Movatterモバイル変換


[0]ホーム

URL:


CN1654456A - A pyrazole-containing bishydrazide compound, its preparation method and its use - Google Patents

A pyrazole-containing bishydrazide compound, its preparation method and its use
Download PDF

Info

Publication number
CN1654456A
CN1654456ACN 200510048934CN200510048934ACN1654456ACN 1654456 ACN1654456 ACN 1654456ACN 200510048934CN200510048934CN 200510048934CN 200510048934 ACN200510048934 ACN 200510048934ACN 1654456 ACN1654456 ACN 1654456A
Authority
CN
China
Prior art keywords
pyrazole
methyl
ethyl
compound
containing bishydrazide
Prior art date
Legal status (The legal status is an assumption and is not a legal conclusion. Google has not performed a legal analysis and makes no representation as to the accuracy of the status listed.)
Pending
Application number
CN 200510048934
Other languages
Chinese (zh)
Inventor
谭成侠
沈德隆
翁建全
曹耀艳
Current Assignee (The listed assignees may be inaccurate. Google has not performed a legal analysis and makes no representation or warranty as to the accuracy of the list.)
Zhejiang University of Technology ZJUT
Original Assignee
Zhejiang University of Technology ZJUT
Priority date (The priority date is an assumption and is not a legal conclusion. Google has not performed a legal analysis and makes no representation as to the accuracy of the date listed.)
Filing date
Publication date
Application filed by Zhejiang University of Technology ZJUTfiledCriticalZhejiang University of Technology ZJUT
Priority to CN 200510048934priorityCriticalpatent/CN1654456A/en
Publication of CN1654456ApublicationCriticalpatent/CN1654456A/en
Pendinglegal-statusCriticalCurrent

Links

Landscapes

Abstract

The present invention relates to one kind of pyrazolyl dihydrazide containing compound and its preparation process and use. The pyrazolyl dihydrazide containing compound is shown in I, and its preparation process includes the following steps: the condensation between 1-methyl-3-ethyl-4-substitutent-pyrazolyl dihydrazide and substituted phenyl formyl chloride inside organic solvent at 0-20 deg.c, and the post-treatment. The pyrazolyl dihydrazide containing compound has certain preventing effect on rice blast, cucumber botrytis and wheat powdery mildew and certain pesticidal activity on armyworm.

