Movatterモバイル変換


[0]ホーム

URL:


CN1842518A - Methods and compositions for treating amyloid-related diseases - Google Patents

Methods and compositions for treating amyloid-related diseases
Download PDF

Info

Publication number
CN1842518A
CN1842518ACN 200480024250CN200480024250ACN1842518ACN 1842518 ACN1842518 ACN 1842518ACN 200480024250CN200480024250CN 200480024250CN 200480024250 ACN200480024250 ACN 200480024250ACN 1842518 ACN1842518 ACN 1842518A
Authority
CN
China
Prior art keywords
amyloid
compound
patient
pharmaceutical composition
alkyl
Prior art date
Legal status (The legal status is an assumption and is not a legal conclusion. Google has not performed a legal analysis and makes no representation as to the accuracy of the status listed.)
Pending
Application number
CN 200480024250
Other languages
Chinese (zh)
Inventor
X·孔
F·热尔韦
W·A·萨雷克
Current Assignee (The listed assignees may be inaccurate. Google has not performed a legal analysis and makes no representation or warranty as to the accuracy of the list.)
Bellus Health Inc
Original Assignee
Queens University at Kingston
Neurochem Inc
Priority date (The priority date is an assumption and is not a legal conclusion. Google has not performed a legal analysis and makes no representation as to the accuracy of the date listed.)
Filing date
Publication date
Application filed by Queens University at Kingston, Neurochem IncfiledCriticalQueens University at Kingston
Publication of CN1842518ApublicationCriticalpatent/CN1842518A/en
Pendinglegal-statusCriticalCurrent

Links

Landscapes

Abstract

Translated fromChinese

本发明描述了治疗或预防淀粉样相关疾病用的方法、化合物、药物组合物以及药盒。The present invention describes methods, compounds, pharmaceutical compositions and kits for treating or preventing amyloid-related diseases.

Description

Translated fromChinese
治疗淀粉样相关疾病用的方法与组合物Methods and compositions for treating amyloid-related diseases

相关申请related application

本申请要求享有以下专利申请的优先权:2004年6月18日提交的申请号为10/_,__的美国专利申请(Attorney Docket案卷号NBI-162A),2004年6月18日提交的申请号为10/_,__的美国专利申请(Attorney Docket案卷号NBI-162B),2003年10月17日提交的申请号为60/512,047的美国专利临时申请,以及2003年6月23日提交的申请号为60/480,906的美国专利临时申请,所有这些申请的名称均为“治疗淀粉样相关疾病用的方法与组合物”。This application claims priority to the following patent applications: U.S. Patent Application No. 10/_, ___, filed June 18, 2004 (Attorney Docket Docket No. NBI-162A), filed June 18, 2004 U.S. Patent Application No. 10/_,___ (Attorney Docket Docket No. NBI-162B), U.S. Patent Provisional Application No. 60/512,047 filed October 17, 2003, and US Provisional Application No. 60/480,906, all of which are entitled "Methods and Compositions for Treating Amyloid-Related Diseases."

上述每件专利申请的全部内容,包括但不限于其说明书、权利要求书、摘要以及附图、表格和图案,在此都明确地引入本文用作参考。The entire contents of each of the aforementioned patent applications, including but not limited to their specification, claims, abstract, and drawings, tables, and figures, are hereby expressly incorporated herein by reference.

发明背景Background of the invention

淀粉样变性是指以出现淀粉样原纤维为特征的病理症状。淀粉样蛋白是通用术语,是指见于多种不同疾病中的一组不同的但特定的蛋白质沉积物(细胞内或细胞外)。尽管它们的存在形式多变,但是所有的淀粉样沉积物都具有共同的形态学特性,可被特定的染料(例如刚果红)染色,染色后在偏振光中呈现特征性的红绿色双折射现象。它们也具有共同的超微结构特征和共同的X-射线衍射和红外光谱。Amyloidosis refers to the pathological symptoms characterized by the appearance of amyloid fibrils. Amyloid is a general term referring to a distinct but specific group of protein deposits (intracellular or extracellular) found in many different diseases. Although they occur in a variety of forms, all amyloid deposits share common morphological properties, staining with specific dyes (such as Congo red), and exhibiting a characteristic red-green birefringence in polarized light after staining . They also share common ultrastructural features and common X-ray diffraction and infrared spectra.

淀粉样相关疾病既可局限于一种器官,也可以散布到数种器官。前一种情况称为“局部性淀粉样变性”,而后者称为“系统性淀粉样变性”。Amyloid-related disease can be confined to one organ or spread to several organs. The former condition is called "localized amyloidosis," while the latter is called "systemic amyloidosis."

一些淀粉样病可以是原发性的,但大多数这类病都是作为早期存在的疾病的并发症出现的。例如,原发性淀粉样变性(AL淀粉样蛋白)可以在无任何其它病症的情况下发生或者可以跟随浆细胞恶液质或多发性骨髓瘤而发生。Some amyloidoses can be idiopathic, but most of these develop as complications of pre-existing disease. For example, primary amyloidosis (AL amyloid) can occur without any other disorder or can follow plasma cell dyscrasia or multiple myeloma.

继发性淀粉样变性通常见于慢性感染(如肺结核)或慢性炎症(如类风湿性关节炎)之后。家族性形式的继发性淀粉样变性也可见于其它类型的家族性淀粉样变性,例如家族性地中海热(FMF)。这种家族性淀粉样变性在遗传学上是可遗传的,并且发生于特定的人群。在原发性和继发性这两类淀粉样变性中,在数种器官中发生沉积,因此被认为是系统性淀粉样病。Secondary amyloidosis typically follows chronic infection (eg, tuberculosis) or chronic inflammation (eg, rheumatoid arthritis). Familial forms of secondary amyloidosis are also seen in other types of familial amyloidosis, such as familial Mediterranean fever (FMF). This familial form of amyloidosis is genetically heritable and occurs in specific populations. In both primary and secondary types of amyloidosis, deposits occur in several organs and are therefore considered systemic amyloidosis.

“局部性淀粉样变性”是指那些只累及单个器官系统的淀粉样变性。不同的淀粉样蛋白也是以沉积物中存在的蛋白类型来表征的。例如,神经变性疾病譬如痒病、牛海绵状脑病炎、克雅氏病(Creutzfeldt-Jakob病)等疾病的特征是中枢神经系统中出现和蓄积有抗蛋白酶型朊病毒蛋白(称为AScr或PrP-27)。同样,阿耳茨海默氏病(另一种神经变性疾病)的特征为神经炎斑和神经原纤维缠结。在这种情况下,软组织和血管中的淀粉样斑是由原纤维Aβ淀粉样蛋白沉积而形成的。其它疾病例如成人发作型糖尿病(II型糖尿病)是以淀粉质在胰腺中的局部蓄积为特征的。"Local amyloidosis" refers to those amyloidoses that affect only a single organ system. Different amyloids are also characterized by the type of protein present in the deposits. For example, neurodegenerative diseases such as scrapie, bovine spongiform encephalopathy, and Creutzfeldt-Jakob disease are characterized by the presence and accumulation of protease-resistant prion proteins (known as AScr or PrP) in the central nervous system. -27). Likewise, Alzheimer's disease (another neurodegenerative disease) is characterized by neuritic plaques and neurofibrillary tangles. In this case, amyloid plaques in soft tissues and blood vessels are formed by deposition of fibrillar Aβ amyloid. Other diseases such as adult-onset diabetes (type II diabetes) are characterized by localized accumulation of amyloid in the pancreas.

一旦形成这些淀粉样蛋白,则目前还没有已知的、广泛认可的疗法或治疗物可以在原位明显消溶淀粉样沉积物,防止进一步的淀粉样沉积或防止淀粉样沉积的发生。Once these amyloids are formed, there are currently no known, widely accepted therapies or therapeutics that can significantly dissolve amyloid deposits in situ, prevent further amyloid deposition, or prevent amyloid deposition from occurring.

每种淀粉样形成蛋白都具有发生构象转变和组构成多个β-片层和形成可在细胞外或细胞内沉积的不溶性原纤维的能力。虽然每种淀粉样形成蛋白的氨基酸序列是不同的,但它们都具有形成原纤维和与其他元件如蛋白多糖、淀粉样P物质和补体组分结合的共同性质。此外,每种淀粉样形成蛋白的氨基酸序列尽管不同,但是它们表现出一些相似性,例如具有能与蛋白聚糖上的粘多糖(GAG)结合的区域(称为GAG结合位点),以及其他可以促进β-片层的区域。蛋白聚糖是具有各种大小和结构的大分子,分布在身体的几乎所有部位。它们可见于细胞内小室内、细胞表面上,以及作为细胞外基质的一部分。所有蛋白聚糖的基本结构都是由核心蛋白和至少一条(通常为多条)连接在核心蛋白上的多糖链(GAGs)组成。已经发现很多不同的GAGs,包括硫酸软骨素、硫酸皮肤素、硫酸角质素、肝素和透明质酸糖胺多糖。Each amyloidogenic protein has the ability to undergo conformational transitions and organize into multiple β-sheets and form insoluble fibrils that can be deposited extracellularly or intracellularly. Although the amino acid sequence of each amyloidogenic protein is different, they all share the common property of forming fibrils and binding to other elements such as proteoglycans, amyloid substance P, and complement components. In addition, although the amino acid sequences of each amyloidogenic protein are different, they show some similarities, such as having a region capable of binding to mucopolysaccharide (GAG) on proteoglycans (called the GAG binding site), and other Regions that can promote β-sheets. Proteoglycans are macromolecules of various sizes and structures that are found in almost all parts of the body. They can be found within intracellular compartments, on cell surfaces, and as part of the extracellular matrix. The basic structure of all proteoglycans consists of a core protein and at least one (usually multiple) polysaccharide chains (GAGs) attached to the core protein. A number of different GAGs have been identified, including chondroitin sulfate, dermatan sulfate, keratan sulfate, heparin, and hyaluronan glycosaminoglycan.

在特定情况下,淀粉样原纤维一旦沉积,则可能对周围细胞产生毒性。例如,已经证明形成老年斑的Aβ原纤维与阿耳茨海默氏病患者中的死亡神经元细胞、营养不良的轴突、星形细胞增多和微神经胶质过多症有关。体外试验显示,寡聚(可溶的)以及纤维状的Aβ肽能够引发小神经胶质细胞(脑聚噬细胞)的活化过程,这样就可以解释阿耳茨海默氏病患者脑中发现存在微神经胶质过多症和脑炎症的原因。寡聚和纤维状Aβ肽也可以在体外诱导神经元细胞死亡。参见,例如,MP Lambert等,Proc.Natl.Acad.Sci.USA 95,6448-53(1998)。Under certain circumstances, amyloid fibrils, once deposited, may be toxic to surrounding cells. For example, Aβ fibrils forming senile plaques have been shown to be associated with dead neuronal cells, dystrophic axons, astrocytosis and microgliosis in Alzheimer's disease patients. In vitro experiments have shown that oligomeric (soluble) and fibrillar Aβ peptides can trigger the activation of microglia (brain macrophages), which may explain the presence of Causes of microgliosis and brain inflammation. Oligomeric and fibrillar Aβ peptides can also induce neuronal cell death in vitro. See, e.g., MP Lambert et al., Proc. Natl. Acad. Sci. USA 95, 6448-53 (1998).

已经证明,在可见于II型糖尿病患者的另一种淀粉样变性中,当淀粉样生成性蛋白(amyloidogenic protein)IAPP形成寡聚形式或原纤维形式时可体外诱导β胰岛细胞毒性。因此,IAPP原纤维在II型糖尿病患者胰腺中的出现会引起β胰岛细胞(Langerhans)损失和器官功能紊乱,从而导致胰岛素血症。In another type of amyloidosis seen in type 2 diabetic patients, it has been shown that the amyloidogenic protein IAPP induces beta islet cytotoxicity in vitro when it forms oligomeric or fibrillar forms. Thus, the appearance of IAPP fibrils in the pancreas of type II diabetics causes loss of beta islet cells (Langerhans) and organ dysfunction, leading to insulinemia.

另一类淀粉样变性与β2微球蛋白有关,并且可见于长期血液透析患者。接受长期血液透析的患者在腕管和一些关节的胶原富集组织中形成β2-微球蛋白原纤维。这样会造成严重的疼痛、关节僵硬和肿胀。Another type of amyloidosis is associated withβ2 microglobulin and can be seen in chronic hemodialysis patients. β2 -microglobulin fibrils develop in collagen-rich tissues of the carpal tunnel and some joints in patients undergoing chronic hemodialysis. This can cause severe pain, joint stiffness, and swelling.

淀粉样变性也是阿耳茨海默氏病的特征。阿耳茨海默氏病是一种能引起进行性记忆损伤的脑毁坏性疾病,长期下去会导致痴呆、生理缺陷和死亡。随着发达国家的人口逐渐老龄化,阿耳茨海默氏患者数量将达到流行性比例。Amyloidosis is also a feature of Alzheimer's disease. Alzheimer's disease is a brain-destroying disease that causes progressive memory impairment, which in the long run can lead to dementia, physical defects and death. As populations in developed countries age, the number of Alzheimer's patients will reach epidemic proportions.

阿耳茨海默氏病患者在成人期发展为进行性痴呆,并伴有三种主要的大脑结构变化:大脑多处神经元弥散性损失;被称为神经原纤维缠结的细胞内蛋白质沉积物蓄积;和被称为淀粉样或老年性斑的细胞外蛋白质沉积物的蓄积。其中所述淀粉样或衰老性斑被畸形神经末端(营养不良神经元)和活化小神经胶质细胞(小神经胶质细胞增多和星形细胞增多)所包围。这些淀粉样斑的主要组成是淀粉样蛋白-β肽(Aβ),即通过裂解β-淀粉样蛋白前体蛋白(APP)而产生的39-43氨基酸肽。人们已经对阿耳茨海默氏病中Aβ沉积物的相关性进行了广泛研究,例如,参见Selkoe,Trends in Cell Biology 8,447-453(1998)。Aβ是由内质网(“ER”)、Golgi装置、内体-溶酶体途径中淀粉样蛋白前体蛋白(“APP”)的代谢加工过程自然产生,并且大多数通常分泌成40(“Aβ1-40)”)或42(“Aβ1-42”)氨基酸肽(Selkoe,Annu.Rev.Cell Biol.10,373-403(1994))。Aβ的作用是阿耳茨海默氏病的主要病因得到下列证据的支持:阿耳茨海默氏病衰老斑中存在细胞外Aβ沉积物、庇护突变性阿耳茨海默氏病相关缔合基因如淀粉样蛋白前体蛋白、早老蛋白I和早老蛋白II的细胞中Aβ的产生增多、以及细胞外可溶性(低聚)或纤维状Aβ对培养基中的细胞具有毒性。参见,例如,Gervais,Eur.Biopharm.Review,40-42(2001年秋天);May,DDT 6,459-62(2001)。虽然针对阿耳茨海默氏病存在对症疗法,但目前还不能预防或治愈这种疾病。Alzheimer's disease patients develop progressive dementia in adulthood with three major structural changes in the brain: diffuse loss of neurons in multiple parts of the brain; intracellular protein deposits called neurofibrillary tangles accumulation; and accumulation of extracellular protein deposits known as amyloid or senile plaques. wherein the amyloid or senescent plaques are surrounded by malformed nerve terminals (dystrophic neurons) and activated microglial cells (microgliosis and astrocytosis). The major constituent of these amyloid plaques is the amyloid-β peptide (Aβ), a 39-43 amino acid peptide produced by cleavage of the β-amyloid precursor protein (APP). The relevance of Aβ deposits in Alzheimer's disease has been extensively studied, see eg Selkoe, Trends in Cell Biology 8, 447-453 (1998). Aβ is naturally produced by the metabolic processing of amyloid precursor protein ("APP") in the endoplasmic reticulum ("ER"), Golgi apparatus, endosome-lysosome pathway, and most are usually secreted as 40 (" Aβ1-40)") or a 42 ("Aβ1-42") amino acid peptide (Selkoe, Annu. Rev. Cell Biol. 10, 373-403 (1994)). The role of Aβ as a major cause of Alzheimer's disease is supported by evidence from the presence of extracellular Aβ deposits in Alzheimer's disease senescent plaques, the association of shelter-mutant Alzheimer's disease The production of Aβ in cells with genes such as amyloid precursor protein, presenilin I and presenilin II is increased, and extracellular soluble (oligomeric) or fibrillar Aβ is toxic to cells in culture medium. See, eg, Gervais, Eur. Biopharm. Review, 40-42 (Fall 2001); May, DDT 6, 459-62 (2001). Although symptomatic treatments exist for Alzheimer's disease, there is currently no way to prevent or cure the disease.

阿耳茨海默氏病的特征是存在弥散性和神经炎性斑、脑血管病和神经原纤维缠结。据信,所述斑和血管淀粉样蛋白是由不溶性Aβ淀粉样蛋白的沉积而形成,它们可称作是弥散性或原纤维性的。可溶性低聚Aβ和原纤维Aβ据认为也是神经毒性和炎症性的。Alzheimer's disease is characterized by the presence of diffuse and neuritic plaques, cerebrovascular disease, and neurofibrillary tangles. The plaque and vascular amyloids are believed to result from the deposition of insoluble A[beta] amyloid, which may be referred to as diffuse or fibrillar. Soluble oligomeric A[beta] and fibril A[beta] are also thought to be neurotoxic and inflammatory.

另一类淀粉样变性是脑淀粉样血管病(CAA)。CAA是淀粉样蛋白-β原纤维在柔脑膜和皮层的动脉壁、小动脉和静脉中的特异性沉积。通常伴有阿耳茨海默氏病、Down综合症和正常老化,以及与中风和痴呆症有关的各种家族性病症(参见Frangione等,Amyloid:J.Protein Folding Disord.8,Suppl.1,36-42(2001))。Another type of amyloidosis is cerebral amyloid angiopathy (CAA). CAA is the specific deposition of amyloid-β fibrils in the arterial walls, arterioles and veins of the leptomeninges and cortex. Often associated with Alzheimer's disease, Down's syndrome and normal aging, as well as various familial conditions associated with stroke and dementia (see Frangione et al., Amyloid: J. Protein Folding Disord. 8, Suppl. 1, 36-42 (2001)).

目前,治疗β淀粉样病的可用疗法几乎全部是对症性的,只提供暂时性的或部分临床效果。虽然已经描述了一些药剂能够提供部分的症状缓解作用,但目前仍然没有综合性的药理学疗法可用于预防或治疗例如阿耳茨海默氏病。Currently, available therapies for the treatment of amyloid-beta are almost all symptomatic, providing only temporary or partial clinical benefit. Although some agents have been described that provide partial relief of symptoms, there is currently no comprehensive pharmacological therapy available for the prevention or treatment of eg Alzheimer's disease.

发明概述Summary of the invention

本发明涉及某些化合物在治疗淀粉样相关疾病中的用途。具体讲,本发明涉及治疗或预防患者的淀粉样相关疾病的方法,包括对患者给药治疗量的本发明化合物。本发明也涉及本文所描述的本发明的各种新化合物。本发明中使用的化合物为下列各式的化合物,当给药它们时,可减少或抑制淀粉样原纤维的生成、器官特异性的功能紊乱(例如神经变性)、或细胞毒性。The present invention relates to the use of certain compounds in the treatment of amyloid-related diseases. In particular, the invention relates to a method of treating or preventing an amyloid-related disease in a patient comprising administering to the patient a therapeutic amount of a compound of the invention. The present invention also relates to various novel compounds of the invention described herein. The compounds used in the present invention are compounds of the following formulae, which, when administered, reduce or inhibit the generation of amyloid fibrils, organ-specific dysfunction (such as neurodegeneration), or cytotoxicity.

在一个实施方案中,本发明至少部分涉及式I化合物或其可药用盐:In one embodiment, the present invention relates at least in part to a compound of formula I or a pharmaceutically acceptable salt thereof:

其中:in:

R1为取代或未取代的环烷基、杂环基、芳基、芳基环烷基、二环或三环基、二环或三环稠环基团,或为取代或未取代的C2-C10烷基;R1 is a substituted or unsubstituted cycloalkyl, heterocyclyl, aryl, arylcycloalkyl, bicyclic or tricyclic, bicyclic or tricyclic condensed ring group, or a substituted or unsubstituted C2 -C10 alkyl;

R2选自氢、烷基、巯基烷基、链烯基、炔基、环烷基、芳基、芳基烷基、噻唑基、三唑基、咪唑基、苯并噻唑基、和苯并咪唑基;R is selected from hydrogen, alkyl, mercaptoalkyl, alkenyl, alkynyl, cycloalkyl, aryl, arylalkyl, thiazolyl, triazolyl, imidazolyl, benzothiazolyl, and benzo imidazolyl;

Y是SO3-X+,OSO3-X+,或SSO3-X+Y is SO3- X+ , OSO3- X+ , or SSO3- X+ ;

X+是氢,阳离子基团,或成酯基团(即,如同前药,见本文中其它部分所述);和X+ is hydrogen, a cationic group, or an ester-forming group (i.e., like a prodrug, see elsewhere herein); and

L1和L2各自独立地为取代或未取代的C1-C5烷基或者不存在,条件是当R1为烷基时,L1是不存在的。L1 and L2 are each independently substituted or unsubstituted C1 -C5 alkyl or absent, with the proviso that when R1 is alkyl, L1 is absent.

在另一个实施方案中,本发明至少部分涉及式II化合物或其可药用盐:In another embodiment, the present invention relates at least in part to a compound of formula II or a pharmaceutically acceptable salt thereof:

Figure A20048002425000291
Figure A20048002425000291

其中:in:

R1是取代或未取代的单环、二环、三环、或苯并杂环基团或取代或未取代的C2-C10烷基;R1 is a substituted or unsubstituted monocyclic, bicyclic, tricyclic, or benzoheterocyclic group or a substituted or unsubstituted C2 -C10 alkyl group;

R2为氢,烷基,巯基烷基,链烯基,炔基,环烷基,芳基,芳基烷基,噻唑基,三唑基,咪唑基,苯并噻唑基,苯并咪唑基,或与R1连接形成杂环;R is hydrogen, alkyl, mercaptoalkyl, alkenyl, alkynyl, cycloalkyl, aryl, arylalkyl, thiazolyl, triazolyl, imidazolyl, benzothiazolyl, benzimidazolyl , or link with R1 to form a heterocycle;

Y是SO3-X+,OSO3-X+,或SSO3-X+Y is SO3- X+ , OSO3- X+ , or SSO3- X+ ;

X+是氢,阳离子基团,或成酯部分;X+ is hydrogen, a cationic group, or an ester-forming moiety;

m是0或1;m is 0 or 1;

n是1、2、3或4;n is 1, 2, 3 or 4;

L是取代或未取代的C1-C3烷基或或者不存在,L is substituted or unsubstituted C1 -C3 alkyl or is absent,

条件是当R1为烷基时,L是不存在的。with the proviso that whenR1 is alkyl, L is absent.

在再一个实施方案中,本发明至少部分涉及式III化合物及其可药用的盐和酯:In yet another embodiment, the present invention relates at least in part to compounds of formula III and pharmaceutically acceptable salts and esters thereof:

其中:in:

A是氮或氧;A is nitrogen or oxygen;

R11是氢,成盐阳离子、成酯基团,-(CH2)x-Q,或当A为氮时,A和R11共同表示天然或非天然氨基酸残基或其盐或酯;R11 is hydrogen, a salt-forming cation, an ester-forming group, -(CH2 )x -Q, or when A is nitrogen, A and R11 together represent a natural or unnatural amino acid residue or a salt or ester thereof;

Q是氢,噻唑基,三唑基,咪唑基,苯并噻唑基,或苯并咪唑基;Q is hydrogen, thiazolyl, triazolyl, imidazolyl, benzothiazolyl, or benzimidazolyl;

x是0,1,2,3,或4;x is 0, 1, 2, 3, or 4;

n是0,1,2,3,4,5,6,7,8,9,或10;n is 0, 1, 2, 3, 4, 5, 6, 7, 8, 9, or 10;

R3,R3a,R4,R4a,R5,R5a,R6,R6a,R7和R7a各自独立地为氢,烷基,巯基烷基,链烯基,炔基,环烷基,芳基,烷基羰基,芳基羰基,烷氧基羰基,氰基,卤素,氨基,四唑基,或位于相邻环原子上的两个R基团与相应的环原子一起形成双键,条件是R3,R3a,R4,R4a,R5,R5a,R6,R6a,R7和R7a中的一个为式IIIa部分:R3 , R3a , R4 , R4a , R5 , R5a , R6 , R6a , R7 and R7a are each independently hydrogen, alkyl, mercaptoalkyl, alkenyl, alkynyl, ring Alkyl, aryl, alkylcarbonyl, arylcarbonyl, alkoxycarbonyl, cyano, halogen, amino, tetrazolyl, or two R groups on adjacent ring atoms formed together with corresponding ring atoms A double bond, with the proviso that one of R3 , R3a , R4 , R4a , R5 , R5a , R6 , R6a , R7 and R7a is a moiety of formula IIIa:

Figure A20048002425000302
Figure A20048002425000302

其中:in:

m是0,1,2,3,或4;m is 0, 1, 2, 3, or 4;

RA,RB,Rc,RD,和RE独立地选自氢,卤素,羟基,烷基,烷氧基,卤代烷基,巯基烷基,链烯基,炔基,环烷基,芳基,氰基,噻唑基,三唑基,咪唑基,四唑基,苯并噻唑基,和苯并咪唑基;RA ,RB ,Rc ,RD , andRE are independently selected from hydrogen, halogen, hydroxy, alkyl, alkoxy, haloalkyl, mercaptoalkyl, alkenyl, alkynyl, cycloalkyl, Aryl, cyano, thiazolyl, triazolyl, imidazolyl, tetrazolyl, benzothiazolyl, and benzimidazolyl;

条件是所述化合物不能是3-(4-苯基-1,2,3,6-四氢-1-吡啶基)-1-丙烷磺酸。With the proviso that the compound cannot be 3-(4-phenyl-1,2,3,6-tetrahydro-1-pyridyl)-1-propanesulfonic acid.

在又一个实施方案中,本发明至少部分涉及式IV化合物及其可药用的盐和酯:In yet another embodiment, the present invention relates at least in part to compounds of formula IV and pharmaceutically acceptable salts and esters thereof:

Figure A20048002425000311
Figure A20048002425000311

其中:in:

A是氮或氧;A is nitrogen or oxygen;

R11是氢,成盐阳离子、成酯基团,-(CH2)x-Q,或当A为氮时,A和R11共同表示天然或非天然氨基酸残基或其盐或酯;R11 is hydrogen, a salt-forming cation, an ester-forming group, -(CH2 )x -Q, or when A is nitrogen, A and R11 together represent a natural or unnatural amino acid residue or a salt or ester thereof;

Q是氢,噻唑基,三唑基,咪唑基,苯并噻唑基,或苯并咪唑基;Q is hydrogen, thiazolyl, triazolyl, imidazolyl, benzothiazolyl, or benzimidazolyl;

x是0,1,2,3,或4;x is 0, 1, 2, 3, or 4;

n是0,1,2,3,4,5,6,7,8,9,或10;n is 0, 1, 2, 3, 4, 5, 6, 7, 8, 9, or 10;

R4,R4a,R5,R5a,R6,R6a,R7和R7a各自独立地为氢,烷基,巯基烷基,链烯基,炔基,环烷基,芳基,烷基羰基,芳基羰基,烷氧基羰基,氰基,卤素,氨基,四唑基,R4和R5与它们所连接的环原子一起形成双键,或者R6和R7与它们所连接的环原子一起形成双键;R4 , R4a , R5 , R5a , R6 , R6a , R7 and R7a are each independently hydrogen, alkyl, mercaptoalkyl, alkenyl, alkynyl, cycloalkyl, aryl, Alkylcarbonyl, arylcarbonyl, alkoxycarbonyl, cyano, halogen, amino, tetrazolyl,R4 andR5 form a double bond with the ring atoms to which they are attached, orR6 andR7 form a double bond with the ring atoms to which they are attached Linked ring atoms together form a double bond;

m是0,1,2,3,或4;m is 0, 1, 2, 3, or 4;

R8,R9,R10,R11,和R12独立地选自氢,卤素,羟基,烷基,烷氧基,卤代烷基,巯基烷基,链烯基,炔基,环烷基,芳基,氰基,噻唑基,三唑基,咪唑基,四唑基,苯并噻唑基,和苯并咪唑基。R8 , R9 , R10 , R11 , and R12 are independently selected from hydrogen, halogen, hydroxy, alkyl, alkoxy, haloalkyl, mercaptoalkyl, alkenyl, alkynyl, cycloalkyl, Aryl, cyano, thiazolyl, triazolyl, imidazolyl, tetrazolyl, benzothiazolyl, and benzimidazolyl.

在另一个实施方案中,本发明包括式V化合物及其可药用的盐和前药:In another embodiment, the present invention includes compounds of formula V and pharmaceutically acceptable salts and prodrugs thereof:

其中:in:

A是氮或氧;A is nitrogen or oxygen;

R11是氢,成盐阳离子、成酯基团,-(CH2)x-Q,或当A为氮时,A和R11共同表示天然或非天然氨基酸残基或其盐或酯;R11 is hydrogen, a salt-forming cation, an ester-forming group, -(CH2 )x -Q, or when A is nitrogen, A and R11 together represent a natural or unnatural amino acid residue or a salt or ester thereof;

Q是氢,噻唑基,三唑基,咪唑基,苯并噻唑基,或苯并咪唑基;Q is hydrogen, thiazolyl, triazolyl, imidazolyl, benzothiazolyl, or benzimidazolyl;

x是0,1,2,3,或4;x is 0, 1, 2, 3, or 4;

n是0,1,2,3,4,5,6,7,8,9,或10;n is 0, 1, 2, 3, 4, 5, 6, 7, 8, 9, or 10;

aa是天然或非天然氨基酸的残基;aa is the residue of a natural or unnatural amino acid;

m是0,1,2,或3;m is 0, 1, 2, or 3;

R14是氢或保护基;R14 is hydrogen or a protecting group;

R15是氢,烷基或芳基。R15 is hydrogen, alkyl or aryl.

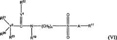
在另一个实施方案中,本发明包括式VI化合物或其可药用盐:In another embodiment, the present invention includes a compound of formula VI or a pharmaceutically acceptable salt thereof:

Figure A20048002425000321
Figure A20048002425000321

其中:in:

n是1,2,3,4,5,6,7,8,9,或10;n is 1, 2, 3, 4, 5, 6, 7, 8, 9, or 10;

A是氧或氮;A is oxygen or nitrogen;

R11是氢,成盐阳离子、成酯基团,-(CH2)x-Q,或当A为氮时,A和R11共同表示天然或非天然氨基酸残基或其盐或酯;R11 is hydrogen, a salt-forming cation, an ester-forming group, -(CH2 )x -Q, or when A is nitrogen, A and R11 together represent a natural or unnatural amino acid residue or a salt or ester thereof;

Q是氢,噻唑基,三唑基,咪唑基,苯并噻唑基,或苯并咪唑基;Q is hydrogen, thiazolyl, triazolyl, imidazolyl, benzothiazolyl, or benzimidazolyl;

x是0,1,2,3,或4;x is 0, 1, 2, 3, or 4;

R19是氢,烷基或芳基;R19 is hydrogen, alkyl or aryl;

Y1是氧,硫,或氮;Y1 is oxygen, sulfur, or nitrogen;

Y2是碳,氮或氧;Y2 is carbon, nitrogen or oxygen;

R20是氢,烷基,氨基,巯基烷基,链烯基,炔基,环烷基,芳基,芳基烷基,噻唑基,三唑基,四唑基,咪唑基,苯并噻唑基或苯并咪唑基;R20 is hydrogen, alkyl, amino, mercaptoalkyl, alkenyl, alkynyl, cycloalkyl, aryl, arylalkyl, thiazolyl, triazolyl, tetrazolyl, imidazolyl, benzothiazole or benzimidazolyl;

R21是氢,烷基,巯基烷基,链烯基,炔基,环烷基,芳基,芳基烷基,噻唑基,三唑基,四唑基,咪唑基,苯并噻唑基,苯并咪唑基,或当Y2为氧时其不存在;R is hydrogen, alkyl, mercaptoalkyl, alkenyl, alkynyl, cycloalkyl, aryl, arylalkyl, thiazolyl, triazolyl, tetrazolyl, imidazolyl, benzothiazolyl, benzimidazolyl, or its absence whenY is oxygen;

R22是氢,烷基,巯基烷基,链烯基,炔基,环烷基,芳基,芳基烷基,噻唑基,三唑基,四唑基,咪唑基,苯并噻唑基,苯并咪唑基;或者当Y1为氮时,R22是氢,羟基,烷氧基或芳氧基;或者当Y1为氧或硫时,R22不存在;或者当Y1为氮时,R22和R21可连接形成环状部分;R is hydrogen, alkyl, mercaptoalkyl, alkenyl, alkynyl, cycloalkyl, aryl, arylalkyl, thiazolyl, triazolyl, tetrazolyl, imidazolyl, benzothiazolyl, benzimidazolyl; or whenY1 is nitrogen,R22 is hydrogen, hydroxyl, alkoxy or aryloxy; or whenY1 is oxygen or sulfur,R22 does not exist; or whenY1 is nitrogen , R22 and R21 can be connected to form a ring part;

R23是氢,烷基,氨基,巯基烷基,链烯基,炔基,环烷基,芳基,芳基烷基,噻唑基,三唑基,四唑基,咪唑基,苯并噻唑基,或苯并咪唑基,或当Y2为氮或氧时其不存在。R23 is hydrogen, alkyl, amino, mercaptoalkyl, alkenyl, alkynyl, cycloalkyl, aryl, arylalkyl, thiazolyl, triazolyl, tetrazolyl, imidazolyl, benzothiazole group, or benzimidazole group, or its absence whenY is nitrogen or oxygen.

在一个实施方案中,本文所公开的化合物能够防止或抑制淀粉样蛋白装配到不溶原纤维中(这些原纤维在体内沉积在各种器官中),或者它们能促进预先形成的沉积物的清除或减缓在已含有沉积物的患者体中的沉积速率。在另一个实施方案中,本发明的化合物也可以防止可溶性低聚形式或其原纤维形式的淀粉样蛋白结合或粘附到细胞表面上,从而造成细胞损伤或毒性。在再一个实施方案中,本发明的化合物可以阻断淀粉样蛋白诱导的细胞毒性或巨噬细胞活化。在另一个实施方案中,本发明的化合物能阻断淀粉样蛋白诱导的神经毒性或小神经胶质细胞的活化。在另一个实施方案中,本发明的化合物能够保护细胞免受淀粉样蛋白诱导的B胰岛细胞的细胞毒性。在另一个实施方案中,本发明的化合物能增大从特定器官如大脑中的清除率,或者它们通过防止在靶器官中形成淀粉样原纤维的方式降低淀粉样蛋白的浓度。In one embodiment, the compounds disclosed herein prevent or inhibit the assembly of amyloid into insoluble fibrils that are deposited in various organs in vivo, or they promote the clearance of pre-formed deposits or Slow down the rate of deposition in patients already containing deposits. In another embodiment, the compounds of the invention can also prevent amyloid in soluble oligomeric form or its fibril form from binding or adhering to the cell surface, thereby causing cell damage or toxicity. In yet another embodiment, the compounds of the invention can block amyloid-induced cytotoxicity or macrophage activation. In another embodiment, the compounds of the invention are capable of blocking amyloid-induced neurotoxicity or activation of microglial cells. In another embodiment, the compounds of the invention are capable of protecting cells from amyloid-induced cytotoxicity of B islet cells. In another embodiment, the compounds of the invention increase the rate of clearance from specific organs such as the brain, or they reduce the concentration of amyloid by preventing the formation of amyloid fibrils in the target organ.

可以治疗性或预防性地给药本发明的化合物,用于治疗与淀粉样原纤维的形成、聚集或沉积相关的疾病。本发明化合物利用以下任何一种机制(所列机制是举例性而非限制性的)可起到缓解淀粉样相关疾病进程的作用:减缓淀粉样原纤维的形成或沉积;减轻淀粉样蛋白沉积的程度;抑制、降低或防止淀粉样原纤维的形成;抑制淀粉样蛋白诱导的神经变性或细胞毒性;抑制淀粉样蛋白诱导的炎症;增强淀粉样蛋白的清除;或促进淀粉样蛋白在其构成原纤维之前的降解。The compounds of the invention may be administered therapeutically or prophylactically for the treatment of diseases associated with the formation, aggregation or deposition of amyloid fibrils. The compound of the present invention can play a role in alleviating the progress of amyloid-associated diseases by using any of the following mechanisms (the listed mechanisms are exemplary and not limiting): slowing down the formation or deposition of amyloid fibrils; degree; inhibit, reduce or prevent the formation of amyloid fibrils; inhibit amyloid-induced neurodegeneration or cytotoxicity; inhibit amyloid-induced inflammation; enhance the clearance of amyloid; prior degradation of fibers.

可以治疗性或预防性地给药本发明化合物,用于治疗与淀粉样蛋白-β原纤维的形成、聚集或沉积相关的疾病。本发明化合物利用以下任何一种机制(所列机制是举例性而非限制性的)可起到缓解淀粉样蛋白-β相关疾病进程的作用:减缓淀粉样蛋白-β原纤维的形成或沉积;减轻淀粉样蛋白-β沉积的程度;抑制、降低或防止淀粉样蛋白-β原纤维的形成;抑制淀粉样蛋白-β诱导的神经变性或细胞毒性;抑制淀粉样蛋白-β诱导的炎症;增强淀粉样蛋白-β从大脑中的清除;或促进淀粉样蛋白-β在其构成原纤维之前的降解。The compounds of the invention may be administered therapeutically or prophylactically for the treatment of diseases associated with the formation, aggregation or deposition of amyloid-beta fibrils. The compounds of the present invention may act to alleviate the progression of amyloid-β-associated disease by any of the following mechanisms (the listed mechanisms are exemplary and not limiting): slowing down the formation or deposition of amyloid-β fibrils; Alleviate the degree of amyloid-β deposition; inhibit, reduce or prevent the formation of amyloid-β fibrils; inhibit amyloid-β-induced neurodegeneration or cytotoxicity; inhibit amyloid-β-induced inflammation; enhance Clearance of amyloid-beta from the brain; or promotion of degradation of amyloid-beta before it forms fibrils.

本发明治疗化合物在进入大脑(透过血脑屏障)或从外周释出后能有效地控制淀粉样蛋白-β沉积。当从外周起作用时,化合物可改变大脑和血浆之间Aβ的平衡,从而有利于Aβ从大脑中清除。化合物也可以增加神经元Aβ的分解代谢和改变从大脑中清除的速率。增加Aβ从大脑的清除将会降低大脑Aβ和大脑脊髓液(CSF)的浓度,从而便于Aβ沉积减少。或者,渗入大脑的化合物通过直接作用于大脑Aβ,例如,通过使其保持为非原纤维形式、促进其从大脑的清除、或减慢APP进程的方式可以控制沉积。这些化合物也可以防止大脑中的Aβ与细胞表面相互作用,从而防止神经毒性、神经变性或炎症。它们也可以降低活化的小神经胶质细胞产生Aβ。本发明化合物还可以增加巨噬细胞或神经元细胞所致的降解。Therapeutic compounds of the invention are effective in controlling amyloid-[beta] deposition upon entry into the brain (crossing the blood-brain barrier) or release from the periphery. When acting peripherally, the compounds alter the balance of Aβ between the brain and plasma, thereby favoring the clearance of Aβ from the brain. Compounds can also increase the catabolism of neuronal Aβ and alter the rate of clearance from the brain. Increased clearance of Aβ from the brain will reduce brain Aβ and cerebrospinal fluid (CSF) concentrations, thereby facilitating reduced Aβ deposition. Alternatively, compounds that penetrate the brain can control deposition by acting directly on brain A[beta], for example, by maintaining it in a non-fibrillar form, promoting its clearance from the brain, or slowing APP processing. These compounds also prevent Aβ in the brain from interacting with the cell surface, thereby preventing neurotoxicity, neurodegeneration or inflammation. They can also reduce Aβ production by activated microglia. Compounds of the invention may also increase degradation by macrophages or neuronal cells.

在一个实施方案中,这种方法用于治疗阿耳茨海默氏病(例如散发性的、家族性的、或早期的AD)。还可以预防性或治疗性地使用这种方法来治疗出现淀粉样蛋白-β沉淀的其他临床疾病,例如用于唐氏(Down)综合症个体和患有脑淀粉样血管病(“CAA”)或遗传性脑出血的患者。In one embodiment, the method is used to treat Alzheimer's disease (eg, sporadic, familial, or early AD). This approach can also be used prophylactically or therapeutically to treat other clinical conditions in which amyloid-beta deposits occur, such as in individuals with Down syndrome and those with cerebral amyloid angiopathy ("CAA") Or patients with hereditary cerebral hemorrhage.

在另一个实施方案中,该方法用于治疗轻度认知损伤。轻度认知损伤(“MCI”)是一种以认识能力处于轻度但可测量的损伤状态为特征的病症,与痴呆症的存在不一定有关。MCI通常但并不一定发生在阿耳茨海默氏病之前。In another embodiment, the method is used to treat mild cognitive impairment. Mild cognitive impairment ("MCI") is a condition characterized by a state of mild but measurable impairment in cognitive abilities, not necessarily related to the presence of dementia. MCI often, but not necessarily, precedes Alzheimer's disease.

另外,肌纤维中APP和淀粉样-β蛋白的异常蓄积与散发性包涵体肌炎(IBM)的病理学有关(Askanas等,Proc.Natl.Acad.Sci.USA 93,1314-1319(1996);Askanas等,Current Opinion in Rheumatology 7,486-496(1995))。因此,本发明的化合物可以预防性或治疗性地用于治疗其中淀粉样-β蛋白在非神经区域异常沉积所致的疾病,例如通过将本发明化合物传递到肌肉纤维来治疗IBM。In addition, the abnormal accumulation of APP and amyloid-β protein in muscle fibers is related to the pathology of sporadic inclusion body myositis (IBM) (Askanas et al., Proc. Natl. Acad. Sci. USA 93, 1314-1319 (1996); Askanas et al., Current Opinion in Rheumatology 7, 486-496 (1995)). Thus, the compounds of the present invention can be used prophylactically or therapeutically in the treatment of diseases in which amyloid-beta protein is abnormally deposited in non-neural areas, for example in the treatment of IBM by delivering the compounds of the present invention to muscle fibers.

此外,已经证明,Aβ与称为脉络膜疣(drusen)的异常细胞外沉积物有关,这种沉积物沿着患有与年龄有关的黄斑变性(AMD)个体的视网膜色素上皮基底表面积聚。AMD是老年人不可逆性失明的病因。据信,Aβ的沉积是局部炎症行为的重要成分,而这种炎症行为会对视网膜黄斑变性萎缩、脉络膜疣的生物产生、和AMD的发病机理产生影响(Johnson等,Proc.Natl.Acad.Sci.USA 99(18),11830-5(2002))。In addition, Aβ has been shown to be associated with abnormal extracellular deposits called drusen that accumulate along the basal surface of the retinal pigment epithelium in individuals with age-related macular degeneration (AMD). AMD is a cause of irreversible blindness in the elderly. Aβ deposition is believed to be an important component of the local inflammatory behavior that contributes to macular degeneration atrophy, drusen biogenesis, and AMD pathogenesis (Johnson et al., Proc. Natl. Acad. Sci. .USA 99(18), 11830-5(2002)).

因此,本发明涉及式I、II、III、IV、V、VI化合物或本文以其它方式描述的化合物在预防或治疗淀粉样相关疾病中的用途,所述疾病尤其包括阿耳茨海默氏病、大脑淀粉样血管病、轻度认知损伤、包涵体肌炎、唐氏综合症、黄斑变性、以及其它种类的淀粉样变性,像IAPP相关性淀粉样变性(例如糖尿病)、原发性(AL)淀粉样变性、继发性(aa)淀粉样变性和β2微球蛋白相关性(与透析有关的)淀粉样变性。Accordingly, the present invention relates to the use of compounds of formula I, II, III, IV, V, VI or otherwise described herein for the prevention or treatment of amyloid-related diseases, including in particular Alzheimer's disease , cerebral amyloid angiopathy, mild cognitive impairment, inclusion body myositis, Down syndrome, macular degeneration, and other types of amyloidosis such as IAPP-associated amyloidosis (eg, diabetes), primary ( AL) Amyloidosis, secondary (aa) amyloidosis, andβ2 microglobulin-associated (dialysis-associated) amyloidosis.

在与淀粉样变性(IAPP)有关的II型糖尿病中,当淀粉样生成性蛋白(amyloidogenic protein)IAPP形成寡聚形式或原纤维形式时会诱导β胰岛细胞毒性。因此,IAPP原纤维在II型糖尿病患者胰腺中的出现会引起β胰岛细胞(Langerhans)损失和器官功能紊乱,从而导致胰岛素血症。In type II diabetes associated with amyloidosis (IAPP), beta islet cytotoxicity is induced when the amyloidogenic protein IAPP forms oligomeric or fibrillar forms. Thus, the appearance of IAPP fibrils in the pancreas of type II diabetics causes loss of beta islet cells (Langerhans) and organ dysfunction, leading to insulinemia.

原发性淀粉样变性(AL淀粉样)通常与浆细胞性恶液质和多发性骨髓瘤有关。也可以特发病的形式出现。Primary amyloidosis (AL amyloid) is often associated with plasma cell dyscrasia and multiple myeloma. It can also appear as an idiopathic disease.

继发性(aa)淀粉样变性通常与慢性感染(如肺结核)或慢性炎症(如类风湿性关节炎)有关。家族性形式的继发性淀粉样变性也可见于家族性地中海热(FMF)。Secondary (aa) amyloidosis is often associated with chronic infection (eg, tuberculosis) or chronic inflammation (eg, rheumatoid arthritis). A familial form of secondary amyloidosis is also seen in familial Mediterranean fever (FMF).

β2微球蛋白相关性(与透析有关的)淀粉样变性见于长期血液透析患者。接受长期血液透析的患者在腕管和一些关节的胶原富集组织中形成β2-微球蛋白原纤维。这样造成严重的疼痛、关节僵硬和肿胀。这些沉积物是由于不能维持透析患者血浆中低浓度的β2M所造成的。增加β2M蛋白血浆浓度将会引起结构变化,从而使得改性的β2M以不溶原纤维的形式沉积在关节中。β2 microglobulin-associated (dialysis-associated) amyloidosis is seen in long-term hemodialysis patients. β2 -microglobulin fibrils develop in collagen-rich tissues of the carpal tunnel and some joints in patients undergoing chronic hemodialysis. This causes severe pain, joint stiffness, and swelling. These deposits result from the inability to maintain low concentrations of [beta]2M in the plasma of dialysis patients. Increasing plasma concentrations ofβ2M protein will cause structural changes such that the modifiedβ2M is deposited in the joints as insoluble fibrils.

发明详述Detailed description of the invention

本发明涉及式I、II、III、IV、V、VI的化合物,或本文用其它方式描述的化合物在治疗淀粉样相关疾病中的用途。为方便起见,本文所述的一些术语的定义解释如下。The present invention relates to the use of compounds of formula I, II, III, IV, V, VI, or otherwise described herein, in the treatment of amyloid-related diseases. For convenience, definitions of some terms described herein are explained below.

淀粉样相关疾病Amyloid-related diseases

AA(反应性)淀粉样变性AA (reactive) amyloidosis

通常,AA淀粉样变性是许多可诱发持续性急性期反应的疾病的一种表现形式。这类疾病包括慢性炎症性疾病、慢性局部或全身性微生物感染和恶性肿瘤。反应性或继发性(aa)淀粉样变性的最常见形式可以认为是由长期炎性症状所造成的。例如,类风湿性关节炎或家族性地中海热(一种遗传性疾病)患者可以发展成AA淀粉样变性。术语“AA淀粉样变性”和“继发性(aa)淀粉样变性”可以互换使用。In general, AA amyloidosis is a manifestation of many diseases that induce a persistent acute phase response. Such diseases include chronic inflammatory diseases, chronic local or systemic microbial infections, and malignancies. The most common form of reactive or secondary (aa) amyloidosis can be considered to result from long-standing inflammatory conditions. For example, people with rheumatoid arthritis or familial Mediterranean fever (an inherited disease) can develop AA amyloidosis. The terms "AA amyloidosis" and "secondary (aa) amyloidosis" are used interchangeably.

AA原纤维通常由通过血清淀粉样A蛋白(ApoSAA)的蛋白质裂解而形成的8000道尔顿片段(AA肽或蛋白质)组成,血清淀粉样A蛋白是一种相应于诸如IL-1、IL-6和TNF这类细胞因子,主要在肝细胞中合成的循环载脂蛋白。一旦被分泌,ApoSAA就与HDL复合。AA原纤维的沉淀可在身体内广泛分布,优先分布在实质器官中。肾脏是常见的沉积部位,并且也可以影响肝脏和脾脏。沉积也可发生于心脏、胃肠道和皮肤。AA fibrils typically consist of 8000 Dalton fragments (AA peptides or proteins) formed by protein cleavage of serum amyloid A protein (ApoSAA), a protein corresponding to proteins such as IL-1, IL- Cytokines such as 6 and TNF, circulating apolipoproteins synthesized primarily in hepatocytes. Once secreted, ApoSAA complexes with HDL. Precipitation of AA fibrils can be widely distributed in the body, preferentially in parenchymal organs. The kidney is a common site of deposition, and the liver and spleen can also be affected. Deposition can also occur in the heart, gastrointestinal tract and skin.

能导致AA淀粉样变性进展的潜在疾病包括但不限于炎症性疾病,例如类风湿性关节炎、少年慢性关节炎、僵硬性脊椎炎,牛皮癣,牛皮癣性关节病,瑞特氏综合症,成人斯蒂尔病,贝切特氏综合症和克罗恩氏病。AA沉积物也产生于慢性微生物感染,例如麻风病、结核、支气管扩张、久卧性溃疡、慢性肾盂肾炎、骨髓炎和惠普尔病。某些恶性肿瘤也会产生AA原纤维淀粉样沉积物。这些包括如霍奇金淋巴瘤、肾癌、肠癌、肺癌和生殖泌尿道癌、基底细胞癌和多细胞白血病这类疾病。与AA淀粉样变性有关的其它潜在疾病为Castleman病和Schnitzler综合症。Underlying diseases that can lead to the progression of AA amyloidosis include, but are not limited to, inflammatory diseases such as rheumatoid arthritis, juvenile chronic arthritis, ankylosing spondylitis, psoriasis, psoriatic arthropathy, Rett syndrome, adult Teal's disease, Behcet's syndrome, and Crohn's disease. AA deposits also arise from chronic microbial infections such as leprosy, tuberculosis, bronchiectasis, chronic pyelonephritis, osteomyelitis, and Whipple's disease. Certain malignancies also produce AA fibril amyloid deposits. These include diseases such as Hodgkin's lymphoma, cancers of the kidney, bowel, lung and genitourinary tract, basal cell carcinoma and multicellular leukemia. Other underlying diseases associated with AA amyloidosis are Castleman's disease and Schnitzler's syndrome.

AL淀粉样变性(原发性淀粉样变性)AL Amyloidosis (Primary Amyloidosis)

AL淀粉样变性通常与几乎所有B淋巴细胞诱导的恶液质有关,从浆细胞恶性肿瘤(多发性骨髓瘤)到良性的单克隆γ-球蛋白病。有时,淀粉样沉淀物的存在可以是潜在的恶液质的主要指标。AL淀粉样变性的详细描述也可以参见Current Drug Targets,2004,5159-171。AL amyloidosis is commonly associated with nearly all B-lymphocyte-induced dyscrasias, ranging from plasma cell malignancies (multiple myeloma) to benign monoclonal gammopathy. Sometimes, the presence of amyloid deposits can be a leading indicator of underlying dyscrasia. A detailed description of AL amyloidosis can also be found in Current Drug Targets, 2004, 5159-171.

AL淀粉样沉积物的原纤维由单克隆免疫球蛋白轻链或其片段组成。更具体地说,这些片段来源于轻链(κ和λ)的N-端区域,并且包含其全部或部分的可变(VL)域。沉积物通常存在于间质组织,引发外周和自发性神经病、脉管综合症、巨舌症、限制性心肌病、大关节关节炎、免疫性恶液质、骨髓瘤以及隐性恶液质。但应当注意到可能牵涉到几乎所有的组织,特别是内脏器官如肾脏、肝脏、脾脏和心脏。The fibrils of AL amyloid deposits consist of monoclonal immunoglobulin light chains or fragments thereof. More specifically, these fragments are derived from the N-terminal region of the light chains (κ and λ) and contain all or part of their variable (VL ) domains. Deposits are often found in the interstitium and cause peripheral and autonomic neuropathy, vascular syndrome, macroglossia, restrictive cardiomyopathy, arthritis of the large joints, immune dyscrasia, myeloma, and occult dyscrasia. However, it should be noted that almost all tissues may be involved, especially internal organs such as kidney, liver, spleen and heart.

遗传性系统性淀粉样变性hereditary systemic amyloidosis

遗传性系统性淀粉样变性存在多种形式。虽然它们是相对较少的病症,但是由于症状在成人期发作以及它们的遗传图案(通常呈染色体显性),导致这类病症在总人口中持久存在。一般来讲,这类综合症可归因于导致产生变异的淀粉样生成肽或蛋白质的前体蛋白中的位点突变。表1概括了举例形式的这些疾病的原纤维组成。There are many forms of hereditary systemic amyloidosis. Although they are relatively rare disorders, they persist in the general population due to the onset of symptoms in adulthood and their genetic pattern (often chromosomal dominant). Generally, such syndromes are attributable to site mutations in precursor proteins that lead to variant amyloidogenic peptides or proteins. Table 1 summarizes the fibril composition of exemplary forms of these diseases.

表1-示例性淀粉样相关疾病的原纤维组成   原纤维肽/蛋白质  遗传变体   临床综合症   来自转甲状腺素和片段的ATTR蛋白  Met30,多种其它   家族性淀粉样多发性神经病(FAP)(主要是外周神经)   来自转甲状腺素和片段的ATTR蛋白  Thr45,Ala60,Ser84,Met111,Ile122   非神经病主导的心脏病,家族性淀粉样多发性神经病,老年性系统性淀粉样变性,腱鞘炎   载脂蛋白A1的N-端片段(apoAI)  Arg26   家族性淀粉样多发性神经病(FAP)(主要是外周神经)   载脂蛋白A1的N-端片段(AapoAI)  Arg26,Arg50,Arg60,其它   奥斯特塔格型,非神经病性(主要累及内脏)   源自载脂蛋白AII的AapoAH   家族性淀粉样变性   溶酶菌(Alys)  Thr56,His67   奥斯特塔格型,非神经病性(主要累及内脏)   纤维根α链片段  Leu554,Val526   伴有点阵性角膜营养不良的颅神经病Table 1 - Fibril Composition of Exemplary Amyloid-Related Diseases Fibril Peptides/Proteins genetic variant clinical syndrome ATTR protein from transthyretin and fragments Met30, various others Familial amyloid polyneuropathy (FAP) (primarily peripheral) ATTR protein from transthyretin and fragments Thr45, Ala60, Ser84, Met111, Ile122 Non-neuropathy-predominant heart disease, familial amyloid polyneuropathy, senile systemic amyloidosis, tenosynovitis N-terminal fragment of apolipoprotein A1 (apoAI) Arg26 Familial amyloid polyneuropathy (FAP) (primarily peripheral) N-terminal fragment of apolipoprotein A1 (AapoAI) Arg26, Arg50, Arg60, others Ostertag type, nonneuropathic (primarily visceral involvement) AapoAH derived from apolipoprotein AII familial amyloidosis Lysobacterium (Alys) Thr56, His67 Ostertag type, nonneuropathic (primarily visceral involvement) Fibrous Root Alpha Chain Fragment Leu554, Val526 Cranial neuropathy with lattice corneal dystrophy

  凝溶胶蛋白片段(Agel) Gelsolin Fragment (Agel)   Asn187,Tyr187 Asn187, Tyr187   伴有点阵性角膜营养不良的颅神经病 Cranial neuropathy with lattice corneal dystrophy   抑半胱氨酸蛋白酶蛋白C片段(Acys) Cystatin protein C fragment (Acys)   Glu68 Glu68   遗传性脑出血(大脑淀粉样血管病)-荷兰型 Hereditary cerebral hemorrhage (cerebral amyloid angiopathy) - Dutch type   衍生自淀粉样前体蛋白(APP)的β-淀粉样蛋白(Aβ)   Beta-amyloid (Aβ) derived from amyloid precursor protein (APP)   Gln693 Gln693   遗传性脑出血(大脑淀粉样血管病)-德国型 Hereditary cerebral hemorrhage (cerebral amyloid angiopathy) - German type   衍生自淀粉样前体蛋白(APP)的β-淀粉样蛋白(Aβ)   Beta-amyloid (Aβ) derived from amyloid precursor protein (APP)   Ile717,Phe717,Gly717 Ile717, Phe717, Gly717   家族性阿耳茨海默氏病 Familial Alzheimer's disease   衍生自淀粉样前体蛋白(APP)的β-淀粉样蛋白(Aβ),例如bPP 695 β-amyloid (Aβ) derived from amyloid precursor protein (APP), e.g. bPP 695   Gln618 Gln618   阿耳茨海默氏病,唐氏综合症,伴有淀粉样变性的遗传性脑出血,德国型 Alzheimer's disease, Down syndrome, hereditary cerebral hemorrhage with amyloidosis, German type   衍生自淀粉样前体蛋白(APP)的β-淀粉样蛋白(Aβ)   Beta-amyloid (Aβ) derived from amyloid precursor protein (APP)   Asn670,Leu671 Asn670, Leu671   家族性痴呆-可能是阿耳茨海默氏病 Familial dementia - possibly Alzheimer's disease   衍生自Prp前体蛋白(51-91插入)的朊病毒蛋白(Prp,AprPsC)Prion protein (Prp, AprPsC ) derived from Prp precursor protein (51-91 insertion)   Leu102,Val167,Asn178,Lys200 Leu102, Val167, Asn178, Lys200   家族性克雅氏病;格-施-沙综合症(遗传性海绵状脑病,朊病毒病) Familial Creutzfeldt-Jakob disease; Guerrand-Schörr syndrome (hereditary spongiform encephalopathy, prion disease)   衍生自血清淀粉样A蛋白的AA(ApoSAA) AA derived from serum amyloid A protein (ApoSAA)   家族性地中海热,主要累及肾脏(常染色体隐性) Familial Mediterranean fever, predominantly renal involvement (autosomal recessive)   衍生自血清淀粉样A蛋白的AA(ApoSAA) AA derived from serum amyloid A protein (ApoSAA)   穆-韦综合症,肾病,耳聋,荀麻疹,四肢痛 Moore-Weis syndrome, kidney disease, deafness, measles, pain in extremities   未知 unknown   持续性心房停顿的心肌病 Cardiomyopathy with persistent atrial arrest   未知 unknown   皮肤沉积物(大疱,丘疹,浓疱) Skin deposits (bulls, papules, bullae)   AH淀粉样蛋白,衍生自免疫球蛋白重链(γ=I) AH amyloid, derived from immunoglobulin heavy chain (γ=I)   AγI AγI   与淀粉样变性相关的骨髓瘤 Myeloma associated with amyloidosis   来自(pro)降钙素的Acal淀粉样蛋白 Acal amyloid from (pro)calcitonin   (Pro)降钙素 (Pro)Calcitonin   甲状腺骨髓癌 Thyroid and myeloid cancer   来自心钠素的AANF淀粉样蛋白 AANF amyloid from atrial natriuretic peptide   孤立的心房淀粉样 isolated atrial amyloid   来自促乳素的Apro Apro from prolactin   促乳素瘤 Prolactinoma   来自Abri肽的Abri/Adan Abri/Adan from Abri peptide   英国和丹麦型家族性痴呆 British and Danish familial dementia

数据来源于Tan SY,Pepys MN.淀粉样变性,Histopathology,25(5),403-414(1994年11月),WHO/IUIS命名小组委员会,淀粉样蛋白和淀粉样变性的命名,Bulletin of World Health Organisation1993;71:10508;和Merlini等,Clin Chem Lab Med 2001;39(11):1065-75。Data from Tan SY, Pepys MN. Amyloidosis, Histopathology, 25(5), 403-414 (November 1994), WHO/IUIS Nomenclature Subcommittee, Nomenclature of Amyloid Proteins and Amyloidosis, Bulletin of World Health Organization 1993;71:10508; and Merlini et al., Clin Chem Lab Med 2001;39(11):1065-75.

