Movatterモバイル変換


[0]ホーム

URL:


CN1844550B - Double-sided scanning fabric and yarn analysis system - Google Patents

Double-sided scanning fabric and yarn analysis system
Download PDF

Info

Publication number
CN1844550B
CN1844550BCN 200610067478CN200610067478ACN1844550BCN 1844550 BCN1844550 BCN 1844550BCN 200610067478CN200610067478CN 200610067478CN 200610067478 ACN200610067478 ACN 200610067478ACN 1844550 BCN1844550 BCN 1844550B
Authority
CN
China
Prior art keywords
yarn
color
fabric
image
warp
Prior art date
Legal status (The legal status is an assumption and is not a legal conclusion. Google has not performed a legal analysis and makes no representation as to the accuracy of the status listed.)
Expired - Fee Related
Application number
CN 200610067478
Other languages
Chinese (zh)
Other versions
CN1844550A (en
Inventor
胡金莲
辛斌杰
乔吉·巴休
于晓波
Current Assignee (The listed assignees may be inaccurate. Google has not performed a legal analysis and makes no representation or warranty as to the accuracy of the list.)
Hong Kong Polytechnic University HKPU
Original Assignee
Hong Kong Polytechnic University HKPU
Priority date (The priority date is an assumption and is not a legal conclusion. Google has not performed a legal analysis and makes no representation as to the accuracy of the date listed.)
Filing date
Publication date
Application filed by Hong Kong Polytechnic University HKPUfiledCriticalHong Kong Polytechnic University HKPU
Priority to CN 200610067478priorityCriticalpatent/CN1844550B/en
Publication of CN1844550ApublicationCriticalpatent/CN1844550A/en
Application grantedgrantedCritical
Publication of CN1844550BpublicationCriticalpatent/CN1844550B/en
Expired - Fee Relatedlegal-statusCriticalCurrent
Anticipated expirationlegal-statusCritical

Links

Images

Landscapes

Abstract

The system comprises a hardware part and a hardware part, wherein the hardware part comprises a computer, a flat plate type color scanner for fabric structure and color digital scanning analysis, and a magnetic flat plate type cloth sample clamping device for clamping and fixing a sample to be detected on a scanning platform of the scanner; the software part comprises: four algorithm modules for analyzing and testing the fabric structure, the thread count, the yarn color, the yarn diameter and the uniformity. The invention is based on the double-sided digital image scanning and analyzing technology, applies the frequency spectrum analyzing technology, the gridding model, the color calibration and measurement based on the standard color plate, the yarn skeletonization central shaft extraction technology and other technologies to respectively analyze and measure the interweaving state, the yarn arrangement density, the arrangement mode of the colored yarns, the color and the yarn diameter, establishes a digital, objective and standardized measurement and analysis system, and lays a technical foundation for realizing a rapid reverse reaction system of fabric analysis.