Description

A kind of pyrazole-containing bishydrazide compound, preparation method and its usage
(1) technical field
The present invention relates to a kind of pyrazole-containing bishydrazide compound, preparation method and its usage.
(2) background technology
Pyrazole compound is being played the part of important role in heterocyclic pesticide.Because that pyrazole compound shows is efficient, low toxicity and diversity structure, thereby has boundless research and development prospect.Before the present invention makes, there is the pesticide patent of relevant bishydrazide structure to occur abroad, tertiary butyl structure is arranged in the bishydrazide structure and do not have heterocycle structure.Domestic Lee rectifies name etc. pyrazole heterocycle and non-benzene ring structure is replaced two phenyl ring in two heterocycle structures, obtains a series ofly having-bishydrazide compound of CONH-structure, shows certain insecticidal activity.
(3) summary of the invention
The object of the invention is to provide a kind of pyrazole-containing bishydrazide compound of biologically active.
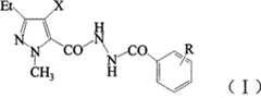
Described pyrazole-containing bishydrazide compound is suc as formula shown in (I):
Figure A20051004893400041
Wherein X represents Cl, Br, R represent methylidene, nitro or chlorine atom.
A kind of preparation method of above-mentioned pyrazole-containing bishydrazide compound, comprise the steps: suc as formula the substituted-phenyl formyl chloride shown in the 1-methyl shown in (II)-3-ethyl-4-replacement-pyrazole-containing bishydrazide and the formula (III) under the acid-capture agent effect, carry out condensation reaction at 0~20 ℃ in organic solvent, aftertreatment gets product;
Figure A20051004893400051
Wherein X and R definition is the same.
Based on the consideration of productive rate and cost, described condensation reaction time was good with 1~50 hour.
Described substituted-phenyl formyl chloride: 1-methyl-3-ethyl-4-replacement-pyrazole-containing bishydrazide: the molar ratio of acid-capture agent is preferably 1: 1.0~and 1.5: 1.0~2.0, described consumption of organic solvent is preferably 20~60 times of 1-methyl-3-ethyl-4-replacement-pyrazole-containing bishydrazide quality.
It is one of following that described acid-capture agent is preferably: triethylamine, pyridine, lutidine, Anhydrous potassium carbonate.
It is one of following that described organic solvent is preferably: tetrahydrofuran (THF), ethyl acetate, toluene, chlorobenzene, trichloromethane.
Described aftertreatment can be: use dilute hydrochloric acid washing reaction liquid to neutral, and layering, the organic phase drying is filtered, and concentrates, and column chromatography for separation gets described pyrazole-containing bishydrazide compound.
The preparation method of described pyrazole-containing bishydrazide compound recommends to be undertaken by following parameter:
The substituted-phenyl formyl chloride: 1-methyl-3-ethyl-4-replacement-pyrazole-containing bishydrazide: the molar ratio of acid-capture agent is 1: 1.0~1.1: 1.2~1.4, and consumption of organic solvent is 5~20 times of 1-methyl-3-ethyl-4-replacement-pyrazole-containing bishydrazide quality; Setting-up point is 0~20 ℃, and the reaction times is 10~20 hours.
Described 1-methyl-3-ethyl-4-replacement-pyrazole-containing bishydrazide can adopt following method to make:
1-methyl-3-ethyl-4-replacement-5-pyrazole carboxylic acid ethyl ester and excess hydrazine hydrate are carried out the stirring and refluxing reaction, and reaction finishes the back concentrating under reduced pressure, uses ethyl alcohol recrystallization, gets white, needle-shaped crystals and is described product.
Above-mentioned pyrazole-containing bishydrazide compound is as the application of insectofungicide.
Adopt toxic potato agar substratum (PDA) method that the fungicidal activity that the synthetic compound has carried out Pyricularia oryzae (Pyricularia oryzae), fusarium graminearum (Gibberella zeae), Phytophthora capsici germ (Phytophthora capsici) and botrytis cinerea pers (Botrytis cinerea) is measured, adopt potted plant stem and leaf of Wheat to preserve the spore method fungicidal activity that the synthetic compound has carried out wheat powdery mildew (Blumeria graminis) is measured.The result shows that described pyrazole-containing bishydrazide compound does not have the preventive effect effect substantially to fusarium graminearum, Phytophthora capsici germ, and rice blast fungus, botrytis cinerea pers, wheat powdery mildew are had different preventive effect effects.
