives
CN1227238C (en)Piperidinyloxy and pyrrolidinyloxyphenyl oxazolidiones as antibacterials
CN1832932A (en) Preparation and use of biaryl heterocyclic compounds
CN1355165A (en) 3,5-substituted oxazolidinone derivatives and their preparation methods and applications
CN1630661A (en) Macrolide Compounds with Antibacterial Activity
CN1950388A (en)Macrocyclic compounds and methods of making and using the same
CN1639133A (en)Novel antibacterial compounds, process for their preparation and pharmaceutical compositions containing them
CN1343215A (en)6-O-substituted macrolides with antibacterial activity
CN1780846A (en) Bifunctional heterocyclic compounds and methods for their preparation and use
CN1637011A (en)Avermectin derivatives
CN1271363A (en)3' -N-modified 6-O-substituted erythromycin ketolide derivatives having antibacterial activity
CN1791575A (en)Cyanofluoropyrrolidine derivative.

Legal Events

DateCodeTitleDescription
C06Publication
PB01Publication
C10Entry into substantive examination
SE01Entry into force of request for substantive examination
C12Rejection of a patent application after its publication
RJ01Rejection of invention patent application after publication

Application publication date:20070418


[8]ページ先頭

©2009-2025 Movatter.jp