表1提供的资料是示例性的,不是对本发明的范围的限制。例如,已经描述了超过40个转甲状腺素基因的独立的位点突变,在临床上它们全都会引起相似的家族性淀粉样多神经病。The information provided in Table 1 is exemplary and not limiting on the scope of the invention. For example, more than 40 independent site mutations of the transthyretin gene have been described, all of which cause clinically similar familial amyloid polyneuropathy.

一般来讲,任何遗传性淀粉样疾病也可以散发性发生,并且遗传性和散发性形式的疾病都存在相同的淀粉样特征。例如,最流行形式的继发性AA淀粉样变性例如由于进行中的炎症而散发性发生,且与家族性地中海热无关。因此,下面关于遗传性淀粉样疾病的概述也适用于散发性淀粉样变性。In general, any hereditary amyloid disease can also occur sporadically, and the same amyloid features are present in both hereditary and sporadic forms of the disease. For example, the most prevalent form of secondary AA amyloidosis occurs sporadically, eg, due to ongoing inflammation, and is not associated with familial Mediterranean fever. Therefore, the following overview of inherited amyloid diseases also applies to sporadic amyloidosis.

转甲状腺素(TTR)是14千道尔顿蛋白,有时可被称为前白蛋白。它是由肝脏和脉络丛产生的,其功能为运输甲状腺激素和维生素A。至少50种蛋白质变体形式(各自以单一氨基酸变化为特征)是各种形式的家族性淀粉样多神经病的产生原因。例如,在丹麦患者中,将55位的亮氨酸置换为脯氨酸会导致特殊的进行性神经病;将111位的亮氨酸置换为甲硫氨酸会导致严重的心脏病。Transthyretin (TTR) is a 14 kilodalton protein, sometimes referred to as prealbumin. It is produced by the liver and choroid plexus and functions to transport thyroid hormones and vitamin A. At least 50 variant forms of the protein, each characterized by a single amino acid change, are responsible for various forms of familial amyloid polyneuropathy. For example, in Danish patients, substitution of leucine at position 55 for proline resulted in a distinctive progressive neuropathy; substitution of leucine for methionine at position 111 resulted in severe cardiac disease.

从系统性淀粉样变性患者的心脏组织分离的淀粉样蛋白沉积物揭示了这种沉积物是由TTR及其片段的非均匀混合物组成,该混合物统称为ATTR,其全长序列已经被表征。可按照本领域已知的方法从这种斑块中提取ATTR原纤维组分,并测定它们的结构和序列(例如,Gustavsson,A.等,Laboratory Invest.73:703-708,1995;Kametani,E.等,Biochem.Biophys.Res.Commun.125:622-628,1984;Pras,M.等,PNAS 80:539-42,1983)。Amyloid deposits isolated from cardiac tissue of patients with systemic amyloidosis revealed that the deposits consisted of a heterogeneous mixture of TTR and its fragments, collectively known as ATTR, the full-length sequence of which has been characterized. ATTR fibril components can be extracted from such plaques according to methods known in the art, and their structure and sequence determined (for example, Gustavsson, A. et al., Laboratory Invest. 73:703-708, 1995; Kametani, E. et al., Biochem. Biophys. Res. Commun. 125:622-628, 1984; Pras, M. et al., PNAS 80:539-42, 1983).

在分子载脂蛋白A1中具有点突变(例如,Gly→Arg26;Trp→Arg50;Leu→Arg60)的人显示以蛋白载脂蛋白AI或其片段(AapoAI)的沉积物为特征的淀粉样变性形式(“奥斯特塔格型”)。这些患者具有低水平的高密度脂蛋白(HDL),并会带来外周神经病或肾衰竭。People with point mutations in the molecule apolipoprotein A1 (eg, Gly→Arg26; Trp→Arg50; Leu→Arg60) show a form of amyloidosis characterized by deposits of the protein apolipoprotein AI or a fragment thereof (AapoAI) ("Ostertag type"). These patients have low levels of high-density lipoprotein (HDL) and develop peripheral neuropathy or renal failure.

溶菌酶α链中的突变(例如Ile→Thr56或Asp→His57)是在英国家族中报道的奥斯特塔格型非神经病性遗传性淀粉样蛋白的另一种形式的基础。这里,突变溶菌酶蛋白(Alys)的原纤维发生沉积,患者通常表现出肾功能受损。与本文中描述的大多数原纤维形式蛋白质不同,这种蛋白质常以整体(非片段化)的形式存在(Benson,M.D.等,CIBA Fdn.Symp.199:104-131,1996)。Mutations in the alpha chain of lysozyme (eg Ile→Thr56 or Asp→His57) underlie another form of Ostertag-type non-neuropathic hereditary amyloid reported in a British family. Here, fibrils of the mutant lysozyme protein (Alys) are deposited, and patients often show impaired renal function. Unlike most of the fibril-form proteins described herein, this protein often exists in an integral (non-fragmented) form (Benson, M.D. et al., CIBA Fdn. Symp. 199:104-131, 1996).

免疫球蛋白轻链往往会形成各种形态的聚集体,包括纤维状(例如AL淀粉样变性和AH淀粉样变性),颗粒状(例如轻链沉积疾病(LCDD)、重链沉积疾病(HCDD),和轻-重链沉积疾病(LHCDD)),结晶状(例如,获得性Farcon综合症),和微管状(例如,冷沉球蛋白血症)。AL和AH淀粉样变性分别以形成免疫球蛋白轻链和重链的不溶性原纤维,和/或它们的片段为标志。在AL原纤维中发现λ链如λVI链(λ6链)的浓度高于κ链。λIII链的浓度也略微增高。Merlini等,CLIN CHEM LAB MED 39(11):1065-75(2001)。重链淀粉样变性(AH)通常是以IgG1小类的γ链淀粉样蛋白的聚集体为特征。Eulitz等,PROC NATL ACAD SCI USA 87:6542-46(1990)。Immunoglobulin light chains tend to form aggregates of various morphologies, including fibrous (eg, AL amyloidosis and AH amyloidosis), granular (eg, light chain deposition disease (LCDD), heavy chain deposition disease (HCDD) , and light-heavy chain deposition disease (LHCDD)), crystalline (eg, acquired Farcon syndrome), and microtubular (eg, cryoglobulinemia). AL and AH amyloidosis are marked by the formation of insoluble fibrils of immunoglobulin light and heavy chains, respectively, and/or their fragments. Lambda chains, such as lambda VI chains (λ6 chains), are found in higher concentrations than kappa chains in AL fibrils. The concentration of λIII chains was also slightly increased. Merlini et al., CLIN CHEM LAB MED 39(11): 1065-75 (2001). Heavy-chain amyloidosis (AH) is usually characterized by aggregates of gamma-chain amyloid of the IgG1 subclass. Eulitz et al., PROC NATL ACAD SCI USA 87:6542-46 (1990).

比较淀粉样生成性蛋白和非淀粉样生成性蛋白的轻链表明,前者可包括似乎能动摇蛋白质的折叠和促进聚集的置换子或替换子。AL和LCDD由于它们的群体单克隆轻链相对较小而区别于其它淀粉样疾病,其中所述轻链通过抗体产生B细胞的增生性扩展而生成。AL聚集体通常是λ链的良序原纤维。在一些情况κIV中,LCDD聚集体是κ和λ两种链(主要是κ链)的相对为无定形的聚集体。Bellotti等,JOUENAL OF STRUCTURAL BIOLOGY 13:280-89(2000)。比较AH淀粉样变性患者中的淀粉样生成和非淀粉样生成性蛋白重链,结果表明组分减少和/或改变。Eulitz等,PROC NATL ACAD SCI USA87:6542-46(1990)(致病重链的特征在于与非淀粉样生成性蛋白重链相比具有明显低的分子量);和Solomon等,AM J HEMAT 45(2)171-6(1994)(淀粉样生成重链的特征为仅仅由非淀粉样生成重链的VH-D部分组成)。Comparing the light chains of amyloidogenic and non-amyloidogenic proteins suggests that the former may include substitutions or substituents that appear to destabilize the folding of the protein and promote aggregation. AL and LCDD are distinguished from other amyloid diseases by their relatively small population of monoclonal light chains produced by the proliferative expansion of antibody-producing B cells. AL aggregates are generally well-ordered fibrils of lambda chains. In some cases of κIV, LCDD aggregates are relatively amorphous aggregates of both κ and λ chains, mainly κ chains. Bellotti et al., JOUENAL OF STRUCTURAL BIOLOGY 13:280-89 (2000). Comparison of amyloidogenic and nonamyloidogenic protein heavy chains in patients with AH amyloidosis reveals reduced and/or altered components. Eulitz et al., PROC NATL ACAD SCI USA87:6542-46 (1990) (Pathogenic heavy chains are characterized by significantly lower molecular weight compared to non-amyloidogenic protein heavy chains); and Solomon et al., AM J HEMAT 45 ( 2) 171-6 (1994) (the amyloidogenic heavy chain is characterized as consisting only of the VH-D portion of the non-amyloidogenic heavy chain).

因此,检测和监测治疗患有AL、LCDD、AH等或具有这种风险的患者的有效方法包括但不限于免疫测定血浆或尿,用于确定淀粉样生成性蛋白轻链或重链如淀粉样蛋白λ、淀粉样蛋白κ、淀粉样蛋白κIV、淀粉样蛋白γ或淀粉样蛋白γ1的存在或沉积减少。Therefore, effective methods for detecting and monitoring treatment of patients with or at risk of AL, LCDD, AH, etc. include, but are not limited to, immunoassays in plasma or urine for the determination of amyloidogenic protein light or heavy chains such as amyloid Decreased presence or deposition of protein lambda, amyloid kappa, amyloid kappa IV, amyloid gamma, or amyloid gamma 1.

脑淀粉样变性cerebral amyloidosis

脑部最常见类型的淀粉样蛋白主要由Aβ肽原纤维组成,结果导致与散发性(非遗传性)阿尔茨海默氏病相关的痴呆。事实上,散发性阿尔茨海默氏病的发生率大大超过遗传性的形式。然而,这两个类型中形成性蚀斑的原纤维肽却非常相似。脑淀粉样变性包括其中病原体为淀粉样蛋白的大脑(包括其组成部分)的结构或功能的疾病、病症、病状、及其他异常。在淀粉样相关疾病中感染的脑区可以是包括维管结构的基质、或包括功能或组织区域的软组织、或神经元本身。患者无需接受具体确认的淀粉样疾病的确定性诊断。术语“淀粉样相关疾病”包括脑淀粉样变性。The most common type of amyloid in the brain consists primarily of Aβ peptide fibrils, resulting in the dementia associated with sporadic (non-hereditary) Alzheimer's disease. In fact, the incidence of sporadic Alzheimer's disease greatly exceeds that of hereditary forms. However, the fibrillary peptides that form plaques in these two types are very similar. Cerebral amyloidosis includes diseases, disorders, conditions, and other abnormalities of the structure or function of the brain (including components thereof) in which the causative agent is amyloid. The brain region affected in amyloid-related disease may be the stroma including vasculature, or the soft tissue including functional or organizational regions, or the neurons themselves. Patients do not need to receive a definitive diagnosis of a specifically confirmed amyloid disease. The term "amyloid-related disease" includes cerebral amyloidosis.

淀粉样蛋白-β肽(“Aβ”)是一种从被称为β淀粉样前体蛋白(“βAPP”)的大蛋白质的蛋白质水解作用衍生得到的39-43个氨基酸的肽。βAPP中的突变导致遗传形式的阿尔茨海默氏病、唐氏综合症、大脑淀粉样血管病、和老年性痴呆,其特征在于如下文进一步具体描述的Aβ原纤维及其他组分组成的蚀斑的大脑沉积。已知的与阿尔茨海默氏病相关的APP的突变发生在靠近β或γ分泌酶的切割位点附近,或在Aβ内部。例如,在加工成Aβ过程中,位置717与APP的γ-分泌酶切割的位点相近,而位置670/671则接近β-分泌酶分裂的位点。任何这些残基中的突变都可能会导致阿尔茨海默氏病,原因可能是产生自APP的Aβ的42/43个氨基酸形式的量的增加而造成的。家族性形式的阿尔茨海默氏病仅占患者人群的10%。大多数的阿尔茨海默氏病的发生为散发性病例,其中APP和Aβ不发生任何突变。各种长度的Aβ肽的结构和序列在本领域是已知的。可以根据本领域已知的方法制造这种肽,或者按照已知的方法从大脑提取这种肽(例如,Glenner和Wong,Biochem.Biophys.Res.Comm.129,885-90(1984);Glenner和Wong,Biochem.Biophys.Res.Comm.122,1131-35(1984))。另外,可以从商业来源获得各种形式的肽。APP是在大多数细胞中表达和连续分解性代谢的。主要的分解性代谢的途径为看来是在Aβ序列内通过一种被临时称为α-分泌酶的APP的切割,导致释放出一种已知的APPsα的可溶的外功能片段。这种切割排除了Aβ肽形成的可能。相对于这种非淀粉样变性性途径,APP也可以分别被称为β-和γ-分泌酶的酶在Aβ的N端或C端切割,随后将Aβ释放到胞外空间。到目前为止,BACE已经被鉴定是一种β-分泌酶(Vasser等,Science 286:735~741,1999)并且已经显示早老蛋白与γ-分泌酶活性有关(De Strooper等,Nature,391,387~90(1998))。该39~43个氨基酸的Aβ肽是由β和γ分泌酶顺序蛋白分解该淀粉样蛋白前体蛋白(APP)而产生的。尽管Aβ40是所产生的主要形式,但5~7%的总量Aβ却是以Aβ42的形式存在的(Cappai等,Int.J.Biochem.,Cell Biol.31,885~89(1999))。Amyloid-β peptide ("Aβ") is a 39-43 amino acid peptide derived from the proteolysis of a large protein known as β-amyloid precursor protein ("βAPP"). Mutations in βAPP cause inherited forms of Alzheimer's disease, Down syndrome, cerebral amyloid angiopathy, and senile dementia characterized by erosions composed of Aβ fibrils and other components as described in further detail below. Brain deposition of plaques. Mutations in APP known to be associated with Alzheimer's disease occur near the cleavage site of β or γ secretase, or within Aβ. For example, position 717 is close to the site where γ-secretase cleaves APP, while positions 670/671 are close to the site where β-secretase cleavages during processing into Aβ. Mutations in any of these residues may cause Alzheimer's disease, possibly due to increased amounts of the 42/43 amino acid form of A[beta] produced from APP. Familial forms of Alzheimer's disease account for only 10% of the patient population. Most cases of Alzheimer's disease occur as sporadic cases in which APP and Aβ do not undergo any mutations. The structures and sequences of A[beta] peptides of various lengths are known in the art. Such peptides can be produced according to methods known in the art, or can be extracted from the brain according to known methods (for example, Glenner and Wong, Biochem. Biophys. Res. Comm. 129, 885-90 (1984); Glenner and Wong, Biochem. Biophys. Res. Comm. 122, 1131-35 (1984)). Additionally, various forms of the peptides are available from commercial sources. APP is expressed and continuously catabolized in most cells. The major catabolic pathway appears to be cleavage within the Aβ sequence by an APP provisionally termed α-secretase, resulting in release of a soluble exofunctional fragment known as APPsα. This cleavage precludes the formation of A[beta] peptides. In contrast to this non-amyloidogenic pathway, APP can also be cleaved at the N- or C-terminus of Aβ by enzymes called β- and γ-secretases, respectively, with subsequent release of Aβ into the extracellular space. So far, BACE has been identified as a β-secretase (Vasser et al., Science 286:735-741, 1999) and presenilin has been shown to be associated with γ-secretase activity (De Strooper et al., Nature, 391, 387 ~90 (1998)). The 39-43 amino acid A[beta] peptide is produced by the sequential proteolysis of the amyloid precursor protein (APP) by the [beta] and [gamma] secretases. Although Aβ40 is the predominant form produced, 5-7% of the total Aβ is present as Aβ42 (Cappai et al., Int. J. Biochem., Cell Biol. 31, 885-89 (1999)).

Aβ肽的长度似乎能显著地改变其生化/生理性质。具体来说,Aβ42C端的额外两个氨基酸是高度亲水性的,这可能提高了Aβ42的聚集的倾向性。例如Jarrett等证明在体外,和Aβ40相比,Aβ42的聚集非常迅速,这表明较长的Aβ可能是一种与阿尔茨海默氏病中神经性蚀斑的起始结晶有关的重要病理蛋白(Jarrett等,Biochemistry 32,4693~97(1993));Jarrett等,Ann.N.Y.Acad.Sci.695,144~48(1993))。最近对于在遗传家族性形式的阿尔茨海默氏病(“FAD”)中的特定形式的Aβ的贡献的分析,进一步支持了这种假说。例如连接到FAD上的APP的“伦敦”式突变形式(APP V7171)相对于Aβ40选择性地提高了Aβ42/43的产生(Suzuki等,Science,264,1336~40(1994)),而APP(APPK670N/M671L)的“瑞典”式突变形式提高了Aβ40和Aβ42/43的水平(Citron等,Nature,360,672~674(1992));Cai等,Science 259,514~16,(1993))。还有,已观察到在早老蛋白-1(“PS-1”)或早老蛋白-2(“PS-2”)基因中的FAD连接的突变将导致Aβ42/43而不是Aβ40的选择性的增加(Borchelt等,Neuron 17,1005~13(1996))。这一发现得到如下事实的进一步确证:表达PS突变体的转基因老鼠模型在大脑Aβ42的选择性的提高(Borchelt,op cit.;Duff等,Neurodegeneration 5(4),293~98(1996))。从而得到关于阿尔茨海默氏病的病源学的假说是:由于Aβ42的产生或释放的增加导致的Aβ42大脑浓度的增加或清除率(降解或脑清除率)的降低是该疾病病理学中的一个病因性事件。The length of the A[beta] peptide appears to significantly alter its biochemical/physiological properties. Specifically, the extra two amino acids at the C-terminus of Aβ42 are highly hydrophilic, which may increase the propensity of Aβ42 to aggregate. For example, Jarrett et al. demonstrated that in vitro, compared with Aβ40, the aggregation of Aβ42 is very rapid, which indicates that the longer Aβ may be an important pathological protein related to the initial crystallization of neural plaques in Alzheimer's disease ( Jarrett et al., Biochemistry 32, 4693-97 (1993)); Jarrett et al., Ann. N.Y. Acad. Sci. 695, 144-48 (1993)). Recent analyzes of the contribution of specific forms of A[beta] in inherited familial forms of Alzheimer's disease ("FAD") further support this hypothesis. For example, the "London" mutant form of APP linked to FAD (APP V7171) selectively increases the production of Aβ42/43 relative to Aβ40 (Suzuki et al., Science, 264, 1336-40 (1994)), while APP ( The "Swedish" mutant form of APPK670N/M671L) increases the levels of Aβ40 and Aβ42/43 (Citron et al., Nature, 360, 672-674 (1992)); Cai et al., Science 259, 514-16, (1993)) . Also, it has been observed that FAD-linked mutations in the presenilin-1 ("PS-1") or presenilin-2 ("PS-2") genes lead to a selective increase in Aβ42/43 but not Aβ40 (Borchelt et al., Neuron 17, 1005-13 (1996)). This finding was further corroborated by the fact that transgenic mouse models expressing PS mutants had increased selectivity for Aβ42 in the brain (Borchelt, op cit.; Duff et al., Neurodegeneration 5(4), 293-98 (1996)). The resulting hypothesis regarding the etiology of Alzheimer's disease is that an increase in brain concentration of Aβ42 or a decrease in clearance (degradation or brain clearance) due to increased production or release of Aβ42 is part of the pathology of the disease. A causative event.

已经鉴定出Aβ或APP基因中的多个突变部位,它们在临床上与痴呆症或脑出血相关。示例性的CAA病症包括但不限于:冰岛型带有淀粉样变性的遗传性脑出血(HCHWA-I)、HCHWA的荷兰变种(HCHWA-D;Aβ的突变);Aβ的佛兰德突变;Aβ的北极突变;Aβ的意大利突变;Aβ的衣阿华突变;遗传性英国痴呆;以及遗传性丹麦痴呆。CAA也可以是散发性的。Multiple mutation sites in the Aβ or APP genes have been identified that are clinically associated with dementia or cerebral hemorrhage. Exemplary CAA disorders include, but are not limited to: Hereditary Cerebral Hemorrhage with Amyloidosis, Iceland type (HCHWA-I), Dutch variant of HCHWA (HCHWA-D; mutation of Aβ); Flemish mutation of Aβ; Aβ the Arctic mutation of Aβ; the Italian mutation of Aβ; the Iowa mutation of Aβ; hereditary British dementia; and hereditary Danish dementia. CAA can also be sporadic.

除另有描述外,本说明书中所使用的术语“β-淀粉样蛋白”和“淀粉样蛋白-β”等等是指淀粉样β蛋白质或肽、淀粉样β前体蛋白质或肽、中间体、及其修饰体或片段。特别地,“Aβ”是指APP基因产物经蛋白酶解加工而产生的任何肽,尤其是与淀粉样蛋白病理学相关的肽,包括Aβ1-39、Aβ1-40、Aβ1-41、Aβ1-42、和Aβ1-43。为了命名方便,“Aβ1-42”在这里被称为“Aβ(1-42)”或简单地称为“Aβ42”或“Aβ42”(并且对于这里所讨论的任何其他的淀粉样蛋白肽也是同样的)。这里所使用的术语“β淀粉样蛋白”、“淀粉样蛋白-β”和“Aβ”为同义词。Unless otherwise stated, the terms "beta-amyloid" and "amyloid-beta" and the like used in this specification refer to amyloid beta protein or peptide, amyloid beta precursor protein or peptide, intermediate , and modifications or fragments thereof. In particular, "Aβ" refers to any peptide produced by proteolytic processing of the APP gene product, especially peptides associated with amyloid pathology, including Aβ1-39, Aβ1-40, Aβ1-41, Aβ1-42, and Aβ1-43. For nomenclature, "Aβ1-42" is referred to herein as "Aβ(1-42)" or simply "Aβ42" or "Aβ42 " (and for any other amyloid peptide discussed here same). As used herein, the terms "beta amyloid", "amyloid-beta" and "Aβ" are synonymous.

除非另作说明、术语“淀粉样蛋白”是指淀粉样生成性蛋白质、肽、或其片段,其可以是可溶性的(例如,单体的或寡聚的)或不溶性的(例如,具有纤丝的结构或淀粉样蛋白蚀斑中的)。参阅例如,MP Lambert等,Proc.Nat’l Acad.Sci.USA 95,6448~53(1998)。“淀粉样变性”或“淀粉样疾病”或“淀粉样相关疾病”是指一种特征在于出现淀粉样纤维的病理症状。“淀粉样蛋白”是一个通用术语,是指见于多种不同疾病中的一组不同的但特定的蛋白质沉积物(细胞内或细胞外)。尽管它们的存在形式多变,但是所有的淀粉样沉积物都具有共同的形态学特性,可被特定的染料(例如刚果红)染色,并且染色后在偏振光中显示出红绿双折射现象的特征。它们还具有共同的超结构特征或共同的X射线衍射和红外光谱。Unless otherwise stated, the term "amyloid" refers to an amyloidogenic protein, peptide, or fragment thereof, which may be soluble (e.g., monomeric or oligomeric) or insoluble (e.g., with fibrils structures or in amyloid plaques). See, eg, MP Lambert et al., Proc. Nat'l Acad. Sci. USA 95, 6448-53 (1998). "Amyloidosis" or "amyloid disease" or "amyloid-related disease" refers to a pathological condition characterized by the appearance of amyloid fibrils. "Amyloid" is a general term referring to a distinct but specific group of protein deposits (intracellular or extracellular) found in many different diseases. Although they occur in a variety of forms, all amyloid deposits share common morphological properties, are stainable with specific dyes (such as Congo red), and exhibit red-green birefringence in polarized light after staining. feature. They also share common ultrastructural features or common X-ray diffraction and infrared spectra.

凝溶胶蛋白是钙结合蛋白,它与片段和肌动蛋白微丝结合。在蛋白质位置187的突变(例如,Asp→Asn;Asp→Tyr)导致遗传性系统性淀粉样变性的形式,这通常发现芬兰病人以及荷兰和日本人种中。在患者个体中,由凝溶胶蛋白片段(Agel)形成的原纤维通常是由173-243个氨基酸组成(68kDa羧基端基片段)并且在血管和基底膜中沉积,导致角膜营养不良和颅骨神经病(进而发展成外周神经病)、贫营养皮肤变化和在其他器官中的沉积(Kangas,H.等HumanMol.Genet.5(9):1237~1243,1996)。Gelsolin is a calcium-binding protein that binds fragments and actin filaments. Mutations at position 187 of the protein (eg, Asp→Asn; Asp→Tyr) result in a form of hereditary systemic amyloidosis, which is commonly found in Finnish patients as well as in Dutch and Japanese populations. In individual patients, fibrils formed by gelsolin fragments (Agel) usually consist of 173-243 amino acids (68 kDa carboxy-terminal fragment) and are deposited in blood vessels and basement membrane, leading to corneal dystrophy and cranial neuropathy ( Then develop into peripheral neuropathy), nutrient-poor skin changes and deposition in other organs (Kangas, H. et al. Human Mol. Genet. 5 (9): 1237-1243, 1996).

其他的突变蛋白质,例如突变的纤维蛋白原的α链(AfibA)和突变的抑半胱氨酸蛋白酶蛋白C(Acys)也形成原纤维并且产生特征性的遗传性病症。AfibA原纤维形成特征为伴有肾病的非神经病性遗传性淀粉样蛋白的沉淀;Acys沉淀的特征为冰岛报导的遗传性大脑淀粉样血管病(Isselbacher,Harrison’s Principles of Internal Medicine,McGraw-Hill,San Francisco,1995;Benson等)。在至少一些病理中,大脑淀粉样血管病(CAA)患者已经显示出具有包含与淀粉样β蛋白结合的抑半胱氨酸蛋白酶蛋白C的非突变形式的淀粉样原纤维(Nagai,A.等,Molec.Chem.Neuropathol.33:63-78,1998)。Other mutant proteins, such as mutant alpha chain of fibrinogen (AfibA) and mutant cystatin C (Acys) also form fibrils and produce characteristic hereditary disorders. AfibA fibril formation is characterized by deposits of non-neuropathic hereditary amyloid with nephropathy; Acys deposits are characterized by hereditary cerebral amyloid angiopathy reported in Iceland (Isselbacher, Harrison's Principles of Internal Medicine, McGraw-Hill, San Francisco, 1995; Benson et al). In at least some pathologies, patients with cerebral amyloid angiopathy (CAA) have been shown to have amyloid fibrils containing a non-mutated form of cystatin protein C that binds to amyloid-β protein (Nagai, A. et al. , Molec. Chem. Neuropathol. 33:63-78, 1998).

现在认为某些形式的朊病毒体疾病是可遗传的,这占到了高达15%的病例,而此前曾被认为其本质上是非感染性的(Baldwin等,Research Advances in AlzheimeR’s Disease and Related Disorders,John Wiley and Sons,New York,1995)。在遗传性和散发性的朊病毒体疾病中,患者出现由正常的朊病毒蛋白质(PrPCS)的异常等同形式组成的蚀斑。Some forms of prion disease are now thought to be heritable, accounting for up to 15% of cases, and were previously thought to be non-infectious in nature (Baldwin et al., Research Advances in Alzheimer's Disease and Related Disorders, John Wiley and Sons, New York, 1995). In hereditary and sporadic prion diseases, patients develop plaques composed of abnormal equivalents of the normal prion protein (PrPCS ).

一种主要的突变同工型,PrPsc,也称为AScr,与正常细胞蛋白质的不同之处在于其对蛋白酶降解的耐受性、洗涤剂萃取后的不溶性、次级溶酶体中的沉积、翻译后合成、以及高β-折叠片层含量。已经确立了至少5种导致克雅氏症(CJD)、格-施-沙综合症(GSS)和致命性家族性失眠症(FFI)的遗传关联性。(Baldwin,同上)。从痒病原纤维中提取原纤维肽、测定序列和制备这种肽的方法在本领域是已知的(例如,Beekes,M.等,J.Gen.Virol.76:2567~76,1995)。A major mutant isoform, PrPsc , also known as AScr, differs from normal cellular proteins by its resistance to protease degradation, insolubility after detergent extraction, and deposition in secondary lysosomes , post-translational synthesis, and high β-sheet content. At least 5 genetic associations have been established for Creutzfeldt-Jakob disease (CJD), Gerard-Schörr syndrome (GSS), and fatal familial insomnia (FFI). (Baldwin, ibid.). Methods for extracting fibril peptides from scrapie fibrils, determining sequences and preparing such peptides are known in the art (eg, Beekes, M. et al., J. Gen. Virol. 76:2567-76, 1995).

例如,GSS的一种形式与102位密码子的PrP突变有关联,而终脑GSS与117位密码子的突变无关。198和217位密码子的突变导致的一种GSS形式,其中作为阿尔茨海默氏病特征的神经炎蚀斑包含PrP而非Aβ肽。家族性CJD的某些形式与200和210位密码子的突变有关联;已经在家族性CJD和FFI中发现了129和178位密码子的突变(Baldwin,同上)。For example, one form of GSS is associated with a PrP mutation at codon 102, whereas terminal brain GSS is not associated with a mutation at codon 117. Mutations at codons 198 and 217 result in a form of GSS in which the neuritic plaques that characterize Alzheimer's disease contain PrP rather than Aβ peptide. Some forms of familial CJD are associated with mutations at codons 200 and 210; mutations at codons 129 and 178 have been found in familial CJD and FFI (Baldwin, supra).

大脑性淀粉样变性cerebral amyloidosis

淀粉样蛋白的局部沉积常发生于大脑(特别是在年长的个体中)。脑部最常见类型的淀粉样蛋白主要由Aβ肽原纤维组成,其导致痴呆或散发性(非遗传性)阿尔茨海默氏病。最常发生的大脑淀粉样变性为散发性而非家族性的。例如,散发性阿尔茨海默氏病和散发性CAA的发生率远远超过家族性AD和CAA。此外,无法区分疾病的散发性形式和家族性形式(它们的不同仅在于是否出现遗传性基因突变);例如,散发性和家族性Aβ中所形成的临床症状和淀粉样蛋白蚀斑即便不是相同的、也是非常相似的。Localized deposition of amyloid often occurs in the brain (especially in older individuals). The most common type of amyloid in the brain consists mainly of Aβ peptide fibrils, which lead to dementia or sporadic (non-hereditary) Alzheimer's disease. The most common occurrence of cerebral amyloidosis is sporadic rather than familial. For example, sporadic Alzheimer's disease and sporadic CAA far outnumber familial AD and CAA. Furthermore, it is not possible to distinguish between sporadic and familial forms of the disease (which differ only in the presence or absence of inherited genetic mutations); for example, the clinical signs and amyloid plaques developed in sporadic and familial Aβ are if not identical is also very similar.

大脑淀粉样血管病(CAA)是指淀粉样原纤维特异性沉积在柔脑膜壁以及皮质动脉壁、微动脉壁和静脉壁上。它一般与阿尔茨海默氏病、唐氏综合征和正常老化,以及各种与中风或痴呆相关的家族性病症有关(参阅Frangione等,Amyloid:J.Protein Folding Disord.8,Suppl.1,36-42(2001))。CAA可以是散发性的或遗传性的。Cerebral amyloid angiopathy (CAA) refers to the specific deposition of amyloid fibrils on the leptomeningeal wall, cortical artery wall, arteriole wall and vein wall. It is generally associated with Alzheimer's disease, Down syndrome and normal aging, as well as various familial conditions associated with stroke or dementia (see Frangione et al., Amyloid: J. Protein Folding Disord. 8, Suppl. 1, 36-42 (2001)). CAA can be sporadic or hereditary.

老年系统性淀粉样变性senile systemic amyloidosis

系统性的或者病灶性的淀粉样沉积随着年龄的增长而增加。例如,野生型甲状腺素(TTR)的原纤维通常发现于年长个体的心脏组织中。它们可能是无症状、临床上无表征的,或者可能会导致心力衰竭。无症状的原纤丝状病灶沉积也可能发生在脑部(Aβ)、前列腺(β2微球蛋白)的淀粉样体、关节和精囊腺中。Systemic or focal amyloid deposition increases with age. For example, fibrils of wild-type thyroxine (TTR) are commonly found in the heart tissue of older individuals. They may be asymptomatic, clinically unrepresented, or may cause heart failure. Asymptomatic fibril-like deposits may also occur in amyloids in the brain (Aβ), prostate (β2 microglobulin), joints, and seminal vesicles.

透析相关的淀粉样变性(DRA)Dialysis-Related Amyloidosis (DRA)

在长期接受血液透析或腹膜透析的病人中也通常会出现由β2微球蛋白(β2M)原纤维组成的蚀斑。β2微球蛋白是一种11.8千道尔顿的多肽并且是一种存在于所有有核细胞上的MHC I类抗原的轻链。在正常的情况下,除非肾功能受损,β2M通常分布在该细胞间隙中,这时β2M被传送到组织内,并在那里聚合形成淀粉样原纤维。清除失败(例如在肾功能受损的情形中)导致在腕骨通道及其他部位(主要是在关节的富胶原组织中)中沉积。与其他的原纤维蛋白质不同,β2M分子不是通过长链前体蛋白的裂解产生的,并且通常以非片段化的形式存在于原纤维中。(Benson,同上)。已经证明该淀粉样蛋白前体的保留和聚集是DRA最根本的主要病原性的过程。DRA的特征在于外周关节的骨关节病(例如关节僵硬、疼痛、膨胀等)。组织中β2M的同工型、糖化的β2M、或β2M的聚合物是最常见的淀粉样变性形式(和自然β2M相反)。和其他类型的淀粉样变性不同,β2M很大程度上被限制在骨关节部位。内脏沉积是非常罕见的。有时,这些沉积可能累及血管及其他重要的解剖部位。Plaques composed of β2 microglobulin (β2 M) fibrils are also commonly seen in patients undergoing long-term hemodialysis or peritoneal dialysis.β2 microglobulin is an 11.8 kilodalton polypeptide and is the light chain of an MHC class I antigen present on all nucleated cells. Under normal circumstances, unless renal function is impaired, β2 M is usually distributed in the intercellular space, and then β2 M is transported into the tissue, where it aggregates to form amyloid fibrils. Failure to clear, such as in the case of impaired renal function, results in deposition in the carpal tunnel and elsewhere, primarily in the collagen-rich tissue of the joints. Unlike other fibril proteins,β2M molecules are not produced by cleavage of long-chain precursor proteins and are usually present in fibrils in an unfragmented form. (Benson, ibid.). The retention and aggregation of the amyloid precursors have been shown to be the most fundamental and major pathogenic processes of DRA. DRA is characterized by osteoarthropathy (eg, joint stiffness, pain, swelling, etc.) of the peripheral joints. Tissue isoforms ofβ2M , glycatedβ2M , or aggregates ofβ2M are the most common forms of amyloidosis (as opposed to nativeβ2M ). Unlike other types of amyloidosis,β2M is largely restricted to bone and joint sites. Visceral deposits are very rare. Occasionally, these deposits may involve blood vessels and other important anatomical sites.

尽管存在除去β2M的改进透析方法,但是大多数病人的血浆β2M浓度仍然显著高于正常人。β2M浓度的这些增加通常引起糖尿病相关的淀粉样变性(DRA)和导致死亡的心脏病(cormorbidities)。Despite the existence of improved dialysis methods to removeβ2M , most patients still have plasmaβ2M concentrations that are significantly higher than normal. These increases in [beta]2M concentrations often cause diabetes-related amyloidosis (DRA) and cormorbidities leading to death.

胰岛淀粉样蛋白多肽和糖尿病Amylin Peptide and Diabetes

在一个世纪以前,首次描述了胰岛透明变性(淀粉样蛋白沉积),这是因为在严重的高血糖病人的胰腺中发现了纤维状蛋白质聚集(Opie,EL.,J Exp.Med.,5:397-428,1901)。今天,胰岛淀粉样蛋白(主要由胰岛淀粉样蛋白多肽(IAPP)组成)或淀粉不溶素是90%以上所有II型糖尿病(又名非胰岛素依赖型糖尿病,或NIDDM)病理的组织病理学特征标记物。这些原纤丝的蓄积是由于胰岛淀粉样蛋白多肽(IAPP)或淀粉不溶素(一种37个氨基酸的多肽,来源于一种较大的称为前IAPP的前体肽)的聚集引起的。Islet hyaline degeneration (amyloid deposition) was first described a century ago because of fibrillar protein aggregates found in the pancreas of severely hyperglycemic patients (Opie, EL., J Exp. Med., 5: 397-428, 1901). Today, islet amyloid (consisting primarily of islet amyloid polypeptide (IAPP)) or amylin is the histopathological marker of more than 90% of all type II diabetes (aka non-insulin-dependent diabetes, or NIDDM) pathology thing. The accumulation of these fibrils is due to the aggregation of islet amyloid polypeptide (IAPP) or amylin, a 37 amino acid polypeptide derived from a larger precursor peptide called pre-IAPP.

IAPP与胰岛素在对β细胞促分泌素的响应中共同分泌。这些病理特征和胰岛素依赖性(I型)糖尿病没有关联,它是被诊断为NIDDM(II型糖尿病)的不同临床症状的共同特征。IAPP is co-secreted with insulin in response to β-cell secretagogues. These pathological features are not associated with insulin-dependent (type I) diabetes, which is a common feature of the different clinical symptoms diagnosed as NIDDM (type II diabetes).

对猫的纵向研究和对猴子的免疫细胞化学研究已经表明:胰岛淀粉样蛋白的进行性增加与胰岛素分泌性β细胞数量的剧减以及病情的加重有关。近年来,转基因研究已巩固了IAPP蚀斑形成和β细胞凋亡和功能紊乱之间的关系,说明淀粉样沉淀是II型糖尿病病情加重的一个主要因素。Longitudinal studies in cats and immunocytochemical studies in monkeys have shown that progressive increases in islet amyloid are associated with dramatic decreases in insulin-secreting β-cell numbers and disease progression. In recent years, transgenic studies have solidified the relationship between IAPP plaque formation and β-cell apoptosis and dysfunction, suggesting that amyloid deposition is a major factor in the exacerbation of type II diabetes.

IAPP还发现可以体外诱导β-胰岛细胞毒性,这表明在II型或I型糖尿病患者(后胰岛移植)的胰腺中出现IAPP原纤维会导致β细胞胰岛(Langerhans)的损失和器官功能紊乱。在II型糖尿病患者中,胰腺IAPP的累积将导致寡聚IAPP的形成,从而引起不溶性纤维沉淀形式IAPP-淀粉样蛋白堆积,该物质最终会灭除胰岛的胰岛素产生β细胞,从而导致β细胞的损耗和衰竭(Westermark,P.,Grimelius,L.,Acta Path.Microbiol.Scand.,sect.A.81:291-300,1973,deKoning,EJP.等,Diabetologia 36:378-384,1993;和Lorenzo,A.等,Nature 368:756-760,1994)。作为纤维性沉积物IAPP的累积还会影响血浆中通常发现的pro-IAPP与IAPP的比例,由于沉积物中俘获有IAPP从而增加该比例。可以通过高血糖和胰岛素血来证明β细胞的减少。该β细胞质量损失可能导致需要胰岛素治疗。IAPP was also found to induce β-islet cytotoxicity in vitro, suggesting that the appearance of IAPP fibrils in the pancreas of patients with type II or type I diabetes (after islet transplantation) leads to loss of β-cell islets (Langerhans) and organ dysfunction. In type 2 diabetes, the accumulation of pancreatic IAPP will lead to the formation of oligomeric IAPP, which leads to the accumulation of insoluble fibrous precipitates form IAPP-amyloid, which eventually destroys the insulin-producing β-cells of the islets, resulting in the destruction of β-cells. Loss and exhaustion (Westermark, P., Grimelius, L., Acta Path. Microbiol. Scand., sect. A. 81: 291-300, 1973, deKoning, EJP. et al., Diabetologia 36: 378-384, 1993; and Lorenzo, A. et al., Nature 368:756-760, 1994). Accumulation of IAPP as fibrous deposits also affects the ratio of pro-IAPP to IAPP normally found in plasma, increasing this ratio due to the entrapment of IAPP in the deposits. A decrease in beta cells can be demonstrated by hyperglycemia and insulinemia. This loss of beta cell mass may result in the need for insulin therapy.

可以通过给患者移植相关类型的健康细胞来治疗由于特定类型的细胞的死亡或功能障碍所引起的疾病。该方法已被用于I型糖尿病人的治疗。通常,在移植前先体外培养捐献者的胰腺胰岛细胞,使它们在分离过程后能够恢复,或者降低它们的免疫力。然而,在许多情况下,由于移植细胞的死亡,胰岛细胞的移植是不成功的。成功率低的一个原因在于IAPP,它可以形成有毒的寡聚物。毒性效果可能是由原纤维低聚物在胞内或胞外的累积引起的。IAPP低聚物可以形成原纤维并对体外细胞产生毒性。另外,IAPP原纤维还可能会在细胞移植后继续生长,并导致细胞的死亡和功能紊乱。即使细胞来自健康的捐献者而接受移植的患者并未患有以原纤维的存在为特征的疾病,也仍然会发生这种情况。例如,按照国际专利申请(PCT)号WO01/003680中描述的方法,本发明的化合物也可用于制备移植用的组织和细胞。Diseases caused by the death or dysfunction of specific types of cells can be treated by transplanting healthy cells of the relevant type into the patient. This method has been used in the treatment of people with type 1 diabetes. Typically, the donor's pancreatic islet cells are cultured ex vivo prior to transplantation to allow them to recover after the isolation process, or to reduce their immunity. However, in many cases, islet cell transplantation is unsuccessful due to the death of the transplanted cells. One reason for the low success rate is IAPP, which can form toxic oligomers. Toxic effects may result from intracellular or extracellular accumulation of fibrillar oligomers. IAPP oligomers can form fibrils and be toxic to cells in vitro. In addition, IAPP fibrils may continue to grow after cell transplantation and lead to cell death and dysfunction. This occurred even when the cells came from a healthy donor and the patient receiving the transplant did not have a disease characterized by the presence of fibrils. Compounds of the invention may also be used to prepare tissues and cells for transplantation, for example, according to the methods described in International Patent Application (PCT) No. WO01/003680.

本发明的化合物也可以稳定pro-IAPP/IAPP的浓度比、pro-胰岛素/胰岛素的浓度比以及C-肽的水平。另外,作为效力的生物标记,不同试验(例如精氨酸-胰岛素分泌试验、葡萄糖耐量试验、胰岛素抗性和敏感性试验)的结果全部可以用作β细胞质量减少和/或淀粉样蛋白沉积物的累积的标志。这种药物还可以和其他的用于胰岛素抗性、肝性葡萄糖产生、和胰岛素分泌的药物一起使用。这些化合物可以通过维持β细胞功能而避免使用胰岛素疗法,并且可以用于维持胰岛移植。The compounds of the present invention can also stabilize the concentration ratio of pro-IAPP/IAPP, the concentration ratio of pro-insulin/insulin and the level of C-peptide. In addition, as a biomarker of efficacy, the results of different tests (such as arginine-insulin secretion test, glucose tolerance test, insulin resistance and sensitivity test) can all be used as a reduction in beta cell mass and/or amyloid deposits of cumulative signs. This drug can also be used with other drugs for insulin resistance, hepatic glucose production, and insulin secretion. These compounds may avoid the use of insulin therapy by maintaining β-cell function and may be used to maintain islet transplantation.

激素衍生的淀粉样变性hormone-derived amyloidosis

内分泌器官可以容纳淀粉样沉淀,特别是在老年个体中。激素分泌性肿瘤还可以包含激素衍生性淀粉样斑块,其中的原纤维是由例如降血素(甲状腺髓样癌)和心钠素(孤立性心房淀粉样变性)等多肽激素组成。这些蛋白质的序列和结构是本领域中公知的。Endocrine organs can harbor amyloid deposits, especially in older individuals. Hormone-secreting tumors can also contain hormone-derived amyloid plaques in which fibrils are composed of polypeptide hormones such as hypogenin (medullary thyroid carcinoma) and atrial natriuretic peptide (solitary atrial amyloidosis). The sequences and structures of these proteins are well known in the art.

混杂性淀粉样变性mixed amyloidosis

有多种其它淀粉样病变形式,它们通常表现为淀粉样蛋白的局部沉积。一般说来,这些疾病通常可能是特定的原纤维前体的局部产生或代谢缺乏,或用于原纤维沉积的特定组织(例如关节)预沉积所致的结果。这种突发性沉积的实例包括瘤状AL淀粉样蛋白、皮肤淀粉样蛋白、内分泌淀粉样蛋白、和肿瘤相关的淀粉样蛋白。其他的淀粉样相关疾病包括如表1所述的那些,例如家族性淀粉样蛋白多发性神经病(FAP)、老年性系统性淀粉样变性、Tenosynovium、家族性淀粉样变性、奥斯特塔格型、非神经性的淀粉样变性、颅骨神经病、遗传性脑出血、家族性痴呆、慢性透析病、家族性克罗伊茨费尔特-雅各布症、格-施-沙综合症、遗传性海绵状脑病、朊病毒疾病、家族性地中海热、穆-韦综合症、肾病、耳聋、荨麻疹、肢疼痛、心肌病、皮肤沉淀、多发性骨髓瘤、良性单克隆丙种球蛋白病、maccoglobulinaemia、伴有淀粉样变性的骨髓瘤、甲状腺髓样癌、孤立性心房淀粉样蛋白和糖尿病。There are various other forms of amyloidosis, which usually manifest as localized deposits of amyloid. In general, these diseases may often be the result of local production or lack of metabolism of specific fibril precursors, or pre-deposition of specific tissues (eg, joints) for fibril deposition. Examples of such sudden deposits include nodular AL amyloid, cutaneous amyloid, endocrine amyloid, and tumor-associated amyloid. Other amyloid-associated diseases include those described in Table 1, such as familial amyloid polyneuropathy (FAP), senile systemic amyloidosis, Tenosynovium, familial amyloidosis, Ostertag type , non-neuropathic amyloidosis, cranial neuropathy, hereditary cerebral hemorrhage, familial dementia, chronic dialysis, familial Creutzfeldt-Jakob disease, Guerrand-Sch-Sar syndrome, hereditary Spongiform encephalopathy, prion disease, familial Mediterranean fever, Mou-Wei syndrome, nephropathy, deafness, urticaria, extremity pain, cardiomyopathy, skin deposits, multiple myeloma, benign monoclonal gammopathy, maccoglobulinaemia, Myeloma with amyloidosis, medullary thyroid carcinoma, isolated atrial amyloid, and diabetes mellitus.

可以治疗性或预防性地给药本发明的化合物来治疗与淀粉样原纤维的形成、聚集或沉积有关的疾病,而不管其临床症状如何。本发明化合物利用以下任何一种机制可起到缓解淀粉样相关疾病进程的作用,这些机制例如包括但不限于:降低淀粉样原纤维的形成或沉积的速率;减轻淀粉样蛋白沉积的程度;抑制、降低或防止淀粉样原纤维的形成;抑制淀粉样蛋白诱导的炎症;增强大脑中淀粉样蛋白的清除率;或保护细胞免受淀粉样蛋白诱发的(低聚物或原纤维状的)毒性。The compounds of the invention may be administered therapeutically or prophylactically to treat diseases associated with the formation, aggregation or deposition of amyloid fibrils, regardless of their clinical symptoms. The compounds of the present invention can play a role in alleviating the progress of amyloid-related diseases by using any of the following mechanisms, such as but not limited to: reducing the rate of formation or deposition of amyloid fibrils; reducing the degree of amyloid deposition; inhibiting , reduce or prevent amyloid fibril formation; inhibit amyloid-induced inflammation; enhance amyloid clearance from the brain; or protect cells from amyloid-induced (oligomeric or fibril-like) toxicity .

在一个实施方案中,可以治疗性或预防性地给药本发明化合物用于治疗与淀粉样蛋白-β原纤维的形成、聚集或沉积相关的疾病。本发明化合物利用以下任何一种机制(所列机制是举例性而非限制性的)可起到缓解淀粉样蛋白-β相关疾病进程的作用:降低淀粉样蛋白-β原纤维的形成或沉积的速率;减轻淀粉样蛋白-β沉积的程度;抑制、降低或防止淀粉样蛋白-β原纤维的形成;抑制淀粉样蛋白-β诱导的神经变性或细胞毒性;抑制淀粉样蛋白-β诱导的炎症;增强淀粉样蛋白-β从大脑中的清除;或促进Aβ的更多代谢。In one embodiment, compounds of the invention may be administered therapeutically or prophylactically for the treatment of diseases associated with the formation, aggregation or deposition of amyloid-beta fibrils. The compounds of the present invention may act to alleviate amyloid-β-associated disease progression by any of the following mechanisms (listed by way of example and not limitation): reduction in the formation or deposition of amyloid-β fibrils rate; reduce the degree of amyloid-β deposition; inhibit, reduce or prevent the formation of amyloid-β fibrils; inhibit amyloid-β-induced neurodegeneration or cytotoxicity; inhibit amyloid-β-induced inflammation ; enhance the clearance of amyloid-β from the brain; or promote greater metabolism of Aβ.

本发明治疗化合物在进入大脑(透过血脑屏障)或从外周释出后能有效地控制淀粉样蛋白-β沉积。当从外周起作用时,化合物可改变大脑和血浆之间Aβ的平衡,从而有利于Aβ从大脑中清除。增加Aβ从大脑的清除可降低大脑Aβ的浓度,从而便于Aβ沉淀的减少。另外,透过大脑的化合物通过直接作用于大脑Aβ,例如,通过使其保持在非原纤维形式、或促进其从大脑的清除的方式来控制沉积。这些化合物可以减慢APP进程,可以通过巨噬细胞或神经元细胞提高Aβ原纤维的降解;或者可以通过活化的小神经胶质减少Aβ原纤维的降解。这些化合物也可以防止大脑中的Aβ与细胞表面相互作用,从而防止神经毒性、神经变性或炎症。Therapeutic compounds of the invention are effective in controlling amyloid-[beta] deposition upon entry into the brain (crossing the blood-brain barrier) or release from the periphery. When acting peripherally, the compounds alter the balance of Aβ between the brain and plasma, thereby favoring the clearance of Aβ from the brain. Increased clearance of A[beta] from the brain reduces brain A[beta] concentrations, thereby facilitating a reduction in A[beta] deposition. In addition, brain-penetrating compounds control deposition by acting directly on brain A[beta], eg, by maintaining it in a non-fibrillar form, or promoting its clearance from the brain. These compounds can slow down the APP process, can increase the degradation of Aβ fibrils by macrophages or neurons; or can reduce the degradation of Aβ fibrils by activated microglia. These compounds also prevent Aβ in the brain from interacting with the cell surface, thereby preventing neurotoxicity, neurodegeneration or inflammation.

在一个优选实施方案中,这种方法用于治疗阿耳茨海默氏病(例如散发性或家族性的AD)。还可以预防性或治疗性地使用这种方法来治疗发生淀粉样蛋白-β沉积的其他临床疾病,例如用于唐氏(Down)综合症个体和患有脑淀粉样血管病(“CAA”),或遗传性脑出血或早期阿耳茨海默氏病的患者。In a preferred embodiment, this method is used to treat Alzheimer's disease (eg, sporadic or familial AD). This approach can also be used prophylactically or therapeutically to treat other clinical conditions in which amyloid-beta deposition occurs, such as in individuals with Down syndrome and those with cerebral amyloid angiopathy ("CAA") , or patients with hereditary cerebral hemorrhage or early Alzheimer's disease.

在另一个实施方案中,所述方法用于治疗轻度认知损伤。轻度认知损伤(“MCI”)是一种以认识能力处于轻度但可测量的损伤状态为特征的病症,与痴呆症的存在不一定有关。MCI通常(但非必然)发生在阿耳茨海默氏病之前。In another embodiment, the method is for the treatment of mild cognitive impairment. Mild cognitive impairment ("MCI") is a condition characterized by a state of mild but measurable impairment in cognitive abilities, not necessarily related to the presence of dementia. MCI usually (but not necessarily) precedes Alzheimer's disease.

另外,已经证明APP和淀粉样-β蛋白在肌肉纤维中的异常蓄积与散发性包涵体肌炎(IBM)存在病理学关联(Askanas等,(1996)Proc.Natl.Acad.Sci.USA 93,1314-1319;Askanas等,(1995)CurrentOpinion in Rheumatology 7,486-496)。因此,本发明的化合物可以预防性或治疗性地用于治疗其中淀粉样β蛋白在非神经区域异常沉积导致的疾病,例如通过将本发明化合物传递到肌肉纤维来治疗IBM。In addition, abnormal accumulation of APP and amyloid-β proteins in muscle fibers has been demonstrated to be pathologically associated with sporadic inclusion body myositis (IBM) (Askanas et al., (1996) Proc.Natl.Acad.Sci.USA 93, 1314-1319; Askanas et al., (1995) Current Opinion in Rheumatology 7, 486-496). Thus, the compounds of the present invention can be used prophylactically or therapeutically in the treatment of diseases in which amyloid beta protein is abnormally deposited in non-neural areas, for example in the treatment of IBM by delivering the compounds of the present invention to muscle fibers.

此外,已经证明,Aβ与称为脉络膜疣(drusen)的异常胞外沉积有关,这种沉积物涉及年龄相关的黄斑变性(ARMD)个体中沿着视网膜醛色素上皮的基底面积。ARMD是老年个体不可逆性失明的病因。据信,Aβ的沉积是局部炎症行为的重要组成成分,而这种炎症行为会对视网膜黄斑变性萎缩、脉络膜疣的生物形成、和ARMD的发病机理产生影响(Johnson等,Proc.Natl.Acad.Sci.USA 99(18),11830-5(2002))。Furthermore, A[beta] has been shown to be associated with abnormal extracellular deposits called drusen, which are involved in the basal area along the retinal pigment epithelium in individuals with age-related macular degeneration (ARMD). ARMD is a cause of irreversible blindness in elderly individuals. Aβ deposition is believed to be an important component of the local inflammatory behavior that contributes to macular degeneration atrophy, drusen biogenesis, and the pathogenesis of ARMD (Johnson et al., Proc. Natl. Acad. Sci. USA 99(18), 11830-5(2002)).

在另一个实施方案中,本发明还涉及治疗或预防患者(优选人)的淀粉样相关疾病的方法,其包括:给患者给用治疗量的下式或本文另外描述的化合物,从而降低或抑制淀粉样原纤维的形成或沉积、神经变性、或细胞毒性。在另一个实施方案中,本发明涉及一种治疗或预防患者(优选人)淀粉样相关疾病的方法,其包括给患者给药治疗量的下式或本说明书另外描述的化合物,从而改善或稳定脑淀粉样变性(例如,阿尔茨海默氏病、唐氏综合症或大脑淀粉样血管病)患者的认知功能,或防止、减缓、或阻止这些患者的认知功能的进一步恶化。这些化合物还可以改善这些患者的日常生活质量。In another embodiment, the present invention also relates to a method of treating or preventing an amyloid-related disease in a patient (preferably a human), comprising: administering to the patient a therapeutic amount of a compound of the following formula or otherwise described herein, thereby reducing or inhibiting Formation or deposition of amyloid fibrils, neurodegeneration, or cytotoxicity. In another embodiment, the present invention relates to a method of treating or preventing amyloid-related diseases in a patient (preferably a human), which comprises administering to the patient a therapeutic amount of a compound of the following formula or otherwise described in this specification, thereby improving or stabilizing Cognitive function in patients with cerebral amyloidosis (eg, Alzheimer's disease, Down syndrome or cerebral amyloid angiopathy), or prevent, slow down, or stop further deterioration of cognitive function in these patients. These compounds may also improve the quality of daily life of these patients.

本发明的治疗化合物可以通过例如稳定血糖、预防或减少β细胞量的损失、减少或预防由于β细胞数量减少而导致的高血糖、和调整(例如提高或稳定)胰岛素的产生来治疗与II型糖尿病相关的淀粉样变性。本发明的化合物也可以稳定pro-IAPP/IAPP的浓度比例。Therapeutic compounds of the invention can treat patients with type II disorders by, for example, stabilizing blood sugar, preventing or reducing loss of beta cell mass, reducing or preventing hyperglycemia due to decreased beta cell number, and modulating (e.g., increasing or stabilizing) insulin production. Diabetes-related amyloidosis. Compounds of the invention can also stabilize the pro-IAPP/IAPP concentration ratio.

本发明的治疗化合物还可以通过稳定肾功能、减少蛋白尿、提高肌酸酐清除率(例如至少50%或更高或至少100%或更高)、或通过引起缓解慢性腹泻、体重增加(例如,10%或更大)、或通过降低血清肌酸酐用于治疗AA(继发性)淀粉样变性和/或AL(原发性)淀粉样变性。还可以降低例如根据SAP闪烁照相术测定的内脏淀粉样蛋白的含量。Therapeutic compounds of the invention can also be used by stabilizing renal function, reducing proteinuria, increasing creatinine clearance (e.g., at least 50% or higher or at least 100% or higher), or by causing relief from chronic diarrhea, weight gain (e.g., 10% or greater), or by lowering serum creatinine for the treatment of AA (secondary) amyloidosis and/or AL (primary) amyloidosis. It is also possible to reduce the content of visceral amyloid, eg as determined by SAP scintigraphy.