Adopt the Potter spray method that the synthetic compound has been carried out the insecticidal activity assay of mythimna separata (Mythimna separata), adopt dipping plant method the synthetic compound to be carried out the insecticidal activity assay of green rice leafhopper (Nephotettix cincticeps).The result shows that described pyrazole-containing bishydrazide compound does not have insecticidal activity substantially to green rice leafhopper, and mythimna separata is had certain insecticidal activity, X=Cl especially, R=3-NO2Formula (I) compound the inhibition activity of mythimna separata is reached 100%.
(4) embodiment
Below by embodiment the present invention is further specified, but protection scope of the present invention is not limited to this.
Embodiment 1
4.05g (20mmol) 1-methyl-3-ethyl-4-chloro-5-pyrazoles formyl hydrazine and 2.4g (24mmol) triethylamine are joined in the 40mL chloroform soln, drip 19mmol 3-nitrobenzoyl chloride under ice bath stirs, 30min drips complete, react 20h then in about 7 ℃, reaction is finished, and is extremely neutral with diluted hydrochloric acid aqueous solution washing reaction liquid, layering, the organic phase drying is filtered, and concentrates, ethyl alcohol recrystallization, obtain white solid, fusing point 232-234 ℃, yield is 92%.
This compound1H NMR and IR are as described below,
1H?NMR(DMSO-d6,δ/ppm)1.26(3H,t,J=4.4Hz,CH2CH3),2.65(2H,q,CH2CH3),4.16(3H,s,NCH3),7.27-8.72(4H,m,Ph-H),9.5(1H,s,PyCONHNH),9.59(1H,s,PyCONHNH)
IR(KBr,VCO/cm-1)1606
Embodiment 2
4.05g (20mmol) 1-methyl-3-ethyl-4-chloro-5-pyrazoles formyl hydrazine and 2.0g (22mmol) lutidine are joined in the 70mL toluene solution, and ice bath stirs and drips 19mmol 3-methyl benzoyl chloride down, and it is complete that 40min drips, in about 3 ℃, react 10h then, reaction is finished, and is extremely neutral with diluted hydrochloric acid aqueous solution washing reaction liquid, layering, the organic phase drying, filter, concentrate, use ethyl alcohol recrystallization, obtain white solid, fusing point 178-180 ℃.Yield is 90%.
This compound1H NMR and IR are as described below,
1H?NMR(DMSO-d6,δ/ppm)1.26(3H,t,J=4.75Hz,CH2CH3),2.40(3H,s,Ph-CH3),2.65(2H,q,CH2CH3),4.12(3H,s,NCH3),7.32-7.69(4H,m,Ph-H),9.21(1H,d,J=3.5Hz,PyCONHNH),9.63(1H,d,J=3.75Hz,PyCONHNH)
IR(KBr,VCO/cm-1)1602
Embodiment 3
4.05g (20mmol) 1-methyl-3-ethyl-4-chloro-5-pyrazoles formyl hydrazine and 1.85g (23mmol) pyridine are joined in the 40mL ethyl acetate solution, drip 19mmol 3-chloro-benzoyl chloride under ice bath stirs, 30min drips complete, in about 10 ℃, react 15h then, reaction is finished, and is extremely neutral with diluted hydrochloric acid aqueous solution washing reaction liquid, layering, the organic phase drying, filter, concentrate, use ethyl alcohol recrystallization, obtain white solid, fusing point 186-188 ℃.Yield is 53%.
This compound1H NMR and IR are as described below,
1H?NMR(DMSO-d6,δ/ppm)1.16(3H,t,J=4.6Hz,CH2CH3),2.54(2H,q,CH2CH3),3.91(3H,s,NCH3),7.45-7.58(4H,m,Ph-H),10.50(1H,s,PyCONHNH),10.59(1H,s,PyCONHNH)
IR(KBr,VCO/cm-1)1602
Embodiment 4
4.94g (20mmol) 1-methyl-3-ethyl-4-bromo-5-pyrazoles formyl hydrazine and 1.85g (23mmol) pyridine are joined in the 30mL chlorobenzene solution, drip 19mmol 3-nitrobenzoyl chloride under ice bath stirs, 30min drips complete, reacts 16h then in about 6 ℃, reaction is finished, extremely neutral with diluted hydrochloric acid aqueous solution washing reaction liquid, layering, organic phase drying, filter, use ethyl alcohol recrystallization, obtain white solid, fusing point 207-208 ℃.Yield is 93%.
This compound1H NMR and IR are as described below,
1H?NMR(DMSO-D6,δ/ppm)1.20(3H,t,J=4.5Hz,CH2CH3),2.56(2H,q,CH2CH3),3.94(3H,s,NCH3),7.84-8.78(4H,m,Ph-H),10.76(1H,s,PyCONHNH),11.19(1H,s,PyCONHNH)
IR(KBr,VCO/cm-1)1607
Embodiment 5
4.94g (20mmol) 1-methyl-3-ethyl-4-bromo-5-pyrazoles formyl hydrazine and 3.17g (23mmol) Anhydrous potassium carbonate are joined in the 50ml chlorobenzene solution, drip 19mmol 3-methyl benzoyl chloride under ice bath stirs, 30min drips complete, reacts 15h then in about 8 ℃, reaction is finished, extremely neutral with diluted hydrochloric acid aqueous solution washing reaction liquid, layering, organic phase drying, filter, use ethyl alcohol recrystallization, obtain white solid, fusing point 183-185 ℃.Yield is 91%.
This compound1H NMR and IR are as described below,
1H?NMR(DMSO-D6,δ/ppm)1.26(3H,t,J=4.75Hz,CH2CH3),2.42(3H,s,Ph-CH3),2.66(2H,q,CH2CH3),4.15(3H,s,NCH3),7.35-7.69(4H,m,Ph-H),9.12(1H,d,J=3.75Hz,PyCONHNH),9.76(1H,d,J=4.0Hz,PyCONHNH)
IR(KBr,VCO/cm-1)1607
Embodiment 6