Description

Duplex scanning fabric and yarn analysis system
Technical field
The present invention relates to a cover based on fabric and the yarn analysis system of two-sided digital image scanning technology and digital color image treatment technology.
Prior art
Fabric construction and fabric quality performance have extremely close relation, and it not only affects brute force, anti-wear performance and the fastness of fabric, and be also relevant with Fabric Style, feel, therefore, is a problem that researching value is extremely arranged to test and the analysis of fabric construction.But traditional woven fabric structure test and analytical method are manual detection, utilize magnifying glass or finish with the Density analyser of scale, and analytic process is dull, and has inevitable human error.Along with the automaticity of the increase of labor cost and industry promotes, automation and intelligentification identification fabric structure become one urgent and have a research topic of market prospects.
The color of yarn also is an important content of Fabric Design processing in the fabric, for the analysis of color at present mainly based on the method for spectrophotometric colorimeter and color template contrast, spectrophotometric colorimeter is planar survey and can only measures solid color, and in the fabric color configuration of yarn be not limited to solid color sometimes the multiple color mixed configuration form unique grain design effect; In this case, if adopt the mode of spectral measurement, the measurement of yarn color can't realize; Carrying out color measuring based on the mode of scanner has had the scholar to do in this respect research, but the establishing criteria colour table carries out color calibration to scanner usually to be divided into for two steps and to carry out, need to gather two photos, one width of cloth is the picture of Standard colour board, one width of cloth is the picture of measuring object, and when gathering this two width of cloth picture, can not guarantee that the photoenvironment of two width of cloth pictures is in full accord, thereby cause the systematic error measured.
The measurement of yarn diameter and the uniformity also is structural parameters of fabric, and traditional projection is drawn and measured, and complex operation and certainty of measurement are low.Use image analysis technology that the diameter of yarn is measured, have speed fast, simple to operate, measurement reproducibility is high, and therefore the digitlization advantage such as objectify becomes an important development direction of following measuring technique.
Summary of the invention
In view of this, the invention provides a kind of complete fabric construction and color two-sided digital image analysis method, be used for the types of organization of detection and identification fabric, thread count, yarn color, and the diameter of yarn and its uniformity.In the present invention, we attempt a kind of digital picture measuring technique that is applicable to the single yarn that extracts in fabric, and this technology on the one hand can independently yarn diameter analysis of compatibility, and the opposing party also can be fit to still keep the yarn diameter analysis of critical shape.
For achieving the above object, technical scheme of the present invention is: describedly comprise based on the fabric of duplex scanning and Digital Image Processing and the hardware components of yarn analysis method:
A computer;
A plate color scanner that is used for fabric construction and the digital scanning analysis of color;
One cover is used for sample to be tested is clamped to the scanning platform of described plate color scanner, realizes the flat cloth specimen clamping device of two-sided magnetic to bit scan of sample image;
Software section comprises:
Four algoritic modules that are used for analyzing with institutional framework, thread count, yarn color, yarn diameter and the uniformity of test fabric, each module comprises image scanning, graphical analysis, three steps of data output:
The function of fabric identification module is used for analyzing the institutional framework with test fabric, namely identifies the pilotaxitic texture of filling yarn and the color alignment mode of yarn, comprises two algorithm structures: gridding methods and frequency domain model;
The function of thread count module is to measure the arranging density of yarn on the longitude and latitude both direction, comprise an algorithm structure: the shifted matching frequency model, step comprises: reduce and coupling the location of image, the extraction at yarn edge, the FFT of one-sided image, the identification of the Frequency point of mapping warp thread and weft yarn and extraction, the single-phase of image and half phase place translation, the FFT of image after the translation, the calibration of the Frequency point of mapping warp thread and weft yarn, the density calculation of filling yarn;
The function of the color analysis module of yarn is to measure the colouring information of yarn, comprise two steps: color calibration and color measuring, the method with the colour table of standard be arranged in sample around, can finish above-mentioned two steps by same width of cloth image, guaranteed the uniformity of color measuring;
The function of yarn diameter and uniformity module be the diameter of measuring yarn with and the uniformity, step comprises: the collection of figure warp thread picture, the cutting apart of figure warp thread picture, the determining of yarn central shaft, along yarn central shaft point-to-point measurement, the mean value of yarn diameter and centrifugal pump are calculated;
Described four analyses and testing algorithm module are installed in the computer, the plate color scanner that is used for fabric construction and the digital scanning analysis of color links to each other with this computer, the digital scanning analysis system of common formation fabric construction and color, sample to be tested is clamped on the scanning platform of described plate color scanner by the flat cloth specimen clamping device of magnetic, it is two-sided to bit scan by sample is carried out, scan image is passed to successively calculating and the analysis of carrying out four analytical test modules on the computer, finish at last data output, its main testing process comprises: sample holder, dual-side image scanning, positive inverse video contraposition, graphical analysis and feature extraction, result's output.
The material of the clamping of the flat cloth specimen clamping device of described magnetic dull and stereotyped (1,2) can be selected metal, also can select nonmetal, but for nonmetal or do not have a magnetic metal, clamping is dull and stereotyped up and down must corresponding embedded magnet or armature, to guarantee to have the magnetic force that attracts each other; The acquisition window (4) that the center of the up and down clamping of the flat cloth specimen clamping device of described magnetic dull and stereotyped (1,2) is offered respectively can be square, also can be the window of other shapes, the material such as mounting glass or transparent resin on it, and guarantee that flat board is to the good clamping of sample, avoid sample to have part to cause specimen surface flexural deformation because of unsettled shelving, and the window shape of clamping flat board should keep corresponding consistent with size up and down; Four location reference point (3) in the clamping of the flat cloth specimen clamping device of described magnetic dull and stereotyped (1,2), its shape, color and number can be done corresponding adjustment according to image recognition algorithm, the Main Function of location reference point is can be so that the image of fabric face and its reverse side, under image two-dimensional coordinate separately, find reference coordinate, realize affine mapping conversion, for each pixel in front finds its respective pixel in the reverse side image; The effect of the location reference point (3) in the clamping of the flat cloth specimen clamping device of described magnetic dull and stereotyped (1,2) can also be the real space resolution ratio of coming calculating pixel according to the distance between two location reference point, and the angle of the foursquare adjacent two edges that consists of according to four location reference point calculates the spatial warping degree of scan image; Connected by revolute axes configuration (5) between the upper clamping dull and stereotyped (1) of the flat cloth specimen clamping device of described magnetic and the lower clamping dull and stereotyped (2), this revolute axes configuration (5) comprises the swivelling chute on the lower clamping flat board, the swivelling chute of upper clamping flat board, and the axle core formation that connects both, clamping dull and stereotyped (1,2) can realize around axle core (15) rotation the foldings of 180 degree up and down; The surfaces externally and internally color of the clamping of the flat cloth specimen clamping device of magnetic dull and stereotyped (1,2) generally is set as black, matte management; In the clamping of the flat cloth specimen clamping device of described magnetic dull and stereotyped (1,2), the number and the color that are ordered in acquisition window (4) color module (221) all around design according to the Standard colour board that Color system mechanism provides, and its color number generally is no less than 16 kinds.
In the fabric based on duplex scanning and Digital Image Processing of the present invention and yarn analysis system and method, the function of the fabric identification module that relates in the described method is used for identifying the pilotaxitic texture of filling yarn and the color alignment mode of yarn, comprises two algorithm structures: gridding methods and frequency domain model;
Wherein the step based on gridding methods identification comprises: the contraposition coupling of positive and negative image, and the grid of positive and negative image initializes, the grid Adaptive matching of positive and negative image, the edge extracting of image, weave type identification, interlacing point error correction, color analysis;
Wherein the step based on the frequency domain Model Identification comprises: reduce and coupling the location of image, the FFT of dual-side image, peak dot filtering, the extraction of periodic frequency point, the calculating of fabric structure parameter and identification.
Described method based on the frequency domain Model Identification utilizes fourier transform technique or relevant spectrum analysis technique to analyze the digitized image of fabric, comprising wavelet transformation, and cosine transform etc.
In the fabric based on duplex scanning and Digital Image Processing of the present invention and yarn analysis system and method, the spectral model of the fabric tissue of the described gridding methods of foundation, by the analysis of spectrum to SATIN AND SATEEN CLOTH, can derive the coordinate figure of peak dot main on corresponding spectrogram, in addition, the peak dot that also has equidistant distribution in main peak point and the line direction of initial point, these are harmonic components of main peak point, the coordinate of harmonic wave peak dot is the integral multiple of main peak point coordinates, therefore also can obtain their coordinate figure; The coordinate figure of all peak dots of trying to achieve according to derivation obtains following formula in frequency domain, and (wherein: a is the warp thread spacing, and b is weft spacings, and R is the Weaving Cycle number, SjFor warp-wise flies number, SwFor broadwise flies number): the spacing of the two adjacent Frequency points that abscissa is identical is: dv=N/b; The spacing of the two adjacent Frequency points that ordinate is identical is: du=N/a; The difference of adjacent 2 abscissa of the difference minimum of abscissa is Δ u1=N/Ra; The difference of adjacent 2 ordinate of the difference minimum of ordinate is: Δ v1=N/Rb; On the positive direction of u, the difference of adjacent 2 abscissa of the difference minimum of ordinate is: Δ u2=(R-Sj) Δ u1On the positive direction of v, the difference of adjacent 2 ordinate of the difference minimum of abscissa is: Δ v2=(R-Sw) Δ v1
The spectral model of the fabric tissue of described gridding methods, analytic process for fabric image is to utilize FFT to obtain the process of the power spectrum image of fabric, the power spectrum that obtains resembled carry out visual preliminary treatment, peak dot filtering, extract the characteristic frequency dot information of power spectrum image, thereby obtain the structural information of fabric, measure the weft density of fabric and analyze the structure type of fabric.
Use the algorithm of peak dot filtering, obtain the peak dot corresponding to longitude and latitude knot structure, at first, make the histogram of power spectrum, observe its intensity profile, get the gray scale of its peak as threshold value t, eliminate the flakes background dot, make that g (x, y) is power spectrum, peak dot is the highest pixel of gray value in certain local; Therefore, can determine peak dot with the algorithm of neighborhood maximums, make that max is the maximum of gray scale in 9 * the 9 square or octagon neighborhoods of power spectrum g (x, y).
The spectral model of the fabric tissue of described gridding methods also comprises the feature extraction algorithm of fabric construction, concrete steps: seek the origin ofcoordinates 0, set up the u-v rectangular coordinate system; Take O as the center of circle, seek abscissa near the peak dot A of u axle, ordinate is near the peak dot B of v axle, and obtain respectively the angle α of OA and u axle, the angle β of OB and v axle, α represent the inclination angle of the relatively vertical positive direction of actual warp thread, and β represents the inclination angle of actual weft yarn relative level positive direction; Take O as the center of circle, begin to scan counterclockwise from inside to outside from the u positive direction, occur if any peak dot, record its coordinate figure, and calculate the vertical range of the actual warp thread direction in edge of peak dot and initial point, the horizontal range of the actual warp thread direction in edge of peak dot and initial point; Add up six index parameters, wherein every initial point is to direction and the u of peak dot, and the distance that the v positive direction is consistent is the forward distance, is labeled as positive sign, otherwise is reverse distance, is labeled as negative sign.
Along with the fast development of computer technology, being tending towards of intelligent identification technology and color electronic measurement technique is ripe, for structural parameters and the measurement yarn color of cognitron fabric provide reliable scientific method automatically.The present invention is mainly based on two-sided digital image scanning and analytical technology, use FFT, gridding methods, color calibration and measurement based on Standard colour board, yarn Skeleton central shaft extract and the inscribed circle measuring technique respectively to the state that interweaves of yarn, yarn arrays density, pattern of rows and columns of dyed yarn and color, yarn diameter is analyzed and is measured, set up a digitlization, objectify, standardized measuring and analysis system is for the fast reverse reaction system of realizing fabric analysis has been established technical foundation.
Description of drawings
The schematic diagram of the flat two-sided cloth specimen clamping device of Fig. 1 magnetic
Fig. 2 cloth specimen clamping device is at the schematic diagram of scanning system
The schematic diagram of clamping flat board on Fig. 3
The schematic diagram of clamping flat board under Fig. 4
The arrangement schematic diagram of Fig. 5 color template
Fig. 6 A fabric longitude and latitude model schematic diagram
Fig. 6 B fabric grid model schematic diagram
Fig. 7 A fabric two-face gathers the direct picture of image
Fig. 7 B fabric two-face gathers the reverse side image of image
Fig. 7 C fabric two-face gathers the positive and negative image fusion effect of image
Fig. 8 detects schematic diagram based on the warp thread of template matches
Fig. 9 A detects (warp thread) based on the yarn of template
Fig. 9 B locates based on histogrammic yarn
Figure 10 grid initialization result figure
Figure 11 fabric grid model is based on the adjustment result of gradient
Figure 12 is based on the crosspoint sorting technique of sideline intensity
Figure 13 crosspoint classification and utilize the as a result figure of adjacency information error correction
The as a result figure that Figure 14 fabric tissue and color are extracted
Figure 15 extracts the textile image that result's simulation forms by fabric tissue and color
The ideally distribution of the maximum characteristic angle of energy in the fabric Fourier frequency spectrum of Figure 16
The distribution of the maximum characteristic angle of energy in the fabric Fourier frequency spectrum under Figure 17 actual conditions
Figure 18 A Fourier frequency spectrum is judged result's (take warp thread as example) of Density
Figure 18 B Fourier frequency spectrum is judged result's (take warp thread as example) of Density
Figure 18 C Fourier frequency spectrum is judged result's (take warp thread as example) of Density
Among the figure, the white arrow indication is the energy point of maximum intensity, and the black arrow indication is (warp thread) density points
Figure 19 ColorCheckerTMGeneral 24 colour standard colour tables
Figure 20 A utilizes the background colour table to the sampling of yarn
Figure 20 B utilizes the background colour table to the sampling of yarn
Figure 21 A yarn sampled images
Figure 21 B yarn physical culture background segment image
The central shaft of Figure 21 C yarn object geometric shape represents
The specific embodiment
The present invention is described in detail below in conjunction with drawings and Examples.
Describedly comprise based on the fabric of duplex scanning and Digital Image Processing and the hardware components of yarn analysis system:
A computer;
A plate color scanner that is used for fabric construction and the digital scanning analysis of color;
One cover is used for sample to be tested is clamped to the scanning platform of described plate color scanner, realizes the flat cloth specimen clamping device of two-sided magnetic to bit scan of sample image;
Software section comprises:
Four algoritic modules that are used for analyzing with institutional framework, thread count, yarn color, yarn diameter and the uniformity of test fabric, each module comprises image scanning, graphical analysis, three steps of data output:
The function of fabric identification module is used for analyzing the institutional framework with test fabric, namely identifies the pilotaxitic texture of filling yarn and the color alignment mode of yarn, comprises two algorithm structures: gridding methods and frequency domain model;
The function of thread count module is to measure the arranging density of yarn on the longitude and latitude both direction, comprise an algorithm structure: the shifted matching frequency model, step comprises: reduce and coupling the location of image, the extraction at yarn edge, the FFT of one-sided image, the identification of the Frequency point of mapping warp thread and weft yarn and extraction, the single-phase of image and half phase place translation, the FFT of image after the translation, the calibration of the Frequency point of mapping warp thread and weft yarn, the density calculation of filling yarn;
The function of the color analysis module of yarn is to measure the colouring information of yarn, comprise two steps: color calibration and color measuring, the method with the colour table of standard be arranged in sample around, can finish above-mentioned two steps by same width of cloth image, guaranteed the uniformity of color measuring;
The function of yarn diameter and uniformity module be the diameter of measuring yarn with and the uniformity, step comprises: the collection of figure warp thread picture, the cutting apart of figure warp thread picture, the determining of yarn central shaft, along yarn central shaft point-to-point measurement, the mean value of yarn diameter and centrifugal pump are calculated;