本发明化合物Compounds of the invention

本发明至少部分涉及某些化合物(及其药物制剂)在预防或治疗淀粉样相关疾病中的用途,所述疾病尤其包括阿耳茨海默氏病、大脑淀粉样血管病、包涵体肌炎、唐氏综合症、糖尿病相关性淀粉样变性,透析相关性淀粉样变性(β2M)、原发性淀粉样变性(例如λ或κ链相关的)、家族性淀粉样多神经病(FAP)、老年性系统性淀粉样变性、家族性淀粉样变性、奥斯特塔格型非神经病淀粉样变性、颅神经病、遗传性脑出血、家族性痴呆症、慢性透析病、家族性克雅氏病;格-施-沙综合症、遗传性海绵状脑病,朊病毒病、家族性地中海热、穆-韦综合症,肾病,耳聋,荀麻疹,四肢痛、心肌病、皮肤沉淀、多发性骨髓瘤、良性单克隆丙种球蛋白病、巨球蛋白血症、骨髓瘤相关性淀粉样变性、甲状腺骨髓癌、和孤立的心房淀粉样。The present invention relates at least in part to the use of certain compounds (and pharmaceutical preparations thereof) for the prevention or treatment of amyloid-related diseases, including, inter alia, Alzheimer's disease, cerebral amyloid angiopathy, inclusion body myositis, Down syndrome, diabetes-associated amyloidosis, dialysis-associated amyloidosis (β2M ), primary amyloidosis (e.g. λ or κ chain-associated), familial amyloid polyneuropathy (FAP), Senile systemic amyloidosis, familial amyloidosis, Ostertag-type non-neuropathy amyloidosis, cranial neuropathy, hereditary cerebral hemorrhage, familial dementia, chronic dialysis disease, familial Creutzfeldt-Jakob disease; Ge-Sch-Sand Syndrome, Hereditary Spongiform Encephalopathy, Prion Disease, Familial Mediterranean Fever, Mu-Wei Syndrome, Kidney Disease, Deafness, Measles, Limb Pain, Cardiomyopathy, Skin Precipitation, Multiple Myeloma, Benign monoclonal gammopathy, macroglobulinemia, myeloma-associated amyloidosis, thyroid myeloid carcinoma, and isolated atrial amyloid.

本文的化学结构是按照本领域已知的常规标准绘制的。因此,当所绘制的原子,例如碳原子,看上去具有不饱和的化合价时,则假定该化合价是用氢原子来满足的,即使氢原子未被明确画出也如此。一些本发明化合物的结构包括立体生成碳原子。应当理解,除另有说明外,由这种不对称性产生的异构体(例如所有的对映体和非对映体)也包括在本发明的范围内。亦即,除另有规定外,任何手性碳原子可以具有(R)-或(S)-的立体化学。利用经典的分离技术和立体化学控制的合成方法,可以得到基本上纯形式的这类异构体。此外,当合适时,烯烃可以包括E-或Z-几何学构型。另外,本发明化合物可以非溶剂化形式、以及与可接受的溶剂如水、THF、乙醇等形成的溶剂化形式存在。通常,就本发明的目的而言,溶剂化形式被认为等同于非溶剂化的形式。Chemical structures herein are drawn according to conventional standards known in the art. Thus, when an atom, such as a carbon atom, is drawn that appears to have an unsaturated valence, it is assumed that the valence is satisfied by a hydrogen atom, even if the hydrogen atom is not explicitly drawn. The structures of some of the compounds of the invention include stereogenic carbon atoms. It is to be understood that isomers resulting from this asymmetry (eg, all enantiomers and diastereomers) are also included within the scope of the invention unless otherwise stated. That is, unless otherwise specified, any chiral carbon atom can have (R)- or (S)-stereochemistry. Such isomers can be obtained in substantially pure form using classical separation techniques and stereochemically controlled synthesis. In addition, alkenes may include E- or Z-geometry, where appropriate. Additionally, the compounds of the present invention can exist in unsolvated as well as solvated forms with acceptable solvents such as water, THF, ethanol, and the like. In general, the solvated forms are considered equivalent to the unsolvated forms for the purposes of the present invention.

“小分子”是指其本身非基因转录和翻译的产品(例如蛋白质、RNA、或DNA)的化合物,并且优选具有低分子量,例如低于2500amu。"Small molecule" refers to a compound that is not itself a product of gene transcription and translation (eg, protein, RNA, or DNA), and preferably has a low molecular weight, eg, below 2500 amu.

通常,“亲核试剂”是本领域公知的表示具有活性电子对的化学基团,通过置换离去基团(一般为另一种亲核试剂)与化合物反应,这种反应在脂肪族化学中通常以单分子(称为”SN1”)或双分子(称为”SN2”)反应的形式出现。亲核试剂的实例包括无荷化合物例如胺、硫醇化合物、和醇化合物,以及带电荷基团如醇根、硫醇根、负碳离子,以及各种有机和无机阴离子。代表性的阴离子型亲核试剂尤其包括简单阴离子,如叠氮化物、氰化物、硫氰化物、乙酸根、甲酸根、或氯甲酸根,以及亚硫酸氢根。在适当的反应条件下,有机金属试剂如有机铜酸盐、有机锌、有机锂、格利雅试剂、烯醇盐和乙炔化物将是合适的亲核试剂。In general, "nucleophile" is an art-recognized term for a chemical group having an active pair of electrons that reacts with a compound by displacing a leaving group (typically another nucleophile), a reaction known in aliphatic chemistry It usually occurs as a unimolecular (termed "SN 1") or bimolecular (termed "SN 2") reaction. Examples of nucleophiles include uncharged compounds such as amines, thiol compounds, and alcohol compounds, and charged groups such as alcoholates, thiolates, carbanions, and various organic and inorganic anions. Representative anionic nucleophiles include simple anions such as azide, cyanide, thiocyanide, acetate, formate, or chloroformate, and bisulfite, among others. Under appropriate reaction conditions, organometallic reagents such as organocuprates, organozincs, organolithium, Grignard reagents, enolates and acetylides would be suitable nucleophiles.

同样,“亲电试剂”是指能接受电子对,特别是来自于亲核试剂的电子对(典型的是在亲电取代反应过程中发生)的原子、分子、或离子。在亲电取代反应中,亲电试剂与底物结合,同时驱逐另一种亲电试剂,例如,用另一种亲电试剂如硝鎓离子取代芳族底物(例如苯)上的质子。亲电试剂包括环状化合物如环氧化物,环乙亚胺类,环硫化物,环状硫酸酯,碳酸酯,内酯,和内酰胺;并且非环状亲电试剂包括硫酸基,磺酸基(例如甲苯磺酸基),氯化物,溴化物,和碘化物。通常,亲电试剂可以是与离去基团结合的饱和碳原子(例如亚甲基基团);但是,亲电基团也可以是不饱和基团,如醛、酮、酯、或其共轭(α,β不饱和的)类似物,依据反应可以与亲核试剂形成加合物。Likewise, "electrophile" refers to an atom, molecule, or ion capable of accepting a pair of electrons, especially from a nucleophile (typically occurring during an electrophilic substitution reaction). In an electrophilic substitution reaction, an electrophile binds to a substrate while expelling another electrophile, for example, replacing a proton on an aromatic substrate (eg, benzene) with another electrophile, such as a nitronium ion. Electrophiles include cyclic compounds such as epoxides, ethyleneimines, episulfides, cyclic sulfates, carbonates, lactones, and lactams; and acyclic electrophiles include sulfates, sulfonic acids groups (such as tosylate), chlorides, bromides, and iodides. Typically, the electrophile can be a saturated carbon atom (e.g., a methylene group) bound to a leaving group; however, the electrophile can also be an unsaturated group, such as an aldehyde, ketone, ester, or co- Conjugated (α,β-unsaturated) analogues can form adducts with nucleophiles depending on the reaction.

术语“离去基团”通常是指易被亲核试剂(例如胺、硫醇、醇、或氰化物)置换和取代的基团。这类离去基团是公知的,并且包括羧酸盐(酯)类、N-羟基琥珀酰亚胺(“NHS”)、N-羟基苯并三唑、卤素(氟、氯、溴、或碘)、醇盐、和硫醇盐。各种基于硫的离去基团常用于合成化学,包括烷烃磺酰氧基(例如C1-C4烷烃例如甲烷磺酰氧基,乙烷磺酰氧基,丙烷磺酰氧基,和丁烷磺酰氧基)和卤代类似物(例如,卤代(C1-C4)烷烃)磺酰氧基,譬如三氟甲烷磺酰氧基(即三氟甲磺酰氧基)、2,2,2-三氯乙烷磺酰氧基、3,3,3-三溴丙烷磺酰氧基、和4,4,4-三氟丁烷磺酰氧基),以及芳基磺酰氧基(例如任选被1-3个C1-C4烷基取代的C6-C10芳基,譬如苯磺酰氧基,α-萘基磺酰氧基、β-萘基磺酰氧基,对-甲苯磺酰氧基(即甲苯磺酸酯)、4-叔丁基苯磺酰氧基、均三甲苯磺酰氧基、和6-乙基-α-萘基磺酰氧基)。The term "leaving group" generally refers to a group that is easily displaced and substituted by a nucleophile such as an amine, thiol, alcohol, or cyanide. Such leaving groups are well known and include carboxylates, N-hydroxysuccinimide ("NHS"), N-hydroxybenzotriazole, halogens (fluorine, chlorine, bromine, or iodine), alkoxides, and thiolates. A variety of sulfur-based leaving groups are commonly used in synthetic chemistry, including alkanesulfonyloxy (e.g. C1 -C4 alkanes such as methanesulfonyloxy, ethanesulfonyloxy, propanesulfonyloxy, and butanesulfonyloxy) alkanesulfonyloxy) and halogenated analogs (e.g., halo(C1 -C4 )alkane)sulfonyloxy, such as trifluoromethanesulfonyloxy (i.e., trifluoromethanesulfonyloxy), 2 , 2,2-trichloroethanesulfonyloxy, 3,3,3-tribromopropanesulfonyloxy, and 4,4,4-trifluorobutanesulfonyloxy), and arylsulfonyl Oxygen (e.g. C6 -C10 aryl optionally substituted by 1-3 C1 -C4 alkyl, such as benzenesulfonyloxy, α-naphthylsulfonyloxy, β-naphthylsulfonyl Oxygen, p-toluenesulfonyloxy (ie, tosylate), 4-tert-butylbenzenesulfonyloxy, mesitylenesulfonyloxy, and 6-ethyl-α-naphthylsulfonyloxy base).

“活化酯”可以用式-COL表示,其中L为离去基团,其典型实例包括N-羟基磺基琥珀酰亚胺基和N-羟基琥珀酰亚胺基;被吸电子基团(例如对-硝基、五氟、五氯、或对-三氟甲基)取代的芳氧基;以及被碳化二亚胺活化的羧酸所形成的酸酐或混酐,例如-OCORa或-OCNRaNHRb,其中Ra和Rb独立地为C1-C6烷基,C5-C8烷基(例如环己基),C1-C6全氟烷基,或C1-C6烷氧基。活化酯可以就地形成或者也可以是可分离的试剂。磺基琥珀酰亚胺基酯、五氟苯硫酚酯、磺基四氟苯酚是优选的活化酯。而且,所述酯离去基团可以是例如取代的或未取代的C1-C6烷基(例如甲基、乙基、丙基、异丙基、丁基、异丁基、仲丁基、叔丁基、戊基或己基),或取代的或未取代的C6-C14芳基或杂环基,譬如2-氟乙基、2-氯乙基、2-溴乙基、2,2-二溴乙基、2,2,2-三氯乙基、3-氟丙基、4-氯丁基、甲氧基甲基、1,1-二甲基-1-甲氧基甲基、乙氧基甲基、N-丙氧基甲基、异丙氧基甲基、N-丁氧基甲基、叔丁氧基甲基、1-乙氧基乙基、1-甲基-1-甲氧基乙基、1-(异丙氧基)乙基、3-甲氧基丙基-4-甲氧基丁基、氟代甲氧基甲基、2,2,2-三氯乙氧基甲基、双(2-氯乙氧基)甲基、3-氟丙氧基甲基、4-氯丁氧基乙基、二溴甲氧基乙基、2-氯乙氧基丙基、氟代甲氧基丁基、2-甲氧基乙氧基甲基、乙氧基甲氧基乙基、甲氧基乙氧基丙基、甲氧基乙氧基丁基、苄基、苯乙基、3-苯基丙基、4-苯基丁基、α-萘基甲基、β-萘基甲基、二苯基甲基、三苯基甲基、α-萘基二苯基甲基、9-蒽基甲基、4-甲基苄基、2,4,6-三甲基苄基、3,4,5-三甲基苄基、4-甲氧基苄基、4-甲氧基苯基二苯基甲基、2-硝基苄基、4-硝基苄基、4-氯苄基、4-溴苄基、4-氰基苄基、4-氰基苄基二苯基甲基、或双(2-硝基苯基)甲基。"Activated ester" can be represented by the formula -COL, where L is a leaving group, typical examples of which include N-hydroxysulfosuccinimide and N-hydroxysuccinimide; electron-withdrawing groups (e.g. p-nitro, pentafluoro, pentachloro, or p-trifluoromethyl) substituted aryloxy groups; and anhydrides or mixed anhydrides of carboxylic acids activated by carbodiimide, such as -OCORa or -OCNRa NHRb , wherein Ra and Rb are independently C1 -C6 alkyl, C5 -C8 alkyl (such as cyclohexyl), C1 -C6 perfluoroalkyl, or C1 -C6 alkoxy. Activated esters can be formed in situ or can also be separable reagents. Sulfosuccinimidyl esters, pentafluorothiophenol esters, sulfotetrafluorophenol are preferred activated esters. Furthermore, the ester leaving group can be, for example, a substituted or unsubstituted C1 -C6 alkyl group (e.g. methyl, ethyl, propyl, isopropyl, butyl, isobutyl, sec-butyl , tert-butyl, pentyl or hexyl), or substituted or unsubstituted C6 -C14 aryl or heterocyclic groups, such as 2-fluoroethyl, 2-chloroethyl, 2-bromoethyl, 2 , 2-dibromoethyl, 2,2,2-trichloroethyl, 3-fluoropropyl, 4-chlorobutyl, methoxymethyl, 1,1-dimethyl-1-methoxy Methyl, ethoxymethyl, N-propoxymethyl, isopropoxymethyl, N-butoxymethyl, tert-butoxymethyl, 1-ethoxyethyl, 1-methyl Base-1-methoxyethyl, 1-(isopropoxy)ethyl, 3-methoxypropyl-4-methoxybutyl, fluoromethoxymethyl, 2,2,2 - Trichloroethoxymethyl, bis(2-chloroethoxy)methyl, 3-fluoropropoxymethyl, 4-chlorobutoxyethyl, dibromomethoxyethyl, 2-chloro Ethoxypropyl, fluoromethoxybutyl, 2-methoxyethoxymethyl, ethoxymethoxyethyl, methoxyethoxypropyl, methoxyethoxybutyl Base, benzyl, phenethyl, 3-phenylpropyl, 4-phenylbutyl, α-naphthylmethyl, β-naphthylmethyl, diphenylmethyl, triphenylmethyl, α -Naphthyldiphenylmethyl, 9-anthracenylmethyl, 4-methylbenzyl, 2,4,6-trimethylbenzyl, 3,4,5-trimethylbenzyl, 4-methylbenzyl Oxybenzyl, 4-methoxyphenyldiphenylmethyl, 2-nitrobenzyl, 4-nitrobenzyl, 4-chlorobenzyl, 4-bromobenzyl, 4-cyanobenzyl , 4-cyanobenzyldiphenylmethyl, or bis(2-nitrophenyl)methyl.

术语“吸电子基团”是本领域公知的,它描述了取代基从邻原子吸引价电子(例如π电子)的能力,例如取代基的电负性要大于邻原子,与相同位置的氢原子相比,它具有更强的吸引电子到其自身上的能力。哈米特(Hammett)σ值,尤其是σp值,是公认的表示基团给电子和吸电子能力的量度。例如,参见J.March的“高级有机化学”(Advanced Organic Chemistry),第5版,John Wiley & Sons,Inc.,New York,pp.368-75(2001)。给电子基团的哈米特常数值通常为负值(NH2的σp=-0.66),吸电子基团为正值(硝基的σp=0.78),σp代表对位取代。示例性的吸电子基团尤其包括硝基,酰基(酮),甲酰基(醛),磺酰基,三氟甲基,卤素(例如氯和氟),以及氰基等等。相反,“给电子基团”是指这种取代基,它给出电子的能力大于分子中占据相同位置的氢的能力。其实例尤其包括氨基(包括烷基氨基和二烷基氨基),芳基,烷氧基(包括芳烷氧基),芳氧基,巯基和烷硫基,以及羟基。The term "electron-withdrawing group" is well-known in the art, and it describes the ability of a substituent to attract valence electrons (such as π electrons) from adjacent atoms, for example, the electronegativity of the substituent is greater than that of the adjacent atom, and the hydrogen atom at the same position It has a stronger ability to attract electrons to itself than The Hammett σ value, especially the σp value, is a recognized measure of the electron-donating and electron-withdrawing capabilities of a group. See, eg, "Advanced Organic Chemistry" by J. March, 5th ed., John Wiley & Sons, Inc., New York, pp. 368-75 (2001). The value of Hammett's constant for electron-donating groups is usually negative (σp = -0.66 for NH2 ), positive for electron-withdrawing groups (σp = 0.78 for nitro), and σp represents para-substitution. Exemplary electron withdrawing groups include nitro, acyl (ketone), formyl (aldehyde), sulfonyl, trifluoromethyl, halogens (eg, chlorine and fluorine), and cyano, among others. In contrast, "electron-donating group" refers to a substituent whose ability to donate an electron is greater than that of a hydrogen occupying the same position in the molecule. Examples thereof include amino (including alkylamino and dialkylamino), aryl, alkoxy (including aralkoxy), aryloxy, mercapto and alkylthio, and hydroxy, among others.

本文使用的“烷基”包括含有一个或多个碳原子的饱和烃,包括直链烷基(例如甲基、乙基、丙基、丁基、戊基、己基、庚基、辛基、壬基、癸基等),环状烷基(或“环烷基”或“脂环”或“碳环”基团)(例如环丙基、环戊基、环己基、环庚基、环辛基等),支链烷基(包括异丙基、叔丁基、仲丁基、异丁基等),以及烷基取代的烷基基团(例如烷基取代的环烷基基团和环烷基取代的烷基基团)。术语“脂族基”包括以通常含有1-22个碳原子的直链或支链为特征的有机部分。在复杂结构中,所述链可以是支链、桥状或交联的。脂族基包括烷基、链烯基、和炔基。"Alkyl" as used herein includes saturated hydrocarbons containing one or more carbon atoms, including straight-chain alkyl groups (e.g., methyl, ethyl, propyl, butyl, pentyl, hexyl, heptyl, octyl, nonyl decyl, decyl, etc.), cyclic alkyl (or "cycloalkyl" or "alicyclic" or "carbocyclic" groups) (such as cyclopropyl, cyclopentyl, cyclohexyl, cycloheptyl, cyclooctyl groups, etc.), branched alkyl groups (including isopropyl, tert-butyl, sec-butyl, isobutyl, etc.), and alkyl-substituted alkyl groups (such as alkyl-substituted cycloalkyl groups and ring Alkyl substituted alkyl groups). The term "aliphatic" includes organic moieties characterized by straight or branched chains typically containing 1-22 carbon atoms. In complex structures, the chains may be branched, bridged or cross-linked. Aliphatic groups include alkyl, alkenyl, and alkynyl groups.

在某些实施方案中,直链或支链烷基的骨架上可以具有30个或更少的碳原子,例如直链C1-C30或支链C3-C30。在某些实施方案中,直链或支链烷基的骨架上可以具有20个或更少的碳原子(例如直链C1-C20或支链C3-C20),更优选具有18个或更少个碳原子。同样,环烷基的环结构优选具有4-10个碳原子,更优选具有4-7个碳原子。术语“低级烷基”是指链中具有1-6个碳原子的烷基,并且也指环结构中具有3-6个碳的环烷基基团。In certain embodiments, the straight chain or branched chain alkyl group may have 30 or fewer carbon atoms in the backbone, such as straight chain C1 -C30 or branched chain C3 -C30 . In certain embodiments, straight or branched chain alkyl groups may have 20 or fewer carbon atoms in their backbone (e.g. straight chain C1 -C20 or branched chain C3 -C20 ), more preferably 18 carbon atoms or less. Likewise, the ring structure of the cycloalkyl group preferably has 4-10 carbon atoms, more preferably 4-7 carbon atoms. The term "lower alkyl" refers to an alkyl group having 1-6 carbon atoms in the chain, and also refers to a cycloalkyl group having 3-6 carbon atoms in the ring structure.

除对碳原子数另有说明的以外,本文所使用的“低级脂族”、“低级烷基”、“低级链烯基”等中的“低级”是指具有至少一个但少于约8个碳原子的部分。在某些实施方案中,直链或支链低级烷基的骨架上具有6个或更少的碳原子(例如直链C1-C6,支链C3-C6),且更优选具有4个或更少的碳原子。同样,环烷基的环结构优选具有3-8个碳原子,更优选具有5或6个碳原子。术语“C1-C6烷基”中的“C1-C6”是指包含1-6个碳原子的烷基。Unless otherwise stated for the number of carbon atoms, "lower" in "lower aliphatic", "lower alkyl", "lower alkenyl" and the like used herein means having at least one but less than about 8 parts of carbon atoms. In certain embodiments, the straight chain or branched lower alkyl has 6 or fewer carbon atoms in its backbone (e.g. straight chain C1 -C6 , branched chain C3 -C6 ), and more preferably has 4 or fewer carbon atoms. Likewise, the cycloalkyl ring structure preferably has 3 to 8 carbon atoms, more preferably 5 or 6 carbon atoms. "C1 -C6 " in the term "C1 -C6 alkyl" refers to an alkyl group containing 1 to 6 carbon atoms.

此外,除另有说明外,术语烷基将包括“未取代的烷基”和“取代的烷基”,后者是指带有取代基的烷基,所述取代基取代了烃骨架一个或多个碳上的一个或多个氢原子。这些取代基可包括,例如,链烯基、炔基、卤素、羟基、烷基羰氧基、芳基羰氧基、烷氧基羰氧基、芳氧基、芳氧基羰氧基、羧酸基(carboxylate)、烷基羰基、芳基羰基、烷氧基羰基、氨基羰基、烷基氨基羰基、二烷基氨基羰基、烷硫基羰基、烷氧基、磷酸基(phosphate)、膦酸负基(phosphonato)、亚磷酸负基(phosphinato)、氰基、氨基(包括烷基氨基、二烷基氨基、芳基氨基、二芳基氨基、和烷基芳基氨基)、酰基氨基(包括烷基羰基氨基、芳基羰基氨基、氨基甲酰基和脲基)、亚氨基、巯基(sulfhydryl)、烷硫基、芳硫基、硫代羧酸基、硫酸基(sulfate)、烷基亚磺酰基、磺酸负基(sulfonato)、氨基磺酰基、亚磺酰氨基、硝基、三氟甲基、氰基、叠氮基、杂环基、烷基芳基、或芳族(包括杂芳族)基团。Furthermore, unless otherwise stated, the term alkyl shall include "unsubstituted alkyl" and "substituted alkyl", the latter of which refers to an alkyl group bearing substituents replacing one or more of the hydrocarbon backbone. One or more hydrogen atoms on multiple carbons. These substituents may include, for example, alkenyl, alkynyl, halogen, hydroxy, alkylcarbonyloxy, arylcarbonyloxy, alkoxycarbonyloxy, aryloxy, aryloxycarbonyloxy, carboxy Carboxylate, alkylcarbonyl, arylcarbonyl, alkoxycarbonyl, aminocarbonyl, alkylaminocarbonyl, dialkylaminocarbonyl, alkylthiocarbonyl, alkoxy, phosphate, phosphonic acid Negative group (phosphonato), phosphite negative group (phosphinato), cyano group, amino group (including alkylamino, dialkylamino, arylamino, diarylamino, and alkylarylamino), acylamino (including Alkylcarbonylamino, arylcarbonylamino, carbamoyl and ureido), imino, sulfhydryl, alkylthio, arylthio, thiocarboxylate, sulfate, alkylsulfinic acid Acyl, sulfonato, aminosulfonyl, sulfonamido, nitro, trifluoromethyl, cyano, azido, heterocyclyl, alkylaryl, or aromatic (including heteroaryl family) groups.

“芳基烷基”是指被芳基取代的烷基基团(例如苯甲基(即苄基))。“烷基芳基”部分是指被烷基取代的芳基基团(例如对甲基苯基(即对甲苯基))。术语“正-烷基”是指直链(即非支链)的未取代烷基。“亚烷基”是指相应烷基的二价类似物。术语“链烯基”和“炔基”是指类似于烷基的不饱和脂族基,但它们分别包含至少一个碳-碳双键或三键。适宜的链烯基和炔基包括具有2至大约12个碳原子(优选2至大约6个碳原子)的基团。"Arylalkyl" refers to an alkyl group substituted with an aryl group (eg, benzyl (ie, benzyl)). An "alkylaryl" moiety refers to an aryl group substituted with an alkyl group (eg, p-methylphenyl (ie, p-tolyl)). The term "n-alkyl" refers to a straight chain (ie, unbranched) unsubstituted alkyl group. "Alkylene" refers to the divalent analog of the corresponding alkyl group. The terms "alkenyl" and "alkynyl" refer to an unsaturated aliphatic group similar to an alkyl, but containing at least one carbon-carbon double or triple bond, respectively. Suitable alkenyl and alkynyl groups include groups having 2 to about 12 carbon atoms, preferably 2 to about 6 carbon atoms.

术语“芳族基”或“芳基”包括含有1个或多个环的不饱和且具芳香性的环状烃以及不饱和且具芳香性的杂环。芳基也可以与非芳香性的脂环或杂环稠合或桥连,从而形成多环(例如1,2,3,4-四氢化萘)。“亚芳基”是芳基的二价类似物。芳基也可以与非芳香性的脂环或杂环稠合或桥连,从而形成多环(例如1,2,3,4-四氢化萘)。The term "aromatic group" or "aryl group" includes unsaturated and aromatic cyclic hydrocarbons containing one or more rings and unsaturated and aromatic heterocycles. Aryl groups may also be fused or bridged with non-aromatic alicyclic or heterocyclic rings to form polycyclic rings (eg, tetralin). "Arylene" is a divalent analog of an aryl group. Aryl groups may also be fused or bridged with non-aromatic alicyclic or heterocyclic rings to form polycyclic rings (eg, tetralin).

术语“杂环基”包括类似于碳环基团的闭环结构,其中环中的一个或多个碳原子为非碳元素,例如为氮、硫、或氧。杂环基可以是饱和或不饱和的。另外,杂环基(例如吡咯基、吡啶基、异喹啉基、喹啉基、嘌呤基和呋喃基)可以具有芳香性质,在这种情况下它们可被称为“杂芳基”或“杂芳族基”。The term "heterocyclyl" includes ring-closed structures similar to carbocyclic groups, wherein one or more carbon atoms in the ring are non-carbon elements, such as nitrogen, sulfur, or oxygen. A heterocyclyl group can be saturated or unsaturated. In addition, heterocyclic groups (such as pyrrolyl, pyridyl, isoquinolyl, quinolinyl, purinyl, and furyl) may be of aromatic nature, in which case they may be referred to as "heteroaryl" or "heteroaryl" Heteroaromatic groups".

除另有规定外,芳基和杂环基(包括杂芳基)也可以在一个或多个组成原子上被取代。杂芳基和杂脂环基的实例可以具有1-3个孤立或稠合的环和一个或多个N、O、或S杂原子,其中每个环具有3-大约8个组成原子。通常,术语“杂原子”包括除碳或氢之外任何元素原子,其优选实例包括氮、氧、硫和磷。杂环基可以是饱和或不饱和或芳香性的。Unless otherwise specified, aryl and heterocyclyl (including heteroaryl) groups may also be substituted on one or more constituent atoms. Examples of heteroaryl and heteroalicyclic groups can have 1 to 3 isolated or fused rings and one or more N, O, or S heteroatoms, wherein each ring has 3 to about 8 constituent atoms. In general, the term "heteroatom" includes atoms of any element other than carbon or hydrogen, preferred examples of which include nitrogen, oxygen, sulfur and phosphorus. A heterocyclyl group can be saturated or unsaturated or aromatic.

杂环的实例包括但不限于吖啶基;吖辛因基;苯并咪唑基;苯并呋喃基;苯并异呋喃基;苯并噻吩基;苯并唑基;苯并噻唑基;苯并三唑基;苯并四唑基;苯并异唑基;苯并异噻唑基;苯并咪唑啉基;咔唑基;4aH-咔唑基;咔啉基;苯并二氢吡喃基;色烯基;1,2-二氮杂萘基;十氢喹啉基;2H,6H-1,5,2-二噻嗪基;二氢呋喃并[2,3-b]四氢呋喃;呋喃基;呋咱基;咪唑烷基;咪唑啉基;咪唑基;1H-吲唑基;假吲哚基(indolenyl);二氢吲哚基;吲嗪基;吲哚基;3H-吲哚基;异苯并呋喃基;异苯并二氢呋喃基;异吲唑基;异二氢吲哚基;异吲哚基;异喹啉基;异噻唑基;异唑基;亚甲二氧基苯基;吗啉基;萘啶基;八氢异喹啉基;二唑基;1,2,3-二唑基;1,2,4-二唑基;1,2,5-二唑基;1,3,4-二唑基;唑烷基;唑基;唑烷基;嘧啶基;菲啶基;菲咯啉基;吩嗪基;吩噻嗪基;吩噻基(phenoxathiinyl);吩嗪基;2,3-二氮杂萘基;哌嗪基;哌啶基;哌啶酮基;4-哌啶酮基;胡椒基;喋啶基;嘌呤基;吡喃基;吡嗪基;吡唑烷基;吡唑啉基;吡唑基;哒嗪基;吡啶并唑;吡啶并咪唑;吡啶并噻唑;吡啶基(pyridinyl);吡啶基(pyridyl);嘧啶基;吡咯烷基;吡咯啉基;2H-吡咯基;吡咯基;喹唑啉基;喹啉基;4H-喹嗪基;喹喔啉基;奎宁环基;四氢呋喃基;四氢异喹啉基;四氢喹啉基;四唑基;6H-1,2,5-噻二嗪基;1,2,3-噻二唑基;1,2,4-噻二唑基;1,2,5-噻二唑基;1,3,4-噻二唑基;噻蒽基;噻唑基;噻吩基;噻吩并噻唑基;噻吩并唑基;噻吩并咪唑基;噻吩基;三嗪基;1,2,3-三唑基;1,2,4-三唑基;1,2,5-三唑基;1,3,4-三唑基;和呫吨基。优选的杂环基包括但不限于吡啶基;呋喃基;噻吩基;吡咯基;吡唑基;吡咯烷基;咪唑基;吲哚基;苯并咪唑基;1H-吲唑基;唑烷基;苯并三唑基;苯并异唑基;羟吲哚基;苯并唑啉基;和靛红基(isatinoyl)。同样也包括包含例如上述杂环的稠环和螺环化合物。Examples of heterocycles include, but are not limited to, acridinyl; aziocinyl; benzimidazolyl; benzofuryl; benzisofuryl; benzothienyl; Triazolyl; Benzotetrazolyl; Benzoisoxazolyl; Benziisothiazolyl; Benzimidazolinyl; Carbazolyl; 4aH-carbazolyl; chromenyl; 1,2-naphthyridine; decahydroquinolinyl; 2H,6H-1,5,2-dithiazinyl; dihydrofuro[2,3-b]tetrahydrofuran; Furanyl; Furazanyl; Imidazolidinyl; Imidazolinyl; Imidazolyl; 1H-Indazolyl; isobenzofuryl; isobenzodihydrofuryl; isoindazolyl; isoindolinyl; isoindolyl; isoquinolyl; isothiazolyl; isoxazolyl; methylenedi oxyphenyl; morpholinyl; naphthyridinyl; octahydroisoquinolinyl; oxadiazolyl; 1,2,3-oxadiazolyl; 1,2,4-oxadiazolyl; 1,2 , 5-oxadiazolyl; 1,3,4-oxadiazolyl; oxazolidinyl; oxazolyl; oxazolidinyl; pyrimidinyl; Thiazinyl; phenoxathiinyl; phenoxazinyl; 2,3-diazinyl; piperazinyl; piperidinyl; piperidonyl; 4-piperidinonyl; piperonyl; Pteridinyl; purinyl; pyranyl; pyrazinyl; pyrazolidinyl; pyrazolinyl; pyrazolyl; pyridazinyl; pyridoxazole; pyridimidazole; pyridothiazole; pyridinyl ); pyridyl (pyridyl); pyrimidyl; pyrrolidinyl; pyrrolinyl; 2H-pyrrolyl; pyrrolyl; quinazolinyl; Base; Tetrahydrofuryl; Tetrahydroisoquinolyl; Tetrahydroquinolyl; Tetrazolyl; 6H-1,2,5-thiadiazinyl; 1,2,3-thiadiazolyl; 1,2, 4-thiadiazolyl; 1,2,5-thiadiazolyl; 1,3,4-thiadiazolyl; thianthranyl; thiazolyl; thienyl; thienothiazolyl; thienooxazolyl; Thienoimidazolyl; thienyl; triazinyl; 1,2,3-triazolyl; 1,2,4-triazolyl; 1,2,5-triazolyl; 1,3,4-triazole base; and xanthene base. Preferred heterocyclic groups include, but are not limited to, pyridyl; furyl; thienyl; pyrrolyl; pyrazolyl; pyrrolidinyl; imidazolyl; indolyl; benzotriazolyl; benzisoxazolyl; oxindolyl; benzoxazolinyl; and isatinoyl. Also included are fused ring and spiro compounds containing, for example, the aforementioned heterocycles.

普通的烃芳基是具有一个环的苯基。两个环的烃芳基包括萘基、茚基、苯并环辛烯基、苯并环庚烯基、并环戊二烯基和奥基,及其部分氢化类似物如2,3-二氢茚基和四氢萘基。示例性的三环烃芳基包括苊烯基、芴基、非那烯基、菲基和蒽基。A common aryl group is a phenyl group with one ring. Two-ring hydrocarbon aryls include naphthyl, indenyl, benzocyclooctenyl, benzocycloheptenyl, pentalenyl and azulenyl, and their partially hydrogenated analogs such as 2,3-di hydroindenyl and tetrahydronaphthyl. Exemplary tricyclic aryl groups include acenaphthenyl, fluorenyl, phenalenyl, phenanthrenyl, and anthracenyl.

芳基也包括杂单环芳基,亦即单环杂芳基,如噻吩基、呋喃基、吡喃基、吡咯基、咪唑基、吡唑基、吡啶基、吡嗪基、嘧啶基和哒嗪基;以及它们的氧化类似物如吡啶酮基,唑酮基、吡唑酮基、异唑酮基、和噻唑酮基。相应的氢化(即非芳香性)杂单环基包括吡咯烷基,吡咯啉基,咪唑烷基,咪唑啉基,吡唑烷基,吡唑啉基,哌啶基和哌啶子基,哌嗪基,以及吗啉代和吗啉基。Aryl also includes heteromonocyclic aryl, i.e. monocyclic heteroaryl, such as thienyl, furyl, pyranyl, pyrrolyl, imidazolyl, pyrazolyl, pyridyl, pyrazinyl, pyrimidinyl and pyridyl and their oxidized analogues such as pyridinonyl, oxazolonyl, pyrazolonyl, isoxazolonyl, and thiazolonyl. Corresponding hydrogenated (i.e. non-aromatic) heteromonocyclic groups include pyrrolidinyl, pyrrolinyl, imidazolidinyl, imidazolinyl, pyrazolidinyl, pyrazolinyl, piperidinyl and piperidino, piperidino azinyl, and morpholino and morpholinyl.

芳基也包括稠合的双环杂芳基,如吲哚基、异吲哚基、吲嗪基、吲唑基、喹啉基、异喹啉基、吩嗪基、喹喔啉基、喹唑啉基、噌啉基、色烯基、异色烯基、苯并噻吩基、苯并咪唑基、苯并噻唑基、嘌呤基、喹嗪基、异喹诺酮基、喹诺酮基、萘啶基、和喋啶基,以及部分氢化类似物譬如苯并二氢吡喃基、异苯并二氢吡喃基、2,3-二氢吲哚基,异二氢吲哚基,和四氢吲哚基。芳基还包括稠合的三环基团,譬如吩噻基(phenoxathiinyl),咔唑基,菲啶基,吖啶基,萘嵌间二氮苯基,菲咯啉基,吩嗪基,吩噻嗪基,吩嗪基,和二苯并呋喃基。Aryl also includes fused bicyclic heteroaryls such as indolyl, isoindolyl, indolyl, indazolyl, quinolinyl, isoquinolyl, phenazinyl, quinoxalinyl, quinazolyl Linyl, cinnolinyl, chromenyl, isochromenyl, benzothienyl, benzimidazolyl, benzothiazolyl, purinyl, quinolinyl, isoquinolonyl, quinolonyl, naphthyridinyl, and pteridyl, and partially hydrogenated analogs such as chromanyl, isochromanyl, 2,3-dihydroindolyl, isoindolinyl, and tetrahydroindolyl . Aryl also includes fused tricyclic groups, such as phenoxathiinyl, carbazolyl, phenanthridinyl, acridinyl, naphthiazyl, phenanthrolinyl, phenazinyl, Phenothiazinyl, phenoxazinyl, and dibenzofuranyl.

一些典型的芳基包括取代或未取代的5-和6-元单环基团。在另一个方面中,每个Ar基团选自取代或未取代的苯基、吡咯基、呋喃基、噻吩基、噻唑基、异噻唑基、咪唑基、三唑基、四唑基、吡唑基、唑基、异唑基、吡啶基、吡嗪基、哒嗪基、和嘧啶基。更多的实例包括取代或未取代的苯基、1-萘基、2-萘基、联苯基、1-吡咯基、2-吡咯基、3-吡咯基、3-吡唑基、2-咪唑基、4-咪唑基、吡嗪基、2-唑基、4-唑基、5-唑基、3-异唑基、4-异唑基、5-异唑基、2-噻唑基、4-噻唑基、5-噻唑基、2-呋喃基、3-呋喃基、2-噻吩基、3-噻吩基、2-吡啶基、3-吡啶基、4-吡啶基、2-嘧啶基、4-嘧啶基、5-苯并噻唑基、嘌呤基、2-苯并咪唑基、5-吲哚基、1-异喹啉基、5-异喹啉基、2-喹喔啉基、5-喹喔啉基、3-喹啉基、和6-喹啉基基团。Some typical aryl groups include substituted or unsubstituted 5- and 6-membered monocyclic groups. In another aspect, each Ar group is selected from substituted or unsubstituted phenyl, pyrrolyl, furyl, thienyl, thiazolyl, isothiazolyl, imidazolyl, triazolyl, tetrazolyl, pyrazole oxazolyl, isoxazolyl, pyridyl, pyrazinyl, pyridazinyl, and pyrimidinyl. Further examples include substituted or unsubstituted phenyl, 1-naphthyl, 2-naphthyl, biphenyl, 1-pyrrolyl, 2-pyrrolyl, 3-pyrrolyl, 3-pyrazolyl, 2- Imidazolyl, 4-imidazolyl, pyrazinyl, 2-oxazolyl, 4-oxazolyl, 5-oxazolyl, 3-isoxazolyl, 4-isoxazolyl, 5-isoxazolyl , 2-thiazolyl, 4-thiazolyl, 5-thiazolyl, 2-furyl, 3-furyl, 2-thienyl, 3-thienyl, 2-pyridyl, 3-pyridyl, 4-pyridyl , 2-pyrimidinyl, 4-pyrimidinyl, 5-benzothiazolyl, purinyl, 2-benzimidazolyl, 5-indolyl, 1-isoquinolinyl, 5-isoquinolinyl, 2- Quinoxalinyl, 5-quinoxalinyl, 3-quinolinyl, and 6-quinolinyl groups.

本文中使用的术语“胺”或“氨基”是指由式-NRaRb表示的未取代或取代的部分,其中Ra和Rb各自独立地为氢,烷基,芳基,或杂环基,或者Ra和Rb与它们所连接的氮原子一起形成环状部分,其中环中含有3-8个原子。因此,术语氨基包括环状氨基部分如哌啶基或吡咯烷基,另有说明的除外。这样,本文使用的术语“烷基氨基”则表示连接有氨基的烷基。合适的烷基氨基包括具有1至大约12个碳原子,优选具有1至大约6个碳原子的基团。术语氨基包括其中氮原子通过共价键与至少一个碳或杂原子键合的化合物或部分。术语“二烷基氨基”包括其中氮原子与至少两个烷基键合的基团。术语“芳基氨基”和“二芳基氨基”分别包括其中氮与至少或两个芳基基团键合的基团。术语“烷基芳基氨基”是指与至少一个烷基和至少一个芳基键合的氨基基团。术语“烷基氨基烷基”是指被烷基氨基取代的烷基、链烯基或炔基。术语“酰胺”或“氨基羰基”包括含有与羰基或硫羰基基团中碳键合的氮原子的化合物或部分。As used herein, the term "amine" or "amino" refers to an unsubstituted or substituted moiety represented by the formula -NRa Rb , where Ra and Rb are each independently hydrogen, alkyl, aryl, or hetero Cyclic groups, or Ra and Rb together with the nitrogen atom to which they are attached form a ring moiety, wherein the ring contains 3-8 atoms. Thus, the term amino includes cyclic amino moieties such as piperidinyl or pyrrolidinyl unless otherwise stated. Thus, the term "alkylamino" as used herein means an alkyl group to which an amino group is attached. Suitable alkylamino groups include groups having 1 to about 12 carbon atoms, preferably 1 to about 6 carbon atoms. The term amino includes compounds or moieties wherein a nitrogen atom is covalently bonded to at least one carbon or heteroatom. The term "dialkylamino" includes groups in which the nitrogen atom is bonded to at least two alkyl groups. The terms "arylamino" and "diarylamino" include groups in which nitrogen is bonded to at least or two aryl groups, respectively. The term "alkylarylamino" refers to an amino group bonded to at least one alkyl group and at least one aryl group. The term "alkylaminoalkyl" refers to an alkyl, alkenyl or alkynyl group substituted with an alkylamino group. The term "amide" or "aminocarbonyl" includes compounds or moieties containing a nitrogen atom bonded to a carbon in a carbonyl or thiocarbonyl group.

术语“烷硫基“是指烷基,带有与之相连的硫基(sulfhydryl)基团。合适的烷硫基包括具有1至大约12个碳原子,优选具有1至大约6个碳原子的基团。The term "alkylthio" refers to an alkyl group with a sulfhydryl group attached thereto. Suitable alkylthio groups include groups having 1 to about 12 carbon atoms, preferably 1 to about 6 carbon atoms.

本文使用的术语“烷基羧基”是指连接有羧基的烷基。As used herein, the term "alkylcarboxy" refers to an alkyl group to which a carboxyl group is attached.

本文使用的术语“烷氧基”是指连接有氧原子的烷基。代表性的烷氧基包括具有1至大约12个碳原子,优选1至大约6个碳原子的基团,例如,甲氧基、乙氧基、丙氧基、叔丁氧基等等。烷氧基的实例包括甲氧基、乙氧基、异丙氧基、丙氧基、丁氧基、和戊氧基。烷氧基基团可以被这样一些基团取代,譬如链烯基、炔基、卤素、羟基、烷基羰氧基、芳基羰氧基、烷氧基羰氧基、芳氧基羰氧基、羧酸基、烷基羰基、芳基羰基、烷氧基羰基、氨基羰基、烷基氨基羰基、二烷基氨基羰基、烷硫基羰基、烷氧基、磷酸基(phosphate)、膦酸负基(phosphonato)、亚磷酸负基(phosphinato)、氰基、氨基(包括烷基氨基、二烷基氨基、芳基氨基、二芳基氨基、和烷基芳基氨基)、酰基氨基(包括烷基羰基氨基、芳基羰基氨基、氨基甲酰基和脲基)、亚氨基、巯基(sulfhydryl)、烷硫基、芳硫基、硫代羧酸基、硫酸基、烷基亚磺酰基、磺酸负基(sulfonato)、氨基磺酰基、亚磺酰氨基、硝基、三氟甲基、氰基、叠氮基、杂环基、烷基芳基、或芳族或杂芳族部分。卤代烷氧基的实例包括但不限于氟甲氧基、二氟甲氧基、三氟甲氧基、氯甲氧基、二氯甲氧基、三氯甲氧基等,以及全卤代烷氧基基团。As used herein, the term "alkoxy" refers to an alkyl group to which an oxygen atom is attached. Representative alkoxy groups include groups having 1 to about 12 carbon atoms, preferably 1 to about 6 carbon atoms, eg, methoxy, ethoxy, propoxy, tert-butoxy, and the like. Examples of alkoxy include methoxy, ethoxy, isopropoxy, propoxy, butoxy, and pentyloxy. Alkoxy groups may be substituted by groups such as alkenyl, alkynyl, halogen, hydroxy, alkylcarbonyloxy, arylcarbonyloxy, alkoxycarbonyloxy, aryloxycarbonyloxy , carboxylic acid group, alkylcarbonyl group, arylcarbonyl group, alkoxycarbonyl group, aminocarbonyl group, alkylaminocarbonyl group, dialkylaminocarbonyl group, alkylthiocarbonyl group, alkoxy group, phosphate group (phosphate), phosphonic acid negative phosphonato, phosphinato, cyano, amino (including alkylamino, dialkylamino, arylamino, diarylamino, and alkylarylamino), acylamino (including alkyl ylcarbonylamino, arylcarbonylamino, carbamoyl and ureido), imino, sulfhydryl, alkylthio, arylthio, thiocarboxylate, sulfate, alkylsulfinyl, sulfonic acid A sulfonato, aminosulfonyl, sulfonamido, nitro, trifluoromethyl, cyano, azido, heterocyclyl, alkylaryl, or aromatic or heteroaromatic moiety. Examples of haloalkoxy include, but are not limited to, fluoromethoxy, difluoromethoxy, trifluoromethoxy, chloromethoxy, dichloromethoxy, trichloromethoxy, etc., and perhaloalkoxy group.

术语“酰氨基”包括其中氨基部分与酰基键合的基团。例如,酰氨基包括烷基羰基氨基、芳基羰基氨基、氨基甲酰基和脲基。The term "amido" includes groups in which an amino moiety is bonded to an acyl group. For example, amido groups include alkylcarbonylamino, arylcarbonylamino, carbamoyl and ureido groups.

术语“烷氧基烷基”、“烷基氨基烷基”和“硫代烷氧基烷基”包括上述烷基,该烷基进一步包含取代了烃骨架中一个或多个碳原子的氧、氮或硫原子。The terms "alkoxyalkyl", "alkylaminoalkyl" and "thioalkoxyalkyl" include the above-mentioned alkyl groups which further comprise oxygen replacing one or more carbon atoms in the hydrocarbon backbone, nitrogen or sulfur atoms.

术语“羰基”或“羧基”包括含有通过双键与氧原子连接的碳的化合物或部分。含有羰基之部分的实例包括醛、酮、羧酸、酰胺、酯、酸酐等。The term "carbonyl" or "carboxy" includes compounds or moieties containing a carbon attached by a double bond to an oxygen atom. Examples of carbonyl-containing moieties include aldehydes, ketones, carboxylic acids, amides, esters, anhydrides, and the like.

术语“醚”或“醚性的”包括含有与两个碳原子键合的氧原子的化合物或部分。例如,醚或醚性基团包括“烷氧基烷基”,它是指被烷氧基取代的烷基、链烯基、或炔基。The term "ether" or "etheric" includes compounds or moieties that contain an oxygen atom bonded to two carbon atoms. For example, an ether or ethereal group includes "alkoxyalkyl," which refers to an alkyl, alkenyl, or alkynyl group substituted with an alkoxy group.

“磺酸基”(sulfonate)是指与碳原子键合的-SO3H或-SO3-X+基团,其中X+是阳离子抗衡离子基团。同样,“磺酸”化合物具有与碳原子键合的-SO3H或-SO3-X+基团,其中X+是阳离子基团。本文使用的“硫酸基”是指与碳原子键合的-OSO3H或-OSO3-X+基团,并且“硫酸”化合物具有与碳原子键合的-SO3H或-OSO3-X+基团,其中X+是阳离子基团。根据本发明,适宜的阳离子基团可以是氢原子。在某些情况下,阳离子基团实际上可以是治疗化合物上的另一个基团,它在生理pH下呈电荷阳性,例如氨基。"Sulfonate" refers to a-SO3H or-SO3- X+ group bonded to a carbon atom, where X+ is a cationic counterion group. Likewise, "sulfonic acid" compounds have a-SO3H or-SO3- X+ group bonded to a carbon atom, where X+ is a cationic group. As used herein, "sulfate group" refers to a -OSO3 H or -OSO3-X+ group bonded to a carbon atom, and a "sulfate" compound has a -SO3 H or -OSO3- group bonded to a carbon atom X+ groups, where X+ is a cationic group. According to the invention, suitable cationic groups may be hydrogen atoms. In some cases, the cationic group may actually be another group on the therapeutic compound that is positively charged at physiological pH, such as an amino group.

“抗衡离子”需要用于维持电中性。阴离子抗衡离子的实例包括卤化物、三氟甲磺酸根、硫酸根、硝酸根、氢氧根、碳酸根、碳酸氢根、乙酸根、磷酸根、草酸根、氰化物、烷基羧基化物、N-羟基琥珀酰亚胺、N-羟基苯并三唑、醇盐、硫醇盐、烷烃磺酰氧基、卤代烷烃磺酰氧基、芳基磺酰氧基、硫酸氢根、草酸根、戊酸根、油酸根、十六烷酸根、硬脂酸根、月桂酸根、硼酸根、苯甲酸根、乳酸根、柠檬酸根、马来酸根、富马酸根、琥珀酸根、酒石酸根、萘甲磺酸根、葡庚糖酸根、或乳糖酸根。含有通过共价键与阴离子基团键合的阳离子基团的化合物可称作“内盐”。"Counter ions" are required to maintain electrical neutrality. Examples of anionic counterions include halides, triflate, sulfate, nitrate, hydroxide, carbonate, bicarbonate, acetate, phosphate, oxalate, cyanide, alkyl carboxylate, N -Hydroxysuccinimide, N-hydroxybenzotriazole, alkoxide, thiolate, alkanesulfonyloxy, haloalkanesulfonyloxy, arylsulfonyloxy, bisulfate, oxalate, pentyl Acid, Oleate, Cetyl Acid, Stearate, Laurate, Borate, Benzoate, Lactate, Citrate, Maleate, Fumarate, Succinate, Tartrate, Naphthalene Mesylate, Glucose Heptonate, or Lactobionate. Compounds containing a cationic group covalently bonded to an anionic group may be referred to as "inner salts".

术语“硝基”是指-NO2;术语“卤素”或“卤代”或“卤”表示-F,-Cl,-Br或-I;术语“硫醇”、“硫代”或“巯基”是指SH;并且术语“羟基”是指-OH。The term "nitro" means-NO2 ; the term "halogen" or "halo" or "halo" means -F, -Cl, -Br or -I; the term "thiol", "thio" or "mercapto " refers to SH; and the term "hydroxyl" refers to -OH.

术语“酰基”是指通过其碳原子与氢(即甲酰基)、脂族基(例如乙酰基)、芳族基(例如,苯甲酰基)等连接的羰基。术语“取代酰基”包括其中的一个或多个碳原子上的一个或多个氢原子被以下基团取代的酰基:例如,烷基、炔基、卤素、羟基、烷基羰氧基、芳基羰氧基、烷氧基羰氧基、芳氧基羰氧基、羧酸基(carboxylate)、烷基羰基、芳基羰基、烷氧基羰基、氨基羰基、烷基氨基羰基、二烷基氨基羰基、烷硫基羰基、烷氧基、磷酸基(phosphate)、膦酸负基(phosphonato)、亚磷酸负基(phosphinato)、氰基、氨基(包括烷基氨基、二烷基氨基、芳基氨基、二芳基氨基、和烷基芳基氨基)、酰基氨基(包括烷基羰基氨基、芳基羰基氨基、氨基甲酰基和脲基)、亚氨基、巯基(sulfhydryl)、烷硫基、芳硫基、硫代羧酸基、硫酸基、烷基亚磺酰基、磺酸负基(sulfonato)、氨基磺酰基、亚磺酰氨基、硝基、三氟甲基、氰基、叠氮基、杂环基、烷基芳基、或芳族或杂芳族部分。The term "acyl" refers to a carbonyl group attached through its carbon atom to hydrogen (ie, formyl), aliphatic (eg, acetyl), aromatic (eg, benzoyl), and the like. The term "substituted acyl" includes acyl groups in which one or more hydrogen atoms on one or more carbon atoms are replaced by, for example, alkyl, alkynyl, halogen, hydroxy, alkylcarbonyloxy, aryl Carbonyloxy, alkoxycarbonyloxy, aryloxycarbonyloxy, carboxylate, alkylcarbonyl, arylcarbonyl, alkoxycarbonyl, aminocarbonyl, alkylaminocarbonyl, dialkylamino Carbonyl, alkylthiocarbonyl, alkoxy, phosphate, phosphonato, phosphinato, cyano, amino (including alkylamino, dialkylamino, aryl amino, diarylamino, and alkylarylamino), acylamino (including alkylcarbonylamino, arylcarbonylamino, carbamoyl, and ureido), imino, sulfhydryl, alkylthio, aryl Thio group, thiocarboxylate group, sulfate group, alkylsulfinyl group, sulfonato group, aminosulfonyl group, sulfonylamino group, nitro group, trifluoromethyl group, cyano group, azido group, Heterocyclyl, alkylaryl, or aromatic or heteroaromatic moiety.

除另有说明外,本发明化合物的化学部分(包括上述基团)都可以是“取代或未取代的”。在一些实施方案中,术语“取代的”意指该部分在非氢的基团位置上具有取代基(即在大多数情形下,取代了氢),这样使得分子能产生其预期的功效。取代基的实例包括选自以下的基团:直链或支链的烷基(优选C1-C5),环烷基(优选C3-C8),烷氧基(优选C1-C6),硫代烷基(C1-C6),链烯基(优选C2-C6),炔基(优选C2-C6),杂环,碳环,芳基(例如苯基),芳氧基(例如苯氧基),芳烷基(例如苄基),芳氧基烷基(例如苯氧基烷基),芳基乙酰氨基,烷基芳基,杂芳烷基,烷基羰基和芳基羰基或其它这类酰基,杂芳基羰基,和杂芳基,以及(CR’R”)0-3NR’R”(例如,-NH2),(CR’R”)0-3CN(例如,-CN),-NO2,卤素(例如,-F,-Cl,-Br,或-I),(CR’R”)0-3C(卤素)3(例如,-CF3),(CR’R”)0-3CH(卤素)2,(CR’R”)0-3CH2(卤素),(CR’R”)0-3CONR’R”,(CR’R”)0-3(CNH)NR’R”,(CR’R”)0-3S(O)1-2NR’R”,(CR’R”)0-3CHO,(CR’R”)0-3O(CR’R”)0-3H,(CR’R”)0-3S(O)0-3R’(例如,-SO3H),(CR’R”)0-3O(CR’R”)0-3H(例如,-CH2OCH3和-OCH3),(CR’R”)0-3S(CR’R”)0-3H(例如,-SH和-SCH3),(CR’R”)0-3OH(例如,-OH),(CR’R”)0-3COR’,(CR’R”)0-3(取代的或未取代的苯基),(CR’R”)0-3(C3-C8环烷基),(CR’R”)0-3CO2R’(例如,-CO2H),和(CR’R”)0-3OR’基团,其中R’和R”各自独立地为氢,C1-C5烷基,C2-C5链烯基,C2-C5炔基,或芳基;或任何天然氨基酸的侧链。Unless otherwise stated, chemical moieties of the compounds of the present invention, including the groups described above, may be "substituted or unsubstituted". In some embodiments, the term "substituted" means that the moiety has a substituent at a non-hydrogen group position (ie, in most cases, replaces a hydrogen) such that the molecule functions for its intended purpose. Examples of substituents include groups selected from the group consisting of linear or branched alkyl (preferably C1 -C5 ), cycloalkyl (preferably C3 -C8 ), alkoxy (preferably C1 -C 86 ), thioalkyl (C1 -C6 ), alkenyl (preferably C2 -C6 ), alkynyl (preferably C2 -C6 ), heterocycle, carbocycle, aryl (eg phenyl ), aryloxy (e.g. phenoxy), aralkyl (e.g. benzyl), aryloxyalkyl (e.g. phenoxyalkyl), arylacetamido, alkylaryl, heteroaralkyl, Alkylcarbonyl and arylcarbonyl or other such acyl groups, heteroarylcarbonyl, and heteroaryl, and (CR'R")0-3 NR'R" (eg, -NH2 ), (CR'R" )0-3 CN (for example, -CN), -NO2 , halogen (for example, -F, -Cl, -Br, or -I), (CR'R")0-3 C (halogen)3 (for example ,-CF3 ), (CR'R")0-3 CH(halogen)2 , (CR'R")0-3 CH2 (halogen), (CR'R")0-3 CONR'R", (CR'R")0-3 (CNH)NR'R", (CR'R")0-3 S(O)1-2 NR'R", (CR'R")0-3 CHO, ( CR'R")0-3 O(CR'R")0-3 H, (CR'R")0-3 S(O)0-3 R' (eg, -SO3 H), (CR'R")0-3 O(CR'R")0-3 H (eg, -CH2 OCH3 and -OCH3 ), (CR'R")0-3 S(CR'R")0-3 H (eg, -SH and -SCH3 ), (CR'R")0-3 OH (eg, -OH), (CR'R")0-3 COR', (CR'R")0-3 (substituted or unsubstituted phenyl), (CR'R")0-3 (C3 -C8 cycloalkyl), (CR'R")0-3 CO2 R' (for example, -CO2 H), and (CR'R")0-3 OR' groups, wherein R' and R" are each independently hydrogen, C1 -C5 alkyl, C2 -C5 alkenyl, C2 - C5 alkynyl, or aryl; or the side chain of any natural amino acid.