4.94g (20mmol) 1-methyl-3-ethyl-4-bromo-5-pyrazoles formyl hydrazine and 2.4g (24mmol) triethylamine are joined in the 60mL ethyl acetate solution, drip 19mmol 3-chloro-benzoyl chloride under ice bath stirs, 30min drips complete, reacts 18h then in about 3 ℃, reaction is finished, extremely neutral with diluted hydrochloric acid aqueous solution washing reaction liquid, layering, organic phase drying, filter, use ethyl alcohol recrystallization, obtain white solid, fusing point 194-195 ℃.Yield is 92%.
This compound1H NMR and IR are as described below,
1H?NMR(DMSO-D6,δ/ppm)1.26(3H,t,J=4.5Hz,CH2CH3),2.66(2H,q,CH2CH3),4.13(3H,s,NCH3),7.37-7.89(4H,m,Ph-H),9.61(1H,d,J=3.7Hz,PyCONHNH),9.86(1H,d,J=3.75Hz,PyCONHNH)
IR(KBr,VCO/cm-1)1600
Embodiment 7
The trichloromethane consumption changes 54ml (81g) into, and other is operated with embodiment 1, obtains white solid, and fusing point 232-234 ℃, yield is 89%.
Embodiment 8
The trichloromethane consumption changes 13.6ml (20.25g) into, and other is operated with embodiment 1, obtains white solid, and fusing point 232-234 ℃, yield is 90%.
Embodiment 9
Acid-capture agent changes 3.59g (26mmol) Anhydrous potassium carbonate into, and other are operated with embodiment 1, obtain white solid, and fusing point 232-234 ℃, yield is 90%.
Embodiment 10
3-nitrobenzoyl chloride consumption changes 20mmol into, and other are operated with embodiment 1, obtain white solid, and fusing point 232-234 ℃, yield is 91%.
Embodiment 11
Organic solvent changes the 80mL tetrahydrofuran (THF) into, and other are operated with embodiment 1, obtain white solid, and fusing point 232-234 ℃, yield is 89%.
Embodiment 12
Temperature of reaction is adjusted to 20 ℃, and other are operated with embodiment 1, obtain white solid, and fusing point 232-234 ℃, yield is 90%.
The test of embodiment 13 fungicidal activities
Adopt toxic potato agar substratum (PDA) method that the fungicidal activity that embodiment 1~6 synthetic compound has carried out Pyricularia oryzae (Pyricularia oryzae), fusarium graminearum (Gibberella zeae), Phytophthora capsici germ (Phytophthora capsici) and botrytis cinerea pers (Botrytiscinerea) is measured, general sieve concentration is 25ppm; Adopt the toxic potato agar substratum of excised leaf (PDA) method that the fungicidal activity that the synthetic compound has carried out Rhizoctonia solani Kuhn (Rhizoctoniasolani) is measured, general sieve concentration is 500ppm; Adopt potted plant toxic potato agar substratum (PDA) method that the fungicidal activity that the synthetic compound has carried out Sclerotinia sclerotiorum (Sclerotoniasclerotiorum) is measured, general sieve concentration is 500ppm; Adopt potted plant stem and leaf of Wheat to preserve the spore method fungicidal activity that the synthetic compound has carried out wheat powdery mildew (Blumeria graminis) is measured, general sieve concentration is 500ppm.Test result sees Table 1.
Table 1 pyrazole-containing bishydrazide compound is to the restraining effect of germ
The embodiment titleFormula (I) compoundConcentration (ug/ml)Fusarium graminearumThe Phytophthora capsici germRice blast fungusBotrytis cinerea persConcentration (ug/ml)Wheat powdery mildew
??X?RPreventive effect (%)Preventive effect (%)Preventive effect (%)Preventive effect (%)Preventive effect (%)
Embodiment 1 ??Cl ?3-CH3 ????25 ????2.6 ????0 ????10.2 ????6.4 ????500 ???10.0
Embodiment 2 ??Cl ?3-NO2 ????25 ????0 ????0 ????51.3 ????6.4 ????500 ???10.0
Embodiment 3 ??Cl ?2-Cl ????25 ????0 ????0 ????20.5 ????19.1 ????500 ???10.0
Embodiment 4 ??Br ?3-CH3 ????25 ????18.6 ????0 ????20.5 ????0 ????500 ???20.0
Embodiment 5 ??Br ?3-NO2 ????25 ????0 ????0 ????21.2 ????15.9 ????500 ???0
Embodiment 6 ??Br ??2-Cl ???25 ???0 ???0 ???56.1 ???4.4 ???500 ???0
The test of embodiment 14 insecticidal activities
Adopt the Potter spray method that embodiment 1~6 synthetic compound has been carried out the insecticidal activity assay of mythimna separata (Mythimnaseparata), working concentration is 1000mg/L; Adopt dipping plant method that the synthetic compound has been carried out the insecticidal activity assay of green rice leafhopper (Nephotettix cincticeps), working concentration is 500mg/L.Test result sees Table 2.
Mortality ratio is being the A level more than 90%, is the B level between 70~90%, is the C level between 50~70%, is the D level between 0~50%.
Table 2 pyrazole-containing bishydrazide compound is to the killing action of insect
The embodiment titleFormula (I) compoundLeafhopperMythimna separata
????X ??RMortality ratio (%)The virulence rankMortality ratio (%)The virulence rank
Embodiment 1 ????Cl ??3-CH3 ????0 ????D ????0 ????D
Embodiment 2 ????Cl ??3-NO2 ????100 ????A ????0 ????D
Embodiment 3 ????Cl ??2-Cl ????0 ????D ????0 ????D
Embodiment 4 ????Br ??3-CH3 ????10.0 ????D ????0 ????D
Embodiment 5 ????Br ??3-NO2 ????4.80 ????D ????0 ????D
Embodiment 6 ????Br ??2-Cl ????4.60 ????D ????0 ????D