Described four analyses and testing algorithm module are installed in the computer, the plate color scanner that is used for fabric construction and the digital scanning analysis of color links to each other with this computer, the digital scanning analysis system of common formation fabric construction and color, sample to be tested is clamped on the scanning platform of described plate color scanner by the flat cloth specimen clamping device of magnetic, it is two-sided to bit scan by sample is carried out, scan image is passed to successively calculating and the analysis of carrying out four analytical test modules on the computer, finish at last data output, its main testing process comprises: sample holder, dual-side image scanning, positive inverse video contraposition, graphical analysis and feature extraction, result's output.
This analysis method is mainly based on two-sided digital image scanning and analytical technology, use FFT, gridding methods, color calibration and measurement based on Standard colour board, yarn Skeleton central shaft extract and the inscribed circle measuring technique respectively to the state that interweaves of yarn, yarn arrays density, pattern of rows and columns of dyed yarn and color, yarn diameter is analyzed and is measured, set up a digitlization, objectify, standardized measuring and analysis system is for the fast reverse reaction system of realizing fabric analysis has been established technical foundation.
See also accompanying drawing 2, this system is comprised of hardware and software two parts, and wherein hardware components mainly comprises: the flat cloth specimen clamping device of a kind of magnetic, a plate color scanner; Software section mainly comprises four algoritic modules: (one) fabric identification module, (two) thread count analysis module, (three) yarn color analysis module, (four) yarn diameter and uniformity test module; Main testing process comprises: sample holder, dual-side image scanning, positive inverse video contraposition, graphical analysis and feature extraction, result's output; Wherein FFT has mainly been adopted in graphical analysis, gridding methods, color calibration and measurement based on Standard colour board, yarn Skeleton central shaft extract and the inscribed circle measuring technique respectively to the state that interweaves of yarn, yarn arrays density, pattern of rows and columns of dyed yarn and color, yarn diameter are analyzed and are measured.
The flat cloth specimen clamping device of described magnetic mainly comprises:
A pair of clamping is dull and stereotyped, and this clamping flat board can be square, connects the location by rotating shaft between the clamping flat board, and the clamping flat board can be realized 180 degree foldings around the rotation of axle core up and down;
Described upper clamping flat board is inlayed phase magnet four square vertices positions, relies on the magnetic force of magnet to realize up and down dull and stereotyped clamping to sample;
Described clamping flat board is equipped with a square glass window at centre bit, the image of the fabric portions in the corresponding window of digital scanning system acquisition;
Described up and down clamping flat board respectively has four location reference point, and the arrangement mode of anchor point, number, shape, color can design according to the image recognition algorithm of reality; Wherein go up the dull and stereotyped vertical contraposition of each corresponding reference point with lower clamping flat board of clamping, to guarantee when scanning the double-edged image of fabric, can to realize exactitude position.
Described clamping flat board around acquisition window, the color module of regularly arranged pattern, this color module is embedded in the flat board, the surface of color module is with dull and stereotyped surperficial concordant.The number of this color module and color design according to the Standard colour board that Color system mechanism provides, and its color number generally is no less than 16 kinds.
The flat cloth specimen clamping device of the described magnetic specific embodiment:
As shown in Figure 1, a pair of clamping is dull and stereotyped 1 and 2, and the clamping flat board can be square, and 1 of clamping flat board connects the location by rotating shaft 5 with being connected, and clamping dull and stereotyped 1 and 2 can realize 180 degree foldings around the rotation of axle core up and down;
As shown in Figure 1, 2, clamping dull and stereotyped 1 and 2 is inlayed phase magnet 6 four square vertices positions, relies on the magnetic force of magnet to realize the clamping of dull and stereotyped up and down 1 and 2 pair of sample 8.
Described clamping dull and stereotyped 1 and 2 is equipped with asquare glass window 4 at centre bit, anddigital scanning system 7 gathers the image of the fabric portions 8 in the corresponding window, and with image transmitting to computer 10.
Described up and down clamping dull and stereotyped 1 and 2 respectively has fourlocation reference point 3, the arrangement mode ofanchor point 3, and number, shape, color can design according to the image recognition algorithm of reality; Wherein go up the vertical contraposition of each corresponding reference point of clamping dull and stereotyped 1 and lower clampingflat board 2, to guarantee when scanning the double-edged image of fabric, can to realize exactitude position, shown in Fig. 3 and 4.
Aforesaid clamping dull and stereotyped 1 and 2 is aroundacquisition window 4, and thecolor module 221 of regularly arranged pattern,color module 221 are embedded in dull and stereotyped 1 and 2 outer surface, the surface ofcolor module 221 andflat board 1 with 2 surperficial concordant.The number ofcolor module 221 and color design according to the Standard colour board that Color system mechanism provides, and its color number generally is no less than 16 kinds, as shown in Figure 5.
(1) fabric identification module
This module is based on the fabric tissue recognition methods of Fourier transform, and model framework and algorithm that it is main comprise:
1) the fabric space-filling model of Criterion
The section morphology of yarn selects comparatively general ellipse cross section as the section morphology of yarn in the fabric, the critical shape of the every one thread of fabric tissue in fabric, and the critical shape that can regard as by two positions in longitude and latitude intersection region and non-intersection region is consisted of; Fabric, longitude and latitude intersection region yarn is the near sinusoidal curve-like.According to the buckling model of yarn, draw the topographic map of fabric face along warp-wise (or broadwise), or according to the regularity of longitude and latitude interlacing point in the space, can find out clearly the periodicity of fabric face.By the periodicity analysis to fabric face fluctuating wave molding on all directions, can obtain through the density of weft yarn and the types of organization of fabric, this is the physical background of utilizing fourier-transform research fabric face texture.
The rule of surface of fabric many interlacing points that distributing, interlacing point are at the be linked in sequence line of organizing of formation rule of a direction, organize line and organize line parallel to arrange to form striped, and it is the fluctuating ripple that this paper defines these stripeds.The interlacing point that consists of the fluctuating ripple is divided into two classes: a class is that the interval of interlacing point is less than a Weaving Cycle; Another kind of is that the interval of interlacing point is greater than a Weaving Cycle.Because more obvious than Equations of The Second Kind fluctuating ripple in actual fabric surface first kind fluctuating ripple visual effect, so graphical analysis is mainly for the first kind ripple that rises and falls.The index of describing the fluctuating ripple is wavelength X and angle of orientation θ.
The number of different tissue fluctuating ripples is also different, and the number m that fluctuating ripple number equals the mode position of single interlacing point and adjacent tissue point in a Weaving Cycle adds 2 (horizontal and vertical two ripples).To the institutional framework of determining, the number of the mode position of its interior tissue point is definite unique.
2) the fabric spectral model of Criterion
Frequency spectrum is the important means of analyzing and processing systematicness picture signal.By two-dimentional Fourier transformation technology, can obtain 2-d spectrum figure corresponding to image, thereby extract easily the spatial frequency information of image.Textile image has reflected the configuration of surface of fabric, and it has periodically variable intensity profile on warp-wise and broadwise, comprises the density information of arranging through weft yarn, and this is the physical background of utilizing the Fourier transformation technology.
The corresponding relation of spatial domain and frequency domain can be determined according to the relation in frequency and cycle, and x, y are the coordinate components of spatial domain, and u, v are the frequency component in respective frequencies territory.(u1, v1), (u2, v2) be through spatial frequency point corresponding to weft yarn, d1, d2Be the spacing through weft yarn under the perfect condition, namely through cycle of weft yarn.Can release: d1=N/u1, d2=N/v1, in the formula, N is the sampling number of image.
Fabric forms different fluctuating ripples in different directions, each fluctuating ripple all can have corresponding Frequency point behind Fourier transform, the position of Frequency point in spectrogram is relevant with the cycle of fluctuating ripple, therefore need only the location positioning with corresponding Frequency point, the cycle of fluctuating ripple can obtain.So can set up the spectral model of fabric tissue based on the Frequency point of fluctuating ripple.
Fabric tissue recognition methods based on grid model, main model framework and algorithm comprise: the contraposition coupling of (1) positive and negative image, (2) grid of positive and negative image initializes, (3) the grid Adaptive matching of positive and negative image, the edge extracting of image, (4) weave type identification, (5) interlacing point error correction and color analysis.
The front is talked about, and comprises gridding methods and frequency domain model fabric grid model in two algorithm structures of described fabric identification module.
The space structure of fabric is to be intertwined to form by warp thread and weft yarn, in general, the direction of warp thread and weft yarn is similar to horizontal and vertical directions, and this crossed structure of fabric can be expressed by setting up model of fabric, and this model is exactly the grid model of fabric.
Fabric model should be expressed two category informations, and a class is general information, and a class is individual information.General information is institutional framework and the color structure of fabric, and these information exchanges are used for all similar fabrics.Individual information then is the sample for certain fabric, the geometry of yarn in the record fabric sample, and distortion, degree of being changes etc., and there is very large difference in this class individual information in each sample.
A complete fabric grid model comprises the data of 2 aspects, is respectively color data, structured data.Wherein structured data is divided into again general data and individual data items, corresponds respectively to general information above-mentioned and individual information.
The grid model color data is stored in the data structure that is called palette.The palette record is present in the parameter of all colours in this fabric, comprises color sRGB parameter, CIELA*B*Parameter etc.The storage of palette also can be expanded according to different application, for example can the store sample illumination parameter.Table 1 has provided a palette data that comprises the yarn of 5 kinds of colors.
The main body of fabric grid model is the plane grid of one 2 dimension, and this grid is used for storing the structured data of fabric.Grid is made of row and column, and they respectively should be in weft yarn and the warp thread of fabric, and is corresponding one by one, and namely each yarns in the fabric has corresponding delegation or row corresponding with it in grid model.Weft yarn W as shown in Figure 6jWith warp thread WiCorrespond respectively to the capable Row in the grid modeljWith row ColumniCapable or the row of each bar in the yarn model are made of a series of continuous grid elements respectively, and each grid elements is corresponding to a bit of yarn in the fabric, for example the element E in the modelJiCorresponding to the S in the yarnJiSection.Like this, corresponding by yarn and row/row and yarn line segment and grid elements, fabric sample can be set up corresponding related with a grid model.
ID L A* B* R G B...
1 171。8 78。7 165。5 224 161 84...
2 202。4 105。1 143。9 224 198 161...
3 128。 112。 144。 151 122 100...
4 0 4
4 212。2 90。8 147。1 239 211 146...
5 104。0 116。5 170。5 163 77 83...
The palette data of the yarn of table 1:5 kind color
Grid elements is the base unit of grid model, and the structural information of all respective fabric all embodies by the data that are stored in the grid elements.In table 2, we have provided a basic grid elements data structure.In this data structure, mainly comprise the information of 4 aspects:
1) type of grid elements (Type) and structural type (PatternType).The type of grid elements is divided into two kinds, is respectively crosspoint and non crossover point.As can be seen from Figure 6, yarn line segment has two types, and a kind of yarn line segment is the crosspoint of warp thread and weft yarn, for example the S among Fig. 6JiA kind of is the independently yarn line segment of non crossover point, and there is not juxtaposition in these yarn line segments with any other yarn, for example the S among Fig. 6J-3, iAccordingly, the element of grid also is divided into two kinds of crosspoint element and non crossover point elements, and its type is by the type decided of the yarn line segment of correspondence.The tectonic information of fabric is mainly expressed in the mutual alignment in crosspoint by yarn.So if the type of certain grid elements is the crosspoint, then corresponding structural type at yarn crossovers point also needs to record.The structural type in crosspoint is divided into two kinds according to yarn in the mutual alignment in crosspoint, a kind of be weft yarn at fabric face, a kind of is that warp thread is at fabric face.
2) geometry information of grid elements.As mentioned above, the individual information of fabric mainly comprises the geological information of yarn, for example distortion, degree of being variation etc.And in grid model, a yarns is represented by the grid elements of some connections again, so by noting down the geometry information of yarn line segment corresponding to grid elements, the individual geometry information that just can store yarn in the fabric.Listed such as table 2, the main level of a yarn line segment and information comprise the position of yarn line segment, provide (the left side: Left by the position of the four edges of a grid elements, the right: Right, top: Top, bottom: Bottom) and shape (height: Height, wide: Width).
struct Grid_Element{ int Type;//this element is related to a cross point(0)or not
(1); int PatternType;//which kind of yarn is on the face side of the corresponding//yarn segment;0:warp,1:weft; int Left;//geometry information of corresponding yarn segment; int Right; int Top; int Bottom; int Height; int Width; struct Color*Face_clor;//the color information of the two faces; struct Color*Back_color; struct Edge*Face_edge;//edge intensity information of the two faces; struct Edge*Back_edge; }
Table 2: basic grid elements data structure
3) colouring information of grid elements.In the fabric model palette in front, we have provided how to represent to be present in color in the fabric.These colors distribution situation in fabric then is to express by the color of yarn line segment.If a yarn line segment is the crosspoint, then the color of obverse and reverse at it is respectively the color of corresponding warp thread and weft yarn; If a yarn line segment is not the crosspoint, then its positive and negative color all is the color of corresponding yarn.In the data of grid elements, the color of a yarn line segment positive and negative is stored in respectively in surface colour and the back side look.Surface colour and back side look point to respectively certain color data in the palette.
4) marginal information of grid elements.A yarn line segment is an approximate quadrilateral structure, comprises four edges.The information of the four edges of a yarn line segment can be used to do identification and the checking in crosspoint.If a yarn line segment is the crosspoint, then the marginal information of its positive and negative is different.In grid elements, the marginal information of yarn line segment positive and negative is stored in respectively in two data structures: surface colour and back side look.
(1) coupling of fabric two-face sampling and positive inverse video
The sampling of fabric positive and negative image is to utilize the flat cloth specimen clamping device of special magnetic plate to realize.There are 4 reference registration holes that run through structure in the outside at the sampling window of the flat cloth specimen clamping device of magnetic plate, and these four have consisted of foursquare four summits with reference to registration holes.In the single face sampled images, there are 4 reference points corresponding to the reference registration holes.Because with reference to the penetrability structure of registration holes, in the sampled images of any one side, the relative position relation of reference point and sampling window is constant.
The coupling of fabric positive and negative realizes by reference point.At first, location reference point.With respect to the black background of the flat cloth specimen clamping device of magnetic plate, the reference point of white has obvious color characteristic, can very easily be positioned, and take out the center point coordinate of reference point.Then, take four reference points as standard, the positive and negative image is carried out respectively affine transformation.In the rectangular image after the conversion, 4 reference points lay respectively on four jiaos the summit of image.Final step is that the positive and negative image is carried out in proportion conversion, so that the positive and negative image has identical size.After above 3 steps, the reference point of positive and negative image just in time overlaps, and image obtains coupling.
(2) initialization of the location of yarn and grid model
The fabric grid model is to be based upon yarn with fabric to close one to one and fasten, so the key of setting up grid model is quantity and the position of yarn in the correct detection fabric.
Yarn have a clear and definite geometry.Article one, complete yarn presents and is close to uniform elongated bar shape.In edge graph, a yarns is close to parallel edge line parcel by two.Owing to the mutual intersection of yarn, in the image of single-sided fabric, the edge line of yarn becomes discontinuously arranged, from the image of single-sided fabric, and the geological information that obtains the wall scroll yarn that can't be complete.The discontinuously arranged problem of yarn in one-sided image can be solved by the fabric two-face image fusion.In Fig. 7, we have provided a fabric sample positive and negative image fusion effect, and in fusion image, any one thread can be by complete observing.In the corresponding edge graph of this warm image, what represent that two edge lines of any yarns also can be continuous observes.
In order to detect the yarn in the fabric, we have proposed a kind of template matching algorithm based on breathing out society husband (Hausdorff) distance.For the feature of warp thread in the fusion image and weft yarn, we have designed respectively 2 templates.The warp thread template includes two vertical parallel lines, and the weft yarn template includes two horizontal lines.The design of yarn template customizes for the parallel lines edge feature of yarn in the fusion image edge graph.In Fig. 8, we have provided a warp thread based on template matches and have detected schematic diagram.The detection of yarn and location can be summarized as following a few step:
1) obtains fusion image from the positive and negative sample graph of fabric.
2) utilize Bel (Sobel) the horizontal vertical edge detection operator that continues to obtain level and the vertical edge figure of fusion image.