在另一实施方案中,取代基可以选自直链或支链的烷基(优选C1-C5),环烷基(优选C3-C8),烷氧基(优选C1-C6),硫代烷基(优选C1-C6),链烯基(优选C2-C6),炔基(优选C2-C6),杂环,碳环,芳基(例如苯基),芳氧基(例如苯氧基),芳烷基(例如苄基),芳氧基烷基(例如苯氧基烷基),芳基乙酰氨基,烷基芳基,杂芳烷基,烷基羰基和芳基羰基或其它这种酰基,杂芳基羰基,或杂芳基,(CR’R”)0-10NR’R”(例如,-NH2),(CR’R”)0-10CN(例如,-CN),-NO2,卤素(例如,F,Cl,Br,或I),(CR’R”)0-10C(卤素)3(例如,-CF3),(CR’R”)0-10CH(卤素)2,(CR’R”)0-10CH2(卤素),(CR’R”)0-10CONR’R”,(CR’R”)0-10(CNH)NR’R”,(CR’R”)0-10S(O)1-2NR’R”,(CR’R”)0-10CHO,(CR’R”)0-10O(CR’R”)0-10H,(CR’R”)0-10S(O)0-3R’(例如,-SO3H),(CR’R”)0-10O(CR’R”)0-10H(例如,-CH2OCH3和-OCH3),(CR’R”)0-10S(CR’R”)0-3H(例如,-SH和-SCH3),(CR’R”)0-10OH(例如,-OH),(CR’R”)0-10COR’,(CR’R”)0-10(取代的或未取代的苯基),(CR’R”)0-10(C3-C8环烷基),(CR’R”)0-10CO2R’(例如,-CO2H),或(CR’R”)0-10OR’基团,或任何天然氨基酸的侧链;其中R’和R”各自独立地为氢,C1-C5烷基,C2-C5链烯基,C2-C5炔基,或芳基,或者R’和R”一起形成亚苄基或-(CH2)2O(CH2)2-基团。In another embodiment, the substituent may be selected from linear or branched alkyl (preferably C1 -C5 ), cycloalkyl (preferably C3 -C8 ), alkoxy (preferably C1 -C 86 ), thioalkyl (preferably C1 -C6 ), alkenyl (preferably C2 -C6 ), alkynyl (preferably C2 -C6 ), heterocycle, carbocycle, aryl (eg benzene radical), aryloxy (e.g. phenoxy), aralkyl (e.g. benzyl), aryloxyalkyl (e.g. phenoxyalkyl), arylacetamido, alkylaryl, heteroaralkyl , alkylcarbonyl and arylcarbonyl or other such acyl, heteroarylcarbonyl, or heteroaryl, (CR'R")0-10 NR'R" (eg, -NH2 ), (CR'R" )0-10 CN (eg, -CN), -NO2 , halogen (eg, F, Cl, Br, or I), (CR'R")0-10 C(halogen)3 (eg, -CF3 ), (CR'R")0-10 CH(halogen)2 , (CR'R")0-10 CH2 (halogen), (CR'R")0-10 CONR'R", (CR'R ”)0-10 (CNH)NR’R”, (CR’R”)0-10 S(O)1-2 NR’R”, (CR’R”)0-10 CHO, (CR’R” )0-10 O(CR'R")0-10 H, (CR'R")0-10 S(O)0-3 R' (eg, -SO3 H), (CR'R")0 -10 O(CR'R")0-10 H (for example, -CH2 OCH3 and -OCH3 ), (CR'R")0-10 S(CR'R")0-3 H (for example, -SH and -SCH3 ), (CR'R")0-10 OH (for example, -OH), (CR'R")0-10 COR', (CR'R")0-10 (substituted or unsubstituted phenyl), (CR'R")0-10 (C3 -C8 cycloalkyl), (CR'R")0-10 CO2 R' (eg, -CO2 H), or (CR'R")0-10 OR' groups, or side chains of any natural amino acid; wherein R' and R" are each independently hydrogen, C1 -C5 alkyl, C2 -C5 alkenyl , C2 -C5 alkynyl, or aryl, or R' and R" together form a benzylidene or -(CH2 )2 O(CH2 )2 - group.

应当理解,“取代”或“被......取代”包括隐含条件,即这种取代要符合被取代原子和取代基的允许价态,并且这种取代要产生稳定的化合物,例如,它不能自发地通过例如重排、环化、消除等方式进行转化。本文使用的术语“取代的”旨在包括有机化合物的所有可允许取代基。广义上讲,可允许的取代基包括有机化合物的无环和环状、支链和直链、碳环和杂环、芳族和非芳族的取代基。可允许的取代基可以是一个或多个。It should be understood that "substituted" or "substituted by" includes implied provisos that such substitution conforms to the permissible valence states of the atom being substituted and the substituent, and that such substitution results in a stable compound, e.g. , it cannot be transformed spontaneously by means such as rearrangement, cyclization, elimination, etc. The term "substituted" as used herein is intended to include all permissible substituents of organic compounds. Broadly speaking, the permissible substituents include acyclic and cyclic, branched and straight chain, carbocyclic and heterocyclic, aromatic and nonaromatic substituents of organic compounds. The permissible substituents may be one or more.

在一些实施方案中,“取代基”例如可选自以下基团:卤素,三氟甲基,硝基,氰基,C1-C6烷基,C2-C6链烯基,C2-C6炔基,C1-C6烷基羰氧基,芳基羰氧基,C1-C6烷氧基羰氧基,芳氧基羰氧基,C1-C6烷基羰基,C1-C6烷氧基羰基,C1-C6烷氧基,C1-C6烷硫基,芳硫基,杂环基,芳烷基,和芳基(包括杂芳基)。In some embodiments, the "substituent" can be selected from, for example, the following groups: halogen, trifluoromethyl, nitro, cyano, C1 -C6 alkyl, C2 -C6 alkenyl, C2 -C6 alkynyl, C1 -C6 alkylcarbonyloxy, arylcarbonyloxy, C1 -C6 alkoxycarbonyloxy, aryloxycarbonyloxy, C1 -C6 alkylcarbonyl , C1 -C6 alkoxycarbonyl, C1 -C6 alkoxy, C1 -C6 alkylthio, arylthio, heterocyclyl, aralkyl, and aryl (including heteroaryl) .

在一个实施方案中,本发明涉及式I化合物或其可药用的盐、酯和前药:In one embodiment, the present invention relates to compounds of formula I or pharmaceutically acceptable salts, esters and prodrugs thereof:

Figure A20048002425000611
Figure A20048002425000611

其中:in:

R1为取代或未取代的环烷基、杂环基、芳基、芳基环烷基、二环或三环基、二环或三环稠环基团,或为取代或未取代的C2-C10烷基;R1 is a substituted or unsubstituted cycloalkyl, heterocyclyl, aryl, arylcycloalkyl, bicyclic or tricyclic, bicyclic or tricyclic condensed ring group, or a substituted or unsubstituted C2 -C10 alkyl;

R2选自氢、烷基、巯基烷基、链烯基、炔基、环烷基、芳基、芳基烷基、噻唑基、三唑基、咪唑基、苯并噻唑基、和苯并咪唑基;R is selected from hydrogen, alkyl, mercaptoalkyl, alkenyl, alkynyl, cycloalkyl, aryl, arylalkyl, thiazolyl, triazolyl, imidazolyl, benzothiazolyl, and benzo imidazolyl;

Y是SO3-X+,OSO3-X+,或SSO3-X+Y is SO3- X+ , OSO3- X+ , or SSO3- X+ ;

X+是氢,阳离子基团,或成酯基团;和X+ is hydrogen, a cationic group, or an ester-forming group; and

L1和L2各自独立地为取代或未取代的C1-C5烷基或者不存在,条件是当R1为烷基时,L1是不存在的。L1 and L2 are each independently substituted or unsubstituted C1 -C5 alkyl or absent, with the proviso that when R1 is alkyl, L1 is absent.

在进一步的实施方案中,本发明涉及式II化合物或其可药用的盐、酯和前药:In a further embodiment, the present invention relates to a compound of formula II or pharmaceutically acceptable salts, esters and prodrugs thereof:

Figure A20048002425000612
Figure A20048002425000612

其中:in:

R1为取代或未取代的单环、二环、三环、或苯并杂环基团或为取代或未取代的C2-C10烷基;R1 is a substituted or unsubstituted monocyclic, bicyclic, tricyclic, or benzoheterocyclic group or a substituted or unsubstituted C2 -C10 alkyl group;

R2为氢,烷基,巯基烷基,链烯基,炔基,环烷基,芳基,芳基烷基,噻唑基,三唑基,咪唑基,苯并噻唑基,苯并咪唑基,或与R1连接形成杂环;R is hydrogen, alkyl, mercaptoalkyl, alkenyl, alkynyl, cycloalkyl, aryl, arylalkyl, thiazolyl, triazolyl, imidazolyl, benzothiazolyl, benzimidazolyl , or link with R1 to form a heterocycle;

Y是SO3-X+,OSO3-X+,或SSO3-X+Y is SO3- X+ , OSO3- X+ , or SSO3- X+ ;

X+是氢,阳离子基团,或成酯部分;X+ is hydrogen, a cationic group, or an ester-forming moiety;

m是0或1;m is 0 or 1;

n是1、2、3或4;n is 1, 2, 3 or 4;

L是取代或未取代的C1-C3烷基或者不存在,L is substituted or unsubstituted C1 -C3 alkyl or absent,

条件是当R1为烷基时,L是不存在的。with the proviso that whenR1 is alkyl, L is absent.

在进一步的实施方案中,R2为氢。在另一个进一步的实施方案中,R1是直链烷基,例如,乙基、正戊基、正庚基、或正辛基。在另一个实施方案中,R1为叔丁基。在再一个替换方案中,R1是C7-C10二环烷基或三环烷基,例如三环[3.3.1.03,7]癸基(或金刚烷基),二环[2.1.2]庚基,或吲哚基。在另一个替换方案中,R1为四氢萘基。In a further embodiment,R2 is hydrogen. In another further embodiment, R1 is straight chain alkyl, eg, ethyl, n-pentyl, n-heptyl, or n-octyl. In another embodiment, R1 is tert-butyl. In yet another alternative, R1 is C7 -C10 bicycloalkyl or tricycloalkyl, such as tricyclo[3.3.1.03,7 ]decyl (or adamantyl), bicyclo[2.1. 2] Heptyl, or indolyl. In another alternative, R1 is tetrahydronaphthyl.

在一个实施方案中,L2为-(CH2)3-。在另一个进一步的实施方案中,L2为-(CH2)4-或-(CH2)5-。在再一个进一步的实施方案中,L2为-(CH2)2-。在又一个进一步的实施方案中,L2为取代烷基,例如-CH2-(CHOH)-CH2-。In one embodiment,L2 is -(CH2 )3- . In another further embodiment, L2 is -(CH2 )4 - or -(CH2 )5 -. In yet a further embodiment,L2 is -(CH2 )2- . In yet a further embodiment,L2 is substituted alkyl, eg-CH2- (CHOH)-CH2- .

在另一个实施方案中,L1为CH2CH2或不存在。In anotherembodiment ,L1 isCH2CH2 or is absent.

在进一步的实施方案中,R1是支链烷基,例如叔丁基。在另一个实施方案中,R1为金刚烷基。在另一个实施方案中,R1为环状烷基,例如环丙基、环己基、环庚基、环辛基等。环烷基部分可以进一步被例如另外的烷基或能使分子行使其预定功能的其它基团取代。在另一个实施方案中,R1为被炔丙基部分(例如HC≡C-)取代的烷基。在另一个实施方案中,R1是被一个或多个甲基或炔丙基取代的环己基。In a further embodiment, R1 is branched alkyl, such as tert-butyl. In another embodiment, R1 is adamantyl. In another embodiment, Ris cyclic alkyl, such as cyclopropyl, cyclohexyl, cycloheptyl, cyclooctyl, and the like. Cycloalkyl moieties may be further substituted, for example, with additional alkyl groups or other groups that enable the molecule to perform its intended function. In another embodiment,R1 is alkyl substituted with a propargyl moiety (eg, HC≡C-). In another embodiment, R1 is cyclohexyl substituted with one or more methyl or propargyl.

在某些实施方案中,R1是环丙基或环己基。在某些实施方案中,所述环丙基或环己基基团被醚基或烷基取代。在某些进一步的实施方案中,醚基是苄基醚基。In certain embodiments, R1 is cyclopropyl or cyclohexyl. In certain embodiments, the cyclopropyl or cyclohexyl groups are substituted with ether or alkyl groups. In certain further embodiments, the ether groups are benzyl ether groups.

在另一个实施方案中,其中R1是烷基,它被诸如苯基、或羟基之类基团所取代。In another embodiment, wherein R1 is alkyl, it is substituted with groups such as phenyl, or hydroxy.

在其它实施方案中,本发明的化合物选自以下化合物及其可药用的盐、酯、和前药:In other embodiments, the compound of the present invention is selected from the following compounds and pharmaceutically acceptable salts, esters, and prodrugs thereof:

Figure A20048002425000621
Figure A20048002425000621

Figure A20048002425000632
Figure A20048002425000633
Figure A20048002425000632
Figure A20048002425000633

                                                                      CH3(CH2)8NH(CH2)3SO3HCH3 (CH2 )8 NH(CH2 )3 SO3 H

CH3(CH2)9N+(CH3)2(CH2)3SO3-    CH3(CH2)11N+(CH3)2(CH2)3SO3-    CH3(CH2)7N-(CH3)2(CH2)3SO3-CH3 (CH2 )9 N+ (CH3 )2 (CH2 )3 SO3- CH3 (CH2 )11 N+ (CH3 )2 (CH2 )3 SO3- CH3 (CH2 )7 N- (CH3 )2 (CH2 )3 SO3-

Figure A20048002425000634
Figure A20048002425000634

在另一个实施方案中,本发明涉及式III化合物及其可药用的盐、前药和酯:In another embodiment, the present invention relates to compounds of formula III and pharmaceutically acceptable salts, prodrugs and esters thereof:

Figure A20048002425000642
Figure A20048002425000642

其中:in:

A是氮或氧;A is nitrogen or oxygen;

R11是氢,成盐阳离子、成酯基团,-(CH2)x-Q,或当A为氮时,A和R11共同表示天然或非天然氨基酸残基或其盐或酯;R11 is hydrogen, a salt-forming cation, an ester-forming group, -(CH2 )x -Q, or when A is nitrogen, A and R11 together represent a natural or unnatural amino acid residue or a salt or ester thereof;

Q是氢,噻唑基,三唑基,咪唑基,苯并噻唑基,或苯并咪唑基;Q is hydrogen, thiazolyl, triazolyl, imidazolyl, benzothiazolyl, or benzimidazolyl;

x是0,1,2,3,或4;x is 0, 1, 2, 3, or 4;

n是0,1,2,3,4,5,6,7,8,9,或10;n is 0, 1, 2, 3, 4, 5, 6, 7, 8, 9, or 10;

R3,R3a,R4,R4a,R5,R5a,R6,R6a,R7和R7a各自独立地为氢,烷基,巯基烷基,链烯基,炔基,环烷基,芳基,烷基羰基,芳基羰基,烷氧基羰基,氰基,卤素,氨基,四唑基,或位于相邻环原子上的两个R基团与这两个环原子一起形成双键,条件是R3,R3a,R4,R4a,R5,R5a,R6,R6a,R7和R7a中的一个为式IIIa部分:R3 , R3a , R4 , R4a , R5 , R5a , R6 , R6a , R7 and R7a are each independently hydrogen, alkyl, mercaptoalkyl, alkenyl, alkynyl, ring Alkyl, aryl, alkylcarbonyl, arylcarbonyl, alkoxycarbonyl, cyano, halogen, amino, tetrazolyl, or two R groups on adjacent ring atoms together with these two ring atoms A double bond is formed with the proviso that one of R3 , R3a , R4 , R4a , R5 , R5a , R6 , R6a , R7 and R7a is a moiety of formula IIIa:

其中:in:

m是0,1,2,3,或4;m is 0, 1, 2, 3, or 4;

RA,RB,Rc,RD,和RE独立地选自氢,卤素,羟基,烷基,烷氧基,卤代烷基,巯基烷基,链烯基,炔基,环烷基,芳基,氰基,噻唑基,三唑基,咪唑基,四唑基,苯并噻唑基,和苯并咪唑基;RA ,RB ,Rc ,RD , andRE are independently selected from hydrogen, halogen, hydroxy, alkyl, alkoxy, haloalkyl, mercaptoalkyl, alkenyl, alkynyl, cycloalkyl, Aryl, cyano, thiazolyl, triazolyl, imidazolyl, tetrazolyl, benzothiazolyl, and benzimidazolyl;

条件是所述化合物不能是3-(4-苯基-1,2,3,6-四氢-1-吡啶基)-1-丙烷磺酸。With the proviso that the compound cannot be 3-(4-phenyl-1,2,3,6-tetrahydro-1-pyridyl)-1-propanesulfonic acid.

在进一步的实施方案中,n为2,3或4。In further embodiments, n is 2, 3 or 4.

在另一个实施方案中,R11是成盐阳离子。成盐阳离子的实例包括本文所述的可药用盐以及锂、钠、钾、镁、钙、钡、锌、铁、和铵。在另一实施方案中,R11是成酯基团。成酯基团包括键合时能形成酯的基团。这类基团的实例包括取代或未取代的烷基、芳基、链烯基、炔基、或环烷基。在另一个实施方案中,A是氧。In another embodiment, R11 is a salt-forming cation. Examples of salt-forming cations include the pharmaceutically acceptable salts described herein as well as lithium, sodium, potassium, magnesium, calcium, barium, zinc, iron, and ammonium. In another embodiment, R11 is an ester-forming group. Ester-forming groups include groups which, when bonded, are capable of forming an ester. Examples of such groups include substituted or unsubstituted alkyl, aryl, alkenyl, alkynyl, or cycloalkyl groups. In another embodiment, A is oxygen.

在另一个实施方案中,R3和R4与它们所连接的碳原子一起形成双键。在另一个实施方案中,RA,RB,Rc,RD和RE各自为氢。RA,RB,RD和RE各自为氢且Rc为卤素,譬如氟、氯、碘或溴。In another embodiment,R3 andR4 form a double bond with the carbon atom to which they are attached. In another embodiment,RA ,RB ,Rc ,RD andRE are each hydrogen.RA ,RB ,RD andRE are each hydrogen andRc is halogen, such as fluorine, chlorine, iodine or bromine.

在另一个实施方案中,R3或R5a是式IIIa基团。In another embodiment, R3 or R5a is a group of formula IIIa.

在另一个实施方案中,R4、R5、R6和R7各自为氢。在另一个进一步的实施方案中,R4a、R5a、R6a和R7a各自为氢。In another embodiment, each ofR4 ,R5 ,R6 andR7 is hydrogen. In another further embodiment, each of R4a , R5a , R6a and R7a is hydrogen.

在另一个实施方案中,R3a为羟基,氰基,酰基,或羟基。In another embodiment, R3a is hydroxy, cyano, acyl, or hydroxy.

在另一个进一步的实施方案中,R11和A一起表示天然或非天然氨基酸残基或其可药用的盐或酯。氨基酸残基的实例包括苯丙氨酸和亮氨酸的酯和盐。In another further embodiment, R11 and A together represent a natural or unnatural amino acid residue or a pharmaceutically acceptable salt or ester thereof. Examples of amino acid residues include esters and salts of phenylalanine and leucine.

在另一个实施方案中,m为0,1,或3。In another embodiment, m is 0, 1, or 3.

式III化合物的实例包括但不限于:Examples of compounds of formula III include, but are not limited to:

Figure A20048002425000661
Figure A20048002425000661

及其可药用的盐、前药和酯。and pharmaceutically acceptable salts, prodrugs and esters thereof.

在另一个实施方案中,本发明涉及式IV化合物及其可药用的盐、前药和酯:In another embodiment, the present invention relates to compounds of formula IV and pharmaceutically acceptable salts, prodrugs and esters thereof:

其中:in:

A是氮或氧;A is nitrogen or oxygen;

R11是氢,成盐阳离子、成酯基团,-(CH2)x-Q,或当A为氮时,A和R11共同表示天然或非天然氨基酸残基或其盐或酯;R11 is hydrogen, a salt-forming cation, an ester-forming group, -(CH2 )x -Q, or when A is nitrogen, A and R11 together represent a natural or unnatural amino acid residue or a salt or ester thereof;

Q是氢,噻唑基,三唑基,咪唑基,苯并噻唑基,或苯并咪唑基;Q is hydrogen, thiazolyl, triazolyl, imidazolyl, benzothiazolyl, or benzimidazolyl;

x是0,1,2,3,或4;x is 0, 1, 2, 3, or 4;

n是0,1,2,3,4,5,6,7,8,9,或10;n is 0, 1, 2, 3, 4, 5, 6, 7, 8, 9, or 10;

R4,R4a,R5,R5a,R6,R6a,R7和R7a各自独立地为氢,烷基,巯基烷基,链烯基,炔基,环烷基,芳基,烷基羰基,芳基羰基,烷氧基羰基,氰基,卤素,氨基,四唑基,R4和R5与它们所连接的环原子一起形成双键,或者R6和R7与它们所连接的环原子一起形成双键;R4 , R4a , R5 , R5a , R6 , R6a , R7 and R7a are each independently hydrogen, alkyl, mercaptoalkyl, alkenyl, alkynyl, cycloalkyl, aryl, Alkylcarbonyl, arylcarbonyl, alkoxycarbonyl, cyano, halogen, amino, tetrazolyl,R4 andR5 form a double bond with the ring atoms to which they are attached, orR6 andR7 form a double bond with the ring atoms to which they are attached Linked ring atoms together form a double bond;

m是0,1,2,3,或4;m is 0, 1, 2, 3, or 4;

R8,R9,R10,R11,和R12独立地选自氢,卤素,羟基,烷基,烷氧基,卤代烷基,巯基烷基,链烯基,炔基,环烷基,芳基,氰基,噻唑基,三唑基,咪唑基,四唑基,苯并噻唑基,和苯并咪唑基。R8 , R9 , R10 , R11 , and R12 are independently selected from hydrogen, halogen, hydroxy, alkyl, alkoxy, haloalkyl, mercaptoalkyl, alkenyl, alkynyl, cycloalkyl, Aryl, cyano, thiazolyl, triazolyl, imidazolyl, tetrazolyl, benzothiazolyl, and benzimidazolyl.

在另一个实施方案中,R11是成盐阳离子。成盐阳离子的实例包括本文所述的可药用盐以及锂、钠、钾、镁、钙、钡、锌、铁、和铵。在另一实施方案中,R11是成酯基团。成酯基团包括键合时能形成酯的基团。这类基团的实例包括取代或未取代的烷基、芳基、链烯基、炔基、或环烷基。在另一个实施方案中,A是氧。In another embodiment, R11 is a salt-forming cation. Examples of salt-forming cations include the pharmaceutically acceptable salts described herein as well as lithium, sodium, potassium, magnesium, calcium, barium, zinc, iron, and ammonium. In another embodiment, R11 is an ester-forming group. Ester-forming groups include groups which, when bonded, are capable of forming an ester. Examples of such groups include substituted or unsubstituted alkyl, aryl, alkenyl, alkynyl, or cycloalkyl groups. In another embodiment, A is oxygen.

在另一个实施方案中,m是0或1。在另一个进一步的实施方案中,n为2,3或4。在另一个进一步的实施方案中,R4,R5,R6和R7各自为氢。R4a,R5a,R6a和R7a同样也为氢。R8,R9,R10,R11,和R12包括氢。在另一个实施方案中,R8,R9,R11,R12各自为氢,且R10为卤素(例如氟、氯、溴或碘),硝基,或烷基(例如甲基、乙基、丁基)。在另一个实施方案中,A-R11可以是氨基酸残基,例如苯丙氨酸残基。在另一个实施方案中,R9,R10,R11,和R12各自为氢,而R8则不是氢,例如是卤素如氟、溴、氯或碘。In another embodiment, m is 0 or 1. In another further embodiment, n is 2, 3 or 4. In another further embodiment,R4 ,R5 ,R6 andR7 are each hydrogen. R4a , R5a , R6a and R7a are likewise hydrogen. R8 , R9 , R10 , R11 , and R12 include hydrogen. In another embodiment, R8 , R9 , R11 , R12 are each hydrogen, and R10 is halogen (such as fluorine, chlorine, bromine, or iodine), nitro, or alkyl (such as methyl, ethyl base, butyl). In another embodiment, AR11 may be an amino acid residue, such as a phenylalanine residue. In another embodiment, R9 , R10 , R11 , and R12 are each hydrogen, and R8 is other than hydrogen, eg, halogen such as fluorine, bromine, chlorine or iodine.

在另一个实施方案中,所述化合物为:In another embodiment, the compound is:

及其可药用的盐、酯、和前药。and pharmaceutically acceptable salts, esters, and prodrugs thereof.

在另一个实施方案中,本发明涉及式V化合物及其可药用的盐、酯和前药:In another embodiment, the present invention relates to compounds of formula V and pharmaceutically acceptable salts, esters and prodrugs thereof:

Figure A20048002425000672
Figure A20048002425000672

其中:in:

A是氮或氧;A is nitrogen or oxygen;

R11是氢,成盐阳离子、成酯基团,-(CH2)x-Q,或当A为氮时,A和R11共同表示天然或非天然氨基酸残基或其盐或酯;R11 is hydrogen, a salt-forming cation, an ester-forming group, -(CH2 )x -Q, or when A is nitrogen, A and R11 together represent a natural or unnatural amino acid residue or a salt or ester thereof;

Q是氢,噻唑基,三唑基,咪唑基,苯并噻唑基,或苯并咪唑基;Q is hydrogen, thiazolyl, triazolyl, imidazolyl, benzothiazolyl, or benzimidazolyl;

x是0,1,2,3,或4;x is 0, 1, 2, 3, or 4;

n是0,1,2,3,4,5,6,7,8,9,或10;n is 0, 1, 2, 3, 4, 5, 6, 7, 8, 9, or 10;

aa是天然或非天然氨基酸残基;aa is a natural or unnatural amino acid residue;

m是0,1,2,或3;m is 0, 1, 2, or 3;

R14是氢或保护基;R14 is hydrogen or a protecting group;

R15是氢,烷基或芳基。R15 is hydrogen, alkyl or aryl.

在另一个实施方案中,R11是成盐阳离子。成盐阳离子的实例包括本文所述的可药用盐以及锂、钠、钾、镁、钙、钡、锌、铁、和铵。在另一实施方案中,R11是成酯基团。成酯基团包括键合时能形成酯的基团。这类基团的实例包括取代或未取代的烷基、芳基、链烯基、炔基、或环烷基。在另一个实施方案中,A是氧。In another embodiment, R11 is a salt-forming cation. Examples of salt-forming cations include the pharmaceutically acceptable salts described herein as well as lithium, sodium, potassium, magnesium, calcium, barium, zinc, iron, and ammonium. In another embodiment, R11 is an ester-forming group. Ester-forming groups include groups which, when bonded, are capable of forming an ester. Examples of such groups include substituted or unsubstituted alkyl, aryl, alkenyl, alkynyl, or cycloalkyl groups. In another embodiment, A is oxygen.

在另一个实施方案中,n是2,3或4。在某些实施方案中,m为0。在某些实施方案中,A-R11是天然氨基酸的残基、或其盐或酯。氨基酸残基的实例包括但不限于亮氨酸或苯丙氨酸残基,及其可药用的盐和酯。可能的酯包括甲基、乙基、和叔丁基。In another embodiment, n is 2, 3 or 4. In certain embodiments, m is 0. In certain embodiments, AR11 is the residue of a natural amino acid, or a salt or ester thereof. Examples of amino acid residues include, but are not limited to, leucine or phenylalanine residues, and pharmaceutically acceptable salts and esters thereof. Possible esters include methyl, ethyl, and t-butyl.

在另一个实施方案中,m是1。aa的实例包括天然和非天然氨基酸残基如苯丙氨酸、甘氨酸、和亮氨酸。In another embodiment, m is 1. Examples of aa include natural and unnatural amino acid residues such as phenylalanine, glycine, and leucine.

在另一个实施方案中,(aa)m是phe-phe的残基;及其可药用盐或适当保护基。In another embodiment, (aa)m is the residue of phe-phe; and pharmaceutically acceptable salts or suitable protecting groups thereof.

在某些实施方案中,R15是氢或取代烷基,例如芳基烷基。In certain embodiments, R15 is hydrogen or substituted alkyl, such as arylalkyl.

术语“非天然氨基酸”是指包括D型在内的天然氨基酸的任何衍生物,以及α-和β-氨基酸衍生物。应当指出,在本文中分入非天然氨基酸类别的某些氨基酸(例如羟基脯氨酸)在自然界中也可存在于某些微生物或特殊蛋白质内。适合在肽固相合成中作为中间体使用的带有多种不同保护基的氨基酸可从市场上购得。除了20种最常见的天然氨基酸外,例如,下列非天然氨基酸和氨基酸衍生物也可用于本发明(括号内为常用缩写):β-丙氨酸(β-ALA),γ-氨基丁酸(GABA),2-氨基丁酸(2-Abu),α,β-脱氢-2-氨基丁酸(8-AU),1-氨基环丙烷-1-羧酸(ACPC),氨基异丁酸(Aib),2-氨基噻唑啉-4-羧酸,5-氨基戊酸(5-Ava),6-氨基己酸(6-Ahx),8-氨基辛酸(8-Aoc),11-氨基十一烷酸(11-Aun),12-氨基十二烷酸(12-Ado),2-氨基苯甲酸(2-Abz),3-氨基苯甲酸(3-Abz),4-氨基苯甲酸(4-Abz),4-氨基-3-羟基-6-甲基庚酸(抑胃酶氨酸,Sta),氨基羟乙酸(Aoa),2-氨基-1,2,3,4-四氢化萘-2-羧酸(ATC),4-氨基-5-环己基-3-羟基戊酸(ACHPA),对氨基苯丙氨酸(4-NH2-Phe),联苯丙氨酸(Bip),对溴苯丙氨酸(4-Br-Phe),邻氯苯丙氨酸(2-Cl-Phe),间氯苯丙氨酸(3-Cl-Phe),对氯苯丙氨酸(4-Cl-Phe),间氯酪氨酸(3-Cl-Tyr),对苯甲酰基苯丙氨酸(Bpa),叔丁基甘氨酸(TLG),环己基丙氨酸(Cha),环己基甘氨酸(Chg),2,3-二氨基丙酸(Dpr),2,4-二氨基丁酸(Dbu),3,4-二氯苯丙氨酸(3,4-Cl2-Phe),3,4-二氟苯丙氨酸(3,4-F2-Phe),3,5-二碘酪氨酸(3,5-I2-Tyr),邻氟苯丙氨酸(2-F-Phe),间氟苯丙氨酸(3-F-Phe),对-氟苯丙氨酸(4-F-Phe),间氟酪氨酸(3-F-Tyr),高丝氨酸(Hse),高苯丙氨酸(Hfe),高酪氨酸(Htyr),5-羟基色氨酸(5-OH-Trp),羟基脯氨酸(Hyp),对碘苯丙氨酸(4-I-Phe),3-碘酪氨酸(3-I-Tyr),2,3-二氢吲哚-2-羧酸(Idc),六氢异烟酸(Inp),间甲基酪氨酸(3-Me-Tyr),1-萘基丙氨酸(1-Nal),2-萘基丙氨酸(2-Nal),对硝基苯丙氨酸(4-NO2-Phe),3-硝基酪氨酸(3-NO2-Tyr),正亮氨酸(Nle),正缬氨酸(Nva),鸟氨酸(Orn),邻磷酸酪氨酸(H2PO3-Tyr),八氢吲哚-2-羧酸(Oic),青霉胺(Pen),五氟苯丙氨酸(F5-Phe),苯甘氨酸(Phg),哌可酸(Pip),炔丙基甘氨酸(Pra),焦谷氨酸(PGLU),肌氨酸(Sar),四氢异喹啉-3-羧酸(Tic),噻吩基丙氨酸,和噻唑烷-4-羧酸(硫脯氨酸,Th)。此外,也可以使用N-烷基化的氨基酸,以及带有含胺侧链的氨基酸(例如Lys和Orn),其中所述胺已经酰化或烷基化。The term "unnatural amino acid" refers to any derivative of a natural amino acid, including the D form, as well as alpha- and beta-amino acid derivatives. It should be noted that certain amino acids (eg, hydroxyproline) that are classified herein as unnatural amino acids may also occur in certain microorganisms or in specific proteins in nature. Amino acids with a variety of protecting groups suitable for use as intermediates in solid phase peptide synthesis are commercially available. In addition to the 20 most common natural amino acids, for example, the following unnatural amino acids and amino acid derivatives can also be used in the present invention (commonly used abbreviations are in parentheses): β-alanine (β-ALA), γ-aminobutyric acid ( GABA), 2-aminobutyric acid (2-Abu), α, β-dehydro-2-aminobutyric acid (8-AU), 1-aminocyclopropane-1-carboxylic acid (ACPC), aminoisobutyric acid (Aib), 2-aminothiazoline-4-carboxylic acid, 5-aminovaleric acid (5-Ava), 6-aminocaproic acid (6-Ahx), 8-aminooctanoic acid (8-Aoc), 11-amino Undecanoic acid (11-Aun), 12-aminododecanoic acid (12-Ado), 2-aminobenzoic acid (2-Abz), 3-aminobenzoic acid (3-Abz), 4-aminobenzoic acid (4-Abz), 4-amino-3-hydroxy-6-methylheptanoic acid (pepstatin, Sta), aminoglycolic acid (Aoa), 2-amino-1,2,3,4-tetra Hydronaphthalene-2-carboxylic acid (ATC), 4-amino-5-cyclohexyl-3-hydroxypentanoic acid (ACHPA), p-aminophenylalanine (4-NH2 -Phe), biphenylalanine ( Bip), p-bromophenylalanine (4-Br-Phe), o-chlorophenylalanine (2-Cl-Phe), m-chlorophenylalanine (3-Cl-Phe), p-chlorophenylalanine Acid (4-Cl-Phe), m-chlorotyrosine (3-Cl-Tyr), p-benzoylphenylalanine (Bpa), tert-butylglycine (TLG), cyclohexylalanine (Cha) , cyclohexylglycine (Chg), 2,3-diaminopropionic acid (Dpr), 2,4-diaminobutyric acid (Dbu), 3,4-dichlorophenylalanine (3,4-Cl2 - Phe), 3,4-difluorophenylalanine (3,4-F2 -Phe), 3,5-diiodotyrosine (3,5-I2 -Tyr), o-fluorophenylalanine (2-F-Phe), m-fluorophenylalanine (3-F-Phe), p-fluorophenylalanine (4-F-Phe), m-fluorotyrosine (3-F-Tyr), Homoserine (Hse), Homophenylalanine (Hfe), Homotyrosine (Htyr), 5-Hydroxytryptophan (5-OH-Trp), Hydroxyproline (Hyp), Iodophenylalanine acid (4-I-Phe), 3-iodotyrosine (3-I-Tyr), 2,3-dihydroindole-2-carboxylic acid (Idc), hexahydroisonicotinic acid (Inp), m- Methyltyrosine (3-Me-Tyr), 1-naphthylalanine (1-Nal), 2-naphthylalanine (2-Nal), p-nitrophenylalanine (4-NO2 -Phe), 3-nitrotyrosine (3-NO2 -Tyr), norleucine (Nle), norvaline (Nva), ornithine (Orn), o-phosphotyrosine ( H2 PO3 -Tyr), octahydroindole-2-carboxylic acid (Oic), penicillamine (Pen), pentafluorophenylalanine (F5 -Phe), phenylglycine (Phg), pipecolic acid (Pip), propargylglycine (Pra), pyroglutamic acid (PGLU), sarcosine (Sar), tetrahydroisoquinoline-3-carboxylic acid (Tic), thienylalanine, and thiazolidine -4-Carboxylic acid (thioproline, Th). In addition, N-alkylated amino acids can also be used, as well as amino acids with amine-containing side chains (eg Lys and Orn), wherein the amines have been acylated or alkylated.

本发明化合物的实例包括但不限于:Examples of compounds of the invention include, but are not limited to:

及其可药用的盐、酯、和前药。and pharmaceutically acceptable salts, esters, and prodrugs thereof.

在另一个实施方案中,本发明(至少部分)涉及式VI化合物或其可药用的盐、酯和前药:In another embodiment, the present invention relates (at least in part) to compounds of formula VI or pharmaceutically acceptable salts, esters and prodrugs thereof:

其中:in:

n是1,2,3,4,5,6,7,8,9,或10;n is 1, 2, 3, 4, 5, 6, 7, 8, 9, or 10;

A是氮或氧;A is nitrogen or oxygen;

R11是氢,成盐阳离子、成酯基团,-(CH2)x-Q,或当A为氮时,A和R11共同表示天然或非天然氨基酸残基或其盐或酯;R11 is hydrogen, a salt-forming cation, an ester-forming group, -(CH2 )x -Q, or when A is nitrogen, A and R11 together represent a natural or unnatural amino acid residue or a salt or ester thereof;

Q是氢,噻唑基,三唑基,咪唑基,苯并噻唑基,或苯并咪唑基;Q is hydrogen, thiazolyl, triazolyl, imidazolyl, benzothiazolyl, or benzimidazolyl;

x是0,1,2,3,或4;x is 0, 1, 2, 3, or 4;

R19是氢,烷基或芳基;R19 is hydrogen, alkyl or aryl;

Y1是氧,硫,或氮;Y1 is oxygen, sulfur, or nitrogen;

Y2是碳,氮或氧;Y2 is carbon, nitrogen or oxygen;

R20是氢,烷基,氨基,巯基烷基,链烯基,炔基,环烷基,芳基,芳基烷基,噻唑基,三唑基,四唑基,咪唑基,苯并噻唑基或苯并咪唑基;R20 is hydrogen, alkyl, amino, mercaptoalkyl, alkenyl, alkynyl, cycloalkyl, aryl, arylalkyl, thiazolyl, triazolyl, tetrazolyl, imidazolyl, benzothiazole or benzimidazolyl;

R21是氢,烷基,巯基烷基,链烯基,炔基,环烷基,芳基,芳基烷基,噻唑基,三唑基,四唑基,咪唑基,苯并噻唑基,苯并咪唑基,或当Y2为氧时其不存在;R is hydrogen, alkyl, mercaptoalkyl, alkenyl, alkynyl, cycloalkyl, aryl, arylalkyl, thiazolyl, triazolyl, tetrazolyl, imidazolyl, benzothiazolyl, benzimidazolyl, or its absence whenY is oxygen;

R22是氢,烷基,巯基烷基,链烯基,炔基,环烷基,芳基,芳基烷基,噻唑基,三唑基,四唑基,咪唑基,苯并噻唑基,苯并咪唑基;或者当Y1为氮时,R22是氢,羟基,烷氧基或芳氧基;或者当Y1为氧或硫时,R22是不存在的;或者当Y1为氮时,R22和R21可连接形成环状基团;R is hydrogen, alkyl, mercaptoalkyl, alkenyl, alkynyl, cycloalkyl, aryl, arylalkyl, thiazolyl, triazolyl, tetrazolyl, imidazolyl, benzothiazolyl, benzimidazolyl; or when Y1 is nitrogen, R22 is hydrogen, hydroxyl, alkoxy or aryloxy; or when Y1 is oxygen or sulfur, R22 is absent; or when Y1 is When nitrogen, R22 and R21 can be connected to form a cyclic group;

R23是氢,烷基,氨基,巯基烷基,链烯基,炔基,环烷基,芳基,芳基烷基,噻唑基,三唑基,四唑基,咪唑基,苯并噻唑基,或苯并咪唑基,或当Y2为氮或氧时其不存在。R23 is hydrogen, alkyl, amino, mercaptoalkyl, alkenyl, alkynyl, cycloalkyl, aryl, arylalkyl, thiazolyl, triazolyl, tetrazolyl, imidazolyl, benzothiazole group, or benzimidazole group, or its absence whenY is nitrogen or oxygen.

在另一个实施方案中,R11是成盐阳离子。成盐阳离子的实例包括本文所述的可药用盐以及锂、钠、钾、镁、钙、钡、锌、铁、和铵。在进一步的实施方案中,所述盐是钠盐。在进一步的实施方案中,A为氧。In another embodiment, R11 is a salt-forming cation. Examples of salt-forming cations include the pharmaceutically acceptable salts described herein as well as lithium, sodium, potassium, magnesium, calcium, barium, zinc, iron, and ammonium. In a further embodiment, the salt is a sodium salt. In a further embodiment, A is oxygen.

在另一个实施方案中,Y1是氧或硫,且R22是不存在的。In another embodiment, Y1 is oxygen or sulfur, and R22 is absent.

在另一个实施方案中,Y2是氧且R21是不存在的。R20的实例包括苄基,芳基(例如苯基),烷基,环烷基(例如金刚烷基)等。在其它实施方案中,Y2是氮且R21是氢。在其它实施方案中,R21是苄基。在另一个进一步的实施方案中,R20和R21连接形成吡啶基环。在另一个实施方案中,Y1是硫。In another embodiment, Y2 is oxygen and R21 is absent. Examples ofR20 include benzyl, aryl (eg phenyl), alkyl, cycloalkyl (eg adamantyl) and the like. In other embodiments, Y2 is nitrogen and R21 is hydrogen. In other embodiments, R21 is benzyl. In another further embodiment,R20 andR21 are joined to form a pyridyl ring. In another embodiment,Y1 is sulfur.

本发明的其它化合物包括以下化合物及其可药用的盐、酯、和前药:Other compounds of the present invention include the following compounds and pharmaceutically acceptable salts, esters, and prodrugs thereof:

本发明的其它化合物包括以下化合物及其可药用的盐、前药和酯:Other compounds of the invention include the following compounds and their pharmaceutically acceptable salts, prodrugs and esters:

Figure A20048002425000721
Figure A20048002425000721

本发明涉及本发明化合物的盐形式以及酸/碱形式。例如,本发明不仅涉及本文中以盐形式表示的化合物的特定盐形式,而且本发明也包括其它可药用的盐,以及所述化合物的酸和/或碱形式。本发明也涉及本文所示化合物的盐形式。The present invention relates to salt forms as well as acid/base forms of the compounds of the invention. For example, the present invention is not only concerned with specific salt forms of the compounds represented herein as salt forms, but also includes other pharmaceutically acceptable salts, as well as acid and/or base forms of the compounds. The present invention also relates to the salt forms of the compounds shown herein.

本发明化合物也见下表2所示。Compounds of the present invention are also shown in Table 2 below.

                            表2 Table 2

Figure A20048002425000741
Figure A20048002425000741

Figure A20048002425000751
Figure A20048002425000751

Figure A20048002425000761
Figure A20048002425000761

Figure A20048002425000771
Figure A20048002425000771

Figure A20048002425000781
Figure A20048002425000781

Figure A20048002425000791
Figure A20048002425000791

Figure A20048002425000801
Figure A20048002425000801

Figure A20048002425000811
Figure A20048002425000811

Figure A20048002425000831
Figure A20048002425000831

应当指出,在上表以及本申请中,当所示原子没有氢,而形成稳定化合物又需要或者是化学上必需氢的情况下,则应推定氢是化合物的一部分。It should be noted that in the above table, as well as in this application, where hydrogen is required or chemically necessary for the formation of a stable compound where the atom shown lacks hydrogen, then hydrogen should be presumed to be part of the compound.

在一个实施方案中,本发明不涉及WO 00/64420和WO 96/28187中描述的化合物。在这一实施方案中,本发明不涉及使用WO 00/64420和WO 96/28187中描述的化合物治疗这些文献所述疾病或症状的方法。在进一步的实施方案中,本发明涉及使用WO 00/64420和WO96/28187中所述化合物的方法,它用于本申请所述的方法,这些方法在WO 00/64420和WO96/28187中没有记载。WO 00/64420和WO96/28187的全部内容在此引入用作参考。In one embodiment, the present invention does not relate to the compounds described in WO 00/64420 and WO 96/28187. In this embodiment, the present invention does not relate to methods of using the compounds described in WO 00/64420 and WO 96/28187 for the treatment of diseases or conditions described in these documents. In a further embodiment, the present invention relates to methods of using the compounds described in WO 00/64420 and WO 96/28187 for use in methods described in the present application which are not described in WO 00/64420 and WO 96/28187 . The entire contents of WO 00/64420 and WO 96/28187 are hereby incorporated by reference.

应当理解,此处所述的或“相关申请”部分的申请中描述的任何化合物的应用都落在本发明的范围之内,并且被本发明所包括,并且至少出于这些目的,每件申请的内容都明确地引入本文,而且出于其他目的也都进一步明确地引入本文。It is to be understood that the use of any compound described herein or in the applications described in the "Related Applications" section falls within the scope of and is encompassed by the present invention, and for at least these purposes, each application are expressly incorporated herein, and are further expressly incorporated herein for other purposes.

患者和患者群体Patients and Patient Groups

术语“患者”包括其中可以发生淀粉样变性或容易感染淀粉样疾病的,例如阿尔茨海默氏病、唐氏综合症、轻度认知损伤、透析相关性(β2M)淀粉样变性、继发性(aa)淀粉样变性、原发性(AL)淀粉样变性、遗传性淀粉样变性、糖尿病等等的活生物体。患者的实例包括人、鸡、鸭、北京鸭、鹅、鹿、猴子、牛、兔子、绵羊、山羊、狗、猫、小鼠、大鼠及其转基因物种。如本文进一步所述,可以使用已知的方法,以能有效地抑制患者中淀粉样蛋白沉积或淀粉样蛋白有毒的毒性的剂量和治疗时间周期对受治疗的患者给药本发明的组合物。达到治疗效果所需的治疗化合物的有效量随多种因素而变化,例如患者治疗部位已经沉积的淀粉样蛋白的量、患者的年龄、性别、和体重、以及治疗化合物调节患者体中淀粉样蛋白聚集的能力。可以调整给药方案以获得最佳治疗反应。例如,可以每日给药多个分剂量,或者根据治疗情况的急迫程度按比例地减少剂量。The term "patient" includes those in whom amyloidosis can develop or are susceptible to amyloid diseases, such as Alzheimer's disease, Down's syndrome, mild cognitive impairment, dialysis-associated (β2M ) amyloidosis, Living organisms of secondary (aa) amyloidosis, primary (AL) amyloidosis, hereditary amyloidosis, diabetes, and the like. Examples of patients include humans, chickens, ducks, Peking ducks, geese, deer, monkeys, cows, rabbits, sheep, goats, dogs, cats, mice, rats, and transgenic species thereof. As further described herein, the compositions of the present invention may be administered to a patient to be treated at dosages and treatment periods effective to inhibit amyloid deposition or amyloid-toxic toxicity in the patient using known methods. The effective amount of a therapeutic compound required to achieve a therapeutic effect varies with factors such as the amount of amyloid that has been deposited at the patient's treatment site, the age, sex, and weight of the patient, and the modulation of amyloid in the patient by the therapeutic compound. Ability to gather. Dosage regimens may be adjusted to obtain the optimum therapeutic response. For example, several divided doses may be administered daily or the dose may be proportionally reduced as indicated by the exigencies of the therapeutic situation.

在本发明的某些具体方案中,患者需要通过本发明的方法进行治疗,并且基于该需要选择治疗方法。需要治疗的患者是本领域公知的,并且包括以下患者:已经被证明患有与淀粉样蛋白沉积或淀粉样变性有关的疾病或病症的患者、具有这种疾病或病症的症状的患者,或者处于这种疾病或病症的危险之中的患者,以及基于诊断学(例如内科诊断学)预期能够通过治疗(例如治愈、痊愈、预防、减轻、缓解、改变、弥补、改善、改进或影响该疾病或病症、以及该疾病或病症的症状、或疾病或病症的危险)而受益的患者。In certain embodiments of the invention, a patient is in need of treatment by the methods of the invention, and the method of treatment is selected based on that need. Patients in need of treatment are well known in the art and include patients who have been documented to have a disease or condition associated with amyloid deposition or amyloidosis, have symptoms of such a disease or condition, or are in the patients at risk of such a disease or condition, and based on diagnostics (e.g., medical diagnostics), are expected to be able to treat (e.g., cure, cure, prevent, alleviate, alleviate, alter, remedy, ameliorate, ameliorate, or affect the disease or condition) disease, the symptoms of the disease or disorder, or the risk of the disease or disorder).

在本发明的示例方案中,患者指人。例如,患者可以是超过30岁的人、超过40岁的人、超过50岁的人、超过60岁的人、超过70岁的人、超过80岁的人、超过85岁的人、超过90岁的人、超过95岁的人。患者可以是女性,包括绝经后妇女,这种妇女可能正在接受(雌激素)替代疗法。患者也可以是男性。在另一个实施方案中,患者小于40岁。In an exemplary aspect of the invention, a patient refers to a human being. For example, a patient can be a person over 30 years old, a person over 40 years old, a person over 50 years old, a person over 60 years old, a person over 70 years old, a person over 80 years old, a person over 85 years old, a person over 90 years old people, people over 95 years old. Patients can be female, including postmenopausal women, who may be receiving (estrogen) replacement therapy. Patients can also be male. In another embodiment, the patient is less than 40 years old.

患者可以是处于阿耳茨海默氏病危险中的人,例如年龄超过40岁的人,或具有阿耳茨海默氏病倾向的人。科学文献中确定的或提出的阿耳茨海默氏病素因性因素尤其包括使患者易患阿耳茨海默氏病的基因型(genotype);使患者易患阿耳茨海默氏病的环境因素;使患者易患阿耳茨海默氏病的病毒与细菌因子引起的过去感染史;以及使患者易患阿耳茨海默氏病的血管因子。患者也可以具有一种或多种能引起心血管病(例如冠状动脉粥样硬化、心绞痛、和心肌梗塞)或脑血管病(例如颅内或颅外动脉的粥样硬化、中风、晕厥、和短暂性缺血发作)的危险病因,例如血胆甾醇过多,高血压,糖尿病,吸烟,家族性或以前的冠状动脉病、脑血管病和心血管病病史。血胆甾醇过多通常定义为血清总胆固醇浓度大于约5.2mmol/L(大约200mg/dL)。A patient may be a person at risk for Alzheimer's disease, eg a person over the age of 40, or a person predisposed to Alzheimer's disease. Alzheimer's disease predisposing factors identified or proposed in the scientific literature include, inter alia, genotypes that predispose patients to Alzheimer's disease; factors that predispose patients to Alzheimer's disease Environmental factors; history of past infections caused by viral and bacterial agents that predispose patients to Alzheimer's disease; and vascular factors that predispose patients to Alzheimer's disease. Patients may also have one or more conditions that can cause cardiovascular disease (such as coronary atherosclerosis, angina pectoris, and myocardial infarction) or cerebrovascular disease (such as atherosclerosis of intracranial or extracranial arteries, stroke, syncope, and Transient ischemic attacks) such as hypercholesterolemia, hypertension, diabetes mellitus, smoking, familial or previous history of coronary artery disease, cerebrovascular disease, and cardiovascular disease. Hypercholesterolemia is generally defined as a serum total cholesterol concentration greater than about 5.2 mmol/L (approximately 200 mg/dL).

据信有数种基因型能够使患者易患阿耳茨海默氏病。这些包括诸如与家族性阿耳茨海默氏病有关的早老蛋白-1、早老蛋白-2、和淀粉样蛋白前体(APP)错义突变的基因型,以及α-2-巨球蛋白和LPR-1基因型,它们被认为能增加获得性散发性(延期发作)阿耳茨海默氏病的危险性。E.van Uden等,J.Neurosci.22(21),9298-304(2002);J.J.Goto等,J.Mol.Neurosci.19(1-2),37-41(2002)。形成阿耳茨海默氏病的另一遗传危险因子是ApoE的变体,ApoE是编码载脂蛋白E的基因(特别是apoE4基因型),后者是低密度脂蛋白颗粒的组分。WJ Strittmatter等,Annu.Rev.Neurosci.19,53-77(1996)。各种ApoE等位基因改变形成阿耳茨海默氏病可能性的分子机制是未知的,但ApoE在胆固醇代谢中的作用与关联胆固醇代谢和阿耳茨海默氏病一些不断增加的证据一致。例如,近来发现,长期使用降胆固醇药物如他汀类的同时,阿耳茨海默氏病的发生率降低,并且已经证明降胆固醇药能减少APP转基因小鼠的病变。这些及其他研究表明,胆固醇可能会影响APP进程。已经证明ApoE4能改变(脑内外)Aβ运转(trafficking),并且促进Aβ在脑中的保留。也已经证明,ApoE4能促进APP加工形成Aβ。尽管流行病学证据尚不明确,但环境因素已被认为能使患者易患阿耳茨海默氏病,包括与铝接触。另外,某些病毒或细菌因子的早期感染可能会使患者易患阿耳茨海默氏病,这些因子包括单纯性疱疹病毒和肺炎衣原体。最后,引起阿耳茨海默氏病的其他素因性因素包括心血管或脑血管病方面的危险因素,包括吸烟、高血压和糖尿病。“具有阿耳茨海默氏病危险性”也包括上面未列出的或尚未确定的其他素因性因素,并且包括头损伤、药疗法、饮食、或生活方式引起的高阿耳茨海默氏病危险性。Several genotypes are believed to predispose patients to Alzheimer's disease. These include genotypes such as presenilin-1, presenilin-2, and amyloid precursor (APP) missense mutations associated with familial Alzheimer's disease, as well as alpha-2-macroglobulin and LPR-1 genotypes, which are thought to increase the risk of acquired sporadic (delayed onset) Alzheimer's disease. E. van Uden et al., J. Neurosci. 22(21), 9298-304 (2002); J. J. Goto et al., J. Mol. Neurosci. 19(1-2), 37-41 (2002). Another genetic risk factor for the development of Alzheimer's disease is a variant of ApoE, the gene encoding apolipoprotein E (specifically the apoE4 genotype), which is a component of low-density lipoprotein particles. WJ Strittmatter et al., Annu. Rev. Neurosci. 19, 53-77 (1996). The molecular mechanisms by which various ApoE alleles alter the likelihood of developing Alzheimer's disease are unknown, but a role for ApoE in cholesterol metabolism is consistent with some mounting evidence linking cholesterol metabolism and Alzheimer's disease . For example, it has recently been found that the incidence of Alzheimer's disease is reduced with long-term use of cholesterol-lowering drugs such as statins, and cholesterol-lowering drugs have been shown to reduce lesions in APP transgenic mice. These and other studies suggest that cholesterol may affect the APP process. ApoE4 has been shown to alter A[beta] trafficking (both in and out of the brain) and promote retention of A[beta] in the brain. It has also been shown that ApoE4 can promote the processing of APP to form Aβ. Environmental factors, including exposure to aluminum, have been thought to predispose patients to Alzheimer's disease, although epidemiological evidence is unclear. Additionally, early infection with certain viral or bacterial agents, including herpes simplex virus and Chlamydia pneumoniae, may predispose patients to Alzheimer's disease. Finally, other predisposing factors for Alzheimer's disease include cardiovascular or cerebrovascular risk factors, including smoking, hypertension, and diabetes. "At risk for Alzheimer's disease" also includes other predisposing factors not listed above or not yet identified, and includes head injury, medication, diet, or lifestyle-induced high Alzheimer's disease disease risk.

本发明的方法可以用于一种或多种以下用途:预防阿耳茨海默氏病,治疗阿耳茨海默氏病,或缓解阿耳茨海默氏病的症状,或调节淀粉样蛋白β(Aβ)肽的产物或水平。在一个实施方案中,人携带一个或多个编码β-淀粉样蛋白前体蛋白、早老蛋白-1或早老蛋白-2的基因的突变。在另一个实施方案中,人携带载脂蛋白4基因。在另一个实施方案中,人具有家族史性阿耳茨海默氏病或痴呆病。在另一个实施方案中,人具有三体性21(唐氏综合症)。在另一个实施方案中,患者具有正常或低的血清总血胆固醇水平。在另一个实施方案中,血清总血胆固醇水平低于大约200mg/dL,或低于大约180,并且可以在大约150至大约200mg/dL范围内。在另一个实施方案中,总LDL胆固醇水平低于大约100mg/dL,或低于大约90mg/dL,并且可以在大约30至大约100mg/dL范围内。测量血清总血胆固醇和总LDL胆固醇的方法是本领域技术人员公知的,例如包括WO 99/38498第11页中描述的方法,该方法在此引入用作参考。测定血清中其他甾醇水平的方法见H.Gylling等所述:“Serum Sterols During Stanol EsterFeeding in a Mildyly Hypercholesterolemic Population”,J.Lipid Res.40:593-600(1999)。The methods of the present invention may be used for one or more of the following purposes: preventing Alzheimer's disease, treating Alzheimer's disease, or alleviating symptoms of Alzheimer's disease, or modulating amyloid Production or level of beta (Aβ) peptide. In one embodiment, the human carries a mutation in one or more genes encoding beta-amyloid precursor protein, presenilin-1 or presenilin-2. In another embodiment, the human carries the apolipoprotein 4 gene. In another embodiment, the human has a family history of Alzheimer's disease or dementia. In another embodiment, the human has trisomy 21 (Down syndrome). In another embodiment, the patient has normal or low serum total blood cholesterol levels. In another embodiment, the serum total blood cholesterol level is less than about 200 mg/dL, or less than about 180, and may range from about 150 to about 200 mg/dL. In another embodiment, the total LDL cholesterol level is less than about 100 mg/dL, or less than about 90 mg/dL, and may range from about 30 to about 100 mg/dL. Methods for measuring serum total blood cholesterol and total LDL cholesterol are well known to those skilled in the art and include, for example, the method described on page 11 of WO 99/38498, which is incorporated herein by reference. Methods for determining other sterol levels in serum are described by H. Gylling et al.: "Serum Sterols During Stanol EsterFeeding in a Mildyly Hypercholesterolemic Population", J. Lipid Res. 40:593-600 (1999).

在另一个实施方案中,患者具有高血清总血胆固醇水平。在另一个实施方案中,血清总胆固醇水平至少为大约200mg/dL,或至少大约220mg/dL,并且可以在大约200至大约1000mg/dL范围内。在另一个实施方案中,患者具有高总LDL胆固醇水平。在另一个实施方案中,总LDL胆固醇水平高于约100mg/dL,或者甚至高于约110mg/dL,并且可以在大约100至大约1000mg/dL。In another embodiment, the patient has high serum total blood cholesterol levels. In another embodiment, the serum total cholesterol level is at least about 200 mg/dL, or at least about 220 mg/dL, and may range from about 200 to about 1000 mg/dL. In another embodiment, the patient has high total LDL cholesterol levels. In another embodiment, the total LDL cholesterol level is above about 100 mg/dL, or even above about 110 mg/dL, and can be between about 100 and about 1000 mg/dL.

在另一个实施方案中,人至少为大约40岁。在另一个实施方案中,人至少为大约60岁。在另一个实施方案中,人至少为大约70岁。在另一个实施方案中,人至少为大约80岁。在另一个实施方案中,人至少为大约85岁。在一个实施方案中,人为大约60至大约100岁。In another embodiment, the human is at least about 40 years old. In another embodiment, the human is at least about 60 years old. In another embodiment, the human is at least about 70 years old. In another embodiment, the human is at least about 80 years old. In another embodiment, the human is at least about 85 years old. In one embodiment, the human is about 60 to about 100 years old.

在再一个实施方案中,患者通过诊断脑成像技术(例如,一种测量脑活性、噬斑沉积、或脑萎缩的技术)被证明处于危险中。In yet another embodiment, the patient is identified as being at risk by a diagnostic brain imaging technique (eg, a technique that measures brain activity, plaque deposition, or brain atrophy).

在又一个实施方案中,患者通过认知试验譬如临床痴呆等级评估法(“CDR”)、阿耳茨海默氏病认知能力等级评估(AlzheimeR’s DiseaseAssessment Scale-Cognition)(“ADAS-Cog”)、或小型精神状态检查法(“MMSE”)被证明处于危险中。与相似年龄和教育背景的实际对照者相比,患者在认知试验中显示低于平均成绩。对于相同或相似的认知试验,与患者以前成绩相比,患者也显示出成绩降低。In yet another embodiment, the patient passes a cognitive test such as Clinical Dementia Rating ("CDR"), Alzheimer's Disease Assessment Scale-Cognition ("ADAS-Cog") , or the Mini-Mental State Examination (“MMSE”) proved to be at risk. Patients showed below-average performance on cognitive tests compared to actual controls of similar age and educational background. Patients also showed reduced performance on the same or similar cognitive tests compared to the patient's previous performance.