Claims (10)

1, suc as formula the pyrazole-containing bishydrazide compound shown in (I),
Figure A2005100489340002C1
Wherein X is Cl or Br, and R is methyl, nitro or chlorine.
2, pyrazole-containing bishydrazide compound as claimed in claim 1 is characterized in that described X is Br.
3, pyrazole-containing bishydrazide compound as claimed in claim 1 is characterized in that described X is Cl, and R is a nitro.
4, a kind of preparation method of pyrazole-containing bishydrazide compound according to claim 1, comprise the steps: suc as formula the substituted-phenyl formyl chloride shown in the 1-methyl shown in (II)-3-ethyl-4-replacement-pyrazole-containing bishydrazide and the formula (III) under the acid-capture agent effect, carry out condensation reaction at 0~20 ℃ in organic solvent, aftertreatment gets product;
Figure A2005100489340002C2
Wherein X is Cl or Br, and R is methyl, nitro or chlorine.
5, the preparation method of pyrazole-containing bishydrazide compound as claimed in claim 4 is characterized in that described condensation reaction time is 1~50 hour.
6, the preparation method of pyrazole-containing bishydrazide compound as claimed in claim 4, it is characterized in that described substituted-phenyl formyl chloride: 1-methyl-3-ethyl-4-replacement-pyrazole-containing bishydrazide: the molar ratio of acid-capture agent is 1: 1.0~1.5: 1.0~2.0, and described consumption of organic solvent is 20~60 times of 1-methyl-3-ethyl-4-replacement-pyrazole-containing bishydrazide quality.
7, the preparation method of pyrazole-containing bishydrazide compound as claimed in claim 4, it is characterized in that described acid-capture agent is one of following: triethylamine, pyridine, lutidine, Anhydrous potassium carbonate, described organic solvent are one of following: tetrahydrofuran (THF), ethyl acetate, toluene, chlorobenzene, trichloromethane.
8, as the preparation method of the described pyrazole-containing bishydrazide compound of one of claim 4~7, it is characterized in that described 1-methyl-3-ethyl-4-replacement-pyrazole-containing bishydrazide makes by following method: 1-methyl-3-ethyl-4-replacement-5-pyrazole carboxylic acid ethyl ester and excess hydrazine hydrate are carried out the stirring and refluxing reaction, reaction finishes the back concentrating under reduced pressure, gets white, needle-shaped crystals and is 1-methyl-3-ethyl-4-replacement-pyrazole-containing bishydrazide.
9, the preparation method of pyrazole-containing bishydrazide compound as claimed in claim 8, it is characterized in that described substituted-phenyl formyl chloride: 1-methyl-3-ethyl-4-replacement-pyrazole-containing bishydrazide: the molar ratio of acid-capture agent is 1: 1.0~1.1: 1.2~1.4, and described consumption of organic solvent is 5~20 times of 1-methyl-3-ethyl-4-replacement-pyrazole-containing bishydrazide quality; Condensation reaction time is 10~20 hours.
10, the described pyrazole-containing bishydrazide compound of claim 1 is as the application of insectofungicide.
CN 2005100489342005-01-192005-01-19 A pyrazole-containing bishydrazide compound, its preparation method and its usePendingCN1654456A (en)