3) adopt floating frame centered by the arbitrfary point, in vertical (level) edge graph, sampling in proportion with warp thread (weft yarn) template, and sampling window is made histogram ratio binaryzation calculate.Window sample result after the binaryzation and warp thread (weft yarn) detect formwork calculation Hausforff distance, and institute's value is the matching value of this sampling window central point.
4) utilize the method forstep 3 to try to achieve matching value with warp thread (weft yarn) template matches to the every bit of vertical (level) edge graph.
Fig. 9 has provided the as a result figure that the yarn (warp thread) based on template matches extracts.Can see in the drawings, the zone with yarn parallel lines edge feature is significantly strengthened, and the yarn zone presents obvious strip and distributes.Consider that warp thread and weft yarn correspond respectively to vertical and horizontal direction because to the extraction of warp thread and weft yarn as a result figure make respectively along the vertical and horizontal directions matching value cumulative histogram.In the matching value cumulative histogram, can clearly observe the one-to-one relationship of wave crest point and yarn.After cumulative histogram being done the crest separation, can determine warp thread and the weft yarn average coordinates value on level or vertical direction.
Average coordinates value take yarn initializes grid model as the basis.Figure 10 has provided a grid initialization result figure.Can notice, in the initialization result of grid, every row or column all represents with straight line, and this is to be the average coordinates of yarn because the grid initialization data adopts.This grid form obviously can not represent the actual form of fabric, and the situation such as the distortion of yarn and degree of being variation can not be observed from this result in the fabric, so, must initialize on the basis at this grid is adjusted.
(3) adjust based on the fabric grid model adaptation of gradient
The purpose of grid model adjustment be so that the row and column of grid model completely the geometry of the yarn in the fabric sample overlap.The mode of grid adjustment is take grid elements as unit, and the four edges of mobile each grid elements makes it to be covered on the edge of corresponding yarn line segment.
If we regard the edge graph of fusion image as an equation I (x, y), wherein the codomain of I is the point set coordinate, and its numerical value is the gray value of respective point, and we just can obtain the gradient information of edge graph so.In the edge graph, the gradient direction of each point always points to the peaked point of contiguous local gray level.In edge graph, the local gray-value maximum point is marginal point always.So the cumulative gradient direction of the sideline loca of grid elements has just been pointed out the moving direction in this sideline, the gradient accumulated value then is the dynamics size that this limit is drawn by gradient.
The adjustment of grid model can be counted as a process of asking physical system energy energy minimization solution.In the grid adjustment process, the sideline of grid will keep suitable distance with adjacent sideline, and keeps continuity with the sideline that joins.If grid model is regarded as a spring system, so these control informations can be represented as in the grid model any tie point between spring force.In original state, the grid spring is in non-deformation state.The gradient force that acts on the grid sideline is the applied external force of this physical model, and the spring force between the consecutive points is internal action power.The adjustment process of grid model is exactly the process that internal agency and external agency acts on the grid and reaches balance, and its result is exactly grid model energy minimization solution.
Figure 11 has provided the grid model of fabric based on the adjustment result of gradient.After adjusting, can observe the sideline of each element of grid and adjust to correct position, correspondingly, the geometry of yarn has also obtained correct expression.
(4) identification in crosspoint
The institutional framework of fabric provides by the yarn crossovers point of general, and the state of yarn crossovers point depends on the mutual alignment relation of yarn on the crosspoint.The point of general that intersects has two kinds, if weft yarn in the front, then this crosspoint is the weft yarn crosspoint, otherwise, then be the warp thread crosspoint.In grid model, a crosspoint is represented by a quadrangle.The intensity of tetragonal four edges line is decided by to intersect point of general, and is same, can derive the intersection point of general by the intensity in crosspoint.
Suppose that the intensity in sideline, crosspoint is divided into two states under a perfect condition: 0 or 1.The point of general that intersects so can be divided into 8 types.Here, weft yarn and warp thread crosspoint are refined as respectively 4 subtypes.Figure 12 has provided the specific standards that the crosspoint is divided according to edge line intensity.
In actual conditions, the intensity at edge, crosspoint is not to be expressed as definitely 0 or 1, but is expressed as relatively by force or relatively.The division in crosspoint just becomes the K-partition problem of classics so.This K-partition problem has 4 input data and 8 output states.This K-partition problem can solve by the back-propagation artificial neural network of simple 4 inputs, 8 outputs.
For the institutional framework of a fabric of expression, 2 class crosspoints are divided enough, and we are the reason that the crosspoint is refined as 8 subtypes to utilize the syntople in crosspoint to come the junction recognition result is carried out error correction.For example, do out crosspoint (type 1:weft left open) for a weft yarn, adjacent crosspoint, the right only has two possibilities with it: crosspoint (type 2:weft right open) and weft yarn Zuo ﹠amp are opened in the weft yarn right side; Crosspoint (type3:weft left ﹠amp is opened on the right side; Right open.Figure 12 provided the crosspoint adjacency the institute possible.Utilize the crosspoint adjacency information to carry out error correction two criterions are arranged: 1. the back side, a weft yarn crosspoint must be a warp thread crosspoint; 2. the relation in a crosspoint and adjacent 4 crosspoints must meet the relation that the crosspoint syntople figure of table 3 then provides.Based on these two criterions, the junction recognition mistake of part can obtain to correct.Figure 13 has provided the crosspoint classification and has utilized the as a result figure of adjacency information error correction.
(5) extraction of color yarn tissue and utilize the colouring information error correction
Type LeftTop Right Bottom
0 4,5,6,7 4,7 4,5,6,7 5,7
1 2,3 0,1,2,3, 4,7 4,5,6,7 0,1,2,3, 5,7
2 4,5,6,7 0,1,2,3, 4,7 1,3 0,1,2,3, 5,7
3 2,3 0,1,2,3, 4,7 1,3 0,1,2,3, 5,7
4 0,1,4,5, 6,7 5,6 0,2,4,5, 6,7 0,1,2,3
5 0,1,4,5, 6,7 0,1,2,3 0,2,4,5, 6,7 4,6
6 0,1,4,5, 6,7 5,6 0,2,4,5, 6,7 4,6
7 0,1,4,5, 6,7 0,1,2,3 0,2,4,5, 6,7 0,1,2,3
Table 3: crosspoint syntople figure then
The tissue of color yarn is the another kind of key message of fabric.Color yarn tissue extraction comprises 3 steps: 1.Obtain color palette information, namely obtain quantity and the parameter of color in the fabric; 2.Determine the color of every yarns; 3.Utilize the colouring information of yarn to correct the mistake of classifying in the crosspoint.
The information of extracting color in the color fabric is a color cluster problem.The method that we propose is based on the adaptive color cluster that histogram moisture in the soil value is divided.The basis of this method is J.The one dimension histogram self adaptation partitioning algorithm that DELON proposes.Utilize this algorithm, we are according to the brightness of color, colourity, three reference axis circulations of saturation degree are carried out spatial division to being present in an all colours point in the fabric, until reach stable state, do not exist continue to divide may till.This algorithm divide and the color class quantity that goes out as the size of palette, the mean parameter of color class is as the parameter of palette of colors.
Determining of yarn color is a color-match problem.The geometry of yarn can obtain from the grid model of fabric.Thereby we can go out from all colours point parametric statistics that every yarns comprises the mean parameter of yarn color.The mean parameter of yarn color and each color in the palette are mated, and then the yarn of color determines to be the palette of colors the most similar to the color parameter of every yarns.
If it is different consisting of the color of two yarns in a crosspoint, the point of general that then should intersect can be judged by the color of yarn.If the color on north is close to the warp thread color simultaneously close to the color of weft yarn for the color in front, a crosspoint, then this crosspoint is a weft yarn crosspoint, otherwise then this crosspoint is a warp thread crosspoint.If the result who obtains in the classification of crosspoint contradicts with the result who classifies according to colouring information, then we are as the criterion with the result who obtains according to color classification.
Figure 14 has provided the end product that fabric tissue and color are extracted, Figure 15 warp-wise and this result of broadwise recursive copying and simulate the textile image that obtains.
(2) thread count module
Its major function is to measure the arranging density of yarn on the longitude and latitude both direction, main step comprises: (1) characteristic angle is approximate to be judged, (2) calibration of the Frequency point of corresponding warp thread and weft yarn, (3) extraction at yarn edge, (4) FFT of one-sided image, the density calculation of (5) filling yarn.
According to the description of preamble about the frequency domain model of fabric, can obtain a general Theorem about Density (FDP theorem): in the Fu Lier of textile image (Fourier) frequency spectrum, the horizontal/vertical coordinate of energy maximum point (density points) equals the quantity of warp thread and weft yarn in the textile image on the horizontal/.
In actual applications, the Density result who is obtained by the FDP theorem tends to be subject to the impact of 3 each factor: the distortion of fabric, the color of fabric and the histological structure of complex textile.Here, we are the measuring method that proposes a kind of Density, the effectively front two kinds of influence factors in place to go.
In the application of FDP theorem, we always suppose that the direction of warp and weft of fabric corresponds respectively to vertical and horizontal direction.Under this ideal state, in the Fourier of fabric frequency spectrum, can detect the feature angle of 2 energy maximums, these two angles are respectively 0 degree and an angle of 90 degrees, then be defined as respectively the density points of warp thread and weft yarn along the energy maximum point on this both direction, the quantity of warp thread and weft yarn can be derived from the horizontal/vertical coordinate of density points and be obtained (Figure 16).
Yet in actual conditions, the direction of warp and weft of fabric does not often just in time overlap with the vertical-horizontal direction, and this just is called the distortion of fabric.In the situation that the fabric distortion exists, the characteristic angle of two energy maximums that detect in the Fourier of fabric frequency spectrum often deviates from 0 degree or 90 and spends (Figure 17) in this case, we are similar to judgement to two characteristic angle that detect, we think,distance 0 is spent nearest characteristic angle corresponding to warp thread direction, and distance 90 is spent nearest characteristic angle corresponding to weft direction.At this moment, the density points of extracting along the characteristic angle direction is only correct in the weft count point.Judge with characteristic angle is approximate.
Another hypothesis of using the FDP theorem is, in the Fourier frequency spectrum, what density points was corresponding is the strongest periodic structure in the fabric of space, and namely warp thread and weft yarn repeat and the periodic structure that causes.If fabric is colored, and organizing of color yarn also present periodic structure, and then the extraction for density points can impact.This is because in the spatial information of fabric, often the intensity of the periodical information of color will be far longer than the yarn cycle information of bottom.Because, the cyclic component of the corresponding often color of energy maximum point that extracts along the characteristic angle direction, rather than yarn (Figure 18 (1)).
We observe, and the stability of the edge graph information of fabric is very strong.Although the intensity at edge also can be subject to the impact of color, be metastable with respect to gray-scale map.Therefore, we come the gray-scale map of alternative fabrics with the edge graph of fabric, and use FDP in the Fourier of edge graph frequency spectrum.We find, utilize the greatly intensity of reinforcement yarn cyclic component of edge graph, suppress simultaneously the intensity (Figure 18 (2)) of the cyclic component of color.But this result does not also promote completely for the degree of accuracy of the extraction of density points.
Said as the front, edge graph also can be subject to the impact of color to a certain extent, thus cause the edge the intensity color cyclically-varying and conversion affects the degree of accuracy of FDP principle.In order to overcome this factor, we have proposed to substitute with the binaryzation result of edge graph the method for edge graph.The window Binarization methods that the histogram ratio that is based on that the binaryzation of edge graph adopts is cut apart.This method can promote the strength information of local edge, suppresses simultaneously cColor-cycling information of overall importance.Use FDP in the Fourier of edge binary image frequency spectrum, can see, the yarn cycle composition has obtained obvious reinforcement, and the cyclic component of color has obtained good inhibition, and the density points of yarn can be extracted accurately.
(3) yarn color analysis module
This module is based on color calibration and the mensuration of Standard colour board, and main model framework and algorithm comprise:
The major function of the color analysis module of yarn is to measure the colouring information of yarn, relate to two main steps: color calibration and color measuring, since this invention with the colour table of standard be arranged in sample around, can finish above-mentioned two steps by same width of cloth image, guarantee the uniformity of color measuring.
The color analysis of yarn is based on that the flat cloth specimen clamping device of magnetic of special embedded Standard Colors plate carries out.Around the flat cloth specimen clamping device of special magnetic, we are embedded 24 Standard colour boards.That Standard colour board adopts is ColorCheckerTMGeneral color slider (Figure 19), this has guaranteed the accuracy of colour table.The color parameter of Standard colour board is known quantity.Utilize the color slider of these standards, we have proposed a kind of color correction algorithm based on reference colour.This algorithm can guarantee the yarn color accuracy of sampling and the uniformity of repeatedly sampling.
Utilize the color of digital sensor collection to be proofreaied and correct by Standard Colors.Digital sample equipment, for example the Mathematical Modeling of the sensor of scanner can be expressed as:
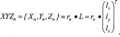
RGBn={Rn,Gn,Bn}=rn·S=rn·srsgsbT,
Wherein, matrix S comprises digital sensor for the mystification degree of different-waveband spectrum, rnThe reflectance spectrum of Standard Colors, RGBnThe actual output of scanner.And the computational methods of the actual numerical value of Standard Colors in the CIEXYZ space are:
XYZn={Xn,Yn,Zn}=rn·L=rn·lxlylzT,
Wherein 3 * 3 matrix L comprise the match parameter of CIEXYZ color conversion.Then the rectification problem of color depends on and finds a continuous mapping parameters matrix A, this matrix description the conversion parameter from the scanning color to standard C IEXYZ color space.
XYZ '=X 'n, Y 'n, Z 'n}=A{Rn, Gn, Bn}T, whereinA=a11a12a13a21a22a23a31a32a33.
The computational methods of the mapping matrix A that is proposed by Vrhel and Trussel are to seek a conversion AScanWherein
Ascan=arg(minAΣi=1n||XYZ′-XYZ||),
‖. ‖2For the distance in the CIEXYZ space is calculated operator.Experimental results show that, utilizing least square method estimate to obtain mapping matrix A, to carry out the misalignment that color map causes be the error that reflectance spectrum difference of equal value and owing to color causes, this that is to say, the yarn color data that the color correction that utilizes Standard Colors and said method to do obtains are right-on.
(4) yarn diameter and uniformity test module
This module is based on the extraction of yarn Skeleton central shaft and the inscribed circle measuring technique realizes.
The major function of yarn diameter and uniformity module be the diameter of measuring yarn with and the uniformity, key step comprises: the collection of figure warp thread picture, the cutting apart of figure warp thread picture, the determining of yarn central shaft is along yarn central shaft point-to-point measurement, the mean value of yarn diameter.
The method of measuring yarn diameter with image processing techniques is the diameter of measuring yarn in three dimensions to be converted in two dimensional image plane measure the width that the yarn silhouette is penetrated face.
The method that we propose comprises three steps: at first, obtain the yarn silhouette; Then, in image, isolate yarn object, and describe the form of yarn object with geometric ways; At last, utilize the mean breadth of the geometric description calculating yarn of yarn object.
The sampling of yarn silhouette is to utilize the flat cloth specimen clamping device of special magnetic to finish.Because the variation of yarn color, we have adopted two kinds of different background colour tables.The background colour table of the black light yarn that is used for sampling wherein, the background colour table of the white dark yarn that is used for sampling.Utilize the advantage of different background colour table to be effectively to strengthen contrast (Figure 20) between yarn object and the background colour.
Owing to effectively having utilized different background colour tables, the separation problem of yarn object and background colour to be easier to solve.On the gray scale cumulative histogram of sampled images, can recognize clearly the crest corresponding to background colour.Because the quantity of background color dot is occupied absolute advantage in image, thus be the most remarkable in the cumulative histogram kind corresponding to the crest of background colour, and have obvious gap with the height of the crest of other colors.Utilize this phenomenon, we can carry out the crest division to cumulative histogram exactly, always obtain the dynamic threshold of image binaryzation.Take this dynamic threshold as reference, the sampled images of yarn is carried out binaryzation, can effectively cut apart yarn object and background colour (Figure 21: in).
The central shaft conversion is an effective tool that extracts solid body set form in image.The central shaft conversion method is: the geometric shape of an object can be represented as a series of and the two circles of cutting of object boundary and the track (Figure 21: the right side) in the center of circle thereof.For yarn object, what the track in the center of circle represented is the central shaft of yarn, and diameter of a circle then is that yarn is at the width of its circle centre position.
The central shaft conversion can realize by the erosion algorithm of shape filtering.Erosion algorithm is keeping under the continuous prerequisite of central shaft from the outside of yarn, order erode yarn object.In the situation that yarn has no idea to be further corroded, remaining yarn object partly is exactly the yarn central shaft, and the corrosion number of times that experiences when each point touches erosional surface on the central shaft then is its radius.
After obtaining the central shaft method for expressing of yarn object geometric shape, the width of yarn can be by the cumulative and acquisition of averaging to diameter of a circle corresponding to each point on the central shaft.