在测定CDR时,通常对患者的以下六种认知和行为种类的每一种进行评估并分级:记忆、定方向、判断和解决问题的能力、社会事务、家庭和爱好,以及个人喜好。评估可包括患者或(优选)充分了解患者的助证者提供的历史资料。在这些领域中的每一个领域都对患者进行评估并分级,然后确定总的等级(0,0.5,1.0,2.0或3.0)。0等级被认为是正常的。1.0等级被认为对应于轻度痴呆。具有0.5CDR的患者具有以下特征:轻度一贯性(consistent)健忘、事件部分回忆和“良性”健忘。在一个实施方案中,采用高于0、高于约0.5、高于约1.0、高于约1.5、高于约2.0、高于约2.5或大约3.0的CDR等级对患者进行评价。In determining the CDR, patients are typically assessed and rated for each of the following six cognitive and behavioral categories: memory, orientation, judgment and problem-solving, social affairs, family and hobbies, and personal preferences. Evaluation may include historical information provided by the patient or (preferably) a witness who is well informed about the patient. Patients are assessed and graded in each of these domains, and an overall grade (0, 0.5, 1.0, 2.0 or 3.0) is determined. A grade of 0 is considered normal. A scale of 1.0 is considered to correspond to mild dementia. Patients with a CDR of 0.5 are characterized by mild consistent amnesia, partial recall of events, and "benign" amnesia. In one embodiment, the patient is evaluated using a CDR rating of greater than 0, greater than about 0.5, greater than about 1.0, greater than about 1.5, greater than about 2.0, greater than about 2.5, or about 3.0.

另一项试验是小型精神状态检查法(MMSE),见Folstein所述:“小型精神状态.一种临床医师分级患者认知状态的实用方法”,J.Psychiatr.Res.12:189-198,1975。MMSE能评价综合性智力退化的存在。同样参见Folstein“痴呆症的鉴别诊断:临床方法”,PsychiatrClin North Am.20:45-57,1997。MMSE是一种评价在阿耳茨海默氏病和多梗塞性痴呆中观测到的痴呆发作和存在综合性智力退化的方法。MMSE分1-30个等级。MMSE不评价基本认知潜能(例如象所谓的IQ试验那样),而是测试智力技能。在MMSE目标试验中,一个“正常”智力能力的人记分为“30”(而在IQ试验中,MMSE成绩为30的人可能获得远低于“正常”的成绩)。例如,参见Kaufer,J.Neuropsychiatry Clin.Neurosci.10:55-63,1998;Becke,AlzheimerDis Assoc Disord.12:54-57,1998;Ellis,Arch.Neurol.55:360-365,1998;Magni,Int.Psychogeriatr.8:127-134,1996;Monsch,ActaNeurol.Scand.92:145-150,1995.在一个实施方案中,患者的MMSE成绩至少一次低于30。在另一个实施方案中,患者的成绩低于大约28,低于大约26,低于大约24,低于大约22,低于大约20,低于大约18,低于大约16,低于大约14,低于大约12,低于大约10,低于大约8,低于大约6,低于大约4,低于大约2,或低于大约1。Another trial is the Mini-Mental State Examination (MMSE), described by Folstein: "The Mini-Mental State. A Practical Approach for Clinicians to Grad the Cognitive State of Patients", J. Psychiatr. Res. 12:189-198, 1975. MMSE can assess the presence of generalized mental retardation. See also Folstein, "Differential Diagnosis of Dementia: A Clinical Approach," Psychiatr Clin North Am. 20:45-57, 1997. The MMSE is a method for assessing the onset of dementia and the presence of general mental decline observed in Alzheimer's disease and multi-infarct dementia. MMSE is divided into 1-30 levels. The MMSE does not assess basic cognitive potential (like for example the so-called IQ tests), but tests intellectual skills. A person with "normal" intellectual ability scores "30" on the MMSE target test (whereas a person with an MMSE score of 30 on the IQ test may score far below "normal"). See, eg, Kaufer, J. Neuropsychiatry Clin. Neurosci. 10:55-63, 1998; Becke, Alzheimer Dis Assoc Disord. 12:54-57, 1998; Ellis, Arch. Neurol. 55:360-365, 1998; Magni, Int. Psychogeriatr. 8: 127-134, 1996; Monsch, ActaNeurol. Scand. 92: 145-150, 1995. In one embodiment, the patient has an MMSE score below 30 at least once. In another embodiment, the patient has a score below about 28, below about 26, below about 24, below about 22, below about 20, below about 18, below about 16, below about 14, Below about 12, below about 10, below about 8, below about 6, below about 4, below about 2, or below about 1.

另一种评价认知,特别是阿耳茨海默氏病的方法是阿耳茨海默氏病等级评价法(ADAS-Cog),或被称为“标准化阿耳茨海默氏病等级评价法(SADAS)”的变换方法。这种方法通常在阿耳茨海默氏病以及以认知退化为特征的相关疾病的临床药物试验中用作效率的量度。SADAS和ADAS-Cog不是用来诊断阿耳茨海默氏病;它们用于表征痴呆的症状,是痴呆进展的相对敏感指标。(参见,例如,Doraiswamy,Neurology 48:1511-1517,1997;和Standish,J.Am.Geriatr.Soc.44:712-716,1996)。未经治疗的阿耳茨海默氏病患者的每年退化率为大约8点/年(参见,例如,Raskind,M Prim.CareCompanion J Clin Psychiatry 2000 Aug;2(4):134-138)。Another method for assessing cognition, specifically Alzheimer's disease, is the Alzheimer's Disease Scale (ADAS-Cog), or the Standardized Alzheimer's Disease Scale Method (SADAS)" conversion method. This approach is commonly used as a measure of efficiency in clinical drug trials for Alzheimer's disease and related diseases characterized by cognitive decline. SADAS and ADAS-Cog are not used to diagnose Alzheimer's disease; they are used to characterize the symptoms of dementia and are relatively sensitive indicators of dementia progression. (See, eg, Doraiswamy, Neurology 48:1511-1517, 1997; and Standish, J. Am. Geriatr. Soc. 44:712-716, 1996). The annual regression rate in untreated Alzheimer's disease patients is approximately 8 points/year (see, eg, Raskind, M Prim. Care Companion J Clin Psychiatry 2000 Aug;2(4):134-138).

ADAS-Cog是利用调查表,按照70分等级测量AD中可观测到的认知退化的进展与严重程度。ADAS-cog等级定量地表示错误答案的数量。因此,高的等级成绩表示认知退化的情况越严重。在一个实施方案中,患者显示高于0、高于大约5、高于大约10、高于大约15、高于大约20、高于大约25、高于大约30、高于大约35、高于大约40、高于大约45、高于大约50、高于大约55、高于大约60、高于大约65、高于大约68、或大约70的成绩。The ADAS-Cog measures the progression and severity of observable cognitive decline in AD using a questionnaire on a 70-point scale. The ADAS-cog grade quantitatively represents the number of wrong answers. Therefore, higher grade scores indicate more severe cognitive decline. In one embodiment, the patient exhibits greater than 0, greater than about 5, greater than about 10, greater than about 15, greater than about 20, greater than about 25, greater than about 30, greater than about 35, greater than about 40. Grades above about 45, above about 50, above about 55, above about 60, above about 65, above about 68, or about 70.

在另一个实施方案中,患者不显示阿耳茨海默氏病症状。在另一个实施方案中,患者是年龄至少40且不显示阿耳茨海默氏症状的人。在另一个实施方案中,患者是至少40岁且显示出一种或多种阿耳茨海默氏病症状的人。In another embodiment, the patient exhibits no symptoms of Alzheimer's disease. In another embodiment, the patient is a human who is at least 40 years of age and does not exhibit symptoms of Alzheimer's. In another embodiment, the patient is a person who is at least 40 years old and exhibits one or more symptoms of Alzheimer's disease.

在另一个实施方案中,患者患有轻度认知损伤。在进一步的实施方案中,患者具有大约0.5等级的CDR。在另一个实施方案中,患者患有早期阿耳茨海默氏病。在另一个实施方案中,患者患有脑淀粉样血管病。In another embodiment, the patient has mild cognitive impairment. In a further embodiment, the patient has a CDR of about 0.5 rank. In another embodiment, the patient has early Alzheimer's disease. In another embodiment, the patient has cerebral amyloid angiopathy.

采用本发明的方法,患者的血浆或脑脊髓液中淀粉样蛋白β肽的水平按治疗前的水平计降低大约10-大约100%,或者甚至大约50-大约100%。Using the methods of the invention, the level of amyloid beta peptide in the patient's plasma or cerebrospinal fluid is reduced by about 10 to about 100%, or even about 50 to about 100%, of the pre-treatment level.

在一个可供选择的实施方案中,在按照本发明方法治疗之前患者的血液和CSF中可以具有以下的高水平淀粉样蛋白Aβ40和Aβ42肽:高于大约10pg/mL,或高于大约20pg/mL,或高于大约35pg/mL,或甚至高于大约40pg/mL。在另一个实施方案中,高水平的淀粉样蛋白Aβ42肽可以为大约30pg/mL到大约200pg/mL,或者甚至可到大约500pg/mL。本领域专业技术人员应当理解,随着阿耳茨海默氏病的进展,CSF中的淀粉样蛋白β肽的可测量水平可能从疾病发作前的高水平降下来。这种结果的原因在于沉积增多,即捕获了脑中的Aβ肽,而不是从脑中正常清除到CSF中。In an alternative embodiment, patients may have high levels of amyloidAβ40 andAβ42 peptides in their blood and CSF prior to treatment according to the methods of the invention: greater than about 10 pg/mL, or greater than about 20 pg/mL, or above about 35 pg/mL, or even above about 40 pg/mL. In another embodiment, high levels of amyloid A[beta]42 peptide may be from about 30 pg/mL to about 200 pg/mL, or even up to about 500 pg/mL. Those skilled in the art will appreciate that as Alzheimer's disease progresses, measurable levels of amyloid beta peptide in CSF may decline from high levels prior to disease onset. The reason for this result is increased deposition, ie capture of Aβ peptides in the brain, rather than normal clearance from the brain into the CSF.

在一个可供选择的实施方案中,在按照本发明方法治疗之前患者的血液和CSF中可以具有以下的高水平淀粉样蛋白Aβ40肽:高于大约5pg Aβ42/mL或高于大约50pg Aβ40/mL,或高于大约40pg/mL。在另一个实施方案中,高水平的淀粉样蛋白Aβ40肽可以为大约200pg/mL到大约800pg/mL,或者甚至可到大约1000pg/mL。In an alternative embodiment, patients may have high levels of amyloidAβ40 peptide in their blood and CSF prior to treatment according to the methods of the invention: greater than about 5 pgAβ42 /mL or greater than about 50 pg Aβ40 /mL, or higher than about 40pg/mL. In another embodiment, high levels of amyloid A[beta]40 peptide may be from about 200 pg/mL to about 800 pg/mL, or even up to about 1000 pg/mL.

在另一个实施方案中,在按照本发明方法治疗之前患者的CSF中可以具有以下的高水平淀粉样蛋白Aβ42肽:高于大约5pg/mL,或高于大约10pg/mL,或高于大约200pg/mL,或高于大约500pg/mL。在另一个实施方案中,淀粉样蛋白β肽的水平可以为大约10pg/mL到大约1,000pg/mL,或者甚至为大约100pg/mL到大约1,000pg/mL。In another embodiment, patients may have high levels of amyloidAβ42 peptide in their CSF prior to treatment according to the methods of the invention: greater than about 5 pg/mL, or greater than about 10 pg/mL, or greater than about 200pg/mL, or higher than about 500pg/mL. In another embodiment, the level of amyloid beta peptide may be from about 10 pg/mL to about 1,000 pg/mL, or even from about 100 pg/mL to about 1,000 pg/mL.

在另一个实施方案中,在按照本发明方法治疗之前患者的CSF中可以具有以下的高水平淀粉样蛋白Aβ40肽:高于大约10pg/mL,或高于大约50pg/mL,或甚至高于大约100pg/mL。在另一个实施方案中,淀粉样蛋白β肽的水平可以为大约10pg/mL到大约1,000pg/mL。In another embodiment, patients may have high levels of amyloidAβ40 peptide in their CSF prior to treatment according to the methods of the invention: greater than about 10 pg/mL, or greater than about 50 pg/mL, or even greater than About 100pg/mL. In another embodiment, the level of amyloid beta peptide may be from about 10 pg/mL to about 1,000 pg/mL.

患者脑、CSF、血液或血浆中淀粉样蛋白β肽的含量可以采用酶联免疫吸附测定法(“ELISA”)或定量免疫印迹测试法或采用定量SELDI-TOF法评估,这些方法是本领域技术人员公知的,例如见Zhang等,J.Biol.Chem.274,8966-72(1999)和Zhang等,Biochemistry 40,5049-55(2001)。同样还可以参见A.K.Vehmas等,DNA Cell Biol.20(11),713-21(2001),P.Lewczuk等,Rapid Commun.Mass Spectrom.17(12),1291-96(2003);B.M.Austen等,J.Peptide Sci.6,459-69(2000);和H.Davies等,BioTechniques 27,1258-62(1999)。这些试验采用已经按照本领域技术人员公知的方法制备的脑样或血样样品进行。测量淀粉样蛋白β肽水平的适用方法的另一实例是铕免疫测定法(EIA)。参见WO 99/38498第11页。The amount of amyloid beta peptide in a patient's brain, CSF, blood or plasma can be assessed using an enzyme-linked immunosorbent assay ("ELISA") or a quantitative immunoblot test or using a quantitative SELDI-TOF method, which methods are within the skill in the art Known to the person, see, for example, Zhang et al., J. Biol. Chem. 274, 8966-72 (1999) and Zhang et al., Biochemistry 40, 5049-55 (2001). See also A.K.Vehmas et al., DNA Cell Biol. 20(11), 713-21(2001), P.Lewczuk et al., Rapid Commun. Mass Spectrom.17(12), 1291-96(2003); B.M.Austen et al. , J. Peptide Sci. 6, 459-69 (2000); and H. Davies et al., BioTechniques 27, 1258-62 (1999). These tests are performed using brain or blood samples which have been prepared according to methods known to those skilled in the art. Another example of a suitable method for measuring amyloid beta peptide levels is the europium immunoassay (EIA). See page 11 of WO 99/38498.

本发明的方法可以作为一种治疗方法用于阿耳茨海默氏病或痴呆症患者,或者本发明方法可以作为预防阿耳茨海默氏病或痴呆症的方法用于具有这种素因的患者,例如具有在APP基因、ApoE基因或早老蛋白基因上基因组突变的患者。患者可以患有(或易于发展成或被怀疑患有)血管性痴呆,或老年性痴呆,轻度认知损伤,或早期阿耳茨海默氏病。除阿耳茨海默氏病外,患者可以患有其他淀粉样相关疾病如脑淀粉样血管病,或者患者也可以患有淀粉样蛋白沉积病,尤其是淀粉样蛋白-β在脑中的淀粉样沉积。The method of the present invention can be used as a method of treatment for Alzheimer's disease or dementia patients, or the method of the present invention can be used as a method for preventing Alzheimer's disease or dementia for people with such a predisposition A patient, eg, a patient with a genomic mutation in the APP gene, ApoE gene, or presenilin gene. The patient may have (or be prone to develop or be suspected of having) vascular dementia, or senile dementia, mild cognitive impairment, or early Alzheimer's disease. In addition to Alzheimer's disease, patients can have other amyloid-related diseases such as cerebral amyloid angiopathy, or patients can also have amyloid deposition diseases, especially amyloid-beta amyloid in the brain sample deposition.

淀粉样相关疾病的治疗Treatment of Amyloid-Related Diseases

本发明涉及使用本发明化合物及其药物组合物治疗和预防淀粉样相关疾病的方法。可以治疗性地或预防性地给用本发明的药物组合物以治疗与淀粉样蛋白(例如,AL淀粉样蛋白(λ或κ-链有关的,例如淀粉样蛋白λ、淀粉样蛋白κ、淀粉样蛋白κIV、淀粉样蛋白λVI、淀粉样蛋白γ、淀粉样蛋白γ1),Aβ,IAPP,β2M,AA,或AH淀粉样蛋白)原纤维的形成、聚集或沉积相关的疾病。The present invention relates to methods for treating and preventing amyloid-related diseases using the compounds of the present invention and pharmaceutical compositions thereof. The pharmaceutical composition of the present invention may be administered therapeutically or prophylactically to treat amyloid (e.g., AL amyloid (λ or κ-chain-associated, e.g., amyloid λ, amyloid κ, amyloid κIV, amyloid λVI, amyloid γ, amyloid γ1), Aβ, IAPP,β2M , AA, or AH amyloid) fibril formation, aggregation or deposition associated diseases.

本发明的药物组合物可以利用如下机制(所列机制是举例性而非限制性的)起到缓解淀粉样相关疾病进程的作用:减缓淀粉样原纤维的形成或沉积;减轻淀粉样蛋白沉积的程度;抑制、降低或预防淀粉样原纤维的形成;抑制淀粉样蛋白诱导的神经变性或细胞毒性;抑制淀粉样蛋白诱导的炎症;增加淀粉样蛋白从大脑中的清除;增加Aβ在大脑中的降解;或促进淀粉样蛋白在其构成原纤维之前的清除。The pharmaceutical composition of the present invention can utilize the following mechanisms (listed mechanisms are exemplary and non-limitative) to play the role of alleviating the progress of amyloid-related diseases: slowing down the formation or deposition of amyloid fibrils; degree; inhibit, reduce or prevent amyloid fibril formation; inhibit amyloid-induced neurodegeneration or cytotoxicity; inhibit amyloid-induced inflammation; increase amyloid clearance from the brain; increase Aβ in the brain degradation; or facilitate the clearance of amyloid before it forms fibrils.

淀粉样蛋白沉积的“调节”包括如上所述的抑制以及增强淀粉样蛋白的沉积或原纤维的形成。因此,术语“调节”旨在包括:预防或阻止淀粉样蛋白的形成或蓄积、抑制或减缓进行性淀粉样变性(例如已经出现淀粉样蛋白沉积)的患者中的进一步的淀粉样蛋白沉积,并且减少或逆转遭受淀粉样变性的患者中的淀粉样蛋白的形成或蓄积;以及提高淀粉样蛋白沉积,例如增加体内或体外淀粉样蛋白沉积的速率和量。淀粉样蛋白增强性化合物可被用于淀粉样变性的动物模型中,例如,用于在较短的时间内造成动物中淀粉样蛋白沉积的形成或者用于在选定的时间内提高淀粉样蛋白沉积。淀粉样蛋白增强性化合物可以被用于体内抑制淀粉样变性的化合物的筛选试验(例如在动物模型中),淀粉样变性的细胞试验和体外试验。这种化合物可被用于例如提供更快或更敏感的化合物的试验。淀粉样蛋白沉积的调节是相对于未经治疗的患者或者相对于治疗之前的患者进行测定的。"Modulation" of amyloid deposition includes inhibition as described above as well as enhancement of amyloid deposition or fibril formation. Accordingly, the term "modulates" is intended to include preventing or arresting the formation or accumulation of amyloid, inhibiting or slowing down further amyloid deposition in patients with progressive amyloidosis (e.g. amyloid deposition has already occurred), and reducing or reversing the formation or accumulation of amyloid in a patient suffering from amyloidosis; and increasing amyloid deposition, eg, increasing the rate and amount of amyloid deposition in vivo or in vitro. Amyloid-enhancing compounds can be used in animal models of amyloidosis, for example, to cause the formation of amyloid deposits in an animal over a shorter period of time or to increase amyloid over a selected period of time. deposition. Amyloid-enhancing compounds can be used in screening assays for compounds that inhibit amyloidosis in vivo (eg, in animal models), cellular assays for amyloidosis, and in vitro assays. Such compounds can be used, for example, in assays that provide faster or more sensitive compounds. Modulation of amyloid deposition is determined relative to untreated patients or relative to patients prior to treatment.

淀粉样蛋白沉积的“抑制”包括防止或阻止淀粉样蛋白形成(例如原纤维化),从大脑中清除淀粉样蛋白例如可溶性Aβ,抑制或减缓淀粉样变性患者(例如已经出现淀粉样蛋白沉积的患者)的进一步的淀粉样蛋白沉积,以及减少或逆转进行性淀粉样变性患者中的淀粉样蛋白原纤维化或沉积。淀粉样蛋白沉积的抑制作用是相对于未接受治疗的患者或者相对于接受过治疗的患者(在治疗前)进行测定的,或者例如是根据临床可测量的改善度而测定的,例如对于脑淀粉样变性患者(譬如阿耳茨海默氏病患者或脑淀粉样血管病患者),根据认知功能的稳定或防止其认知功能的进一步下降(即,防止、减缓或阻止疾病的发展)而测定的,或根据参数的改善如CSF中Aβ浓度或tau来测定。"Inhibition" of amyloid deposition includes preventing or arresting amyloid formation (e.g., fibrillation), clearing amyloid, such as soluble Aβ, from the brain, inhibiting or slowing down amyloidosis in patients (e.g., those who have already developed amyloid deposition) Further amyloid deposition in patients), and reduction or reversal of amyloid fibrillation or deposition in patients with progressive amyloidosis. Inhibition of amyloid deposition is determined relative to untreated patients or relative to treated patients (prior to treatment), or e.g. in terms of clinically measurable improvement e.g. for brain amyloid In patients with degeneration (such as Alzheimer's disease or cerebral amyloid angiopathy), based on stabilization of cognitive function or prevention of further decline in cognitive function (ie, prevention, slowing or arrest of disease progression) measured, or based on improvements in parameters such as A[beta] concentration in CSF or tau.

正如这里所用,对患者的“治疗”包括对患者涂敷或给用本发明的组合物,或对患者的细胞或组织涂敷或给用本发明的组合物,所述患者患有淀粉样蛋白相关疾病或病症,具有这种疾病或病症的症状,或者处于这种疾病或病症的危险之中(或者对这种疾病或病症是易感的),用于治疗、治愈、缓解、减轻、改变、弥补、改善、改进、或影响该疾病或病症、疾病或病症的症状、或者该疾病或病症的风险(或易感性)之目的,术语“治疗”是指在损伤、病变或病症的治疗或缓解方面任何成功的标志,其包括任何客观或主观的参数,例如症状的减轻、缓解、削弱或者使得损伤、病变或病症对于患者而言更能耐受;减慢退化或衰退的速度;使得退化的最终点不太虚弱;改善患者的身体或心理状况;或者,在某些情况下预防痴呆发作。症状的治疗或改善可以基于主观或客观的参数,这包括:体格检查、精神评估、或认知测试(例如CDR、MMSE、ADAS-Cog)、或其他本领域已知的测试的结果。例如,本发明的方法通过减慢认知衰退的速度或缓解认知衰退的程度成功地治疗了患者的痴呆。As used herein, "treatment" of a patient includes the application or administration of a composition of the invention to a patient, or the application or administration of a composition of the invention to cells or tissues of a patient suffering from amyloid Associated disease or condition, having symptoms of such a disease or condition, or being at risk of (or susceptible to) such a disease or condition, for treating, curing, alleviating, alleviating, altering , remedy, ameliorate, improve, or affect the disease or condition, the symptoms of the disease or condition, or the risk (or susceptibility) to the disease or condition, the term "treatment" means the treatment or Any sign of success in remission, which includes any objective or subjective parameter, such as alleviation of symptoms, remission, weakening, or making the injury, lesion, or condition more tolerable to the patient; slowing the rate of degeneration or decline; making degeneration The end points are less debilitating; improving the patient's physical or psychological condition; or, in some cases, preventing the onset of dementia. Treatment or amelioration of symptoms can be based on subjective or objective parameters, including: results of physical examination, psychiatric assessment, or cognitive testing (eg, CDR, MMSE, ADAS-Cog), or other tests known in the art. For example, the methods of the present invention have successfully treated dementia in patients by slowing the rate or degree of cognitive decline.

在一个实施方案中,术语“治疗”包括将患者的CDR等级保持为其基线等级或0。在另一个实施方案中,术语“治疗”包括将患者的“CDR”等级降低大约0.25或以上、大约0.5或以上、大约1.0或以上、大约1.5或以上、大约2.0或以上、大约2.5或以上、或大约3.0或以上。在另一个实施方案中,术语“治疗”还包括和历史对照组相比,降低患者的CDR等级增加的速率。在另一个实施方案中,该术语包括将患者的CDR等级的增加速率(相对于历史对照组或未治疗对照组)降低大约5%或以上、大约10%或以上、大约20%或以上、大约25%或以上、大约30%或以上、大约40%或以上、大约50%或以上、大约60%或以上、大约70%或以上、大约80%或以上、大约90%或以上、或大约100%。In one embodiment, the term "treating" includes maintaining the patient's CDR grade at its baseline grade or zero. In another embodiment, the term "treating" includes reducing a patient's "CDR" rating by about 0.25 or more, about 0.5 or more, about 1.0 or more, about 1.5 or more, about 2.0 or more, about 2.5 or more, Or about 3.0 or above. In another embodiment, the term "treating" also includes reducing the rate of increase in CDR grade in a patient compared to a historical control group. In another embodiment, the term includes reducing the rate of increase in a patient's CDR grade (relative to historical or untreated controls) by about 5% or more, about 10% or more, about 20% or more, about 25% or more, about 30% or more, about 40% or more, about 50% or more, about 60% or more, about 70% or more, about 80% or more, about 90% or more, or about 100% %.

在另一个实施方案中,术语“治疗”还包括保持患者在MMSE中的得分。术语“治疗”包括将患者的MMSE得分提高大约1、大约2、大约3、大约4、大约5、大约7.5、大约10、大约12.5、大约15、大约17.5、大约20、或者大约25分。该术语也包括同历史对照组相比,降低患者MMSE得分降低速率。在另一个实施方案中,该术语包括可以将患者的MMSE得分(相对于历史对照组或未治疗的对照组)降低大约5%或更少、大约10%或更少、大约20%或更少、大约25%或更少、大约30%或更少、大约40%或更少、大约50%或更少、大约60%或更少、大约70%或更少、大约80%或更少、大约90%或更少或大约100%或更少。In another embodiment, the term "treating" also includes maintaining the patient's score on the MMSE. The term "treating" includes increasing the patient's MMSE score by about 1, about 2, about 3, about 4, about 5, about 7.5, about 10, about 12.5, about 15, about 17.5, about 20, or about 25 points. The term also includes reducing the rate of decline in a patient's MMSE score compared to a historical control group. In another embodiment, the term includes those that can reduce a patient's MMSE score (relative to a historical control group or an untreated control group) by about 5% or less, about 10% or less, about 20% or less , about 25% or less, about 30% or less, about 40% or less, about 50% or less, about 60% or less, about 70% or less, about 80% or less, About 90% or less or about 100% or less.

在又一个实施方案中,术语“治疗”还包括保持患者在ADAS-Cog中的得分。术语“治疗”包括将患者在ADAS-Cog中的得分降低大约1点或更多点、大约2点或更多点、大约3点或更多点、大约4点或更多点、大约5点或更多点、大约7.5点或更多点、大约10点或更多点、大约12.5点或更多点、大约15点或更多点、大约17.5点或更多点、大约20点或更多点,或者大约25点或更多点。该术语还包括同历史对照组相比,降低患者的ADAS-Cog得分的增加速率。在另一个实施方案中,该术语包括将患者的ADAS-Cog得分CDR等级的增加速度(相对于历史对照组或未治疗对照组)降低大约5%或以上、大约10%或以上、大约20%或以上、大约25%或以上、大约30%或以上、大约40%或以上、大约50%或以上、大约60%或以上、大约70%或以上、大约80%或以上、大约90%或以上、或大约100%。In yet another embodiment, the term "treating" also includes maintaining the patient's score on the ADAS-Cog. The term "treating" includes reducing a patient's score on the ADAS-Cog by about 1 point or more, about 2 points or more, about 3 points or more, about 4 points or more, about 5 points or more, about 7.5 points or more, about 10 points or more, about 12.5 points or more, about 15 points or more, about 17.5 points or more, about 20 points or more Multiple points, or about 25 points or more. The term also includes reducing the rate of increase in a patient's ADAS-Cog score compared to a historical control group. In another embodiment, the term includes reducing the rate of increase in a patient's ADAS-Cog score CDR grade (relative to historical or untreated controls) by about 5% or more, about 10% or more, about 20% or more, about 25% or more, about 30% or more, about 40% or more, about 50% or more, about 60% or more, about 70% or more, about 80% or more, about 90% or more , or approximately 100%.

在另一个实施方案中,术语“治疗”,例如对AA或AL淀粉样变性而言,包括血清肌酸酐清除率的升高,例如肌酸酐清除率提高10%或更多、20%或更多、50%或更多、80%或更多、90%或更多、100%或更多、150%或更多、200%或更多。术语“治疗”还包括减轻肾丙性综合症(NS)。它还包括减缓慢性腹泻和/或将体重增加例如10%或更多、15%或更多、或20%或更多。In another embodiment, the term "treating", e.g. for AA or AL amyloidosis, includes an increase in serum creatinine clearance, e.g. an increase in creatinine clearance by 10% or more, 20% or more , 50% or more, 80% or more, 90% or more, 100% or more, 150% or more, 200% or more. The term "treating" also includes alleviating nephrotitic syndrome (NS). It also includes slowing chronic diarrhea and/or increasing body weight, for example, by 10% or more, 15% or more, or 20% or more.

不希望受到理论的束缚,在一些方面,本发明的药物组合物包含能够在大脑或其他重要器官(局部作用)或整个身体(全身作用)中预防或抑制淀粉样蛋白原纤维形成的化合物。本发明的药物组合物可以在它们进入大脑后(在透过血脑屏障后)或从外周有效地控制淀粉样蛋白沉积。当从外周作用时,药物组合物中的化合物可以改变大脑和血浆之间的淀粉样生成肽的平衡,以促进淀粉样生成肽从大脑中排出。它还可能有利于(可溶性)淀粉样蛋白质的清除(或分解代谢),随后由于减少在特定的器官(例如,肝脏、脾脏、胰腺、肾脏、关节、大脑等器官)中的淀粉样蛋白汇集而防止淀粉样蛋白原纤维形成和沉积。淀粉样生成肽从大脑的排出的增加将导致淀粉样生成肽大脑浓度的降低,从而促进淀粉样生成肽沉积。特别地,该化合物可以降低淀粉样蛋白β肽(例如Aβ40和Aβ42)在CSF和血浆中的水平、或该化合物可以降低淀粉样蛋白β肽(例如Aβ40和Aβ42)在CSF中的水平并提高其在血浆中的水平。或者,透入大脑的化合物可以通过直接作用于大脑淀粉样生成肽来控制沉积,例如通过将其保持在非纤维状形式或者促进其从大脑中的清除,通过提高其在大脑中的降解,或者通过保护大脑细胞免受淀粉样生成肽的不利影响。化合物还可以引起淀粉样蛋白的浓度降低(即,在特定的器官中,未达到引发淀粉样蛋白原纤维形成或沉积所需的临界浓度)。此外,此处所述的化合物可以抑制或减小淀粉样蛋白与细胞表面组分(例如糖胺聚糖或基膜的蛋白多糖组分)的相互作用,从而通过对这种相互作用的抑制或降低而产生测定到的神经保护和细胞保护作用。例如,该化合物还可以预防淀粉样蛋白肽结合或粘合到细胞表面上,这种结合是一种已知的导致细胞损伤或毒性的过程。类似地,该化合物可以阻滞淀粉样蛋白引起的细胞毒性或微神经胶质活化或淀粉样蛋白引起的神经毒性,或抑制淀粉样蛋白诱发的炎症。该化合物还可以减少淀粉样蛋白聚集、原纤维形成、或沉积的速率或量,或者该化合物可以减小淀粉样蛋白沉积的程度。上述作用机制不应被认为是对本发明的范围的限制,因为本发明可以在没有上述信息的条件下实施。Without wishing to be bound by theory, in some aspects, the pharmaceutical compositions of the invention comprise compounds capable of preventing or inhibiting amyloid fibril formation in the brain or other vital organs (local effects) or throughout the body (systemic effects). The pharmaceutical composition of the present invention can effectively control amyloid deposition after they enter the brain (after crossing the blood-brain barrier) or from the periphery. When acting peripherally, the compounds in the pharmaceutical composition can alter the balance of amyloidogenic peptides between the brain and plasma to facilitate excretion of amyloidogenic peptides from the brain. It may also favor the clearance (or catabolism) of (soluble) amyloid, with subsequent reduction of amyloid accumulation in specific organs (e.g., liver, spleen, pancreas, kidney, joints, brain, etc.) Prevents amyloid fibril formation and deposition. Increased excretion of amyloidogenic peptides from the brain will result in decreased brain concentrations of amyloidogenic peptides, thereby promoting amyloidogenic peptide deposition. In particular, the compound can reduce the level of amyloid β peptides (such as Aβ40 and Aβ42 ) in CSF and plasma, or the compound can reduce the level of amyloid β peptides (such as Aβ40 and Aβ42 ) in CSF. and increase its level in plasma. Alternatively, compounds that penetrate the brain may control deposition by acting directly on the brain amyloidogenic peptide, for example by maintaining it in a non-fibrillar form or facilitating its clearance from the brain, by increasing its degradation in the brain, or By protecting brain cells from the adverse effects of amyloidogenic peptides. Compounds may also cause a decrease in the concentration of amyloid (ie, in a particular organ, the critical concentration required to initiate amyloid fibril formation or deposition is not reached). In addition, the compounds described herein can inhibit or reduce the interaction of amyloid proteins with cell surface components such as glycosaminoglycans or proteoglycan components of basement membranes, whereby inhibition of such interactions or The reduction resulted in the measured neuroprotective and cytoprotective effects. For example, the compound also prevents the binding or binding of amyloid peptides to cell surfaces, a process known to lead to cell damage or toxicity. Similarly, the compound can block amyloid-induced cytotoxicity or microglial activation or amyloid-induced neurotoxicity, or inhibit amyloid-induced inflammation. The compound can also reduce the rate or amount of amyloid aggregation, fibril formation, or deposition, or the compound can reduce the extent of amyloid deposition. The above-mentioned mechanism of action should not be considered as limiting the scope of the present invention, since the present invention can be practiced without the above-mentioned information.

术语“淀粉样蛋白-β疾病”(或“淀粉样蛋白-β相关疾病”,这两个术语在本文中互换使用)可用于轻度认知损伤;血管性痴呆;早期阿耳茨海默氏病;阿耳茨海默氏病,包括散发性(非遗传性)阿耳茨海默氏病和家族性(遗传性)阿耳茨海默氏病;与年龄有关的认知退化;脑淀粉样血管病(“CAA”);遗传性脑出血;老年性痴呆;唐氏综合症;散发性包涵体肌炎(IBM);或与年龄有关的黄斑变性(“ARMD”)。根据本发明的某些方面,淀粉样蛋白-β是具有39-43个氨基酸的肽,或者淀粉样蛋白-β是由βAPP产生的淀粉样生成肽。The term "amyloid-beta disease" (or "amyloid-beta-related disease", the two terms are used interchangeably herein) may be used for mild cognitive impairment; vascular dementia; early Alzheimer's Alzheimer's disease; Alzheimer's disease, including sporadic (nonhereditary) Alzheimer's disease and familial (hereditary) Alzheimer's disease; age-related cognitive degeneration; brain Alzheimer's disease; Down syndrome; sporadic inclusion body myositis (IBM); or age-related macular degeneration ("ARMD"). According to certain aspects of the invention, amyloid-beta is a peptide having 39-43 amino acids, or amyloid-beta is an amyloidogenic peptide produced by βAPP.

轻度认知损伤(“MCI”)是一种以认知能力处于轻度但可测量的损伤状态为特征的病症,与痴呆症的存在不一定有关。MCI通常(但非必然)发生在阿耳茨海默氏病之前。它是一种诊断,最常常与轻度记忆困难有关,但它也可以在其他认识技能如语言或计划技能方面的轻度损伤为特征。但一般来讲,与具有它们的年龄或教育背景的人所预期的情况相比,MCI个体的记忆衰退要更加明显。随着病症的发展,医师可能会将诊断结果改变为“轻度-中度认知损伤”,这在本领域中是能够充分理解的。Mild Cognitive Impairment ("MCI") is a condition characterized by a state of mild but measurable impairment to cognitive abilities, not necessarily related to the presence of dementia. MCI usually (but not necessarily) precedes Alzheimer's disease. It is a diagnosis most often associated with mild memory difficulties, but it can also be characterized by mild impairments in other cognitive skills such as language or planning skills. But in general, memory decline is more pronounced in individuals with MCI than would be expected for someone of their age or educational background. As the condition progresses, the physician may change the diagnosis to "mild-moderate cognitive impairment," as is well understood in the art.

大脑淀粉样血管病(“CAA”)是指淀粉样原纤维特异性沉积在柔脑膜壁以及皮质动脉壁、微动脉壁和静脉壁上。它通常与阿尔茨海默氏病、唐氏综合征和正常老化,以及各种与中风或痴呆相关的家族性病症有关(参阅Frangione等,Amyloid:J.Protein Folding Disord.8,Suppl.1,36-42(2001))。CAA可以是散发性的或遗传性的。已经鉴定出Aβ或APP基因中的多个突变部位,它们在临床上与痴呆症或脑出血有关。示例性的CAA病症包括但不限于:冰岛型带有淀粉样变性的遗传性脑出血(HCHWA-I)、HCHWA的荷兰变种(HCHWA-D;Aβ的突变);Aβ的佛兰德突变;Aβ的北极突变;Aβ的意大利突变;Aβ的衣阿华突变;遗传性英国痴呆;以及遗传性丹麦痴呆。已知大脑淀粉样血管病与大脑出血(或出血性中风)有关。Cerebral amyloid angiopathy ("CAA") refers to the specific deposition of amyloid fibrils on the leptomeningeal walls as well as on the walls of cortical arteries, arterioles and veins. It is often associated with Alzheimer's disease, Down syndrome and normal aging, as well as various familial conditions associated with stroke or dementia (see Frangione et al., Amyloid: J. Protein Folding Disord. 8, Suppl. 1, 36-42 (2001)). CAA can be sporadic or hereditary. Multiple mutation sites in the Aβ or APP genes have been identified that are clinically associated with dementia or cerebral hemorrhage. Exemplary CAA disorders include, but are not limited to: Hereditary Cerebral Hemorrhage with Amyloidosis, Iceland type (HCHWA-I), Dutch variant of HCHWA (HCHWA-D; mutation of Aβ); Flemish mutation of Aβ; Aβ the Arctic mutation of Aβ; the Italian mutation of Aβ; the Iowa mutation of Aβ; hereditary British dementia; and hereditary Danish dementia. Cerebral amyloid angiopathy is known to be associated with cerebral hemorrhage (or hemorrhagic stroke).

另外,APP和淀粉样-β蛋白在肌纤维中的异常蓄积与散发性包涵体肌炎(“IBM”)存在病理学关联(Askanas等,Proc.Natl.Acad.Sci.USA 93,1314-1319(1996);Askanas等,Current Opinion inRheumatology 7,486-496(1995))。因此,本发明的化合物可以预防性或治疗性地用于治疗其中淀粉样-β蛋白在非神经部位异常沉积导致的疾病,例如通过将本发明化合物传递到肌纤维来治疗IBM。In addition, abnormal accumulation of APP and amyloid-β proteins in muscle fibers is pathologically associated with sporadic inclusion body myositis ("IBM") (Askanas et al., Proc. Natl. Acad. Sci. USA 93, 1314-1319( 1996); Askanas et al., Current Opinion in Rheumatology 7, 486-496 (1995)). Therefore, the compounds of the present invention can be used prophylactically or therapeutically in the treatment of diseases in which abnormal deposition of amyloid-beta protein in non-neural sites results, for example in the treatment of IBM by delivering the compounds of the present invention to muscle fibers.

此外,已经证明,Aβ与称为脉络膜疣(drusen)的不正常的细胞外沉积有关,其中在年龄相关性黄斑变性(AMD)患者个体中沿着视网膜色素上皮的基底表面积聚。AMD是老年个体不可逆性视力损失的病因。据信,Aβ的沉积是局部炎症行为的重要组成部分,而这种炎症行为会对视网膜黄斑变性萎缩、脉络膜疣的生物产生、和AMD的发病机理产生影响(Johnson等,Proc.Natl.Acad.Sci.USA 99(18),11830-5(2002))。因此,本发明也涉及对年龄相关性痴呆的治疗或预防。Furthermore, Aβ has been shown to be associated with abnormal extracellular deposits known as drusen, which accumulate along the basal surface of the retinal pigment epithelium in individuals with age-related macular degeneration (AMD). AMD is a cause of irreversible vision loss in elderly individuals. Aβ deposition is believed to be an important component of the local inflammatory behavior that contributes to macular degeneration atrophy, drusen biogenesis, and the pathogenesis of AMD (Johnson et al., Proc. Natl. Acad. Sci. USA 99(18), 11830-5(2002)). Accordingly, the present invention also relates to the treatment or prevention of age-related dementia.

还有,本发明涉及预防或抑制患者中淀粉样蛋白沉积的方法。例如,这种方法包括对患者给用治疗有效量的能降低淀粉样蛋白(例如,AL淀粉样蛋白(与λ或κ-链有关,例如淀粉样蛋白λ、淀粉样蛋白κ、淀粉样蛋白κIV、淀粉样蛋白λVI、淀粉样蛋白γ、淀粉样蛋白γ1),Aβ,IAPP,β2M,AA,AH淀粉样蛋白,或其他淀粉样蛋白)浓度的化合物,从而预防或抑制淀粉样蛋白的聚集或沉积。Also, the invention relates to methods of preventing or inhibiting amyloid deposition in a patient. For example, such methods include administering to a patient a therapeutically effective amount of an amyloid-reducing (e.g., AL amyloid (associated with lambda or kappa-chain, e.g., amyloid lambda, amyloid kappa, amyloid kappa IV , amyloid λVI, amyloid γ, amyloid γ1), Aβ, IAPP, β2 M, AA, AH amyloid, or other amyloid) concentration compounds, thereby preventing or inhibiting the formation of amyloid accumulation or deposition.

另一方面,本发明涉及预防、减少、或抑制患者中淀粉样蛋白沉积的方法。例如,这种方法包括对患者给用治疗有效量的能抑制淀粉样蛋白(例如,AL淀粉样蛋白(与λ或κ-链有关,例如淀粉样蛋白λ、淀粉样蛋白κ、淀粉样蛋白κIV、淀粉样蛋白λVI、淀粉样蛋白γ、淀粉样蛋白γ1),Aβ,IAPP,β2M,AA,AH淀粉样蛋白,或其他淀粉样蛋白)浓度的化合物,从而预防、减少或抑制淀粉样蛋白的沉积。In another aspect, the invention relates to methods of preventing, reducing, or inhibiting amyloid deposition in a patient. For example, such methods include administering to the patient a therapeutically effective amount of an amyloid (e.g., AL amyloid (associated with lambda or kappa chains, e.g., amyloid lambda, amyloid kappa, amyloid kappa IV , amyloid λVI, amyloid γ, amyloid γ1), Aβ, IAPP, β2 M, AA, AH amyloid, or other amyloid) concentration of compounds, thereby preventing, reducing or inhibiting amyloid protein deposition.

本发明还涉及调节例如将细胞的淀粉样蛋白相关性损伤降低到最低程度的方法,包括对患者给用能降低淀粉样蛋白(例如,AL淀粉样蛋白(与λ或κ-链有关,例如淀粉样蛋白λ、淀粉样蛋白κ、淀粉样蛋白κIV、淀粉样蛋白λVI、淀粉样蛋白γ、淀粉样蛋白γ1),Aβ,IAPP,β2M,AA,AH淀粉样蛋白,或其他淀粉样蛋白)浓度的化合物的步骤,从而调节所述的细胞的淀粉样蛋白相关性损伤。在本发明的某些方面中,调节细胞的淀粉样蛋白相关性损伤的方法包括给用能降低淀粉样蛋白浓度或能降低淀粉样蛋白与细胞表面相互作用的化合物的步骤。The invention also relates to methods of modulating, e.g., minimizing amyloid-associated damage to cells, comprising administering to a patient an amyloid-reducing (e.g., AL amyloid (associated with lambda or kappa-chain, e.g., amyloid) Amyloid λ, amyloid κ, amyloid κIV, amyloid λVI, amyloid γ, amyloid γ1), Aβ, IAPP,β2M , AA, AH amyloid, or other amyloid ) concentration of the compound, thereby modulating the amyloid-related damage of the cells. In certain aspects of the invention, the method of modulating amyloid-associated damage to a cell comprises the step of administering a compound that reduces the concentration of amyloid or that reduces the interaction of amyloid with the surface of the cell.

本发明也包括直接或间接地预防患者细胞死亡的方法,该方法包括对患者给用治疗有效量的具有以下功效的化合物,即该化合物能预防淀粉样蛋白(例如,AL淀粉样蛋白(与λ或κ-链有关的,例如淀粉样蛋白λ、淀粉样蛋白κ、淀粉样蛋白κIV、淀粉样蛋白λVI、淀粉样蛋白γ、淀粉样蛋白γ1),Aβ,IAPP,β2M,AA,AH淀粉样蛋白,或其他淀粉样蛋白)介导的能直接或间接导致细胞死亡的活动。The present invention also includes a method of directly or indirectly preventing cell death in a patient, the method comprising administering to the patient a therapeutically effective amount of a compound that prevents amyloid (e.g., AL amyloid (with lambda or κ-chain related eg amyloid λ, amyloid κ, amyloid κIV, amyloid λVI, amyloid γ, amyloid γ1), Aβ, IAPP,β2M , AA, AH Amyloid, or other amyloid)-mediated activity that leads directly or indirectly to cell death.

在一个实施方案中,所述方法被用于治疗阿耳茨海默氏病(例如散发性或家族性的AD)。也可以预防性或治疗性地使用该方法来治疗发生淀粉样蛋白-β沉积的其他临床疾病,例如用于唐氏(Down)综合症个体和脑淀粉样血管病(“CAA”)或遗传性脑出血患者。In one embodiment, the method is used to treat Alzheimer's disease (eg, sporadic or familial AD). The method can also be used prophylactically or therapeutically to treat other clinical conditions in which amyloid-beta deposition occurs, such as in individuals with Down syndrome and cerebral amyloid angiopathy ("CAA") or hereditary Patients with cerebral hemorrhage.

本发明的化合物可以预防性或治疗性地用于治疗其中淀粉样-β蛋白在非神经部位异常沉积导致的疾病,例如通过将本发明化合物传递到肌纤维来治疗IBM,或通过将本发明化合物传递到视网膜着色上皮的基底表面来治疗黄斑变性。The compounds of the present invention can be used prophylactically or therapeutically in the treatment of diseases in which abnormal deposition of amyloid-beta protein in non-neural sites results, for example, by delivering the compounds of the present invention to muscle fibers to treat IBM, or by delivering the compounds of the present invention to the basal surface of the retinal pigmented epithelium for the treatment of macular degeneration.

本发明还提供了调节细胞的蛋白相关性损伤的方法,包括给用能降低Aβ浓度、或能将Aβ(可溶性低聚或原纤维形式)与细胞表面的相互作用降低到最低程度的化合物的步骤,从而调节所述的细胞的淀粉样蛋白相关性损伤。在本发明的某些方面中,调节细胞的淀粉样蛋白相关性损伤的方法包括给用能降低Aβ浓度或能降低Aβ与细胞表面相互作用的化合物的步骤。The present invention also provides a method of modulating protein-associated damage to a cell comprising the step of administering a compound that reduces the concentration of Aβ or minimizes the interaction of Aβ (in soluble oligomeric or fibril form) with the cell surface , thereby regulating the amyloid-related damage of the cells. In certain aspects of the invention, the method of modulating amyloid-related damage in a cell comprises the step of administering a compound that reduces the concentration of A[beta] or reduces the interaction of A[beta] with the surface of a cell.

按照本发明,进一步提供了预防患者细胞死亡的方法,该方法包括对患者给用治疗有效量的能够预防Aβ介导的能直接或间接导致细胞死亡的活动。According to the present invention, there is further provided a method of preventing cell death in a patient, the method comprising administering to the patient a therapeutically effective amount capable of preventing Aβ-mediated events that directly or indirectly lead to cell death.

本发明也提供了调节细胞的淀粉样蛋白相关性损伤的方法,包括给用能降低IAPP的浓度、或能将(可溶性低聚的或原纤维形式的)IAPP与细胞表面的相互作用降到最低程度的化合物的步骤,从而调节所述细胞的淀粉样蛋白相关性损伤。在本发明的某些方案中,调节细胞的淀粉样蛋白相关性损伤的方法包括给用能降低IAPP的浓度或能降低IAPP与细胞表面相互作用的化合物的步骤。The invention also provides methods of modulating amyloid-associated damage in cells comprising administering a concentration of IAPP that reduces, or minimizes, the interaction of IAPP (in soluble oligomeric or fibril form) with the cell surface steps of the compound to modulate the amyloid-associated damage of the cells. In certain aspects of the invention, the method of modulating amyloid-related damage in a cell comprises the step of administering a compound that reduces the concentration of IAPP or that reduces the interaction of IAPP with the cell surface.

按照本发明,进一步提供了预防患者细胞死亡的方法,该方法包括对患者给用治疗有效量的能预防IAPP介导的活动,这种活动能直接或间接地导致细胞死亡。According to the present invention, there is further provided a method of preventing cell death in a patient, the method comprising administering to the patient a therapeutically effective amount that prevents an IAPP-mediated event that directly or indirectly leads to cell death.

本发明也提供了一种用于治疗淀粉样变性的方法和组合物。本发明的方法方法包括对患者给用能抑制淀粉样蛋白沉积的治疗化合物。因此,本发明的组合物和方法能够用于抑制其中发生淀粉样蛋白沉积的疾病中的淀粉样变性。本发明的方法可以在治疗上用于治疗淀粉样变性或者可以预防性地用于(遗传性)淀粉样变性易感患者或被确定处于正在发生淀粉样变性(例如遗传性的)危险的患者或被确定处于预发生淀粉样变性危险的患者。在某些实施方案中,本发明包括抑制淀粉样变性蛋白和基膜组分之间的相互作用以抑制淀样状蛋白沉积的方法。所述基膜组分是一种糖蛋白或含蛋白多糖,优选硫酸乙酰肝素含蛋白多糖。本发明的方法中所使用的治疗化合物可以干预基膜组分结合到淀粉样变性蛋白的靶结合部位,从而抑制淀粉样蛋白沉积。The present invention also provides a method and composition for treating amyloidosis. Methods of the Invention The methods comprise administering to a patient a therapeutic compound that inhibits amyloid deposition. Accordingly, the compositions and methods of the invention can be used to inhibit amyloidosis in diseases in which amyloid deposition occurs. The methods of the invention may be used therapeutically for the treatment of amyloidosis or may be used prophylactically in patients susceptible to (hereditary) amyloidosis or determined to be at risk of developing (e.g. hereditary) amyloidosis or Patients determined to be at risk of pre-amyloidosis. In certain embodiments, the invention includes methods of inhibiting the interaction between amyloidogenic proteins and basement membrane components to inhibit amyloid deposition. The basement membrane component is a glycoprotein or proteoglycan, preferably heparan sulfate proteoglycan. Therapeutic compounds used in the methods of the invention can interfere with the binding of basement membrane components to target binding sites of amyloidogenic proteins, thereby inhibiting amyloid deposition.

在一些方案中,本发明的方法涉及对患者给用能够抑制淀粉样蛋白沉积的治疗化合物。“淀粉样蛋白沉积的抑制”包括预防淀粉样蛋白的形成,抑制正在发生淀粉样变性的患者的进一步淀粉样蛋白沉积和降低正在发生淀粉样变性的患者的淀粉样蛋白沉积。淀粉样蛋白沉积的抑制是相对于未经治疗的患者,或者相对于在治疗前已接受治疗的患者来测定的。在一个实施方案中,淀粉样蛋白沉积是通过抑制淀粉样变性蛋白和基膜组分之间的相互作用而抑制的。术语“基膜”是指包括糖蛋白和含蛋白多糖的胞外基质,其包括层粘连蛋白、IV型胶原、纤连蛋白、perlecan、积聚蛋白、硫酸皮肤素、和硫酸乙酰肝素含蛋白多糖(HSPG)。在一个实施方案中,通过干扰淀粉样变性蛋白质和硫酸化的糖胺聚糖(例如HSPG、硫酸皮肤素、perlecan或硫酸积聚蛋白)的相互作用抑制淀粉样蛋白沉积。已知硫酸糖胺聚糖存在于所有类型的淀粉样蛋白中(参阅Snow等,Lab.Invest.56,120~123(1987))并且在淀粉样变性的动物模型中同时发生淀粉样蛋白沉积和HSPG沉积(参阅Snow等,Lab.Invest.56,665~675(1987)和Gervais,F.等,Curr.Med.Chem.,3,361-370(2003))。人们已经描述了HSPG在淀粉样生成性蛋白中的共有结合位点图案(参阅,例如,Cardin and Weintraub Arteriosclerosis 9,21-32(1989))。In some aspects, the methods of the invention involve administering to a patient a therapeutic compound that inhibits amyloid deposition. "Inhibition of amyloid deposition" includes prevention of amyloid formation, inhibition of further amyloid deposition in patients undergoing amyloidosis, and reduction of amyloid deposition in patients undergoing amyloidosis. Inhibition of amyloid deposition is determined relative to untreated patients, or relative to patients who have been treated prior to treatment. In one embodiment, amyloid deposition is inhibited by inhibiting the interaction between amyloidogenic proteins and basement membrane components. The term "basement membrane" refers to an extracellular matrix comprising glycoproteins and proteoglycans including laminin, collagen type IV, fibronectin, perlecan, accretin, dermatan sulfate, and heparan sulfate proteoglycans ( HSPG). In one embodiment, amyloid deposition is inhibited by interfering with the interaction of amyloidogenic proteins and sulfated glycosaminoglycans (eg, HSPG, dermatan sulfate, perlecan, or sulfated aggregins). Sulfated glycosaminoglycans are known to be present in all types of amyloids (see Snow et al., Lab. Invest. 56, 120-123 (1987)) and amyloid deposition and HSPG deposition (see Snow et al., Lab. Invest. 56, 665-675 (1987) and Gervais, F. et al., Curr. Med. Chem., 3, 361-370 (2003)). Consensus binding site motifs for HSPGs in amyloidogenic proteins have been described (see, eg, Cardin and Weintraub Arteriosclerosis 9, 21-32 (1989)).

化合物防止或阻断淀粉样蛋白形成或沉积的能力可归属于其与非纤维化的可溶性淀粉样蛋白结合并维持其溶解性的能力。The ability of a compound to prevent or block amyloid formation or deposition can be attributed to its ability to bind to non-fibrillating soluble amyloid and maintain its solubility.

可以通过体外结合测定法,例如US 5,164,295中描述的方法(该专利在此全文引入用作参考),测定本发明治疗化合物抑制粉样生成性蛋白和基膜组分糖蛋白或蛋白聚糖之间相互作用的能力。或者,可以使用质谱测定法测定化合物与淀粉样生成性蛋白结合的能力或化合物抑制基膜组分(例如HSPG)与淀粉样生成性蛋白(例如Aβ)结合的能力,其中可溶性蛋白例如Aβ、IAPP、β2M用所述化合物温育。与例如Aβ结合的化合物将会诱导蛋白质的质谱发生变化。使用Aβ和IAPP的质谱测定法的典型方案可见于实施例,其结果见表3。为调节数据的敏感性,可以很容易地对方案进行改进,例如可以调节所用蛋白质和/或化合物的量。这样,对于例如使用不太敏感的试验方案检测不到结合的试验化合物,可以检测到结合。Inhibition of therapeutic compounds of the invention between amyloidogenic proteins and basement membrane component glycoproteins or proteoglycans can be determined by an in vitro binding assay, such as that described in US 5,164,295 (which patent is hereby incorporated by reference in its entirety). ability to interact. Alternatively, mass spectrometry can be used to determine the ability of a compound to bind to an amyloidogenic protein or the ability of a compound to inhibit the binding of a basement membrane component (eg, HSPG) to an amyloidogenic protein (eg, Aβ), wherein soluble proteins such as Aβ, IAPP ,β2M were incubated with the compound. Compounds that bind to eg A[beta] will induce changes in the mass spectrum of the protein. A typical protocol for mass spectrometry using A[beta] and IAPP can be found in the Examples and the results are given in Table 3. Modifications to the protocol can readily be made to adjust the sensitivity of the data, for example by adjusting the amount of protein and/or compound used. In this way, binding can be detected for test compounds for which binding is not detectable, eg, using less sensitive assay protocols.

为提供试验化合物与例如原纤维Aβ结合的能力的指标,也存在可供选择的筛选化合物的方法,并且这种方法也是专业技术人员易采用的。这样的一种筛选试验是紫外线吸收测定法。在代表性的方案中,试验化合物(20μM)是在Tris缓冲盐水(20mM Tris,150mM NaCl,pH7.4,含0.01叠氮化钠)中用50μM Aβ(1-40)纤维37℃孵育1小时。孵育后,以20,000g离心溶液20分钟,测定Aβ(1-40)纤维以及任何结合的试验化合物。然后通过读取吸光度可以测定上清液中剩余的试验化合物的量。随后通过比较含Aβ的孵育物上清液中剩余的化合物的量与不含Aβ纤维的对症孵育物中剩余的化合物的量,可以计算出结合的试验化合物的百分率。各测定试验中均可包含硫黄素T和刚果红作为阳性对照物(已知这两种物质都能与Aβ结合)。测定之前,可以将试验化合物稀释到40μM(该浓度是最终试验浓度的两倍),然后使用Hewlett Packard 8453UV/VIS光谱仪扫描进行测定(如果吸光度不足以进行检测的话)。Alternative methods of screening compounds for providing an indication of their ability to bind, eg, to fibrillar A[beta] also exist and are readily available to the skilled artisan. One such screening test is ultraviolet absorptiometry. In a representative protocol, test compounds (20 μM) were incubated with 50 μM Aβ(1-40) fibers in Tris-buffered saline (20 mM Tris, 150 mM NaCl, pH 7.4, containing 0.01 sodium azide) for 1 hour at 37°C. . After incubation, the solution is centrifuged at 20,000 g for 20 minutes to assay for A[beta](1-40) fibrils as well as any bound test compound. The amount of test compound remaining in the supernatant can then be determined by reading the absorbance. The percentage of test compound bound can then be calculated by comparing the amount of compound remaining in the supernatant of incubations containing A[beta] to the amount of compound remaining in symptomatic incubations without A[beta] fibrils. Thioflavin T and Congo red (both known to bind to Aβ) can be included in each assay as positive controls. Prior to measurement, the test compound can be diluted to 40 μM (this concentration is twice the final test concentration), and then measured by scanning with a Hewlett Packard 8453 UV/VIS spectrometer (if the absorbance is not enough for detection).