Priority Applications (1)

Application NumberPriority DateFiling DateTitle
CN 200510048934CN1654456A (en)2005-01-192005-01-19 A pyrazole-containing bishydrazide compound, its preparation method and its use

Applications Claiming Priority (1)

Application NumberPriority DateFiling DateTitle
CN 200510048934CN1654456A (en)2005-01-192005-01-19 A pyrazole-containing bishydrazide compound, its preparation method and its use

Publications (1)

Publication NumberPublication Date
CN1654456Atrue CN1654456A (en)2005-08-17

Family

ID=34894493

Family Applications (1)

Application NumberTitlePriority DateFiling Date
CN 200510048934PendingCN1654456A (en)2005-01-192005-01-19 A pyrazole-containing bishydrazide compound, its preparation method and its use

Country Status (1)

CountryLink
CN (1)CN1654456A (en)

Cited By (7)

* Cited by examiner, † Cited by third party
Publication numberPriority datePublication dateAssigneeTitle
CN103483313A (en)*2013-09-032014-01-01南开大学Novel hydrazide derivatives as well as preparation method and application thereof
CN104193681A (en)*2014-08-082014-12-10一帆生物科技集团有限公司Preparation and application of 4-chlorine-3-ethyl-1-methyl-N'-(2-substituted phenoxy acetyl)-1H-pyrazol-5-carbohydrazide compounds
CN104744358A (en)*2014-07-242015-07-01浙江工业大学Pyridine formylhydrazine compounds with insecticidal activity and preparation method and application thereof
CN105777639A (en)*2016-01-262016-07-20浙江博仕达作物科技有限公司Pyrazole hydrazide compound and use thereof
CN110256361A (en)*2019-05-082019-09-20湖南人文科技学院A kind of bishydrazide compounds and preparation method thereof of the structure fragment of ketone containing phenyl pyrimidine
WO2022147993A1 (en)*2021-01-052022-07-14西北农林科技大学Diphenylpyrazole compound, and preparation method therefor and application thereof
CN116947841A (en)*2023-07-182023-10-27西安聚力安泰能源科技有限公司Preparation method of 5,5 '-bis (3, 5-dinitropyrazolyl) -2,2' -bis (1, 3, 4-oxadiazole)

Cited By (9)