Claims (28)

Translated fromChinese
1.一套基于双面数字图像扫描技术和数字彩色图像处理技术的织物和纱线分析系统,其特征在于: 1. A set of fabric and yarn analysis system based on double-sided digital image scanning technology and digital color image processing technology, characterized in that:该系统的硬件部分包括: The hardware part of the system includes:一台计算机(10); a computer (10);一台用于织物结构和颜色数码扫描分析的平板式彩色扫描仪(7); A flatbed color scanner (7) for digital scanning analysis of fabric structure and color;一套用于将待测试样夹持固定在所述平板式彩色扫描仪的扫描平台上,实现样品图像的双面对位扫描的磁性平板式布样夹持装置(9); One set is used to clamp and fix the sample to be tested on the scanning platform of the flat-bed color scanner to realize the magnetic flat-bed cloth sample clamping device (9) of double-sided alignment scanning of the sample image;软件部分包括: The software part includes:四个用来分析和测试织物的组织结构、经纬密度、纱线颜色、纱线直径和均匀度的算法模块,每一个模块包括图像扫描、图像分析、数据输出三个步骤,其中: Four algorithm modules for analyzing and testing fabric structure, warp and weft density, yarn color, yarn diameter and evenness, each module includes three steps of image scanning, image analysis, and data output, of which:织物识别模块的功能用来分析和测试织物的组织结构,即识别经纬纱线的交织结构和纱线的颜色排列方式,包括两个算法结构:网格化模型和频率域模型; The function of the fabric identification module is used to analyze and test the structure of the fabric, that is, to identify the interweaving structure of the warp and weft yarns and the color arrangement of the yarns, including two algorithm structures: grid model and frequency domain model;经纬密度模块的功能是测量纱线在经纬两个方向上的排列密度,包括一个算法结构:移动匹配频率模型,步骤包括:图像的定位裁减和匹配,纱线边缘的提取,单面图像的快速傅立叶变换,对映经纱和纬纱的频率点的识别和提取,图像的单相位和半相位平移,平移后图像的快速傅立叶变换,对映经纱和纬纱的频率点的校准,经纬纱线的密度计算; The function of the warp and weft density module is to measure the arrangement density of the yarn in the two directions of warp and weft, including an algorithm structure: mobile matching frequency model, the steps include: image positioning, cutting and matching, yarn edge extraction, single-sided image fast Fourier transform, identification and extraction of frequency points corresponding to warp and weft yarns, single-phase and half-phase translation of images, fast Fourier transform of images after translation, calibration of frequency points corresponding to warp and weft yarns, density of warp and weft yarns calculate;纱线颜色分析模块的功能是测量纱线的颜色信息,包括两个步骤:颜色校准和颜色测量,将标准的色板排列在试样的四周,可以通过同一幅图像完成上述两个步骤,保证了颜色测量的一致性; The function of the yarn color analysis module is to measure the color information of the yarn, which includes two steps: color calibration and color measurement. The standard color plates are arranged around the sample, and the above two steps can be completed through the same image to ensure Consistency in color measurement;纱线直径和均匀度模块的功能是测量纱线的直径以及其均匀度,步骤包括:纱线图像的采集,纱线图像的分割,纱线中心轴的确定,沿纱线中心轴逐点测量,纱线直径的平均值和离散值计算; The function of the yarn diameter and uniformity module is to measure the diameter of the yarn and its uniformity. The steps include: collection of yarn images, segmentation of yarn images, determination of the central axis of the yarn, point-by-point measurement along the central axis of the yarn , the average value and discrete value calculation of yarn diameter;所述四个分析和测试算法模块的应用软件安装于计算机(10)内,用于织物结构和颜色数码扫描分析的平板式彩色扫描仪(7)与该计算机(10)相连,共同构成织物和纱线数码扫描分析系统,通过磁性平板式布样夹持装置(9)将待测试样(8)夹持固定在所述平板式彩色扫描仪(7)的扫描平台上,对待测试样(8)进行双面对位扫描、将正反双面扫描图像传入计算机(10)运用四个分析测试模块分别进行织物和纱线的结构和颜色的计算和分析,最后输出测试数据,其主要的测试流程包括:试样夹持固定,双面图像扫描,正反图像对位匹配,图像分析与特征提取,结果输出。 The application software of the four analysis and test algorithm modules is installed in the computer (10), and the flat-panel color scanner (7) used for fabric structure and color digital scanning analysis is connected with the computer (10) to jointly form the fabric and The yarn digital scanning analysis system clamps and fixes the sample to be tested (8) on the scanning platform of the flat-bed color scanner (7) through a magnetic flat-plate cloth sample clamping device (9), and the sample to be tested ( 8) Carry out double-sided alignment scanning, transfer the front and back double-sided scanning images to the computer (10) use four analysis and test modules to calculate and analyze the structure and color of fabrics and yarns, and finally output test data, the main The test process includes: sample clamping and fixing, double-sided image scanning, positive and negative image alignment matching, image analysis and feature extraction, and result output. the2.根据权利要求1所述的基于双面数字图像扫描技术和数字彩色图像处理技术的织物和纱线分析系统,其特征在于:所述的可实现双面扫描、并通过定位点准确实现正反面图像的定位匹配的磁性平板式布样夹持装置,包括: 2. The fabric and yarn analysis system based on double-sided digital image scanning technology and digital color image processing technology according to claim 1, characterized in that: the described double-sided scanning can be realized, and the positive Position matching magnetic flat sample clamping device for the image on the reverse side, including:一对夹持平板,所述夹持平板可为正方形或矩形,该对夹持平板之间通过旋转轴结构(5)连接定位,上下夹持平板可绕轴芯(15)旋转实现180度开合; A pair of clamping plates, the clamping plates can be square or rectangular, the pair of clamping plates are connected and positioned by the rotating shaft structure (5), and the upper and lower clamping plates can be rotated around the shaft core (15) to achieve 180-degree opening combine;在所述上夹持平板的四个周边顶点位置镶嵌定位磁铁(6),依靠磁铁的磁力实现上下平板对试样的夹持; Positioning magnets (6) are inlaid at the four peripheral apex positions of the upper clamping plate, and the clamping of the sample by the upper and lower plates is realized by relying on the magnetic force of the magnet;所述夹持平板在中心位置设置有一采集窗口(4),数码扫描系统采集对应窗口内的织物部分的图像; The clamping flat panel is provided with a collection window (4) at the central position, and the digital scanning system collects the image of the fabric part in the corresponding window;所述上下夹持平板各有四个定位参考点(3),其中上夹持平板与下夹持平板的每对定位参考点垂直对位,保证在扫描织物正反两面的图像时可以实现精确对位; Each of the upper and lower clamping plates has four positioning reference points (3), wherein each pair of positioning reference points of the upper clamping plate and the lower clamping plate are vertically aligned to ensure accurate scanning of images on both sides of the fabric. Counterpoint;所述夹持平板在采集窗口(4)的四周,规则排列方格型的颜色模块(221),该颜色模块(221)镶嵌在平板内,颜色模块的表面和平板的表面平齐。 The clamping plate is regularly arranged with grid-shaped color modules (221) around the collection window (4), the color modules (221) are embedded in the plate, and the surface of the color modules is flush with the surface of the plate. the3.根据权利要求2所述的基于双面数字图像扫描技术和数字彩色图像处理技术的织物和纱线分析系统,其特征在于:所述磁性平板式布样夹持装置的夹持平板(1、2)的形状可为正方形,也可为矩形,但该夹持平板的可旋转的一端的旋转接触点必须在同一个轴心上,保证夹持平板的旋转开合。 3. The fabric and yarn analysis system based on double-sided digital image scanning technology and digital color image processing technology according to claim 2, characterized in that: the clamping plate (1 , 2) The shape can be square or rectangular, but the rotating contact point of the rotatable end of the clamping plate must be on the same axis to ensure the rotating opening and closing of the clamping plate. the4.根据权利要求2所述的基于双面数字图像扫描技术和数字彩色图像处理技术的织物和纱线分析系统,其特征在于:所述磁性平板式布样夹持装置的上下夹持平板(1、2)的中心位置分别开设的采集窗口(4)是正方形,其上安装玻璃或透明树脂材料,并保证平板对试样的良好夹持,避免试样有部分因悬空搁置而导致试样表面弯曲变形,并且上下夹持平板的窗口形状和尺寸应保持对应一致;所述磁性平板式布样夹持装置的夹持平板(1、2)上的四个定位参考点(3),其形状、颜色和个数可以根据图像识别算法而做相应的调整,定位参考点的主要作用是可以使得织物正面和其反面的图像,在各自的图像二维坐标下,找到参考坐标,实现仿射对映变换,为正面的每一个像素找到其在反面图像中的对应像素;所述磁性平板式布样夹持装置的夹持平板(1、2)上的定位参考点(3)的作用还可以是根据两个定位参考点之间的距离来计算像素的实际空间分辨率,以及根据四个定位参考点构成的正方形的相邻两条边的夹角计算扫描图像的空间扭曲度;所述磁性平板式布样夹持装置的上夹持平板(1)和下夹持平板(2)之间由旋转轴结构(5)连接,该旋转轴结构(5)包括下夹持平板上的旋转槽,上夹持平板的旋转槽,以及连接两者的轴芯构成,上下夹持平板(1、2)可绕轴芯(15)旋转实现180度的开合;磁性平板式布样夹持装置的夹持平板(1、2)的内外表面颜色一般设定为黑色,哑光处理;所述磁性平板式布样夹持装 置的夹持平板(1、2)上,规则排列于采集窗口(4)四周的颜色模块(221)的个数和色彩按照国际颜色标准机构提供的标准色板来设计,其色彩数目一般不少于16种。 4. the fabric and yarn analysis system based on double-sided digital image scanning technology and digital color image processing technology according to claim 2, is characterized in that: the upper and lower clamping plates ( The collection windows (4) set at the central positions of 1 and 2) are square, on which glass or transparent resin materials are installed, and the flat plate is guaranteed to hold the sample well, so as to avoid some samples being suspended in the air and causing the sample The surface is bent and deformed, and the shape and size of the window for clamping the flat plate up and down should be consistent; the four positioning reference points (3) on the clamping plate (1, 2) of the magnetic flat-type cloth sample clamping device, which The shape, color and number can be adjusted according to the image recognition algorithm. The main function of locating the reference point is to make the images on the front and back of the fabric find the reference coordinates under the two-dimensional coordinates of the respective images to realize affine Antipodal transformation, find its corresponding pixel in the reverse image for each pixel on the front side; It may be to calculate the actual spatial resolution of the pixel according to the distance between two positioning reference points, and to calculate the spatial distortion of the scanned image according to the angle between two adjacent sides of a square formed by the four positioning reference points; The upper clamping plate (1) and the lower clamping plate (2) of the magnetic plate type cloth sample clamping device are connected by a rotating shaft structure (5), and the rotating shaft structure (5) includes a rotating shaft on the lower clamping plate. Groove, the rotating groove for clamping the plate on the top, and the shaft core connecting the two. The top and bottom clamping plates (1, 2) can be rotated around the shaft core (15) to achieve 180-degree opening and closing; magnetic flat-type sample clamping The color of the inner and outer surfaces of the clamping plates (1, 2) of the device is generally set to black and matte treatment; the clamping plates (1, 2) of the magnetic flat-plate cloth sample clamping device are regularly arranged on the collection The number and color of the color modules (221) around the window (4) are designed according to the standard color palette provided by the international color standard organization, and the number of colors is generally not less than 16. the5.根据权利要求1所述的基于双面数字图像扫描技术和数字彩色图像处理技术的织物和纱线分析系统,其特征在于:所述的四个用来分析和测试织物的组织结构,经纬密度,纱线颜色,纱线直径和均匀度的算法模块可以同时实现,而不是局限于一种单一功能;所述的软件部分中的每一个功能模块都包括图像扫描、图像分析、数据输出三个步骤,其中的图像为平板式扫描所获得的数字彩色图像。 5. The fabric and yarn analysis system based on double-sided digital image scanning technology and digital color image processing technology according to claim 1, characterized in that: the four structures used to analyze and test fabrics, warp and weft The algorithm modules of density, yarn color, yarn diameter and evenness can be realized at the same time, instead of being limited to a single function; each function module in the software part includes image scanning, image analysis, data output three step, where the image is a digital color image obtained by flatbed scanning. the6.根据权利要求1所述的基于双面数字图像扫描技术和数字彩色图像处理技术的织物和纱线分析系统,其特征在于:所述的软件部分中涉及的织物识别模块的功能用来识别经纬纱线的交织结构和纱线的颜色排列方式,包括两个算法结构:网格化模型和频率域模型; 6. The fabric and yarn analysis system based on double-sided digital image scanning technology and digital color image processing technology according to claim 1, characterized in that: the function of the fabric identification module involved in the software part is used to identify The interweaving structure of warp and weft yarns and the color arrangement of yarns include two algorithm structures: grid model and frequency domain model;其中基于网格化模型识别的步骤包括:正反面图像的对位匹配,正反面图像的网格初始化,正反面图像的网格自适应匹配,图像的边缘提取,交织类型识别,组织点纠错,颜色分析; The steps of recognition based on the grid model include: alignment matching of front and back images, grid initialization of front and back images, grid adaptive matching of front and back images, image edge extraction, interweaving type identification, tissue point error correction , color analysis;其中基于频率域模型识别的步骤包括:图像的定位裁减和匹配,双面图像的快速傅立叶变换,峰点滤波,周期性频率点的提取,织物组织结构参数的计算和识别。 The steps based on the frequency domain model identification include: image positioning, cutting and matching, fast Fourier transform of double-sided images, peak point filtering, extraction of periodic frequency points, calculation and identification of fabric structure parameters. the7.根据权利要求6所述的基于双面数字图像扫描技术和数字彩色图像处理技术的织物和纱线分析系统,其特征在于:所述的基于频率域模型识别的步骤,利用傅立叶变换技术或相关的频谱分析技术来分析织物的数字化图像,其中包括小波变换,余弦变换。 7. The fabric and yarn analysis system based on double-sided digital image scanning technology and digital color image processing technology according to claim 6, characterized in that: the described step based on frequency domain model identification utilizes Fourier transform technology or Related spectrum analysis techniques are used to analyze the digitized images of fabrics, including wavelet transform and cosine transform. the8.根据权利要求6所述的基于双面数字图像扫描技术和数字彩色图像处理技术的织物和纱线分析系统,其特征在于:所述基于网格化模型识别是一种利用网格化模型自动识别织物组织结构的方法:所述织物的网格模型的算法包括织物双面采样和正反图象的对位匹配算法、纱线的定位和网格模型的初始化算法、基于梯度的织物网格模型自适应调整算法、交叉点的定义和识别、纱线组织颜色提取和利用纱线颜色进行组织纠错。 8. The fabric and yarn analysis system based on double-sided digital image scanning technology and digital color image processing technology according to claim 6, characterized in that: said recognition based on a gridded model is a method using a gridded model The method of automatically identifying the fabric structure: the algorithm of the grid model of the fabric includes the double-sided sampling of the fabric and the alignment matching algorithm of the positive and negative images, the positioning of the yarn and the initialization algorithm of the grid model, and the gradient-based fabric mesh Lattice model self-adaptive adjustment algorithm, definition and recognition of intersection point, yarn weave color extraction and weave error correction by yarn color. the9.根据权利要求8所述的基于双面数字图像扫描技术和数字彩色图像处理技术的织物和纱线分析系统,其特征在于:所述织物网格模型的主体是一个2维的平面网格,这个网格用来存储织物的结构数据;所述网格由行和列构成,分别对应于织物的经纱和纬纱,而且是一一对应,即织物中的每一条纱线在网格模型中都有相应的行或者列来表征;纬纱(Wj)和经纱(Wi)分别对应于网格模型中的行(Rowj)和列(Columni);该织物网格模型中的每一条行或者列由一系列连续的网格元素构成,每个网格元素(Eji)对应于织物中的一段纱线(Sji);通过纱线的行/列以及纱线段与网格元素的对应,一个织物样本可以用一个网格模型来表征。 9. The fabric and yarn analysis system based on double-sided digital image scanning technology and digital color image processing technology according to claim 8, characterized in that: the main body of the fabric grid model is a 2-dimensional plane grid , this grid is used to store the structural data of the fabric; the grid is composed of rows and columns, corresponding to the warp and weft of the fabric respectively, and it is a one-to-one correspondence, that is, each yarn in the fabric is in the grid model There are corresponding rows or columns to represent; the weft yarn (Wj ) and the warp yarn (Wi ) correspond to the row (Rowj ) and column (Columni ) in the grid model respectively; each fabric grid model A row or column consists of a series of continuous grid elements, each grid element (Eji ) corresponds to a segment of yarn (Sji ) in the fabric; Correspondingly, a fabric sample can be represented by a mesh model.10.根据权利要求9所述的基于双面数字图像扫描技术和数字彩色图像处理技术的织物和纱线分析系统,其特征在于:所述网格元素(Eji)是所述织物网格模型的基本单元,织物的结构信息都通过存储在网格元素(Eji)中的数据组来体现,该数据组包括4个方面的信息:网格元素的类型和构造类型、网格元素的几何形状信息、网格元素的颜色信息、网格元素的边缘信息。 10. The fabric and yarn analysis system based on double-sided digital image scanning technology and digital color image processing technology according to claim 9, characterized in that: said grid element (Eji ) is said fabric grid model The basic unit of the fabric, the structural information of the fabric is reflected by the data group stored in the grid element (Eji ), which includes four aspects of information: the type and structure type of the grid element, the geometry of the grid element Shape information, color information of mesh elements, edge information of mesh elements.11.根据权利要求10所述的基于双面数字图像扫描技术和数字彩色图像处理技术的织物和纱线分析系统,其特征在于:在所述数据组中的网格元素的类型和构造类型中,该网格元素的类型分两种:交叉点和非交叉点;一般纱线段有两种类型,一种纱线段是经纱和纬纱的交叉点(Sji),一种是非交叉点的独立的纱线段(Sj-3,i),这些纱线段不与其他纱线存在交叉重叠;相应的,网格的元素也分为交叉点元素和非交叉点元素两种,其类型由对应的纱线段的类型决定; 11. The fabric and yarn analysis system based on double-sided digital image scanning technology and digital color image processing technology according to claim 10, characterized in that: in the type and structure type of grid elements in the data set , there are two types of grid elements: intersection point and non-intersection point; generally there are two types of yarn segments, one type of yarn segment is the intersection point (Sji ) of warp and weft yarns, and the other is the intersection point of non-intersection point Independent yarn segments (Sj-3, i ), these yarn segments do not overlap with other yarns; correspondingly, grid elements are also divided into intersection elements and non-intersection elements, and their types Determined by the type of the corresponding yarn segment;织物的构造类型信息通过纱线在交叉点的相互位置来表达,如果某网格元素的类型是交叉点,则对应在纱线交叉点的构造类型也需要记录下来:交叉点的构造类型根据纱线在交叉点的相互位置分为两种,一种是纬纱在织物正面,一种是经纱在织物正面。 The structure type information of the fabric is expressed by the mutual position of the yarns at the intersection points. If the type of a grid element is an intersection point, the corresponding structure type at the yarn intersection point also needs to be recorded: the structure type of the intersection point is based on the yarn The mutual positions of the threads at the crossing point are divided into two types, one is that the weft yarn is on the front side of the fabric, and the other is that the warp yarn is on the front side of the fabric. the12.根据权利要求10所述的基于双面数字图像扫描技术和数字彩色图像处理技术的织物和纱线分析系统,其特征在于:所述数据组中的网格元素的几何形状信息由织物个体信息而确定,织物的个体信息主要包括纱线的几何信息;而在网格模型中,一条纱线由若干连接的网格元素表示,所以通过纪录网格元素对应的纱线段的几何形状信息,就可以存储织物中纱线的个体几何信息;此外,一个纱线段的基本信息集合包括纱线段的位置,它可以由一个网格元素的四条边的位置和形状给出。 12. The fabric and yarn analysis system based on double-sided digital image scanning technology and digital color image processing technology according to claim 10, characterized in that: the geometric shape information of the grid elements in the data set is determined by individual fabrics The individual information of the fabric mainly includes the geometric information of the yarn; while in the grid model, a yarn is represented by several connected grid elements, so by recording the geometric shape information of the yarn segment corresponding to the grid element , the individual geometric information of the yarns in the fabric can be stored; in addition, the basic information set of a yarn segment includes the position of the yarn segment, which can be given by the position and shape of the four sides of a mesh element. the13.根据权利要求10所述的基于双面数字图像扫描技术和数字彩色图像处理技术的织物和纱线分析系统,其特征在于:所述数据组中的网格元素的颜色信息在织物中的分布情况则是通过纱线段的颜色来表达的;如果一个纱线段是交叉点,则在它的正面和反面的颜色分别是相应的经纱和纬纱的颜色;如果一个纱线段不是交叉点,则它正反面颜色都是相应纱线的颜色;在网格元素的数据中,一个纱线段正反面的颜色分别存储于表面色和背面色中,表面色和背面色分别指向调色板中的某个颜色数据。 