在另一实施方案中,本发明涉及改善淀粉样相关疾病患者的认知能力的方法。该方法包括给用有效量的本发明治疗化合物,使得患者的认知能力得到改善。患者的认知能力可以采用本领域已知的方法测试,譬如临床痴呆等级评估法(“CDR”)、小型精神状态检查法(“MMSE”)和阿耳茨海默氏病认知能力等级评估(“ADAS-Cog”)。In another embodiment, the present invention relates to a method of improving cognition in patients with amyloid-related diseases. The method comprises administering an effective amount of a therapeutic compound of the invention such that the cognitive performance of the patient is improved. A patient's cognitive abilities can be tested using methods known in the art, such as the Clinical Dementia Rating ("CDR"), the Mini-Mental State Examination ("MMSE"), and the Alzheimer's Disease Cognitive Rating Assessment (“ADAS-Cog”).

在另一实施方案中,本发明涉及治疗患者的淀粉样相关疾病的方法。该方法包括在给用本发明化合物之前对患者进行认知能力测试,对患者给用有效量的本发明化合物,并且在给用本发明化合物之后对患者进行认知能力测试,从而治疗患者的淀粉样相关疾病,其中改善了患者针对所述认知能力测试的得分。In another embodiment, the present invention is directed to a method of treating an amyloid-related disease in a patient. The method comprises performing a cognitive ability test on a patient prior to administering a compound of the invention, administering an effective amount of a compound of the invention to the patient, and performing a cognitive ability test on the patient after administering the compound of the invention, thereby treating the patient's amyloid A related disease in which the patient's score on said cognitive ability test is improved.

如果与安慰剂组、历史对照组、或对相同患者进行的后续试验之间的成员相比,使用本发明方法所治疗的患者的行为之间的正态方向存在统计学上的显著差异,则在本发明的内容中标为“改善”的认知能力。If there is a statistically significant difference in the normal direction between the behavior of patients treated using the methods of the invention compared to members of the placebo group, historical control group, or subsequent trials on the same patients, then Cognitive abilities labeled "improved" in the context of the present invention.

在一个实施方案中,患者的CDR保持为0。在另一个实施方案中,患者的CDR降低(例如改善)了大约0.25或以上、大约0.5或以上、大约1.0或以上、大约1.5或以上、大约2.0或以上、大约2.5或以上、或大约3.0或以上。在另一个实施方案中,患者CDR等级的增加速率(相对于历史对照组或未治疗对照组)降低大约5%或以上、大约10%或以上、大约20%或以上、大约25%或以上、大约30%或以上、大约40%或以上、大约50%或以上、大约60%或以上、大约70%或以上、大约80%或以上、大约90%或以上、或大约100%。In one embodiment, the patient's CDRs remain at zero. In another embodiment, the patient's CDR is reduced (eg, improved) by about 0.25 or more, about 0.5 or more, about 1.0 or more, about 1.5 or more, about 2.0 or more, about 2.5 or more, or about 3.0 or more above. In another embodiment, the patient's rate of increase in CDR grade (relative to a historical control group or an untreated control group) is reduced by about 5% or more, about 10% or more, about 20% or more, about 25% or more, About 30% or more, about 40% or more, about 50% or more, about 60% or more, about 70% or more, about 80% or more, about 90% or more, or about 100%.

在一个实施方案中,维持患者在MMSE中的得分。另一方面,患者的MMSE得分可以提高大约1、大约2、大约3、大约4、大约5、大约7.5、大约10、大约12.5、大约15、大约17.5、大约20、或者大约25分。在另一个可选方案中,同历史对照组相比,降低了患者的MMSE得分降低速率。例如,患者的MMSE得分的降低速率(相对于历史对照组或未治疗的对照组)可降低大约5%或更多、大约10%或更多、大约20%或更多、大约25%或更多、大约30%或更多、大约40%或更多、大约50%或更多、大约60%或更多、大约70%或更多、大约80%或更多、大约90%或更多或大约100%或更多。In one embodiment, the patient's score on the MMSE is maintained. In another aspect, the patient's MMSE score can be improved by about 1, about 2, about 3, about 4, about 5, about 7.5, about 10, about 12.5, about 15, about 17.5, about 20, or about 25 points. In another alternative, the rate of decline in MMSE scores is reduced in patients compared to historical controls. For example, the rate of decrease in the patient's MMSE score (relative to a historical control group or an untreated control group) can be reduced by about 5% or more, about 10% or more, about 20% or more, about 25% or more many, about 30% or more, about 40% or more, about 50% or more, about 60% or more, about 70% or more, about 80% or more, about 90% or more Or about 100% or more.

在一个实施方案中,本发明涉及治疗、减缓或阻止伴有认知损伤的淀粉样相关疾病的方法,该方法包括对患者给用有效量的本发明治疗化合物,其中按照ADAS-Cog测定的患者认知能力的年退化率低于8点/年,低于6点/年,低于5点/年,低于4点/年,或低于3点/年。在进一步的实施方案中,本发明涉及治疗、减缓或阻止与认知有关的淀粉样相关疾病的方法,该方法包括给用有效量的本发明治疗化合物,从而使得按照ADAS-Cog测定的患者的认知能力在一年内保持恒定。“恒定”包括不超过2点的波动。保持恒定包括在任一个方向存在两点或更少点的波动。在进一步的实施方案中,患者的认知能力每年改善2点或更多点、3点或更多点、4点或更多点、5点或更多点、6点或更多点、7点或更多点、8点或更多点等等(按照ADAS-Cog测量)。在另一个可选方案中,同历史对照组相比,降低了患者的ADAS-Cog得分的增加速度。例如,患者的ADAS-Cog得分的增加速度(相对于历史对照组或未治疗对照组)降低大约5%或以上、大约10%或以上、大约20%或以上、大约25%或以上、大约30%或以上、大约40%或以上、大约50%或以上、大约60%或以上、大约70%或以上、大约80%或以上、大约90%或以上、或大约100%。In one embodiment, the present invention relates to a method of treating, slowing down or preventing amyloid-related diseases with cognitive impairment, the method comprising administering to a patient an effective amount of a therapeutic compound of the present invention, wherein the patient's The annual rate of cognitive decline is less than 8 points/year, less than 6 points/year, less than 5 points/year, less than 4 points/year, or less than 3 points/year. In a further embodiment, the present invention is directed to a method of treating, slowing or preventing amyloid-related disorders associated with cognition, the method comprising administering an effective amount of a therapeutic compound of the present invention such that the patient's as measured by ADAS-Cog Cognitive performance remained constant over the course of one year. "Constant" includes fluctuations of no more than 2 points. Remaining constant includes fluctuations of two or fewer points in either direction. In further embodiments, the patient's cognitive ability improves by 2 or more points, 3 points or more, 4 points or more, 5 points or more, 6 points or more, 7 points or more per year Point or more, 8 points or more, etc. (as measured by ADAS-Cog). In another alternative, the rate of increase in the patient's ADAS-Cog score is reduced compared to historical controls. For example, the rate of increase in the patient's ADAS-Cog score (relative to historical or untreated controls) is reduced by about 5% or more, about 10% or more, about 20% or more, about 25% or more, about 30% or more % or more, about 40% or more, about 50% or more, about 60% or more, about 70% or more, about 80% or more, about 90% or more, or about 100%.

在另一实施方案中,患者的CSF或血浆中Aβ42∶Aβ40的比率降低了大约15%或更多,大约20%或更多,大约25%或更多,大约30%或更多,大约35%或更多,大约40%或更多,大约45%或更多,或大约50%或更多。在另一个实施方案中,患者脑脊髓液中Aβ的水平降低了大约15%或更多,大约25%或更多,大约35%或更多,大约45%或更多,大约55%或更多,大约75%或更多,或大约90%或更多。In another embodiment, the ratio of Aβ42:Aβ40 in the patient's CSF or plasma is reduced by about 15% or more, about 20% or more, about 25% or more, about 30% or more, about 35% % or more, about 40% or more, about 45% or more, or about 50% or more. In another embodiment, the level of Aβ in the cerebrospinal fluid of the patient is reduced by about 15% or more, about 25% or more, about 35% or more, about 45% or more, about 55% or more More, about 75% or more, or about 90% or more.

还应理解的是,当提供数值或范围是,例如,患者群体的年龄、剂量和血液水平时,这些数值和范围所包括的所有的数值和范围都被包括在本发明的范围。而且,这些数值和范围中的所有数值也是范围的上下限。It is also understood that when values or ranges are provided, for example, age, dosage, and blood levels for patient populations, all values and ranges subsumed by such values and ranges are included within the scope of the invention. Furthermore, these values and all values within ranges are also upper and lower limits of the range.

此外,本发明也涉及本文所述的任何新化合物。亦即,本发明涉及新化合物,以及本文所述的使用它们的新方法,这些都在本文所述的通式范围内,而在所引证的专利和专利申请中未曾公开。Furthermore, the present invention also relates to any novel compounds described herein. That is, the present invention relates to novel compounds, as well as novel methods of using them described herein, which are within the scope of the general formulas described herein, not disclosed in the cited patents and patent applications.

本发明化合物的合成Synthesis of compounds of the present invention

一般说来,本发明的化合物可以通过例如下文所述的通用反应流程的方法或其改进方法,使用易获得的起始原料、试剂和常规合成步骤来制备。在这些反应中,也可以使用本身已知但此处未提及的变型方法。也包括本说明书中所述的且具有相同的一般性质的化合物的功能和结构等价物,其中,对一个或多个取代基进行了不会对化合物的基本性质或效用造成不利影响的简单改变。In general, the compounds of the present invention can be prepared by methods such as the general reaction schemes described below or modifications thereof, using readily available starting materials, reagents and conventional synthetic procedures. In these reactions, it is also possible to use variants known per se but not mentioned here. Also included are functional and structural equivalents of the compounds described in this specification and having the same general properties, wherein simple changes in one or more substituents are made which do not adversely affect the basic properties or utility of the compounds.

本发明的化合物可以容易地按照此处所述的合成路线和方案制备(如所提供的具体步骤所示)。然而,本领域熟练技术人员将认识到:可以使用其他的用于形成本发明化合物的合成途径,并且下面提供的内容仅仅是举例,而不是对本发明的限制。参阅例如,“ComprehensiveOrganicTransformations”,R.Larock著,VCH出版社(1989)。还将进一步认识到各种保护或脱保护策略是本领域的一种常见的做法(参阅例如,“Protective Groups in Organic Synthesis”,Greene和Wuts著)。相关领域熟练技术人员将认识到任何特定的保护基的选择(例如,胺和羧基保护基)将取决于该被护部分在后续反应条件下的稳定性并且能理解所作的适当选择。Compounds of the present invention can be readily prepared following the synthetic routes and schemes described herein (as shown by specific procedures provided). However, those skilled in the art will recognize that other synthetic routes for forming the compounds of the present invention may be used and that the following are provided by way of example only and not limitations of the invention. See, eg, "Comprehensive Organic Transformations", by R. Larock, VCH Press (1989). It will further be recognized that various protection or deprotection strategies are a common practice in the art (see, e.g., "Protective Groups in Organic Synthesis" by Greene and Wuts). Those skilled in the relevant art will recognize that the choice of any particular protecting group (eg, amine and carboxyl protecting groups) will depend on the stability of the protected moiety under subsequent reaction conditions and will understand the appropriate choice to make.

进一步阐述本领域熟练技术人员知识的是以下的大量化学文献:“Chemistry of the Amino Acids”,J.P.Greenstein和M.Winitz著,John Wiley & Sons,Inc.,New York(1961);“Comprehensive OrganicTransformations”,R.Larock著,VCH出版社(1989);T.D.Ocain等,J.Med.Chem.,31,2193-99(1988);E.M.Gordon等,J.Med.Chem.31,2199~10(1988);“Practice of Peptide Synthesis”,M.Bodansky和A.Bodanszky著,Springer-Verlag,New York(1984);“Protective Groups in Organic Synthesis”,T.Greene和P.Wuts著(1991);“Asymmetric Synthesis:Construction of Chiral MoleculesUsing Amino Acids”,G.M.Coppola和H.F.Schuster著,John Wiley& Sons,Inc.,New York(1987);“The Chemical Synthesis ofPeptides”,J.Jones,Oxford University Press,New York(1991);和“Introduction of Peptide Chemistry”,P.D.Bailey著,John Wiley& Sons,Inc.,New York(1992)。Further illustrating the knowledge of those skilled in the art is the following extensive chemical literature: "Chemistry of the Amino Acids", by J.P. Greenstein and M. Winitz, John Wiley & Sons, Inc., New York (1961); "Comprehensive Organic Transformations" , R.Larock, VCH Press (1989); T.D.Ocain et al., J.Med.Chem., 31, 2193-99 (1988); E.M.Gordon et al., J.Med.Chem.31, 2199-10 (1988 ); "Practice of Peptide Synthesis", by M.Bodansky and A.Bodanszky, Springer-Verlag, New York (1984); "Protective Groups in Organic Synthesis", by T.Greene and P.Wuts (1991); "Asymmetric Synthesis: Construction of Chiral Molecules Using Amino Acids", by G.M. Coppola and H.F. Schuster, John Wiley & Sons, Inc., New York (1987); "The Chemical Synthesis of Peptides", J. Jones, Oxford University Press, New York (1991) and "Introduction of Peptide Chemistry," by P.D. Bailey, John Wiley & Sons, Inc., New York (1992).

本发明化合物的合成是在溶剂中进行。适宜的溶剂在常温常压下为液体,或者在反应使用的温度和压力下保持液态。适用的溶剂没有特殊的限制,只要它们不干扰反应本身即可(亦即,它们优选是惰性溶剂),并且它们要能溶解一定量的反应物。依据反应情况,溶剂可进行蒸馏或脱气处理。例如,溶剂可以是脂族烃(例如己烷、庚烷、石油英、石油醚、环己烷或甲基环己烷)和卤代烃(例如二氯甲烷、氯仿、四氯化碳、二氯乙烷、氯苯、或二氯苯);芳族烃(例如苯、甲苯、四氢化萘、乙基苯、或二甲苯);醚(例如二甘醇二甲醚、甲基-叔丁基醚、甲基-叔戊基醚、乙基-叔丁基醚、乙醚、二异丙基醚、四氢呋喃或甲基四氢呋喃、二烷、二甲氧基乙烷、或二乙二醇二甲醚);腈(例如乙腈);酮(例如丙酮);酯(例如乙酸甲酯或乙酸乙酯);以及它们的混合物。The synthesis of the compounds of the present invention is carried out in a solvent. Suitable solvents are liquid at ambient temperature and pressure, or remain liquid at the temperature and pressure employed in the reaction. Usable solvents are not particularly limited as long as they do not interfere with the reaction itself (ie, they are preferably inert solvents) and they dissolve a certain amount of reactants. Depending on the reaction, the solvent can be distilled or degassed. For example, solvents can be aliphatic hydrocarbons (such as hexane, heptane, petroleum petroleum, petroleum ether, cyclohexane, or methylcyclohexane) and halogenated hydrocarbons (such as methylene chloride, chloroform, carbon tetrachloride, dichloromethane, ethyl chloride, chlorobenzene, or dichlorobenzene); aromatic hydrocarbons (such as benzene, toluene, tetralin, ethylbenzene, or xylene); ethers (such as diglyme, methyl-tert-butyl methyl ether, methyl-tert-amyl ether, ethyl-tert-butyl ether, diethyl ether, diisopropyl ether, tetrahydrofuran or methyl tetrahydrofuran, dioxane, dimethoxyethane, or diethylene glycol methyl ether); nitriles (such as acetonitrile); ketones (such as acetone); esters (such as methyl acetate or ethyl acetate); and mixtures thereof.

一般来讲,在反应完成后,使用标准技术从反应混合物中分离出产物。例如,(任选在减压条件下)蒸发或过滤(如果产物是固体的话)除去溶剂。在反应完成之后,向残留物中加入水,使得水层呈酸性或碱性,并且过滤析出的化合物,但当处理水敏感性化合物时应小心处理。同样地,可以向反应混合物中加入水,用疏水性溶剂萃取目标化合物。有机层用水洗涤,通过无水硫酸镁或硫酸钠干燥,蒸发溶剂得到目标化合物。如果需要,可以通过下述方式纯化如此得到的目标化合物:例如重结晶、沉淀、色谱法、或者通过加入酸或碱将其转化为盐。Generally, after the reaction is complete, the product is isolated from the reaction mixture using standard techniques. For example, the solvent is removed by evaporation (optionally under reduced pressure) or by filtration (if the product is a solid). After the reaction is complete, water is added to the residue to make the aqueous layer acidic or basic, and the precipitated compound is filtered, but care should be taken when handling water-sensitive compounds. Likewise, water can be added to the reaction mixture to extract the target compound with a hydrophobic solvent. The organic layer was washed with water, dried over anhydrous magnesium sulfate or sodium sulfate, and the solvent was evaporated to obtain the target compound. The target compound thus obtained can be purified, if necessary, by means such as recrystallization, precipitation, chromatography, or conversion into a salt by adding an acid or base.

本发明化合物可以含适当溶剂的溶液形式或无溶剂的形式(例如冻干形式)提供。在本发明的另一方案中,实施本发明方法必需的化合物和缓冲液可以包装成药盒形式,并且任选包含在容器中。该药盒可在市场上按照本发明所述方法用于治疗或预防淀粉样相关疾病,并且可包括本发明方法的使用说明书。附加的药盒组分可包括酸、碱、缓冲剂、无机盐、溶剂、抗氧剂、防腐剂、或金属螯合物。附加的药盒成分以纯组分形式存在,或以混合了一种或多种附加药盒组分的水溶液或有机溶液形式存在。任何或所有的药盒组分都任选进一步包含缓冲剂。The compounds of the invention may be provided in solution with a suitable solvent or in solvent-free form (eg lyophilized form). In another aspect of the invention, the compounds and buffers necessary to practice the methods of the invention may be packaged in kit form and optionally contained in a container. The kit can be used in the market for treating or preventing amyloid-related diseases according to the method of the present invention, and can include instructions for use of the method of the present invention. Additional kit components may include acids, bases, buffers, inorganic salts, solvents, antioxidants, preservatives, or metal chelates. The additional kit components are present as pure components, or as aqueous or organic solutions mixed with one or more additional kit components. Any or all of the kit components optionally further comprise buffering agents.

术语“容器”包括用于容纳该治疗化合物的任何接受器。例如,在一个实施方案中,该容器为一个包含该化合物的包装体。在另外的实施方案中,该容器不是包含该制剂的包装体,即,该容器为一个接受器,例如包含包装过的化合物或未包装的化合物以及化合物的使用说明书的盒子或小瓶。此外,包装技术也是本领域熟知的。应当理解的是,治疗化合物的使用说明书可以被包含在含有治疗化合物的包装体上,并且,该说明书对该包装的产品构成提高其功能的关系。The term "container" includes any receptacle for containing the therapeutic compound. For example, in one embodiment, the container is a package containing the compound. In other embodiments, the container is not a package containing the formulation, ie, the container is a receptacle, such as a box or vial, containing the compound, packaged or unpackaged, and instructions for use of the compound. Additionally, packaging techniques are well known in the art. It should be understood that instructions for the use of the therapeutic compound may be included on the package containing the therapeutic compound, and that the instructions form a relationship that enhances the function of the packaged product.

药物制剂pharmaceutical preparations

在另一个实施方案中,本发明涉及用于治疗淀粉样相关疾病的药物组合物(其中包括本文所述各式代表的化合物),以及制备这类药物组合物的方法。In another embodiment, the present invention is directed to pharmaceutical compositions comprising compounds represented by the formulas described herein, and methods of preparing such pharmaceutical compositions for use in the treatment of amyloid-related diseases.

一般说来,本发明的化合物可以通过例如本文提到的专利和专利申请中所述的通用反应流程的方法或其改进方法,使用易获得的起始原料、试剂和常规合成步骤来制备。在这些反应中,也可以使用本身已知但此处未提及的变型方法。也包括本说明书中所述的且具有相同的一般性质的化合物的功能和结构等价物,其中,对一个或多个取代基进行了不会对该化合物的基本性质或效用造成不利影响的简单改变。In general, the compounds of the present invention can be prepared by methods such as the general reaction schemes described in the patents and patent applications mentioned herein, or modifications thereof, using readily available starting materials, reagents and conventional synthetic procedures. In these reactions, it is also possible to use variants known per se but not mentioned here. Functional and structural equivalents of compounds described in this specification and having the same general properties in which simple changes in one or more substituents are made which do not adversely affect the basic properties or utility of the compounds are also included.

本发明化合物可以含适当溶剂的溶液形式或无溶剂的形式(例如冻干形式)提供。在本发明的另一方案中,实施本发明方法必需的化合物和缓冲剂可以包装成药盒形式。该药盒可在市场上按照本发明所述方法使用,并且可包括使用本发明方法的说明书。附加的药盒组分可包括酸、碱、缓冲剂、无机盐、溶剂、抗氧剂、防腐剂、或金属螯合物。附加的药盒成分以纯组分形式存在,或以混合了一种或多种附加药盒组分的水溶液或有机溶液形式存在。任何或所有的药盒组分都任选进一步包含缓冲剂。The compounds of the invention may be provided in solution with a suitable solvent or in solvent-free form (eg lyophilized form). In another aspect of the present invention, the compounds and buffers necessary for carrying out the methods of the present invention may be packaged in the form of a kit. Such kits are commercially available for use in accordance with the methods of the invention and may include instructions for using the methods of the invention. Additional kit components may include acids, bases, buffers, inorganic salts, solvents, antioxidants, preservatives, or metal chelates. The additional kit components are present as pure components, or as aqueous or organic solutions mixed with one or more additional kit components. Any or all of the kit components optionally further comprise buffering agents.

治疗化合物也可经胃肠外、腹膜内、脊柱内、或脑内给药。分散液可以在甘油、液体聚乙二醇及其混合物中以及在油中制备。在常规贮存与使用条件下,这些制剂可含有防腐剂,用以防止微生物的生长。Therapeutic compounds can also be administered parenterally, intraperitoneally, intraspinal, or intracerebrally. Dispersions can be prepared in glycerol, liquid polyethylene glycols, and mixtures thereof and in oils. Under ordinary conditions of storage and use, these preparations may contain a preservative to prevent the growth of microorganisms.

通过非肠道给药以外的方式给药治疗化合物时,可能需要将化合物用某种物质包衣或与某种物质共同给用以防止其失活。例如,可以对患者给用在适宜载体(例如脂质体),或稀释剂中的治疗化合物。药学上可接受的稀释剂包括盐水和水缓冲溶液。脂质体包括包括水包油包水型CGF乳剂以及常规的脂质体(Stregan等,J.Neuroimmunol.7,27(1984))。When a therapeutic compound is administered by means other than parenteral administration, it may be necessary to coat or co-administer the compound with a substance to prevent its inactivation. For example, the therapeutic compound can be administered to a patient in a suitable carrier (eg, liposomes), or diluent. Pharmaceutically acceptable diluents include saline and aqueous buffered solutions. Liposomes include water-in-oil-in-water CGF emulsions as well as conventional liposomes (Stregan et al., J. Neuroimmunol. 7, 27 (1984)).

适合于注射使用的药物组合物包括灭菌水溶液(在水溶的情况下)或分散液和用以临时配制灭菌注射液或分散液的无菌粉剂。在所有的情况下,这种组合物必须是灭菌的,并且必须达到易于注射的流动程度。在生产和贮存条件下必须是稳定的,而且必须能防微生物如细菌和真菌的污染。Pharmaceutical compositions suitable for injectable use include sterile aqueous solutions (where water soluble) or dispersions and sterile powders for the extemporaneous preparation of sterile injectable solutions or dispersion. In all cases, the composition must be sterile and must be fluid for easy syringability. It must be stable under the conditions of manufacture and storage and must be free from the contaminating action of microorganisms such as bacteria and fungi.

适宜的可药用赋形剂非限制性地包括适合于口服、胃肠外、鼻内、粘膜、透皮、血管内(IV)、动脉内(IA)、肌内(IM)、和皮下(SC)给药途径的任何非致免疫性的药物佐剂,譬如磷酸缓冲盐水(PBS)。Suitable pharmaceutically acceptable excipients include, but are not limited to, those suitable for oral, parenteral, intranasal, mucosal, transdermal, intravascular (IV), intraarterial (IA), intramuscular (IM), and subcutaneous ( SC) any non-immunogenic pharmaceutical adjuvants for the route of administration, such as phosphate-buffered saline (PBS).

赋形剂可以是含有例如水、乙醇、多元醇(例如甘油、丙二醇和液体聚乙二醇等)、其适当的混合物以及植物油的溶剂或分散介质。适当的流动性可以通过一些方式维持,例如通过使用包衣物例如卵磷脂、在分散液情况下维持需要的粒度以及使用表面活性剂。微生物污染作用的防止可通过使用各种抗细菌剂和抗真菌剂实现,例如对羟基苯甲酸酯、氯丁醇、苯酚、抗坏血酸、硫柳汞等。在许多情况下,药物组合物中包括等渗剂,例如蔗糖、氯化钠、或多元醇如甘露糖醇或山梨糖醇。组合物中可包括延迟吸收的物质例如单硬脂酸铝或明胶以实现注射组合物的延长吸收。The excipient can be a solvent or dispersion medium containing, for example, water, ethanol, polyalcohol (such as glycerol, propylene glycol, and liquid polyethylene glycol, etc.), an appropriate mixture thereof, and vegetable oil. Proper fluidity can be maintained in a number of ways, for example by the use of coatings such as lecithin, maintenance of the required particle size in the case of dispersions, and the use of surfactants. Prevention of the contaminating action of microorganisms can be achieved through the use of various antibacterial and antifungal agents, for example, parabens, chlorobutanol, phenol, ascorbic acid, thimerosal, and the like. In many cases, isotonic agents, such as sucrose, sodium chloride, or polyalcohols such as mannitol or sorbitol, are included in pharmaceutical compositions. Absorption delaying agents such as aluminum monostearate or gelatin may be included in the compositions to achieve prolonged absorption of the injectable compositions.

无菌注射液可以通过在适当的溶剂中将需要量的治疗化合物与一种或几种(视需要而定)上面列举的成分混合,接着过滤灭菌来制备。一般来讲,分散液是通过将治疗化合物混入无菌溶媒中制得的,其中的无菌溶媒中含有基本分散介质和其他上文列举的所需成分。对于制备无菌注射液用的无菌粉剂,其制备方法是真空干燥法和冷冻干燥法,从而产生由活性成分(即治疗化合物)加上其先前灭菌过滤溶液中的任何附加需要成分组成的粉末。Sterile injectable solutions can be prepared by incorporating the therapeutic compound in the required amount in an appropriate solvent with one or more, as required, of ingredients enumerated above, followed by filtered sterilization. Generally, dispersions are prepared by incorporating the therapeutic compound into a sterile vehicle which contains a basic dispersion medium and the required other ingredients from those enumerated above. For sterile powders for the preparation of sterile injectable solutions, methods of preparation are vacuum-drying and freeze-drying to yield a formulation consisting of the active ingredient (i.e., the therapeutic compound) plus any additional required ingredients from a previously sterile-filtered solution thereof. powder.

治疗化合物可以口服给用,例如,与惰性稀释剂或可吸收的食用载体一起给用。也可以将治疗化合物与其他的成分封入硬或软明胶胶囊中,压制成药片、或直接混入患者的饮食中。对于口服治疗给药而言,治疗化合物可以与赋形剂混合,以可摄取的片剂、口含片剂、锭剂、胶囊剂、酏剂、混悬剂、糖浆剂、糯米剂等的形式使用。组合物与制剂中治疗化合物的百分比当然可以变化。这类治疗用组合物中治疗化合物的量是能够获得适宜的剂量的量。Therapeutic compounds can be administered orally, for example, with an inert diluent or an assimilable edible carrier. The therapeutic compound and other ingredients may also be enclosed in hard or soft gelatin capsules, compressed into tablets, or mixed directly into the patient's diet. For oral therapeutic administration, the therapeutic compound may be mixed with an excipient and taken in the form of ingestible tablets, buccal tablets, lozenges, capsules, elixirs, suspensions, syrups, lozenges, etc. use. The percentage of therapeutic compound in the composition and formulation can of course vary. The amount of therapeutic compound in such therapeutic compositions is such that a suitable dosage will be obtained.

为了便于给药以及剂量的一致性,将胃肠外组合物配制成将剂量单位形式是特别有利的。此处所使用的剂量单位形式是指适合作为受治疗患者的单位剂量的可物理分隔的单位;每一单位含有经过计算能达到所需治疗效果的预定量的治疗化合物以及需要的药物赋形剂。本发明的剂量单位形式的规格决定于或直接依赖于:(a)该治疗化合物独有的性质和所能取得的特定疗效,和(b)将这类治疗化合物复配用于治疗患者淀粉样沉积的工艺中固有的局限性。It is especially advantageous to formulate parenteral compositions in dosage unit form for ease of administration and uniformity of dosage. Dosage unit form as used herein refers to physically discrete units suited as unitary dosages for the subject to be treated; each unit containing a predetermined quantity of therapeutic compound calculated to achieve the desired therapeutic effect, in association with the required pharmaceutical excipient. The specifications of the dosage unit forms of the present invention are determined by or directly dependent on: (a) the unique properties and specific therapeutic effect that can be obtained by the therapeutic compound, and (b) the compounding of such therapeutic compound for the treatment of amyloid in patients. Inherent limitations in the deposition process.

因此,本发明包括药物制剂,这种制剂包含处于用于气雾剂、口服和胃肠外给药用的可药用赋形剂中的本文所述结构式化合物(包括其可药用盐)。还有,本发明也包括这类化合物或其盐,它们已被冷冻干燥,并且可以重构成可通过静脉、肌内或皮下注射用的可药用制剂。也可以皮肤内或透皮给药。Accordingly, the present invention includes pharmaceutical formulations comprising a compound of the formulas described herein (including pharmaceutically acceptable salts thereof) in a pharmaceutically acceptable excipient for aerosol, oral and parenteral administration. Furthermore, the present invention also includes such compounds or salts thereof which have been freeze-dried and reconstituted into pharmaceutically acceptable preparations for intravenous, intramuscular or subcutaneous injection. Intradermal or transdermal administration is also possible.

按照本发明,本文所述结构式的化合物及其可药用盐可以固体的形式口服给用或吸入给药,或者以溶液、混悬液或乳液的形式肌内或静脉内给药。或者,这些化合物或盐也可以脂质体混悬液的形式通过吸入、静脉内或肌内给药。According to the present invention, the compounds of the formulas described herein and their pharmaceutically acceptable salts can be administered orally or inhaled in solid form, or intramuscularly or intravenously in the form of solution, suspension or emulsion. Alternatively, the compounds or salts can also be administered by inhalation, intravenously or intramuscularly in the form of a liposomal suspension.

本发明也提供适于以气雾剂吸入给药的药物制剂。这些制剂包括本文中任何结构式的需要化合物或其盐的溶液或悬浮液,或许多所述化合物或其盐的固体颗粒。所期望的制剂可放入小室内雾化。雾化可利用压缩空气或利用超声波能形成许多含有所述化合物或其盐的小液滴或固体颗粒而实现。小液滴或固体颗粒的粒径应在大约0.5至大约5微米范围内。固体颗粒可以利用本领域已知的任何适当方法(例如微粉化处理)加工本文所述结构式化合物的固体而获得。固体颗粒或小液滴的尺寸例如为大约1至大约2微米。在这种情况下,可以利用市售雾化器而达到该目的。The invention also provides pharmaceutical formulations suitable for administration by inhalation as an aerosol. These formulations include solutions or suspensions of the desired compound of any formula herein, or a salt thereof, or solid particles of a plurality of said compounds or a salt thereof. The desired formulation can be placed in the chamber for nebulization. Atomization can be accomplished using compressed air or using ultrasonic energy to form a number of small liquid droplets or solid particles containing the compound or its salt. The size of the small liquid droplets or solid particles should be in the range of about 0.5 to about 5 microns. Solid particles may be obtained by processing a solid of a compound of the formulas described herein by any suitable method known in the art, such as micronization. The size of solid particles or droplets is, for example, from about 1 to about 2 microns. In this case, commercially available nebulizers can be utilized for this purpose.

适合于以气雾剂给药的药物制剂可以是液体形式,这种制剂包括存在于含水载体中的水溶性的本文所述结构式化合物或其盐。其中可以存在表面活性剂,以便充分降低制剂的表面张力,从而形成小液滴,这种液滴具有喷雾给药于患者时所期望的粒径范围。Pharmaceutical formulations suitable for aerosol administration may be in liquid form, such formulations comprising a water-soluble compound of the formulas described herein or a salt thereof in an aqueous carrier. A surfactant may be present to reduce the surface tension of the formulation sufficiently to form small droplets having the desired size range for nebulized administration to a patient.

经口给药组合物也包括液体溶液、溶液、混悬液等等。适合于制备这类组合物的可药用赋形剂是本领域公知的。供糖浆剂、酏剂、乳剂和混悬剂用的典型载体组分包括乙醇、甘油、丙二醇、聚乙二醇、液体蔗糖、山梨糖醇和水。对于混悬剂,典型的悬浮剂包括甲基纤维素、羧甲基纤维素钠、黄耆胶、和藻酸钠;典型的湿润剂包括卵磷脂和吐温80;典型的防腐剂包括尼泊金甲酯和苯甲酸钠。经口液体组合物也可以包含一种或多种诸如上文所述的甜味剂、调味剂和着色剂之类组分。Compositions for oral administration also include liquid solutions, solutions, suspensions and the like. Pharmaceutically acceptable excipients suitable for the preparation of such compositions are well known in the art. Typical carrier components for syrups, elixirs, emulsions and suspensions include ethanol, glycerol, propylene glycol, polyethylene glycol, liquid sucrose, sorbitol and water. For suspensions, typical suspending agents include methylcellulose, sodium carboxymethylcellulose, tragacanth, and sodium alginate; typical wetting agents include lecithin and Tween 80; typical preservatives include paraben Gold methyl ester and sodium benzoate. Oral liquid compositions may also contain one or more ingredients such as sweetening, flavoring and coloring agents as hereinbefore described.

药物组合物可以用常规方法包衣,典型的是用pH或时间-依赖性包衣物,从而使得治疗化合物在所期望的局部应用地区或者在不同的时间在胃肠道内释放以延长需要的作用。这类剂型通常包括但不限于一种或多种醋酞纤维素、聚乙烯醋酸酯邻苯二甲酸酯、羟丙基甲基纤维素邻苯二甲酸酯、乙基纤维素、蜡和虫胶。The pharmaceutical compositions may be coated by conventional methods, typically with pH or time-dependent coatings, so that the therapeutic compound is released at the desired site of topical application or at different times within the gastrointestinal tract to prolong the desired action. Such dosage forms typically include, but are not limited to, one or more of cellulose acetate phthalate, polyvinyl acetate phthalate, hydroxypropyl methylcellulose phthalate, ethyl cellulose, waxes and shellac.

实现全身性给药治疗化合物用的其他组合物包括舌下、含服和鼻用制剂形式。这类组合物一般包括一种或多种可溶性填料如蔗糖、山梨糖醇和甘露糖醇;和粘合剂如阿拉伯胶、微晶纤维素、羧甲基纤维素和羟丙基甲基纤维素。也可以包括上面所述的助流剂、润滑剂、甜味剂、着色剂、抗氧剂和调味剂。Other compositions for effecting systemic administration of therapeutic compounds include sublingual, buccal and nasal formulations. Such compositions generally include one or more soluble fillers such as sucrose, sorbitol and mannitol; and binders such as acacia, microcrystalline cellulose, carboxymethylcellulose and hydroxypropylmethylcellulose. Glidants, lubricants, sweeteners, colorants, antioxidants and flavoring agents as described above may also be included.

本发明的组合物也可以通过局部途径给药于患者,例如通过直接将该组合物敷设或摊涂在患者的表皮或上皮组织上,或者通过“贴剂”透皮给药。这类组合物包括例如洗剂、霜剂、溶液、凝胶剂和固体剂。这些局部组合物可包括有效量(通常至少大约0.1%,或甚至为大约1%~大约5%)的本发明的化合物。用于局部给药的适合载体一般以通过出汗或浸渍在水中除去的连续膜和保护层的形式保留在皮肤上。一般来讲,该载体本质上是有机物,并能够使得该治疗化合物分散或溶解在其中。载体可以包括可药用的润滑剂、乳化剂、增稠剂、溶剂等等。The compositions of the present invention may also be administered to a patient by topical routes, for example, by spreading or spreading the composition directly on the epidermis or epithelial tissue of the patient, or by transdermal administration by "patch". Such compositions include, for example, lotions, creams, solutions, gels and solids. These topical compositions may include an effective amount (usually at least about 0.1%, or even from about 1% to about 5%) of a compound of the invention. Suitable carriers for topical administration generally remain on the skin in the form of continuous films and protective layers which are removed by perspiration or immersion in water. Generally, the carrier is organic in nature and capable of dispersing or dissolving the therapeutic compound therein. Carriers may include pharmaceutically acceptable lubricants, emulsifiers, thickeners, solvents and the like.

在一个实施方案中,活性化合物以足以抑制患者淀粉样沉积的治疗有效剂量给用。相对于未经治疗的患者,“治疗有效”剂量能抑制例如至少大约20%,或至少大约40%,或者甚至至少大约60%,或至少大约80%的淀粉样沉积。在阿耳茨海默氏患者中,“治疗有效”剂量能稳定认知功能或能防止认知功能的进一步衰退(即防止、减缓或终止基本的进程)。本发明因此提供了治疗药物。术语“治疗物”或“药物”是指对有生命的人或非人类动物的特种疾病或病症具有有益的缓解或预防效果的物质。In one embodiment, the active compound is administered in a therapeutically effective dose sufficient to inhibit amyloid deposition in the patient. A "therapeutically effective" dose is capable of inhibiting, for example, at least about 20%, or at least about 40%, or even at least about 60%, or at least about 80% of amyloid deposition relative to untreated patients. In Alzheimer's patients, a "therapeutically effective" dose stabilizes cognitive function or prevents further decline of cognitive function (ie, prevents, slows or stops the underlying process). The present invention thus provides therapeutic agents. The term "therapeutic" or "drug" refers to a substance that has a beneficial ameliorating or prophylactic effect on a particular disease or condition in a living human or non-human animal.

对于AA或AL淀粉样变性,本发明化合物能改善或稳定特定器官的功能。例如,肾功能可被稳定或改善10%或更多、20%或更多、30%或更多、40%或更多、50%或更多、60%或更多、70%或更多、80%或更多、或大于90%。For AA or AL amyloidosis, the compounds of the present invention can improve or stabilize the function of specific organs. For example, kidney function can be stabilized or improved by 10% or more, 20% or more, 30% or more, 40% or more, 50% or more, 60% or more, 70% or more , 80% or more, or greater than 90%.

对于IAPP,本发明化合物能够维持或增强β-岛细胞功能(根据胰岛素浓度或Pro-IAPP/IAPP比率测得)。在进一步的实施方案中,Pro-IAPP/IAPP比率增加了大约10%或更多、大约20%或更多、大约30%或更多、大约40%或更多、或大约50%。在进一步的实施方案中,该比率增加到50%。另外,治疗有效量的化合物能够有效地改善糖血或胰岛素水平。With respect to IAPP, the compounds of the invention are capable of maintaining or enhancing beta-islet cell function (as measured by insulin concentration or Pro-IAPP/IAPP ratio). In further embodiments, the Pro-IAPP/IAPP ratio is increased by about 10% or more, about 20% or more, about 30% or more, about 40% or more, or about 50%. In a further embodiment, this ratio is increased to 50%. Additionally, a therapeutically effective amount of the compound is effective to improve blood glucose or insulin levels.

在另一个实施方案中,以足以治疗AA(继发性)淀粉样变性和/或AL(原发性)淀粉样变性的治疗有效量给用本发明的活性化合物,这种治疗通过稳定肾功能、降低蛋白尿、增加肌酸酐清除率(例如增加至少50%或更多,或增加至少100%或更多)、缓解长期腹泻、或通过增加体重(例如增加10%或更多)实现。另外,可以给用足以改善肾病综合症的治疗有效剂量的本发明化合物。In another embodiment, the active compound of the present invention is administered in a therapeutically effective amount sufficient to treat AA (secondary) amyloidosis and/or AL (primary) amyloidosis by stabilizing renal function , reducing proteinuria, increasing creatinine clearance (eg, by at least 50% or more, or by at least 100% or more), alleviating chronic diarrhea, or by increasing body weight (eg, by 10% or more). In addition, a therapeutically effective amount of the compound of the invention sufficient to ameliorate nephrotic syndrome may be administered.

此外,可以给用足以降低淀粉样蛋白例如Aβ40或Aβ42在患者体中沉积的治疗有效剂量的活性化合物。与未接受治疗的患者相比,治疗有效剂量能降低例如至少约15%、或至少约40%、或甚至至少60%、或至少约80%的淀粉样变性沉积。In addition, a therapeutically effective dose of the active compound sufficient to reduce the deposition of amyloid, eg, A[beta]40 or A[beta]42, in the patient can be administered. A therapeutically effective dose reduces amyloid deposition, eg, by at least about 15%, or at least about 40%, or even at least 60%, or at least about 80%, compared to untreated patients.

在另一个实施方案中,可以给用足以增加或提高患者血液、CSF或血浆中淀粉样蛋白例如Aβ40或Aβ42的治疗有效剂量的活性化合物。与未接受治疗的患者的相比,治疗有效剂量能增加例如至少约15%、或至少约40%、或甚至至少60%、或至少约80%的浓度。In another embodiment, the active compound may be administered in a therapeutically effective amount sufficient to increase or elevate the level of amyloid, such as A[beta]40 or A[beta]42, in the blood, CSF or plasma of the patient. A therapeutically effective dose can increase the concentration, eg, by at least about 15%, or at least about 40%, or even at least 60%, or at least about 80%, compared to that of a patient not receiving treatment.

在又一个实施方案中,以足以将患者的CDR等级保持为其基线等级或0的治疗有效量给药活性化合物。在另一个实施方案中,以足以将患者的CDR等级降低大约0.25或以上、大约0.5或以上、大约1.0或以上、大约1.5或以上、大约2.0或以上、大约2.5或以上、或大约3.0或以上的治疗有效剂量给药活性化合物。在另一个实施方案中,以足以降低患者的CDR等级的增加速度(与历史或未治疗对照组相比)的治疗有效剂量给药活性化合物。在另一个实施方案中,治疗有效剂量足以将患者的CDR等级增加速度(相对于未接受治疗的患者)降低大约5%或以上、大约10%或以上、大约20%或以上、大约25%或以上、大约30%或以上、大约40%或以上、大约50%或以上、大约60%或以上、大约70%或以上、大约80%或以上、大约90%或以上、或大约100%。In yet another embodiment, the active compound is administered in a therapeutically effective amount sufficient to maintain the patient's CDR grade at its baseline grade or zero. In another embodiment, sufficient to reduce the patient's CDR grade by about 0.25 or more, about 0.5 or more, about 1.0 or more, about 1.5 or more, about 2.0 or more, about 2.5 or more, or about 3.0 or more The active compound is administered at a therapeutically effective dose. In another embodiment, the active compound is administered at a therapeutically effective dose sufficient to reduce the rate of increase in the patient's CDR rank compared to historical or untreated controls. In another embodiment, the therapeutically effective dose is sufficient to reduce the patient's rate of CDR grade increase (relative to untreated patients) by about 5% or more, about 10% or more, about 20% or more, about 25% or more More than, about 30% or more, about 40% or more, about 50% or more, about 60% or more, about 70% or more, about 80% or more, about 90% or more, or about 100%.

在又一个实施方案中,以足以维持患者MMSE得分的治疗有效剂量给药活性化合物。在另一个实施方案中,以足以将患者的MMSE得分提高大约1、大约2、大约3、大约4、大约5、大约7.5、大约10、大约12.5、大约15、大约17.5、大约20、或者大约25分的治疗有效剂量给药活性化合物。在另一个实施方案中,以足以减少患者的MMSE得分的降低速度(与历史对照组相比)的治疗有效剂量给药活性化合物。在另一个实施方案中,治疗有效剂量足以将患者的MMSE得分降低速度减少(与历史对照组或未治疗的对照组相比)大约5%或更少、大约10%或更少、大约20%或更少、大约25%或更少、大约30%或更少、大约40%或更少、大约50%或更少、大约60%或更少、大约70%或更少、大约80%或更少、大约90%或更少或大约100%或更少。In yet another embodiment, the active compound is administered at a therapeutically effective dose sufficient to maintain the patient's MMSE score. In another embodiment, the MMSE score is sufficient to increase the patient's MMSE score by about 1, about 2, about 3, about 4, about 5, about 7.5, about 10, about 12.5, about 15, about 17.5, about 20, or about A therapeutically effective dose of 25 minutes of active compound is administered. In another embodiment, the active compound is administered at a therapeutically effective dose sufficient to reduce the rate of decrease in the patient's MMSE score as compared to historical controls. In another embodiment, the therapeutically effective dose is sufficient to reduce the rate of decline in the patient's MMSE score (compared to a historical or untreated control group) by about 5% or less, about 10% or less, about 20% or less, about 25% or less, about 30% or less, about 40% or less, about 50% or less, about 60% or less, about 70% or less, about 80% or Less, about 90% or less or about 100% or less.

在又一个实施方案中,以足以维持患者ADAS-Cog得分的治疗有效量给药活性化合物。在另一个实施方案中,以足以将患者的ADAS-Cog得分降低大约2点或更多点、大约3点或更多点、大约4点或更多点、大约5点或更多点、大约7.5点或更多点、大约10点或更多点、大约12.5点或更多点、大约15点或更多点、大约17.5点或更多点、大约20点或更多点,或者大约25点或更多点的治疗有效剂量给药活性化合物。在另一个实施方案中,以足以减少患者的ADAS-Cog得分的增加速度(与历史或未治疗对照组相比)的治疗有效剂量给药活性化合物。在另一个实施方案中,治疗有效剂量足以将患者ADAS-Cog得分的增加速度降低(与未治疗的对照组相比)大约5%或以上、大约10%或以上、大约20%或以上、大约25%或以上、大约30%或以上、大约40%或以上、大约50%或以上、大约60%或以上、大约70%或以上、大约80%或以上、大约90%或以上、或大约100%。In yet another embodiment, the active compound is administered in a therapeutically effective amount sufficient to maintain the patient's ADAS-Cog score. In another embodiment, sufficient to reduce the patient's ADAS-Cog score by about 2 or more points, about 3 points or more points, about 4 points or more points, about 5 points or more points, about 7.5 points or more, about 10 points or more, about 12.5 points or more, about 15 points or more, about 17.5 points or more, about 20 points or more, or about 25 The active compound is administered in one or more therapeutically effective doses. In another embodiment, the active compound is administered at a therapeutically effective dose sufficient to reduce the rate of increase in the patient's ADAS-Cog score as compared to historical or untreated controls. In another embodiment, the therapeutically effective dose is sufficient to reduce the rate of increase in the patient's ADAS-Cog score (compared to an untreated control group) by about 5% or more, about 10% or more, about 20% or more, about 20% or more, about 25% or more, about 30% or more, about 40% or more, about 50% or more, about 60% or more, about 70% or more, about 80% or more, about 90% or more, or about 100% %.

在另一个实施方案中,以足以将患者的CSF或血浆中Aβ42∶Aβ40比例降低大约15%或更多、大约20%或更多、大约25%或更多、大约30%或更多、大约35%或更多、大约40%或更多、大约45%或更多、或大约50%或更多的治疗有效量给药活性化合物。In another embodiment, the ratio of Aβ42:Aβ40 in the patient's CSF or plasma is sufficient to reduce the ratio of Aβ42:Aβ40 by about 15% or more, about 20% or more, about 25% or more, about 30% or more, about A therapeutically effective amount of 35% or more, about 40% or more, about 45% or more, or about 50% or more of the active compound is administered.

在另一个实施方案中,以足以将患者的CSF或血浆中Aβ的水平降低大约15%或更多,大约25%或更多,大约35%或更多,大约45%或更多,大约55%或更多,大约75%或更多,或大约90%或更多的量给药活性化合物。In another embodiment, sufficient to reduce the level of Aβ in the patient's CSF or plasma by about 15% or more, about 25% or more, about 35% or more, about 45% or more, about 55% % or more, about 75% or more, or about 90% or more of the active compound.

这些化合物的毒性和治疗效力可以采用标准的药物方法在细胞培养基或试验动物中测得,例如测定LD50(试验总体中50%致死的剂量)和ED50(试验总体中50%治疗有效的剂量)。毒性与治疗效果的剂量比称为治疗指数,并且可以表示为LD50/ED50之比,而且治疗指数越大则表示效力越高。尽管可以使用具有毒副作用的化合物,但务必要设计成能将这些化合物靶向到受影响组织部位的给药系统,以便将对未受影响的细胞的可能损伤降低到最低,从而减少副作用。The toxicity and therapeutic efficacy of these compounds can be measured in cell culture medium or experimental animals using standard pharmaceutical methods, for example, determining LD50 (the dose lethal to 50% of the test population) and ED50 (the dose effective for 50% of the test population) . The dose ratio of toxic to therapeutic effects is called the therapeutic index and can be expressed as the ratio LD50/ED50, with a greater therapeutic index indicating higher efficacy. Although it is possible to use compounds with toxic side effects, it is important to design delivery systems that target these compounds to affected tissue sites in order to minimize possible damage to unaffected cells, thereby reducing side effects.

应当理解,适当的剂量取决于多种因素,这些因素都在普通专业医生,兽医或研究人员的知识范围之内。小分子的剂量是可变的,例如这取决于患者或受治疗样本的身份、大小和症状,进一步还取决于给药所述组合物的途径(如果合适的话)、以及医师期望小分子作用于患者的效果。代表性的剂量包括每千克患者或样本重量数毫克或数微克量的小分子(例如约1微克/千克-约500毫克/千克,约100微克/千克-约5毫克/千克,或约1微克/千克-约50微克/千克)。进一步可以理解,合适的剂量取决于效力。这些合适的剂量可以使用本文所述试验测定。当对动物(例如人类)给药一种或多种这些化合物时,例如,医生、兽医或研究人员开始可以先处方较低的剂量,随后逐渐增大剂量直至获得需要的反应。此外,还应当理解的是,对于任何特定的动物患者,具体的剂量水平将取决于多种因素,包括所用具体化合物的活性,患者的年龄、体重、健康状况、性别和饮食习惯,给药时间,给药途径,排泄速率,以及任何联用药物。It will be understood that the appropriate dosage will depend on a variety of factors, all of which are within the knowledge of the ordinary professional physician, veterinarian or researcher. The dosage of the small molecule is variable, depending, for example, on the identity, size and symptoms of the patient or specimen being treated, further depending on the route of administration of the composition (if appropriate), and on the physician's desire for the small molecule to act on patient effect. Representative doses include milligrams or micrograms of the small molecule per kilogram of patient or sample weight (e.g., about 1 microgram/kg to about 500 mg/kg, about 100 micrograms/kg to about 5 mg/kg, or about 1 microgram/kg /kg - about 50 μg/kg). It will further be appreciated that appropriate dosages will depend on potency. Such suitable dosages can be determined using the assays described herein. When administering one or more of these compounds to an animal (eg, a human), for example, the physician, veterinarian or researcher can prescribe lower dosages initially and gradually increase the dosage until the desired response is obtained. In addition, it should also be understood that for any particular animal patient, the specific dosage level will depend on a variety of factors, including the activity of the particular compound used, the age, weight, health, sex and dietary habits of the patient, the time of administration, , route of administration, rate of excretion, and any co-administered drugs.

化合物抑制淀粉样蛋白沉积的能力可以采用动物模型体系评估,这种动物模型体系能够预测抑制人类疾病中淀粉样蛋白沉积的效力,例如表达人APP的转基因鼠或其它能观测到Aβ沉积的动物模型,或者例如发生AA淀粉样变性的动物模型。同样地,化合物在模型体系中防止或减轻认知损伤的能力可作为其对人效力的指标。或者,化合物的能力可以通过测试化合物体外抑制淀粉样原纤维形成的能力评估,例如,使用原纤维生成的测定方法,譬如本文所述的包括ThT、CD、或EM测定法在内的方法。还有,也可以使用本文所述的MS测定法来测定化合物结合淀粉样原纤维的能力。使用生化测定法体外测定化合物保护细胞免受淀粉样蛋白诱导的毒性的能力,以确定淀粉样蛋白诱发的细胞死亡百分率。也可以在适当动物模型体系中评估化合物调节肾功能的能力。The ability of compounds to inhibit amyloid deposition can be assessed using animal model systems that predict efficacy in inhibiting amyloid deposition in human disease, such as transgenic mice expressing human APP or other animal models where Aβ deposition is observed , or eg an animal model of AA amyloidosis. Likewise, the ability of a compound to prevent or reduce cognitive impairment in model systems can be used as an indicator of its efficacy in humans. Alternatively, the ability of a compound can be assessed by testing the ability of the compound to inhibit amyloid fibril formation in vitro, for example, using a fibrilgenesis assay such as those described herein that include ThT, CD, or EM assays. Also, the ability of compounds to bind amyloid fibrils can also be determined using the MS assays described herein. The ability of compounds to protect cells from amyloid-induced toxicity is assayed in vitro using a biochemical assay to determine percent amyloid-induced cell death. Compounds can also be assessed for their ability to modulate renal function in appropriate animal model systems.

也可以半体内(ex vivo)给药本发明的治疗化合物用以抑制淀粉样沉积或治疗某些淀粉样相关疾病,如β2M淀粉样变性以及与透析有关的其它淀粉样变性。半体内(ex vivo)给药本发明治疗化合物可以按下方式完成:使体液(例如血液、血浆等)与本发明的治疗化合物接触,从而使得治疗化合物能履行其预定功能,然后将体液给药于患者。本发明的治疗化合物可以通过半体内方式(例如透析滤器)、体内方式(例如与体液一起给用)、或二者实现其功能。例如,本发明的治疗化合物可以通过半体内、体内或这两种方式用于降低血液β2M水平和/或保持β2M为其可溶解形式。Therapeutic compounds of the invention may also be administered ex vivo to inhibit amyloid deposition or to treat certain amyloid-related diseases, such asβ2M amyloidosis and other amyloidoses associated with dialysis. Ex vivo (ex vivo) administration of a therapeutic compound of the invention can be accomplished by contacting a body fluid (eg, blood, plasma, etc.) with a therapeutic compound of the invention so that the therapeutic compound can perform its intended function, and then administering the body fluid for patients. Therapeutic compounds of the invention can perform their function ex vivo (eg, dialysis filters), in vivo (eg, administered with body fluids), or both. For example, the therapeutic compounds of the invention can be used to lower bloodβ2M levels and/or maintainβ2M in its soluble form ex vivo, in vivo, or both.

血脑屏障blood brain barrier

与本发明化合物产生其生物作用的具体机理无关,本发明化合物能够预防或治疗淀粉样相关疾病,譬如阿耳茨海默氏病、CAA、糖尿病相关淀粉样变性、AL淀粉样变性、唐氏综合症、或β2M淀粉样变性。本发明化合物可以逆转或促进淀粉样蛋白的沉积或者本发明化合物能促进黄斑清除或减缓沉积。例如,相对于未接受治疗的患者而言,本发明化合物能够降低患者大脑中淀粉样蛋白的浓度。本发明化合物通过跨越血脑屏障(“BBB”)渗透到大脑中发挥其生物作用。本发明化合物可以维持可溶性淀粉样蛋白为非纤维状形式,或者,相对于未接受治疗的患者,本发明化合物能提高可溶性淀粉样蛋白从患者脑中的清除率。本发明化合物能提高Aβ在其构成原纤维之前在脑中的降解速率。所述化合物也可以在外周起作用,从而引起淀粉样蛋白浓度在两室(即全身与中枢两室)中的平衡发生改变,这样化合物可能不需要渗入大脑就能降低大脑中Aβ的浓度(“吸收”(sink)效应)。Regardless of the specific mechanism by which the compound of the present invention produces its biological effect, the compound of the present invention can prevent or treat amyloid-related diseases, such as Alzheimer's disease, CAA, diabetes-related amyloidosis, AL amyloidosis, Down's syndrome disease, or β2 M amyloidosis. Compounds of the invention may reverse or promote amyloid deposition or compounds of the invention may promote macular clearance or slow deposition. For example, compounds of the invention can reduce the concentration of amyloid in the brain of a patient relative to untreated patients. The compounds of the present invention exert their biological effects by penetrating into the brain across the blood-brain barrier ("BBB"). Compounds of the invention can maintain soluble amyloid in a non-fibrillar form, or, compounds of the invention can increase clearance of soluble amyloid from the brain of a patient relative to untreated patients. The compounds of the present invention increase the rate of degradation of A[beta] in the brain prior to its formation into fibrils. The compounds may also act peripherally, thereby causing a change in the balance of amyloid concentrations in both compartments (i.e., systemic and central), such that the compounds may reduce brain Aβ concentrations without the need for penetration into the brain (“ Absorption" (sink) effect).

能在大脑中体内发挥其生理作用的本发明化合物如果能获得进入脑中靶细胞的通路则将更加有用。脑细胞的非限制性实例为神经元、神经胶质细胞(星形细胞、少突神经胶质细胞、小神经胶质细胞),脑血管细胞(肌细胞、内皮细胞)以及包括脑膜的细胞。血脑屏障(“BBB”)作为使脑实质与体循环分开的生理和功能性阻断物常常能限制进入大脑(参见,例如,Pardridge等,J.Neurovirol.6(6),556-69(1999);Rubin等,Rev.Neurosci.22,11-28(1999))。循环分子通常能够通过下述两种方法之一到达脑细胞:通过自由扩散穿越BBB的脂质介导转输方法,或活化(或催化)转输方法。Compounds of the invention capable of exerting their physiological effects in vivo in the brain would be more useful if they could gain access to target cells in the brain. Non-limiting examples of brain cells are neurons, glial cells (astrocytes, oligodendrocytes, microglia), cerebrovascular cells (muscle cells, endothelial cells), and cells including meninges. The blood-brain barrier ("BBB") often limits access to the brain as a physiological and functional barrier separating the brain parenchyma from the systemic circulation (see, e.g., Pardridge et al., J. Neurovirol. 6(6), 556-69 (1999 ); Rubin et al., Rev. Neurosci. 22, 11-28 (1999)). Circulating molecules are usually able to reach brain cells by one of two methods: lipid-mediated transport by free diffusion across the BBB, or activated (or catalyzed) transport.