* Cited by examiner, † Cited by third party
Publication numberPriority datePublication dateAssigneeTitle
CN103483313A (en)*2013-09-032014-01-01南开大学Novel hydrazide derivatives as well as preparation method and application thereof
CN104744358A (en)*2014-07-242015-07-01浙江工业大学Pyridine formylhydrazine compounds with insecticidal activity and preparation method and application thereof
CN104193681A (en)*2014-08-082014-12-10一帆生物科技集团有限公司Preparation and application of 4-chlorine-3-ethyl-1-methyl-N'-(2-substituted phenoxy acetyl)-1H-pyrazol-5-carbohydrazide compounds
CN105777639A (en)*2016-01-262016-07-20浙江博仕达作物科技有限公司Pyrazole hydrazide compound and use thereof
WO2017128942A1 (en)*2016-01-262017-08-03浙江博仕达作物科技有限公司Pyrazole hydrazide compound and use thereof
CN110256361A (en)*2019-05-082019-09-20湖南人文科技学院A kind of bishydrazide compounds and preparation method thereof of the structure fragment of ketone containing phenyl pyrimidine
CN110256361B (en)*2019-05-082023-06-16湖南人文科技学院Bishydrazide compound containing phenylpyrimidinone structural fragment and preparation method thereof
WO2022147993A1 (en)*2021-01-052022-07-14西北农林科技大学Diphenylpyrazole compound, and preparation method therefor and application thereof
CN116947841A (en)*2023-07-182023-10-27西安聚力安泰能源科技有限公司Preparation method of 5,5 '-bis (3, 5-dinitropyrazolyl) -2,2' -bis (1, 3, 4-oxadiazole)

Similar Documents

PublicationPublication DateTitle
US20060089499A1 (en)Pyrazolopyrimidines and the use thereof for controlling harmful organisms
CN1810808A (en) Novel [1,2,3]thiadiazole derivatives and its synthesis method and application
CN101337940A (en)Nitrogen heterocyclic ring dichloro allyl ether compound with insecticidal activity
CN1654456A (en) A pyrazole-containing bishydrazide compound, its preparation method and its use
CN101657439A (en)Hydrazide compound and harmful arthropod-controlling agent containing the same
US20130296271A1 (en)Agri-Horticultural Pest Control Compositions Comprising 4-(3-Butynyl)Aminopyrimidine Derivatives
CN107129498B (en) Imidazole aryl ketone compounds and preparation method and application thereof
CN1288149C (en)Double heterocyclic compound containing pyrazole and pyrazole ketone, preparing method and its use
CN1285589C (en)Heterocyclic compound containing double pyrazole, preparing method and its use
CN107602496B (en)Chiral complementary alkyl heterocyclic compound and application thereof as bactericide
CN1035254C (en) Substituted thiophene carboxamides
CN1709875A (en) A kind of pyrazole-containing bishydrazide compound, preparation method and application thereof
CN109232552A (en)A kind of piperidines thiazole derivative and its preparation method and application containing biamide structure
CN102911131B (en)Double-bond trifluoromethyl isoxazole compound, preparation method and application thereof
CN1644582A (en)Pyrazole contained diheterocyclic compound, its preparation and use
CN106234381B (en)A kind of application of the thiadiazoles -2- thio-ether type compounds as fungicide containing trifluoromethyl pyrazol
CN110698425B (en) A class of (R)-2-aryl-4,5-dihydrothiazole-4-carboxylic acid derivatives containing bishydrazide and preparation method and application thereof
CN100494192C (en) A kind of biheterocyclic compound containing pyrazole and benzimidazole, preparation method and application thereof
CN101250138B (en)Benzyloxycarbonyl amino acid aryl esters having insecticidal and fungicidal activitives
CN1640875A (en)Diheterocyclic compound, its preparing method and use
CN1249752A (en) Fused azole derivatives for use as microbicides
CN1974561A (en)Cyhalothrin amide compound containing quinary nitrogen heterocycle ketone and its prepn and application
CN1880307A (en)2,4-dichlor phenoxyacetic amide pyrimidine derivative and its preparation method and agricultural composition
CN111592494A (en)Pyrazole formaldehyde oxime ether compound and preparation method and application thereof
CN101003502B (en) A kind of kungfu chrysanthemum compound containing thiourea and its preparation and application

Legal Events

DateCodeTitleDescription
C06Publication
PB01Publication
C10Entry into substantive examination
SE01Entry into force of request for substantive examination
C02Deemed withdrawal of patent application after publication (patent law 2001)
WD01Invention patent application deemed withdrawn after publication

[8]ページ先頭

©2009-2025 Movatter.jp