13. The fabric and yarn analysis system based on double-sided digital image scanning technology and digital color image processing technology according to claim 10, characterized in that: the color information of the grid elements in the data set is in the fabric The distribution is expressed by the color of the yarn segments; if a yarn segment is a cross point, the colors on its front and back sides are the colors of the corresponding warp and weft yarns respectively; if a yarn segment is not a cross point , the colors of its front and back sides are the colors of the corresponding yarn; in the data of the grid element, the colors of the front and back sides of a yarn segment are stored in the surface color and the back color respectively, and the surface color and the back color respectively point to the palette A certain color data in . the14.根据权利要求10所述的基于双面数字图像扫描技术和数字彩色图像处理技术的织物和纱线分析系统,其特征在于:所述数据组中网格元素的边缘信息描述其对应纱线段的四边信息,一个纱线段是一个近似的四边形结构,包括四条边,一个纱线段的四条边的信息可以被用来做交叉点的识别和验证:如果一个纱线段是交叉点,则它正反面的边缘信息是不同的,在网格元素中,纱线段正反面的边缘信息分别存储在两个数据结构表面色和背面色中。 14. The fabric and yarn analysis system based on double-sided digital image scanning technology and digital color image processing technology according to claim 10, characterized in that: the edge information of grid elements in the data set describes its corresponding yarn The four-sided information of the segment, a yarn segment is an approximate quadrilateral structure, including four sides, the information of the four sides of a yarn segment can be used to identify and verify the intersection point: if a yarn segment is an intersection point, Then the edge information of its front and back is different. In the mesh element, the edge information of the front and back of the yarn segment is stored in two data structures, surface color and back color, respectively. the15.根据权利要求8所述的基于双面数字图像扫描技术和数字彩色图像处理技术的织物和纱线分析系统,其特征在于:在所述织物双面采样和正反图像的匹配算法中: 15. The fabric and yarn analysis system based on double-sided digital image scanning technology and digital color image processing technology according to claim 8, characterized in that: in the matching algorithm of said fabric double-sided sampling and positive and negative images:所述织物正反面图像的采样是利用特制的磁性平板式布样夹持装置中的一对夹持平板(1、2)来实现的,在该磁性平板式布样夹持装置板(1、2)的采样窗口(4)的外侧有4个贯穿结构的参考对位孔(3),这四个参考对位孔(3)构成了一个正方形的四个顶点;在单面采样图像中存在着4个对应于参考对位孔(3)的参考点(3),由于参考对位孔(3)的贯穿性构造,在任意一面的采样图像中,参考点和采样窗口的相对位置关系是不变的; The sampling of the front and back images of the fabric is realized by utilizing a pair of clamping flat plates (1, 2) in a special magnetic flat-plate type cloth sample clamping device, where the magnetic flat-plate type cloth sample clamping device plates (1, 2) 2) There are 4 reference alignment holes (3) running through the structure outside the sampling window (4), these four reference alignment holes (3) form four vertices of a square; in the single-sided sampling image there are There are 4 reference points (3) corresponding to the reference alignment holes (3). Due to the penetrating structure of the reference alignment holes (3), in the sampling image on any side, the relative position relationship between the reference points and the sampling window is Changeless;所述织物正反面的匹配是通过参考对位孔(3)来实现的,首先相对于磁性平板式布样夹持装置板的黑色背景,白色的参考对位孔(3)具有明显的颜色特征,可以非常容易的被识别和定位,并计算出参考点的中心点坐标,然后,以四个参考对位孔(3)为基准,对正反面图像分别进行仿射变换,变换后的矩形图像中,4个参考点分别位于图像的四角的顶点上,最后一步是对正反面图像进行同比例变换,使得正反面图像具有相同的尺寸,经过以上3步之后,正反面图像的参考点正好重合,图像获得匹配。 The matching of the front and back sides of the fabric is realized through the reference alignment holes (3), firstly, the white reference alignment holes (3) have obvious color characteristics relative to the black background of the magnetic flat-type cloth sample clamping device plate , can be identified and positioned very easily, and calculate the coordinates of the center point of the reference point. Then, with the four reference alignment holes (3) as the benchmark, affine transformation is performed on the front and back images respectively, and the transformed rectangular image In , the four reference points are respectively located on the vertices of the four corners of the image. The last step is to transform the front and back images in the same proportion, so that the front and back images have the same size. After the above three steps, the reference points of the front and back images coincide exactly. , the image gets matched. the16.根据权利要求8所述的基于双面数字图像扫描技术和数字彩色图像处理技术的织物和纱线分析系统,其特征在于:在所述纱线的定位和网格模型的初始化算法中: 16. The fabric and yarn analysis system based on double-sided digital image scanning technology and digital color image processing technology according to claim 8, characterized in that: in the initialization algorithm of the positioning of the yarn and the grid model:织物网格模型是建立在与织物的纱线一一对应的关系上的,所以,建立网格模型的关键在于正确的检测织物中纱线的数量及位置; The fabric grid model is based on the one-to-one correspondence with the yarns of the fabric, so the key to establishing the grid model is to correctly detect the number and position of the yarns in the fabric;为了检测织物中的纱线,本方法提出一种基于哈世道夫距离的模板匹配算法:针对融合图像中经纱和纬纱的特征,分别设计了2个模板,经纱模板内含两条垂直的平行线,纬纱模板内含两条水平平行线,纱线模板的设计是针对融合图像边缘图中纱线的平行线边缘特征而定制的,纱线的检测和定位可以归纳为以下几步: In order to detect the yarn in the fabric, this method proposes a template matching algorithm based on Hasseldorf distance: according to the characteristics of the warp and weft in the fusion image, two templates are designed respectively, and the warp template contains two vertical parallel lines , the weft template contains two horizontal parallel lines. The design of the yarn template is customized for the edge features of the parallel lines of the yarn in the fusion image edge image. The detection and positioning of the yarn can be summarized into the following steps:a.从织物的正反面采样图获取融合图像; a. Obtain a fusion image from the front and back sampling images of the fabric;b.利用绍贝尔水平垂直边缘检测算子获取融合图像的水平及垂直边缘图; b. Use the Shobel horizontal and vertical edge detection operator to obtain the horizontal and vertical edge maps of the fusion image;c.采用浮动窗口在以任意点为中心在垂直或水平边缘图中与经纱或纬纱模板同比例采样,并对采样窗口作直方图比例二值化计算;二值化后的窗口采样结果与经纱或纬纱检测模板计算哈世道夫距离,所得数值为该采样窗口中心点的匹配值; c. Use the floating window to sample in the same proportion as the warp or weft template in the vertical or horizontal edge graph centered on any point, and perform binarization calculation of the histogram ratio on the sampling window; the window sampling result after binarization is the same as the warp Or the weft yarn detection template calculates the Hasseldorf distance, and the obtained value is the matching value of the center point of the sampling window;d.对垂直或水平边缘图的每一点利用步骤c的方法求得与经纱或纬纱模板匹配的匹配值; D. Utilize the method for step c to obtain the matching value matched with the warp or weft template for each point of the vertical or horizontal edge graph;据此可以给出了基于模板匹配的经纱或纬纱提取的结果图,具有纱线平行线边缘特征的区域被明显的强化,纱线区域呈现明显的条状分布;考虑到经纱和纬纱分别对应于垂直和水平方向,还可以对经纱和纬纱的提取结果图分别作沿垂直和水平方向的匹配值累加直方图;在匹配值累加直方图中可以清楚地观测到波峰点和纱线的一一对应关系;在对累加直方图作波峰分隔以后,可以确定经纱和纬纱在水平或垂直方向上的平均坐标值; According to this, the result map of warp or weft extraction based on template matching can be given. The region with the edge characteristics of parallel lines of the yarn is obviously strengthened, and the yarn region presents an obvious strip distribution; considering that the warp and weft are respectively corresponding to In the vertical and horizontal directions, you can also make a matching value accumulation histogram along the vertical and horizontal directions for the warp and weft yarn extraction results respectively; in the matching value accumulation histogram, you can clearly observe the one-to-one correspondence between the peak point and the yarn Relationship; after the peak separation of the cumulative histogram, the average coordinate value of the warp and weft in the horizontal or vertical direction can be determined;最后,以纱线的平均坐标值为基础对网格模型进行初始化并给出网格初始化结果图:在网格的初始化结果中,每条行或列都是以直线表示的,这是因为网格初始化数据采用的是纱线的平均坐标,可是这个网格形态显然不能够表示织物的实际形态,织物中纱线的扭曲和系度变化情况不能够从这个结果中观察到,所以,必须在这个初始化基础上对网格进行调整。 Finally, based on the average coordinate value of the yarn, the grid model is initialized and the grid initialization result diagram is given: in the grid initialization result, each row or column is represented by a straight line, because the grid The grid initialization data uses the average coordinates of the yarn, but this grid shape obviously cannot represent the actual shape of the fabric, and the twist and change of the yarn in the fabric cannot be observed from this result. Therefore, it must be Adjustments are made to the mesh based on this initialization. the17.根据权利要求8所述的基于双面数字图像扫描技术和数字彩色图像处理技术的织物和纱线分析系统,其特征在于:在所述交叉点的识别算法中: 17. The fabric and yarn analysis system based on double-sided digital image scanning technology and digital color image processing technology according to claim 8, characterized in that: in the identification algorithm of the intersection:在网格模型中,一个交叉点由一个四边形表示,四边形的四条边线的强度决定于交叉点的类型,同样的,由交叉点的强度可以推导出交叉点的类型; In the mesh model, an intersection is represented by a quadrilateral, and the strength of the four sides of the quadrilateral depends on the type of intersection. Similarly, the type of intersection can be deduced from the strength of the intersection;假设在一个理想状态下,交叉点边线的强度分为两种状态:0或者1;那么交叉点的类型可以被划分为8个类型,在这里,纬纱和经纱交叉点分别被细化为4个子类型; Assuming that in an ideal state, the strength of the edge line at the intersection point is divided into two states: 0 or 1; then the type of intersection point can be divided into 8 types, here, the intersection points of weft and warp yarns are respectively refined into 4 sub-types type;在实际情况中,交叉点边缘的强度不是表示为绝对的0或1,而是表示为相对较强或者相对较弱,那么交叉点的划分就成为一个经典的k-划分问题;这个k-划分问题具有4个输入数据和8个输出状态;这个k-划分问题可以通过一个简单的4输入8输出的反向传播人工神经网络解决; In actual situations, the strength of the intersection edge is not expressed as an absolute 0 or 1, but is expressed as relatively strong or relatively weak, then the division of the intersection becomes a classic k-division problem; this k-division The problem has 4 input data and 8 output states; this k-partition problem can be solved by a simple 4-input and 8-output backpropagation artificial neural network;对于表示一个织物的组织结构,2类交叉点划分已经足够,把交叉点细化为8个子类型的原因是利用交叉点的邻接关系来对交叉点识别结果进行纠错;对于一个纬纱做开交叉点,与之相邻的右边交叉点只有两个可能:纬纱右开交叉点和纬纱左右开交叉点;利用交叉点邻接信息进行纠错有两个准则:a.一个纬纱交叉点背面必须是一个经纱交叉点;b.-个交叉点与相邻接4个交叉点的关系必须符合交叉点邻接关系图则中给出的关系,基于这两个准则,部分的交叉点识别错误可以获得纠正。 For the organization structure of a fabric, the division of two types of intersections is enough. The reason for subdividing the intersections into 8 subtypes is to use the adjacency relationship of the intersections to correct the intersection recognition results; point, there are only two possibilities for the right intersection point adjacent to it: the weft yarn right-open intersection point and the weft yarn left-right intersection point; there are two criteria for error correction using the intersection adjacency information: a. The back of a weft yarn intersection point must be a Warp intersection; b. The relationship between one intersection and 4 adjacent intersections must comply with the relationship given in the intersection adjacency diagram. Based on these two criteria, some intersection identification errors can be corrected. the18.根据权利要求8所述的基于双面数字图像扫描技术和数字彩色图像处理技术的织物和纱线分析系统,其特征在于:在所述纱线组织颜色的提取和利用颜色信息纠错算法中: 18. The fabric and yarn analysis system based on double-sided digital image scanning technology and digital color image processing technology according to claim 8, characterized in that: in the extraction of the yarn texture color and the use of color information error correction algorithm middle:纱线组织颜色提取包括3个步骤:a.获得颜色调色板信息,即获得织物中颜色的数量和参数;b.确定每条纱线的颜色;c.利用纱线的颜色信息纠正交叉点分类的错误; Yarn weave color extraction includes 3 steps: a. Obtain color palette information, that is, obtain the number and parameters of colors in the fabric; b. Determine the color of each yarn; c. Use the color information of the yarn to correct the intersection point errors in classification;a.提取颜色织物中颜色的信息是一个颜色聚类问题:此处提供的是基于直方图墒值划分的自适应颜色聚类,按照颜色的亮度,色度,饱和度三个坐标轴循环对存在于一个织物中的所有颜色点进行空间划分,直到达到稳定状态,不存在继续划分的可能为止,这个算法划分而出的颜色类数量作为调色板的尺寸,颜色类的平均参数作为调色板颜色的参数; a. Extracting color information in color fabrics is a color clustering problem: here is an adaptive color clustering based on the division of histogram entropy, which is cyclically paired according to the three coordinate axes of color brightness, chroma, and saturation All color points existing in a fabric are space-divided until a stable state is reached, and there is no possibility of further division. The number of color classes divided by this algorithm is used as the size of the palette, and the average parameter of the color class is used as the color palette Parameters for board color;b.纱线颜色的确定是一个颜色匹配问题,纱线的几何结构可以从织物的网格模型获得,从而可以从每条纱线包含的所有颜色点参数统计出纱线颜色的平均参数,纱线颜色的平均参数与调色板中的每个颜色进行匹配,则纱线的颜色决定为与每条纱线的颜色参数最相似的调色板颜色; b. The determination of the yarn color is a color matching problem. The geometric structure of the yarn can be obtained from the grid model of the fabric, so that the average parameter of the yarn color can be calculated from all the color point parameters contained in each yarn. The average parameter of the thread color is matched with each color in the palette, and the color of the yarn is determined as the palette color most similar to the color parameter of each yarn;c.如果构成一个交叉点的两条纱线的颜色是不同的,则该交叉点的类型可以通过纱线的颜色判断,如果一个交叉点正面的颜色接近于纬纱的颜色而同时背面的颜色接近于经纱颜色,则该交叉点为一个纬纱交叉点,反之,则该交叉点为一个经纱交叉点;如果在交叉点分类中得到的结果与根据颜色信息分类的结果相矛盾,则我们以根据颜色分类获得的结果为准。 c. If the colors of the two yarns that make up an intersection are different, the type of intersection can be judged by the color of the yarns, if the color of the front of an intersection is close to the color of the weft while the color of the back is close to If the color of the warp yarn is different from the color of the warp yarn, the intersection point is a weft yarn intersection point, otherwise, the intersection point is a warp yarn intersection point; The result obtained by classification shall prevail. the19.根据权利要求8所述的基于双面数字图像扫描技术和数字彩色图像处理技术的织物和纱线分析系统,其特征在于:所述网格化模型根据织物组织的排列特点,还需要建立织物组织的表面纹理模型,其中包括对起伏波纹的定义和描述起伏波纹的特征参数以及基本组织的表面纹理模型,所述起伏波纹定义为织物的表面规则分布着许多组织点,组织点在某一方向上顺序连接形成规则的组织线,组织线与组织线平行排列形成条纹,描述起伏波纹的指标为波长λ和取向角θ。 19. The fabric and yarn analysis system based on double-sided digital image scanning technology and digital color image processing technology according to claim 8, characterized in that: the gridded model also needs to be established according to the arrangement characteristics of the fabric organization The surface texture model of the fabric structure, which includes the definition of the undulations and the characteristic parameters describing the undulations and the surface texture model of the basic organization. The undulations are defined as the regular distribution of many weaves on the surface of the fabric. The upward sequential connection forms regular tissue lines, and the tissue lines are arranged in parallel to form stripes. The indicators describing the undulating ripples are wavelength λ and orientation angle θ. the20.根据权利要求8所述的基于双面数字图像扫描技术和数字彩色图像处理技术的织物和纱线分析系统,其特征在于:所述网格化模型根据织物组织的排列特点,还需要建立织物组织的频谱模型,其中包括对空间域和频率域的对应关系的分析,以及对织物组织的频谱模型的分析; 20. The fabric and yarn analysis system based on double-sided digital image scanning technology and digital color image processing technology according to claim 8, characterized in that: the gridded model also needs to be established according to the arrangement characteristics of the fabric organization The spectrum model of fabric weave, including the analysis of the corresponding relationship between the space domain and the frequency domain, and the analysis of the spectrum model of fabric weave;通过二维傅立叶变换技术,可得到图像对应的二维频谱图,从而方便地提取图像的空间频率信息;织物图像反映了织物的表面形态,它在经向和纬向上,具有周期性变化的灰度分布,包含经纬纱排列的密度信息,这是利用傅立叶变换技术的物理背景;x,y为空间域的坐标分量,u,v为对应频率域的频率分量,(u1,v1),(u2,v2)为经纬纱对应的空间频率点,d1,d2为理想状态下的经纬纱的间距,即经纬纱的周期,可以推出:d1=N/u1,d2=N/v1;织物在不同的方向形成不同的起伏波纹,每一起伏波纹在傅立叶变换后都会有相应的频率点,频率点在频谱图中的位置与起伏波纹的周期有关,因此只要将相应的频率点的位置确定,起伏波纹的周期即可得到;所以基于起伏波纹的频率点可以建立织物组织的频谱模型。 Through the two-dimensional Fourier transform technology, the two-dimensional spectrogram corresponding to the image can be obtained, so as to conveniently extract the spatial frequency information of the image; the fabric image reflects the surface shape of the fabric, which has periodically changing gray in the warp and weft directions. degree distribution, including the density information of warp and weft yarn arrangement, which is the physical background of using Fourier transform technology; x, y are the coordinate components in the space domain, u, v are the frequency components in the corresponding frequency domain, (u1 , v1 ), (u2 , v2 ) is the spatial frequency point corresponding to warp and weft yarns, d1 , d2 is the distance between warp and weft yarns in an ideal state, that is, the period of warp and weft yarns, it can be deduced that: d1 =N/u1 , d2 =N/v1 ; the fabric forms different undulations in different directions, each undulation will have a corresponding frequency point after Fourier transform, and the position of the frequency point in the frequency spectrum is related to the period of the undulation, so as long as the The position of the corresponding frequency point is determined, and the period of the undulating corrugation can be obtained; therefore, the spectrum model of the fabric weave can be established based on the frequency points of the undulating corrugation.21.根据权利要求20所述的基于双面数字图像扫描技术和数字彩色图像处理技术的织物和纱线分析系统,其特征在于:依据所述网格化模型的织物组织的频谱模型,通过对缎纹织物的谱分析,可以推导出在对应频谱图上主要的峰点的坐标值,此外,在主峰点与原点的连线方向上还有等间距分布的峰点,这些是主峰点的谐波成分,谐波峰点的坐标是主峰点坐标的整数倍,因此也可得到它们的坐标值;根据推导求得的所有峰点的坐标值,在频率域得到以下公式,其中:a为经纱间距,b为纬纱间距,R为组织循环数,Sj为经向飞数,Sw为纬向飞数;横坐标相同的两相邻频率点的间距为:dv=N/b;纵坐标相同的两相邻频率点的间距为:du=N/a;横坐标之差最小的相邻两点的横坐标之差为Δu1=N/Ra;纵坐标之差最小的相邻两点的纵坐标之差为:Δv1=N/Rb;在u的正方向上,纵坐标之差最小的相邻两点的横坐标的差为: Δu2=(R-Sj)·Δu1;在v的正方向上,横坐标之差最小的相邻两点的纵坐标的差为:Δv2=(R-Sw)·Δv1。 