为改善本发明化合物在体内的分布,可以将它们配制成例如口服给药用的粉状或液状片剂或溶液,或配制成喷鼻剂、滴鼻剂或软膏剂,通过管或导管,利用注射器、有尾巴的填塞物、脱脂棉小拭子、或粘膜下注入物给用。例如,血脑屏障(BBB)排除了许多高亲水性化合物。为确保本发明中亲水性较强的治疗化合物穿越血脑屏障,例如可以将它们在脂质体中配制。有关脂质体的制备方法参阅例如美国专利4,522,811;5,374,548;和5,399,331。脂质体可包含一个或多个能被选择性地转运到特定细胞或器官内的部分(“靶向部分”或“靶向基团”或“转运载体”),从而实现靶向给药(参阅例如V.V.Ranade J.Clin.Pharmacol.29,685(1989))。同样地,也可以将本发明的化合物连接到容易透过血脑屏障的靶向基团上。在一个实施方案中,本发明的方法使用连接有下述种类化合物的天然聚胺,所述化合物为小分子并且可用于抑制例如Aβ沉积。In order to improve the distribution of the compounds of the present invention in the body, they can be formulated, for example, as powdered or liquid tablets or solutions for oral administration, or as nasal sprays, nasal drops or ointments, through a tube or catheter, using Administer by syringe, tailed tampon, absorbent cotton swab, or submucosal injection. For example, the blood-brain barrier (BBB) excludes many highly hydrophilic compounds. To ensure that the more hydrophilic therapeutic compounds of the invention cross the blood-brain barrier, they can be formulated, for example, in liposomes. See, eg, US Patents 4,522,811; 5,374,548; and 5,399,331 for methods of preparing liposomes. Liposomes may contain one or more moieties ("targeting moieties" or "targeting moieties" or "transport vehicles") that can be selectively transported into specific cells or organs, thereby enabling targeted drug delivery ( See eg V.V. Ranade J. Clin. Pharmacol. 29, 685 (1989)). Likewise, compounds of the invention may also be linked to targeting groups that readily penetrate the blood-brain barrier. In one embodiment, the methods of the invention use natural polyamines linked to compounds of the class that are small molecules and are useful for inhibiting, for example, A[beta] deposition.

为了促进本发明化合物转运通过BBB,可以将它们偶联到BBB转运载体上(有关BBB转运载体和机制的论述参见Bickel等,Adv.Drug Delivery Reviews 46,247-79(2001))。代表性的转运载体包括阳离子化的白蛋白或针对转铁蛋白受体的OX26单克隆抗体;这些蛋白质分别经过吸收介导和受体介导的胞吞转运作用通过BBB。可用作靶向基团的天然细胞代谢物特别包括腐胺、亚精胺、精胺、或DHA。其它的代表性靶向部分包括叶酸或生物素(例如,参阅USP5,416,016);甘露糖苷(Umezawa等,Biochem.Biophys.Res.Commun.153,1038(1988));抗体(P.G.Bloeman等,FEBS Lett.357,140(1995);M.Owais等,Antimicrob.Agents Chemother.39,180(1995));表面蛋白A受体(Briscoe等,Am.J.Physiol,1233:134(1995));gp 120(Schreier等,J.Biol.Chem.269,9090(1994));也参阅K.Keinanen和M.L.Laukkanen,FEBS Lett 346,123(1994);J.J.Killion和I.J.Fidler,Immunomethods 4,273(1994)。To facilitate transport of compounds of the invention across the BBB, they can be coupled to BBB transport carriers (see Bickel et al., Adv. Drug Delivery Reviews 46, 247-79 (2001) for a discussion of BBB transport carriers and mechanisms). Representative transport vehicles include cationized albumin or the OX26 monoclonal antibody directed against the transferrin receptor; these proteins cross the BBB via uptake-mediated and receptor-mediated transcytosis, respectively. Natural cell metabolites that can be used as targeting groups include, inter alia, putrescine, spermidine, spermine, or DHA. Other representative targeting moieties include folic acid or biotin (see, for example, USP 5,416,016); mannosides (Umezawa et al., Biochem. Biophys. Res. Commun. 153, 1038 (1988)); antibodies (P.G. Bloeman et al., FEBS Lett. 357, 140 (1995); M. Owais et al., Antimicrob. Agents Chemother. 39, 180 (1995)); Surface protein A receptor (Briscoe et al., Am. J. Physiol, 1233: 134 (1995)); gp 120 (Schreier et al., J.Biol.Chem. 269, 9090 (1994)); see also K. Keinanen and M.L. Laukkanen, FEBS Lett 346, 123 (1994); J.J. Killion and I.J. Fidler, Immunomethods 4, 273 (1994) ).

能将受体介导转运体系靶向进入脑中的其它BBB转运载体的实例包括这样一些因子:胰岛素、胰岛素样生长因子(“IGF-I”和”IGF-II”)、血管紧张素II、心钠素和脑钠素(“ANP”和“BNP”)、白血病介素I(“IL-1”)和转铁蛋白。与这些因子结合的受体的单克隆抗体也被用作BBB转运载体。针对吸收性介导胞吞转运作用机制目标的BBB转运载体包括阳离子化部分如阳离子化的LDL,与聚赖氨酸偶联的白蛋白或辣根过氧化酶,阳离子化白蛋白或阳离子化免疫球蛋白。小分子的碱性寡肽如强啡肽类似物E-2078和ACTH类似物ebiratide也能经吸收介导的胞吞转运作用穿越脑,并且是很有前途的转运载体。Examples of other BBB transporters capable of targeting receptor-mediated transport into the brain include factors such as insulin, insulin-like growth factors ("IGF-I" and "IGF-II"), angiotensin II, Atrial natriuretic peptide and brain natriuretic peptide ("ANP" and "BNP"), interleukin I ("IL-1") and transferrin. Monoclonal antibodies to receptors that bind to these factors have also been used as BBB transporters. BBB transporters targeting absorptive-mediated transcytosis mechanistic targets include cationized moieties such as cationized LDL, albumin or horseradish peroxidase conjugated to polylysine, cationized albumin, or cationized immune globulin. Small molecular basic oligopeptides such as dynorphin analog E-2078 and ACTH analog ebiratide can also cross the brain through uptake-mediated endocytosis, and are promising transporters.

其它的BBB转运载体是将营养素转运到脑中的靶向体系。此类BBB转运载体的例子包括己糖类譬如葡萄和单羧酸类,例如乳酸和中性氨基酸如苯丙氨酸,以及胺类,如胆碱和碱性氨基酸譬如精氨酸,核苷如腺苷,嘌呤碱如腺嘌呤,和甲状腺激素如三碘甲状腺素。营养转运蛋白细胞外区域的抗体也能用作转运蛋白。其它可能的载体包括血管紧张素II和ANP,它们可能与调整BBB的通透性有关。Other BBB transporters are targeted systems for transporting nutrients into the brain. Examples of such BBB transporters include hexoses such as glucose and monocarboxylic acids such as lactic acid and neutral amino acids such as phenylalanine, and amines such as choline and basic amino acids such as arginine, nucleosides such as Adenosine, a purine base such as adenine, and a thyroid hormone such as triiodothyronine. Antibodies to the extracellular domain of nutrient transporters can also be used as transporters. Other possible carriers include angiotensin II and ANP, which may be involved in modulating BBB permeability.

在一些情况下,连接治疗化合物与转运载体的键可以在转运到脑内后被裂解,以释放生物活性化合物。连接子的例子包括二硫键、酯键、硫醚键、酰胺键、易酸解的键和席夫碱键。也可以使用亲和素/生物素连接子,其中亲和素是以共价键偶联到BBB药物转运载体上的。亲和素本身也是一种药物转运载体。In some instances, the bond linking the therapeutic compound to the delivery vehicle can be cleaved after delivery into the brain to release the biologically active compound. Examples of linkers include disulfide bonds, ester bonds, thioether bonds, amide bonds, acid-cleavable bonds, and Schiff base bonds. An avidin/biotin linker can also be used, where the avidin is covalently coupled to the BBB drug delivery vehicle. Avidin itself is also a drug transporter.

胞吞转运,包括受体介导的将组合物穿越血脑屏障的转运,也适合于本发明的化合物。美国专利5,672,683;5,383,988;5,527,527;5,977,307;和6,015,555公开了转铁蛋白受体介导的传递。转铁蛋白介导的转运也是已知的。P.M.Friden等,Pharmacol.Exp.Ther.278,1491-98(1996);H.J.Lee,J.Pharmacol.Exp.Ther.292,1048-52(2000)。EGF受体介导的传递记载于Y.Deguchi等,Bioconjug.Chem.10,32-37(1999),并且A.Cerlett等在J.Drug Target.8,435-46(2000)中描述了胞吞转运。胰岛素片段也已被用作穿越血脑屏障的传递载体。M.Fukuta等,Pharm.Res.11.1681-88(1994)。Y.S.Kang等在Pharm.Res.1,1257-64(1994)中也描述了通过营养素抗生物素蛋白和阳离子化人白蛋白轭合物传递本发明化合物的内容。Endocytic transport, including receptor-mediated transport of the composition across the blood-brain barrier, is also suitable for compounds of the invention. US Patents 5,672,683; 5,383,988; 5,527,527; 5,977,307; and 6,015,555 disclose transferrin receptor-mediated delivery. Transferrin-mediated transport is also known. P.M. Friden et al., Pharmacol. Exp. Ther. 278, 1491-98 (1996); H. J. Lee, J. Pharmacol. Exp. Ther. 292, 1048-52 (2000). EGF receptor-mediated delivery is described in Y. Deguchi et al., Bioconjug. Chem. 10, 32-37 (1999), and A. Cerlett et al. describe cellular in J. Drug Target. 8, 435-46 (2000). Swallow and transport. Insulin fragments have also been used as delivery vehicles across the blood-brain barrier. M. Fukuta et al., Pharm. Res. 11.1681-88 (1994). Y.S. Kang et al. in Pharm. Res. 1, 1257-64 (1994) also describe the delivery of the compounds of the invention via conjugates of the nutrient avidin and cationized human albumin.

用于提高本发明化合物渗透穿越血脑屏障的其它改进物可以采用本领域已知的方法和衍生物完成。例如,USP 6,024,977公开了以脑和中枢神经系统为靶标的共价极性脂质轭合物。USP 5,017,566公开包含二氢吡啶氧化还原靶向部分的脂样形式的包含复合物的环糊精衍生物。USP 5,023,252公开一种药物组合物的用途,这种组合物包括神经病学活性的药物和能促进所述药物转运穿过血脑屏障的化合物,这种化合物包括大环酯,二酯,酰胺,二酰胺,脒,二脒,硫酯,二硫酯,硫酰胺,酮或内酯。USP 5,024,998公开了水不溶性药物与环糊精衍生物的注射液。USP 5,039,794公开了转移瘤源性外出因子在促进化合物转运穿越血脑屏障中的应用。USP 5,112,863公开抗精神病药物N-酰基氨基酸衍生物用于穿越血脑屏障给药的应用。USP5,124,146公开了在与脑损伤有关的通透性提高部位将治疗剂传递穿过血脑屏障的方法。USP 5,153,179公开了在用于改善细胞膜透过性的药物中使用的酰化甘油及其衍生物。USP 5,177,064公开了核苷抗病毒剂的类脂膦酸酯衍生物在透过血脑屏障给药中的应用。USP5,254,342公开了联合使用转铁蛋白受体与可药用化合物进行的血脑屏障的受体介导胞吞转运作用,所述可药用化合物能加强或促进该过程。USP 5,258,402公开了使用抗惊厥药氨基磺酸酯的亚氨酸酯衍生物治疗癫痫症。USP 5,270,312公开了用作中枢神经系统药的取代哌嗪。USP 5,284,876公开了多巴胺药物的脂肪酸轭合物。USP 5,389,623公开了抗炎甾体或甾体性激素的脂质二氢吡啶衍生物在透过血脑屏障给药中的应用。USP 5,405,834公开了促甲状腺激素释放激素的前药衍生物。USP 5,413,996公开了公开了神经病学活性药物的酰氧基烷基膦酸酯轭合物,用于在脑组织中阴离子螯合所述药物。USP 5,434,137公开了使用注入到颈动脉内的缓激肽选择性切断异常脑组织毛细管。USP 5,442,043公开了介于具有生物活性但不能穿越血脑屏障的肽与无生物活性但能通过受体介导胞吞转运作用通过血脑屏障的肽之间的肽轭合物。USP 5,446,683公开了治疗癫痫症用的抗惊厥药的的水溶性类似物。USP 5,525,727公开了在脑组织中具有差量摄取和保留性质的组合物,其包括麻醉镇痛剂及其激动剂和拮抗剂与二氢吡啶的脂质形式形成的轭合物,这样在透过能防止分配回体循环的血脑屏障摄取时形成氧化还原盐。Other modifications for increasing the penetration of the compounds of the invention across the blood-brain barrier can be accomplished using methods and derivatives known in the art. For example, USP 6,024,977 discloses covalent polar lipid conjugates targeting the brain and central nervous system. USP 5,017,566 discloses cyclodextrin derivatives comprising a lipid-like form of a dihydropyridine redox targeting moiety comprising a complex. USP 5,023,252 discloses the use of a pharmaceutical composition comprising a neurologically active drug and a compound capable of facilitating transport of the drug across the blood-brain barrier, such compound including macrocyclic esters, diesters, amides, di Amides, amidines, diamidines, thioesters, dithioesters, sulfamides, ketones or lactones. USP 5,024,998 discloses injections of water-insoluble drugs and cyclodextrin derivatives. USP 5,039,794 discloses the use of metastasizing tumor-derived efflux factors in promoting the transport of compounds across the blood-brain barrier. USP 5,112,863 discloses the application of N-acyl amino acid derivatives of antipsychotic drugs for drug delivery across the blood-brain barrier. USP 5,124,146 discloses methods of delivering therapeutic agents across the blood-brain barrier at sites of increased permeability associated with brain injury. USP 5,153,179 discloses acylated glycerol and its derivatives for use in drugs for improving cell membrane permeability. USP 5,177,064 discloses the application of lipid phosphonate derivatives of nucleoside antiviral agents in administration through the blood-brain barrier. USP 5,254,342 discloses receptor-mediated transcytosis of the blood-brain barrier using transferrin receptors in combination with pharmaceutically acceptable compounds that can enhance or facilitate this process. USP 5,258,402 discloses the use of imidate derivatives of the anticonvulsant sulfamate for the treatment of epilepsy. USP 5,270,312 discloses substituted piperazines for use as central nervous system drugs. USP 5,284,876 discloses fatty acid conjugates of dopamine drugs. USP 5,389,623 discloses the use of lipid dihydropyridine derivatives of anti-inflammatory steroids or steroidal sex hormones for administration across the blood-brain barrier. USP 5,405,834 discloses prodrug derivatives of thyrotropin releasing hormone. USP 5,413,996 discloses acyloxyalkylphosphonate conjugates of neurologically active drugs for anionic chelation of the drugs in brain tissue. USP 5,434,137 discloses the selective severing of abnormal brain tissue capillaries using bradykinin injected into the carotid artery. USP 5,442,043 discloses a peptide conjugate between a biologically active peptide that cannot cross the blood-brain barrier and a biologically inactive peptide that can pass through the blood-brain barrier through receptor-mediated transcytosis. USP 5,446,683 discloses water soluble analogs of anticonvulsants for the treatment of epilepsy. USP 5,525,727 discloses compositions having differential uptake and retention properties in brain tissue comprising conjugates of narcotic analgesics and their agonists and antagonists with lipid forms of dihydropyridines such that the Can prevent the formation of redox salts upon uptake by the blood-brain barrier that distributes back to the systemic circulation.

一氧化氮是身体正常组织中外周脉管系统的血管扩张剂。一氧化氮合酶产生的一氧化氮增多将会导致无血压损失的血管扩张。通过脑组织的血流的血压独立地增高,将会增大产血组分的脑生物利用度。一氧化氮的这种增加可以通过给药L-精氨酸给予刺激。当一氧化氮增多时,脑血流也随之增大,并且血流中的药物随增加的血流一起进入到脑组织。因此,L-精氨酸可以用于本发明的药物组合物中,以便在药物组合物输入到患者血流内之后(几乎同时血流中L-精氨酸的含量增高)提高传递化合物到脑组织的能力,参阅WO 00/56328。Nitric oxide is a vasodilator of the peripheral vasculature in normal tissues of the body. Increased production of nitric oxide by nitric oxide synthase will result in vasodilation without loss of blood pressure. An independent increase in the blood pressure of the blood flow through the brain tissue will increase the brain bioavailability of hematopoietic components. This increase in nitric oxide can be stimulated by administration of L-arginine. When nitric oxide increases, cerebral blood flow also increases, and the drug in the bloodstream enters the brain tissue along with the increased blood flow. Therefore, L-arginine can be used in the pharmaceutical composition of the present invention to enhance the delivery of the compound to the brain after the pharmaceutical composition is infused into the patient's bloodstream (almost simultaneously with an increase in the level of L-arginine in the bloodstream). Organizational capabilities, see WO 00/56328.

增强血脑屏障透过性的改进物的再一些例子见国际(PCT)申请公开号WO 85/02342所述,它公开了包括甘油脂质体或其衍生物的药物组合物。PCT公开号WO 089/11299公开了抗体与酶的化学轭合物,这种轭合物被专一性地传递到脑损伤部位用以活化独立给药的神经病学活性前药。PCT公开号WO 91/04014公开了通过在靶向脑组织的脂质体中包封药物传递治疗和诊断剂穿越血脑屏障的方法,其中使用转运专一性的受体配体或抗体。PCT公开号WO 91/04745公开了使用细胞粘连分子及其片段进行的跨越血脑屏障的传输,以提高血管紧密连接的透过性。PCT公开号WO 91/14438公开了使用改性的化学单克隆抗体促进物质透过血脑屏障的传输。PCT公开号WO 94/01131公开了脂质化蛋白(lipidized proteins),包括抗体。PCT公开号WO94/03424公开了氨基酸衍生物作为用于促进跨越血脑屏障传输的药物轭合物的应用。PCT公开号WO 94/06450公开了神经病学活性药物与二氢吡啶类氧化还原靶向部分的轭合物,其中包括氨基酸键和脂族残基。PCT公开号WO 94/02178公开了用于跨越血脑屏障给药的抗体靶向性脂质体。PCT公开号WO 95/07092公开了药物生长因子轭合物在传递药物透过血脑屏障中的应用。PCT公开号WO 96/00537公开了可用作注射给药赋形剂的聚合物微球体,它们用于将生物活性物质传递到中枢神经系统内的部位。PCT公开号WO 96/04001公开了用于脑组织给药的神经病学活性药物的ω-3-脂肪酸轭合物。PCTWO 96/22303公开了用于脑组织给药的神经病学活性药物的脂肪酸和甘油脂质轭合物。Further examples of improvements that enhance the permeability of the blood-brain barrier are described in International (PCT) Application Publication No. WO 85/02342, which discloses pharmaceutical compositions comprising glycerol liposomes or derivatives thereof. PCT Publication No. WO 089/11299 discloses chemical conjugates of antibodies and enzymes that are delivered specifically to the site of brain injury to activate independently administered neurologically active prodrugs. PCT Publication No. WO 91/04014 discloses methods of delivering therapeutic and diagnostic agents across the blood-brain barrier by encapsulating drugs in liposomes targeted to brain tissue, using transport-specific receptor ligands or antibodies. PCT Publication No. WO 91/04745 discloses the use of cell adhesion molecules and fragments thereof for delivery across the blood-brain barrier to increase the permeability of vascular tight junctions. PCT Publication No. WO 91/14438 discloses the use of modified chemical monoclonal antibodies to facilitate transport of substances across the blood-brain barrier. PCT Publication No. WO 94/01131 discloses lipidized proteins, including antibodies. PCT Publication No. WO94/03424 discloses the use of amino acid derivatives as drug conjugates for facilitating transport across the blood-brain barrier. PCT Publication No. WO 94/06450 discloses conjugates of neurologically active drugs with dihydropyridine redox targeting moieties comprising amino acid linkages and aliphatic residues. PCT Publication No. WO 94/02178 discloses antibody-targeting liposomes for administration across the blood-brain barrier. PCT Publication No. WO 95/07092 discloses the use of drug growth factor conjugates in delivering drugs across the blood-brain barrier. PCT Publication No. WO 96/00537 discloses polymeric microspheres useful as injectable excipients for the delivery of biologically active substances to sites within the central nervous system. PCT Publication No. WO 96/04001 discloses omega-3-fatty acid conjugates of neurologically active drugs for brain tissue administration. PCTWO 96/22303 discloses fatty acid and glycerolipid conjugates of neurologically active drugs for brain tissue administration.

一般来讲,本领域普通专业人员都晓得如何由例如相应的羧酸和适当试剂来制备本发明化合物的酯、酰胺或酰肼衍生物。例如,可以使羧酸化合物或其活性等价物与含羟基的化合物或其活性等价物反应,从而得到相应的酯,例如参见“Comprehensive OrganicTransformation”,第2版,R.C.Larock著,VCH Publishers John Wiley& Sons,Ltd.(199989);“March’s Advanced Organic Chemistry”,第5版,M.B.Smith和J.March著,John Wiley & Sons,Ltd.(2000)。In general, one of ordinary skill in the art knows how to prepare ester, amide or hydrazide derivatives of the compounds of the invention from, for example, the corresponding carboxylic acids and appropriate reagents. For example, carboxylic acid compounds or reactive equivalents thereof can be reacted with hydroxyl-containing compounds or reactive equivalents thereof to obtain the corresponding esters, see for example "Comprehensive Organic Transformation", 2nd edition, by R.C. Larock, VCH Publishers John Wiley & Sons, Ltd .(199989); "March's Advanced Organic Chemistry", 5th Edition, by M.B. Smith and J. March, John Wiley & Sons, Ltd. (2000).

前药Prodrug

本发明也涉及本文所述结构式化合物的前药。前药是指在体内能转化为活性形式的化合物(参阅例如R.B.Silverman,1992,“TheOrganic Chemistry of Drug Design and Drug Action”,AcademicPress,第8章)。前药可以用来改变特定药物的生物分布(例如使得通常不能进入的化合物能够进入蛋白酶的活性部位)或药代动力学性质。例如,羧酸基可以用例如甲基或乙基基团酯化,生成酯。当将酯给药于患者时,酯通过酶解或非酶解、还原、氧化、或水解的方式裂解而显示出阴离子基团。阴离子基团能被一些实体酯化(例如酰氧基甲酯),它裂解后给出中间化合物,该化合物随后分解产生活性化合物。前药部分可在体内被酯酶或其它的机制代谢成羧酸。The present invention also relates to prodrugs of the compounds of the formulas described herein. Prodrugs are compounds which are converted in vivo into the active form (see eg R.B. Silverman, 1992, "The Organic Chemistry of Drug Design and Drug Action", Academic Press, Chapter 8). Prodrugs can be used to alter the biodistribution (eg, to enable a normally inaccessible compound to access the active site of a protease) or pharmacokinetic properties of a particular drug. For example, carboxylic acid groups can be esterified with, for example, methyl or ethyl groups to form esters. When the ester is administered to a patient, the ester is cleaved by enzymatic or non-enzymatic, reduction, oxidation, or hydrolytic means to reveal anionic groups. Anionic groups can be esterified by entities such as acyloxymethyl esters, which cleavage to give intermediate compounds which subsequently decompose to yield the active compound. Prodrug moieties can be metabolized to carboxylic acids in vivo by esterases or other mechanisms.

前药的例子和其用途是本领域公知的(例如,参阅Berge等,“Pharmaceutical Salts”,J.Pharm.Sci.66,1-19(1977))。前药可以在最终分离和纯化化合物的过程中就地制备,或者单独将纯化的游离酸形式的化合物与适当的衍生化剂反应制备。羧酸可以通过在催化剂存在下用醇处理转化为酯。Examples of prodrugs and their use are well known in the art (see, eg, Berge et al., "Pharmaceutical Salts", J. Pharm. Sci. 66, 1-19 (1977)). Prodrugs can be prepared in situ during the final isolation and purification of the compound, or separately by reacting the purified free acid form of the compound with a suitable derivatizing agent. Carboxylic acids can be converted to esters by treatment with alcohols in the presence of a catalyst.

可裂解的羧酸前药部分的例子包括取代和未取代的、支链或直链的低级烷基酯部分(例如乙酯、丙酯、丁酯、戊酯、环戊酯、己酯、环己酯),低级链烯基酯,二低级烷基氨基低级烷基酯(例如二甲氨基乙基酯),酰氨基低级烷基酯,酰氧基低级烷基酯(例如新戊酰氧基甲基酯),芳基酯(苯基酯),芳基-低级烷基酯(例如苄基酯),取代的(例如带有甲基、卤素、或甲氧基取代基)芳基和芳基-低级烷基酯,酰胺,低级烷基酰胺,二低级烷基酰胺,和羟基酰胺。Examples of cleavable carboxylic acid prodrug moieties include substituted and unsubstituted, branched or linear lower alkyl ester moieties (e.g., ethyl, propyl, butyl, pentyl, cyclopentyl, hexyl, cyclo hexyl ester), lower alkenyl ester, di-lower alkylamino lower alkyl ester (such as dimethylaminoethyl ester), amido lower alkyl ester, acyloxy lower alkyl ester (such as pivaloyloxy methyl esters), aryl esters (phenyl esters), aryl-lower alkyl esters (such as benzyl esters), substituted (such as with methyl, halogen, or methoxy substituents) aryl and aryl group-lower alkyl esters, amides, lower alkyl amides, di-lower alkyl amides, and hydroxy amides.

可药用盐pharmaceutically acceptable salt

本发明化合物的某些实例可含有碱性官能团(如氨基或烷基氨基),因而能与可药用酸形成可药用盐。在此,术语“可药用盐”是指本发明化合物的相对无毒的无机酸和有机酸的加成盐。这些盐可以在最后分离与纯化本发明化合物的过程中就地制备,或单独将纯化的游离碱形式的本发明化合物与适当的有机酸或无机酸反应,然后分离这样所形成的盐来制备。Certain examples of the compounds of the present invention may contain basic functional groups such as amino or alkylamino groups and thus are capable of forming pharmaceutically acceptable salts with pharmaceutically acceptable acids. As used herein, the term "pharmaceutically acceptable salt" refers to the relatively non-toxic inorganic and organic acid addition salts of the compounds of the present invention. These salts can be prepared in situ during the final isolation and purification of the compounds of the invention, or separately by reacting a purified compound of the invention in free base form with a suitable organic or inorganic acid and isolating the salt thus formed.

代表性的盐包括氢卤化物(包括氢溴酸盐和盐酸盐)、硫酸盐、硫酸氢盐、磷酸盐、硝酸盐、乙酸盐、戊酸盐、油酸盐、棕榈酸盐、硬脂酸盐、月桂酸盐、苯甲酸盐、乳酸盐、磷酸盐、甲苯磺酸盐、柠檬酸盐、马来酸盐、富马酸盐、琥珀酸盐、酒石酸盐、萘甲酸盐(napthylate),甲磺酸盐,葡萄糖酸盐、乳糖酸盐、2-羟基乙磺酸盐、和月桂基磺酸盐等。例如,参见Berge等的“Pharmaceutical Salts”,J.Pharm.Sci.66,1-19(1977)。Representative salts include hydrohalides (including hydrobromides and hydrochlorides), sulfates, bisulfates, phosphates, nitrates, acetates, valerates, oleates, palmitates, hard Fatrate, Laurate, Benzoate, Lactate, Phosphate, Tosylate, Citrate, Maleate, Fumarate, Succinate, Tartrate, Naphthoate (napthylate), methanesulfonate, gluconate, lactobionate, 2-hydroxyethanesulfonate, and laurylsulfonate, etc. See, eg, "Pharmaceutical Salts" by Berge et al., J. Pharm. Sci. 66, 1-19 (1977).

在其它情形下,本发明的化合物可以含有一个或多个酸官能团,因而能与可药用的碱形成可药用盐。这些情况下的术语“可药用盐”是指本发明化合物的相对无毒的无机碱和有机碱的加成盐。In other instances, compounds of the present invention may contain one or more acid functional groups and are thus capable of forming pharmaceutically acceptable salts with pharmaceutically acceptable bases. The term "pharmaceutically acceptable salt" in these instances refers to the relatively non-toxic addition salts of inorganic and organic bases of the compounds of the present invention.

这些盐同样可以在制备本发明化合物的最后的分离与纯化步骤期间就地制备,或单独将纯化的游离酸形式化合物与适当的碱譬如药学上可接受的金属阳离子的氢氧化物、碳酸盐或碳酸氢盐,与氨,或与药学上可接受的有机伯胺、仲胺或叔胺反应而制备。代表性的碱金属或碱土金属盐包括锂盐、钠盐、钾盐、钙盐、镁盐和铝盐等。有代表性的用于形成碱加成盐的有机胺包括乙胺、二乙胺、乙二胺、乙醇胺、二乙醇胺、哌嗪等。These salts can likewise be prepared in situ during the final isolation and purification steps in the preparation of the compounds of the invention, or by separately combining the purified free acid form with a suitable base such as a pharmaceutically acceptable metal cation hydroxide, carbonate Or bicarbonate, prepared by reacting with ammonia, or with pharmaceutically acceptable organic primary, secondary or tertiary amines. Representative alkali metal or alkaline earth metal salts include lithium, sodium, potassium, calcium, magnesium, and aluminum salts, and the like. Representative organic amines useful in the formation of base addition salts include ethylamine, diethylamine, ethylenediamine, ethanolamine, diethanolamine, piperazine, and the like.

“可药用盐”也包括例如通过制备化合物的酸式或碱式盐而改性的化合物的衍生物,见下面的进一步描述以及本申请其它部分所述。可药用盐的例子包括碱性残基如胺的无机酸或有机酸的盐;酸性残基如羧酸的碱金属的盐或有机盐。可药用盐包括由例如无毒的无机酸或有机酸形成的母体化合物的常规无毒盐或季铵盐。这些常规无毒盐包括由无机酸制得的盐(这些酸如盐酸、氢溴酸、硫酸、氨基磺酸、磷酸和硝酸);以及由有机酸制备的盐,所述有机酸如乙酸、丙酸、琥珀酸、乙醇酸、硬脂酸、乳酸、苹果酸、酒石酸、柠檬酸、抗坏血酸、棕榈酸、马来酸、羟基马来酸、苯乙酸、谷氨酸、苯甲酸、水杨酸、对氨基苯磺酸、2-乙酰氧基苯甲酸、富马酸、甲苯磺酸、甲磺酸、乙二磺酸、草酸和羟乙磺酸。可药用盐可以按照常规化学方法由含有碱性或酸性基团的母体化合物合成。一般来讲,这些盐可以通过游离酸或碱形式的这些化合物与化学计量的适当碱或酸在水或有机溶剂中,或者在两者的混合物中反应制备。"Pharmaceutically acceptable salts" also include derivatives of compounds that are modified, for example, by making acidic or basic salts of the compounds, as described further below and elsewhere in this application. Examples of pharmaceutically acceptable salts include inorganic or organic acid salts of basic residues such as amines; alkali metal or organic salts of acidic residues such as carboxylic acids. Pharmaceutically acceptable salts include conventional non-toxic or quaternary ammonium salts of the parent compound formed from, for example, non-toxic inorganic or organic acids. These conventional non-toxic salts include those prepared from inorganic acids such as hydrochloric, hydrobromic, sulfuric, sulfamic, phosphoric, and nitric acids; and those prepared from organic acids such as acetic, propane, acid, succinic acid, glycolic acid, stearic acid, lactic acid, malic acid, tartaric acid, citric acid, ascorbic acid, palmitic acid, maleic acid, hydroxymaleic acid, phenylacetic acid, glutamic acid, benzoic acid, salicylic acid, 4-Sulfuran, 2-acetoxybenzoic acid, fumaric acid, toluenesulfonic acid, methanesulfonic acid, ethanedisulfonic acid, oxalic acid, and isethionic acid. Pharmaceutically acceptable salts can be synthesized from parent compounds containing basic or acidic groups according to conventional chemical methods. In general, these salts can be prepared by reacting the free acid or base forms of these compounds with a stoichiometric amount of the appropriate base or acid in water or an organic solvent, or in a mixture of both.

作为本发明的化合物,包括所述化合物的所有酸、盐、碱以及其它离子和非离子的形式。例如,如果这里给出的化合物为酸,则也包括该化合物的盐形式。同样地,如果给出的化合物为盐,则也包括其酸和/或碱的形式。As compounds of the present invention, all acids, salts, bases and other ionic and nonionic forms of said compounds are included. For example, if a compound is given herein as an acid, the salt forms of that compound are also included. Likewise, if a given compound is a salt, the acid and/or base forms are also included.

本领域专业技术人员使用不超过常规的试验,将可以认识到或能够确定本文所述的具体方法、具体实施方案、权利要求和实施例的多种等同方案。这些等同方案被认为落在本发明的范围之内,并且也被后面所附的权利要求所包括。本申请中引用的所有参考文献、公告专利、公开的专利申请在此都全文引入作为参考。本发明进一步用下面的实施例举例说明,但它们不得认作是对本发明的进一步限制。Those skilled in the art will recognize, or be able to ascertain, using no more than routine experimentation, various equivalents to the specific methods, specific embodiments, claims, and examples described herein. Such equivalents are considered to be within the scope of this invention and are covered by the claims appended hereto. All references, issued patents, and published patent applications cited in this application are hereby incorporated by reference in their entirety. The invention is further illustrated by the following examples, but they should not be construed as further limiting the invention.

实施例Example

结合和抗原纤维生成测定Binding and Antigen Fibril Generation Assays

除从商业途径购买的特定化合物外,试验化合物是我们合成的并经质谱法(“MS”)筛选。MS检测能给出化合物结合蛋白(在本实施例中,是与β-淀粉样蛋白和IAPP结合)的能力的数据。Except for certain compounds purchased from commercial sources, test compounds were synthesized by us and screened by mass spectrometry ("MS"). MS detection can give data on the ability of a compound to bind proteins (in this example, to [beta]-amyloid and IAPP).

在Aβ40的MS检测中,将样品制备成水溶液形式(如果需要加20%乙醇以增加在水中的溶解),200μM的试验化合物和20μM的加溶Aβ40,或400μM的试验化合物和40μM的加溶Aβ40。通过加入0.1%的氢氧化钠水溶液调节各样品的pH值到7.4(±0.2)。然后使用WatersZQ 4000质谱仪通过电喷雾电离质谱分析所得溶液。样品在制备后2小时内以25μL/min的流速直接注入。对于所有的分析,源温都保持在70℃,(电弧)锥部电压为20V。数据采用Masslynx 3.5软件处理。MS检测给出化合物结合可溶性Aβ的能力的数据,而ThT、EM和CD检测能给出抑制原纤维生成的数据。与Aβ结合的检测结果概括在表3中。在表3中,空白栏表示在该检测中未对所述化合物进行数值测定。In the MS detection of Aβ40, samples were prepared in aqueous solution (with the addition of 20% ethanol if necessary to increase solubility in water), 200 μM of test compound and 20 μM of solubilized Aβ40, or 400 μM of test compound and 40 μM of solubilized Aβ40 . The pH of each sample was adjusted to 7.4 (±0.2) by adding 0.1% aqueous sodium hydroxide solution. The resulting solution was then analyzed by electrospray ionization mass spectrometry using a WatersZQ 4000 mass spectrometer. Samples were injected directly at a flow rate of 25 μL/min within 2 hours of preparation. For all analyses, the source temperature was maintained at 70°C and the (arc) cone voltage was 20V. Data were processed using Masslynx 3.5 software. MS assays give data on the ability of compounds to bind soluble A[beta], while ThT, EM and CD assays give data on inhibition of fibril formation. The results of detection of binding to Aβ are summarized in Table 3. In Table 3, a blank column indicates that the compound was not numerically determined in this assay.

IAPP的检测在相同的条件下进行,只是使用200μM的试验化合物和20μM的加溶IAPP。下面的索引描述了以数量表示基于吸收强度的结合能力的表3中使用的符号。The detection of IAPP was performed under the same conditions except that 200 μM of test compound and 20 μM of solubilized IAPP were used. The index below describes the symbols used in Table 3 to quantify the binding capacity based on absorption strength.

                    表3--索引                       Aβ1-40   符号   400μM   200μM   强结合   +++   90-100%   60-100%   中等结合   ++   70-89%   30-69%   弱结合   +   45-59%   20-44%   很少/检测不到的结合   -   20-39%   20-39%                         IAPP   200μM(20%EtOH)   100μM(20%EtOH)   强结合   +++   >75%   >50%   中等结合   ++   40-75%   30-50%   弱结合   +   20-40%   15-30%   很少/检测不到的结合   -   0-20%   0-15%Table 3 - Index Aβ1-40 symbol 400μM 200μM strong binding +++ 90-100% 60-100% Moderately combined ++ 70-89% 30-69% weak binding + 45-59% 20-44% little/undetectable binding - 20-39% 20-39% IAPP 200μM (20% EtOH) 100μM (20% EtOH) strong binding +++ >75% >50% Moderately combined ++ 40-75% 30-50% weak binding + 20-40% 15-30% little/undetectable binding - 0-20% 0-15%

表3-本发明化合物的相对结合亲和性ID          MS结合   IAPP   Aβ1-40   A   +++   ++   O   ++ID         MS结合   IAPP   Aβ1-40   T   ++   +   AN   -   -   BF   ++   +++   BG   -   BI   +   BT   +   +++   BU   ++   +++   CA   +   +++   CB   +   ++   CF   +   +++   CU   +   ++   CW   +   +++   CX   ++   +++   CZ   ++   +++   DB   ++   +++   DF   +++   -   EU   +   -   EX   +   +++   FB   -   -   FC   +   ++   FD   ++   ++   FE   -   +   FG   -   FJ   +++   ++   FK   ++   ++Table 3 - Relative Binding Affinities of Compounds of the Invention ID MS binding IAPP Aβ1-40 A +++ ++ o ++ ID MS binding IAPP Aβ1-40 T ++ + AN - - BF ++ +++ BG - BI + BT + +++ BU ++ +++ CA + +++ CB + ++ CF + +++ CU + ++ CW + +++ CX ++ +++ CZ ++ +++ DB ++ +++ DF +++ - EU + - EX + +++ Facebook - - FC + ++ FD ++ ++ FE - + FG - FJ +++ ++ FK ++ ++

短期治疗过度表达βAPP的成年转基因CRND8小鼠的效果Effects of short-term treatment of adult transgenic CRND8 mice overexpressing βAPP

表达人淀粉样蛋白前体蛋白(hAPP)的转基因小鼠TgCRND8发展成病理学类似的阿耳茨海默氏病。特别是,已经确证这些8-9周龄动物的血浆和脑中存在高水平的Aβ40和Aβ42,随后在AD患者中观测到与衰老斑类似的淀粉样蛋白斑的早期蓄积。这些动物也表现出与退化性变化的表象相似的进行性认知缺陷。例如参阅Chishti等,J.Biol.Chem.276,21562-70(2001)。Transgenic mice expressing human amyloid precursor protein (hAPP) TgCRND8 develop pathologically similar Alzheimer's disease. In particular, high levels of A[beta]40 and A[beta]42 have been confirmed in the plasma and brain of these 8-9 week old animals, followed by the early accumulation of amyloid plaques similar to senile plaques observed in AD patients. These animals also showed progressive cognitive deficits that resembled the appearance of degenerative changes. See eg Chishti et al., J. Biol. Chem. 276, 21562-70 (2001).

本文研究了本发明19种化合物的短期治疗效果。给药这些化合物,历时14或28天,在给药结束时测定TgCRND8动物的血浆和脑中Aβ肽的水平。In this paper, the short-term therapeutic effects of 19 compounds of the present invention were investigated. These compounds were administered for 14 or 28 days and the levels of A[beta] peptide in plasma and brain of TgCRND8 animals were determined at the end of the administration.

方法method

在本实施例中使用第3代和第4代B6C3F1的雄性和雌性转基因小鼠,每天皮下或口服给药一系列化合物之一,连续给药14或28天。在本方案中使用下列缩写来表示由第3代和第4代世代回交得到的这些动物:TgCRND8-2.B6C3F1(N3);TgCRND8-2.B6C3F1(N4)。Male and female transgenic mice of the 3rd and 4th generation B6C3F1 were used in this example, and one of a series of compounds was administered subcutaneously or orally every day for 14 or 28 consecutive days. The following abbreviations are used in this protocol to denote these animals from backcrosses of the 3rd and 4th generations: TgCRND8-2.B6C3F1(N3 ); TgCRND8-2.B6C3F1(N4 ).

基准动物(第1组)由原始(naive)TgCRND8-2.B6C3F1(N3)组成,11±1周龄。使用这些小鼠测定治疗开始时原始转基因动物血浆和大脑中Aβ的水平。Baseline animals (Group 1 ) consisted of naive TgCRND8-2.B6C3F1 (N3 ), aged 11±1 weeks. These mice were used to determine the levels of A[beta] in the plasma and brain of the original transgenic animals at the start of treatment.

使用11周龄(±1周)动物开始,每天给药它们各自的治疗物,连续给药14或28天(第2-21组),剂量250mg/kg(在10ml/kg时)或只给药赋形剂(水,第2组)或只给药1%甲基纤维素(第21组)。给药途径对于水溶性化合物而言为皮下给药,对于在甲基纤维素1%(MC 1%)中加溶的化合物而言则口服给药。在治疗期结束时,收集血浆和灌注大脑用于量化Aβ水平。Beginning with 11-week-old (±1 week) animals, they were given their respective treatments every day for 14 or 28 consecutive days (groups 2-21), at a dose of 250 mg/kg (at 10 ml/kg) or only Drug vehicle (water, group 2) or 1% methylcellulose alone (group 21). The route of administration was subcutaneous for water soluble compounds and oral for compounds solubilized in methylcellulose 1% (MC 1%). At the end of the treatment period, plasma and perfused brains were collected for quantification of A[beta] levels.

表4-试验体系   种类   小鼠   品系   TgCRND8-2.B6C3F1(N3)&(N4)   基因型   hAPP+/-   性别   雄性和雌性   第1天时年龄:   11±1周   第1天时体重:   10-30g   组数量:   21   第1天时动物数量/组:   基准:8   赋形剂和治疗的:   12-15   供应商:   TgCRND8-2建立者购自Centre for Research inNeurodegenerative Diseases,University of Tornoto.同系繁殖的B6C3F1购自Charles River(Quebec,Canada)。Table 4 - Test System type mouse strain TgCRND8-2.B6C3F1(N3 )&(N4 ) genotype hAPP+/- gender male and female Age at day 1: 11±1 week Body weight on day 1: 10-30g Number of groups: twenty one Number of animals/group on day 1: Benchmark: 8 Excipients and Treatments: 12-15 supplier: The TgCRND8-2 founder was purchased from the Center for Research in Neurodegenerative Diseases, University of Tornoto. The inbred B6C3F1 was purchased from Charles River (Quebec, Canada).

本试验使用的小鼠是在Institut Armand Frappier由繁殖集落生成的,并且在试验开始之前对动物设备环境进行了充分适应。按照年龄和性别,将动物分配成下列试验组:Mice used in this experiment were generated from breeding colonies at the Institut Armand Frappier and were fully acclimatized to the animal facility environment prior to the start of the experiment. According to age and sex, the animals were allocated into the following experimental groups:

表5-小鼠组   组号   治疗物   日剂量(mg/kg)   治疗期(天)   1   基准   NA   NA   2   水   NA   14&28   3   CF   250   14&28   5   CU   250   14&28   7   CW   250   14&28   8   CA   250   14&28   9   BE   250   14&28   10   CX   250   14&28   11   BT   NA   NA   13   CZ   250   14&28   14   BU   250   14§28   17   DA   250   14&28   19   CP   250   14&28   21   甲基纤维素1%   100   14&28Table 5 - Mouse groups Group No treatment Daily dose (mg/kg) Treatment period (days) 1 benchmark NA NA 2 water NA 14&28 3 CF 250 14&28 5 CU 250 14&28 7 CW 250 14&28 8 CA 250 14&28 9 BE 250 14&28 10 CX 250 14&28 11 BT NA NA 13 CZ 250 14&28 14 BU 250 14§28 17 DA 250 14&28 19 CP 250 14&28 twenty one Methylcellulose 1% 100 14&28

动物健康监控Animal Health Monitoring

在每天早晨给用每日的治疗物时检查所有动物的不健康征兆,并且每天两次检查死亡率(周末和假期每天一次)。治疗开始时进行详细检查、试验期间每周都要进行详细的检查,最终步骤之前再详细检查一次。在认为必要时进行更多次的观测。分别记录死亡和所有个体的临床征兆。随机记录个体的体重、试验期间每周记录一次,并且在终期步骤之前记录一次。All animals were checked for signs of ill health each morning when the daily treatments were administered, and twice daily for mortality (once daily on weekends and holidays). Detailed examinations were performed at the start of treatment, weekly during the trial, and again before the final step. Additional observations were made as deemed necessary. Deaths and clinical signs were recorded separately for all subjects. Individual body weights were recorded randomly, weekly during the trial, and once prior to the terminal step.

样品收集sample collection

杀死基准组11±1周龄的小鼠,对于第2-21组在治疗期(14或28天)结束时即在最后给药化合物后24小时杀死动物,并且收集样品。从眼眶凹陷处(orbital sinus)采取大约500μl血液,置于冰上,在4℃以3,000rpm最小速度离心10分钟。速冻血浆样品,-80℃贮存供分析备用。移出大脑,冷冻,-80℃贮存供分析备用。Mice aged 11 ± 1 week were sacrificed in the baseline group and at the end of the treatment period (14 or 28 days) for groups 2-21, ie 24 hours after the last compound dose, and samples were collected. Approximately 500 μl of blood was collected from the orbital sinus, placed on ice, and centrifuged at 4° C. at a minimum speed of 3,000 rpm for 10 minutes. Quick-frozen plasma samples were stored at -80°C for analysis. Brains were removed, frozen, and stored at -80°C until analysis.

检测Aβ水平Detection of Aβ levels

称重冷冻的大脑,用4体积的含蛋白酶抑制剂合剂(cocktail)的冰冷50mM Tris-Cl pH8.0缓冲液(1g潮脑使用4mL缓冲液)匀化。以15000g旋转样品20分钟,将上清液转移到新管内。从每种上清液中取出150μl与250μl 8M胍-HCl/50mM Tris-HCl pH8.0混合(比例为0.6vol上清液:1vol 8M胍盐/Tris-HCl 50mM pH8.0),加入400μL的5M胍盐/Tris-HCl 50mM pH8.0。涡旋各管30秒钟,于-80℃冷冻。并行的是,将沉淀物用7体积的5M胍-HCL/50mM Tris-HCL pH8.0处理(1g湿脑使用7mL胍),涡旋30秒钟,于-80℃冷冻。室温解冻样品,于80℃超声波处理15分钟,之后再次冷冻。重复该循环3次以确保均匀性,最后将样品再置于-80℃供分析用。The frozen brain was weighed and homogenized with 4 volumes of ice-cold 50 mM Tris-Cl pH 8.0 buffer containing protease inhibitor cocktail (4 mL of buffer was used for 1 g of brain). The samples were spun at 15000g for 20 minutes and the supernatant was transferred to a new tube. Take 150 μl from each supernatant and mix with 250 μl 8M guanidine-HCl/50mM Tris-HCl pH8.0 (the ratio is 0.6vol supernatant: 1vol 8M guanidine salt/Tris-HCl 50mM pH8.0), add 400μL 5M Guanidinium/Tris-HCl 50mM pH8.0. Vortex each tube for 30 seconds and freeze at -80°C. In parallel, the pellet was treated with 7 volumes of 5M guanidine-HCL/50mM Tris-HCL pH 8.0 (7 mL guanidine for 1 g wet brain), vortexed for 30 seconds, and frozen at -80°C. Samples were thawed at room temperature, sonicated at 80°C for 15 minutes, and then refrozen. This cycle was repeated 3 times to ensure homogeneity, and finally the samples were returned to -80°C for analysis.

使用Biosource的Human Aβ40和Aβ42 Fluorometric ELISA药盒(Cat.No.89-344和89-348),按照生产商推荐的方法,通过ELISA评估血浆和大脑中的Aβ水平。简言之,是将样品在室温下解冻,于80℃超声处理5分钟(对于脑匀浆进行超声处理,而血浆样品不进行超声处理),然后置于冰上。使用100μL稀释样品将Aβ肽捕获到平板上,在不摇动的情形下于4℃孵育过夜。吸出样品,各孔用从BiosourceELISA药盒中得到的洗涤缓冲液冲洗4遍。加入抗-Aβ40或抗-Aβ42兔多克隆抗血清(对Aβ40或Aβ42呈专一性)(100μl),在摇动下室温孵育平板2小时。抽吸各孔,洗涤4遍,然后加入100μl碱性磷酸酯酶标记的抗兔抗体,摇动下于室温孵育2小时。然后冲洗平板5次,向平板中加入荧光底物(100μl)。将平板在室温下孵育35分钟,在460nm激发波长和560nm发射波长下使用滴定板读数器读取平板。Aβ levels in plasma and brain were assessed by ELISA using Biosource's Human Aβ40 and Aβ42 Fluorometric ELISA kits (Cat. No. 89-344 and 89-348), following the manufacturer's recommended method. Briefly, samples were thawed at room temperature, sonicated at 80°C for 5 minutes (sonication was performed for brain homogenates but not for plasma samples), and placed on ice. Aβ peptides were captured onto the plate using 100 μL of the diluted sample and incubated overnight at 4°C without shaking. The sample was aspirated, and each well was washed 4 times with the washing buffer obtained from the BiosourceELISA kit. Anti-Aβ40 or anti-Aβ42 rabbit polyclonal antiserum (specific for Aβ40 or Aβ42) (100 μl) was added and the plate was incubated for 2 hours at room temperature with shaking. Aspirate each well, wash 4 times, then add 100 μl alkaline phosphatase-labeled anti-rabbit antibody, and incubate at room temperature for 2 hours with shaking. The plate was then washed 5 times and fluorescent substrate (100 μl) was added to the plate. The plates were incubated at room temperature for 35 minutes and read using a titer plate reader at an excitation wavelength of 460 nm and an emission wavelength of 560 nm.

基于它们调节血浆中Aβ肽的水平和脑中小脑可溶性/不溶性Aβ水平的能力对化合物进行评价。利用从赋形剂处理(水)或甲基纤维素处理对照组得到数值,对在处理动物的血浆或脑中观测到的Aβ水平进行归一,并且按照药理学效果的强度分等级。结果见表3-11。Aβ水平的增加采用符号“+”表示,而Aβ水平的降低采用符号“-”表示。最强的效果记录为“+++”或“---”,而最弱的效果以“+”或“-”表示。Compounds were evaluated based on their ability to modulate levels of A[beta] peptides in plasma and cerebellar soluble/insoluble A[beta] levels in the brain. A[beta] levels observed in plasma or brain of treated animals were normalized using values obtained from vehicle-treated (water) or methylcellulose-treated control groups and ranked according to the magnitude of the pharmacological effect. The results are shown in Table 3-11. An increase in the Aβ level is indicated by a "+" sign, while a decrease in the Aβ level is indicated by a "-". The strongest effects are recorded as "+++" or "---", while the weakest effects are indicated as "+" or "-".

具体讲,(相对于未处理对照组)Aβ水平增加20-39%记录为“+”,增加40-69%记录为“++”;增加70%或更高记录为“+++”。Aβ水平降低5-19%记录为“-,降低20-38%记录为“--”,降低39%或更多记录为“---”。Specifically, a 20-39% increase in Aβ levels (relative to the untreated control group) was recorded as "+", an increase of 40-69% was recorded as "++"; an increase of 70% or more was recorded as "+++". A 5-19% reduction in Aβ levels was recorded as "-", a 20-38% reduction was recorded as "--", and a 39% or more reduction was recorded as "---".

数据列在表6-11内。用这些化合物处理14和/或28天后致使大脑Aβ40和/或Aβ42的水平发生显著改变(表8-11)。而且,用这些化合物例如化合物BX(3-(叔丁基)氨基-1-丙烷磺酸)处理在14和28天后(表6-7)导致血浆中Aβ肽的水平显著增高。这表明,这些化合物中的一些可以通过外周吸收(sink)效应起作用,螯合血浆中的Aβ肽,从而促进它们从CNS中的清除,正如早先采用抗-Aβ单克隆抗体m266通过被动免疫法进行的处理所揭示的一样(DeMattos等,Science295(5563):2264-7)。The data are listed in Table 6-11. Treatment with these compounds for 14 and/or 28 days resulted in significant changes in the levels of brain A[beta]40 and/or A[beta]42 (Tables 8-11). Furthermore, treatment with compounds such as compound BX (3-(tert-butyl)amino-1-propanesulfonic acid) resulted in significantly increased levels of Aβ peptide in plasma after 14 and 28 days (Tables 6-7). This suggests that some of these compounds may act through a peripheral sink effect, sequestering Aβ peptides in plasma and thereby facilitating their clearance from the CNS, as was done earlier by passive immunization using the anti-Aβ monoclonal antibody m266 The processing performed was as disclosed (DeMattos et al., Science 295(5563):2264-7).

以下各表给出用本发明化合物处理14和28天的TgCRND8小鼠血浆和脑中Aβ肽的水平。The following tables give the levels of Aβ peptides in the plasma and brain of TgCRND8 mice treated with the compounds of the present invention for 14 and 28 days.

表6A和6C分别给出血浆赋形剂组第14天和第28天的数据。表6B和7分别给出血浆甲基纤维素组第14和第28天的数据。表8和10分别给出脑匀浆赋形剂组第14和第28天的数据。表8和11分别给出脑匀浆甲基纤维素组第14和第18天的数据。Tables 6A and 6C present the data for the plasma vehicle group on days 14 and 28, respectively. Tables 6B and 7 present the data for the plasma methylcellulose group on days 14 and 28, respectively. Tables 8 and 10 present the data for the brain homogenate vehicle group on day 14 and day 28, respectively. Tables 8 and 11 present the data of the brain homogenate methylcellulose group on days 14 and 18, respectively.

表6A:血浆赋形剂组,第14天   治疗物   Aβ40变化   Aβ42变化   CF   CU   CX   ++   ++   CW   ++   ++   BE   ++   CA   +++   +++Table 6A: Plasma Vehicle Group, Day 14 treatment Aβ40 changes Aβ42 changes CF CU CX ++ ++ CW ++ ++ BE ++ CA +++ +++

表6B:血浆甲基纤维素组,第14天   治疗物   Aβ40变化   Aβ42变化   DA   +   BU     -   CZ     -   -   BTTable 6B: Plasma methylcellulose group, day 14 treatment Aβ40 changes Aβ42 changes DA + BU - CZ - - BT

表6C:血浆赋形剂组,第28天   治疗物   Aβ40变化   Aβ42变化   CF   CU   +   +   CX   ++   +   CW   ++   +   BE   +++   +++   CA   +++   +++Table 6C: Plasma Vehicle Group, Day 28 treatment Aβ40 changes Aβ42 changes CF CU + + CX ++ + CW ++ + BE +++ +++ CA +++ +++

表7:血浆甲基纤维素组,第28天   治疗物   Aβ40变化   Aβ42变化   DA   +   BU   CZ   -   BTTable 7: Plasma methylcellulose group, day 28 treatment Aβ40 changes Aβ42 changes DA + BU CZ - BT

表8:脑匀浆赋形剂组,第14天        Aβ40变化        Aβ42变化   治疗物   可溶性的   不可溶的   可溶性的   不可溶的   CF   ++   -   -   --   CU   +   ++   -   CX   -   -   +   -   CW**   BE   +   +++   +++   CA   +   -   --Table 8: Brain Homogenate Vehicle Group, Day 14 Aβ40 changes Aβ42 changes treatment Soluble insoluble Soluble insoluble CF ++ - - -- CU + ++ - CX - - + - CW** BE + +++ +++ CA + - --

**该化合物在脑中的效果仅测试了其调节Aβ40和Aβ42肽总水平的能力,而没有单独测量可溶性的和不溶性的水平。** The effect of this compound in the brain was only tested for its ability to modulate total levels of A[beta]40 and A[beta]42 peptides without measuring soluble and insoluble levels individually.

表9:脑匀浆甲基纤维素组,第14天        Aβ40变化        Aβ42变化   治疗物   可溶性的   不可溶的   可溶性的   不可溶的   DA     -   ---   --   --   BU     -   ---   CZ     -   --   ---   ---   BT   +++   ++Table 9: Brain Homogenate Methylcellulose Group, Day 14 Aβ40 changes Aβ42 changes treatment Soluble insoluble Soluble insoluble DA - --- -- -- BU - --- CZ - -- --- --- BT +++ ++

表10:脑匀浆赋形剂组,第28天        Aβ40变化       Aβ42变化   治疗物   可溶性的   不可溶的   可溶性的   不可溶的   CF   +   +   CU   +++   ++   +++   CX   +   ++   +++   CW**            +           ++   BE   +   -   +++   +++   CA   +   ++   +   +Table 10: Brain Homogenate Vehicle Group, Day 28 Aβ40 changes Aβ42 changes treatment Soluble insoluble Soluble insoluble CF + + CU +++ ++ +++ CX + ++ +++ CW** + ++ BE + - +++ +++ CA + ++ + +

**该化合物在脑中的效果仅测试了其调节Aβ40和Aβ42肽总水平的能力,而没有单独测量可溶性的和不溶性的水平。** The effect of this compound in the brain was only tested for its ability to modulate total levels of A[beta]40 and A[beta]42 peptides without measuring soluble and insoluble levels individually.

表11:脑匀浆甲基纤维素组,第28天        Aβ40变化        Aβ42变化   治疗物   可溶性的   不可溶的   可溶性的   不可溶的   DA   --   --   --   BU   --   --   --   CZ   -   -   --   BT   --   ++   ++Table 11: Brain Homogenate Methylcellulose Group, Day 28 Aβ40 changes Aβ42 changes treatment Soluble insoluble Soluble insoluble DA -- -- -- BU -- -- -- CZ - - -- BT -- ++ ++

实施例11:利用质谱法评价化合物与NAC的结合Example 11: Evaluation of compound binding to NAC using mass spectrometry

最近的发现已经证明,有很高比例的阿耳茨海默氏病(AD)患者也形成Leey体,在扁桃体中最为丰富(Hamilton.2000.BrainPathol,10:378;Mukaetova-Ladinska等,2000.J Neuropathol ExpNeurol 59:408)。有意义的是,α-synuclein的高疏水性非淀粉样蛋白组分(NAC)区域被认为是Aβ之后AD患者脑中淀粉样斑的次丰富组分。已经证明α-synuclein能体外形成原纤维。而且它能够与Aβ结合,促进其聚集(Yoshimoto等,1995.Proc Natl Acad Sci USA 92:914)。事实上,它最初被鉴定为AD斑的非淀粉样蛋白β(Aβ)组分(NAD)的前体(Ueda等.1993.Proc Natl Acad Sci USA 90:11282;Iwai.2000.Biochem Biophys Acta 1502:95;Masliah等,1996.Am JPathol 148:201)。NAC是具有一段高疏水性序列的35氨基酸长肽,在体外它可以自发聚集并形成原纤维。此外,这些原纤维在体外可以有效地活化Aβ原纤维的形成(Han等,1995.Chem Biol.2:163-169;Iwai等,1995.Biochemistry 34:10139)。事实上,通过其NAC域,α-synuclein保留了其原纤维生成性质。因此,用本发明化合物调节NAC的特性或靶向NAC可能是一条有效的治疗途径,用以抑制与α-synucleopathies有关的蛋白质聚集体和包含体的形成,以及α-synuclein的β-淀粉样蛋白肽与NAC之间的聚集体的形成。Recent findings have demonstrated that a high percentage of Alzheimer's disease (AD) patients also develop Leey bodies, most abundantly in the tonsils (Hamilton. 2000. Brain Pathol, 10: 378; Mukaetova-Ladinska et al., 2000. J Neuropathol ExpNeurol 59:408). Interestingly, the highly hydrophobic non-amyloid component (NAC) region of α-synuclein is thought to be the next most abundant component of amyloid plaques in the brains of AD patients after Aβ. α-synuclein has been shown to form fibrils in vitro. Moreover, it can bind to Aβ, promoting its aggregation (Yoshimoto et al., 1995. Proc Natl Acad Sci USA 92: 914). In fact, it was originally identified as a precursor of the non-amyloid beta (Aβ) component (NAD) of AD plaques (Ueda et al. 1993. Proc Natl Acad Sci USA 90: 11282; Iwai. 2000. Biochem Biophys Acta 1502 :95; Masliah et al., 1996.Am JPathol 148:201). NAC is a 35 amino acid long peptide with a highly hydrophobic sequence, which can spontaneously aggregate and form fibrils in vitro. Furthermore, these fibrils can efficiently activate Aβ fibril formation in vitro (Han et al., 1995. Chem Biol. 2: 163-169; Iwai et al., 1995. Biochemistry 34: 10139). Indeed, through its NAC domain, α-synuclein retains its fibrillogenic properties. Therefore, modulating the properties of NAC or targeting NAC with the compounds of the present invention may be an effective therapeutic approach to inhibit the formation of protein aggregates and inclusion bodies associated with α-synucleopathies, and β-amyloid of α-synuclein Formation of aggregates between peptides and NAC.