21. The fabric and yarn analysis system based on double-sided digital image scanning technology and digital color image processing technology according to claim 20, characterized in that: according to the spectrum model of the fabric structure of the gridded model, by Spectrum analysis of satin weave fabric can deduce the coordinates of the main peak points on the corresponding spectrum diagram. In addition, there are peak points distributed at equal intervals in the direction of the line connecting the main peak point and the origin. These are the harmonics of the main peak point. Wave components, the coordinates of the harmonic peak points are integer multiples of the main peak point coordinates, so their coordinate values can also be obtained; according to the coordinate values of all peak points obtained by derivation, the following formula is obtained in the frequency domain, where: a is the warp spacing, b is the weft yarn spacing, R is the number of weave cycles, Sj is the warp number, Sw is the weft number; the distance between two adjacent frequency points with the same abscissa is: dv = N/b; The distance between two adjacent frequency points with the same coordinates is: du = N/a; the difference between the abscissas of two adjacent points with the smallest difference in abscissas is Δu1 = N/Ra; The difference between the ordinates of two points is: Δv1 =N/Rb; in the positive direction of u, the difference between the abscissas of two adjacent points with the smallest difference in ordinates is: Δu2 =(RSj )·Δu1 ; In the positive direction of v, the difference between the ordinates of two adjacent points with the smallest difference in abscissas is: Δv2 =(RSw )·Δv1 .22.根据权利要求20所述的基于双面数字图像扫描技术和数字彩色图像处理技术的织物和纱线分析系统,其特征在于:所述网格化模型的织物组织的频谱模型,针对织物图象的分析过程为利用快速傅立叶变换得到织物的功率谱图象的过程,对得到的功率谱图象进行图象预处理,峰点滤波,提取功率谱图象的特征频率点信息,从而得到织物的结构信息,测量织物的经纬密并分析织物的结构类型。 22. The fabric and yarn analysis system based on double-sided digital image scanning technology and digital color image processing technology according to claim 20, characterized in that: the spectrum model of the fabric structure of the meshed model is aimed at the fabric diagram The image analysis process is the process of using fast Fourier transform to obtain the power spectrum image of the fabric. The obtained power spectrum image is subjected to image preprocessing, peak point filtering, and the characteristic frequency point information of the power spectrum image is extracted to obtain the fabric. The structural information of the fabric, measuring the warp and weft density of the fabric and analyzing the structure type of the fabric. the23.根据权利要求22所述的基于双面数字图像扫描技术和数字彩色图像处理技术的织物和纱线分析系统,其特征在于:运用峰点滤波的算法,得到对应于经纬纱结构的峰点,首先,作出功率谱图象的直方图,观察它的灰度分布,取其最高点的灰度作为阈值t,消除雪花状背景点,令g(x,y)为功率谱图象,峰点是某个局域内灰度值最高的像素点;因此,可以用邻域最大值的算法,确定峰点,令max为功率谱图象g(x,y)的9×9方形或八边形邻域内灰度的最大值。 23. The fabric and yarn analysis system based on double-sided digital image scanning technology and digital color image processing technology according to claim 22, characterized in that: the peak point corresponding to the warp and weft structure is obtained by using the algorithm of peak point filtering , first, make a histogram of the power spectrum image, observe its gray level distribution, take the gray level of the highest point as the threshold t, eliminate the snowflake-like background points, let g(x, y) be the power spectrum image, and the peak The point is the pixel with the highest gray value in a certain local area; therefore, the algorithm of the maximum value of the neighborhood can be used to determine the peak point, let max be the 9×9 square or octagon of the power spectrum image g(x, y) The maximum value of the gray level in the shape neighborhood. the24.根据权利要求8所述的基于双面数字图像扫描技术和数字彩色图像处理技术的织物和纱线分析系统,其特征在于:所述网格化模型的织物组织的频谱模型还包括对织物的组织类型的判断准则,织物的组织类型根据组织循环数R,经向飞数Sj,纬向飞数Sw,就可以判断织物的类型,其判断准则如下:组织循环数R=2,为平纹织物;飞数Sj=Sw=1,且R>2,为右斜纹或 
Figure FSB00000962117000082
左斜纹;飞数Sj=Sw>1,且R>2,为
Figure FSB00000962117000083
左斜纹或右斜纹;飞数Sj≠Sw,且R>2,为缎纹组织R枚Sj飞纬面缎或R枚Sw飞经面缎。 24. The fabric and yarn analysis system based on double-sided digital image scanning technology and digital color image processing technology according to claim 8, characterized in that: the spectrum model of the fabric structure of the meshed model also includes The judging criterion of the weave type, the weave type of the fabric can be judged according to the weave cycle number R, the warp number Sj , and the weft number Sw , and the judging criteria are as follows: weave cycle number R=2, It is a plain weave fabric; fly number Sj =Sw =1, and R>2, is right slash or
Figure FSB00000962117000082
Left slash; fly number Sj =Sw >1, and R>2, for
Figure FSB00000962117000083
left slash or Right twill weave; fly number Sj ≠Sw , and R>2, for satin weave R pieces of Sj flying weft satin or R pieces of Sw flying warp satin.25.根据权利要求1所述的基于双面数字图像扫描技术和数字彩色图像处理技术的织物和纱线分析系统,其特征在于:所述的经纬密度模块的主要功能是测量纱线在经纬两个方向上的排列密度,基本步骤包括:特征角近似判断,对应经纱和纬纱的频率点的校准,纱线边缘的提取,单面图像的快速傅立叶变换,经纬纱线的密度计算。 25. The fabric and yarn analysis system based on double-sided digital image scanning technology and digital color image processing technology according to claim 1, characterized in that: the main function of the warp and weft density module is to measure the difference between the warp and weft of the yarn. Arrangement density in two directions, the basic steps include: approximate judgment of characteristic angle, calibration of frequency points corresponding to warp and weft yarns, extraction of yarn edge, fast Fourier transform of single-sided image, calculation of density of warp and weft yarns. the26.根据权利要求1至25其中之一所述的基于双面数字图像扫描技术和数字彩色图像处理技术的织物和纱线分析系统,其特征在于:所述的经纬密度模块根据关于织物的频率域模型的描述,可以得到一个关于织物密度的普遍定理:在织物图像的Fourier频谱中,水平/垂直方向上能量最大点的水平/垂直坐标等于织物图像中经纱和纬纱的数量; 26. The fabric and yarn analysis system based on double-sided digital image scanning technology and digital color image processing technology according to one of claims 1 to 25, characterized in that: the warp and weft density module is based on the frequency of the fabric From the description of the domain model, a general theorem about the fabric density can be obtained: in the Fourier spectrum of the fabric image, the horizontal/vertical coordinates of the energy maximum point in the horizontal/vertical direction are equal to the number of warp and weft yarns in the fabric image;由FDP定理获得的织物密度结果往往会受到3个因素的影响:织物的扭曲,织物的颜色和复杂织物的组织构造,在此提出一种织物密度的测量方法,可以有效的去处前两种影响因素; The fabric density results obtained by the FDP theorem are often affected by three factors: the distortion of the fabric, the color of the fabric and the structure of the complex fabric. A method for measuring the fabric density is proposed here, which can effectively remove the first two effects factor;在FDP定理的应用中,总是假设织物的经纬方向分别对应于垂直和水平方向,在这种理想状况下,在织物的Fourier频谱中,可以检测到2个能量最大的特征角度,这两个角度分别为0度和90度角,则沿该两个方向上的能量最大点分别确定为经纱和纬纱的密度点,经纱和纬纱的数量可以从密度点的水平/垂直坐标推导获得; In the application of the FDP theorem, it is always assumed that the warp and weft directions of the fabric correspond to the vertical and horizontal directions respectively. In this ideal situation, in the Fourier spectrum of the fabric, two characteristic angles with the largest energy can be detected. The angles are 0 degrees and 90 degrees respectively, then the energy maximum points along the two directions are determined as the density points of warp and weft respectively, and the quantity of warp and weft can be deduced from the horizontal/vertical coordinates of density points;在实际织物扭曲存在的情况下,在织物的Fourier频谱中检测到的两个能量最大的特征角往往偏离于0度或者90度,在这种情况下,对检测到的两个特征角进行近似判断,可以认为,距离0度最近的特征角对应于经纱方向,而距离90度最近的特征角对应于纬纱方向,此时,沿特征角方向提取到的密度点才是正确的经纬纱密度点,是用特征角近似判断的; In the presence of actual fabric distortion, the two characteristic angles with the largest energy detected in the Fourier spectrum of the fabric often deviate from 0 degrees or 90 degrees. In this case, the two detected characteristic angles are approximated Judgment, it can be considered that the characteristic angle closest to 0 degrees corresponds to the warp direction, and the characteristic angle closest to 90 degrees corresponds to the weft direction. At this time, the density points extracted along the characteristic angle direction are the correct warp and weft density points , is approximately judged by the characteristic angle;应用FDP定理的另一个假设是,在Fourier频谱中,密度点对应的是空间织物中最强烈的周期性结构,也就是经纱和纬纱重复而造成的周期性结构;如果织物是彩色的,并且颜色纱线的组织也呈现周期性结构,则对于密度点的提取会造成影响,这是因为,在织物的空间信息中,往往颜色的周期性信息的强度要远远大于底层的纱线周期性信息,因此,沿特征角方向提取出来的能量最大点所对应的往往是颜色的周期性成分,而不是纱线; Another assumption for applying the FDP theorem is that in the Fourier spectrum, the density point corresponds to the strongest periodic structure in the spatial fabric, that is, the periodic structure caused by the repetition of warp and weft yarns; if the fabric is colored and the color The yarn organization also presents a periodic structure, which will affect the extraction of density points. This is because, in the spatial information of the fabric, the intensity of the periodic information of the color is often much greater than the periodic information of the underlying yarn. , therefore, the maximum energy point extracted along the characteristic angle direction corresponds to the periodic component of the color, not the yarn;织物中边缘图信息的稳定性是很强的,虽然边缘的强度也会受到颜色的影响,可是相对于灰度图是相对稳定的,因此可以利用织物的边缘图来替代织物的灰度图,并应用FDP于边缘图的Fourier频谱;利用边缘图可以大大的加强纱线周期性成分的强度,同时抑制颜色的周期性成分的强度,但是这个结果对于密度点的提取的准确度还没有完全的提升; The stability of the edge image information in the fabric is very strong. Although the intensity of the edge is also affected by the color, it is relatively stable compared to the grayscale image. Therefore, the edge image of the fabric can be used to replace the grayscale image of the fabric. And apply FDP to the Fourier spectrum of the edge map; using the edge map can greatly strengthen the strength of the periodic component of the yarn, and at the same time suppress the intensity of the periodic component of the color, but the accuracy of the density point extraction is not yet complete. promote;边缘图在一定程度上也会受到颜色的影响,从而造成边缘的强度随颜色的周期性变化而变换,影响FDP原理的准确度;为了克服这个因素,本方法提出以边缘图的二值化结果来替代边缘图,边缘图的二值化采用的是基于直方图比例分割的窗口二值化算法,这种方法可以提升局部边缘的强度信息,同时抑制全局性颜色周期性信息,应用FDP于边缘二值化图像的Fourier频谱,可以看到,纱线周期性成分得到了明显的加强,而颜色的周期性成分得到了很好的抑制,纱线的密度点可以准确的提取。 The edge map is also affected by the color to a certain extent, which causes the intensity of the edge to change with the periodic change of the color, which affects the accuracy of the FDP principle; in order to overcome this factor, this method proposes to use the binarization result of the edge map To replace the edge map, the binarization of the edge map uses a window binarization algorithm based on histogram ratio segmentation. This method can improve the intensity information of the local edge while suppressing the global color periodicity information, and apply FDP to the edge. From the Fourier spectrum of the binarized image, it can be seen that the periodic components of the yarn have been significantly enhanced, while the periodic components of the color have been well suppressed, and the density points of the yarn can be accurately extracted. the27.根据权利要求1至25其中之一所述的基于双面数字图像扫描技术和数字彩色图像处理技术的织物和纱线分析系统,其特征在于:所述的纱线的颜色分析模块的主要功能是测量纱线的颜色信息,涉及两个主要的步骤:颜色校准和颜色测量,本发明将标准的色板排列在试样的四周,可以通过同一幅图像完成上述两个步骤,保证了颜色测量的一致性; 27. The fabric and yarn analysis system based on double-sided digital image scanning technology and digital color image processing technology according to one of claims 1 to 25, characterized in that: the main part of the yarn color analysis module The function is to measure the color information of the yarn, which involves two main steps: color calibration and color measurement. The present invention arranges the standard color plates around the sample, and the above two steps can be completed through the same image, ensuring the color consistency of measurement;纱线的颜色分析是基于特制的内嵌标准颜色板的磁性平板式布样夹持装置进行的,在特制磁性平板式布样夹持装置的夹持平板(1、2)四周内嵌了24个标准色板,标准色板采用的是ColorCheckerTM的通用颜色色板;标准色板的颜色参数是已知量,利用这些标准的颜色色板提出了一种基于标准色的颜色校正算法,这个算法可以保证采样的纱线颜色准确性以及多次采样的一 致性; The color analysis of the yarn is carried out based on a special magnetic flat sample clamping device embedded with a standard color plate, and 24 A standard color palette, the standard color palette is the general color palette of ColorCheckerTM ; the color parameters of the standard palette are known, and a color correction algorithm based on the standard color is proposed by using these standard color palettes. The algorithm can guarantee the accuracy of the sampled yarn color and the consistency of multiple samples;利用数字传感器采集的颜色可以通过标准颜色来加以校正,数字采样设备,传感器的数学模型可以表达为: The color collected by the digital sensor can be corrected by the standard color, digital sampling equipment, the mathematical model of the sensor can be expressed as:其中,矩阵S包含数字传感器对于不同波段光谱的迷感度,rn是标准颜色的反射光谱,RGBn是扫描仪的实际输出,而标准颜色在CIEXYZ空间中的实际数值的计算方法为: Among them, the matrix S contains the sensitivity of the digital sensor to different band spectra, rn is the reflection spectrum of the standard color, RGBn is the actual output of the scanner, and the calculation method of the actual value of the standard color in the CIEXYZ space is:
Figure FSB00000962117000102
Figure FSB00000962117000102
其中3×3矩阵L包含CIEXYZ颜色转换的匹配参数,则颜色的矫正问题取决于找到一个连续的映射参数矩阵A,该矩阵描述了从扫描颜色到标准CIEXYZ颜色空间的转换参数: Where the 3×3 matrix L contains the matching parameters of CIEXYZ color conversion, the color correction problem depends on finding a continuous mapping parameter matrix A, which describes the conversion parameters from the scanned color to the standard CIEXYZ color space:XYZ′={X′n,Y′n,Z′n}=A·{Rn,Gn,Bn}T,其中XYZ'={X'n , Y'n , Z'n }=A·{Rn , Gn , Bn }T , where由Vrhel and Trussel提出的映射参数矩阵A的计算方法来寻找一个转换Ascan,其中: The calculation method of the mapping parameter matrix A proposed by Vrhel and Trussel to find a transformation Ascan , where:||.||2为CIEXYZ空间中的距计算算子,实验证明,利用最小二乘法估计获得映射参数矩阵A来进行颜色映射造成的颜色偏差是等价与由于颜色的反射光谱差异而造成的误差,这也就是说,利用标准颜色来以及上述方法所做的颜色校正得到的纱线颜色数据是完全正确的。 ||.||2 is the distance calculation operator in the CIEXYZ space. Experiments have proved that the color deviation caused by the mapping parameter matrix A obtained by using the least squares method for color mapping is equivalent to that caused by the difference in the reflection spectrum of the color Error, that is to say, the yarn color data obtained by using the standard color and the color correction done by the above method is completely correct.
28.根据权利要求1至25其中之一所述的基于双面数字图像扫描技术和数字彩色图像处理技术的织物和纱线分析系统,其特征在于:在所述的纱线直径和均匀度模块中,纱线骨骼化中心轴提取和内接圆测量技术被用来表征纱线直径和均匀度: 28. The fabric and yarn analysis system based on double-sided digital image scanning technology and digital color image processing technology according to one of claims 1 to 25, characterized in that: the yarn diameter and uniformity module In , yarn skeletal central axis extraction and inscribed circle measurement techniques are used to characterize yarn diameter and uniformity:纱线直径和均匀度模块的主要功能是测量纱线的直径以及其均匀度,主要步骤包括:纱线图像的采集,纱线图像的分割,纱线中心轴的确定,沿纱线中心轴逐点测量,纱线直径的平均值; The main function of the yarn diameter and uniformity module is to measure the diameter of the yarn and its uniformity. The main steps include: collection of yarn images, segmentation of yarn images, determination of the central axis of the yarn, and step by step along the central axis of the yarn. Point measurement, mean value of yarn diameter;以图像处理技术测量纱线直径的方法是把在三维空间中测量纱线的直径转换为在二维图像平面上测量纱线侧影射面的宽度; The method of measuring the yarn diameter with image processing technology is to convert the measurement of the yarn diameter in three-dimensional space into the measurement of the width of the projected surface of the yarn side on the two-dimensional image plane;本方法包括三个步骤:首先获得纱线侧面影像;然后在图像中分离出纱线体,并以几何方式描述纱线体的形态;最后利用纱线体的几何描述计算纱线的平均宽度; The method includes three steps: first obtain the profile image of the yarn; then separate the yarn body from the image, and describe the shape of the yarn body geometrically; finally calculate the average width of the yarn by using the geometric description of the yarn body;纱线侧面影像的采样是利用特制的磁性平板式布样夹持装置完成的,因为纱线颜色的变化,本方法采用了两种不同的背景色板,其中黑色的背景色板用来采样浅色纱线,白色的背景色板用来采样深色纱线,利用不同背景色板的优点在于可以有效的增强纱线体和背景色之间的对比度; The sampling of the yarn profile image is completed by using a special magnetic flat-type cloth sample clamping device. Because of the change of the yarn color, this method uses two different background swatches, of which the black background swatch is used to sample light The white background swatches are used to sample dark yarns. The advantage of using different background swatches is that it can effectively enhance the contrast between the yarn body and the background color;利用不同的背景色板,纱线体和背景色的分离问题更易于解决,在采样图像的灰度累加直方图上,可以清晰的辨认出对应于背景色的波峰,因为背景色点的数量在图像中占有绝对的优势,所以在累加直方图种对应于背景色的波峰是最显著,而且与其他颜色的波峰的高度存在明显的差距,因此可以准确地对累加直方图进行波峰划分,从来获得图像二值化的动态阈值,以此动态阈值为参考,对纱线的采样图像进行二值化,可以有效的分割纱线体和背景色; Using different background swatches, the separation problem of yarn body and background color is easier to solve. On the grayscale accumulation histogram of the sampling image, the peak corresponding to the background color can be clearly identified, because the number of background color points is between The image has an absolute advantage, so the peak corresponding to the background color in the cumulative histogram is the most significant, and there is a clear gap with the height of the peaks of other colors, so the cumulative histogram can be accurately divided into peaks. The dynamic threshold of image binarization, using this dynamic threshold as a reference, binarizes the sampled image of the yarn, which can effectively segment the yarn body and background color;中心轴转换是一个在图像中提取实心物体集合形态的有效工具,中心轴转换方法为:一个物体的几何形态可以被表示为一系列与物体边界双切的圆及其圆心的轨迹,对于纱线体而言,圆心的轨迹表示的是纱线的中心轴,而圆的直径则是纱线在其圆心处的宽度; Central axis transformation is an effective tool to extract the shape of solid objects in the image. The central axis transformation method is: the geometric shape of an object can be expressed as a series of circles double-tangent to the boundary of the object and the trajectory of its center. For yarn Generally speaking, the trajectory of the center of the circle represents the central axis of the yarn, and the diameter of the circle is the width of the yarn at its center;中心轴转换可以通过形态滤波的腐蚀算法实现,腐蚀算法从纱线的外侧开始,在保持中心轴连续的前提下,顺序的腐蚀掉纱线体,当纱线没有办法被进一步腐蚀的情况下,残余的纱线体部分就是纱线中心轴,而中心轴上每个点接触到腐蚀面时所经历的腐蚀次数则为其半径; The central axis conversion can be realized by the erosion algorithm of morphological filtering. The erosion algorithm starts from the outer side of the yarn and sequentially erodes the yarn body under the premise of keeping the central axis continuous. When the yarn cannot be further eroded, The remaining part of the yarn body is the central axis of the yarn, and the number of corrosions experienced by each point on the central axis when it touches the corrosion surface is its radius;在取得纱线体几何形态的中心轴表示方法之后,纱线的宽度可以通过对中心轴上各点对应的圆的直径累加并求平均值获得。 After obtaining the representation method of the central axis of the geometry of the yarn body, the width of the yarn can be obtained by summing and averaging the diameters of the circles corresponding to each point on the central axis. the
CN 2006100674782006-01-262006-03-29 Double-sided scanning fabric and yarn analysis systemExpired - Fee RelatedCN1844550B (en)