本文评估了本发明化合物在水溶液中结合NAC肽的能力。结合能力与利用电喷射质谱观测到的肽-化合物复合体的强度相关。使用微孔蒸馏去离子水来制备所有的水溶液。对于pH的测定,使用安装有Coring Semi-Micro Combination pH Electrode的Beckman Ф36 pH仪。The compounds of the invention were evaluated herein for their ability to bind NAC peptides in aqueous solution. Binding capacity correlates with the intensity of the peptide-compound complex observed by electrospray mass spectrometry. Millipore distilled deionized water was used to prepare all aqueous solutions. For the determination of pH, a Beckman Ф36 pH meter equipped with a Coring Semi-Micro Combination pH Electrode was used.

首先在pH7.40下分析20μM的NAC(MW 3260.6Da),相应地在m/z 1335.5,1116.7和843.4处观测到+2,3和4处的普通钠簇。测得的最适宜锥电压为20V。20 μM NAC (MW 3260.6 Da) was first analyzed at pH 7.40, correspondingly common sodium clusters at +2, 3 and 4 were observed at m/z 1335.5, 1116.7 and 843.4. The optimum cone voltage measured was 20V.

质谱光谱法-质谱分析使用装备有Waters 2795样品管理器的Waters ZQ4000质谱仪进行。数据加工与分析使用MassLynx 4.0(早期使用MassLynx 3.5)。在水介质(6.6% EtOH)中以5∶1的比例混合试验化合物和解聚肽(20μM NAC:100μM试验化合物或40μMNAC:200μM试验化合物)。用0.1% NaOH 3-5μL)调节混合物的pH到7.4(±0.2)。定期按照相同方法也制备20μM或40μM的NAC肽溶液,用作对照组。采用利用注射泵以25μl/min的流速直接注入的方式,将溶液加到电喷射源头,以正模式从100-2100Da扫描,得到光谱。扫描时间为0.9sec/扫描,扫描间延迟时间0.1秒钟,每个样品的运行时间为5分钟。所有的质谱的扫描总数为300次。去溶剂化和离子源的温度为70℃。锥头和毛细管电压分别保持在20V和3.2kV。Mass spectrometry - Mass spectrometry was performed using a Waters ZQ4000 mass spectrometer equipped with a Waters 2795 sample manager. MassLynx 4.0 was used for data processing and analysis (MassLynx 3.5 was used earlier). Test compound and depolymerized peptide (20 μM NAC: 100 μM test compound or 40 μM NAC: 200 μM test compound) were mixed in a 5:1 ratio in aqueous medium (6.6% EtOH). Adjust the pH of the mixture to 7.4 (±0.2) with 0.1% NaOH (3-5 μL). Periodically, 20 μM or 40 μM NAC peptide solutions were also prepared in the same manner and used as a control group. The solution was added to the electrospray source by direct injection using a syringe pump at a flow rate of 25 μl/min, and the spectrum was obtained by scanning from 100-2100 Da in positive mode. The scan time was 0.9 sec/scan, the inter-scan delay time was 0.1 sec, and the run time per sample was 5 min. The total number of scans for all mass spectra is 300. The temperature of the desolvation and ion source was 70 °C. The cone and capillary voltages were maintained at 20V and 3.2kV, respectively.

对于每种受试化合物,求出NAC-化合物复合物的峰下总面积除以未结合NAC峰下总面积得到的值。结果概括于下表13中。For each test compound, the total area under the peak for the NAC-compound complex divided by the total area under the peak for unbound NAC was determined. The results are summarized in Table 13 below.

表12-NAC肽结合数据Table 12 - NAC peptide binding data

Figure A20048002425001291
Figure A20048002425001291

*+++=强;总结合率为120%或更高* +++ = strong; total binding 120% or higher

++=中等;总结合率介于120%-70%之间++=moderate; total binding between 120%-70%

+=弱;总结合率介于70%-30%之间+ = weak; total binding between 70%-30%

-=无;总结合率介于30%-0%之间- = None; total binding between 30% and 0%

本发明还涉及新化合物及其合成。相应地,下面提供的实施例阐述了如何制备这些化合物中的一部分。The invention also relates to novel compounds and their synthesis. Accordingly, the Examples provided below illustrate how to prepare some of these compounds.

本发明化合物的合成Synthesis of compounds of the present invention

3-(4-苯基-1,2,3,6-四氢吡啶-1-基)-1-丙烷磺酸(化合物O)的制备Preparation of 3-(4-phenyl-1,2,3,6-tetrahydropyridin-1-yl)-1-propanesulfonic acid (Compound O)

Figure A20048002425001292
Figure A20048002425001292

用1N NaOH(20mL)处理4-苯基-1,2,3,6-四氢吡啶盐酸盐(2.51g,12.8mmol),继用CH2Cl2(20mL)萃取所形成的水性混合物。分出有机层,MgSO4干燥,过滤并且减压除去溶剂。4-Phenyl-1,2,3,6-tetrahydropyridine hydrochloride (2.51 g, 12.8 mmol) was treated with 1 N NaOH( 20 mL), and the resulting aqueous mixture was extracted withCH2Cl2 (20 mL). The organic layer was separated, dried over MgSO4 , filtered and the solvent was removed under reduced pressure.

向4-苯基-1,2,3,6-四氢吡啶(1.95g,12.2mmol)的丙酮(20mL)溶液中加入1,3-丙烷磺内酯(1.66g,13.5mmol)。搅拌回流该混合物2小时。冷却产生的悬浮液到室温。过滤收集固体物,用丙酮(2×25mL)洗涤并在真空下干燥。将产物悬浮于50%MeOH/丙酮(75mL)中。搅拌回流所形成的悬浮液5分钟。过滤收集固体物,用丙酮(2×25mL)洗涤。从而分离得到化合物O,1.74g(51%)。To a solution of 4-phenyl-1,2,3,6-tetrahydropyridine (1.95 g, 12.2 mmol) in acetone (20 mL) was added 1,3-propane sultone (1.66 g, 13.5 mmol). The mixture was stirred at reflux for 2 hours. The resulting suspension was cooled to room temperature. The solid was collected by filtration, washed with acetone (2 x 25 mL) and dried under vacuum. The product was suspended in 50% MeOH/acetone (75 mL). The resulting suspension was stirred at reflux for 5 minutes. The solid was collected by filtration and washed with acetone (2 x 25 mL). Compound O was thus isolated, 1.74 g (51%).

3-色胺基-1-丙烷磺酸(化合物BT)的制备Preparation of 3-tryptamine-1-propanesulfonic acid (compound BT)

向色胺(20.65mL,129mmol)的2-丁酮(50mL)温热溶液中逐滴加入1,3-丙烷磺内酯(16.5g,130mmol)的2-丁酮(总体积100mL)溶液。加热回流混合物1小时,然后冷却到室温。过滤收集固体物,用2-丁酮(60mL)冲洗3次。将得到的湿滤冰粗品(34g)转移到500mL烧瓶内,在室温下真空避光干燥。得到米色固体(18g)。加入水(160mL)和甲醇(300mL)。在搅拌下加热回流混合物。加入活性炭(1g),搅拌所得混合物30分钟。通过硅藻土垫滤除不溶物。将硅藻土垫用热甲醇(4×30mL)洗涤。合并滤液和洗涤液,浓缩得到粘稠糊状物。加入无水乙醇(100mL)和甲醇(10mL);加热回流该混合物15分钟。混合物用冰浴冷却。过滤收集固体物,用含水的90%乙醇(30mL)、无水乙醇(3×30mL)洗涤,风干10分钟,进而在真空下干燥。将所得固体悬浮在无水乙醇(100mL)中;加热回流该混合物。向该乙醇混合物中逐滴加入水(65mL),使得固体完全溶解。在氮气氛围中,于搅拌下缓慢冷却溶液到室温过夜。进而用冰浴冷却所得混合物。过滤收集固体物,用含水的90%乙醇(30mL)、无水乙醇(3×30mL)洗涤,风干10分钟,进而在真空下干燥;得到化合物BT,为乳白色结晶固体(11.88g,33%收率)。1H和13C NMR与所述结构一致。To a warm solution of tryptamine (20.65 mL, 129 mmol) in 2-butanone (50 mL) was added dropwise a solution of 1,3-propane sultone (16.5 g, 130 mmol) in 2-butanone (total volume 100 mL). The mixture was heated to reflux for 1 hour, then cooled to room temperature. The solid was collected by filtration and rinsed 3 times with 2-butanone (60 mL). The obtained wet filtered ice crude product (34 g) was transferred to a 500 mL flask and dried under vacuum at room temperature in the dark. A beige solid (18g) was obtained. Water (160 mL) and methanol (300 mL) were added. The mixture was heated to reflux with stirring. Activated carbon (1 g) was added and the resulting mixture was stirred for 30 minutes. Insoluble material was filtered off through a pad of celite. The celite pad was washed with hot methanol (4 x 30 mL). The filtrate and washings were combined and concentrated to give a thick paste. Absolute ethanol (100 mL) and methanol (10 mL) were added; the mixture was heated at reflux for 15 minutes. The mixture was cooled with an ice bath. The solid was collected by filtration, washed with aqueous 90% ethanol (30 mL), absolute ethanol (3 x 30 mL), air-dried for 10 min, and then dried under vacuum. The resulting solid was suspended in absolute ethanol (100 mL); the mixture was heated to reflux. To this ethanol mixture was added water (65 mL) dropwise to completely dissolve the solid. Under a nitrogen atmosphere, the solution was slowly cooled to room temperature overnight with stirring. The resulting mixture was further cooled with an ice bath. The solid was collected by filtration, washed with aqueous 90% ethanol (30 mL), absolute ethanol (3 × 30 mL), air-dried for 10 minutes, and then dried under vacuum; compound BT was obtained as a milky white crystalline solid (11.88 g, 33% yield Rate).1 H and13 C NMR were consistent with the structure.

3-[1-(1,2,3,4-四氢-1-萘基)]氨基-1-丙烷磺酸(化合物BU)的制备Preparation of 3-[1-(1,2,3,4-tetrahydro-1-naphthyl)]amino-1-propanesulfonic acid (Compound BU)

Figure A20048002425001311
Figure A20048002425001311

将1,2,3,4-四氢-1-萘基胺(24.8g,0.168mmol)和1,3-丙烷磺内酯(20.58g,0.168mol)在甲苯(300mL)中的溶液中于80℃加热3小时。冷却混合物到室温;加入己烷(500mL)。过滤收集沉淀物,用己烷(2×200mL)洗涤。将该湿固体在真空烘箱中于60℃干燥(干重40g)。用水(80mL)与乙醇(800mL)混合液结晶所得固体。过滤收集产物,用乙醇(3×50mL)洗涤,于70℃干燥,得到化合物BU,为白色固体(26g,57%)。1H和13C NMR,MS和元素分析都与所述结构一致。A solution of 1,2,3,4-tetrahydro-1-naphthylamine (24.8 g, 0.168 mmol) and 1,3-propane sultone (20.58 g, 0.168 mol) in toluene (300 mL) was dissolved in Heat at 80°C for 3 hours. Cool the mixture to room temperature; add hexane (500 mL). The precipitate was collected by filtration and washed with hexane (2 x 200 mL). The wet solid was dried in a vacuum oven at 60°C (dry weight 40 g). The resulting solid was crystallized from a mixture of water (80 mL) and ethanol (800 mL). The product was collected by filtration, washed with ethanol (3 x 50 mL), and dried at 70 °C to afford compound BU as a white solid (26 g, 57%).1 H and13 C NMR, MS and elemental analysis were all consistent with the structure.

3-[(dl)-1-羟基-2-戊基]氨基-1-丙烷磺酸(化合物CA)的制备Preparation of 3-[(dl)-1-hydroxy-2-pentyl]amino-1-propanesulfonic acid (compound CA)

向1,3-丙烷磺内酯(12.6g,100mmol)的2-丁酮(95mL)溶液中加入DL-2-氨基-1-戊醇(10g,94mmol)。加热回流混合物3.5小时。冷却混合物到室温过夜,进而在冰浴中冷却。过滤收集固体,用冷THF洗涤。风干该固体物20分钟(15g)。将所得固体悬浮在无水乙醇(80mL)中,加热回流该混合物1小时。用冰浴冷却混合物;过滤收集固体物,用冷乙醇洗涤。风干所得物质15分钟,进而于60℃在真空烘箱中干燥过夜。得到化合物CA,为白色细粉(14.49g,68%)。1H和13C NMR与所述结构一致。To a solution of 1,3-propane sultone (12.6 g, 100 mmol) in 2-butanone (95 mL) was added DL-2-amino-1-pentanol (10 g, 94 mmol). The mixture was heated to reflux for 3.5 hours. The mixture was cooled to room temperature overnight and then cooled in an ice bath. The solid was collected by filtration and washed with cold THF. The solid was air dried for 20 minutes (15 g). The resulting solid was suspended in absolute ethanol (80 mL), and the mixture was heated to reflux for 1 hour. The mixture was cooled in an ice bath; the solid was collected by filtration and washed with cold ethanol. The resulting material was air dried for 15 minutes and then dried overnight in a vacuum oven at 60°C. Compound CA was obtained as a fine white powder (14.49 g, 68%).1 H and13 C NMR were consistent with the structure.

Claims (203)

1. formula I compound or its pharmaceutically useful salt, ester or prodrug:
Wherein:
R1Be replacement or unsubstituted cycloalkyl, heterocyclic radical, aryl, cycloalkyl aryl, two rings or three cyclic groups, two rings or three ring condensed ring groups, or be replacement or unsubstituted C2-C10Alkyl;
R2Be selected from hydrogen, alkyl, mercaptoalkyl, alkenyl, alkynyl, cycloalkyl, aryl, arylalkyl, thiazolyl, triazolyl, imidazolyl, benzothiazolyl, and benzimidazolyl-;
Y is SO3-X+
X+Be hydrogen or cation group; With
L1Independently for replacing or unsubstituted C1-C5Alkyl or do not exist;
L2Be unsubstituted C1-C5Alkyl or do not exist;
Condition is to work as R1During for alkyl, L1Do not exist; Work as R2Be benzyl, L1Be methylene radical, R1Be phenyl, L2For-(CH2)3In-time, Y can not be SO3-X+Work as R2Be hydrogen, L2For-(CH2)3-, L1Be methylene radical, R1Be 1,3-benzo dioxole-5-base or 3, during the 4-methoxy-benzyl, Y can not be SO3-X+And work as R2Be hydrogen, L2For-(CH2)3-, L1There is not R1Be the tertiary butyl, isobutyl-, amyl group, n-heptyl, n-octyl, n-nonyl, cyclohexyl, sec.-propyl, isopentyl, 1-hydroxyl-2-propyl group, 3,5-dimethyl-1-adamantyl, 1-hydroxyl-2-amyl group, 3 Methylbutanoic acid ,-4-methyl-methyl valerate or 2, during 2-phenylbenzene-ethyl, Y can not be SO3-X+
2. formula II compound or its pharmaceutically useful salt, ester or prodrug:
Wherein:
R1Be to replace or unsubstituted monocyclic groups, bicyclic groups, three cyclic groups or benzheterocycle group or replacement or unsubstituted C2-C10Alkyl;
R2Be hydrogen, alkyl, mercaptoalkyl, alkenyl, alkynyl, cycloalkyl, aryl, arylalkyl, thiazolyl, triazolyl, imidazolyl, benzothiazolyl, benzimidazolyl-, or and R1Be connected to form heterocycle;
Y is SO3-X+, OSO3-X+, or SSO3-X+
X+Be hydrogen, cation group, or become ester moiety;
M is 0;
N is 1,2,3 or 4;
L replaces or unsubstituted C1-C3Alkyl or do not exist,
Condition is to work as R1During for alkyl, L does not exist.
3. claim 1 or 2 compound, wherein R2Be hydrogen.
4. each compound, wherein R among the claim 1-31Be straight chained alkyl.
5. the compound of claim 4, wherein R1Be ethyl, n-pentyl, n-heptyl, n-octyl, or n-nonyl.
6. each compound, wherein R among the claim 1-31Be the tertiary butyl.
7. each compound, wherein R among the claim 1-31It is carbocylic radical.
8. each compound, wherein R among the claim 1-31Be C7-C10Bicyclic alkyl.
9. each compound, wherein R among the claim 1-31It is tricyclic alkyl.
10. the compound of claim 9, wherein R1Be three ring [3.3.1.03,7] decyl or adamantyl.
11. the compound of claim 9, wherein R1Be two ring [2.1.2] heptyl.
12. each compound among the claim 1-3, wherein said two ring condensed ring groups are indyls.
13. each compound, wherein L among the claim 1-121Be CH2CH2
14. each compound, wherein R among the claim 1-31It is tetralyl.
15. each compound, wherein L in claim 1-12 or 141Be non-existent.
16. the compound of claim 1 or 2, wherein said compound are following compound or its pharmaceutically useful salt, ester or prodrug:
Figure A2004800242500004C1
Or
17. formula III compound and pharmaceutically useful salt, ester and prodrug:
Figure A2004800242500005C4
Wherein:
A is nitrogen or oxygen;
R11Be hydrogen, salt-forming cation, one-tenth ester group ,-(CH2)x-Q, or when A is nitrogen, A and R11Represent natural together or alpha-non-natural amino acid residue or its salt or ester;
Q is a hydrogen, thiazolyl, triazolyl, imidazolyl, benzothiazolyl, or benzimidazolyl-;
X is 0,1,2,3, or 4;
N is 0,1,2,3,4,5,6,7,8,9, or 10;
R3a, R4, R4a, R5, R5a, R6, R6a, R7And R7aBe hydrogen, alkyl, mercaptoalkyl, alkenyl, alkynyl, cycloalkyl, aryl, alkyl-carbonyl, aryl carbonyl, alkoxy carbonyl, cyano group, halogen, amino, tetrazyl, or two R groups that are positioned on the adjacent ring atom form two keys with these annular atomses, and condition is R4Be formula III a part:
Figure A2004800242500006C1
Wherein:
M is 0,1,2,3, or 4;
RA, RB, RC, RD, and REBe independently selected from hydrogen, halogen, hydroxyl, alkyl, alkoxyl group, haloalkyl, mercaptoalkyl, alkenyl, alkynyl, cycloalkyl, aryl, cyano group, thiazolyl, triazolyl, imidazolyl, tetrazyl, benzothiazolyl, and benzimidazolyl-; Or
R3a, R4, R4a, R5, R5a, R6, R6a, R7And R7aBe hydrogen, and R3Be formula III a part.
Condition is that described compound can not be 3-(4-phenyl-1,2,3,6-tetrahydrochysene-1-pyridyl)-1-propane sulfonic acid.
18. the compound of claim 17, wherein n is 2,3 or 4.
19. the compound of claim 17 or 18, wherein R11It is salt-forming cation.
20. the compound of claim 19, wherein said salt-forming cation is a lithium, sodium, potassium, magnesium, calcium, barium, zinc, iron, or ammonium.
21. the compound of claim 17 or 18, wherein R11Be into ester group.
22. the compound of claim 21, wherein said one-tenth ester group are replacement or unsubstituted alkyl, aryl, alkenyl, alkynyl or cycloalkyl.
23. each compound, wherein R among the claim 17-223And R4Form two keys together.
24. each compound, wherein R among the claim 17-224, R5, R6And R7The hydrogen of respectively doing for oneself.
25. each compound, wherein R among the claim 17-25A, RB, RC, RDAnd REThe hydrogen of respectively doing for oneself.
26. each compound, wherein R among the claim 17-2511Represent natural together with A or alpha-non-natural amino acid residue or its pharmaceutically useful salt or ester.
27. each compound among the claim 17-26, wherein m is 0 or 1.
28. each compound among the claim 17-26, wherein m is 3.
29. each compound among the claim 17-28, wherein A is an oxygen.
30. each compound, wherein R among the claim 17-303It is formula III a part.
31. the compound of claim 17, wherein said compound are following compound or its pharmaceutically useful salt, ester or prodrug:
Figure A2004800242500007C1
Or
Figure A2004800242500007C2
32. formula IV compound or its pharmaceutically useful salt, prodrug or ester:
Wherein:
A is nitrogen and and R11Represent natural together or alpha-non-natural amino acid residue or its salt or ester;
N is 0,1,2,3,4,5,6,7,8,9, or 10;
R4, R4a, R5, R5a, R6, R6a, R7And R7aBe hydrogen independently of one another, alkyl, mercaptoalkyl, alkenyl, alkynyl, cycloalkyl, aryl, alkyl-carbonyl, aryl carbonyl, alkoxy carbonyl, cyano group, halogen, amino, tetrazyl, R4And R5Be connected to form two key, perhaps R with the annular atoms that they connected6And R7Be connected to form two keys with the annular atoms that they connected;
M is 0,1,2,3, or 4;
R8, R9, R10, R11, and R12Be independently selected from hydrogen, halogen, hydroxyl, alkyl, alkoxyl group, haloalkyl, mercaptoalkyl, alkenyl, alkynyl, cycloalkyl, aryl, cyano group, thiazolyl, triazolyl, imidazolyl, tetrazyl, benzothiazolyl, and benzimidazolyl-.
33. the compound of claim 32, wherein m is 0.
34. the compound of claim 32 or 33, wherein n is 2,3 or 4.
35. each compound, wherein R among the claim 32-344, R5, R6And R7The hydrogen of respectively doing for oneself.
36. each compound, wherein R among the claim 32-358, R9, R10And R12The hydrogen of respectively doing for oneself.
37. the compound of claim 36, wherein said compound are following compound or its pharmaceutically useful salt, ester or prodrug:
Figure A2004800242500008C1
38. formula V compound or its pharmaceutically useful salt, ester or prodrug:
Figure A2004800242500008C2
Wherein:
A is nitrogen and and R11Represent leucine residue or its salt or ester together;
N is 0,1,2,3,4,5,6,7,8,9, or 10;
Aa is natural or the alpha-non-natural amino acid residue;
M is 0,1,2, or 3;
R14Be hydrogen or protecting group;
R15Be hydrogen, alkyl or aryl.
39. the compound of claim 38, wherein n is 2,3 or 4.
40. the compound of claim 38, wherein n is 3.
41. each compound of claim 38, wherein m is 0.
42. the compound of claim 38, wherein (aa) m comprises glycine residue.
43. the compound of claim 38, wherein R15Be hydrogen or substituted alkyl.
44. the compound of claim 38, wherein R15Be arylalkyl.
45. the compound of claim 38, wherein said compound are following compound or its pharmaceutically useful salt, ester or prodrug:
Figure A2004800242500009C1
Or
46. formula VI compound or its pharmaceutically useful salt, ester or prodrug:
Figure A2004800242500009C4
Wherein:
N is 1,2,3,4,5,6,7,8,9, or 10;
A is oxygen or nitrogen;
R11Be hydrogen, salt-forming cation, one-tenth ester group ,-(CH2)x-Q, or when A is nitrogen, A and R11Represent natural together or alpha-non-natural amino acid residue or its salt or ester;
Q is a hydrogen, thiazolyl, triazolyl, imidazolyl, benzothiazolyl, or benzimidazolyl-;
X is 0,1,2,3, or 4;
R19Be hydrogen, alkyl or aryl;
Y1Be oxygen, sulphur, or nitrogen;
Y2Be carbon, nitrogen or oxygen;
R20And R21Be connected to form aromatic ring;
R22Be hydrogen, alkyl, mercaptoalkyl, alkenyl, alkynyl, cycloalkyl, aryl, arylalkyl, thiazolyl, triazolyl, tetrazyl, imidazolyl, benzothiazolyl, benzimidazolyl-; Perhaps work as Y1During for nitrogen, R22Be hydrogen, hydroxyl, alkoxyl group or aryloxy; Perhaps work as Y1During for oxygen or sulphur, R22Do not exist; Perhaps work as Y1During for nitrogen, R22And R21Be connected to form circular part;
R23Be non-existent;
Condition be when n be 3, Y1Be oxygen, Y2Be oxygen, R21Be benzyl, when A is oxygen, R19Can not be hydrogen; And when n be 3, Y1Be oxygen, Y2Be carbon, R20, R21, and R23When respectively doing for oneself methyl, R19Can not be hydrogen.
47. the compound of claim 46, wherein R11It is salt-forming cation.
48. the compound of claim 46, wherein A is an oxygen.
49. each compound, wherein Y among the claim 46-481Be oxygen or sulphur, and R22Be non-existent.
50. the compound of claim 46, wherein said aromatic ring is a pyridyl.
51. the compound of claim 46, wherein Y1Be sulphur.
52. the compound of claim 46, wherein said compound are selected from following compound or its pharmaceutically useful salt, ester and prodrug:
Or
53. following various compound and pharmaceutically useful salt and ester:
54. formula I compound or its pharmaceutically useful salt, ester or prodrug:
Wherein:
R1Be replacement or unsubstituted cycloalkyl, heterocyclic radical, aryl, cycloalkyl aryl, two rings or three cyclic groups, two rings or three ring condensed ring groups, or be replacement or unsubstituted C2-C10Alkyl;
R2Be selected from hydrogen, alkyl, mercaptoalkyl, alkenyl, alkynyl, cycloalkyl, aryl, arylalkyl, thiazolyl, triazolyl, imidazolyl, benzothiazolyl, and benzimidazolyl-;
Y is OSO3-X+Or SSO3-X+
X+Be hydrogen or cation group; With
L1And L2Independently of one another for replacing or unsubstituted C1-C5Alkyl or do not exist.
55. formula II compound or its pharmaceutically useful salt, ester or prodrug:
Wherein:
R1Be to replace or unsubstituted monocyclic groups, bicyclic groups, three cyclic groups or benzheterocycle group or replacement or unsubstituted C2-C10Alkyl;
R2Be hydrogen, alkyl, mercaptoalkyl, alkenyl, alkynyl, cycloalkyl, aryl, arylalkyl, thiazolyl, triazolyl, imidazolyl, benzothiazolyl, benzimidazolyl-, or and R1Be connected to form heterocycle;
Y is SO3-X+, OSO3-X+, or SSO3-X+
X+Be hydrogen, cation group, or become ester moiety;
M is 1;
N is 1,2,3 or 4;
L replaces or unsubstituted C1-C3Alkyl or do not exist,
56. formula II compound or its pharmaceutically useful salt, ester or prodrug:
Figure A2004800242500013C1
Wherein:
R1Be to replace or unsubstituted monocyclic groups, bicyclic groups, three cyclic groups or benzheterocycle group or replacement or unsubstituted C2-C10Alkyl;
R2Be hydrogen, alkyl, mercaptoalkyl, alkenyl, alkynyl, cycloalkyl, aryl, arylalkyl, thiazolyl, triazolyl, imidazolyl, benzothiazolyl, benzimidazolyl-, or and R1Be connected to form heterocycle;
Y is OSO3-X+, or SSO3-X+
X+Be hydrogen, cation group, or become ester moiety;
M is 0;
N is 1,2,3 or 4;
L replaces or unsubstituted C1-C3Alkyl or do not exist,
57. formula II compound or its pharmaceutically useful salt, ester or prodrug:
Figure A2004800242500013C2
Wherein:
R1With R2Be connected to form heterocycle;
Y is SO3-X+, OSO3-X+, or SSO3-X+
X+Be hydrogen, cation group, or become ester moiety;
M is 0 or 1;
N is 1,2,3 or 4;
L replaces or unsubstituted C1-C3Alkyl or do not exist,
58. a medicine box that is used for the treatment of amyloid-related diseases, it comprises each compound of claim 1-57, and the specification sheets that uses for the inventive method.
59. the method for treatment or prevention patient amyloid-related diseases, it comprises can effectively treat or the claim 1-57 of the amount of prevention of amyloid relative disease each or each table and the compound described in the structure iron patient's administration of needs.
60. according to the method for claim 59, wherein said amyloid-related diseases is an Alzheimer's, cerebral amyloid angiopathy, inclusion body myositis, macular degeneration, MCI or Down's syndrome.
61., wherein can reduce or suppress formation or deposition, neurodegeneration or the cytotoxicity of amyloid fibrils by the described compound of administration according to the method for claim 59 or 60.
62. according to the method for claim 59, wherein said amyloid-related diseases is diabetes, AA amyloidosis, AL amyloidosis or hemodialysis-associated amyloidosis (β2M).
63. according to each method among the claim 59-62, wherein said patient is the people.
64. the described method of above-mentioned each claim, wherein said patient suffers from Alzheimer's, mild cognitive damage or cerebral amyloid angiopathy, and can stablize cognitive function by administration, prevent the further reduction of cognitive function, perhaps prevent, slow down or stop described disease of patient process.
65. method that is used to suppress patient's amyloid beta deposition, it comprises each or each table and the treatment compound or pharmaceutically acceptable salt thereof described in the structure iron to the claim 1-57 of patient's effective dosage, the described treatment compound of result suppresses amyloid and generates protein and the glycoprotein of basement membrane or the interaction between the proteoglycan component, thereby suppresses amyloid beta deposition.
66. a method that is used to suppress patient's amyloid beta deposition, it comprises each or each table and the treatment compound or pharmaceutically acceptable salt thereof described in the structure iron to the claim 1-57 of described patient's oral administration significant quantity.
67. a method that is used for reducing amyloid beta deposition patient body amyloid beta deposition, this method comprise each or each table and the treatment compound or pharmaceutically acceptable salt thereof described in the structure iron to the claim 1-57 of described patient's effective dosage,
68. according to each method among the claim 59-67, oral the giving of treatment compound wherein used.
69. according to each method among the claim 59-68, wherein said treatment compound is given usefulness in pharmaceutically acceptable vehicle.
70. a method that is used to suppress patient's amyloid beta deposition, it comprises each or each table and the treatment compound or pharmaceutically acceptable salt thereof described in the structure iron to the claim 1-57 of patient's effective dosage, thereby suppresses amyloid beta deposition.
71. the method for claim 70, wherein said treatment compound is used by oral giving.
72. the method for claim 70 or 71, wherein said treatment compound are given usefulness in pharmaceutically acceptable vehicle.
73. method that is used to suppress patient's amyloid beta deposition, it comprises each or each table and the compound or pharmaceutically acceptable salt thereof described in the structure iron to the claim 1-57 of patient's effective dosage, the result can not stop the bio distribution of compound at the expection target site again in the active while that keeps compound, thereby suppresses amyloid beta deposition.
74. method that is used to suppress patient's amyloid beta deposition, it comprises each or each table and the compound or pharmaceutically acceptable salt thereof described in the structure iron to the claim 1-57 of patient's effective dosage, thereby the inhibition amyloid beta deposition, the result can not stop the bio distribution of compound at the expection target site again in the active while that keeps compound.
75. method that is used to suppress patient's amyloid beta deposition, it comprises each or each table and the compound or pharmaceutically acceptable salt thereof described in the structure iron to the claim 1-57 of patient's effective dosage, generates interaction inhibition amyloid beta deposition between protein and the basement membrane component thereby the described compound of result suppresses amyloid.
76. method that is used to suppress patient's amyloid beta deposition, it comprises each or each table and the compound or pharmaceutically acceptable salt thereof described in the structure iron to the claim 1-57 of patient's effective dosage, the result has suppressed the interaction between amyloid generation protein and the basement membrane component, thereby suppresses amyloid beta deposition.
77. method that is used for reducing amyloid beta deposition patient body amyloid beta deposition, it comprises each or each table and the compound or pharmaceutically acceptable salt thereof described in the structure iron to the claim 1-57 of patient's effective dosage, thereby has reduced the amyloid beta deposition in patient's body.
78. method that is used to suppress patient's amyloid beta deposition, it comprises each or each table and the compound or pharmaceutically acceptable salt thereof described in the structure iron to the claim 1-57 of patient's effective dosage, the described compound of result suppresses amyloid and generates protein and the glycoprotein of basement membrane or the interaction between the proteoglycan component, thereby suppresses amyloid beta deposition.
79. the application of each described compound of claim 59-78 in the medicine that preparation is treated or the prevention of amyloid relative disease is used.
80. one kind is used for the treatment of or the pharmaceutical composition of prevention of amyloid relative disease, it comprises each described compound among the claim 1-57.
81. a pharmaceutical composition, it comprises each described compound of claim 1-57.
82. a pharmaceutical composition, it comprises each table, structural formula or the graphic middle compound of describing.
83. a pharmaceutical composition that is used for the treatment of amyloidosis, it comprises the compound or pharmaceutically acceptable salt thereof of the amount that is enough to suppress patient's amyloid beta deposition, and wherein said compound is each described compound of claim 1-57.
84. pharmaceutical composition that is used for the treatment of amyloidosis, it comprises is enough to suppress the compound or pharmaceutically acceptable salt thereof that amyloid generates the interaction between albumen and the basement membrane component and suppresses the amount of amyloid beta deposition in patient's body, and wherein said compound is each described compound of claim 1-57.
85. pharmaceutical composition that is used for the prevention of amyloid sex change, it comprises is enough to suppress the compound or pharmaceutically acceptable salt thereof that amyloid generates the interaction between albumen and the basement membrane component and suppresses the amount of amyloid beta deposition in patient's body, and wherein said compound is each described compound of claim 1-57.
86. a pharmaceutical composition that is used for the treatment of amyloidosis, it comprises the compound or pharmaceutically acceptable salt thereof of the amount that is enough to suppress patient's amyloid beta deposition, and wherein said compound is each described compound of claim 1-57.
87. according to each method of claim 59-78, wherein said compound can prevent or suppress the fibriilar formation of amyloid.
88. according to claim 59-78 or 87 each methods, wherein said compound can prevent the amyloid peptide of soluble oligomeric form or protofibril form and combining or cell injury or toxicity bonding and that cause of cell surface.
89. claim 59-78,87 or 88 each methods, wherein said compound can stop amyloid inductive cytotoxicity or microgliacyte activation.
90. each method of claim 59-78 or 87-89, wherein said compound stop amyloid inductive neurotoxicity.
91. each method of claim 59-78 or 87-90, wherein said compound can reduce amyloid aggregation, protofibril forms or sedimentary speed or amount.
Fibriilar formation of amyloid or sedimentary speed 92. each method of claim 59-78 or 87-91, wherein said compound can slow down.
93. each method of claim 59-78 or 87-92, wherein said compound can alleviate the degree of amyloid beta deposition.
94. each method of claim 59-78 or 87-93, wherein said compound can suppress, reduces or prevent the fibriilar formation of amyloid.
95. each method of claim 59-78 or 87-94, wherein said compound can suppress amyloid inductive inflammation.
96. each method of claim 59-78 or 87-95, wherein said compound can strengthen the removing of amyloid from brain.
97. each method of claim 59-78 or 87-96, wherein with respect to the equilibrium distribution in the body of not receiving treatment, described compound changes the amyloid balance between CSF or brain and the blood plasma, and has reduced the amount of amyloid-β in the brain.
98. each method of claim 59-78 or 87-97, wherein said compound can reverse the deposition of amyloid in the amyloid beta deposition patient body.
99. each method of claim 59-78 or 87-98, the deposition of amyloid in the wherein said compound promoted amyloid deposition patient body.
100. each method of claim 59-78 or 87-99, wherein said compound promote macula lutea to remove in amyloid deposition patient body or reduce deposition.
101. each method of claim 59-78 or 87-100, wherein with respect to the patient who does not receive treatment, described compound reduces the concentration of amyloid in patient's brain.
102. each method of claim 59-78 or 87-101, wherein said compound penetrates into brain.
103. each method of claim 59-78 or 87-102, it is non-filamentous form that wherein said compound is kept Zulkovsky starch sample albumen.
104. each method of claim 59-78 or 87-103, wherein with respect to the patient who does not receive treatment, described compound increases the clearance rate of Zulkovsky starch sample albumen from patient's brain.
105. each method of claim 59-78 or 87-104, wherein said compound suppress or reduce interaction between amyloid and the cell surface component.
106. the method for claim 105, glycoprotein or proteoglycan that wherein said cell surface component is a basement membrane.
107. each method in the preceding method claim, wherein said amyloid are to have 39-43 amino acid whose amyloid-β peptide.
108. each method in the preceding method claim, wherein said amyloid are to generate peptide by the amyloid that β APP produces.
109. each method in the preceding method claim, wherein said amyloid-related diseases are mild cognitive damage or mild or moderate cognitive impairment.
110. each method in the preceding method claim, wherein said amyloid-related diseases is a vascular dementia.
111. each method in the preceding method claim, wherein said amyloid vascular disease are Alzheimer's.
112. the method for claim 111, wherein said Alzheimer's are sporadic (nongenetic) Alzheimer's, familial (heredity) Alzheimer's, or early stage Alzheimer's.
113. each method in the preceding method claim, wherein said amyloid-related diseases is β2The M amyloidosis, AL amyloidosis, AA amyloidosis or diabetes.
114. each method in the preceding method claim, wherein said amyloid-related diseases are cerebral amyloid angiopathy or heredity cerebral hemorrhage.
115. each method in the preceding method claim, wherein said amyloid-related diseases are senile dementia, Down's syndrome, inclusion body myositis or age-related macular degeneration.
116. each method in the preceding method claim, wherein said amyloid-related diseases is familial amyloid polyneuropathy (FAP), senile SA, stndon sheath inflammatory familial amyloidosis, the non-neuropathic amyloidosis of Ostertag type, cranial nerve disease, hereditary cerebral hemorrhage, familial idiocy disease, chronic dialysis disease, familial creutzfeldt-Jacob disease; Ge-Shi-Sha syndromes, heredity spongiform encephalopathy, prion disease, familial Mediterranean fever, Mu-Wei syndromes, ephrosis, deafness, Xun's measles, pain on the extremities, myocardosis, skin thesaurismosis, multiple myeloma, benign monoclonal gammopathy, macroglobulinemia, myelomatosis dependency amyloidosis, Tiroidina bone marrow cancer, isolatism atrium amyloid disease, or diabetes.
117. each method in the preceding method claim, wherein said pharmaceutical composition are therapeutic or prophylactically deliver medicine to the patient.
118. each method in the preceding method claim, wherein said drug composition oral delivers medicine to the patient.
119. each method in the preceding method claim, wherein said patient is the people.
120. each method in the preceding method claim, wherein said patient is the people more than 40 years old.
121. each method in the preceding method claim, wherein said patient is the people more than 50 years old.
122. each method in the preceding method claim, wherein said patient is the people more than 60 years old.
123. each method in the preceding method claim, wherein said patient is the people more than 70 years old.
124. each method in the preceding method claim, wherein said patient is the people more than 80 years old.
125. each method in the preceding method claim, wherein said patient is the people more than 85 years old.
126. each method in the preceding method claim, wherein said patient is the women.
127. each method in the preceding method claim, wherein said patient is a postmenopausal women.
128. each method in the preceding method claim, wherein said patient is accepting the hormone replacement therapy.
129. each method in the preceding method claim, wherein said patient is the male sex.
130. each method in the preceding method claim, wherein said patient suffers from Alzheimer's or has the genetic factor of the Alzheimer's of developing into.
131. each method in the preceding method claim, wherein said patient suffers from vascular dementia.
132. each method in the preceding method claim, wherein said patient suffers from senile dementia.
133. each method in the preceding method claim, wherein said patient suffers from the mild cognitive damage.
134. each method in the preceding method claim, wherein said patient has the genome mutation in the app gene.
135. each method in the preceding method claim, wherein said patient is ApoE2Allelic carrier.
136. each method in the preceding method claim, wherein said patient has the genome mutation of senilism protein gene.
137. each method in the preceding method claim, wherein said patient suffers from familial, sporadic or idiopathic Alzheimer's or cerebral amyloid angiopathy.
138. each method in the preceding method claim, there is amyloid beta deposition in wherein said patient.
139. there are amyloid-amyloid beta deposition in each method in the preceding method claim, wherein said patient's brain.
140. each pharmaceutical composition in the aforementioned pharmaceutical composition claim, wherein said compound can prevent or suppress the fibriilar formation of amyloid.
141. each pharmaceutical composition in the aforementioned pharmaceutical composition claim, wherein said compound can prevent the amyloid peptide of soluble oligomeric form or protofibril form and combining or cell injury or toxicity bonding and that cause of cell surface.
142. each pharmaceutical composition in the aforementioned pharmaceutical composition claim, wherein said compound can stop amyloid inductive cytotoxicity or microgliacyte activation.
143. each pharmaceutical composition in the aforementioned pharmaceutical composition claim, wherein said compound can stop amyloid inductive neurotoxicity.
144. each pharmaceutical composition in the aforementioned pharmaceutical composition claim, wherein said compound can reduce and reduce amyloid aggregation, protofibril forms or sedimentary speed or amount.
Fibriilar formation of amyloid or sedimentary speed 145. each pharmaceutical composition in the aforementioned pharmaceutical composition claim, wherein said compound slow down.
146. each pharmaceutical composition in the aforementioned pharmaceutical composition claim, the degree of wherein said compounds for reducing amyloid beta deposition.
147. each pharmaceutical composition in the aforementioned pharmaceutical composition claim, wherein said compound suppress, reduce or prevent the fibriilar formation of amyloid.
148. each pharmaceutical composition in the aforementioned pharmaceutical composition claim, wherein said compound suppress amyloid inductive inflammation.
149. each pharmaceutical composition in the aforementioned pharmaceutical composition claim, wherein said compound strengthens the removing of amyloid from brain.
150. each pharmaceutical composition in the aforementioned pharmaceutical composition claim, wherein with respect to the equilibrium distribution in the body of not receiving treatment, described compound changes the amyloid balance between brain and the blood plasma, and has reduced the amount of amyloid-β in the brain.
151. each pharmaceutical composition in the aforementioned pharmaceutical composition claim, wherein said compound can be contrary or the deposition that promotes to change amyloid in the amyloid beta deposition patient body.
152. promoting macula lutea to remove or reduce in amyloid deposition patient body, each pharmaceutical composition in the aforementioned pharmaceutical composition claim, wherein said compound deposit.
153. each pharmaceutical composition in the aforementioned pharmaceutical composition claim, wherein with respect to the patient who does not receive treatment, described compound reduces the concentration of amyloid in patient's brain.
154. each pharmaceutical composition in the aforementioned pharmaceutical composition claim, wherein said compound penetrates into brain.
155. each pharmaceutical composition in the aforementioned pharmaceutical composition claim, it is non-filamentous form that wherein said compound is kept Zulkovsky starch sample albumen.
156. each pharmaceutical composition in the aforementioned pharmaceutical composition claim, wherein with respect to the patient who does not receive treatment, described compound increases Zulkovsky starch sample albumen from patient's CSF or the clearance rate the brain.
157. each pharmaceutical composition in the aforementioned pharmaceutical composition claim, the interaction between wherein said compound inhibition or reduction amyloid-β and the cell surface component.
158. each pharmaceutical composition in the aforementioned pharmaceutical composition claim, glycoprotein or proteoglycan that wherein said cell surface component is a basement membrane.
159. each pharmaceutical composition in the aforementioned pharmaceutical composition claim, wherein said amyloid-β are to have 39-43 amino acid whose peptide.
160. each pharmaceutical composition in the aforementioned pharmaceutical composition claim, wherein said amyloid-β are to generate peptide by the amyloid that β APP produces.
161. each pharmaceutical composition in the aforementioned pharmaceutical composition claim, wherein said amyloid-related diseases are mild cognitive damage or mild or moderate cognitive impairment.
162. each pharmaceutical composition in the aforementioned pharmaceutical composition claim, wherein said amyloid-related diseases is a vascular dementia.
163. each pharmaceutical composition in the aforementioned pharmaceutical composition claim, wherein said amyloid vascular disease are Alzheimer's.
164. the pharmaceutical composition of claim 163, wherein said Alzheimer's are sporadic (nongenetic) Alzheimer's, early stage Alzheimer's, or familial (heredity) Alzheimer's.
165. each pharmaceutical composition in the aforementioned pharmaceutical composition claim, wherein said amyloid-related diseases is an AA amyloidosis, AL amyloidosis, β2M amyloidosis, or diabetes.
166. each pharmaceutical composition in the aforementioned pharmaceutical composition claim, wherein said amyloid-related diseases are cerebral amyloid angiopathy or heredity cerebral hemorrhage.
167. each pharmaceutical composition in the aforementioned pharmaceutical composition claim, wherein said amyloid-related diseases is a senile dementia, Down's syndrome, mild cognitive damage, inclusion body myositis, or age-related macular degeneration.
168. each pharmaceutical composition in the aforementioned pharmaceutical composition claim, wherein said amyloid-related diseases is familial amyloid polyneuropathy (FAP), senile SA, familial amyloidosis, the non-neuropathic amyloidosis of Ostertag type, cranial nerve disease, hereditary cerebral hemorrhage, familial idiocy disease, chronic dialysis disease, familial Ke-Ya Shi disease; Ge-Shi-Sha syndromes, heredity spongiform encephalopathy, prion disease, familial Mediterranean fever, Mu-Wei syndromes, ephrosis, deafness, Xun's measles, pain on the extremities, myocardosis, skin thesaurismosis, multiple myeloma, benign monoclonal gammopathy, macroglobulinemia, myelomatosis dependency amyloidosis, Tiroidina bone marrow cancer, isolatism atrium amyloid disease, or diabetes.
169. each pharmaceutical composition in the aforementioned pharmaceutical composition claim, wherein said pharmaceutical composition further comprises pharmaceutically useful acid, alkali, buffer reagent, inorganic salt, solvent or sanitas.
170. each pharmaceutical composition in the aforementioned pharmaceutical composition claim further comprises the compound of the brain bioavailability that can increase described compound.
171. each pharmaceutical composition in the aforementioned pharmaceutical composition claim, wherein said compound dissolution is in the pharmaceutically acceptable vehicle of liquid state.
172. being the forms with the uniform mixture in capsule or pill, each pharmaceutical composition in the aforementioned pharmaceutical composition claim, wherein said compound exist.
173. each described method in the preceding method claim, wherein the deposition of amyloid reduces 15% at least in patient's body.
174. each described method in the preceding method claim, wherein the deposition of amyloid reduces 40% at least in patient's body.
175. each described method in the preceding method claim, wherein the deposition of amyloid is reduced by at least 60% in patient's body.
176. each described method in the preceding method claim, wherein the deposition of amyloid is reduced by at least 80% in patient's body.
177. method that is used to suppress patient's amyloid beta deposition, it comprises makes body fluid and claim 1-58 each or each table contact with the compound or pharmaceutically acceptable salt thereof described in the figure, and described body fluid is awarded this patient, thereby suppress the amyloid beta deposition in described patient's body.
178. the method for claim 177, wherein said body fluid is blood.
179. the method for claim 177 or 178, wherein said body fluid contacts with described compound by (exvivo) mode in the halfbody.
180. the method for claim 179, wherein said patient suffers from hemodialysis-associated amyloidosis.
181. each method of preceding method claim, wherein said amyloid-related diseases is diabetes, has wherein stablized glucemia.
182. each method of preceding method claim, wherein said amyloid-related diseases is diabetes, wherein prevents or has reduced the mass loss of β cell.
183. each method of preceding method claim, wherein said amyloid-related diseases is diabetes, has wherein reduced the hyperglycemia that is caused by the mass loss of β cell.
184. each method of preceding method claim, wherein said amyloid-related diseases is diabetes, has wherein stablized the variation of the ratio of pro-IAPP/IAPP.
185. each method of preceding method claim, wherein said amyloid-related diseases is diabetes, has wherein regulated the generation of Regular Insulin.
186. the generation of Regular Insulin is wherein stablized or increased to the method for claim 185.
187. the front relates to β2Each method in the claim to a method of M wherein prevents or has reduced the gathering of protofibril in described patient joint.
188. each method of preceding method claim, wherein said amyloid-related diseases is by alleviating or preventing inflammation and treated or prevent.
189. a method that prevents, slows down or stop disease process, it comprises each the compound to the claim 1-76 of patient's effective dosage, thereby prevents, slows down or stop the progress of this disease.
190. the method for claim 208, wherein said disease are the mild cognitive damages, mild or moderate cognitive impairment, vascular dementia, Alzheimer's, cerebral amyloid angiopathy, heredity cerebral hemorrhage, senile dementia, Down's syndrome, inclusion body myositis, or age-related macular degeneration.
191. method that is used for the treatment of patient's amyloid-related diseases, it comprises: before each compound of administration claim 1-57 the patient is carried out Cognitive Aptitude Test, then to the described compound of patient's effective dosage, and after the described compound of administration, the patient is carried out Cognitive Aptitude Test, thereby treat described patient's amyloid-related diseases, wherein improved the score of patient at described Cognitive Aptitude Test
192. the method for claim 191, wherein said Cognitive Aptitude Test is CDR, MMSE or ADAS-Cog.
193. the method for claim 191 or 192, wherein patient's score is kept.
194. the method for claim 191 or 1921, wherein said Cognitive Aptitude Test are CDR or ADAS-Cog, have wherein reduced described patient's score.
195. the method for claim 191 or 192, wherein said Cognitive Aptitude Test is MMSE, has wherein improved patient's score.
196. the method for claim 191, wherein the score of patient in CDR or ADAS-Cog gathers way and is lower than the control group of not receiving treatment.
197. the method for claim 191, wherein the score of patient in MMSE underspeeds and is lower than the control group of not receiving treatment.
198. each method of claim 191-197, wherein said amyloid-related diseases are the mild cognitive damages, mild or moderate cognitive impairment, vascular dementia, Alzheimer's, senile dementia, or Down's syndrome.
199. each described method of preceding method claim, wherein the amyloid oxo is the AH amyloid, AL amyloid, amyloid λ, amyloid κ, amyloid κ IV, amyloid γ, or amyloid γ 1.
200. method that is used to reduce or prevent amyloid beta deposition, it comprises each the compound to patient's administration claim 1-76 of needs, wherein said amyloid is the AH amyloid, the AL amyloid, amyloid λ, amyloid κ, amyloid κ IV, amyloid γ, or amyloid γ 1.
201. method that is used to reduce the speed that organ dysfunction changes due to the amyloid beta deposition, it comprises each or each table and the compound described in the structure iron to patient's administration claim 1-57 of needs, thereby reduces the speed that organ dysfunction changes due to the amyloid beta deposition.
202. one kind is used to suppress the method that protofibril forms, it comprises each or each table and the compound described in the structure iron to the claim 1-57 of patient's effective dosage, wherein said significant quantity is arrestin-protein-interacting effectively, thereby suppresses fibriilar formation.
203. a method that is used for the treatment of CAA or heredity cerebral hemorrhage, it comprises claim 1-76 each or each table and the compound described in the structure iron of effective dosage, and wherein said significant quantity can reduce the recurrence of bleeding episodes effectively.
CN 2004800242502003-06-232004-06-21 Methods and compositions for treating amyloid-related diseasesPendingCN1842518A (en)

Applications Claiming Priority (5)

Application NumberPriority DateFiling DateTitle
US48090603P2003-06-232003-06-23
US60/480,9062003-06-23
US60/512,0472003-10-17
US10/871,3652004-06-18
US10/871,5142004-06-18

Publications (1)

Publication NumberPublication Date
CN1842518Atrue CN1842518A (en)2006-10-04

Family

ID=37016146

Family Applications (4)

Application NumberTitlePriority DateFiling Date
CN 200480024250PendingCN1842518A (en)2003-06-232004-06-21 Methods and compositions for treating amyloid-related diseases
CNB2004800237581AExpired - Fee RelatedCN100528840C (en)2003-06-232004-06-21Improved drug candidates and methods for their preparation
CN200910139819.5AExpired - Fee RelatedCN101597196B (en)2003-06-232004-06-21Improved drug candidate and preparation method thereof
CN2004800242077AExpired - Fee RelatedCN1839118B (en)2003-06-232004-06-21 Methods and compositions for treating amyloid-related diseases

Family Applications After (3)

Application NumberTitlePriority DateFiling Date
CNB2004800237581AExpired - Fee RelatedCN100528840C (en)2003-06-232004-06-21Improved drug candidates and methods for their preparation
CN200910139819.5AExpired - Fee RelatedCN101597196B (en)2003-06-232004-06-21Improved drug candidate and preparation method thereof
CN2004800242077AExpired - Fee RelatedCN1839118B (en)2003-06-232004-06-21 Methods and compositions for treating amyloid-related diseases

Country Status (2)

CountryLink
CN (4)CN1842518A (en)
ZA (1)ZA200509647B (en)

Families Citing this family (9)

* Cited by examiner, † Cited by third party
Publication numberPriority datePublication dateAssigneeTitle
SI2089417T1 (en)*2006-10-122015-04-30Bhi Limited PartnershipMethods, compounds, compositions and vehicles for delivering 3-amino-1-propanesulfonic acid
CN101845003A (en)*2010-01-292010-09-29华东理工大学N-tris (hydroxymethyl) methyl-3-aminopropanesulfonic acid compound and preparation method thereof
EP2472321A1 (en)*2010-12-312012-07-04Rohm and Haas Electronic Materials LLCMethod of preparing photoacid-generating monomer
WO2017027582A1 (en)*2015-08-102017-02-16Alzheon, Inc.Compositions and methods for treating and preventing neurodegenerative disorders
JP6675167B2 (en)*2015-08-282020-04-01シスメックス株式会社 Method for releasing and recovering peptide, peptide releasing agent and reagent kit
CN114805211B (en)*2017-03-212024-08-23润佳(苏州)医药科技有限公司Isotopically enriched 3-amino-1-propanesulfonic acid derivatives, pharmaceutical compositions and uses thereof
CN109020842B (en)*2018-06-012021-05-14万华化学集团股份有限公司Preparation method of taurine ammonia
CN116059192B (en)2019-11-132024-10-29润佳(苏州)医药科技有限公司Use of isotopically enriched 3-amino-1-propanesulfonic acid and derivatives thereof
CN115433528B (en)*2022-10-172024-07-19佛山市奥川顺新材料实业有限公司PET protective film and preparation method thereof

Family Cites Families (6)

* Cited by examiner, † Cited by third party
Publication numberPriority datePublication dateAssigneeTitle
GB1319841A (en)*1970-10-141973-06-13Rech Et Dapplications Scient SQuinine alkaloid derivatives
US4085134A (en)*1974-02-151978-04-18Petrolite CorporationAmino-phosphonic-sulfonic acids
US5643562A (en)*1993-03-291997-07-01Queen's University Of KingstonMethod for treating amyloidosis
US6562836B1 (en)*1999-05-242003-05-13Queen's University Of KingstonMethods and compounds for inhibiting amyloid deposits
CA2375628A1 (en)*1999-07-092001-01-18Isis Innovation LimitedCompounds for inhibiting diseases and preparing cells for transplantation
CN1200929C (en)*2003-04-092005-05-11四川科伦大药厂有限责任公司Method of preparing 3-amino propane sulfonic acid

Also Published As

Publication numberPublication date
CN1839118A (en)2006-09-27
ZA200509647B (en)2008-04-30
CN101597196A (en)2009-12-09
CN100528840C (en)2009-08-19
CN1839118B (en)2010-06-16
CN101597196B (en)2016-05-04
CN1839117A (en)2006-09-27

Similar Documents

PublicationPublication DateTitle
JP5146714B2 (en) Methods and compositions for treating amyloid-related diseases
US7598269B2 (en)Methods and compositions for treating amyloid-related diseases
JP5145537B2 (en) Methods and compositions for treating amyloid-related diseases
JP2008520647A (en) Compounds for the treatment of CNS and amyloid-related diseases
JP5853035B2 (en) 3,4-Dihydro-pyrrolo [1,2-a] pyrazin-1-ylamine derivatives useful as inhibitors of β-secretase (BACE)
CN1842518A (en) Methods and compositions for treating amyloid-related diseases
US11963953B2 (en)Deuterated compounds for restoring mutant p53 function
US20050038000A1 (en)Methods and compositions for the treatment of amyloid-and epileptogenesis-associated diseases
US20250289803A1 (en)Selective ligands for tau aggregates
JP2008519822A (en) Methods and fluorinated compositions for treating amyloid-related diseases
EP4452943A2 (en)Small molecule inhibitors of mammalian slc6a19 function
JP2012176963A (en)Improved pharmaceutical drug candidate and method for preparation thereof
JP2023507180A (en) OGA inhibitor compounds
CN1882375A (en)Treatment of amyloid- and epileptogenesis-associated diseases
JP2007526228A (en) Methods and compositions for the treatment of amyloid-related diseases and epilepsy-related diseases
AU2013206030B2 (en)Methods and compositions for treating amyloid-related diseases
CN1838946A (en) Pharmaceutical formulations of amyloid inhibitory compounds
HK1240913B (en)Methods, compounds, compositions and vehicles for delivering 3-amino-1-propanesulfonic acid

Legal Events

DateCodeTitleDescription
C06Publication
PB01Publication
C10Entry into substantive examination
SE01Entry into force of request for substantive examination
ASSSuccession or assignment of patent right

Owner name:NERVE CHEMICAL ( INTERNATIONAL) LIMITED

Free format text:FORMER OWNER: NERVE CHEMICAL ( INTERNATIONAL) LIMITED; APPLICANT

Effective date:20070511

C41Transfer of patent application or patent right or utility model
TA01Transfer of patent application right

Effective date of registration:20070511

Address after:Walters, Switzerland

Applicant after:Neurochem Inc.

Address before:Walters, Switzerland

Applicant before:Neurochem Inc.

Co-applicant before:Univ Kingston

C02Deemed withdrawal of patent application after publication (patent law 2001)
WD01Invention patent application deemed withdrawn after publication

[8]ページ先頭

©2009-2025 Movatter.jp