Priority Applications (1)

Application NumberPriority DateFiling DateTitle
CN 200610067478CN1844550B (en)2006-01-262006-03-29 Double-sided scanning fabric and yarn analysis system

Applications Claiming Priority (3)

Application NumberPriority DateFiling DateTitle
CN2006100023162006-01-26
CN200610002316.X2006-01-26
CN 200610067478CN1844550B (en)2006-01-262006-03-29 Double-sided scanning fabric and yarn analysis system

Publications (2)

Publication NumberPublication Date
CN1844550A CN1844550A (en)2006-10-11
CN1844550Btrue CN1844550B (en)2013-05-01

Family

ID=37063513

Family Applications (1)

Application NumberTitlePriority DateFiling Date
CN 200610067478Expired - Fee RelatedCN1844550B (en)2006-01-262006-03-29 Double-sided scanning fabric and yarn analysis system

Country Status (1)

CountryLink
CN (1)CN1844550B (en)

Families Citing this family (34)

* Cited by examiner, † Cited by third party
Publication numberPriority datePublication dateAssigneeTitle
CN101644565B (en)*2008-08-042011-06-01香港纺织及成衣研发中心Digital measurement system and method for fabric size change and torsion resistance
CN101788341B (en)*2008-08-042012-10-10香港纺织及成衣研发中心Device and method for detecting fabric color
CN101650832B (en)*2008-08-042011-12-28香港纺织及成衣研发中心Image analysis method of weave pattern
CN102129489B (en)*2010-12-312012-09-05重庆国际复合材料有限公司Fabric density distribution simulation system
CN102288608A (en)*2011-06-202011-12-21江南大学Novel method for automatically detecting density of woven fabric
CN102288607A (en)*2011-06-202011-12-21江南大学Woven fabric count detector based on digital microscope
CN102523366B (en)*2011-12-132014-07-09上海工程技术大学Automatic fabric weaving style analyzing system and method
CN102592286A (en)*2012-03-142012-07-18江南大学Automatic identification method of color fabric color mold pattern image based on image processing
CN102788792A (en)*2012-03-312012-11-21江南大学Device for measuring density of weft knitted fabric based on image analysis
CN103364397B (en)*2012-03-312015-10-28佛山市南海天富科技有限公司A kind of fabric weft density measurement method and device
CN102982724A (en)*2012-12-122013-03-20江南大学Anti-counterfeiting method based on fabric weave
CN102967603A (en)*2012-12-122013-03-13江南大学Weave-point-type distinguishing method based on orientation of fibers in yarns
CN103176420B (en)*2013-03-262015-06-03东华大学Physical yarn woven-pattern digital modeling device and method
CN104144281B (en)*2013-05-082017-06-09财团法人车辆研究测试中心Self-adaptive image edge repairing device and method thereof
CN103471973B (en)*2013-09-052016-04-06东华大学A kind of image method measures the method for fabric pore feature
CN103674952B (en)*2013-12-092017-04-19上海工程技术大学Bilateral texture and color acquisition and analysis method for circular slice sample
CN103971367B (en)*2014-04-282017-01-11河海大学Hydrologic data image segmenting method
ES2570653B1 (en)*2014-11-182017-03-24Universidad Rey Juan Carlos Method implemented by computer, system and computer program product to simulate the behavior of an interwoven fabric at the thread level
TWI565948B (en)*2015-01-052017-01-11財團法人紡織產業綜合研究所Measuring device and method for measuring transparency of fabric
CN104715477B (en)*2015-03-052017-08-01浙江工业大学之江学院 Image analysis method of weaving density of woven fabrics based on multi-scale and multi-region
CN105787562A (en)*2016-03-242016-07-20上海工程技术大学Yarn dyed fabric texture type recognition method
CN107306333B (en)*2016-12-072020-06-16暨南大学High-speed single-pixel imaging method
CN106845504B (en)*2017-01-242020-03-17福德机器人(成都)有限责任公司Method for identifying tile of yarn car
CN107655893A (en)*2017-11-152018-02-02佛山鑫进科技有限公司A kind of Density COMPUTER DETECTION device
CN108647687B (en)*2018-04-232021-09-24浙江大学 A method of fabric weave identification based on translational subtraction
CN109137446B (en)*2018-10-112021-02-05江南大学Automatic proofreading method for yarn-dyed fabric warp arrangement
CN109023839B (en)*2018-10-152019-09-17珠海格力电器股份有限公司Washing machine control method and device, washing machine and storage medium
IT201800009746A1 (en)*2018-10-242020-04-24Vision Device Srl METHOD OF RECOGNIZING REFERENCE POINTS IN A FABRIC
CN111709620B (en)*2020-06-012023-04-18江南大学Mobile portable online detection system for structural parameters of woven fabric
CN112834383A (en)*2020-12-302021-05-25常州创度信息技术有限公司Fabric density detection method based on image analysis
CN112877943B (en)*2021-01-132022-05-27尚志(北京)科技有限公司Yarn pre-dyeing method based on fabric pattern and pre-dyeing device thereof
CN113283499B (en)*2021-05-242022-09-13南京航空航天大学 A deep learning-based 3D weaving density detection method
CN116815365B (en)*2023-08-282023-11-24江苏恒力化纤股份有限公司Automatic detection method for broken yarn of ring spinning frame
CN117269073A (en)*2023-09-192023-12-22浙江恒逸石化有限公司Color difference measurement method, device, equipment and storage medium

Citations (6)

* Cited by examiner, † Cited by third party
Publication numberPriority datePublication dateAssigneeTitle
JPH02139446A (en)1988-11-211990-05-29Mitsubishi Rayon Co Ltd Fabric disassembly and design method
JPH0391368A (en)1989-09-041991-04-16Dainippon Printing Co Ltd Original holder for flat scanning scanner
JPH05127358A (en)1991-10-311993-05-25Dainippon Screen Mfg Co LtdOriginal holding device
JPH05167802A (en)1991-12-121993-07-02Dainippon Printing Co LtdAngle attaching reading method in plane scan type scanner
EP0626576A1 (en)*1993-04-161994-11-30ERHARDT + LEIMER GmbHMethod and device for contactless optical measurement of quality determining parameters of textile surfaces
DE10102607A1 (en)*2001-01-212002-07-25Patrick HerzogSystem to test fabrics and the like, for color and/or sheen, uses a multi-spectral digital scanner to provide color data for comparison with the data from a positive image model

Patent Citations (6)

* Cited by examiner, † Cited by third party
Publication numberPriority datePublication dateAssigneeTitle
JPH02139446A (en)1988-11-211990-05-29Mitsubishi Rayon Co Ltd Fabric disassembly and design method
JPH0391368A (en)1989-09-041991-04-16Dainippon Printing Co Ltd Original holder for flat scanning scanner
JPH05127358A (en)1991-10-311993-05-25Dainippon Screen Mfg Co LtdOriginal holding device
JPH05167802A (en)1991-12-121993-07-02Dainippon Printing Co LtdAngle attaching reading method in plane scan type scanner
EP0626576A1 (en)*1993-04-161994-11-30ERHARDT + LEIMER GmbHMethod and device for contactless optical measurement of quality determining parameters of textile surfaces
DE10102607A1 (en)*2001-01-212002-07-25Patrick HerzogSystem to test fabrics and the like, for color and/or sheen, uses a multi-spectral digital scanner to provide color data for comparison with the data from a positive image model

Non-Patent Citations (5)

* Cited by examiner, † Cited by third party
Title
官伟波.利用数字图像处理技术识别纬编提花织物 组织.丝绸.2005,42~44.*
徐伯俊 等.织物组织结构自动识别系统开发初探.棉纺织技术28 12.2000,28(12),728~730.*
李艳梅 等.织物组织结构参数自动识别系统的研究.北京纺织23 4.2002,23(4),54~57.*
王秀娟 等.彩色图像处理中的调色板技术.中国纺织大学学报24 3.1998,24(3),37~40.*
高卫东 等.织物中纬纱排列参数的自动识别.棉纺织技术30 1.2002,30(1),28~31.*

Also Published As

Publication numberPublication date
CN1844550A (en)2006-10-11

Similar Documents

PublicationPublication DateTitle
CN1844550B (en) Double-sided scanning fabric and yarn analysis system
CN104715477B (en) Image analysis method of weaving density of woven fabrics based on multi-scale and multi-region
CN106485288B (en) An automatic identification method for colored fabric tissue
Wang et al.Photovoltaic panel extraction from very high-resolution aerial imagery using region–line primitive association analysis and template matching
CN106056155B (en) Superpixel segmentation method based on boundary information fusion
Ouyang et al.Pavement cracking measurements using 3D laser-scan images
CN102523366B (en)Automatic fabric weaving style analyzing system and method
CN105957059B (en)Electronic component missing detection method and system
CN109523505A (en)A kind of ceramic brick surface patterned defect detection method based on machine vision
CN106937109B (en)The method that low cost judges resolution ratio of camera head level
Zhang et al.A review of fabric identification based on image analysis technology
CN110473221A (en)A kind of target object automatic scanning system and method
CN114862855B (en)Textile defect detection method and system based on template matching
CN104766078A (en)Slant angle detecting method and slant angle detecting device of target image
CN109360190A (en) Building damage detection method and device based on image superpixel fusion
EP2269163A2 (en)System and method for illumination invariant image segmentation
CN109284718A (en)Inspection robot-oriented variable-view-angle multi-instrument simultaneous identification method
CN103530644A (en)Automatic identification method for weave structures of striped fabric
CN106327576B (en)A kind of City scenarios method for reconstructing and system
CN103049904B (en)A kind of image extraction method and system, digital certificates method for making and system thereof
CN113570587A (en)Photovoltaic cell broken grid detection method and system based on computer vision
Jacobus et al.Two new edge detectors
Zhang et al.Density measurement of yarn dyed woven fabrics based on dual-side scanning and the FFT technique
CN109785318A (en) Change detection method of remote sensing image based on surface line primitive association constraints
Liu et al.Analysis of surface metal fiber arrangement of electromagnetic shielding fabric and its influence on shielding effectiveness

Legal Events

DateCodeTitleDescription
C06Publication
PB01Publication
C10Entry into substantive examination
SE01Entry into force of request for substantive examination
C14Grant of patent or utility model
GR01Patent grant
C17Cessation of patent right
CF01Termination of patent right due to non-payment of annual fee

Granted publication date:20130501

Termination date:20140329


[8]ページ先頭

©2009-2025 Movatter.jp